by
S. Y. LIN and T. P. CHEN
Joint Commission on Rural Reconstruction
Taipei, Taiwan
Abstract
The management of eight ponds with an area of 39.6 hectares in a fish farm in Taiwan suffered financial loss for seven consecutive years. A turn from apparently unrecoverable loss to profit was achieved by the use of superphosphate fertilizers in 1965. Heavy stocking of the plankton-feeding silver carp and bighead, in combination with other favourable conditions contributed to the striking results obtained. The experiment showed that although a heavy dose of 180 kg/ha of P2O5 gives a fish yield high enough for profit, the most efficient and economical dose is 40 kg/ha, as fish yield is not proportional to the dosage of P2O5. The experiment also revealed that the higher the productivity of a pond, the less P2O5 fertilization is needed; perhaps 20 kg/ha may be adequate for maintaining a high level of production. Though the use of complete N-P-K fertilizers entails more expense than the use of superphosphate alone, it does not give a much higher yield. The effect of inorganic fertilizers is limited in ponds where productivity due to mineral nutrients has already reached the maximum.
AUGMENTATION DE LA PRODUCTION DANS LES ETANGS DE PISCICULTURE D'EAU DOUCE PAR L'EMPLOI D'ENGRAIS INORGANIQUES
Résumé
Dans une exploitation piscicole de Taïwan, la gestion de huit étangs d'une superficie de 39,6 hectares a été déficitaire pendant sept années consécutives. La situation, qui paraissait irrémédiablement compromise, a été rétablie en 1965 et des profits ont été réalisés grâce à l'emploi de superphosphates. Une densité élevée d'empoissonnement en silver carp et big head carp planctonophages, jointe à d'autres conditions favorables, à contribué aux résultats remarquables que l'on a pu obtenir. L'expérience a prouvé que si une forte dose de P2O5 (180 kg/ha) assure une production de poisson suffisamment élevée pour que l'entreprise soit profitable, la dose la plus efficace et la plus économique est de 40 kg/ha, car le rendement n'est pas proportionnel à la quantité de P2O5 utilisée. L'expérience a également révélé que plus un étang était productif moins il fallait employer de P2O5; il n'est pas exclu qu'une dose de 20 kg/ha puisse suffire pour maintenir un haut niveau de production. Un engrais complet N-P-K est d'un emploi plus coûteux que le superphosphate seul mais le rendement obtenu n'est pas beaucoup plus élevé. Les engrais inorganiques n'ont qu'un effet limité dans les étangs où la productivité due aux éléments minéraux a déjà atteint son maximum.
AUMENTO DE LA PRODUCCION DE LOS ESTANQUES PISCICOLAS DE AGUA DULCE MEDIANTE EL EMPLEO DE ABONOS INORGANICOS
Extracto
La administración de 8 estanques con una superficie de 39,6 hectáreas en una granja piscícola de Taiwán registró pérdidas económicas durante 7 años consecutivos. Mediante el empleo de abonos superfosfatados en 1965, se logró cambiar de una pérdida, al parecer irrecuperable, a la obtención de beneficios. Una abundante repoblación con carpas plateada y de cabeza grande, que se alimentan de plancton, en combinación con otras condiciones favo rables, contribuyeron a los sorprendentes resultados obtenidos. El experimento demostró que, aunque una dosis elevada de 180 Kg/ha de P2O5 da un rendimiento íctico lo suficientemente elevado para obtener beneficios, la dosis más eficaz y económica es de 40 Kg/ha, ya que el rendimiento de pescado no es proporcional con la dosis de P2O5. El experimento reveló también que cuanto más elevada es la productividad de un estanque tanto menos fertilización con P2O5 es necesaria; quizás sean suficientes 20 Kg/ha para mentener un alto nivel de producción. Aunque el empleo de fertilizantes completos N-P-K representa más gastos que el uso de superfosfato solamente, no por ello da un rendimiento mucho más elevado. El efecto de los abonos inorgánicos es limitado en los estanques en los que la productividad ha alcanzado ya su máximo rendimiento debido a los elementos minerales nutrientes.
No commercial use has as yet been made of chemical fertilizers to enrich the fresh-water fish ponds in Taiwan. Therefore, the Chupei Station of the Taiwan Fisheries Research Institute, with technical and financial assistance from the Joint Commission on Rural Reconstruction, undertook some preliminary experiments from 1962 to 1964. In 1965, it carried out experiments and demonstrations in the Chupei Station's own experimental ponds, in three farmers' ponds and in eight of the 120 irrigation reservoir type ponds of the Taoyuan RETSER (Retired Servicemen) Fish Farm with remarkable results, although such experiments could not be considered as conclusive until repeated for another two years (1966–1967). This paper is an account of the results obtained from these experiments and demonstrations.
