Previous Page Table of Contents Next Page


II/R-3
APPRAISAL OF NORTH AMERICAN FISH CULTURE FERTILIZATION STUDIES

by

BURWELL C. GOOCH1
Auburn University
Auburn, Alabama, U.S.A.

Abstract

North American contributions to the aquatic fertilization literature are reviewed briefly. Although the results of these contributions make it relatively safe to predict that fertilization, either with inorganics or organics, will lead to an increase in aquatic productivity of one kind or another, little progress has been made beyond this primitive predictive stage. In particular, only three attempts have been made to monitor the fertilizer substances after they were added to the pond, and then to correlate fish production with the levels of the substances monitored. The inconsistent results obtained in these three studies, and the meagre knowledge now extant about fertilizer dynamics in aquatic systems indicate that a major revision is needed in the approach to pond fertilization problems. Two fundamental aspects of any valid approach are discussed.

REVUE CRITIQUE DES ETUDES SUR LA FERTILISATION DES ETANGS DE PISCICULTURE EN AMERIQUE DU NORD

Résumé

Il s'agit d'un tour d'horizon rapide des travaux en Amérique du Nord sur la fertilisation des eaux. Les résultats de ces travaux indiquent que l'on peut prévoir, à peu près à coup sûr, que l'épandage d'engrais, soit inorganiques, soit organiques, entrainera une augmentation de la productivité aquatique en général, toutefois, pour le moment, on ne peut guère aller au-delà de ces prévisions, somme toute assez rudimentaires. En particulier, trois essais seulement ont été faits pour étudier ce que deviennent les éléments fertilisants après qu'ils ont été déversés dans l'étang et ensuite pour établir une corrélation entre la production poisson et le niveau des substances étudiées.

Les résultats contradictoires auxquels ont abouti ces trois études demeurent pour le moment et le peu de connaissances dont on dispose actuellement au sujet de la dynamique des engrais dans les systèmes aquatiques indique la nécessité d'une révision complète des méthodes employées pour étudier les problèmes de fertilisation des étangs. Deux aspects fondamentaux de toute approche valable sont examinés ici.

EVALUACION DE LOS ESTUDIOS SOBRE FERTILIZACION EN PISCICULTURA HECHOS EN NORTEAMERICA

Extracto

Se pasa revista sumariamente a los trabajos norteamericanos referentes a la fertilización de las aguas. Aunque los resultados de tales comunicaciones técnicas hacen relativamente fácil predecir que la fertilización, ya sea con sustancias inorgánicas u orgánicas, determinará un incremento de la productividad acuática de una especie u otra, pocos adelantos se han realizado que superen esta fase de primitiva predicción. En particular, sólo se han realizado tres intentos de efectuar observaciones de las sustancias fertilizantes después de adicionadas éstas al estanques, y de correlacionar la producción íctica con los niveles de las sustancias observadas. La falta de coherencia entre los resultados obtenidos en estos tres estudios y los escasos conocimientos actuales acerca de la dinámica de los fertilizantes en los sistemas acuáticos indica que es necesaria una revisión fundamental de la forma de abordar los problemas de la fertilización de los estanques. Se examinan dos aspectos fundamentales de cualquiera de estas formas válidas.

1 Present address: Department of Zoology, University of California, Davis, California, U.S.A.

1 INTRODUCTION

The history of published scientific attempts in North America to increase aquatic productivity by addition of fertilizers covers a mere 37-year period (1929-present). Although some of the early workers in this area tended to ignore aquatic productivity outside that of fish, most fishery biologists soon realized the necessity of assessing the effects of fertilization on fish food. However, to date the assessments of these effects, both on fish and on fish food, have been singularly unsuccessful in establishing fundamental principles upon which to base predictions. One reason for this is that no one has yet mounted an aggressive and sustained study to elucidate the role played by artificial fertilization in aquatic (vertebrate or invertebrate) productivity. As a result, we are essentially no closer now to predicting results of fertilizer practices than we were 37 years ago.

