by
HERMINIO R. RABANAL
Fresh-water Fisheries Division, Philippine Fisheries Commission
Manila, Philippines
INORGANIC FERTILIZERS FOR POND FISH CULTURE
Abstract
The first part of the paper attempts to review the fish pond fertilization practices in the Indo-Pacific region. In practically all the countries in the area, pond fertilization is characterized by the heavy use of organic materials that serve either as direct feed for the fish or fertilizer for the pond. That there is a general lack of basic information on the use of inorganic fertilizers in these parts is recognized, but in recent years there have been experiments on their use with demonstrated success.
The second part of the paper explains the experiments on the use of inorganic fertilizers in fresh-water ponds conducted by the author in the Auburn University Farm Ponds Project, Auburn, Alabama, U.S.A. in 1959. The experiments gave the following results:
The amount of plankton and bottom fauna (mainly aquatic insects) was significantly higher in the fertilized than in the unfertilized ponds.
Using two test fish, common carp and goldfish, the average production in fertilized ponds was found to be higher than in the unfertilized ones.
Continued application of complete fertilizers to the test ponds for the previous fifteen years showed a residual effect calculated to be 3.7 times more for carp and 1.7 for goldfish.
LES ENGRAIS INORGANIQUES DANS L'ELEVAGE DES POISSONS EN ETANG
Résumé
Dans la première partie de la communication, l'auteur passe en revue les méthodes pratiquées dans la région indo-pacifique en matière de fumure des étangs de pisciculture. Dans presque tous les pays de la région, la fumure se caractérise par un emploi massif de matériaux organiques qui servent soit à alimenter directement le poisson soit à fertiliser l'étang. Il est reconnu que, dans ces régions, on manque en général de renseignements de base sur l'utilisation des engrais inorganiques, mais au cours des récentes années ces matières ont été expérimentées avec un succès probant.
La deuxième partie de la communication décrit les expériences sur l'utilisation d'engrais inorganiques dans des étangs d'eau douce que l'auteur a effectuées en 1959 à Auburn, Alabama (Etats-Unis) dans le cadre de la Auburn University Farm Ponds Project. Ces expériences ont donné les résultats suivants:
La quantité de plancton et de benthofaune (principalement des insectes aquatiques) était considérablement plus élevée dans les étangs fertilisés que dans ceux non fertilisés.
En utilisant comme témoins deux espèces de poisson, la carpe commune et le poisson rouge, il a été constaté que la production moyenne dans les étangs fertilisés était plus élevée que dans les étangs non fertilisés.
La fertilisation permanente des étangs d'essais avec des engrais complets pendant les 15 années précédant les expériences ont montré qu'il existe un effet résiduel qui aurait un coefficient de 3,7 pour la carpe et 1,7 pour le poisson rouge.
FERTILIZANTES INORGANICOS PARA LA PISCICULTURA EN ESTANQUES
Extracto
La primera parte del estudio pasa reseña a los procedimientos de fertilización aplicados en los estanques piscícolas de la región del Indopacífico. En casi todos los países de la zona, prácticamente, la fertilización en estanques se caracteriza por el gran empleo de materias orgánicas que sirven como alimento directo para los peces o como fertilizante para el estanque. Se reconoce que exite una falta general de información básica sobre el empleo de fertilizantes inorgánicos en tal región, pero en estos últimos años se han realizado experimentos sobre su uso que han obtenido un claro éxito.
La segunda parte del estudio explica los experimentos sobre el empleo de fertilizantes inorgánicos en estanques de agua dulce realizados por el autor en 1959 en el proyecto de la Universidad de Auburn, Auburn, Alabama, E.U.S. sobre estanques piscícolas. Los experimentos dieron los resultados siguientes:
La cantidad de plancton y de fauna bentónica (pincipalmente insectos acuáticos) fué mucho mayor en los estanques fertilizados que en los no fertilizados.
Empleando dos peces de ensayo, la carpa común y la carpa dorada la producción media en los estanques fertilizados fué mayor que en los no fertilizados.
La aplicación constante de fertilizantes completos en los estanques de ensayo durante los 15 años anteriores, indicaron un efecto residual que se calculó en 3,7 veces más con respecto a la carpa y en 1,7 veces con respecto a la carpa dorada.