The 120 ponds under the management of the Taoyuan RETSER Fish Farm with a total water surface of 854 hectares constitute a part of the Taoyuan canal irrigation system, which consists of 241 pond units covering approximately 2,112 hectares. These reservoir type of ponds were built many years ago to serve primarily the purpose of irrigation, and were not used for fish production in the early years. Their depths vary from three to eight metres or more depending on the topography of the land and water supply in different seasons. Pond sizes range from 2 to 28 hectares. The yellowish-brown bottom soil, indicating a deficiency of organic matter and mineral nutrients, has a pH value from 6 to 6.8, as has the water in the large reservoirs in the hills and the rivers which run over the acid soil before reaching the ponds. Unfortunately, no chemical analyses have been made to show the natural supply of mineral elements in these ponds.
The water does not remain stagnant all the year in these ponds. During late spring and summer, when rice is planted, some water is taken for irrigation, but is immediately replaced to more or less the previous level from reservoirs.
These reservoir ponds are good for fish growth, being open to the sunlight and to wind action, as there are no high trees around them. The water temperature in this area is favourable for fish production almost the whole year round, as the average lowest water temperature drops only to 14°C sometimes in January and February, rising to 16°C in March, 20°C in April, 24°C in May, 28°C in June and July, reaching the highest around 30°C in August and September and then dropping gradually to 20°C in December.
The Taoyuan RETSER Fish Farm was established in 1957, but records of stocking, harvesting and application of organic fertilizers were not adequately kept until 1959.
Up to the present, not all of the 120 ponds are stocked with fish, and of those stocked some are drained and harvested only once every two years, as the high cost of feeding and organic manuring limits the number of fish reaching marketable size within one year. When a pond is harvested once every two years, the prolonged culture period makes the cost of management too high for profit.
The high yield of a few ponds without application of inorganic fertilizers is evidently due, for one thing, to heavy application of organic manures (night soil and green manures) and, in addition, the ponds in comparatively low places receive plenty of nutrientrich run-off from watersheds such as airfields, paddy fields, villages and urban grounds. Such conditions vary from pond to pond and their relationship to fish production needs further study. Among the 120 ponds of the Taoyuan Farm, the highest productions through heavy organic manuring alone were 1,164 kg/ha/year in 1963 (pond No.4012) and 1,150 kg/ha/year in 1964 (pond No.2011).
The majority of the 120 ponds are poor in production. Despite heavy use of organic manures, production in some of the ponds still has the tendency to fall. This is natural because they receive little or no additional mineral nutrients from the watershed to replace those lost through fish crop harvest and drainage, and the organic manures added are not sufficient to support a large phytoplankton bloom, so the fish crop naturally becomes low. A parallel is not difficult to find in newly constructed ponds where the fish crop is always high in the first two or three years and then drops to a lower and somewhat persistently low level as a result of mineral nutrient loss through harvest and drainage and, especially, of fixation of phosphorus in the bottom soil.
Pond Nos. 3008 and 2105 may be used as illustrations. They were fertilized only with organic fertilizers for the last seven years (Table I). In pond No. 3008 the fish yield dropped from 3,522 kg in 1958 to 2,499 kg in 1959 and was maintained at about that level for four years. In 1963 the yield declined further to 1,674 kg, though by 1964 the harvest rose slightly to 2,012 kg. The decline of yield in pond No. 2105 followed more or less the same pattern as pond No. 3008, but for 1964 the production climbed up to 8,271 kg as against 5,398 kg in 1963. One reason for this yield increase possibly lay in the increased amount of organic manures applied. Since stocking and survival rate of silver carp in the last three years, 1963–1965 were similar, there might be some other influences which require further investigation.