In view of this, in addition to a review of the aquatic fertilization work in North America, this paper includes some thoughts about the future of fertilization experiments.

2 SUMMARY OF FERTILIZATION STUDIES

Wiebe (1929, 1930) apparently pioneered the scientific study of aquatic fertilization in North America. He experimented with both organic and inorganic fertilizers and tried to measure their effects in terms of plankton production. He found that in general fertilization enhanced plankton productivity. Shortly thereafter, Meehean (1933) and Hogan (1933) published results of experiments in which both organic and inorganic fertilizers were used. In both experiments increases in production of fish were obtained. The following year Meehean (1934) discussed theoretical aspects of fertilizer-induced productivity at various trophic levels in ponds, but no experimental data were presented. Again, Meehean (1935) considered the role of bacteria in fertilized ponds. An awareness of the importance of nutrients in the pond soil is indicated by his discussion of carbon: nitrogen ratios in fertilized and unfertilized pond bottoms. Three years later Juday and Schloemer (1938) reported on the addition of several combinations of inorganic and organic fertilizers to a small natural lake. They found that both plankton abundance and fish growth rate were increased after addition of fertilizers. Swingle and Smith (1939a, b) conducted experiments to determine the combination of inorganic nitrogen, phosphorus, potassium, and lime that would most efficiently increase plankton and fish production. In both papers success in increasing plankton and fish production was reported. Smith and Swingle (1940) studied the effects of both organic and inorganic fertilizers on plankton and fish production and found an increase in both plankton and fish. Smith and Swingle (1943) again reported increases in fish production by using various organic fertilizers, both without and with superphosphate. Meanwhile, Howell (1942) found that fertilization led to increases in plankton abundance, bottom organism abundance and fish production. Surber (1945) described the effects of various amounts and combinations of organic and inorganic fertilizers on weed and algal growth in hatching ponds. Smith and Moyle (1945) applied both organic and inorganic fertilizers to hatchery ponds and found that fertilization resulted in an increase in plankton production.

Swingle (1947) summarized earlier published fertilization data, and also discussed at some length problems and progress made in fertilization studies. Data on fish production under various regimes of fertilization were included. Smith (1948) fertilized a natural lake with inorganic N-P-K and obtained an increase in plankton production. Patriarche and Ball (1949) gathered a considerable amount of experimental data from both fertilized (inorganic N-P-K) and unfertilized ponds to show that fertilization increased the abundance of bottom organisms. Ball (1949) experimented with a combination of both organic and inorganic (N-P-K) fertilizers in hatchery ponds. Increased production of plankton, bottom organisms, and fish was obtained. Langford (1950) found that inorganic N-P-K fertilization resulted in increased abundance of plankton. Ball (1950) reported on the limnological effects of fertilizing two natural lakes with N-P-K fertilizers. Ball and Tanner (1951) discussed the effects of inorganic N-P-K fertilizers on plankton, filamentous algae, higher aquatic plants, bottom invertebrates and fish in a natural lake. They found that both plankton and fish production increased as a result of fertilization. Ball and Tait (1952) indicated that application of inorganic N-P-K fertilizers to fish ponds resulted in an increase in fish production, although the increase was not economical. Zeller (1953) found that application of inorganic N-P-K fertilizers to fish ponds resulted in an increase in plankton production. Tanner (1960) studied the chemical and physical effects of adding inorganic N-P-K fertilizers to natural lakes. McIntire and Bond (1962) found that addition of nitrogen and phosphorus to shallow ponds led to increases in plankton abundance and bottom fauna abundance.

