par
C. REIZER
Centre Technique Forestier Tropical
Bouaké, Côte d'Ivoire
INFLUENCE DE LA DISTRIBUTION DE NOURRITURE ARTIFICIELLE SUR LA MORTALITE DES JEUNES ALEVINS, LA CROISSANCE PRE-ADULTE ET LA MATURITE SEXUELLE D'HETEROTIS NILOTICUS ERH.
Résumé
L'auteur s'est préoccupé de définir l'influence de trois types de nourriture artificielle (tourteau d'arachides, graines de coton concassées et son de riz), sur la mortalité infantile, la croissance pré-adulte et la maturité sexuelle d'Heterotis niloticus.
Pour ce qui concerne la mortalité des jeunes alevins, le tourteau d'arachides doit être préféré à tout autre aliment. Il permet un pourcentage de survie supérieur.
Sur le plan de la croissance et du rendement pondéral, tourteau et graines de coton concassées sont supérieurs au son de riz. Le rendement unitaire maxima a été de 2.500 kg/ha/an.
Le bilan financier est très largement déficitaire dans le cas des deux premiers aliments. Le son de riz, par contre, permet une rentabilité acceptable de l'élevage. Non nourris, les Heterotis atteignent des tailles comparativement faibles et le bilan financier est inférieur à celui que l'on obtient avec le son de riz.
La maturité sexuelle est fonction du poids à un âge déterminé; la distribution de nourriture artificielle exerce une influence favorable et permet, dans certains cas, de l'avancer d'environ un an.
INFLUENCE OF ARTIFICIAL FEEDING ON MORTALITY OF YOUNG FRY, PRE-ADULTHOOD GROWTH AND SEXUAL MATURITY OF HETEROTIS NILOTICUS ERH.
Abstract
The writer tried to determine the influence of three types of artificial food (peanut-oil cakes, crushed cottonseed and rice bran) on mortality of young fry, pre-adulthood growth and sexual maturity of Heterotis niloticus.
Peanut-oil cake is preferable to any other food as it permits a higher rate of survival of young fry.
As regards growth and gain in weight, oil cake and crushed cottonseed give better results than rice bran. Maximum per unit yield was 2,500 kg/ha/year.
A financial deficit occurred with the use of the first two foods. Rice bran, on the other hand, makes the raising of young fry a paying proposition. If not fed artificially, the Heterotis only grow to relatively small size and the financial returns are lower than those obtained if rice bran is fed.
Sexual maturity depends on weight at a certain age; the distribution of artificial food has a favorable impact and in certain cases leads to the attainment of sexual maturity about one year before normal.
INFLUENCIA DE LA DISTRIBUCION DE ALIMENTO ARTIFICIAL EN LA MORTALIDAD DE ALEVINES JOVENES, EN EL CRECIMIENTO PREADULTO Y EN LA MADUREZ SEXUAL DE HETEROTIS NILOTICUS ERH.
Extracto
El autor se ha preocupado de definir la influencia de tres tipos de alimentación artificial (torta de maní, semilla de algodón machacada y selvado de arroz) en la mortalidad juvenil, el crecimiento preadulto y la madurez sexual de Heterotis niloticus.
En lo que se refiere a la mortalidad de los jóvenes alevines, la torta de maní debe ser preferida a todo otro alimento y permite un porcentaje de supervivencia superior.
En el plano del crecimiento y del rendimiento ponderal, la torta y las semillas de algodón machacadas son superiores al salvado de arroz. El rendimiento unitario máximo ha sido de 2.500 Kg/ha/año.
El balance financiero es muy deficitario en el caso de los dos primeros alimentos. El salvado de arroz, por el contrario, permite una rentabilidad aceptable de la cría. Sin proporcionarles alimentos, los Heterotis alcanzan tallas relativamente bajas y el saldo financiero es inferior al que se obtiene con el salvado de arroz.
La madurez sexual es función del peso a una edad determinada; la distribución de alimento artificial ejerce una influencia favorable y permite, en ciertos casos, adelantarla en un año aproximadamente.
Parmi les qualités que doit posséder un poisson que l'on désire utiliser en pisciculture intensive, l'acceptation de la nourriture artificielle et la possibilité d'un élevage à grande densité d'individus sont essentielles et immédiatement vérifiables.
Dans le cas particulier d'Heterotis niloticus, il était également important de vérifier l'hypothèse de la nourriture artificielle, cause des mortalités infantiles massives.
L'essai dont nous rendons compte ici a donc poursuivi un but triple:
Mettre en évidence une éventuelle action défavorable de la nourriture artificielle sur les très jeunes alevins,
Etudier comparativement la croissance de lots nourris avec le même poids de nourritures diverses pendant la vie pré-adulte des poissons,
Déceler l'action de la nourriture artificielle sur l'âge de reproduction.
Les divers travaux menés jusqu'alors à la Station de recherches piscicoles de Bouaké avaient permis de dégager une certitude : la fragilité extrême des alevins, surtout durant le tout jeune âge. Or, pour réaliser l'expérience présente, il fallait nécessairement connaître le nombre d'alevins avec une approximation suffisante et sans que la manipulation puisse être la cause principale des mortalités.