Table I
Fish production of two ponds of Taoyuan Fish Farm for the period 1958 to 1965
| Pond number and fertilizers used | 1958 | 1959 | 1960 | 1961 | 1962 | 1963 | 1964 | 1965 | |
| 3008 (4 ha) | |||||||||
| Nightsoil (ton) | no record | 204 | 194 | 288 | 286 | 213 | 294 | 229 | |
| Grass (ton) | " | 24 | 14 | 19 | 12 | 29 | 81 | 56 | |
| Total fish yield (kg) | 3,522 | 2,499 | 2,631 | 2,185 | 2,063 | 1,674 | 2,012 | 1,935 | |
| 2105 (8.8 ha) | |||||||||
| Nightsoil (ton) | no record | 754 | 1,065 | 1,972 | 1,648 | 1,791 | 2,370 | 2,695 | |
| Grass (ton) | " | 25 | 6 | 4 | 6 | 3 | 4 | 4 | |
| Total fish yield (kg) | 5,997 | 5,065 | 4,606 | 5,200 | 4,301 | 5,398 | 8,271 | 5,763 | |
The sudden drop of fish yield in pond No. 2105 again from 8,271 kg in 1964 to 5,763 kg in 1965 was rather unusual. This might be the result of a series of complex interactions between several factors such as cut-off of allochthonous nutrients, lower temperature, shortage of water or change of stocking rate, but as all these look improbable, the overdose with nightsoil appears to be one of the main causes responsible for the decline (Table I). The pond was, in effect, highly polluted, and the high biological oxygen demand under such conditions will retard fish growth and in extreme cases may cause drastic fish kill.
The eight ponds selected for use in the present experiments belong to the poor production group, though not the poorest, of the 120 ponds. The average yield of the 76 ponds under cultivation for six years from 1959–1964 before phosphate was applied was 403 kg/ha/year (Table II), while that of these eight ponds for the same period was 349 kg/ha/year (Table III). The operation of the eight ponds resulted in an annual deficit of from NT$134 to NT$1,019 1 per pond as seen from the records of expenses and earnings of each pond for the period 1959 to 1964. It was for this reason that the management, at the suggestion of the Chupei Station of the Taiwan Fisheries Research Institute, agreed to the use of these eight ponds for the experiment and demonstration in the hope that some improvement could be made to help the economy of the farm.
Table II
Annual production of the ponds of Taoyuan Fish Farm without application of inorganic fertilizers
| Year | Total area cultivated (ha) | Total production (kg) | Mean (kg/ha/year) |
| 1959 | 517.44 | 226,184 | 437 |
| 1960 | 437.62 | 191,160 | 436 |
| 1961 | 590.82 | 211,359 | 357 |
| 1962 | 442.76 | 194,766 | 439 |
| 1963 | 532.57 | 192,129 | 360 |
| 1964 | 732.08 | 287,258 | 390 |
| Mean | 403 |
Table III
Six years' (1959–1964) average production of the eight ponds assigned for treatment with superphosphate and that of the nine ponds used as control of the Taoyuan RETSER Fish Farm and average doses of organic fertilizers used before treatment
| Pond No. | Area (ha) | Gross yield (kg/ha/year) | Chicken manure (kg/ha/year) | Nightsoil (ton/ha/year) | Green manure (kg/ha/year) |
| 5002 | 4.4 | 470 | - | 112 | 8179 |
| 5003 | 4.8 | 355 | - | 77 | 4956 |
| 6006 | 4.0 | 379 | 1420 | 23 | 2944 |
| 6009 | 4.0 | 440 | 1418 | 31 | 3469 |
| 7009 | 5.6 | 191 | - | 24 | 2718 |
| 8102 | 4.8 | 292 | - | 64 | 888 |
| 8103 | 4.8 | 364 | 1205 | 39 | 1599 |
| 8104 | 7.2 | 271 | 794 | 24 | 955 |
| Mean | 349 | 49 | 3338 | ||
| Control ponds | 45.0 | 325 | - | 45 | 2939 |
The present experiments were designed bearing in mind results of previous work in various parts of the world. The striking effects of phosphate fertilizers on fresh-water pond fish yields are now well known (Probst, 1950; Mortimer, 1954; Dendy, 1963).
The experiments carried out at Malacca (Hickling, 1962; Malacca, 1963) suggested a roughly linear relationship between P2O5 doses and yield of fish (from 344 kg/ha/year at 9 kg/ha P2O5 dose to 890kg/ha/year at 36 kg P2O5 dose). If such linear relationship persists, it would be more profitable commercially to use the maximum quantity of phosphate to obtain the highest possible fish production, because fertilizer is much cheaper than fish. However, experiments in Japan (Oguyama et al., 1962; Tominaga et al., 1964) hinted that overdoses of fertilizers are not profitable, although there is a residual effect from year to year.
At Malacca treatments with potash, nitrogen compounds and organic fertilizer (cow dung) gave disappointing results, heavy doses of K2O and N in the form of urea even depressing the yield (Malacca, 1963). In U.S.A., however, Swingle and Smith (1939) found that application of CaH4 (PO4)2 - NaNO3 - KCl - CaCO3 gave higher yields than superphosphate alone.
Previous experiments in Taiwan (Liu and Wu, 1964) involved too many kinds of organic and inorganic fertilizers to show which nutrients were responsible for stimulating fish growth.
