by
STANISLAW WROBEL
Laboratory of Water Biology, the Polish Academy of Sciences
Krakow, Poland
Abstract
The paper is based on the results of investigations carried out by different scientists in ponds in Poland and deals with the role of river drainage basins in the formation of pond soils and with the influence of the soils in the drainage basins on the chemical composition of the water irrigating the ponds. It is characteristic of the metabolism in ponds that the synthesis of organic matter outbalances its decomposition and consequently organic matter accumulates on the bottom of ponds. The dependence of the migration of important macroelements on the synthesis and decomposition of organic matter, as well as the influence of the decomposition of organic matter on the oxygen conditions in pond water, are emphasized.
Treatments of ponds, aimed at the mobilization of nutrients accumulated in pond soils and at the counteraction of “ageing” are discussed.
The author suggests some special lines of investigation on pond environment and stresses the importance of simultaneous investigations of soils and water in ponds and the synthesis and decomposition of organic matter.
ROLE DES SOLS DANS LA PRODUCTION PISCICOLE DES ETANGS
Résumé
Cette communication, faisant état des travaux effectués en Pologne par divers chercheurs, traite du rôle des bassins versants dans la formation des sols des étangs ainsi que de l'influence du sol des bassins versants sur la composition chimique de l'eau alimentant les étangs. Il est caractéristique du métabolisme des étangs que la synthèse des matières organiques l'emporte sur la décomposition de ces matières de sorte que celles-ci s'accumulent sur le fond. L'auteur souligne les rapports étroits entre la migration d'importants macroéléments et la synthèse et la décomposition des matières organiques ainsi que l'influence de la décomposition de ces matières sur le teneur en oxygène de l'eau.
Un autre problème examiné est celui des traitements appropriés pour mobiliser les éléments nutritifs accumulés dans le sol des étangs et empêcher le “vieillissement”.
L'auteur suggère quelques aspects particuliers du milieu aquatique qui méritent d'être étudiés plus à fond et souligne l'importance qu'il y a à mener de front des recherches sur les sols et les eaux des étangs et la synthèse et la décomposition de la matière organique.
LA FUNCION DE LOS SUELOS EN LA PRODUCCION PISCICOLA EN ESTANQUES
Extracto
Este trabajo se basa en los resultados de las investigaciones llevadas a cabo por diferentes hombres de ciencia en estanques de Polonia y trata de la función de las cuencas de desagüe de los ríos en la formación de suelos de estanques, así como de la influencia de las cuencas de desagüe sobre la composición química del agua que los baña. Es característico del metabolismo en los estanques que la síntesis de la materia orgánica supera a su descomposición y que, por consiguiente, la materia orgánica se acumula en el fondo de los mismos. Se hace resaltar la importancia de la migración de importantes macroelementos sobre la síntesis y descomposición de materia orgánica así como la influencia de la descomposición de esta última en la oxigenación del agua del estanque.
Se examinan los tratamientos de estanques destinados a la movilización de los elementos nutrientes acumulados en sur suelos y a contrarrestar los efectos de su envejecimiento.
El autor sugiere algunas líneas especiales de investigación sobre el medio ambiente de los estanques, y pone de relieve la importancia de la investigación simultánea de suelos y agua y la síntesis y descomposición de la materia orgánica.
Pond soils are the source of various organic and mineral compounds which penetrate into the water after biochemical and chemical changes. This interchange between pond soils and water, supplies the aquatic plants with mineral nutrients. The pond soil is also the habitat of the bottom fauna, which is an important source of food for fishes cultured in ponds. The soils contain plant spores and seeds, eggs of aquatic animals, as well as parasites, bacteria and viruses responsible for diseases in fish. Pond soils, therefore, play several important roles in the production cycles of fish ponds.
Pond soils are formed under very specific conditions, different from those in which land soils or the bottom deposits in lakes are formed. This specifity depends mainly on the periodical flooding of ponds, and in higher altitudes ponds remain drained for longer periods than in the lower. The water supply to the ponds brings in suspensions and dissolved salts eroded and washed away from the whole of the drainage basin. In the ponds, in altered physico-chemical conditions, the suspensions and salts are subject to sedimentation and precipitation. The mineral suspensions carried into ponds are chiefly colloidal fractions and for that reason the geomorphology and the soil cover of the drainage basin, from which the ponds are irrigated, as well as the quantity and the distribution of rainfall have a great influence on the mechanical composition of the mineral matter. The chemical composition of the water supply to ponds also depends upon the geological structure of the drainage basin and the fertility of its soils. However, this concerns clean waters only, as the chemical composition of surface waters becomes more and more affected by sewage and industrial wastes.