3 CORRELATION OF FISH PRODUCTION WITH FERTILIZER SUBSTANCES IN POND WATER AND SOIL

It is of interest now to classify the experiments summarized above according to whether or not any attempt was made to find out what happened to the fertilizer elements added to the water. Although it seems that this should be an obvious and essential part of the experimental procedure, surprisingly few authors reported any such attempts. Those that did were Wiebe (1930), Meehean (1935), Juday and Schloemer (1938), Swingle and Smith (1939b), Smith and Moyle (1945), Smith (1948), Zeller (1953) and McIntire and Bond (1962). However, in all cases these attempts were limited to the indirect and rather unsatisfactory technique of analyzing water and/or soil samples for various ions that might possibly contain the fertilizer substances added; the expectation being that if, for example, NaNO3 were added to the water, subsequent measurements of water or soil nitrogen would reflect this addition. Moreover, in all of these papers the significance of the water and soil analysis results was apparently based on the assumption (explicit or implicit) that as fertilizers are added to the water, the level of nutrient elements in the water increases leading to increases in plankton, bottom organisms and finally vertebrate life. Unfortunately, biological systems do not ordinarily operate in such a straightforward manner. Thus, the fact that the addition of fertilizer to a pond is followed by an increase in the levels of various chemical nutrients in the pond, does not necessarily imply a like increase in plant and animal production (as will be shown subsequently). To attempt to show that a correlation exists between fertilizer elements, as measured in the water and soil, and plant or animal production is the logical next step. Yet apparently only five papers have been published that discuss this aspect of fertilizer experiments at all, and three of these ignore entirely fish production.

The first paper that reported an attempt not only to monitor fertilizer elements after they had been added to the pond, but also to show a relation between these water and soil analyses and the subsequent fish production, was by Meehean and Marzulli (1945). The aspects of their study which are of importance here are as follows:

  1. The duration of the experiment was 86 ± 3 days (dates not provided)

  2. Sixteen 0.18 ha ponds were fertilized in the following manner: cottonseed meal1 (two ponds), cottonseed meal plus colloidal phosphate2 (three ponds), cottonseed meal plus lime (three ponds), cottonseed meal plus colloidal phosphate plus lime (three ponds), and one pond each with hay, hay plus lime, hay plus nitrate, hay plus colloidal phosphate, and hay plus nitrate plus colloidal phosphate.

  3. Fertilization was at the rate of 55 kg/ha cottonseed meal, 40 kg/ha colloidal phosphate, 92 kg/ha lime, and 83 kg/ha sodium nitrate, each applied weekly for 10 weeks, and beginning three weeks before fish were stocked. Hay was added in excess (amount not specified) at the beginning of the experiment.

  4. Pond waters were analyzed weekly for organic nitrogen, nitrate nitrogen, and ammonia nitrogen. Pond soils were analyzed just before draining the ponds for total carbon and total nitrogen.

  5. Production of fish (Micropterus salmoides) was determined by draining the ponds.

1 Contained 5.76 percent nitrogen
2 Contained 24 percent P2O5, in addition to a number of other filler components

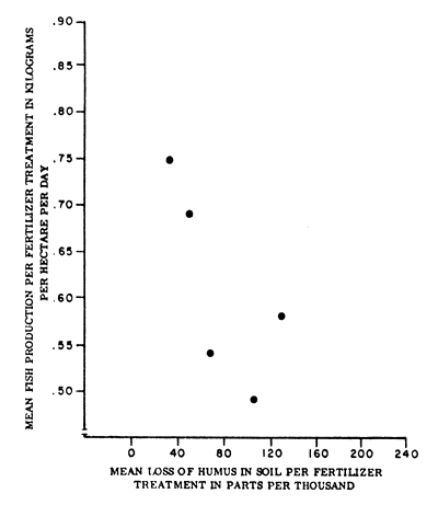
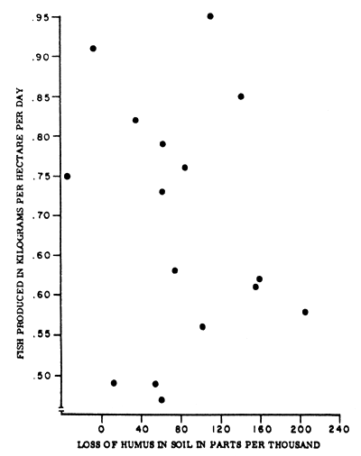
Without presenting any supporting graphical or statistical analyses, Meehean and Marzulli contend that their results show (1) a negative relation between fish production and amount of soil humus1 loss (during the experimental period), and (2) a negative relation between fish production and level of organic nitrogen in water. However, their notions are based on means of fertilizer treatments, and although graphs (Figs. 1 and 2) of their data support their views, additional graphs (Figs. 3 and 4) of the individual pond data indicate quite clearly that any such simple relations just do not obtain on an individual pond basis, in particular, in replicate ponds within a treatment. Three more graphs (Figs. 5, 6 and 7) depicting the relations between fish production and various nitrogen entities add further to the impression that no meaningful relations exist between fish production and nitrogen or humus content of a pond. However, one of the major weaknesses of at least the water nitrogen data, is the considerably narrow range of values encountered. In the two studies discussed subsequently, it will be seen that wider ranges of nitrogen lead to more clear-cut, if not consistent, relations.