Superphosphate is the cheapest fertilizer available in Taiwan and as its value has already been shown elsewhere, it was decided to use superphosphate in some of the experimental and demonstration ponds.
As it was impossible to use superphosphate alone, because the reservoir type ponds were operated as a commercial enterprise and the farmers were afraid of losing money by interrupting their traditional practice, it was decided to continue exactly what had been done before, including stocking rate, manuring, harvesting, etc., except that absolutely no supplemental feeding was done.
As the dosage of phosphate showed a linear relationship with fish yield, to a certain limit in previous experiments, it was planned to determine the maximum limit for which phosphate could be used with profit. It is well known that overdose is a waste and underdose will not give adequate production. As the results of former experiments at Ueda (Oguyama et al., 1962; Tominago et al., 1964) and at Chupei Station (Liu and Wu, 1964) showed, the application of P2O5 at a rate of 280 kg/ha did not promote fish yield to any marked degree than with P2O5 at 150 kg/ha or even less. In consideration of these data and from personal observations during experiments conducted by the senior writer in previous years (Lin, 1962), it was postulated that a dose of P2O5 at 200 kg/ha should be the maximum, for any dose above this limit would simply be a sheer waste and give no additional increase in fish crop. A dose of 180 kg/ha might still be a dose to be employed with profit because, as mentioned before, superphosphate costs only about one-tenth of marketable value of fish.
With the above points as criteria, the experiments were designed in three parts as follows:
| Pond No. | Area (ha) | Nutrient P2O5 (kg/ha) | Equivalent commercial superphosphate (kg/ha) | Total quantity (kg) |
| 5002 | 4.4 | 120 | 666.6 | 2,933 |
| 5003 | 4.8 | 180 + 1,042 CaCO3 | 1,000.0 + 5,000 CaCO3 | 4,800 |
| 6006 | 4.0 | 80 + 1,250 CaCO3 | 444.4 + 5,000 CaCO3 | 1,778 |
| 6009 | 4.0 | 40 | 222.2 | 889 |
| 7009 | 5.6 | 120 | 666.6 | 3,733 |
| 8102 | 4.8 | 180 | 1,000.0 | 4,800 |
| 8103 | 4.8 | 80 | 444.4 | 2,133 |
| 8104 | 7.2 | 40 | 222.2 | 1,600 |
| Total | 39.6 | 22,666 |
Nine ponds nearby with a total area of 45 hectares were used as control.
| Name of pond | Area (ha) | Nutrients (kg/ha) | Commercial products (kg/ha) | Total quantity (kg) | |
| Fu Kang | 2.0 | N | 20 | 500 | 200.0 (NH4)2SO4 |
| P2O5 | 40 | 444.4 Ca(H2PO4)2 | |||
| K2O | 20 | 72.7 KCl | |||
| Ta Chu Wei | 4.0 | N | 40 | 1,000 | 800.0 (NH4)2SO4 |
| P2O5 | 80 | 1,777.6 CaH4(PO4)2 | |||
| K2O | 40 | 290.8 KCl | |||
| Te Sheng Chun | 2.5 | N | 80 | 2,000 | 1,000.0 (NH4)2SO4 |
| P2O5 | 160 | 2,222.2 CaH4(PO4)2 | |||
| K2O | 80 | 363.5 KCl | |||
| Total | 8.5 | 2,000.0 (NH4)2SO4 | |||
| 4,444.2 CaH4(PO4)2 | |||||
| 727.0 KCl | |||||
| Pond No. | Area (ha) | Nutrients (kg/ha) | Equivalent commercial fertilizer (kg/ha) | Total quantity (kg) | ||
| N | P2O5 | K2O | ||||
| 1 | 0.061 | 40 | 80 | 40 | 1,000 | 61 |
| 2 | 0.064 | 20 | 40 | 20 | 500 | 32 |
| 3 | 0.048 | 0 | 80 | 0 | 444 | 21 |
| 4 | 0.048 | 0 | 40 | 0 | 222 | 11 |
| 5 | 0.037 | 0 | 0 | 0 | control | |
| Total | 0.258 | 125 | ||||
The 17 RETSER Farm ponds were stocked with the major species for polyculture following the old Chinese traditional practice as follows:
| Species | Length (mm) | Wt (g) | Number per ha |
| Silver carp (Hypophthalmichthys molitrix) | 100 | 600 | |
| Bighead (Aristichthys nobilis) | 120 | 70 | 50 |
| Mullet (Mugil cephalus) | 30 | 600 | |
| Grass carp (Ctenophyaryngodon idella) | 120 | 30 | |
| Common carp (Cyprinus carpio) | 30 | 500 | |
| Perch (Lateolabrax japonicus) | 10 | 160 | |
| Others (mud carp, catfish, goldfish, etc.) | 1,000 | ||
| Total | 2,940 |
Specified quantities of fertilizers for each experimental pond were applied in different proportions in different months according to temperature variations as follows:
| Period | Month | Temperature (°C) | Proportion of fertilizers (%) |
| 1 | April and May | 16 – 20 | 19 |
| 2 | June to September | 20 – 28 | 72 |
| 3 | October | 16 – 18 | 9 |
| 4 | November to December | 12 – 14 | 0 |
| Total | 100 |
The amount of fertilizers for each period was equally divided for daily application or, alternatively, for weekly or once every five days in whatever manner was convenient to the operator; but the important thing was that the fertilizer was first completely dissolved in a container and then spread as evenly and over as large a surface of the pond as possible and in a different area each time.