This paper endeavors to review the fish pond fertilization practices in countries in the Indo-Pacific region, and to discuss some basic information on the use of inorganic fertilizers obtained from experiments done by the author in Auburn, Alabama, U.S.A.
The efforts directed toward increasing fish production in fish ponds in the Indo-Pacific area have received considerable attention. The addition of fertilizing substances to ponds in order to attain increased production has been extensively practised. Unfortunately, most of the trials have been confined largely to the random application of organic materials that are cheap and easily available. Whatever abounds locally is used and it is often difficult to establish whether these organic matters are fertilizers for the ponds or direct feeds for the fish stock. The kind of fertilizer and the amounts used, as well as methods of application, vary with indigenous experiences and availability of fertilizing products. Only recently have experiments on the use of inorganic fertilizers been undertaken.
To derive maximum production from fish ponds, intensive fish culture techniques, including the use of fertilizers and artificial feeds, are employed in Japan. Frequent and heavy feeding of the fish stock is done and undoubtedly the feed serves both as a direct fish food and as a fertilizer. Some of the substances commonly used include silkworm pupae, cereal by-products (rice bran and meddlings and barley), male chicks from poultry farms, cheap marine fish (sardines) and slaughter-house products (horse and pig livers, etc.) prepared for pond application.
Inorganic fertilization of fish ponds was considered in Japan previously as a minor management practice. In the hope of triggering off the growth of the desirable flora, the phytoplankton, one to two applications of ammonium sulphate and superphosphate used to be routinely made. In some instances, pond fertilization with inorganic substances met with disfavour due to their fertilizing effect on obnoxious weeds. This could have been due to minimal application of the mineral fertilizer. In recent years, studies have been conducted on the use of this type of fertilizer in heavier dosages and more frequent application than previously practised. Seven applications instead of one or two per year have been tried with good results. Maximum success has been obtained with combined intensive feeding and inorganic fertilizer application.
Intensive methods of fish cultivation are practised in the fish ponds of Taiwan. Heavy feeding with various organic materials, indistinguishable from fertilization per se, has long been a standing practice. The more common substances used include: rice and wheat bran, night soil, tea seed, peanut and soybean cake, Leucaena-seed meal and various animal manures. For a long time a pattern of fertilization characterized by four applications of these organic fertilizers during the crop season was followed. Then there grew a great demand for these fertilizing materials, giving rise to unprecedented costs.
From 1953 to 1956 a series of experiments were undertaken to determine the effectiveness of inorganic fertilizers which heretofore had not been generally utilized in fish ponds. These studies include comparison of the efficiency and economy of using organic and inorganic materials applied singly or in combination. The following results were established:
Inorganic fertilizers of 8-9-2 or 8-4-2 (N-P-K) at the rate of 300 to 500 kg/ha/year can be used successfully in milkfish (Chanos chanos) ponds in Taiwan;
Inorganic fertilizers were found more effective in clear pond water with salinity above 1.5 percent and sufficient sunlight reaching the pond bottom;
The average production of ponds treated with complete inorganic fertilizer was equal to that produced by treatment with double the amount of rice bran, or with night soil 30 times that of the mineral fertilizer used. Based on current prices in Taiwan at the time the studies were being conducted, the expenses incurred with the use of organic materials exceeded that of the chemical fertilizers.
Compared with ponds receiving either chemical or organic fertilizers, those receiving combined chemical and organic fertilizers yielded the highest increase in production.
The use of organic materials, both as feeds and fertilizing substances in ponds, is also an age-long management technique in Southern China and Hong Kong. The materials used include silkworm pupae, cut land grass, soybean meal, goatweed and other strong odoured weeds, pig, sheep, buffalo and cattle manure, night soil, tea seed, poultry droppings, aquatic plants, rice bran and broken rice, and peanut cake. It is not unusual for latrines, and pig and duck pens to be built over the ponds.