The second published account of an attempt to correlate fish production with measurements of fertilizer nutrients in the water was by Surber (1947). The essentials of his experimental program were:

  1. The experimental period lasted an average of 105 days (April to August).

  2. Twenty-four ponds, ranging in size from 0.09 to 0.17 ha, were fertilized with varying amounts and ratios of inorganic N-P-K mixtures, and with mixtures of organics plus superphosphate.

  3. Rates of application of the N-P-K fertilizers varied from 92 to 118 kg/ha per application, and from seven to 14 times during the season. Application rates of organic-superphosphate mixtures varied from 34 to 296 kg/ha per application, and from seven to 15 times during the season.

  4. Pond waters were analyzed every 10 days (just before fertilizers were applied) for organic, ammonia, and nitrate nitrogen.

  5. Production of fish (Micropterus dolomieu) was determined by draining the ponds.

Surber interprets his results as follows:

  1. Fish production was positively correlated with organic nitrogen level.

  2. No relation existed between fish production and ammonia nitrogen.

  3. The relation between fish production and nitrate nitrogen possibly was negative.

1 Humus was calculated as the average of 20× (total nitrogen in soil) and 1.7× (carbon in soil)

Fig. 1Fig. 2
Fig. 1 Relation between mean fish production and mean quantity of soil humus lost during the experimental period on a fertilizer treatment basis. (Data from corrected values in Table I, Meehean and Marzulli, 1945)
Fig. 2 Relation between mean fish production and mean quantity of organic nitrogen in pond water on a fertilizer treatment basis. (Data from Meehean and Marzulli, 1945)
Fig. 3Fig. 4
Fig. 3 Relation between fish production and quantity of soil humus lost during the experimental period. (Data from corrected values in Table II, Meehean and Marzulli, 1945)
Fig. 4 Relation between fish production and mean seasonal quantity of organic nitrogen in pond water. (Data from Meehean and Marzulli, 1945)
Fig. 5Fig. 6
Fig. 5 Relation between fish production and mean seasonal quantity of ammonia nitrogen in pond water. (Data from Meehean and Marzulli, 1945)
Fig. 6 Relation between fish production and mean seasonal quantity of nitrate nitrogen in water. (Data from Meehean and Marzulli, 1945)
Fig. 7Fig. 8
Fig. 7 Relation between fish production and quantity of total nitrogen in pond soil one week before draining. (Data from Meehean and Marzulli, 1945)
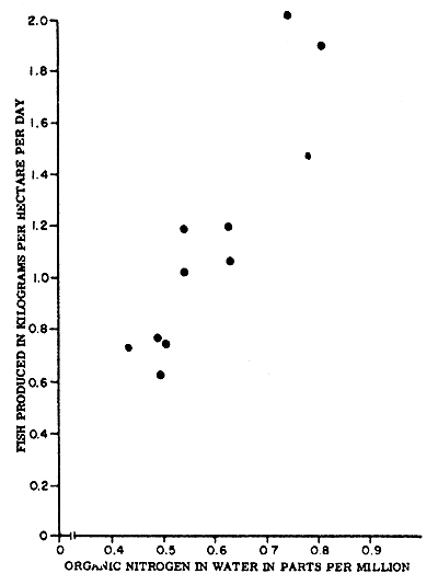
Fig. 8 Relation between fish production and mean seasonal quantity of organic nitrogen in pond water. (Data from Surber, 1947)
Fig. 9Fig. 10
Fig. 9 Relation between fish production and mean seasonal quantity of ammonia nitrogen in pond water. (Data from Surber, 1947)
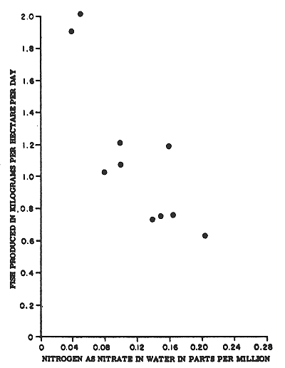
Fig. 10 Relation between fish production and mean seasonal quantity of nitrate nitrogen in pond water. (Data from Surber, 1947)
Fig. 11Fig. 12
Fig. 11 Relation between fish production and mean seasonal quantity of ammonia nitrogen in pond soil. (Data from Gooch, 1962)
Fig. 12 Relation between fish production and mean seasonal quantity of neutral NH4F soluble phosphorus in pond soil. (Data from Gooch, 1962)

