Previous Page Table of Contents Next Page


Integration of forest industries

RISTO EKLUND

RISTO EKLUND, a former member of FAO'S Forestry and Forest Products Division, is now with Jaako Pöyry and Co., Helsinki, Finland. This article is part of a paper commissioned by FAO for a symposium organized by the ECE/FAO Timber Division on Integration in the Forest Industries, Geneva, February 1967.

The pulp and paper industry as a model

IN WESTERN EUROPE the pulp and paper industry is an international one for which international investments, trade, and contractual arrangements are of great and increasing importance. In establishing a sound investment policy, the decision to integrate or not must be made with due attention to the growth potential of the industry. Since this growth potential depends upon regional differences in resources and costs, a knowledge of this background and the historical pattern of the industry is necessary when analyzing the problems of integration. An international perspective is also essential for correct investment decisions in this industry.

In the paper industry sector of the economy, the core of the integration problem appears to be vertical integration at the level of an industrial establishment, i.e., the technical integration of two or more consecutive stages of the production process. The other forms of integration such as joint sales agencies and the pooling of overseas shipments are also of great importance because economies of scale in international, and especially in intercontinental, trade are very pronounced. For a worldwide sales organization a high volume operation may be even more necessary than for the manufacturing of bulk type products.

Western Europe lags behind North America in integration

The development of the pulp and paper industry is influenced by such factors as the size of the free market, level of the per caput income, and resource position. A comparison of the integration of the industry in North America and Europe is of interest for the analysis of the development and trends in Europe, since the size of the market, income level, and consumption habits in Europe largely follow the American pattern, particularly with increased economic integration. Moreover, if the European Economic Community (EEC) and the European Free Trade Association (EFTA) should join into one free market area, the resource position in the area will resemble even more closely that of North America, the heavily populated industrial area consuming most of the paper and the peripheral areas producing most of the pulp.

Table 1 shows the total output and technically integrated production of pulp1 in North America, Scandinavia, the United Kingdom and EEC in 1963. Some observations can be made about the degree of integration for different types of pulp.

1 The integrated production of pulp excludes market pulp manufactured in partially integrated pulp and paper mills.

In North America, the United Kingdom and EEC the manufacture of groundwood was almost completely integrated with further processing in the same establishments. The Scandinavian countries, in particular Norway and Sweden, were the principal producers of market groundwood. Since some uneconomical small groundwood mills have been closed down in Scandinavia and the production of integrated groundwood has been expanded, the rate of integration has probably increased already to nearly 70 percent.

High yield pulp is dominated by the NSSC2 pulp used for fluting. Fluting is a cheap, bulk type product, which is normally manufactured in integrated plants. Moreover, the drying of high yield pulps has in the past presented technical problems.

2Neutral sulfite semichemical.

In the case of unbleached chemical pulp the rate of integration in North America was about 85 percent while in Scandinavia it was only about 55 percent. Developments both in North America and Europe indicate that unbleached sulfite pulp does not have a promising future as market pulp, and some smaller mills have been closed down. Additional bleaching capacity and integration can probably be expected in the mills which are able to survive. From 1962 to 1965 both exports and imports of unbleached kraft pulp in western Europe remained stagnant. Since there was an excess capacity in the exporting countries, it appears that in western Europe markets for this pulp are not developing favorably. Trends in integration related to this stagnation will be discussed later.

TABLE 1. - TOTAL OUTPUT AND PERCENTAGE OF TECHNICALLY INTEGRATED PRODUCTION OF PULP IN SELECTED COUNTRIES IN 1963

Integration of the production of bleached pulp had taken place in western Europe to a much lower degree than in North America even though United States import tariffs and North American net export of bleached grades had cut down the degree of integration in North America. The degree of integration in North America was around 75 percent while in the above group of countries in Europe it was about 13 percent of the production of bleached kraft pulp and 66 percent and 24 percent respectively in the case of bleached sulfite pulp. The low rate of integration in Europe is partly a result of customs barriers and partly of the historical structure of the industry consisting of numerous small paper mills, too small to be integrated with the production of bleached chemical pulp. It might be noted that certain factors have recently favored the nonintegrated production of bleached sulfate pulp in North America:

1. Prospects for exports.

2. Scarcity of good pulp mill sites near consumption centers which offer advantages for the manufacture of many grades of bleached papers.

3. Increasing variety of paper grades requiring fiber furnishes of mixed pulp grades, making for difficulties in integrating all fiber flows and encouraging inter-company trading of grades.

4. Growing use of semibleached kraft pulp for newsprint while the economies of scale in kraft pulping are such that many newsprint mills cannot produce their own pulp economically.

Nonwood paper pulp has a very small market and most of the production is integrated.