It is a common belief that the productivity of ponds situated on rich soils is much higher than of others. The influence of the drainage basins on fish production may be illustrated by a comparison between the Polish ponds situated in the southern highland (Little Poland) and those irrigated from the Carpathian rivers. In the former region where carbonate rocks and loess soils as well as rendzinas prevail, fish yields are double or triple those in the sub-Carpathian region, where the drainage basins are formed of Flysh rocks covered with soils poor in nutrients (Pasternak, 1959; 1965; Wróbel, 1965).
In moderate climatic conditions the productivity is higher in ponds located on carbonate soils or irrigated from rivers whose drainage basins are built of carbonate rocks, as the soils formed on these rocks are usually richer, and moreover the content of calcium carbonate in the water supply is higher. Calcium carbonates in pond water, because of their buffer capacity, exert a favourable influence as they diminish the amplitudes of pH fluctuations in water, and also they are bearers of an important nutrient, carbon dioxide. It is especially important in zones of moderate climate, where the synthesis of organic matter outbalances its decomposition in water reservoirs. In subtropical and tropical climates the carbonates play a smaller role as bearers of carbon dioxide, as the turn-over rate of metabolism is higher and gives a constant supply of this compound.
The soil on which the ponds have been built, exerts a favourable influence on the productivity of the ponds only for a few years of utilization for fishery purpose (Starmach, 1956). As time goes on, a proper pond soil is formed on the primary soils as a result of constant sedimentation of suspensions and their mixing with organic matter produced in the ponds themselves and with precipitated mineral compounds (carbonates, phosphates, ferric hydroxides). Although it would seem probable that in ponds irrigated from the same river these soils ought to be similar, nevertheless in neighbouring ponds the chemical properties of the soils are often different, because of different systems of irrigation, of different areas and depths, as well as of the ratio of the volume of the water in the pond to the volume of the inflow.

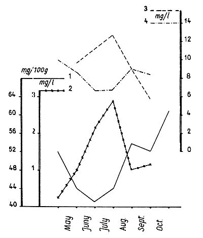
Fig. 1 Iron content in the bottom (1) and in the water (2), CO2 content (3) and O2 content in the water in pond (after Wróbel, 1960)

Fig. 2 The dependence of electrolyte content of water on clay minerals in pond soils, 1 - electrolyte content, 2 - clay minerals, 3 - content of salts in soils (after Pasternak, 1958)
In such shallow water bodies as ponds there is an intense interchange of organic and mineral compounds between the soil and the water. The soil profits more as it is constantly enriched in organic matter, phosphates and carbonates (Stangenberg, 1943); in the latter only when the inflowing water is rich in carbonates.
The main processes taking place on the bottom of the ponds are accumulation and decomposition of organic matter. As a result of the accumulation of organic matter important macro-elements are eliminated from the pond water and immobilized on the bottom, while the decomposition of organic matter not only releases mineral compounds but contributes also to the dissolution of unavailable phosphates and carbonates (influence of carbon dioxide).
Phosphorus is one of the elements easily subject to retrogradation in an acid medium as well as in a basic one. The retrogradation of phosphorus and the accumulation of insoluble ferric or calcium phosphates in soils causes a rapid decrease of PO4 supplied by fertilization. Fish exert an important influence upon the rapidity of this process by mixing water with the loosened top layer of pond soil (Hepher, 1958), although the stirring up of the bottom may also be favourable to the transfer of bottom phosphates into the water. In view of the rapidity of the chemical or physico-chemical fixation of phosphates in pond soils Stangenberg (1942) divides the vegetation season into two subperiods: (i) when the phosphates are rapidly fixed by the bottom, and (ii) the period of production proper, when they are slowly released because of a more rapid mineralization of the organic matter at higher temperature levels in the water and because of a change in oxidation-reduction potential. Pond soils are rich in nitrogen stored in organic matter; however, this is not available to aquatic plants. Its total content can therefore not be taken as an index of the fertility of the pond (Stangenberg, 1943; 1949). The role of bacteria found in pond soils in the fixation of elementary nitrogen has not yet been fully explained. The favourable effects of nitrogen fertilization on ponds (Wróbel 1962; Vinberg and Liakhnovich, 1965) and the immediate results of investigation on Azotobacter (Matusiak and Rawski, 1956) seem to prove that the role of bacteria in moderate climates is not equivalent to that of subtropic and tropic blue-green algae in free nitrogen fixation.