Unfortunately Surber provides no statistical support for the foregoing interpretations. On the other hand, graphs (Figs. 8, 9 and 10) derived from the data indicate that his conclusions are sound; in fact, the negative correlation of fish production and nitrate nitrogen appears to be stronger than admitted by Surber.

A more serious defect in the data, however, is the fact that they are presented only in terms of fertilizer treatment means. Since we saw in the review of Meehean and Marzulli's (1945) paper that correlations based on treatment means provided a picture considerably different from that provided by correlations based on individual pond values, we still cannot consider that we have obtained unequivocal evidence of meaningful relations between fish production and measured amounts of fertilizer substances.

In addition to the two foregoing studies reported, in which the relations between nutrient levels in fertilized pond water and soil and the production of fish were examined, a third study (Gooch, 1962) has been conducted. The relevant features of this work are as follows:

  1. The duration of the experiment was from March to November, 1960.

  2. Four 0.1 ha culture ponds averaging 1.2 m in depth each were fertilized with 8-8-2 and 0-8-2 (N-P2O5-K2O), and four ponds were unfertilized.

  3. Fertilization was at the rate of 110 kg/ha per application, with 10 applications during the season.

  4. Prior to 1959 the 12 experimental ponds had received fertilizers for 15 years.

  5. Pond waters and soils both were analyzed periodically (ca. monthly) during the experimental period for nitrogen (organic, ammonia, nitrate, and nitrite) and phosphorus (various inorganic fractions). In all, ll different chemical entities were determined in each pond.

  6. Production of fish (Cyprinus carpio) in the ponds during the season was determined by draining the ponds.

Simple and multiple correlations between the weights of fish produced in each pond and the mean seasonal amounts of the 11 different nitrogen and phosphorus fractions in each pond were calculated. Many of the correlations involved variables that were combinations of two, three or four of the individual 11 quantities. The significant findings may be listed as follows:

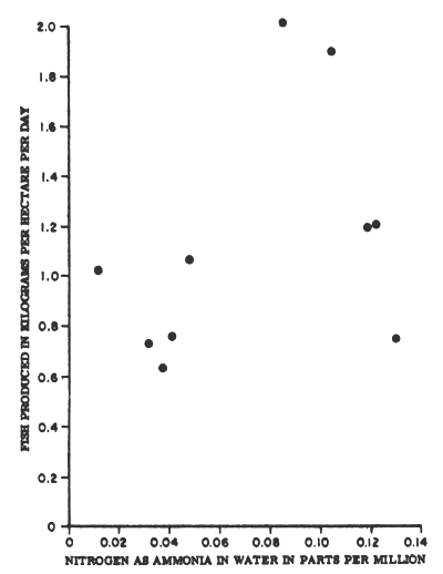
  1. Considering simple correlations only, and based only on the 11 original variables, fish production was most highly correlated with nitrogen in the form of soil ammonia (r2 = 0.83,Fig.11), and one of the phosphorus fractions (NAFSP1) in the soil (r2 = 0.79, Fig.12). Although the correlations with nitrogen fractions in the water were not as pronounced, there was no doubt that none were negative (Figs.13,14 and15), contrary to the results of Surber (1947).

  2. Considering two-variable multiple correlations involving only the individual 11 chemical quantities, fish production was most highly correlated (R2 = 0.94) with the combination of soil ammonia and NAFSP.

  3. Considering simple correlations involving combined forms of the 11 individual variables, fish production was most highly correlated (R2 = 0.93, Fig.16) with the sum of soil ammonia nitrogen and NAFSP.

1 NAFSP = neutral NH4F soluble phosphorus, which represents most aluminium phosphates, a small amount of iron phosphates, and loosely bound phosphorus.

Fig. 13Fig. 14
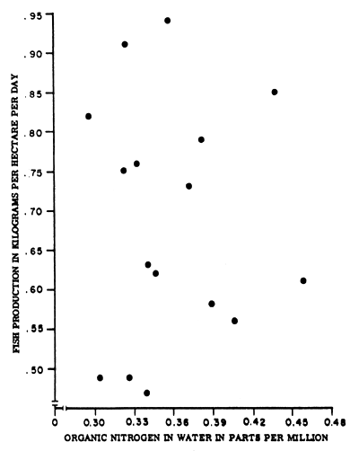
Fig. 13 Relation between fish production and mean seasonal quantity of organic nitrogen in pond water. (Data from Gooch, 1962)
Fig. 14 Relation between fish production and mean seasonal quantity of ammonia nitrogen in pond water. (Data from Gooch, 1962)
Fig. 15Fig. 16
Fig. 15 Relation between fish production and mean seasonal quantity of nitrate nitrogen in pond water. (Data from Gooch, 1962)
Fig. 16 Relation between fish production and sum or mean seasonal quantities of ammonia nitrogen in soil and neutral NH4F soluble phosphorus in soil. (Data from Gooch, 1962)

In comparing the relations between fish production and various fertilizer nutrients that were obtained in the three studies summarized above, it is clear that (as pointed out previously) no obvious and consistent relations exist, or at least are not perceivable with the crude methods now in use by fish culturists. In fact, the art of pond fertilization is in such a primitive state that we are unable to cope with inconsistent relations such as those exhibited. What is of more importance, however, at this stage of development is considering the implications of the following two facts. First, the results of both Surber (1947) and Gooch (1962) show that the relationships of fish production to nutrient levels as measured in the pond soil and water are considerably more clear-cut than those between fish production and the levels of fertilizers applied. Stated another way, the evidence clearly indicates that, from amounts of fertilizer applied, one cannot infer accurately and consistently the amounts of nutrients in the pond soil or water, or the weights of fish produced.

Second, it has been demonstrated at least once (Gooch, 1962) that, in small unstratified culture ponds, fish production was more highly correlated with fractions of both nitrogen and phosphorus in the pond soil than with those in the pond water; furthermore, these correlations were demonstrated on an individual pond basis, a test that all such correlations must pass in order to be considered valid.

The first point may be considered obvious, but the fact is that the majority of published studies in North America ignore entirely both this point and the second.

