Los lípidos son un grupo heterogéneo de sustancias, encontradas tanto en tejidos vegetales como animales, se caracterizan por ser relativamente insolubles en agua y solubles en solventes orgánicos, como el éter, cloroformo y benceno.
Los lípidos pueden ser clasificados en dos grupos básicos, acorde a la presencia o ausencia del alcohol glicerol:

Los lípidos son una fuente importante de energía metabólica (ATP). De hecho de todos los nutrientes, los lípidos son los compuestos más energéticos, el valor energético global comparativo es:
| Lípidos | 9.5 Kcal/g |
| Proteínas | 5.6 Kcal/g |
| Carbohidratos | 4.1 Kcal/g |
De aquí que los lípidos se pueden utilizar como energía, de modo tal que las proteínas, nutrientes mucho mas valuables, se destinen exclusivamente para el crecimiento. En particular, los ácidos grasos libres, derivados de los triglicéridos (grasas y aceites) representan la principal fuente de combustible aeróbico para el metabolismo energético del músculo del pez.
Los lípidos son componentes esenciales de todos las membranas celulares y subcelulares (el tipo de lípidos involucrados incluye a los ácidos grasos poli-insaturados conteniendo fosfolípidos y ésteres del esterol).
Los lípidos sirven como vehículo biológico en la absorción de vitaminas liposolubles A, E, E y K.
Los lípidos son fuente de ácidos grasos esenciales, mismo que son indispensables para el mantenimiento e integridad de las membranas celulares. Se requieren para el óptimo transporte lipídico (ligados a fosfolípidos como agentes emulsificantes) y son precursores de la hormona prostaglandina.
Se considera que los lípidos juegan un papel importante como colchón mecánico para el soporte de los órganos vitales y ayudan en el mantenimiento de la flotabilidad neutra.
Son fuente de esteroides esenciales, mismo que desempeñan una amplia gama de funciones biológicas importantes (p. ej. el colesterol está involucrado en el mantenimiento de los sistemas de membrana, en el transporte lipídico y como precursor de la vitamina D3, los ácidos biliares y hormonas esteroidesandrógenos, estrógenos, hormonas adrenales y corticosteroides).
Desde el punto de vista de tecnología de alimentos, los lípidos actuán como lubricante, que ayuda en el paso del alimento a través del dial de la peletizadora; además ayudan a reducir el polvo en los alimentos y juegan un importante papel en la palatabilidad del alimento.
En los vegetales la energía es almacenada en forma de almidón, mientras que en los animales es en forma de glicógeno; sin embargo, tanto en vegetales como animales también puede ser almacenada en forma más compacta, como grasas o aceites. En los vegetales las grasas o aceites son formados a partir de los carbohidratos (p. ej. en las plantas conforme maduran las semillas, su contenido de grasa aumenta). En los animales las grasas pueden formarse también a partir de carbohidratos (p. ej. al engordar un cerdo a base de un alimento que en su mayoría está constituido por carbohidratos). Sin embargo a diferencia de los vegetales, los animales también pueden acumular grasa en su cuerpo a partir de a grasa ingerida. La única diferencia entre las grasas y aceites, es que los segundos tienen un estado líquido a temperatura ambiente, mientras que las grasas son semi- sólidas.
Las grasas y aceites, normalmente se encuentran en las materias alimenticias y en depósitos de grasa de la mayoría de los animales en forma de triglicéridos, que son ésteres de ácidos grasos y glicerol.

Las grasas y aceites encontrados en la naturaleza, están compuestos de trigliceros mezclados, donde el glicerol está unido por enlaces éster con diferentes tipos de ácidos grasos, por ejemplo: R1, R2, R3, son diferentes ácidos, entonces:

Ninguna grasa o aceite encontrados en la naturaleza, consisten de un solo triglicérido. Se puede ver que la unidad básica y variable de todos los triglicéridos es el ácido graso constitutivo, mismo que determinará las propiedades físicas y químicas del aceite o grasa.