There seems to be no standard method of fertilizer application in this area but different local practices have been developed in the different fish producing communities. Different organic fertilizers such as cow dung, green manure, hog manure, etc., are often used in rotation during the growing season. Likewise, fish and plant crops are raised in rotation in the same field. With the continued use of organic fertilizers the pond bottom gradually becomes elevated, necessitating periodic draining of the pond water and drying and scraping of the bottom soil.
It is not known whether or not inorganic fertilizers are used in Southern China and Hong Kong.
All cheap and easily available organic materials are used in ponds to serve the dual purpose of feeding and fertilizing. There are no records showing whether or not inorganic fertilizers are used. However, with the establishment of the Fish Culture Research Institute at Batu Berendam, Malacca, Malaysia, experiments on mineral fertilization of ponds are being undertaken. Recent findings of that Institute on N-P2O5-K2O, used separately and in various combinations, show that about 44 kg/ha/year P2O5 is the optimum fertilization for ponds in that region. This produced a yield of fish even higher than that produced by ponds fertilized with six and three-quarter tons of cow dung, an indication that inorganic fertilizers can be as cheap, if not cheaper than organic manures for fish pond fertilization.
“Mixed farming” or the integration of animal husbandry, crop raising and fish culture for the maximum utilization of farmland, is a well-developed practice in Malaysia. The unique feature of this scheme is the attempt to circulate within the system the nutrients that have been made available to it from outside, and conserving these nutrients in order to reduce to the minimum the need for external materials. Thus the animal wastes fertilize the water to produce the maximum growth of microscopic plants as well as higher aquatic plants. These are in turn fed on by the fish. Part of the luxuriant growth of higher aquatic plants and excess stock of the rapidly multiplying species of fish are gathered and used to augment the feed used in the animal husbandry unit. In order to maintain their original depth, ponds are periodically drained, dried, and their bottoms scraped. The scrapings have been found to be a good fertilizer for vegetable gardens and orchards.
Heavy use of organic substances and manures as direct feeds and pond fertilizing materials is practised also in India as in other Indo-Pacific countries. The materials commonly used include cow dung, stable refuse, poultry manure, oil cake and cut grass.
With the growth of cities and unprecedented increases in population, the efficient disposal of refuse and sewage has become a big problem. India has demonstrated, particularly in the Bidyadhari Spill area in Calcutta that fish culture in sewage-irrigated areas can provide a cheap means of sewage purification. From the standpoint of sanitation it has been observed that fish, fortunately, cannot survive normally at points in the sewage line where the oxygen content is too low and where pathogens are too heavy to cause danger to public health. On the other hand, where the water has become clean and/or well diluted, the enriched water favours a very rapid growth of the desirable species of fish to marketable size in as brief a period as six to eight months.
Like all the other countries of the Indo-Pacific region, Indonesia utilizes organic materials and manures for the artificial enrichment of her fish ponds. Pig, duck, and other animal manures are used. Vegetables found in quantities are used as green manuring materials. Experiments using the marigold plant, Tithonia diversifolia, for green manuring resulted in increased production of common carp (Cyprinus carpio) and tilapia (Tilapia mossambica) in ponds.
The use of inorganic fertilizers in this country is in the experimental stage. Its bright prospects seem to be indicated by the surprisingly high production derived from ponds in volcanic areas, the water of which is heavily laden with mineral nutrients.
The brackish-water milkfish ponds get fertilized incidentally due to the management practices generally followed. Periodic replenishing of the pond water with new tidal water brings in nutrients with the water supply. The draining and drying of the pond bottom after each crop period is invariably followed by heavy growth of blue-green algae in the ponds. It has been postulated that nitrogen fixation may be taking place with the growth of this type of algae.
The use of sewage water for fish production purposes has proved to be successful in the cities of Jogjakarta and Bandung. Here fresh sewage is first treated in septic tanks and later allowed to flow and mix with irrigation water to feed fish ponds or rice fields where fish is raised. Production of common carp, tilapia and milkfish is high from these sewagefed areas.
Pond fish culture in the Philippines is predominantly confined to brackish-water ponds for milkfish; fresh-water fish ponds are still few and limited in extent. During the crop period, the regular replenishment of the pond water during the spring tides allows entrance of nutrients with the incoming water. After each cropping, the ponds are drained and exposed to sunlight. Usually a heavy growth of benthic algae, predominantly blue-greens, develops immediately following this period.