4 THE FUTURE OF POND FERTILIZATION EXPERIMENTS

In pond fertilization experimental programs in North America the amount of information gained from the input of energy (in terms of money, time and physical effort) is exceedingly small. Thus, in summarizing the results of 37 years of North American experiments in aquatic fertilization, we have seen that in the majority of cases fertilization resulted in higher productivity of the aquatic system, in one sense or another. We can, however, say little more than this. For example, the pond does not exist for which it is known how much of what kinds of fertilizer elements are necessary to maximize the fish production relative to the cost of fertilizer. Although it may be argued that such a pond can never exist, it seems reasonable to expect that we can narrow considerably the wide gap existing between what we know now and this rather ideal situation.

The key to the problem lies in realizing that we must find out what happens, under what conditions, to the fertilizer elements after they have entered the pond. We have seen that in a few cases attempts were made to monitor the fertilizer nutrients after they had been added to the pond system. Unfortunately, the experimental designs of many of these studies were such that no valid inferences could be made regarding a cause and effect relation between what was added to the pond and what was measured in the water and soil. That is, the fact that the total nitrogen content in pond water increased following application of fertilizer containing nitrogen cannot be used as an argument that the latter directly caused the former. Thus, if the fertilizer also contained phosphorus, one other possible explanation is that the rise in nitrogen in the pond was created by a rise in activity of nitrogen-fixing bacteria which were in turn stimulated by the phosphorus. On the other hand, as implied previously, the usual technique of analyzing pond water and soil samples for various fractions of fertilizer elements can never lead to a satisfactory solution of the continually observed inconsistent results of fertilization experiments.

What we need are methods (for example use of radio-active tracers or “heavy” elements) that permit direct and unequivocal monitoring of the fertilizer elements so that we can find out what exactly happens, for example, to the nitrogen that enters the pond as NaNO3. That is, how much is utilized by phytoplankton, by bottom organisms, and finally, by fish? It is not inconceivable that through bacterial action most of the nitrogen might be shunted aside in the elemental form before it can enter the pathways that lead to the higher trophic levels. Only by knowing the various cycles and “dead end” routes into which the fertilizer elements are passing, not only on a monthly or seasonal basis, but also on a basis of, for example, 10 or 20 years, can any semblance of a valid theory about the role of fertilizers in influencing aquatic productivity be advanced. Since experience warns us that the results of such studies will differ considerably from one region to another, and even from one pond to another, or in the same pond from year to year, any theories that are constructed will need to take such variations into account.

Another facet of nutrient cycles that demands consideration is the rate at which they operate. The total biomass produced during a given period of time depends on the rate of production of this biomass, but it is unrelated to the standing crop at any particular time. Analogously, we may say: the levels of nutrients as measured periodically in water or soil cannot be unequivocally interpreted as a measure of productivity of the pond system; it is the rate at which these nutrients are used, that is, the rate at which they cycle through the system, that determines the productivity of the system. When this point is incorporated into the thinking of pond fertilization scientists and followed up by adequate and meaningful experimental programs to study rates of cycling of fertilizer nutrients, we should be considerably closer to understanding the vagaries of pond fertilization results.

5 REFERENCES

Ball, R.C., 1949 Experimental use of fertilizers in the production of fish-food organisms and fish. Tech.Bull.Mich.agric.Exp.Sta., (210):28 p.

Ball, R.C., 1950 Fertilization of natural lakes in Michigan. Trans.Amer.Fish.Soc., 78(1948): 145–55

Ball, R.C. and H.D. Tait, 1952 Production of bass and blue-gills in Michigan ponds. Tech. Bull.Mich.agric.Exp.Sta., (231):24 p.

Ball, R.C. and H.A. Tanner, 1951 The biological effects of fertilizer on a warm-water lake. Tech.Bull.Mich.agric.Exp.Sta., (223):32 p.