Se sabe que en la naturaleza existen mas de 40 diferentes ácidos grasos. Todos ellos pueden ser representados por la fórmula general:
CH3 (CH3)n COOH
| donde: | n= | 0 en el ácido acético |
| n= | 1 en el ácido propiónico | |
| n= | 2 en el ácido butírico, etc., hasta n= 24 (donde n generalmente es un número par). |
Los ácidos grasos que comúnmente existen en la naturaleza, contienen un solo grupo COOH y una cadena de carbono (C) recta sin ramificaciones, la cual puede no contener dobles ligaduras (ácido graso saturado) o mas de una doble ligadura (ácidos grasos poli-insaturados, AGPI). El grado de saturación influenciará en gran medida las propiedades físicas de las grasas, de una manera general se puede decir que los ácidos grasos no saturados son químicamente más reactivos y presentan puntos de fusión más bajos que sus correspondientes ácidos grasos saturados. Ejemplo de ácidos grasos saturados e insaturados se dan a continuación:
LIPIDOS. Ejemplos de ácidos grasos saturados e insaturados.
| Acido graso | Estructura | Abreviación taquigráfica 1 |
| SATURADOS | ||
| Acido Butrírico | CH3 (CH2)2 COOH | 4:0 |
| Acido Caproico | CH3 (CH2)4 COOH | 6:0 |
| Acido Cáprico | CH3 (CH2)8 COOH | 10:0 |
| Acido Láurico | CH3 (CH2)10 COOH | 12:0 |
| Acido Mirístico | CH3 (CH2)12 COOH | 14:0 |
| Acido Palmítico | CH3 (CH2)14 COOH | 16:0 |
| Acido Esteárico | CH3 (CH2)16 COOH | 18:0 |
| NO SATURADOS2 | ||
| Acido Palmitoleico | CH3 (CH2)5 CH=CH(CH2)7 COOH | 16:In=7 |
| Acido Oleico | CH3 (CH2)7 CH=CH(CH2)7 COOH | 18:In-9 |
| Acido Linoleico | CH3 (CH2)4 CH=CHCH2 CH=CH(CH2)7 COOH | 18:2n-6 |
| Acido Linolénico | CH3 CH2 CH=CHCH2 CH=CH2 CH= CH(CH2)7 COOH | 18:3n-3 |
| Acido Araquidónico | CH3 (CH2)4 CH=CHCH2 CH=CHCH2 CH=CHCH2 CH= CH(CH2)3 COOH | 20:4n-6 |
| Acido Eicosapentaenoico | CH3 CH2 CH=CHCH2 CH=CHCH2 CH=CHCH2 CH=CHCH2 CH=CH(CH2)3 COOH | 20:5n-3 |
| Acido Docosahexaenoico | CH3 CH2 CH=CHCH2 CH=CHCH2 CH=CHCH2 CH=CHCH2 CH=CHCH2 CH=CH(CH2)2 COOH | 22:6n-3 |
1 Número de átomos de carbono (C): número de dobles ligaduras y posición de la primer doble ligadura, contada a partir del grupometilo (CH3) terminal, en el ácido graso.
2 Líquido a temperatura ambiental
Acorde a dicha clasificación, los ácidos grasos poli-instaurados (AGPI) se pueden dividir en tres grandes familias, la serie oleica (n-9), la serie linoleica (n-6) y la serie linolénica (n-3), los nombres de las familias representan el miembro del grupo con la cadena más corta, otros miembros de la familia se derivan de éstos grupos básicos.
Con excepción del caracol terrestre (Cepaea nemoralis), los animales son incapaces de sintetizar de novo ácidos grasos con dobles ligaduras en las posiciones n-6 (serie linoleica) y en la n-3 (serie linolénica); únicamente los vegetales poseen esta capacidad de síntesis. Sin embargo, la mayoría de los animales son capaces de sintetizar cadenas de ácidos grasos saturados a partir del acetato, o de adicionar 2 unidades de carbono al grupo carboxilo de un ácido y adicionar más dobles ligaduras en el mismo lado del grupo carboxilo, de las ya existentes, pero no del lado del grupo metilo (Castell et al., 1986). Las rutas bioquímicas para la biosintesis de ácidos grasos poli-instaurados, en peces y crustáceos se pueden resumir como sigue

Acido linolénico, n-3
* Las flechas verticales muestran reacciones de elongación de cadena. Las flechas horizontales ilustran reacciones de desaturación.