Artificial feeding to a limited extent is also practised in Philippine milkfish ponds. Feed used as direct fish food undoubtedly serves also as fertilizer. Rice bran is the principal item used especially in milkfish pond nurseries. Corn bran, bakery wastes and cereal by-products are also used. Animal manures, especially poultry droppings, are generally applied when available as fertilizers. These are fed on directly by the fish.
The use of inorganic fertilizers is under investigation with some indications of success. Experiments in the use of 8-18-4 (N-P-K) in milkfish pond nurseries resulted in better growth of the fish food, greater stocking capacity of ponds (from 30 to 50 fry/m2) and faster rate of growth of the milkfish fingerlings. In milkfish rearing ponds complete fertilization with 12-12-12 (N-P-K) was found to effect better growth of the algal food of the milkfish. In experimental trials in one of the Philippine Fisheries Commission Fish Farm Stations for milkfish, repeated use of 16-20-0 (N-P-K) resulted in an average production of 1.3 tons/ha/year of fish. This is almost four times greater than the present average production from unfertilized ponds in this country.

Fig. 1 Regression lines of total nitrogen content of pond waters receiving different fertilizer treatments

Figs. 2a and 2b Ammonia concentrations in carp and goldfish ponds receiving different fertilizer treatments
As a result of the demonstrated successes of these experiments, the fertilization of ponds with inorganic substances is slowly being adopted. However, the restricted supply, and the prohibitive prices demanded for inorganic fertilizers, limit their general use.
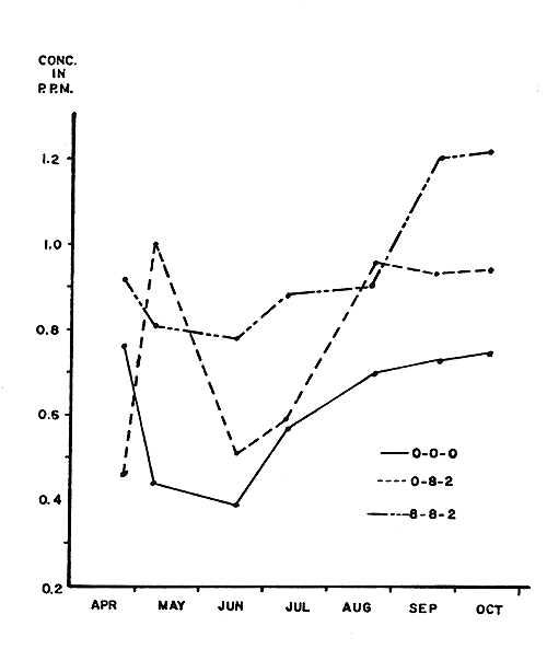
As a part of a continuing study on pond fertilization at the Farm Ponds Project, Agricultural Experiment Station of the Auburn University, Auburn, Alabama, the author carried on a year-round experiment during the 1959 crop period. The study was designed to test the effect of non-nitrogenous fertilization in ponds that had received continued complete fertilizers during the preceding 15-year period. Two species of fish, common carp and goldfish (Carassius auratus), were used separately in three fertilizer treatments, namely with 0-0-0, 0-8-2, and 8-8-2 pounds of N-P2O5-K2O per acre1 per application.
The concentration of total nitrogen dissolved and in suspension in the water was related to the fertilization the ponds received; it was highest in the 8-8-2, followed next in the 0-8-2 and lowest in the 0-0-0 ponds. These differences in levels in the three treatments were significant. The amount of total nitrogen in each of the unfertilized ponds remained at more or less the same level throughout the experimental period. The 0-8-2 ponds gradually increased in their total nitrogen content toward the end, and that in the 8-8-2 increased at an even higher rate than in the 0-8-2 (Fig. 1).
The inorganic nitrogen component (ammonia plus nitrate) in all the ponds started at a relatively high level and gradually decreased toward the end of the experiment. Ammonia, the more abundant fraction, declined rapidly during the period (Figs. 2a and 2b). Nitrate was in minute quantities, but gradually increased during the experimental period (Figs. 3a and 3b). Close relationship between the decline and inorganic nitrogen on the one hand and the increase of plankton on the other was observed.