The results of this part of the experiment are shown in Table IV. When they are compared with Table III and the controls, an average increase of 383 and 476 kg/ha/year respectively of fish yield due to the treatment of superphosphate is evident; the effectiveness of superphosphate for fish production seems to be independent of the quantity of nightsoil and green manures supplied.
There exists no linear relationship between doses of phosphate and fish yield as found in Malacca. Neither does the quantity of any organic manure show well-defined relationships with the fish crop. With a heavy dose of P2O5 at the rate of 180 kg/ha, the limiting effect appears to be better than with the lighter dose of P2O5. In the case of P2O5 180 kg/ha, a yield of 863 kg/ha with liming was obtained as against 630 kg/ha without liming, but in the case of P2O5 80 kg/ha, the addition of CaCO3 stimulated a fish increase of only 52 kg/ha (774 against 722 kg/ha).
Table IV
First year fish production of the eight ponds of the Taoyuan RETSER Farm treated with superphosphate and the average fish production of the nine control ponds in 1965
| Pond No. | Area (ha) | Gross yield (kg/ha/year) | P2O5 (kg/ha/year) | Nightsoil (ton/ha/year) | Green manure (kg/ha/year) |
| 5002 | 4.4 | 835 | 120 | 73 | 3635 |
| 5003 | 4.8 | 863 | 180 + CaCO3 1042 kg | 91 | 2490 |
| 6006 | 4.0 | 774 | 80 + CaCO3 1250 kg | 22 | 1826 |
| 6009 | 4.0 | 844 | 40 | 28 | 1635 |
| 7009 | 5.6 | 556 | 120 | 13 | 1452 |
| 8102 | 4.8 | 630 | 180 | 56 | 606 |
| 8103 | 4.8 | 722 | 80 | 41 | 3669 |
| 8104 | 7.2 | 637 | 40 | 36 | 1090 |
| Mean | 732 | 45 | 2050 | ||
| 9 control ponds | 45.0 | 256 | 0 | 35 | 1988 |
As no definite relationship seems to exist between doses of P2O5 and fish crops, a mean yield of the eight ponds may be useful in facilitating comparison for instance between yield before and after treatment. On this basis data are obtained as shown in Table V and Figs. 1 and 2.
Table V
Comparison between the six years (1959–1964) mean weight in kg of each major species in the eight ponds of Taoyuan RETSER Fish Farm before treatment and in the first year after superphosphate treatment
| Species | 5-years' mean production and mean weight of each species of the 8 ponds before treatment | First year means after treatment | ||||
| kg/ha/year | Mean weight of each species (kg) | kg/ha/year | Mean weight of each species (kg) | |||
| Silver carp | 181 | 47.0% | 0.64 | 381 | 53.0% | 1.52 |
| Bighead | 58 | 15.0% | 2.16 | 155 | 21.6% | 3.18 |
| Common carp | 18 | 4.6% | 0.35 | 17 | 2.4% | 0.16 |
| Mullet | 28 | 7.3% | 0.39 | 55 | 7.7% | 0.35 |
| Grass carp | 26 | 6.7% | 1.20 | 26 | 3.6% | 0.80 |
| Perch | 17 | 4.4% | 0.44 | 25 | 3.5% | 0.65 |
| Others | 58 | 15.0% | 58 | 8.2% | ||
| Total | 386 | 100.0% | 717 | 100.0% | ||

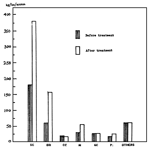
Fig. 1 Comparison of six years' (1959–1964) mean production in kg/ha/ year of each major species in the eight ponds of Taoyuan RETSER Farm before treatment, with that of the first year's mean after superphosphate treatment. BH, bighead; CC, common carp; GC, grass carp; M, mullet; PE, perch; SC, silver carp.

