by
JOHN DOBIE
Division of Game and Fish
Minnesota Department of Conservation
St. Paul, Minnesota, U.S.A.
Abstract
Walleye pike (Stizostedion vitreum) ponds in Minnesota are fertilized each winter with organic fertilizers. In spring they are filled with water and stocked with walleye fry from nearby hatcheries. Fingerlings are harvested in July and August. Present fertilization methods are often inadequate and, consequently, the supply of plankters and insects for consumption by the fingerlings is not adequate, and fish must be harvested at a smaller size than is desirable to prevent large losses of fish from cannibalism.
In 1957, ten one-acre drainable ponds were built at Waterville, Minnesota for a study of fertilization methods that could be used in Minnesota waters. Both organic and inorganic fertilizers have been tested separately and in various combinations. Pond conditions were studied in detail at weekly intervals.
The studies have shown that most fertilizers produce extremely large populations of zooplankters in May and June, when the demand for food by the small fish is very low, while in July and August when the fish demand large quantities of food, zooplankton populations are very small. Most of these fertilizers have no measurable effect on the production of bottom fauna in a season of the year when the fish need these food organisms.
Most fertilizers contain phosphorus that is readily liberated into the pond waters; this produces dense mats of filamentous algae or thick growths submerged aquatic vegetation.
The best fertilization practice tried in the first six years of the project was a combination of dried sheep manure applied in one dose in April and weekly applications of a yeasty poultry food from mid-June to mid-August. The production of zooplankters and bottom fauna was better throughout the season than with any other fertilization practice studied.
EXPERIENCES DE FERTILISATION DANS LES ETANGS DE PISCICULTURE AU MINNESOTA
Résumé
Au Minnesota, les étangs d'élevage de walleye pike (Stizostedion vitreum) sont fumés chaque hiver avec des engrais organiques. Au printemps, ils sont mis en eau et empoissonnés avec des alevins de walleye provenant de centres d'alevinage voisins. Les fingerlings sont recueillis en juillet et en août. Les méthodes actuelles de fertilisation sont souvent insuffisantes, de sorte que, les planctontes et insectes que consomment les fingerlings n'étant pas assez abondants, il devient nécessaire pour éviter des pertes considérables due au cannibalisme de récolter les poissons d'une taille inférieure à celle souhaitable.
En 1957, on a construit à Waterville, Minnesota, dix étangs drainables d'un acre, afin d'étudier les méthodes de fumure les plus appropriées. Des engrais organiques et inorganiques ont été essayés, séparément et mélangés dans des proportions variables. Les conditions dans les étangs étaient observées minutieusement chaque semaine.
Ces études ont montré que la plupart des engrais favorisent une forte production de zooplancton en mai et en juin - époque où les besoins alimentaires des alevins sont très faibles - tandis qu'en juillet et en août, lorsque les poissons ont besoin de beaucoup de nourriture, le zooplancton est très peu abondant. Ces engrais n'ont en général aucun effet sensible sur la production de benthos à une époque de l'année où les poissons ont besoin de ces organismes pour s'alimenter.
La plupart des engrais contiennent du phosphore qui est facilement libéré dans les eaux de l'étang et favorise la croissance de bancs épais d'algues filamenteuses ou le développement d'une végétation aquatique submergée très dense.
Au cours des six premières années d'expériences, on a constaté que les meilleurs résultats étaient obtenus en associant le fumier séché de mouton, appliqué en une seule dose en avril, à des aliments pour volaille à base de levure, appliqués à dose hebdomadaire de la mi-juin à la mi-août. Avec ce traitement on a constaté pendant toute la saison une production de zooplancton et de benthos supérieure à celle obtenue avec toutes les autre méthodes de fumure essayées.
EXPERIMENTOS EN LA FERTILIZACION DE PECES EN LOS ESTANQUES PISCICOLAS DE MINNESOTA
Extracto
Los estanques de lucio amarillo (Stizostedion vitreum) se abonan todos los inviernos con fertilizantes orgánicos. En la primavera se llenan de agua, poblándose con jaramugos de dicha especie de los criaderos vecinos. Los métodos actuales de fertilización son en muchos casos inadecuados y, por consiguiente, el suministro de organismos planctónicos y de insectos para su consumo por los pececillos pequeños no es suficiente, y los peces deben recogerse con un tamaño menor del deseable para evitar grandes pérdidas debidas al canibalismo.