Ammonia and nitrate in ponds receiving similar fertilizer treatments differed significantly in levels in the carp and goldfish ponds. Ammonia concentration was lower in the carp ponds than in the goldfish ponds; as carp stir the pond bottom and muddy the water, more rapid absorption of ammonia on clay colloids probably took place (Figs. 2a and 2b). The nitrate concentrations were higher in the carp than in the goldfish ponds (Figs. 3a and 3b). This indicated less effective use of this nutrient for plankton production in the carp ponds, probably as a result of the muddy water.
The amounts of organic nitrogen in the fertilized 8-8-2 and 0-8-2 ponds were significantly higher than in the unfertilized ponds (Fig. 4). In the completely fertilized ponds (8-8-2) the concentration gradually increased and was significantly higher than in the phosphate-potash fertilized ponds (0-8-2). The organic nitrogen content of the 0-8-2 ponds fluctuated drastically during the experimental period with only a slight build-up toward the end of the experiment; in the 0-0-0 ponds it remained low, fluctuated and did not appear to have increased in level at the termination of the experiment (Fig.4).
The concentration of dissolved inorganic phosphorus in the pond waters was related to the fertilizer treatment; it was significantly higher in the 0-8-2 and 8-8-2 than in the unfertilized ponds (Figs. 5a and 5b). The disappearance of inorganic phosphorus from the pond water after its application was extremely rapid; it was being lost at the rate of 12.7 percent per day in the 0-8-2 and 14.3 percent per day in the 8-8-2 ponds (Fig. 6). The phosphorus content of the pond waters underwent unexplained cyclic changes during the experimental period (Figs. 5a and 5b).

Figs. 3a and 3b Nitrate concentrations in carp and goldfish ponds receiving different fertilizer treatments

Fig. 4 Organic nitrogen concentrations in pond receiving different fertilizer treatments


Figs. 5a and 5b Phosphorus concentrations in carp and goldfish ponds receiving different fertilizer treatments

Fig. 6 Phosphorus in pond waters at selected intervals after the application of fertilizers

Fig. 7 Plankton in ponds receiving different fertilizer treatments
Carp utilized bottom fauna (mainly aquatic insects) more completely than goldfish (Table I). This was because carp feed heavily on bottom organisms while goldfish feed largely on plankton from the surface to the pond bottom. The amount of plankton and aquatic insects produced in the fertilized 8-8-2 and 0-8-2 ponds were significantly higher than in the unfertilized ponds (Fig. 7 and Table II). A trend was indicated in the averages per sampling period that the 8-8-2 ponds had higher amounts of plankton and aquatic insects than the 0-8-2 ponds, but the difference was not statistically significant.
The production of fish, both carp and goldfish, was highest where complete fertilization was continued, followed next by phosphate-potash fertilization and lowest with no fertilization as indicated in Table III.
The increases in goldfish production resulting from 8-8-2 and 0-8-2 fertilizations were significant; the increases in carp production were not significant although the averages in the 8-8-2 and 0-8-2 were consistently higher than in the unfertilized ponds. More replications and a longer experimental period might raise the difference to a significant level.
Some residual effect of the continued yearly application of complete fertilizers in the ponds during the previous fifteen years was noted. The unfertilized ponds in this experiment were calculated to be producing 3.7 times more carp and 1.7 times more goldfish than in the original unfertilized state.
The fish, aquatic insects and plankton production of the ponds receiving different fertilizer treatments indicated that higher production resulted when fertilizers were applied. The chemical data tended to show that indigenous pond sources and/or fixation (in the case of nitrogen) cannot fully be relied upon to supply the needs of continued and intensified biological production; for better results, the application of a suitable formulation of complete fertilizers is imperative.