Gooch, B.C., 1962 Preliminary observations on the residual nature of nitrogen in ponds and its significance to fish production. Auburn, Alabama, U.S.A., Auburn Univ. (MS)

Hogan, J., 1933 Experiments with commercial fertilizers in rearing largemouth black bass fingerlings. Trans.Amer.Fish.Soc., 33:109–19

Howell, H.H., 1942 Bottom organisms in fertilized and unfertilized fish ponds in Alabama. Trans.Amer.Fish.Soc., 71(1941): 165–79

Juday, C. and C.L. Schloemer, 1938 Effect of fertilizers on plankton production and on fish growth in a Wisconsin lake. Progr.Fish Cult., 40:24–7

Langford, R.R., 1950 Fertilization of lakes in Algonquin Park, Ontario. Trans.Amer.Fish. Soc., 78(1948):133–44

McIntire, C.D. and C.E. Bond, 1962 Effects of artificial fertilization on plankton and benthos abundance in four experimental ponds. Trans.Amer.Fish.Soc., 91(3):303–12

Meehean, O.L., 1933 The role of fertilizers in pond fish. Trans.Amer.Fish.Soc., 33:103–9

Meehean, O.L., 1934 The role of fertilizers in pond fish production. 2. Some ecological aspects. Trans.Amer.Fish.Soc., 64:151–4

Meehean, O.L., 1935 The dispersal of fertilizing substances in ponds. Trans.Amer.Fish.Soc. 65:184–8

Meehean, O.L. and F. Marzulli, 1945 The relationship between the production of fish and the carbon and nitrogen contents of fertilized fish ponds. Trans.Amer.Fish. Soc., 73(1943):262–73

Patriarche, M.H. and R.C. Ball, 1949 An analysis of the bottom fauna production in fertilized and unfertilized ponds and its utilization by young-of-the-year fish. Tech.Bull.Mich.agric.Exp.Sta., (207):35 p.

Smith, E.V. and H.S. Swingle, 1940 Effect of organic and inorganic fertilizers on plankton production and blue gill bream carrying capacity of ponds. Trans.Amer. Fish.Soc., 69(1939):257–62

Smith, E.V., 1943 Organic materials as fertilizers for fish ponds. Trans.Amer.Fish.Soc., 72(1942):97–102

Smith, L.L. and J.B. Moyle, 1945 Factors influencing production of yellow pike-perch Stizostedion vitreum vitreum, in Minnesota rearing ponds. Trans.Amer.Fish. Soc., 73(1943):243–61

Smith, M.W., 1948 Preliminary observations upon the fertilization of Crecy Lake, New Brunswick. Trans Amer.Fish.Soc., 75(1945):165–74

Surber, E.W., 1945 The effects of various fertilizers on plant growths and their probable influence on the production of smallmouth black bass in hard-water ponds. Trans.Amer.Fish.Soc., 73(1943):377–93

Surber, E.W., 1947 Variations in nitrogen content and fish production in smallmouth black bass ponds. Trans.Amer.Fish.Soc., 74(1944):338–49

Swingle, H.S., 1947 Experiments on pond fertilization. Ala.Agric.Exp.Sta.Bull., (264):34 p.

Swingle, H.S. and E.V. Smith, 1939a Fertilizers for increasing the natural food for fish in ponds. Trans.Amer.Fish.Soc., 68(1938):125–34

Swingle, H.S., 1939b Increasing fish production in ponds. Trans.N.Amer.Wildl.Conf., 4 (1939):332–8

Tanner, H.A., 1960 Some consequences of adding fertilizer to five Michigan lakes. Trans. Amer.Fish.Soc., 89(2):198–205

Wiebe, A.H., 1930 Investigations on plankton production in fish ponds. Bull.U.S. Bur.Fish., (46):137–76

Wiebe, A.H., R. Radcliffe and F. Ward, 1929 The effects of various fertilizers on plankton production. Trans.Amer.Fish.Soc., 59:54–105

Zeller, H.D., 1953 Nitrogen and phosphorus concentrations in fertilized and unfertilized farm ponds in central Missouri. Trans.Amer.Fish.Soc., 82(1952):281–8


Previous Page Top of Page Next Page