Most of the present production of dissolving pulp appears to be technically nonintegrated. This is only natural, since the technological reasons for the integration of the production of dissolving pulp with that of filament and staple yarns are not overriding and can be outweighed by other factors.

Another important stage of integration within the paper industry sector is the integration of paper production and paper conversion. Most industrial and writing paper and paperboard are converted into products such as corrugated containers, folding or rigid boxes, food containers, bags, sacks, stationery, file folders, tags, tablets, pads, envelopes, cards, fiber cans, sanitary tissue products and so on.

Lack of data prevents a comparison of the degree of integration of paper production and paper conversion as between North America and western Europe.3 Owing to marketing and shipping costs, and the need for quick delivery of small tonnages, many conversion operations need to be located close to the customers. Owing to the market oriented location and less pronounced economies of scale in conversion, technical integration between paper conversion and paper production is frequently not feasible even if financial integration does exist. For instance, in North America 38 linerboard producers own about 90 percent of the capacity of corrugated container plants which number almost 400. Most of the container plants are located, however, in the northern industrial centers and not in the principal linerboard production areas. As a rule it can be observed that, in the integration between paper conversion and paper production, the reasons are more financial than technical. Within a large free market this leads to technical integration between the pulp and paper industries rather than between the paper and paper conversion industries.

3 In the United States the production for integrated use of certain grades of paper and board is estimated as follows folding boxboard 67 percent, nonbending board for rigid boxes 10 percent, unbleached multiwall sack paper 50 percent, unbleached grocery bag paper 65 percent, and other unbleached bag paper 50 percent.

Growth potential of the industry as a pointer

The objectives of integration have to be considered in conjunction with the growth potential of the industry in order to obtain an adequate background for evaluating future trends. Leaving aside government incentives and restrictions, the growth potential of paper enterprises is mainly decided by their present market and raw material position, and financial health. It is not possible to deal at length with these factors here. United Nations Economic Commissions, the Organization for Economic Cooperation and Development (OECD) and FAO together with various government and private institutions have provided a wealth of information on resources and markets in different parts of the world. A brief reference is made below to the structure of the industry which is related to the financial performance of the enterprises, at least under competitive conditions.

An indicative evaluation of the structure of the pulp and paper industry in the selected countries of western Europe can be obtained by comparing the existing structure with desirable targets (established by an analysis of hypothetical mill models) and with the structure of the pulp and paper industry in North America, where expansion has taken place in the regions of lowest costs for production and marketing within large free markets, and where these factors have facilitated continental planning of the enterprises as well as uniform and high consumption standards.

The hypothetical mill models in this analysis are integrated and nonintegrated one-product mills making bulk types of pulp and paper. In each case basic engineering as well as investment and cost estimates were carried out for three to five mill sizes. The estimates cover not only the cost of equipment and buildings but also the cost of mill site, roads, railway, planning, and interest during construction under typical Scandinavian conditions. The consumption figures arrived at in modern mills served as a basis for the calculations of manufacturing costs, based on 320 operating days per year.

Figures 1 and 2 show the approximate investment requirements as a function of the mill size. The total investment requirements increase, of course, with increased mill size, but investment requirements per unit of capacity diminish with increasing capacity. This phenomenon is pronounced in the instances where increased capacity is possible without increasing the number of manufacturing lines, i.e., if equipment units of high capacity are available. Boilers and turbines, recovery units, continuous digesters, and certain paper and board machines are examples of equipment which are available as large units at lower prices per unit of capacity.

On the other hand, the grinder is an example of a machine which it has not been possible to make in large units. Consequently, a large groundwood mill calls for multiplication of grinder units.

Figures 1 and 2 show that for most of the products considered the investment requirements per unit of capacity decrease rather rapidly. A groundwood mill is, however, an instance where the investment requirements per unit of capacity do not depend particularly on the mill size.

Relative manufacturing costs are shown in Figures 3 and 4, which illustrate the influence of the mill size and interrelationships between the various products even if the cost ratios are not quite constant owing to local differences. It can be concluded that the manufacturing costs of most of the bulk type pulp and paper products very much depend on mill size. Consequently, within large free markets such as the United States, and in the exporting countries, mill sizes tend to grow and competition brings prices down to a level where only large mills are reasonably profitable.

Mill size in the manufacturing of most bulk type pulp and paper products has to be quite large before further savings from economies of scale diminish to such an extent that other factors become more important, assuming that sufficiently large wood supplies can be procured for the mill at fairly constant prices. How do mill sizes, which Figures 3 and 4 indicate to be within an economical range, compare with actual mill sizes in western Europe and North America ? Comprehensive data on mill sizes were not available on a uniform and detailed basis but Tables 2, 3 and 4 give some useful indications of recent developments and the present position.