The role of pond soils if fertilized with nitrogen manures, may be regarded as rather negative, as the ammonium form of nitrogen may be absorbed by soil colloids and the nitrate form in the contact layer may be subject to denitrification. Liberation of the ammonium form occurs only in a medium reduced by the decomposition of organic and mineral colloids (Mortimer, 1941; 1942), and this process depends again on the quantity of organic matter and on the rapidity of its decomposition. Ammonia is also liberated by the mineralization of organic matter in the bottom of the ponds.
The exchange of potassium between soil and water is relatively less dependent on the carbon turn-over cycle; insoluble potassium salts also do not form in ponds. A high hydration of soil colloids is favourable to the passing of potassium from soil to water and for that reason there is never a total lack of this nutrient in ponds. Only in ponds located on peat bogs, or in those overgrown by submerged vegetation may the potassium content fall below 0.5 mg/l.
The presence of iron, on the contrary, depends largely on the content of free carbon dioxide, as shown by the author's investigations in the ponds of the Laboratory of Water Biology of the Polish Academy of Sciences (Wróbel 1960), (Fig. 1).
The conditions of exchange of various ions between soil and water are not so simple as they appear from the above, as their passing from soil to water is mainly dependent on the content of clay minerals. Pasternak's investigation (1958) proved that the passing of electrolytes is still more dependent on the colloid content in soil than on its fertility (Fig. 2). Even if the top layer of pond soil is rich in colloids, this does not prevent some elements from being washed out. Lyzimetric investigation of ponds (Wróbel, 1959) proved that calcium is the most easily washed out factor. The great lability of calcium explains the lack of visible effects of liming ponds on the physico-chemical conditions of pond soils.

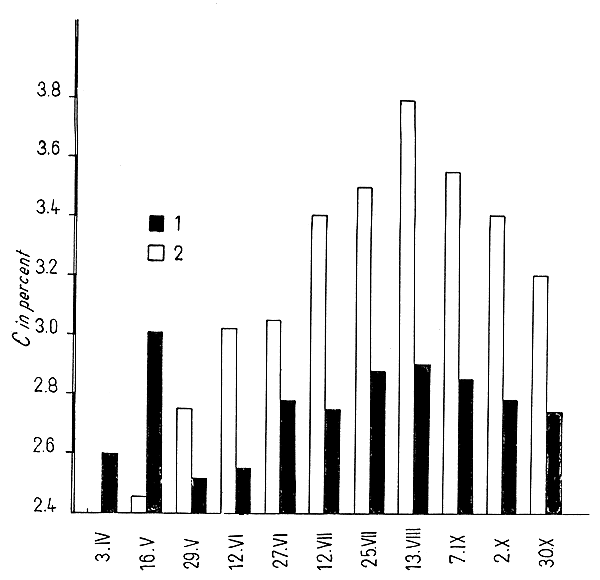
Fig. 3 Seasonal changes in organic carbon in pond soils, 1 - control pond, 2 - fertilized pond (after Wróbel, 1965)
The decomposition of organic matter in the bottom greatly affects the oxygen conditions in the water in intensely cultivated ponds (pond fertilization, fish feeding). The oxygen conditions in pond water depend on two factors: on the intensity of photosynthesis and on the consumption of oxygen by decomposition of organic matter. The ratio of oxygen production to its consumption is not similar in various months of the growing season. In the lower temperatures of the first months of the season (in moderate climates in May and June) this ratio amounts in fertilized ponds to three or four, i.e. about 25 to 30 percent of the organic matter produced is subject to decomposition in the water and the rest of it accumulates on the bottom. Fig. 3 shows the course of accumulation of organic matter in a fertilized and a control pond.
With the increase of water temperature the ratio of oxygen production in water to its consumption decreases, and in August becomes about one. In this warmest month the rate of decomposition of matter in the bottom increases. Because of a strong oxygen stratification during the day (Fig. 4) organic matter decomposes in anaerobic conditions, and the products of an incomplete oxidation pass into the pond water making the unfavourable oxygen conditions still worse. These conditions are especially dangerous in shallow, strongly eutrophic ponds. In these ponds, as well as in the deep ones, the ratio of the quantity of produced organic matter to the unit of area is almost identical because of the limited penetration of light into the deep layers of water, but on the other hand in shallow ponds smaller quantities of organic matter decompose, because the dead algae cells do not have so far to sink and the degree of overgrowth by submerged vegetation is greater. In these ponds the accumulation of organic matter on the bottom is therefore higher, the ratio of oxygen content to the unit of area smaller, and the amplitude of oxygen content fluctuations in the 24 hours cycle higher. To counteract the unfavourable influence exerted by the bottom on the oxygen conditions in water, it is necessary either to remove surplus organic matter by increasing the flow of water in ponds during the growing season, or, when the volume of the fresh water inflow is limited, to submit only deep ponds to intense cultivation. These great fluctuations of oxygen content in water may probably account for the prevalence of branchiomycosis, a dangerous fish disease occurring as a rule in intensively cultivated shallow ponds in a narrow zone with temperate climate.