Debido a que los animales no tienen la capacidad metabólica para sintetizar de novo, ácidos grasos de las series n-6 y n-3, dichos ácidos deberán ser incorporados en forma ya elaborada a la dieta. En el caso de los animales terrestres, se ha encontrado que las series linoleicas (n-6) muestran la mayor actividad de ácidos grasos esenciales (AGE), mientras que las series linoléicas (n-3) tienen una actividad parcial de AGE. Consecuentemente los ácidos grasos (AGPI) que predominan en los tejidos de los animales terrestres pertenecen a las series linoleica, a saber 18:2 n-6 (ácido linoleico) y 20:4 n-6 (ácido araquidónico).
Por el contrario, los AGPI más abundantes en los tejidos de peces y crustáceos, tanto para especies dulceacuícolas como marinas, pertenecen a las series linolénicas (n-3). Mientras que los AGPI de las series n-6 se presentan a una concentración más baja; sin embargo en series dulceacuícolas se han reportado niveles mayores de las series n-6. Quizás esto no sea sorprendente si consideramos que la dieta de peces de agua dulce contiene elementos derivados a partir de fuentes terrestres, que consecuentemente son ricas en ácidos grasos de las series n-6. De manera general se considera que los ácidos grasos de las series n-3, permiten un grado mayor de insaturación (requisito indispensable para una mayor fluidez de membranas, flexibilidad y permeabilidad a temperaturas bajas). De hecho, se piensa que el requerimiento dietético (preferencial) de los peces, para las series n-3 de AGE, sobre las series n-6 se debe fundamentalmente a la baja temperatura de su medio acuático (en comparación con los mamíferos). Y entre más baja sea la temperatura, mayor será la incorporación de AGPI de las series n-3 en los tejidos. Además de las diferencias en el contenido de AGPI n-6, en los tejidos de peces marinos y dulceacuícolas, los peces de agua dulce también muestran concentraciones mayores de AGPI de cadena corta, de las series n-3 en los tejidos.
Con excepción de peces estrictamente carnívoros, los peces son capaces de alargar y posteriormente desaturar ácidos 18:2 n-6 ó 18:3 n-3 (dependiendo de la especie de pez) al ácido graso altamente insaturado 22:6 n-3, en el caso de las series n-3. Se piensa que estos AGAI son responsables de funciones metabólicas atribuidas a los AGE. De hecho, para la mayoría de los peces, los AGAI tienen una mayor actividad de AGE que sus unidades básicas (18:2 n-6 ó 18:3 n-3):
En general, los peces dulceacuícolas de agua fría, muestran un requerimiento exclusivo para los AGPI de las series n-3 (18:3 n-3, 20:5 n-3, 22:6 n-3) en su dieta (p. ej. los salmónidos, el aligote “ayu”), mientras que las especies dulceacuícolas de zonas cálidas, requieren ambas series de AGPI tanto las n-3 como las n-6 (p. ej. las carpas, anguila y posiblemente el bagre), ó únicamente para las series n-6 (p. ej. Tilapia, y posiblemente el cabeza de víbora Chana micropletes; para revisión consultar Kanasawa, 1985). En el caso de peces marinos carnívoros (p. ej. Chysophyrs major “red sea bream”, la chopa Mylio macrocephalus, ojo de ópalo Girella nigricans, Fugu rubripens “puffer fish”, cola amarilla Seriola quinqueradiata, platija Pleuronectes platessa, dorada Sparus auratus, rodaballo Scopthalmus maximus) debido a que los organismos consumidos, son ricos en ácidos 22:6 n-3 y 20:5 n-3, han perdido la habilidad para alargar la cadena y desaturar aún más el ácido 18:3 n-3, hasta su AGAI correspondiente. Consecuentemente a los peces marinos carnívoros, se les deberán suministrar los ácidos grasos 22:6 n-3 ó 22:5 n-3 en una forma ya elaborada (Kanazawa, 1985). Los requerimientos dietéticos de peces para los AGE se resumen en la Tabla 7.