Nous avons donc imaginé l'appareil suivant qui nous a donné entière satisfaction. Il se compose d'une caisse en bois de 65 cm × 30 cm × 25 cm, ouverte à la partie supérieure et dont le fond est percé à une extrémité d'une ouverture à laquelle est adapté un robinet de 35 mm de diamètre. Cette caisse porte sur le fond et les grands côtés, des rainures se correspondant parfaitement et dans lesquelles coulissent des plaques métalliques. Celles-ci permettent de diviser la caisse en un certain nombre de compartiments égaux. La caisse est peinte en blanc à l'intérieur.
Dans le cas présent, nous avons procédé comme suit :
La caisse est exempte de cloisons transversales. La vanne de vidange est fermée. On la remplit de 5 à 8 cm d'eau.
Les alevins sont pris à l'épuisette en tulle moustiquaire et déposés avec précaution dans l'appareil.
Par tâtonnements successifs, on essaie d'obtenir une répartition uniforme des alevins sur le fond.
Une fois cette uniformité acquise, on laisse descendre rapidement le nombre de cloisons permettant de séparer l'essaim en autant de lots qu'on le désire.
Dans notre cas particulier, nous avions besoin de 5 lots d'importance numérique semblable. Par la suité, il est toujours possible de corriger les petites erreurs en soulevant légèrement une des cloisons de façon à favoriser le passage d'alevins d'un caisson à l'autre.
On ajoute de l'eau dans la caisse afin d'obtenir une profondeur de 20 cm.
Le premier caisson est vidé dans un seau par l'ouverture du robinet-vanne. Le deuxième et les suivants par enlèvements successifs des autres cloisons.
Les 4 premiers lots de poissons sont placés dans leurs étangs respectifs.
Le cinquième lot est sacrifié et ramené en laboratoire. C'est sur lui qu'ont été effectuées les opérations de comptage.
Nous avons testé l'appareil en sacrifiant délibérément plusieurs essaims.
L'erreur maxima encourue avec un seul observateur atteint 5%. On n'a pu relever aucune mortalité résultant de cette manipulation (1).
L'opération de mise en charge eut lieu le 27/7/1963. Les alevins étaient âgés d'environ 10 jours et étaient tous issus du même essaim. Les étangs D6, D7, D8 et D9 (surface : 4 ares), reçurent chacun 450 alevins ± 5%, soit entre 428 et 472 alevins.
Nous avons expérimenté avec les 3 types de nourriture habituellement utilisés à la Station : -
| étang D6 | : | son de riz, |
| étang D7 | : | graines de coton concassées, |
| étang D8 | : | tourteau d'arachide, |
| étang D9 | : | témoin, sans nourriture. |
Les quatre lots de poissons ont été élevés depuis le 27 juillet 1963 jusqu'aux 6–9 janvier 1965 dans les mêmes étangs.
La première vidange de contrôle fut retardée jusqu'aux 13–16 janvier 1964 afin qu'elle ne puisse être cause de mortalités massives parce qu'effectuée sur des poissons trop jeunes.
A ces dernières dates, une redistribution générale ayant pour but de compenser numériquement les chiffres inférieurs du témoin a été effectuée sur la base de 75 alevins de 70 grammes de moyenne par étang. Lors des vidanges, afin d'éviter des interférences dues à des effets à long terme de la nourriture, chaque lot de poissons était remis dans son étang d'origine après les contrôles en nombre et en poids. De même, pour réduire au maximum les chutes de croissance dues aux manipulations, les vidanges et remplissages se faisaient dans le laps de temps le plus court possible. Les organismes planctoniques plaqués au sol par le retrait des eaux ne subissaient pas d'assec supérieur à une heure. Il leur restait toujours suffisamment d'humidité pour survivre.
Des risques de surcharge étaient à craindre à partir de juillet 1964. Aussi, lors des vidanges de ce mois, il a été effectué un échantillonnage dans chaque lot et on n'a gardé que 50% des sujets. Ces derniers ont été choisis dans toute la gamme des tailles de façon à éviter une éventuelle sélection sexuelle. La première partie de l'expérience s'est terminée avec la première vidange, soit en janvier 1954. Nous estimions, en effet, qu'âgés de 6 mois, les alevins avaient échappé pour la plupart aux très grosses mortalités infantiles. Les résultats ultérieurs confirmèrent cette impression.