TABLE 2.- AVERAGE ANNUAL CAPACITY OF MILLS IN 1957 (Thousand tons)

 

Wood pulp

Paper and paperboard

Non-integrated

Integrated

Non-integrated

Integrated

Finland

70

Sulfite 56


1 46

 

Sulfate 115



Norway

24

27

5.5

2 22

Sweden

43

35

10

3 31

United Kingdom



16.5

France

25

15

4.4

4 24

Germany, Fed. Rep. of

8

10

5

5 15

Italy

4

3.5

112 mills have a total capacity of 1,200,000 tons.
26 mills have a total capacity of 285,000 tons.
37 mills have a total capacity of 700,000 tons.
49 mills have a total capacity of 640,000 tons (partially integrated)
59 mills have a total capacity of 9 tons (partially integrated).
SOURCES: OECD, L'industrie des pâtes et papiers en Europe, Paris, 1959 and Instituto Centrale di Statistica, Rome.

FIGURE 1. - Investment requirements for pulp mills as function of mill size.

1. Bleached sulfate (pine), AD-pulp. - 2. Bleached sulfate (pine), slush pulp. - 3. Unbleached sulfate (pine). AD-pulp. - 4. Unbleached sulfate (pine), slush pulp. - 5. Bleached magnefite (spruce), AD-pulp. - 6. Bleached magnefite (spruce), slush pulp. - 7. Unbleached magnefite (spruce), AD, pulp. - 8. Unbleached magnefite (spruce), slush pulp - 9. NSSC, without recovery (birch), slush pulp. - 10. NSSC, with recovery (birch), slush pulp. - 11. Groudwood (spruce), 50 percent moisture. - 12. Groundwood (spruce), slush pulp.

NOTE. AD = air-dry; NSSC = neutral sulfite semichemical.

FIGURE 2. - Investment requirements for paper and paperboard mills as function of mill size.

1. Newsprint mill, integrated with groundwood mill. - 2. Newsprint mill, nonintegrated. integrated. - 3. Mechanical printing paper mill, integrated with groundwood mill - 4. Kraft liner mill, integrated with sulfate pulp mill (high yield + normal pulp). - 5. Sack paper mill, integrated with sulfate pulp mill. - 6. Sack paper mill, nonintegrated - 7. Foodboard mill, integrated with bleached sulfate pulp mill. - 8. Foodboard mill, nonitegrated. - 9. Unbleached MO-paper mill, integrated with sulfate pulp mill. - 10. Unbleached MG-paper mill, nonintegrated. 11. Fluting board (corrugating medium) mill integrated with NSSC pulp mill, without recovery. - 12. Fluting board (corrugating medium) mill integrated with NSSC pulp mill, with recovery.

NOTE. MG = machine-glazed.

TABLE 3. - AVERAGE ANNUAL OUTPUT OF PULP AND PAPER MILES IN NORTH AMERICA AND SCANDINAVIA (1954/1958) (Thousand tons)


United States 1954

Canada 1957

Finland 1958

Sweden 1958

Groundwood

43

67

39

20

Sulfite pulp

61

53

54

34

unbleached

80

51



bleached

55

56



Sulfate pulp

151

74

109

49

unbleached

171

55



bleached

123

103



Paper and paperboard

41

78

59


On the basis of the above table and sources, the following observations can be made:

1. The average size of mills in North America is larger than in western Europe, except Finland.

2. The leading mills in all the principal producing countries of western Europe are large.

3. The average size of groundwood mills is in general smaller than that of chemical pulp mills both by the tonnage produced and in particular by the volume of raw materials consumed. The average size of groundwood mills is relatively large in Canada and Finland, however, where most of groundwood production is integrated with newsprint which has more pronounced economies of scale.

4. The average mill size in the areas of industrial concentration in North America is much smaller than in the peripheral areas. This difference derives mainly from the different product specialization on the basis of cost and resource position. This difference refers also to the average size of paper and paperboard mills not shown in the above tables.

5 The average mill sizes in Canada, Finland and Sweden have grown rapidly in some sectors of the industry in recent years following the United States pattern.

TABLE 4. - CAPACITY, NUMBER, SIZE AND INTEGRATION DEGREE OF GROUNDWOOD AND SULFATE PULP MILLS IN NORTH AMERICA AND SCANDINAVIA (1963/1966)

 

Groundwood

Sulfate pulp

Total capacity, 1000 tons

Number of mills

Average capacity, 1000 tons

Average % of integration

Total capacity, 1000 tons

Number of mills

Average capacity, 1000 tons

Average % of integration

UNITED STATES

Northeast 1079

27

40

91

601

11

55

86


Lake district

608

22

28

93

578

11

53

100

South

1092

13

84

75

11158

55

203

80

West

464

10

46

86

2283

17

134

83

CANADA

British Columbia

705

6

118

100

1066

18

133

18

Other

5748

56

103

91

1579

17

93

34

SCANDINAVIA

Finland

1375

18

76

83

2758

14

197

43

Norway

1594

37

43

41

62

3

21

100

Sweden: north

1177

20

59

58

2570

24

107

34

Sweden: south

302

11

27

79

578

7

83

22

SOURCE: Gunnar Alexandersson och Bengt Geiger, Pappers- och massaindustrin in Angloamerika och Norden: En jämförelse av fabrikernas storlek och integrationsgrad. Scandinaviska Banken, Quarterly Review, IV/1966. (Based on Brusewitz, Nordisk Papperskalender, 1966 and Post's paper mill directory 1963),

FIGURE 3. - Manufacturing costs of pulp as function of mill size.