The oxygen conditions in pond water ought to be more thoroughly investigated, as these conditions limit the intensification of present rearing methods. As methods of fish feeding improve, the most important treatment of the ponds will not be aimed at increasing the natural food supply, but at assuring optimum oxygen conditions, and thereby allowing maximum exploitation of the provided foods.
Cultivation of fish inevitably leads to the increase of organic matter in pond soils and then to reduction conditions. The concentration of organic and mineral compounds, especially of insoluble phosphates, proves that in the majority of cases the influence of water and the processes occurring in water on pond soils, is stronger than the influence of the pond soils on the water. The cultivation of pond soils aims chiefly at increasing the influence exerted on the water by pond soils, and endeavours to counteract a process known as the “ageing of ponds”. In temperate climates the cultivation of pond soils consists mainly in a thorough annual winter draining, sometimes combined with a summer fallowing (agriculture - pisciculture rotation).
The main aims of winter draining of ponds are to supply the pond soil with atmospheric oxygen and to interrupt the reduction processes as well as to increase the rapidity of mineralization of organic matter (Danielewski, 1965; Wróbel, 1958). The mineralization of organic matter increases the content of mineral nitrogen compounds from 34 to 146 kg/ha N (Danielewski, 1965). A further advantage of the winter draining of pond soils is a decrease in acidity; the reaction moves to the basic side and the exchange acidity decreases (Wiesner, 1934). The winter draining of pond soils is especially advised by ichthyo-pathologists and parasitologists because of its sterilizing action.

Fig. 4 Temperature and oxygen stratification in the water of a fertilized pond in August 1962. 1-02 content in the afternoon, 2 - 02 content in the morning, 3 - temperature in the afternoon, 4 - temperature in the morning (after Wróbel, 1965)
The advisability of an annual winter draining is a subject of discussion among hydrobiologists; they are not unanimous in their views, as the draining of ponds affects the biocenotic relations of the pond environment. The rapid formation of plankton plant and animal communities in ponds for fry (in the Dubisch system) proves that neither phyto- nor zooplankton is affected, even in ponds which remain drained for a long period (the ponds used for the youngest fry are flooded for four to six weeks of the year only).
It does not seem necessary to discuss the liming of pond soils, which is a widely employed treatment. Its disinfectant action or its influence on the mobilization of phosphorus content, especially in acid soils, is well known. This treatment is especially important in Poland, as 50 percent of the ponds are located on highly acid soils.
The actual knowledge of the influence of pond soils on the productivity of ponds is based upon the results of wide but single investigations, or of laboratory research. The former determine, according to Stangenberg (1943), the potential fertility, the latter explain some chemical processes, but neither embrace the biochemical processes in pond water and soils during the entire growing season. Pond soils are an integral part of every pond and participate in every metabolic process, and for this reason investigation of the pond environment ought to include the bottom as well as the water and should continue throughout the whole season.
The calcium, phosphorus, nitrogen, iron and other nutrient cycles are dependent, in a direct or indirect way, mainly on the carbon cycle, so the investigation should embrace the accumulation and decomposition of organic matter in the pond bottom, as well as the primary production of phytoplankton and the oxygen consumption in pond water. It is also of great importance to determine the conditions of the decomposition of organic matter in the bottom. The organic matter accumulation should be investigated by determination of organic carbon, its decomposition by determination of biochemical oxygen demand, and the conditions of decomposition by measuring the redox potential. The role played by humus compounds in ponds also remains so far unexplained, although it seems that their absorption capacity is of great significance in the process of exchange between plant organisms and environment (Badura, 1965). Not till these basic processes are explained, can the cycles of particular macro- and micro- elements be investigated. Investigations on pond soils carried out from this standpoint would not only be important in explaining the chemical changes in different elements, but also in characterizing the pond bottom as the habitat of bottom fauna.
Investigations on metabolism in pond soils should be carried out simultaneously with investigations on water in different climatic zones by the same group of scientists, or at least by uniform methods if by different people.