Tableau I
Résultats chiffrés des vidanges des 13 – 16 Janvier 1964
| N' d'étang | Traitement | Poids (en grammes) | Longueur moyenne en mm | Nombre total | % de mortalité (1) | |||
| minimum | moyen | maximum | total | |||||
| D6 | Son de riz | 12 | 73,7 | 1,050 | 5.420 | 173,5 | 74 | 82,7 à 84,3 |
| D7 | Coton | 10 | 77,1 | 325 | 11.809 | 183,1 | 153 | 64,3 à 67,6 |
| D8 | Tourteau | 12 | 58,8 | 325 | 10.418 | 162,4 | 177 | 58,6 à 62,5 |
| D9 | Témoin | 10 | 58,1 | 320 | 2.034 | 162,2 | 35 | 91,8 à 92,6 |
Tableau II
Résumé de la situation statistique
| Age | Traitements comparés | Sigles | 95% | 90% |
| 12 mois | Coton - Arachide | L1 - L2 | - | - |
| Coton - Son de riz | L1 - L3 | + | + | |
| Coton - Témoin | L1 - L4 | + | + | |
| Arachide - Son de riz | L2 - L3 | + | + | |
| Arachide - Témoin | L2 - L4 | + | + | |
| Son de riz - Témoin | L3 - L4 | + | + | |
| 18 mois | Arachide - Coton | L'1 - L'2 | - | - |
| Arachide - Son de riz | L'1 - L'3 | + | + | |
| Arachide - Témoin | L'1 - L'4 | + | + | |
| Coton - Son de riz | L'2- L'3 | - | - | |
| Coton - Témoin | L'2- L'4 | + | + | |
| Son de riz - Témoin | L'3- L'4 | + | + |
- = différence non significative
Pour la seconde partie de l'essai, nous avons effectué des vidanges de contrôle aux dates ci-après, déterminant des temps de croissance suivants :
| 14–19 janvier 1964 | aux | 10–14 avril 1964 | : | 3 mois |
| 10–14 avril 1964 | aux | 15–18 juillet 1964 | : | 3 mois |
| 15–18 juillet 1964 | aux | 6–9 janvier 1965 | : | 6 mois |
A cette date, les Heterotis des lots ayant eu la meilleure et la plus mauvaise croissance ont été placés dans deux étangs de ponte différents où ils ont reçu la même nourriture qu'antérieurement et nous avons attendu les premières manifestations de l'instinct de reproduction.
Des contrôles biquotidiens de température ont été effectués dans les quatre étangs. Les mesures chimiques ont porté sur le pH, SBV, O2 dissous et concentration en Ca (période : toutes les deux à trois semaines, puis tous les deux mois). Les prélèvements de plancton ont été faits mensuellement. Les seules différences décelables ont été : (1)
une très légère tendance des étangs nourris à présenter un taux de saturation en O2 inférieur (56 à 60% pour 70%);
l'alimentation artificielle favorise nettement les rotifères;
l'étang nourri au tourteau d'arachide a une production phytoplanctonique supérieure.
Les traitements les plus favorables ont été le tourteau d'arachide et les graines de coton concassées. Il n'y a entre eux qu'une différence faible, mais malgré tout réelle. Le nombre d'alevins pêchés en D8 est plus élevé, par contre, leur poids est légèrement inférieur.
Le son de riz ne semble pas constituer une nourriture très intéressante pour les alevins d'Heterotis. Le pourcentage de mortalité est nettement plus élevé.
Dans l'étang témoin, n'ont été retrouvés que 35 poissons. De toute évidence, ils ont eu faim.
Il est remarquable de constater que les poids individuels minima et maxima sont comparables d'un lot à l'autre, sauf dans D6 où un individu exceptionnel atteignait (à 6 mois), 1.050 g; mais ici également, le poisson venant immédiatement après dans l'échelle pondérale accusait 255 g sur la balance.
4.2.1 Analyse mathématique des résultats Lorsqu'il s'agit de comparer les moyennes de plus de deux échantillons, on utilise habituellement la méthode de l'analyse de la variance. Celle-ci permet de juger en une seule opération de l'homogénéité de l'ensemble, mais elle ne permet pas de tester les relations entre deux échantillons à l'étude. Aussi nous avons préféré comparer les lots deux à deux par des tests d'homogénéité de moyennes (test “t”) L1 et L2, L1 et L3, L1 et L4, L2 et L3, L2 et L4, L3 et L4.

Fig.1 Courbes de croissance en fonction de la nourriture (poids moyens individuels)
Les calculs statistiques ont été conduits à partir des chiffres obtenus à 12 et 18 mois. Le résumé de la situation statistique est repris dans le Tableau II.
4.2.2 Interprétation des résultats
Aussi bien à 12 qu'à 18 mois, les lots nourris présentent des moyennes pondérales significativement plus élevées que celles du témoin.
A 12 mois, coton et arachide donnent des résultats statistiquement comparables. Par contre, ils assurent l'un et l'autre une meilleure croissance que le son de riz.
A 18 mois, coton et arachide sont toujours liés quoiqu'il y ait eu inversion, le tourteau prenant la tête. Ce dernier permet une croissance supérieure à celle du son de riz. Par contre, le coton est victime d'un ralentissement notable et sa moyenne n'est pas statistiquement différente de celle du son de riz.
Les courbes de croissance, quoique du même type sigmoïde, ont donc des allures différentes :
Ces différences pourraient s'expliquer assez bien par l'examen du cycle planctonique. En effet, celui-ci peut se résumer comme suit :
saison sèche : abondance de zooplancton, avec large dominance de Cyclops, quelques daphnidae. Des rotifères dans les étangs nourris. Les formes végétales sont peu nombreuses et peu abondantes : Cosmarium - Coelastrum - Pediastrum - Gloeocystis, etc..
saison humide : prédominance de plus en plus marquée du phytoplancton sur le zooplancton. Les cyclops semblent toujours aussi nombreux en valeur absolue, mais les espèces végétales dominent très nettement : Gloeocystis - Pediastrum - Botryococcus - Coelastrum.