En 1957, se construyeron en Waterville, Minnesota, diez estanques de un acre con drenaje para estudiar los métodos de fertilización que se podrían seguir en las aguas de Minnesota. Tanto los fertilizantes orgánicos como los inorgánicos se han ensayado por separado y en diversas combinaciones. Se estudiaron detalladamente a intervalos semanales las condiciones de los estanques.
Los estudios han demostrado que casi todos los fertilizantes producen poblaciones muy abundantes de zooplancton en mayo y junio, época en que los peces pequenos necesitan poco alimento, mientras que en julio y agosto, cuando los peces necesitan grandes cantidades de alimento, las poblaciones de zooplancton son muy pequeñas. Casi todos estos fertilizantes no ejercen consecuencias apreciables en la producción de fauna del fondo en una época del año en que los peces necesitan estos organismos alimentarios.
La mayoría de los fertilizantes contienen fósforo que se libera con rapidez en las aguas de los estanques; éste constituye densas formaciones de algas filamentosas o formaciones espesas de vegetación acuática sumergida.
El mejor procedimiento de fertilización que se probó en los seis primeros años del proyecto fué una combinación de estiércol de oveja seco, aplicado en una dosis en abril, y aplicaciones semanales de un alimento ligero para aves de corral desde mediados de junio a mediados de agosto. La producción de organismos zooplanctónicos y de fauna de fondo fué mejor durante la temporada que con cualquier otro procedimiento de fertilización estudiado.
The Minnesota Fisheries Organization raises from five to twelve million fingerlings of the walleye (Stizostedion v. vitreum) for stocking of lakes. Most of these fish are produced in drainable ponds that have been built on suitable sites throughout the lake regions. The remainder are raised in natural ponds that usually cannot be filled or drained and in which water levels are regulated by rainfall, spring seepage or water table levels. The Organization operates 36 drainable ponds with a combined area of 263 ha. The number of natural ponds in use in any one year is determined by water levels and the resulting suitability of the ponds for fish production.
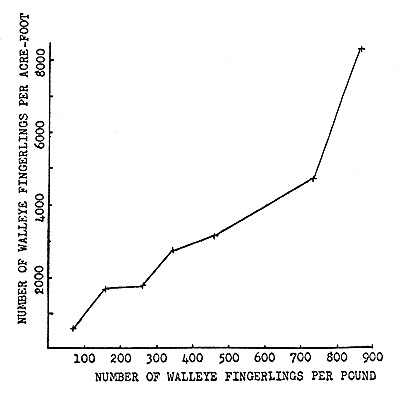
The size of the fish populations raised in these ponds usually varies somewhat from year to year because of losses from insect predation, cannibalism, or summer kill due to low oxygen levels. Even when the pond manager is able to control these factors or minimize their effects, yields still vary from year to year because of harvesting practices. If the ponds are harvested in mid-summer when the fish are small, the number of fish removed is larger than in years when the ponds are harvested in late summer or early fall when the fish are larger. This relationship between size of fish at harvest time and total yield (Fig. 1) holds until the basic fertility of the pond changes.
Chemical analyses of soil and water from both natural and artificial ponds have shown that the quantity of fish produced in a pond is more dependent upon the organic content of the soil than on the nitrogen content of the water. This relationship exists even though the primary food of fingerling walleyes during the first part of summer is microcrustaceans that depend indirectly upon water-borne nutrients for their existence. In all Minnesota ponds studied, zooplankton populations have been cyclic, with the greatest plankton pulse in the spring. During mid-summer microcrustaceans become scarce and walleye fingerlings either change to insect foods or become cannibalistic. In ponds where the organic content of the soil is greater than 4.0 percent, there are usually enough aquatic insects (especially Tendipedid larvae) to feed the fingerlings until microcrustaceans become abundant again in late summer. In ponds with less than 4.0 percent organic matter in the soil, insects are usually scarce and fingerlings are often lost from cannibalism (Fig. 2) when there is a shortage of microcrustaceans. Soils of a given organic content usually produce more fish in natural ponds (represented by bars with vertical stripes in Fig. 2) than in drainable ponds (white bars) where the water is changed every year.