Table I
Ekman dredge sampling of bottom organisms (in milligrams dry weight per square foot (0.0929 sq.m.) of pond bottom)1
| Period | Carp ponds | Goldfish ponds | Period totals | ||||
| 0-0-0 | 0-8-2 | 8-8-2 | 0-0-0 | 0-8-2 | 8-8-2 | ||
| 1. June | 2.24 | 6.11 | 3.97 | 4.16 | 12.95 | 0.00 | 40.13 |
| 0.00 | 0.32 | 1.81 | 1.28 | 2.90 | 4.39 | ||
| 2. September | 0.88 | 0.84 | 1.28 | 2.63 | 2.20 | 3.15 | 34.56 |
| 0.11 | 2.56 | 2.13 | 8.33 | 0.53 | 9.92 | ||
| 3. October | 0.96 | 2.91 | 0.21 | 1.16 | 3.73 | 1.65 | 49.44 |
| 0.96 | 3.84 | 5.32 | 13.39 | 3.91 | 11.40 | ||
| Treatment totals | 5.15 | 16.58 | 14.72 | 30.95 | 26.22 | 30.51 | |
| Totals in carp and goldfish ponds | 36.45 | 87.68 | |||||
1 Values are given for each of two ponds for each treatment
Table II
Relative volumes of aquatic insects from ponds receiving different
fertilizer treatments collected from masonite plate collectors
(milligrams per square foot (0.0929 sq.m.) of surface)1
| Period | Carp ponds | Goldfish ponds | Period totals | ||||
| 0-0-0 | 0-8-2 | 8-8-2 | 0-0-0 | 0-8-2 | 8-8-2 | ||
| 1. June | 0.5 | 4.0 | 10.2 | 0.1 | 5.8 | 11.5 | 52.9 |
| 0.0 | 0.5 | 8.5 | 0.2 | 9.5 | 2.1 | ||
| 2. July | 5.5 | 6.5 | 8.0 | 8.0 | 2.9 | 7.5 | 57.3 |
| 0.0 | 6.0 | 2.5 | 0.9 | 1.5 | 8.0 | ||
| 3. August | 2.5 | 4.0 | 14.0 | 10.5 | 3.2 | 3.9 | 54.4 |
| 0.2 | 2.2 | 3.7 | 0.4 | 4.8 | 5.0 | ||
| 4. September–October | 2.5 | 4.4 | 3.6 | 2.4 | 4.5 | 7.6 | 49.3 |
| 2.0 | 3.4 | 2.9 | 0.8 | 8.0 | 7.2 | ||
| Treatment totals | 13.2 | 31.0 | 53.4 | 23.3 | 40.2 | 52.8 | |
| Totals in carp and goldfish ponds | 97.6 | 116.3 | |||||
1 Values are given for each of two ponds for each treatment.
Table III
Fish production in ponds receiving different fertilizer treatments
| Fertilizer treatment | Average total production of ponds in kg/ha | |
| Carp | Goldfish | |
| 0-0-0 | 305.6 | 469.5 |
| 0-8-2 | 347.1 | 684.6 |
| 8-8-2 | 387.5 | 778.5 |
Bose, P.C., 1944 Calcutta sewage and fish culture. Proc.nat.Inst.Sci.India, 10(4):443–54
Buschkiel, A L., 1937 Lehren aus tropisches Teichwirtschaft. Z.Fisch., 35:181
Djajadiredja, R.R. and R. Amidjaja, 1960 Some observations on Chanos culture in fresh water. Proc.Indo-Pacif.Fish.Coun., 8(2):9–18
Fowler, D G., 1944 Utilization of sewage for fish culture in India. Proc.nat.Inst.Sci.India, 10(4):463–7
Frey, D.G., 1947 The pond fisheries of the Philippines. J.Mar.Res.Yale Univ., 6:247–58
Hickling, C.F., 1948 Fish farming in the Near and Middle East. Nature, Lond., 161:748
Hoffman, W.E., 1934 Preliminary notes on the fresh water fish industry of South China, especially Kwangtung Province. Lingnan Univ.Sci.Bull., (5)
Hora, S.L., 1945 Fish farm objectives and requirements. J.Roy.Asiatic Soc.Bengal Sci., 11 (2):99–117
Hora, S.L., 1951 Pond culture of warm-water fishes. U.N. Sci.Conf.Cons.Ut.Res., 7:120–4
Le Mare, D.W., 1948 Weeding in fish farming. Nature, Lond., 162:704
Lin, S.Y., 1940 Fish culture in ponds in the New Territories of Hongkong. J.Hong Kong Fish. Res.Sta., 1(2):161–93
Lin, S.Y., 1951 Pond culture of warm-water fishes. U.N. Sci.Conf.Cons.Ut.Res., 7:131–5
Malacca. Tropical Fish Culture Research Institute, 1960 Rep.trop.Fish Cult.Res.Inst. Malacca, 1960:28 p.