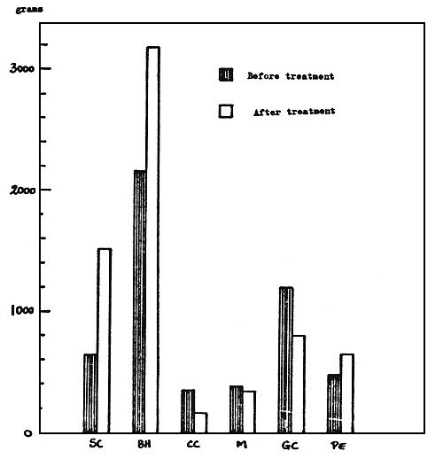
Fig. 2 Comparison of six years' (1959–1964) mean weight of each major species in the eight ponds of Taoyuan RETSER Farm before treatment with that of the first year's treatment with superphosphate. BH, bighead; CC, common carp, GC, grass carp; M, mullet; PE, perch; SC, silver carp.
These data show that the principal effect of P2O5 is on the growth of fish which feed on phyto- and zoo-plankton, (i.e. silver carp and bighead respectively). The total increase of yield of these two species was the result of individual gain in weight, as the silver carp increased almost three times after P2O5 treatment and the bighead increased about one-third or more.
This is evidently due to the fact that silver carp possesses the shortest trophic chain directly from phytoplankton to fish, and superphosphate is an efficient stimulant for phytoplankton growth, particularly those easily digestible diatoms upon which the silver carp feed (Prowse, 1961; 1963). The abundance of phytoplankton also supports a large population of zooplankton which in turn is food for the bighead.
As shown in Table V, the common carp was not benefited by P2O5. Neither did the grass carp increase in weight after treatment. The reason for this is not clear and requires further study.
The fact that the net increase of fish crop in 1965 has turned each of the eight ponds from an average annual loss of NT$203 - NT$1,344 in the past six years when no inorganic fertilizers were used to a profit of NT$2,427 to NT$5,963 for 1965 after treatment with superphosphate, gives the management of the Taoyuan Farm confidence in using phosphate next year in all its ponds.
The results of this part of the experiment also indicate that the lowest dose of 40 kg/ha of P2O5 gives a net fish yield of 288 to 395 kg/ha/year which is better than that from 120 kg/ha of P2O5, though inferior to those of 80 and 180 kg/ha of P2O5 which range from 207–386, 373–425 and 281–514 kg/ha respectively. These figures are obtained by subtracting from the gross fish yield of each pond fertilized the six-year average of the eight ponds unfertilized. (For example, in pond 6009, P2O5 40 kg/ha, the net yield kg/ha is equal to 844 - 349 = 395 kg/ha). If from the gross fish yield of each fertilized pond is subtracted the average control yield, the net increase due to superphosphate will be even higher.
Assuming the dosage of 40 kg/ha to be adequate, we can calculate that one kg of P2O5 is capable of producing nearly 10 kg of marketable fish. As one kg of P2O5 costs about NT$10 and 10 kg of fish would be worth NT$150, it is beyond doubt that superphosphate is the most economical fertilizer yet tested for fish production.
The results of this part of the experiment (Table VI) are in general agreement with those of the first part. They show no particular value of nitrogen and potash as nutrients in these reservoir ponds, although the yields in these three ponds are slightly higher. Because the private farmers do not keep good records and their supervision is not as adequate as in the Taoyuan RETSER Fish Farm, no direct comparison can be made. However, the effectiveness of the complete fertilizers is conspicuous.
Table VI
Results of experiments in the three farm ponds receiving N-P-K treatments
| Name of pond | Area (ha) | 5-year average production before treatment (kg/ha/year) | Fertilizers N-P-K (kg/ha) | First year yield after treatment (kg/ha/year) | Net increase (kg/ha/year) | Increase % over unfertilized |
| Fukang Ta Chun | 2.0 | 600 | 20-40-20 | 1260 | 660 | 110 |
| Wei Te Sheng | 4.0 | 165 | 40-80-40 | 824 | 659 | 399 |
| Chun | 2.5 | 186 | 80-160-80 | 916 | 730 | 392 |
This part of the experiment was intended for comparison with the reservoir pond experiments. The results are similar to those of the first and second parts, but these results give a general indication that the use of phosphate alone in fish ponds is just as good as complete fertilizers (N-P-K). In the absence of organic fertilizers, phosphates appear to be equally effective as shown in the Chupei ponds (Table VII) though the Chupei ponds might have had residual effects from various fertilizers employed in experiments of previous years. The high productivity of the control pond No. 5 supports this postulation.