Fertilization practices for the drainable walleye ponds are designed mostly to supply organic materials (usually barnyard manure is used) to grow bacteria which in turn feed microcrustaceans. In fertilized ponds cladocera populations in May and June are more than adequate to feed all the fry and small fingerlings. However, copepod and bottom fauna populations do not benefit greatly from these practices, and most ponds fertilized in this manner have an insufficient supply of fish food organisms to feed the larger fingerlings of July and August. Most organic fertilizers release enough phosphorus into the water to promote growths of algae or aquatic vegetation.
Fish culturists have obviated the problem of food shortages in July and August by removing the fish before they become cannibalistic. Consequently, pond reared walleyes may be stocked in lakes at such a small size that they cannot compete with native fish and are probably eaten by both perch and walleyes native to the lake.
In 1957 the United States Department of Interior under the Dingell-Johnson program provided funds for the construction and operation of ten 0.4 ha ponds at Waterville, Minnesota for a study of various fertilization methods and their effect on the production of fish food organisms. The plan of operation for the twelve-year study was designed to provide information on types and amounts of organisms produced by various fertilizers, fluctuations in biotic populations throughout the growing season and from year to year, effect of each fertilizer on soil and water fertility, and nuisance conditions that might result from various fertilization methods.

Fig. 1 Relationship between population size and size of fish at harvest in Minnesota drainable walleye rearing ponds.

Fig. 2 Relationship between organic content of the soil and fish production in Minnesota artificial and natural walleye rearing ponds. Bars with vertical strips represent natural ponds. White bars represent artificial ponds.
It should be noted that these ponds have quite hard water (total alkalinity 114 ppm) and a moderate basic nitrogen and phosphorus fertility (see Fig. 3). In the following discussion concentrations of nitrogenous compounds are recorded as nitrogen and all phosphorus analyses are for total phosphorus as obtained from acid digestion of water samples. Concentrations are recorded as pounds per acre foot. These can be transformed to parts per million by dividing by 2.718 and to kilograms per hectare by multiplying by 1.1204.
The large walleye rearing ponds in Minnesota - often as large as 16 ha - are fertilized with organic manures in late fall or early winter when the bottoms are frozen hard enough to support heavy trucks or tractors. In March each pond is filled with water from the nearest lake or river. Each pond is treated with fuel oil to kill predatory insects and is stocked with fry in May. Fingerlings are harvested in July or August, and the ponds are left drained over winter. The experimental ponds at Waterville are operated under a similar plan but are not stocked with fish.
The objectives in fertilizing Minnesota rearing ponds are to increase microcrustacean populations in July and August and bottom fauna populations in July while at the same time keeping growth of algae and aquatic vegetation at minimum levels.
Inorganic fertilizers that have been recommended by some pond workers in the United States usually contain large amounts of nitrogenous compounds and enough phosphorus to produce vegetation problems in Minnesota where ponds often have a high natural fertility. Most organic fertilizers contain less nitrogen and phosphorus and the rate of release into the pond waters is slower. For example, commonly used inorganic fertilizers with 2.2 kg of nitrogen per 1,000 m3 of water will also supply 1.3 to 1.9 kg of phosphorus. In contrast organic fertilizers that will provide 2.2 kg of nitrogen will supply only 0.6 to 0.8 kg of phosphorus. Even this small amount of phosphorus is apt to result in vegetation problems in Minnesota ponds.
During the first year of this study all ponds were filled with water in June and none were fertilized. After one season of study, those most similar in water and soil chemistry and production of aquatic animals were paired for future experiments. Two ponds were operated as unfertilized controls. Another pair fertilized with enough dried sheep manure to provide 2.2 kg of nitrogen per 1,000 m3 of water (the fertilization rate in the large production ponds) were considered to be fertilized controls. The remaining three pairs were fertilized during 18 pond seasons with ammonium nitrate, superphosphate, muriate of potash, a chelate, dried sheep manure, and brewer's yeast.
In the unfertilized control ponds the nitrogen content of the water was highest in April and May with a gradual decline until the ponds were drained in August (Fig. 3). Phosphorus was highest in April and uniformly low the remainder of the season. Zooplankton populations were moderately high in all seasons but not adequate for fish production in July and August. Bottom fauna populations were low most of the summer.