De una manera general, los requerimientos dietéticos de AGE para peces se ha visto que aumentan al incrementar el nivel lipídico y/o con disminución de la temperatura del agua (Catell et al., 1986).
Actualmente no existe información cuantitativa precisa, sobre los requerimientos de AGE en la dieta de camarones y langostinos, por lo que la información que se tiene debe considerarse como una sugerencia y no como algo definitivo. Sin embargo, se piensa que para camarones y langostinos, a semejanza de los peces los ácidos de las series n-3, tienen una mayor actividad como AGE, en comparación con las series n-6 (Castell et al., 1986; NCR, 1983; Sandifer 7 Joseph, 1976).
En general, los aceites provenientes de peces marinos, camarones y moluscos, son fuentes ricas de AGE de las series n-3; ejemplos de aceites cuyo contenido en ácidos 20:5 n-3 y 22:6 n-3 represente más del 20% del total de ácidos grasos incluyen el aceite de hígado de bacalao, aceite de sardina, aceite de barrilete, aceite de cabeza de camarón y aceite de hígado de calamar.
Por el contrario, los aceites de origen vegetal son ricos en ácidos 18:2 n-6 y contienen muy poco o nada de AGE de las series n-3 (con excepción del aceite de soya, aceite de nabo ó colza y particularmente aceite de lino, cuyo contenido de ácidos 18:3 n-3 puede exceder de 8, 7 y 56% respectivamente, en relación al total de ácidos grasos presentes). Ejemplos de aceites vegetales cuyos contenidos de ácidos 18:2 n-6 representan el 50% o más del total de ácidos grasos presentes, incluyen aceite de semilla de algodón, aceite de maíz, aceite de semilla de girasol y aceite de soya. Finalmente, en grasos de animales terrestres (manteca, sebo), harina de hígado, aceite de salmón, aceite de barrilete, aceite de hígado de calamar y en aceite de arenque, se han detectado cantidades traza (0.5–1.5 %) de ácidos grasos 20:4 n-6 (Figura 4).
Los fosfolípidos representan dentro del cuerpo del animal, el segundo componente lipídico más abundante después de los triglicéridos (grasas y aceites). Todos los fosfolípidos son sólidos grasos de color amarillo, y comparten la propiedad de ser solubles en solventes orgánicos, con excepción de la acetona (esta propiedad permite distinguirlos de los ácidos grasos).
A semejanza de las grasas y aceites, los fosfolípidos son ésteres de los ácidos grasos y glicerol. Sin embargo, mientras que en las grasas simples y aceites, el alcohol trihídrico ó glicerol esta esterificado a tres ácidos grasos, en los fosfolípidos únicamente dos de los grupos alcohol del glicerol están esterificados y el grupo restante tiene unido un ácido fosfórico y un base nitrogenada. Dependiendo de la base nitrogenada presente, los fosfolípidos pueden dividirse en dos grupos: lecitinas (la base nitrogenada es la colina) y cefalinas (la base nitrogenada es la etanolamina). Sus estructuras se representan como sigue:
| Bases nitrogenadas* | Fosfolipidos |
| 1) Colina | Lecitina (fosfatidilcolina, PC) |
![]() | ![]() |
| 2) Etanolamina | Cefalina (fosfatidiletanolamina, PE) |
![]() | ![]() |
* Otras bases nitrogenadas pueden incluir a la serina e inositol.