1. Bleached pine sulfate, AD-pulp. - 2. Bleached pine sulfate, slush pulp. - 3. Unbleached pine sulfate, AD. pulp. - 4. Unbleached pine sulfate, slush pulp. - 4a. High yield pine sulfate, slush pulp. - 5. Bleached spruce magnefite, AD-pulp. - 6. Bleached spruce magnefite, slush pulp. - 7. Unbleached spruce magnefite, AD-pulp, - 8. Unbleached spruce magnefite, slush pulp. 9. NSSC-birch without recovery, slush pulp. - 10. NSSC-birch with recovery, slush pulp. - 11. Groundwood, spruce, 50 percent moisture. - 12. Groundwood, spruce, slush pulp.

FIGURE 4. - Manufacturing costs of paper and paperboard as function of mill size.

1. Newsprint, mill integrated with groundwood mill. - 2. Newsprint, nonintegrated mill. - 3. Mechanical printing paper, mill integrated with groundwood mill. 4. Kraft liner, mill integrated with sulfate pulp mill with separate production. lines for high yield and normal kraft pulp. - 5. Sack paper, mill integrated with sulfate pulp mill. - 6. Sack paper, nonintegrated mill. - 7. Foodboard, mill integrated with bleached sulfate pulp mill. - 8. Foodboard, nonintegrated mill. - 9. Unbleached MG-paper, mill integrated with sulfate pulp mill. - 10. Unbleached MO-paper, nonintegrated mill. -11. Fluting board (corrugating medium) mill integrated with NSSC birch pulp mill without recovery. - 12. Fluting board (corrugating medium) mill integrated with NSSC birch pulp mill with recovery.

Observations on the structure of the industry indicate that there are a number of mills which are too small for the range of products they make at present. These mills have to choose between closing down, expansion, changing over to special products, and integration. One :form of integration now taking place is vertical integration of small market pulp mills with paper production.

The above-mentioned developments will be forced by the enterprises which have high growth potential due to their financial, market, or raw material position. From an international point of view there are three recent, features of significance in this integration process:

1. European participation in ventures in North America to ensure supplies of pulp and paper (bulk type products).

2. North American investments and contractual arrangements in Europe to ensure market outlets. 3. International investments and contractual arrangements within Europe largely aimed at vertical integration.

European companies are participating in a dozen recent or current North American projects with a total capacity of over two million tons and investment requirements of approximately U.S. $700 to 800 million. Most of these projects are located in British Columbia. Among the participating enterprises are both the biggest buyer and the biggest seller of market pulp in the world.

Since the North American producers are interested in European markets for such products as kraft liner, they have established some 40 European subsidiaries or affiliations with European linerboard producers and converters. In the Federal Republic of Germany about 20 percent of the paperboard container capacity is associated with American companies. In Italy six out of eight large manufacturers of paperboard containers are owned by foreign companies, three of which are North American enterprises and the other three European enterprises with overseas interests.

The above examples indicate how the pulp and paper industry has reacted to opportunities in integration. Analogous developments are taking place in all the industrial sectors of the economies of western Europe.

Since there is a clear trend toward closer integration of developments in North America and western Europe, a few comments are offered. According to FAO, the annual increase of paper consumption from 1970 to 1980 is estimated at 1.6 million tons in western Europe and at 1.7 million tons in North America. The total annual increase corresponds to about 10,000 daily tons requiring an annual investment in new capacity of approximately $1,500 million. Modernization will proceed on about the same scale. The order of magnitude of annual investments to satisfy the growing paper consumption is about $3,000 million. The other forest industries and paper conversion as well as forestry operations will also require large investments, estimated to be in the order of $2,000 million per year.

As North America still possesses great unutilized forest resources and as the large North American companies are investing to obtain market outlets in Europe, a few observations on their financial performance follow. Available data indicate that the cash flow after dividends of the ten largest paper companies in North America was $500-600 million in 1964. Assuming their cash flow after dividends would grow at about 6 percent per year, it would average approximately $1,000 million per year in the 1970s. Should these companies have an aggressive investment policy with a high share of loan capital, they could finance a very substantial part of the required investments. As these companies already own or control large forest resources, it is not surprising that they are investing in market outlets in Europe and one of them has made a contractual arrangement with a large Swedish pulp and paper company to sell part of its pulp production. in Europe.