Table VII
Results of experiments in Chupei Station
| Pond No. | Area (ha) | Fertilizers N-P-K (kg/ha) | Yield (kg/ha/year) |
| 1 | 0.061 | 40 - 80 - 40 | 882 |
| 2 | 0.064 | 20 - 40 - 20 | 727 |
| 3 | 0.048 | 0 - 80 - 0 | 739 |
| 4 | 0.048 | 0 - 40 - 0 | 718 |
| 5 | 0.037 | 0 - 0 - 0 | 713 |
As the experiments were planned to continue for two or three more years, it is rather early to draw any definite conclusions from the observations made in this first year's experiments. However, there are a few points of significance which can serve as a useful guide for planning further experiments.
6.1 The present experiments show that superphosphate alone is most efficient for fresh-water pond fertilization in Taiwan, for one kg of P2O5 can produce 10 kg of marketable fish equivalent to the expense of one dollar in fertilizer to earn 15 dollars in fish1. In comparison, organic fertilizers are much more expensive and inefficient. At the rate as used by the Taoyuan Farm, 140 kg of nightsoil are required to produce one kg of marketable fish. If the nightsoil is valued at NT$0.10 per kg - sometimes NT$0.20/kg dependent on distance of transportation, the cost of production in fertilizers alone amounts to NT$14 per kg, thus leaving a very small margin of profit.
6.2 The heavy stocking with silver carp, which on account of its phytoplanktophagic habit has the shortest food chain, means that phosphate is most efficiently utilized for the benfit of the fish. The silver carp is a big and fast growing fish attaining one to two kg in a year. This, together with the long period of favourable temperature in subtropical Taiwan, provides the silver carp with optimum conditions for grazing on the planktonic “pasture”, which grows rapidly and for long duration as long as phosphate is supplied in sufficient quantity.
6.3 The technique in which the superphosphate is first completely dissolved in a bucket before spreading over the water surface and applications are made daily or at least six times a month, and in quantity adjusted for the rise and fall in temperature, appears to be helpful for full utilization of the fertilizer. Applied in this manner, the loss of phosphorus due to the formation of insoluble phosphates with iron and aliminium is reduced to a minimum, for there are reasons to believe that a large portion of the dissolved superphosphate is assimilated before sinking to the bottom to become fixed as insoluble salts.
6.4 Polyculture is a system which contributes efficiently to the high yield of ponds, and in this connection the part played by the grass carp with respect to the trophic chain in ponds deserves a short discussion. The grass carp is a voracious vegetable feeder; it devours aquatic grass up to 72 percent or land grass to 48 percent of its own weight per day. As it cannot digest all the food taken in, at least about half or more is discharged as faeces, which are good fertilizers for planktonic growth. Since the silver carp and bighead are principally plankton feeders they benefit from the presence of the grass carp. Therefore, it is the traditional Chinese polyculture practice to feed only the grass carp with plenty of green grass or silkworm waste (faeces of silkworm consisting of undigested and residual mulberry leaves) and to leave the silver carp and bighead to feed partly on the digestible detritus from the faeces of the grass carp and partly on the plankton that has developed thereby. In such cases, no inorganic fertilizers were applied to the ponds and the water was somewhat clear to permit the growth of some aquatic plants for the grass carp to feed. However, in the experimental ponds in Taoyuan a different situation arises as a result of inorganic fertilizer application. Light is completely cut off from the bottom of the ponds by the plankton bloom and no rooted aquatic plants can grow for the grass carp to feed on, resulting in decrease of grass carp production, but, of course, in this instance the tremendous production of silver carp more than compensates for the loss in grass carp, and thus a higher total yield is obtained by addition of the grass carp to other species in polyculture.
6.5 Another species which benefited by phosphate fertilizer was the bighead, whose net weight increase due to fertilizing the ponds amounted to 167 percent (Table V).
6.6 There is no linear relationship between the dosage of P2O5 and fish yield as shown by the results of this first year's experiment, but the percentage of fish yield with fertilizer is much higher in low natural production ponds than in higher ones. For example, pond No. 7009 produced 191 kg/ha/year prior to and 556 kg/ha/year after treatment, a 191 percent increase over pre-fertilization yield, but pond No. 5002 with a production of 470 kg/ha/year yielded 835 kg/ha/year by fertilization, an increase of only 77 percent. Again the Fukang pond with the highest prefertilization production of 600 kg/ha/year among the three farm ponds, produced only 110 percent more by fertilization, while the Ta Chu Wei pond with production of 165 kg/ha/year produced 399 percent more when fertilized.