These investigations should be sponsored by FAO or carried out within the International Biological Programme (IBP). The necessity of increasing the output of fish in ponds necessitates these investigations. Fish rearing is the only branch of animal production based so much on natural processes and for that reason it must be founded on an intimate knowledge of the pond environment.
Badura, L., 1965 On the mechanism of the “stimulating” influence of Na-humate upon the process of alcoholic fermentation and multiplication of yeasts. Acta Soc.Bot.Polon., 34(2):287–328 (in Polish, English summary)
Danielewski, S., 1965 Mineralisation of bottom sediments during winter draining of fish ponds. Roczn.Nauk rol.(B), 2:341–59 (in Polish, English summary)
Hepher, B., 1958 On the dynamics of phosphorus added to fishponds in Israel. Limnol. Oceanogr., 3:84–100
Matusiak, K. and W. Rawski, 1956 Investigations on Azotobacter in the experimental fishponds at Golysz and Ochaby. Biul.Zakl.Biol.Stawów, 4:155–7 (in Polish)
Mortimer, C.H., 1941 The exchange of dissolved substances between mud and water in lakes. J.Ecol., 29:280–329
Mortimer, C.H., 1942 The exchange of dissolved substances between mud and water in lakes. J.Ecol., 30:147–201
Pasternak, K., 1958 Influence of the pond soil composition on the chemical properties of water. Biul.Zakl.Biol.Stawów, 7:27–60 (in Polish; German summary)
Pasternak, K., 1959 Soils of the fishponds in the upper basin of the river Vistula. Acta hydrobiol.,Kraków, 1(3–4):221–83 (in Polish; English summary)
Pasternak, K., 1965 Pond soils formed out of silt loam formations. Acta hydrobiol.,Kraków, 7(1):1–26 (in Polish; English summary)
Stangenberg, M., 1942 Die Produktionsbedingungen in den Teichen. 3. Chemische Zusammensetzung des Oberflächenwassers der mit Superphosphat gedüngten und nicht gedüngten Karpfenteiche, während der Zuchtsaison. Arch.Hydrobiol., 32:525–72
Stangenberg, M., 1943 Die Produktionsbedingungen in den Teichen. Die chemische Zusammensetzung der Böden unter den Teichen. Geol.Meere, 6:1–64
Stangenberg, M., 1949 Nitrogen and carbon in the bottom deposits and in the soils under carp ponds. Verh.int.Ver.Limnol., 10:422–7
Starmach, K., 1951 The life of freshwater fish. Warszawa, Państwowe Wydawnictwo Rolnicze i Leśne. 301 p. (in Polish)
Starmach, K., 1956 Ponds as culture habitat. Culture of pond fishes. Warszawa, Państwowe Wydawnictwo Rolnicze i Leśne, 13–79 (in Polish)
Strumieński, O., 1873 On question of damming, measuring and stocking of ponds and also on canals, on leveling and water supply. Books necessary for all farmholders. Printed by Lazarz Andrysowic in Cracov. T. Kucharzewski Ed., published by Academy of Science in 1897 (in Polish)
Vinberg, G.G. and V.P. Liakhnovich, 1965 Fertilization of ponds. Moskva.Izdat.Pishchevaia Promyshlennost, 249 p. (in Russian)
Wiesner, E.R., 1934 Untersuchungen über den Einfluss der winterlichen Trockenlegung der Teiche auf die chemische Beschaffenheit des Teichschlammes. Arch.Hydrobiol. 27
Wróbel, S., 1958 Attempts at explaining chemical transformations in pond dried in winter. Biul.Zakl.Biol.Stawów, 6:97–208 (in Polish; German summary)
Wróbel, S., 1959 Introduction to lysimetric investigations on the bottom of ponds. Acta hydrobiol.,Kraków, 1(2):87–107 (in German; Polish summary)
Wróbel, S., 1960 The interdependence between the bottom and the water in ponds. Acta hydrobiol., Kraków, 2(2):69–124 (in Polish; German summary)
Wróbel, S., 1962 Influence of N- and P- fertilization on chemical composition of water, primary production of phytoplankton, and fish crop in ponds. Acta hydrobiol.,Kraków, 4(2):151–204 (in Polish; German summary)
Wróbel, S., 1965 Causes and consequences of pond eutrophication. Acta hydrobiol., Kraków, 7(1):27–52 (in Polish; English summary)
Wróbel, S., 1965a Chemical composition of the water in ponds in southern Poland. Acta hydrobiol.,Kraków, 7(4):303–16 (in Polish; German summary)