As the North American resource position has been emphasized, the prospects of improving the Scandinavian resource position through forest fertilization should be mentioned. According to a Swedish study,4 timber removals in Sweden could be increased by 10 million cubic meters per year at an annual cost of about $30-50 million. Assuming that the cost of forest fertilization is $4 per cubic meter, the cost corresponds to about $12 per ton of newsprint or $20 per ton of bleached pulp.

4Stig Hagner, Jussi Saraste, Bengt Johansson, and Allan Åhgren, Timber production by forest fertilization.

Sea freight costs from Scandinavia to the principal markets in EEC and the United Kingdom are some $10-20 per ton lower than those from North America, which difference covers approximately the cost of forest fertilization. This indicates that there is an economic basis for the improvement of the Scandinavian resource position by forest fertilization, which could change very substantially the earlier estimates for development prospects. The fertilizer industry in Finland is already being expanded to provide for large-scale forest fertilization.

Savings from vertical integration: mill models for economic evaluation

It has already been pointed out that the decision to integrate should not only be based on the internal economics of an industrial establishment but that general growth factors and trends as a guide to investment policies must also be considered. Possible savings from integration are influenced by these external factors due to the dynamic nature of the price and cost structure. The savings from integration at the establishment level depend greatly upon local conditions, and it is difficult to reach general conclusions. The technical factors, which are the basis of manufacturing economics, follow similar patterns, however, and consequently some generally valid approaches to the analysis of integration problems can be made. The following is an attempt to study the economics of integration in a few cases of vertical integration in pulp and paper manufacturing.

Figure 4 already indicates integration savings in the production of newsprint, sack paper, foodboard and unbleached MG-paper,5 comparing integrated pulp and paper production with paper production based on market pulp. The relative costs refer approximately to the Scandinavian cost structure, and no duties and freight differences have been taken into account.

5 Machine-glazed.

Figures 5 and 6 give an idea of the components of the integration savings in the production of sack paper and newsprint. In this case pulp is assumed to be captive pulp but manufactured in a separate pulp mill producing the fiber requirements of the paper mill. The saving components are:

1. Raw materials (baling wire).
2. Labor (wages and fringe benefits).
3. Administration and salaries.
4. Power and steam (fuels).
5. Maintenance and operating materials.
6. Capital costs (depreciation and interest, including interest on working capital). No difference in sales costs and freights has been taken into account. The main components of integration savings are the costs of capital, labor and supervision, as well as administration, and in the case of sack paper also the cost of power and steam (fuels), which in relative terms becomes quite important in large mills.

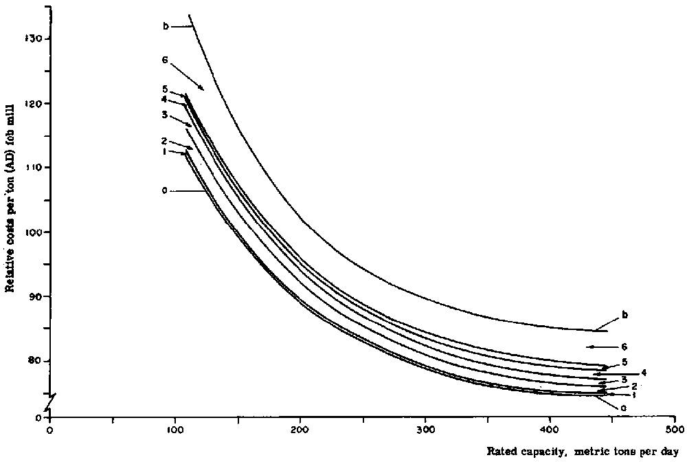
FIGURE: 5. - Relative costs and integration savings in the manufacturing of sack paper as function of mill size.

Relative costs: (a) Integrated unbleached sulfate pulp and sack paper mill. (b) Nonintegrated unbleached sulfate pulp mill + nonintegrated sack paper mill. Integration saving: 1. Raw material. - 2. Labor. - 3. Administration and salaries. - 4. Power and steam. - 5. Maintenance and operating materials. - 6. Capital costs, including interest on working capital.

FIGURE 6. - Relative costs and integration savings in the manufacturing of newsprint as function of mill size.

Relative costs: (a) Integrated ground-wood and newsprint mill. (b) Nonintegrated groundwood mill + nonintegrated newsprint mill. Integration savings: 1. Raw material. - 2. Labor. - 3. Administration and salaries. - 4. Power and steam. - 5. Maintenance and operating materials (negligible). - 6. Capital costs, including interest on working capital.