Or dans les étangs nourris au tourteau et au coton, ce cycle semble exacerbé. L'eau a pris à partir de juillet-août une teinte verte dans toute son épaisseur. Des concentrations importantes de Gloeocystis apparaissent en surface. Il semble donc y avoir une relation directe entre le cycle planctonique et l'allure des courbes du graphique no 1.
Malgré les difficultés que l'on éprouve pour effectuer des mesures quantitatives de plancton, notre impression à l'issue des échantillonnages échelonnés sur 18 mois est que la concentration va en croissant de D9, D6 à D7, D8. Or, les moyennes pondérales périodiques correspondent parfaitement à ces observations. On peut donc avancer l'idée que la croissance d'Heterotis niloticus, poisson microphage, est directement fonction de la quantité de plancton, surtout végétal, cette dernière étant elle-même dépendante de la qualité de la nourriture artificielle distribuée.

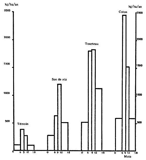
Fig.2 Croissance des populations d'Heterotis niloticus erh.

Fig.2 bis Evolution périodique du rendement (nombre de kg par ha et par an)
Tableau III
Croissance en fonction de la nourriture artificielle
| No de l'étang | Nourriture | Dates | Opérations | Nombre | Poids (en grammes) | Quotient nutritif | |||
| Maximum | Moyen | Minimum | Total | ||||||
| D6 | Son de riz | 14/1/64 | Charge | 74 | 1.050 | 73,7 | 12 | 5.460 | |
| 10/4/64 | Vidange | 64 | 1.650 | 184,4 | 35 | 11.805 | 40,3 | ||
| 15/7/64 | Vidange | 62 | 2.250 | 385,0 | 80 | 23.870 | 38,8 | ||
| 15/7/64 | Charge | 31 | 2.250 | 408,4 | 80 | 12.660 | |||
| 6/1/65 | Vidange | 28 | 3.030 | 873,7 | 70 | 24.465 | 72,2 | ||
| D7 | Coton | 15/1/64 | Charge | 74 | 270 | 773,1 | 12 | 5.410 | |
| 11/4/64 | Vidange | 61 | 1.200 | 490,5 | 175 | 29.925 | 10,6 | ||
| 16/7/64 | Vidange | 61 | 1.790 | 740,8 | 250 | 45.190 | 30,6 | ||
| 16/7/64 | Charge | 31 | 1.790 | 749,0 | 250 | 23.220 | |||
| 7/1/65 | Vidange | 31 | 2.530 | 1.084,3 | 180 | 33.615 | 85,4 | ||
| D8 | Tourteau | 19/1/64 | Charge | 76 | 320 | 71,3 | 12 | 5.425 | |
| 13/4/64 | Vidange | 65 | 970 | 358,7 | 85 | 23.315 | 14,7 | ||
| 17/7/64 | Vidange | 65 | 1.630 | 641,0 | 160 | 41.570 | 25,4 | ||
| 17/7/64 | Charge | 33 | 1.630 | 663,6 | 210 | 21.900 | |||
| 9/1/65 | Vidange | 33 | 2.545 | 1.347,2 | 510 | 44.460 | 39,7 | ||
| D9 | Témoin | 19/1/64 | Charge | 77 | 320 | 70,3 | 10 | 5.415 | |
| 14/4/64 | Vidange | 55 | 495 | 169,4 | 65 | 9.325 | |||
| 18/7/64 | Vidange | 55 | 730 | 218,9 | 70 | 12.040 | |||
| 18/7/64 | Charge | 28 | 730 | 225,3 | 70 | 6.310 | |||
| 9/1/65 | Vidange | 27 | 1.090 | 305,2 | 90 | 8.240 | |||
La courbe du lot nourri aux graines de coton présente une décélération sensible à partir du 9ème mois. Or les quantités de plancton augmentent régulièrement jusqu'à la fin de l'expérience. Celle-ci se termine alors que les Gloeocystis crèvent en surface de l'étang. La croissance ne se ralentirait-elle pas à la suite de l'accumulation du gossypol dans les eaux ? Observation qui semble confirmée par d'autres effectuées dans une expérience différente.
Signalons enfin que les courbes de croissance affectent toutes l'allure sigmoïde type. Il semble pourtant que le ralentissement ne se soit pas encore marqué pour le lot nourri au tourteau d'arachides.
L'examen des graphiques 3 à 6 montre que l'augmentation du poids moyen est beaucoup plus une conséquence de l'étalement de la courbe que d'une élévation du mode pondéral. En fait, cette augmentation est donc due plus à une meilleure croissance des individus de taille supérieure que des individus de taille inférieure. Finalement, on constate que, dans un lot d'Heterotis issus des mêmes parents, nés le même jour, ayant subi le même traitement, se trouvent des individus pesant 10 à 20 fois plus que d'autres.
| Exemple : | D7, | le 15/1/1964 | : | minimum | = | 12, | maximum | = | 270 |
| D8, | le 19/1/1964 | : | minimum | = | 12, | maximum | = | 160 | |
| le 13/4/1964 | : | minimum | = | 85, | maximum | = | 970 |
Certains individus vraiment exceptionnels atteignent même des tailles records en un temps relativement court. Témoin le poisson à poids maximum trouvé en D6 :
| le | 14/1/1964 | : | 1.050 g à 6 mois |
| le | 10/4/1964 | : | 1.650 g à 9 mois |
| le | 15/7/1964 | : | 2.251 g à 12 mois |
| le | 6/1/1965 | : | 3.030 g à 18 mois. |
Cette observation appelle immédiatement deux remarques :
Comme l'écrivait déjà Iltis (1), il est vraisemblable qu'il y a des possibilités réelles d'amélioration du cheptel Heterotis par simple sélection massale.