Two ponds were fertilized with enough ammonium nitrate to provide 2.2 kg of nitrogen per 1,000 m3 of water. The ammonia and the nitrate in this fertilizer were in solution within a few hours, but in two months denitrification processes had apparently released most of the added nitrogen into the atmosphere as nitrogen gas (Fig. 4) (the heavy lines in this and succeeding figures represent total nitrogen of the control pond). Microcrustacean and bottom fauna populations were not increased over those in the control pond by this fertilization.
Two ponds were fertilized with enough superphosphate to supply 1.7 kg of P2O5 per 1,000 m3 of water. This fertilizer made no contribution to the organic content of the pond water (Fig. 6). The amount of phosphorus so added was enough to produce dense mats of filamentous algae which formed a good substratum for the production of a fairly large population of bottom fauna in July and August. Zooplankton populations were not any larger than those in the control ponds. A large percentage of the phosphorus was lost by precipitation to the soil by mid-summer. However, some of this phosphorus may be recycled in the following seasons.

Fig. 3 Water chemistry, zooplankton and bottom fauna populations of Waterville experimental pond 3 which was used as a control from 1958 to 1963.

Fig. 4 Water chemistry, zooplankton, and bottom fauna populations of Waterville experimental pond 2 which was fertilized with enough ammonium nitrate to supply 6.0 pounds of nitrogen per acre-foot of water in 1960.

Fig. 5 Water chemistry, zooplankton and bottom fauna populations of Waterville experimental pond 1 which was fertilized with enough superphosphate to supply 6.0 pounds of P2O5 per acre-foot of water in 1960.

Fig. 6 Water chemistry, zooplankton and bottom fauna populations of Waterville experimental pond 5 which was fertilized with enough dried sheep manure to supply 6.0 pounds of nitrogen per acre foot of water in 1962.
Two ponds were fertilized with enough of the soluble muriate of potash to provide 1.6 kg of potassium per 1,000 m3 of water. The pond water was not analyzed for potassium. The addition of this material had no measurable effect on either the nitrogen or phosphorus metabolism of the ponds or on the production of aquatic organisms.
Two ponds were treated with a trace element supplement containing manganese, iron, calcium, copper, zinc, iodine, cobalt and boron that is used in livestock feeds, and two were treated with the chelate Versonal 120. Neither of these treatments had a measurable effect on the general water chemistry or the biological populations in the ponds. The chelate when used alone had a dampening effect on pH which normally rises to high levels in mid-summer, but when used with dried sheep manure this effect was not noticeable.
Dried sheep manure was used as the principal organic fertilizer in these studies, because it is similar to the barnyard manures that are used for fertilizing the large walleye ponds but is more uniform in chemical composition than barnyard manure. Two ponds were fertilized with enough dried sheep manure in April to add 2.2 kg of nitrogen per 1,000 m3 of water. Throughout the entire study these ponds produced large populations of microcrustaceans in May and June and moderate-sized populations in July and August (Fig. 6). Bottom fauna production was fairly high in June. Dried sheep manure decomposes slowly and fertilization at this rate had no noticeable effect on the nitrogen content of the pond water either immediately or later. However, large amounts of phosphorus were released into the water within a few hours after the application of the manure and large mats of filamentous algae developed a few weeks later.
Dried sheep manure was also used at rates whereby 1.1, 3.3 and 4.4 kg of nitrogen were added per 1,000 m3 of water. Populations of microcrustaceans and bottom fauna from these applications were similar to those produced by the standard rate of 2.2 kg of nitrogen per 1,000 m3 of water. Only the highest rate of fertilization (4.4 kg) contributed a noticeable amount of nitrogen to the pond water. Release of phosphorus was proportionate to the amount of fertilizer used. Fertilization with enough dried sheep manure to provide 1.1 kg of nitrogen per 1,000 m3 seems to be the most practical of the four rates because production of animal plankton and benthic organisms was as good as with heavier rates of application and release of phosphorus was lowest.