Matida, Y., 1955 Study of farm pond fish culture. 2. Chemical study on the effect of fertilizer to plankton production. Bull.Freshw.Fish.Res.Lab., Tokyo, 4(1):33–40
Nair, K.K., 1944 The effect of Calcutta sewage on fish life. Proc.nat.Inst.Sci.India, 10 (4):455–62
Nakamura, K. et al., 1956 Possibility of carp fingerlings production in farm ponds. Nagano Prefecture, Ueda Branch Fresh Water Fish.Res.Lab., 6(2):49 p.
Padlan, P.G., 1960 Fertilization - Key to higher fish production. Fish.Gaz.Quezon City, 4(3):2–9
Padlan, P.G. and L.V. Hosillos, 1960 A preliminary study on the effect of 12-12-12 (N-P-K) inorganic fertilizer on algae in brackish-waters. Report submitted to the Bureau of Fisheries, Philippines, 1956, 7 p.
Rabanal, H.R., 1949 The culture of lab-lab the natural food of milkfish fry and fingerlings. Dept.Agri.Nat.Res.Tech.Bull., (18):9 p.
Rabanal, H.R., 1951 Pond culture of warm-water fishes (with particular emphasis on bañgos or milkfish cultivation under Philippine conditions). Proc.U.N. Sci.Conf. Cons.Ut.Res., 7:142–5
Rabanal, H.R., 1957 Mixed farming practices for rural areas in the Philippines. Fish.Gaz. Quezon City, 1(3):10–3
Rabanal, H.R., 1960 The effect of no fertilization and non-nitrogenous fertilization upon the chemistry of water, the plankton, bottom organism and fish production in ponds that had received continued complete (N-P-K) fertilizers during the preceding 15-year period. Ph.D. dissertation submitted to the Graduate School, Auburn University, Auburn, Alabama, U.S.A.: 95 p.
Ronquillo, I.A. and A. de Jesus, 1958 Notes on growing of lab-lab in ‘bañgos’ nursery ponds. Proc.Indo-Pacif.Fish.Coun., 7(2/3):43
Schuster, W.H., 1952 Fish culture in brackish-water ponds of Java. Indo-Pacif.Fish.Coun. Special Bull., (1):143 p.
Shimadate, M. et al., 1957 Effect of fertilization and significance of artificial feeding to fish production in farm ponds, Shioda Plain. Nagano Prefecture, Ueda Fish.Res.Lab., 7(1):31 p.
Sulit, J.I., R.S. Esguerra and H.R. Rabanal, 1958 Fertilization of bañgos nursery ponds with commercial chemical fertilizer. Proc.Indo-Pacif.Fish.Coun., 7(2/3):44
Sunier, A.J.L., 1922 Contribution to the knowledge of the natural history of the marine fish ponds of Batavia, Treubia, 2(159)
Swingle, H.S., 1947 Experiments on pond fertilization. Bull.Ala.agric.Exp.Sta., (264):34 p
Swingle, H.S., B.C. Gooch and H.R. Rabanal, 1964 Phosphate Fertilization of Ponds. Trans. stheast.Ass.Game Fish Comm.,
Tang, Y.A. and T.P. Chen, 1957 The use of chemical fertilizers in milkfish ponds of Taiwan. Fish.Serv.jt Comm.rur.Reconstr.China, (3):20 p.
Vaas, K.F., 1948 Notes on fresh-water fish culture in domestic sewage in the tropics. Landbouwdocumentatie, 20
Vaas-van Oven, A., 1958 The use of ‘marygold’ (Tithonia diversifolia Gray) as green manure in Indonesian carp ponds. Proc.Indo-Pacif.Fish.Coun., 7(2/3):13–34