Pour disposer d'une moyenne pondérale statistiquement valable, il est nécessaire d'expérimenter sur des lots nombreux d'Heterotis.
La mise en charge initiale atteignait à peine 50 g. Elle peut donc être négligée.
Deux lots présentent un maximum de production entre 6 et 9 mois, coton et témoin. Les deux autres présentent un maximum plus tardivement entre 9 et 12 mois. Par la suite, tous les rendements diminuent. C'est donc entre 6 et 12 mois qu'Heterotis atteint son maximum de productivité et de croissance. Il semble donc, compte tenu du poids moyen individuel obtenu en ce laps de temps, que l'on n'a pas intérêt, en pisciculture intensive, à garder les Heterotis au-delà de un an.
Le maximum jamais atteint dans l'expérience l'est avec le coton. Il frôle les 2,5 tonnes/ha/an. Si l'on veut bien considérer qu'il s'agit là d'un élevage monospécifique et que la moyenne pondérale individuelle était de 490 g, on peut considérer ce résultat comme remarquable.

Fig. 3 Fréquences pondérales périodiques: tourteau d'arachide

Fig. 4 Fréquences pondérales périodiques: graines de coton

Fig. 5 Fréquences pondérales périodiques: son de riz

Fig. 6 Fréquences pondérales périodiques: témoin
Tableau IV
Fréquences pondérales périodiques
| No | Classes pondérales | Tourteau | Coton | Son de riz | Témoin | |||||||||||
| Limites en g | mois | mois | mois | mois | ||||||||||||
| 9 | 12 | 18 | 9 | 12 | 18 | 9 | 12 | 18 | 9 | 12 | 18 | |||||
| M | F | |||||||||||||||
| 0 | 0 | - | 49 | 10 | ||||||||||||
| 1 | 50 | - | 149 | 16 | 29 | 14 | 30 | 20 | 7 | |||||||
| 2 | 150 | - | 249 | 9 | 10 | 9 | 2 | 10 | 15 | I | 2 | 16 | 21 | 9 | ||
| 3 | 250 | - | 349 | 7 | 11 | 16 | 3 | 8 | 8 | 2 | 5 | 6 | 3 | |||
| 4 | 350 | - | 449 | 9 | 3 | 7 | 15 | 2 | 2 | 6 | 2 | 3 | 3 | 4 | ||
| 5 | 450 | - | 549 | 15 | 3 | 1 | 2 | 7 | 5 | 4 | 7 | 3 | 1 | 1 | 1 | |
| 6 | 550 | - | 649 | 2 | 4 | 4 | 4 | 1 | 2 | 2 | 2 | 1 | ||||
| 7 | 650 | - | 749 | 4 | 11 | 2 | 16 | 4 | 1 | 4 | 1 | 3 | ||||
| 8 | 750 | - | 849 | 1 | 6 | 2 | 4 | 2 | 1 | 2 | 1 | |||||
| 9 | 850 | - | 949 | 5 | 4 | 8 | 1 | 2 | 1 | 1 | ||||||
| 10 | 950 | - | 1049 | 2 | 4 | 2 | 1 | 7 | 8 | 5 | 1 | 1 | 1 | |||
| 11 | 1050 | - | 1149 | 2 | 1 | 1 | 3 | |||||||||
| 12 | 1150 | - | 1249 | 1 | 2 | 1 | 5 | 3 | ||||||||
| 13 | 1250 | - | 1349 | 2 | 2 | 1 | 2 | |||||||||
| 14 | 1350 | - | 1449 | 1 | 3 | 1 | ||||||||||
| 15 | 1450 | - | 1549 | 1 | 1 | 1 | 1 | |||||||||
| 16 | 1550 | - | 1649 | 1 | 6 | 1 | 3 | 1 | ||||||||
| 17 | 1650 | - | 1749 | 1 | 1 | 1 | ||||||||||
| 18 | 1750 | - | 1849 | 2 | 1 | 1 | ||||||||||
| 19 | 1850 | - | 1949 | 2 | 2 | 1 | ||||||||||
| 20 | 1950 | - | 2049 | 1 | ||||||||||||
| 21 | 2050 | - | 2149 | |||||||||||||
| 22 | 2150 | - | 2249 | |||||||||||||
| 23 | 2250 | - | 2349 | 2 | 1 | |||||||||||
| 24 | 2350 | - | 2449 | 1 | 1 | 1 | ||||||||||
| 25 | 2450 | |||||||||||||||
| Totaux | 65 | 65 | 33 | 62 | 60 | 31 | 64 | 62 | 12 | 16 | 55 | 55 | 27 | |||
| 28 | ||||||||||||||||
Tableau V
Rendement pondéral périodique
| Traitement | 0 à 6 mois | 6 à 9 mois | ||||||
| Charge | Vidange | Rendement | Rdt/ha/an | Charge | Vidange | Rendement | Rdt/ha/an | |
| Tourteau | - | 10.418 | 10.418 | 520,9 | 5.425 | 23.315 | 17.890 | 1.789,0 |
| Coton | - | 11.809 | 11.809 | 590,4 | 5.410 | 29.925 | 24.515 | 2.451,5 |
| Son de riz | - | 5.460 | 5.460 | 273,0 | 5.460 | 11.805 | 6.345 | 634,0 |