The fertilizers used so far in this study were applied to the pond waters to supply organic materials and other nutrients to directly or indirectly feed bacteria that would be food for microcrustaceans. In May and June these materials were very effective in producing large populations of cladocerans. Such cladocerans can strain bacteria from pond waters for food. However, in July and August materials released from manures were not effective in producing sizeable populations of copepods, probably because these animals require food organisms large enough to be caught by clasping. Therefore, the operational plan was altered to include weekly applications of yeast, which, it was hoped would supply particles large enough to be eaten by most copepods.
Two ponds were treated with weekly applications of brewer's yeast at the rate of 112 kg per ha starting in April. These applications resulted in a very large population of cladocerans in May and June but, contrary to expectations, produced only small populations of copepods in July and August (Fig. 7). Bottom fauna populations were large throughout summer and were better than those produced by any other method of fertilization. The yeast had no measurable effect on the organic content of the water, but phosphorus concentrations increased gradually through the season.

Fig. 7 Water chemistry, zooplankton, and bottom fauna populations of Waterville experimental pond 1 which was fertilized with brewer's yeast at the rate of 100 pounds per acre per week for 15 weeks in 1962.

Fig. 8 Water chemistry, zooplankton, and bottom fauna populations of Waterville experimental pond 2 which was fertilized with enough dried sheep manure to provide 6.0 pounds of nitrogen per acre-foot of water and 9 weekly applications (100 pounds per acre each week of brewer's yeast starting June 15, 1962.
Two other ponds were fertilized in April with dried sheep manure at the standard rate (2.2 kg N/1,000 M3) to produce a suitable population of cladocerans in May and June. Weekly applications (112 kg/ha) of brewer's yeast were started on June 15 as the cladoceran populations declined. With this treatment a good-sized crop of copepods appeared in late June and July (Fig. 8). The combination also resulted in large bottom fauna populations from May to August. Contribution to the nitrogen concentration of the water was negligible, but the release of phosphorus was much greater than desirable. This manure yeast combination produced the best seasonal distribution of animal plankton and benthic populations obtained from any of the fertilization methods. Yeast produced the only definite increase in bottom organisms measured thus far.
Fish ponds that are drained annually lose water and soil fertility and in them fish production declines. In Minnesota walleye rearing ponds fertilizers added to the water have had very little or no effect on soil fertility. Soil fertility can probably be increased by “green fallowing”, a program whereby each pond is dried out occasionally, so the bottom can be planted with an agricultural crop which will be ploughed into the soil after it has matured and before the pond is refilled with water. The Waterville ponds will be planted with rye and soybeans for a five-year study of this method of soil enrichment.
Even though most fish ponds grow large amounts of aquatic vegetation it still seems desirable to raise crops of terrestrial vegetation on the pond bottoms because these plants offer a better form of soil enrichment than aquatic plants. Aquatic plants contain a higher percentage of water and, consequently, less nutrients than terrestrial plants. Of these nutrients, aquatic vegetation has higher percentage of phosphorus than terrestrial vegetation. Roots of terrestrial vegetation penetrate farther into the soil than those of aquatic plants. Mineralization of bottom deposits during the period when the pond is dry is also beneficial in that it releases nutrients bound in the sediments.
In Waterville, Minnesota, U.S.A., several kinds, types, and concentrations of fertilizers have been added to ponds to produce fish food organisms, and the effects of these on pond chemistry and production have been measured. Inorganic salts of nitrogen, phosphorus, and potassium added to the pond waters were not effective alone in increasing the size of zooplankton populations. Phosphate fertilizers produced dense mats of filamentous algae that formed a good substratum for insect growth, but this also resulted in heavy algal growths that were a nuisance in the management of the ponds.
Organic fertilizers (dried sheep manure and yeast) were more effective in increasing the size of animal plankton and benthos populations. A combination of dried sheep manure and brewer's yeast provided the best production of microcrustaceans and insects throughout the summer. However, release of phosphorus by these fertilizers was enough to produce nuisance populations of algae or aquatic vegetation.
Green fallowing of the bottom soils of drained ponds will be tried and may prove to be the most practical method of increasing zooplankton and benthos populations during the last half of summer without producing nuisance problems. This has possibilities because the terrestrial vegetation which is incorporated into the soil by this method is comparatively low in phosphorus.