These results suggest the following criteria for use in future tests of phosphate fertilizers when silver carp and bighead constitute the principal fishes in polyculture:
| Pre-fertilization production (kg/ha/year) | P2O5 needed (kg/ha) | |
| < 200 | 80 | |
| 400 | 60 | |
| 600 | 40 | |
| 800 < | 20 |
6.7 The present experiment does not show decisively the effect of CaCO3 on fish yield, but liming may be beneficial for slightly acid ponds in combination with high dosage of P2O5. Further data are needed to elucidate this.
6.8 The partial renewal of water by irrigation is favourable for fish growth, because this helps to aerate the richly fertilized ponds. As is well known, any well-fertilized stagnant pond exhibits plankton blooms and changes in standing crop, and the resulting biological oxygen demand may reach so high a point that not only is fish growth retarded, but also drastic fish kills may occur. To relieve such a critical situation, the most convenient and practical measure is to renew the water partially whenever needed, or regularly at intervals, to increase the oxygen supply. This is exactly what has happened in the reservoir ponds of Taoyuan Fish Farm.
The writers wish to thank Messrs. C. K. Liu and S. F. Wu of Chupei Station who supervised the experimental and demonstration work, and Messrs. W. H. Tsiung, Manager, and C. F. Mao, in charge of the Technical Section of the Taoyuan Fish Farm, for providing excellent records of each pond studied at the farm.
Dendy, J.S., 1963 Farm ponds. In Limnology in North America, ed. by D.G. Frey, pp.595–620 Madison. University of Wisconsin Press
Hepher, B., 1958 On the dynamics of phosphorus added to fish ponds in Israel. Limnol. Oceanogr., 3(1):84–100
Hepher, B., 1962 Primary production in fish ponds and its application to fertilization experiments. Limnol.Oceanogr., 7(2):131–6
Hickling, C.F., 1962 Fish culture. London, Faber and Faber, 295 p.
Lin, S.Y., 1962 Experiment on the effect of inorganic fertilizers on carp growth in ponds. 8 p. (Ms.)
Liu, C.K. and S.F. Wu, 1964 Experiments on fresh-water pond fertilization. Bull.Taiwan Fish.Res.Inst., (9):83–94 (in Chinese)
Malacca, 1960 Tropical Fish Culture Research Institute, Rep.trop.Fish Cult.Res.Inst.Malacca, 1959–60:28 p.
Malacca, 1961 Rep.trop.Fish Cult.Res.Inst.Malacca, 1960–1961:31 p.
Malacca, Tropical Fish Culture Research Institute, 1962 Rep.trop.Fish Cult.Res.Inst.Malacca, 1961–1962:28 p.
Malacca, 1963 Rep.trop.Fish Cult.Res.Inst.Malacca, 1963:41 p.
Mortimer, C.H., 1954 Fertilizers in fish ponds. Fish.Publ.,Lond., (5):155 p.
Oguyama, T. et al., 1962 A study on the improvement of pond productivity by fertilization. Rep.Freshw.Res.Inst.Ueda Stn., 1961:29 p. (in Japanese)
Probst, E., 1950 Teichdüngung. Allg.Fisch.Ztg, 75(8/9)
Prowse, G.A., 1961 The use of fertilizers in fish culture. Proc.Indo-Pacif.Fish.Coun., 9(2):73–5
Prowse, G.A., 1963 Neglected aspects of fish culture. Curr.Aff.Bull.Indo-Pacif.Fish.Coun., (36):8 p.
Schäperclaus, W., 1961 Lehrbuch der Teichwirtsehaft. Berlin, P. Parey, 582 p.
Swingle, H.S., 1947 Experiments on pond fertilization. Bull.Ala.agric.Exp.Stn., (264)
Swingle, H.S. and E.V. Smith, 1939 Fertilizers for increasing the natural food for fish in ponds. Trans.Amer.Fish.Soc., 68:126–35
Tang, Y.A. and T.P. Chen, 1957 The use of chemical fertilizers in the milkfish ponds of Taiwan. Fish.Ser.jt.Comm.rur.Reconstr.China, (3):19 p.
Tchang, W.H., 1962 The past and future of the Taoyuan RETSER fish farm. Chin.Fish.Non., (117):11:2 (in Chinese)
Tominaga, M., et al., 1964 A study on the improvement of pond productivity by fertilizers. Rep.Freshw.Res.Inst.Ueda Stn., 1963:19 p. (in Japanese)