| Témoin | - | 2.034 | 2.034 | 101,7 | 5.415 | 9.325 | 3.910 | 391,0 |
| 9 à 12 mois | 12 à 18 mois | |||||||
| Tourteau | 23.315 | 41.570 | 18.255 | 1.825,5 | 21.900 | 44.460 | 22.560 | 1.128,0 |
| Coton | 29.925 | 45.190 | 15.265 | 1.526,5 | 23.220 | 33.615 | 10.395 | 519,7 |
| Son de riz | 11.805 | 23.870 | 12.065 | 1.206,5 | 12.660 | 24.465 | 11.805 | 590,2 |
| Témoin | 9.325 | 12.040 | 2.715 | 271,25 | 6.310 | 8.240 | 1.930 | 96,5 |
Tableau VI
Rendement pondéral final à l'hectare
| Traitement | Date de vidanges | Production | ||
| Partielle (kg) | Totale en 18 mois (kg) | Par ha et par an (kg) | ||
| Tourteau | 19/1/1964 | 4.933 | ||
| 17/7/1964 | 19.670 | |||
| 9/1/1965 | 44.460 | |||
| 69.123 | 1.152,05 | |||
| Coton | 15/1/1964 | 6.399 | ||
| 16/7/1964 | 21.970 | |||
| 7/1/1965 | 33.615 | |||
| 61.924 | 1.032,22 | |||
| Son de riz | 14/1/1964 | - | ||
| 15/7/1964 | 11.210 | |||
| 6/1/1965 | 24.465 | |||
| 35.675 | 594,58 | |||
| Témoin | 19/1/1964 | 3.381 | ||
| 18/7/1964 | 5.730 | |||
| 9/1/1965 | 8.240 | |||
| 10.589 | 176,48 | |||
Il est vraisemblable que, si nous avions pu disposer d'étangs sensiblement plus grands, 10 à 20 ares, la productivité à charge égale eut été meilleure.
Puisque nous étudions le poisson sur le plan “Pisciculture intensive”, nous nous placerons délibérément dans le cas où les alevins auraient été fournis de l'extérieur par une station d'alevinage, à l'âge de 6 mois. Nous négligerons donc pour le moment:
les frais occasionnés par la distribution de nourriture avant les vidanges de janvier 1964.
l'investissement nécessité par la construction des étangs d'engraissement.
Il a été distribué les quantités suivantes de nourriture:
| 1ère période | : | 4 kg par jour ouvrable, | soit | 292 kg | |
| 2ème période | : | 6 kg par jour ouvrable, | soit | 468 kg | |
| 3ème période | : | 6 kg par jour ouvrable, | soit | 876 kg | |
| Total | 1.636 kg |
Les prix de vente sur le marché de Bouaké sont fonction de la grosseur des poissons présentés:
Les vidanges ont chaque fois fourni des poissons appartenant à ces trois catégories. Le tableau VII en reprend le détail.
Il existe une différence fondamentale entre les trois aliments utilisés:
le tourteau d'arachides est un sous-produit industriel employé dans l'élevage intensif du bétail. Sa qualité de produit usiné le rend extrêmement onéreux. Le bilan financier est donc très largement déficitaire.
Les graines de coton concassées sont récupérées après défibrage. Mais elles ne peuvent malgré cela être considérées comme un déchet car leur teneur en huile les fait rechercher. Elles font l'objet d'un marché. Or, l'offre en graines non traitées contre les parasites est très faible en regard de la demande: le prix de vente est donc assez élevé. Le bilan financier sera ici aussi négatif.
Le son de riz, par contre, est un déchet non récupérable. Son prix de vente est dérisoire. Le bilan financier est hautement favorable.
Bien que le témoin n'ait reçu aucune nourriture et que, de ce fait, son prix de revient soit nul, le bilan financier est beaucoup moins favorable qu'avec le son de riz. C'est la conséquence des faibles poids totaux et individuels obtenus.
Il est donc de la plus haute importance de nourrir le poisson et d'utiliser à cette fin un produit de récupération à prix de vente nul ou très bas, c'est-à-dire d'un déchet non récupérable et ne bénéficiant d'aucun autre débouché.