Table 5 gives relative costs and integration savings for three sizes of sack paper mills. The relative costs of an integrated sack paper mill with a capacity of 447 daily tons (143,000 annual tons) have been taken as a basis for the comparison, since this mill size represents the magnitude of the economic minimum size for a new integrated sack paper mill in Scandinavia under the present cost structure. It is obvious that the mill size influences costs more than integration within the range of capacities shown in Table 5. The economies of scale are most pronounced for technically nonintegrated mills producing and using captive pulp and least pronounced for the paper mill using market pulp.

TABLE 5. - RELATIVE COSTS AND INTEGRATION SAVINGS IN THE PRODUCTION OF SACK PAPER

Daily capacity, metric tons

Relative costs

Integration saving

Integrated mills

Technically non-integrated mills

Captive pulp

Market pulp

Cost units

Percent

447

100

114

120

14 or 20

12.5 or 16.7

223

115

135

129

14 or 20

10.8 or 14.4

112

149

179

146

- 3 or 30

- 2.1 or 16.7

Technically integrated mills with an annual capacity of 70,000 to 150,000 tons appear to have a cost saving of 10 to 15 percent compared with nonintegrated mills of the same size, assuming that the sales costs of pulp compensate for the freight difference between paper and pulp.

The above discussion is illustrated in Figure 7, which shows the general principle of the dependency of manufacturing costs upon vertical integration.6 On the abscissa of the diagram is the mill's capacity and on the ordinate the unit costs of the product. The lowest curve shows the production costs of a nonintegrated pulp mill, costs of which, as can be seen, diminish when the size of the mill increases. The market price of pulp is depicted by the line cutting across this curve. Point A shows the critical production capacity of the pulp mill. If the capacity of the mill is less than A, the mill. operates at a loss. The result can be improved by raising the mill's capacity, in which case there is a transfer past point A to the right, and the manufacturing costs drop below the critical limit. This remedy has been successfully used in Finland many times during recent years when the country still had plenty of wood reserves. If there are no reserves, production cannot be raised. In this case the mill may try to improve its position by adding a paper or paperboard mill.

6Ryti, Niilo, Puunjalostusteollisuuden kustannusrakenteen selvittelyä tehdasmallien avulla. Paperi ja Puu, No. 6, 1966. The following discussion on mill models is based on Ryti's article although some updating of prices has been made.

In Figure 7 there is also a curve representing the manufacturing costs of an integrated pulp/paper mill, and another representing the aggregate production costs of separate, captive pulp and paper mills. The shaded area between the two curves thus represents the above-mentioned integration saving.

FIGURE 7. - A model for the comparison of integrated versus nonintegrated pulp and paper production: manufacturing costs as function of mill size.

1. Nonintegrated (captive) pulp mill + nonintegrated paper mill. - 2. Nonintegrated paper mill using market pulp. - 3. Integrated pulp and paper mill. - 4. Nonintegrated pulp mill. - 5. Price of paper. - 6. Price of market pulp. - 7. Integration saving. - 8. Integration loss.

NOTE. - The output of pulp: the air-dry tonnage of pulp corresponding to a certain output of paper equals approx. 1.05 times the tonnage of paper.

The extent to which integration improves the economy of a mill naturally depends on the price of the final product. In the example given this price is so low that the critical capacity of the integrated mill B is higher than that of the separate pulp mill A. In this case integration has made the situation worse. Perhaps, however, such a final product suited for integrated manufacturing can be found which has a higher price than the one given in the example; with the aid of this higher price point B can be pushed left of point A. This would mean that the economy of the pulp mill could be improved by integration. A small mill should therefore try to find a final product which has a sufficiently high price and which is not suited for large-scale manufacture because of the marketing or technical difficulties involved. Production in a nonintegrated paper mill from purchased pulp sets the limit to these possibilities. Figure 7 shows that the mill size being smaller than the value represented by point C, the production costs in a nonintegrated mill using market pulp are lower than those in an integrated mill. If the size of a pulp mill is smaller than the size denoted by point C, it is unlikely that it could improve its competitive power by integration. The prices of pulp and paper influence the positions of the critical points A, B and C which also depend upon the structure of production costs.

In cases where the finished product must be sold over a customs barrier whereas the semimanufactures might be sold duty-free or with a lower duty, the effects of customs duties must be taken into consideration in the evaluation of the benefits of integration. If a choice between these alternatives is possible, it should be considered whether manufacturing the paper in an integrated mill and selling it over the customs barrier would be more profitable than exporting the semi-manufacture - pulp for instance - duty-free inside the customs barrier and turning it into paper in a separate paper mill there under protection. In principle, this calls for the comparison of the integration savings with the protection by customs and fiscal taxes and determination of the dominant factor.