Tableau VII
Rendement financier brut à 18 mois
| Traitement | Dates | à 80 F | à 100 F | à 150 F | TOTAUX (en francs CFA) | |||
| Poids | Prix | Poids | Prix | Poids | Prix | |||
| Tourteau | 17/7/1964 | 2.920 | 292 | 16.750 | 2.512 | 2.804 | ||
| 9/1/1965 | 44.500 | 6.675 | 6.675 | |||||
| 2.920 | 292 | 61.250 | 9.187 | 9.479 | ||||
| Coton | 16/7/1964 | 5.010 | 501 | 16.960 | 2.544 | 3.045 | ||
| 7/1/1965 | 2.100 | 210 | 31.515 | 4.725 | 4.935 | |||
| 7.110 | 711 | 48.475 | 7.269 | 7.980 | ||||
| Son de riz | 15/7/1964 | 1.320 | 105 | 5.520 | 552 | 4.370 | 655 | 1.312 |
| 6/1/1965 | 2.420 | 280 | 22.045 | 3.300 | 3.540 | |||
| 1.320 | 105 | 7.940 | 792 | 26.415 | 3.955 | 4.852 | ||
| Témoin | 18/7/1964 | 2.100 | 168 | 2.380 | 238 | 1.350 | 202 | 608 |
| 9/1/1965 | 1.795 | 143 | 2.965 | 296 | 3.480 | 522 | 961 | |
| 3.895 | 311 | 5.345 | 534 | 4.830 | 724 | 1.569 | ||
Tableau VIII
Rendement financier net à 18 mois (en francs CFA)
| Traitement | Quantité nourriture(kg) | Prix unitaire | Prix total | Prix vente | Rendement (F) | Rendement/ha (F) |
| Tourteau | 1.636 | 15 | 24.540 | 9.479 | - 15.061 | - 376.525 |
| Coton | 1.636 | 7 | 11.452 | 7.980 | - 4.472 | - 111.800 |
| Son de riz | 1.636 | 1 | 1.636 | 4.852 | + 3.216 | + 90.400 |
| Témoin | - | - | 0 | 1.569 | + 1.569 | + 23.535 |
A l'issue des dix mois, nous avons disséqué les Heterotis du lot D6, nourris au son de riz. C'est en effet la seule méthode qui nous permette de connaître le sexe de ce poisson. Aucun caractère sexuel primaire extérieur, aucun caractère sexuel secondaire; telles sont les particularités d'Heterotis niloticus.
Les résultats de cette vérification sont consignés dans le tableau IX. Le nombre de femelles est un peu plus important que celui des mâles. Or, dans la nature, tous les échantillons ont rapporté 50% de chaque sexe. Nous nous abstiendrons donc de tirer des conclusions, le nombre de poissons dont nous disposions étant trop faible.
Apparemment, la croissance moyenne des mâles semble un peu supérieure à celle des femelles malgré l'appoint considérable que représente pour ces dernières l'individu exceptionnel de 3.030 g. Ceci peut provenir d'une différence de croissance. Elle peut aussi ne refléter que le hasard de l'échantillonnage. Il importe donc de tester l'homogénéité des deux moyennes en cause.
La première question qui se pose à l'observateur est de savoir s'il faut ou non tenir compte de la femelle de 3.030 g. Dans le cas présent, il s'agit indiscutablement d'un individu exceptionnel et sa présence risque de fausser nettement le test d'homogénéité. Nous sommes donc d'avis qu'il faut l'éliminer.
Avec des échantillons numériquement aussi faibles, le test d'homogénéité de moyennes exige l'emploi de la formule suivante (1):
Variance de l'ensemble:
La variance standard de la différence des moyennes est alors:
et l'écart type est:
Appliquons le test de Student: 
On lit dans la table de “t”, que le seuil T γ correspondant, pour une sécurité de 95% à γ = (n1 + n2 - 2) = 26 degrés de liberté est T26 = 2,06. t = 2,01 est inférieur à T26 = 2,06. La population peut donc être considérée comme homogène.
En termes clairs, cela signifie que la différence observée entre les moyennes pondérales des deux lots n'est pas significative et peut être due au hasard. Il est évident que, dans le cas présent, cette conclusion est la conséquence de la grande dispersion qui existe autour de la moyenne de chacun des lots.
Lors de la vidange finale, nous avons réservé le lot ayant eu la meilleure croissance et celui ayant eu la plus mauvaise, soit, d'une part “tourteau d'arachides”, d'autre part “témoin”. Ces poissons furent placés dans deux étangs de ponte de 2,5 ares, respectivement E5 et E4 où on continua à leur distribuer la même nourriture qu'auparavant.
Tableau IX
Croissance comparée des mâles et des femelles
| M A L E S | F E M E L L E S | ||||
| X1 | X1 - X1 | (X1 - X1)2 | X2 | X2 - X2 | (X2 - X2)2 |
| 1.880 | 882,5 | 778.806.25 | 1.645 | 1.014,0 | 1.028.196.00 |
| 1.835 | 837,5 | 701.406.25 | 965 | 334,0 | 111.556.00 |
| 1.710 | 712,5 | 507.656.25 | 880 | 249,0 | 62.001.00 |
| 1.500 | 502,5 | 252.506.25 | 835 | 204,0 | 41.616.00 |
| 1.045 | 47,5 | 2.256.25 | 765 | 184,0 | 17.956.00 |
| 930 | 67,5 | 4.556.25 | 710 | 79,0 | 6.241.00 |
| 900 | 97,5 | 9.506.25 | 645 | 14,0 | 196.00 |
| 570 | 427,5 | 182.756.25 | 640 | 9,0 | 81.00 |
| 560 | 437,5 | 191.406.25 | 510 | 121,0 | 14.641.00 |
| 445 | 552,5 | 305.256.25 | 490 | 141,0 | 19.881.00 |
| 370 | 627,5 | 393.756.25 | 460 | 171,0 | 29.241.00 |
| 225 | 772,5 | 596.756.25 | 260 | 371,0 | 137.641.00 |
| 250 | 381,0 | 145.161.00 | |||
| 240 | 391,0 | 152.881.00 | |||
| 170 | 461,0 | 212.521.00 | |||
| n1 = 12 | ∑ = 3.926.625 | n2 = 15 | ∑ = 1.979.810 | ||
| X1 = 997,2 | X2 = 631,0 | ||||
Les premières manifestations sexuelles eurent lieu en E5 (lot nourri) vers le 13 juin 1965, avec la construction de deux nids. Les alevins apparurent le 16 juin, soit sensiblement en même temps que chez les Heterotis plus âgés placés dans les mêmes conditions.
Par contre, fin septembre, l'autre lot (témoin) n'avait encore donné aucun signe tangible de maturité sexuelle. Comme la saison de reproduction tire à sa fin, il est vraisemblable qu'il faudra attendre au mieux 1966 pour que les plus gros spécimens se reproduisent.
La maturité sexuelle semble donc être fonction non seulement de l'âge, mais également du poids des poissons. La rapidité de croissance pendant la période pré-adulte paraît exercer une influence déterminante sur l'âge de reproduction.
Afin de réduire à un taux acceptable la mortalité des jeunes alevins, il est absolument indispensable de leur distribuer de la nourriture artificielle.
Dans l'expérience présente, la supériorité du tourteau d'arachides sur les graines de coton n'était pas manifeste. Néanmoins, à différentes occasions, nous avons remarqué que les graines de coton non consommées se décomposaient très mal et formaient parfois une couche sur le fond des étangs. Les fermentations qui en découlaient lors de la remise sous eau suivante étaient dans ce cas catastrophique pour les jeunes alevins.
A cause de ces mortalités “a posteriori”, il est donc fortement indiqué d'utiliser le tourteau d'arachide pour alimenter les très jeunes alevins.
Il n'est pas nécessaire, sur le plan pratique, de garder les alevins jusqu'à 6 mois dans les étangs d'alevinage. Ils peuvent être déversés vers 3 mois ½ dans les pièces d'eau d'engraissement.
Tant pour obtenir une production acceptable que des poids individuels marchands, il s'avère bénéfique d'apporter aux Heterotis pré-adultes de la nourriture artificielle.
Afin de rentabiliser au mieux cet élevage, il est absolument nécessaire d'utiliser des déchets sans valeur marchande. Dans le cas particulier de l'expérience, le son de riz a donné le meilleur rendement financier, ce qui ne signifie pas qu'il soit le seul produit utilisable.
La croissance d'Heterotis semble dépendre autant du cycle planctonique que de la nourriture artificielle. La quantité de plancton est bien entendu fonction de la qualité de cette nourriture artificielle.
L'augmentation du poids moyen avec le temps apparaît liée à une meilleure croissance des gros individus. Finalement, on trouve dans un même lot des poissons pesant 10 ou 20 fois plus que d'autres. Il est donc important de réaliser les expériences avec des lots comportant de nombreux individus.

Fig. 7 Courbe longueur/poids
En élevage monospécifique et en petits étangs, le rendement pondéral à l'ha peut atteindre 2,5 tonnes/an lorsque l'on nourrit avec des graines de coton. On pourrait vraisemblablement augmenter encore cette production en utilisant des étangs d'engraissement plus grands.
Le maximum de production en poids est atteint entre 6 et 12 mois. Comme à l'âge d'un an les Heterotis présentent un poids moyen qui les rend négociables, on n'a donc pas intérêt en pisciculture intensive, à prolonger leur élevage au-delà de cette période.
Les mâles ont un taux de croissance statistiquement semblable à celui des femelles. En cherchant à améliorer le cheptel par simple sélection massale, on ne risque pas d'effectuer une sélection sexuelle au bénéfice des premiers.
La maturité sexuelle apparaît dépendre plus du poids des poissons que de leur âge. On peut l'avancer d'environ un an en plaçant les Heterotis dans des conditions favorables à leur croissance.
Iltis, A., 1961 Essai no 10 - Observations sur le comportement des Heterotis niloticus à la Station de Kokondekro. Nogent sur Marne, Centre Technique Forestier Tropical (Rapport de diffusion restreinte)
Reizer, C., 1964 Comportement et reproduction d'Heterotis niloticus en petits étangs. Bois For.Trop., (95):49–60
Reizer, C. 1964 Hydrobiologie des étangs de Kokondekro. Influence de l'épandage d'engrais et de la distribution de nourriture sur les organismes planctoniques. Nogent sur Marne, Centre Technique Forestier Tropical (Rapport de diffusion restreinte)