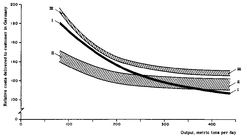
The effects of integration and the protection offered by EEC countries have been analyzed in the cases of unbleached kraft paper, sack paper in particular, and foodboard made of bleached kraft pulp. In this investigation the costs of integrated production in Scandinavia were compared with those of production of the pulp in Scandinavia and the paper and paperboard in a separate mill in the Federal [Republic of Germany. The costs were calculated free with a Federal German customer, including the customs duties, freight, and turnover tax. The costs have been presented as a function of mill size whereby it has been assumed that the production capacity of the captive pulp mill run in Scandinavia and the paper and paperboard mill run in the Federal Republic of Germany is equal. The third alternative study is a nonintegrated paper mill in the Federal Republic of Germany using market pulp.

Figure 8 shows the case of sack paper and is based on a price range representing a typical price in recent years ± 10 percent. It appears that integrated production of kraft pulp and sack paper in Scandinavia is attractive only if mill sizes within EEC remain modest. Small (new) integrated mills in Scandinavia would not be feasible. Relative prices of pulp and paper are decisive for the relative costs of large mills. The present level of tariff and tax protection seems to overcompensate integration savings even if a combination of tariff protection and large mill sizes appears to be necessary to attain a highly competitive cost level. Finally, it is emphasized that, owing to the local differences in costs such as freight and wood prices, the above model is intended rather to illustrate the principles in the analysis of integration savings than to serve as a basis for policies.

Figure 9 shows a corresponding diagram for foodboard, which represents a higher value product group of bleached boards. Because the price of foodboard is higher than that of unbleached sack paper, the absolute value of duty and tax on foodboard is also higher. The integration saving for bleached papers and board is rather less, however, than for unbleached board. Consequently, technically nonintegrated production in the Federal Republic of Germany seems to be more profitable than integrated production in Scandinavia. Because the integration saving in absolute terms diminishes with increasing mill size while the duty and tax remain constant, the nonintegrated production in large mills is profitable if the size of the market is sufficient. Figure 9 indicates that in the production of high value papers it is more profitable to have the production facilities within the EEC customs barrier than in Scandinavia if the mills to be compared represent the same size and labor productivity.

Regional cost differentials promote product specialization and growing trade creates new opportunities

Traditionally four dominant factors which have influenced the structure and location of the pulp and paper industry have been:

1. the price and available volume of fibrous raw materials, in particular roundwood, sawmilling residues and wastepaper;
2. size and location of markets;
3. price of power;
4. customs tariffs and other obstacles to trade.

FIGURE 8. - A comparison of costs c.i.f. customer in Germany of integrated versus nonintegrated pulp and Paper production in. Scandinavia and Fed. Rep. of Germany; sack paper.

Customs on paper 14.8 percent; tax on imported paper 8 percent; fax on domestic paper 4 percent; tax on imported pulp 4 percent.

I Nonintegrated production: sulfate pulp in Scandinavia., sack paper in Germany
II Nonintegrated production: sack paper in Germany based on market pulp.
III Integrated production: sulfate pulp and sack paper in Scandinavia.

FIGURE 9. - A comparison of c.i.f. customer in Fed. Rep. of Germany of integrated versus nonintegrated pulp and paper production in Scandinavia and Fed. Rep. of Germany: foodboard.

Customs on paper 15.2 percent; tam on imported paper 8 percent; tax on domestic paper 4 percent tax on imported pulp 4 percent.

I Nonintegrated production: bleached sulfate pulp in Scandinavia, foodboard in Germany
II Nonintegrated production: foodboard in Germany based on market pulp
III Integrated production: bleached sulfate pulps and foodboard in Scandinavia. .

Power has been of particular importance for the location of groundwood mills and the newsprint mills integrated with them. In recent years the development of oil trade has made the industry less dependent upon power (hydroelectric power or cheap local fuels). The development of free trade areas has changed the influence of markets and customs tariffs.

Other factors which appear to be of increasing importance are:

1. cost of labor;
2. water and effluent; problems;
3. low-cost shipping of final products.

The cost of labor is likely to influence the future specialization between North America and Scandinavia in the manufacturing of bulk type products, Scandinavia favoring products with higher labor content in the manufacturing costs. The cost of cheap plantation labor combined with fast growth rates for quick-growing species favors certain developing countries in the creation of new pulpwood resources.7 Water and effluent problems have become very important in industrial centers and areas important for tourism where it is very difficult to establish semichemical and chemical pulp mills. This gives an advantage to the groundwood, fibreboard and particle board industries in using pulpwood resources of these areas. Cheap, year-round shipping of products is a necessity for the peripheral areas which are producers of bulk type products for international markets. Specially designed vessels and use of large unit loads are reducing the influence of sea distance as a location factor in the production of market pulp, kraft liner, and similar products.

7This kind of development is most attractive in the case of low yield pulps because these products cannot bear the cost of expensive wood. An actual example is a Norwegian firm which is building a 150,000 ton prehydrolyzed sulfate pulp mill in Brazil in order to use cheap plantation-grown wood for dissolving pulp and switch the relatively expensive spruce in Norway to products less sensitive to the price of wood. Similarly a Swedish company is building a dissolving pulp mill in Portugal to use eucalyptus.

How is this changing cost pattern going to influence integration within the pulp and paper industry? It is not possible to forecast actual events but an attempt will be made to indicate certain likely trends over the next decade or so.

WESTERN EUROPE

The principal consuming countries of western Europe will expand their paper production integrated with groundwood and high yield pulps and nonintegrated paper production based on wastepaper and bleached sulfate pulp. The production of folding boxboard, chipboard for rigid boxes, container middles, test liner and test fluting, i.e., of grades for which the bulk of fiber furnish consists of wastepaper, is likely to grow even if some grades will face strong competition by higher quality grades. Output of a variety of printing, writing and tissue grades made of wastepaper and bleached pulp, largely hardwood pulp, is expected to be expanded. Since the recovery rate for wastepaper is 25 to 30 percent of paper consumption, the manufacturing of wastepaper-based grades close to the consumption centers will comprise a large sector of the paper industry. Nonintegrated pulp production in the principal consuming countries will be integrated to a higher degree. Nonintegrated production of bulk type paper and paperboard using imported unbleached pulp is less likely to grow and certain transfers of capacity to the production of higher value papers are expected. Special grades which do not provide for economies of scale and which do not gain much from integrated production will be favored. Grades with mixed fiber furnishes and those integrated with paper conversion, which is becoming more and more diversified, will become more prominent. Paper conversion will gain in importance and will become financially more closely integrated with paper manufacturing.

SCANDINAVIA

Integrated pulp and paper production will make progress in Scandinavia. [favored grades are likely to comprise newsprint, mechanical printings, kraft sack, bag and wrapping papers, and fluting, i.e., those bulk grades which are less sensitive to the price of wood and preferably with more labor-intensive production than chemical pulp and kraft liner.8 To gain from the economies of scale, the existing mills making other grades for exports may be expanded.9 Moreover, capacity (mainly integrated) will be expanded for domestic markets. Developments of economic integration within Europe will influence the integration policy of the industry.

8A formula for the analysis of the sensitivity to the price of product and wood costs is given in a recent paper "Recent trends in the utilization and handling of pulpwood" by Jaakko Pöyry, 21st Tappi Engineering Conference, Boston.

9According to the 1966 prospectus of the Swedish Paper Mills Association, Den Svenska Pappersindustrin the capacity for chemical pulp in Sweden will be increased by 2 million tons from 1966 to 1970, most of the increase being market pulp for exports.

NORTH AMERICA

In North America some 80 to 90 percent of the paper pulp production is technically integrated with paper production and around 80 percent of market pulp production is estimated to be financially integrated with paper production.10 Trade in market pulp means largely trading of grades between integrated companies. Planned expansion programs indicate that a strong increase is taking place in the production of bleached sulfate pulp for markets in North America, western Europe and Japan. Most of this production is financially integrated with the leading pulp and paper companies in North America and Europe. Technically integrated North American production for the European market will comprise kraft liner and also newsprint and sack paper. Since 12 new newsprint machines with a total capacity of about 1.2 million tons are already projected or installed in Scandinavia and the Federal Republic of Germany to start operation during the second half of the 1960s (and the newsprint capacity may be expanded also in France and Spain), it appears that newsprint capacity in western Europe is growing faster than consumption, which would leave a surplus for exports even if a part of the new as well as of the existing capacities are used to manufacture mechanical printing papers.

10Financial integration refers partly to captive pulp not technically integrated. For instance, in 1962 about 39 percent (870,000 metric tons) of United States pulp imports from Canada consisted of captive pulp supplied by the Canadian subsidiaries of the United States paper companies.

It may be noted in this context that from 1962 to 1965 the newsprint imports of western Europe from North America decreased by 73,000 tons from 480,000 tons to 407,000 tons.

Iran. FAO is operating two United Nations Development Program (Special Fund) forestry projects, one providing a forestry faculty at Karadj University and a forest rangers' school at Gorgan, and the other to develop a forest area in the north of Iran to demonstrate forest management and utilization. The picture shows the Shah-in-Shah and H.I.M. Farah Dibah talking to Mr. N.A. Osara, Director of FAO's Forestry and Forest Products Division (left), when they visited a tree-planting ceremony in the Arya Mehr forest park to the north of the new Tehran-Karadj highway.


Previous Page Top of Page Next Page