A partir de la fórmula estructural de los fosfolípidos, se puede ver que a semejanza de los ácidos grasos, presentan una región polar y otra no polar; sin embargo, a diferencia de los segundos, las funciones ionicas se incrementan en gran parte por la presencia del ácido fosfórico y la base orgánica nitrogenada, lo que resulta en la combinación de sitios hidrofílicos e hidrofóbicos (cadena de ácidos grasos) en la misma molécula. Debido a esta propiedad única de la superficie activa, es que los fosfolípidos en conjunción con las proteínas forman la estructura lipoproteíca básica de las membranas biológicas. Es interesante notar que los ácidos grasos contenidos en las moléculas de los fosfolípidos de los tejidos animales (R1, R2), son menos saturados que los ácidos grasos correspondientes de los triglicéridos (grasas y aceites). El aumento de la no saturación en los fosfolípidos, se debe en gran parte al aumento de los ácidos grasos poli-instaurados C20 y C22, que están casi exclusivamente unidos a la posición 2. En particular los ácidos grasos 20:5 n-3 y 22:6 n-3 (AGE), pueden representar el 80% del total de ácidos grasos encontrados en la posición 2. Es por ello que, al ocurrir una deficiencia de AGE, y hacer una determinación del contenido de fosfolípidos en el tejido corporal, se detecta la presencia de niveles elevados de ácidos grasos poli-instaurados, derivados del ácido oleico y palmitoleico; en contraste con una situación normal, donde predominan los ácidos grasos poli-instaurados, derivados del ácido linoleico. Los fosfolípidos también juegan un papel importante como agentes emulsificantes en los sistemas biológicos y están involucrados particularmente en el transporte de grasas dentro del cuerpo. Por ejemplo, los fosfolípidos pueden tomar parte en la emulsificación de los lípidos ofrecidos en la dieta, proceso que tiene lugar dentro del tracto digestivo: y son constituyentes de lipoproteínas de alta densidad y auxilian en el transporte de lípidos dentro del cuerpo (Kanazawa, Teshima & Sakamoto, 1985). Fuentes dietéticas ricas en fosfolípidos incluyen el huevo y aceite de soya.
TABLA 7. Requerimientos de ácidos grasos esenciales (AGE) en peces (Requerimientos expresados como porcentaje de la dieta seca)
| Peces | Requerimiento | Referencia |
| AGUA FRIA-AGUA DULCE | ||
| Trucha arco-iris | 1 % 18:3n-3 ó 1% AGAI n-3 | Castell et al., (1972); |
| Watanabe et al., (1974); | ||
| Yu & Sinnhuber (1972); | ||
| Takeuchi & Watanabe (1977) | ||
| Salmón “coho” | 1 % 18:3n-3 | Yu & Sinnhuber (1979) |
| Salmón “coho” | 1 % 18:3n-3+1 % 18:2n-6 | Takeuchi, WatanabeNose (1979) |
| ó 1 % AGAI n-3 | Takeuchi & Watanabe (1982) | |
| Aligote (“ayu”) | 1 % 18:3n-3 ó 1 % 20:5n-3 | Kanazawa (1985) |
| AGUA CALIDA-AGUA DULCE | ||
| Carpa común | 1 % 18:3n-3+1 % 18:2n-6 | Takeuchi & Watanabe (1977a) |
| ó 0.5–1.0 % AGAI n-3 | ||
| Bagre de canal | < 1 % 18:3n-3 | Robinson & Lovell (1984) |
| Tilapia zilli | 1 % 18:2n-6 ó 1 % 20:4n-6 | Kanazawa et al., (1980a) |
| Tilapia nilotica | 0.5–1 % 18:2n-6 ó 1 % 20:4n-6 | Teshima, Kanazawa & Sakamoto (1982) |
| Takeuchi, Satoh & Watanabe (1983) | ||
| Anguila | 0.5 % 18:2n-6 + 0.5 % 18:3n-3 | Takeuchi et al, (1980) |
| PECES MARINOS | ||
| Rodaballo | 0.6–1 % AGAI n-3 | Gatesoupe et al, (1977, 1977a) |
| Leger et al., (1979) | ||
| Chrysophrys major (Red sea bream) | 0.5-2.0 % AGAI.n-3 | Yone et al., (1978) |

Figura 4.
Composición de ácidos grasos esenciales (g/100G de ácido graso) de algunas grasas y aceites.
Se ha visto que los fosfolípidos presentes en la dieta, tienen un efecto benéfico, manifiesto en el crecimiento y sobrevivencia de larvas de peces marinos (“red sea bream” Chrysophrys major: Kanazawa et al 1983; mandíbula de chchillo Opleggnathus fasciatus: Kanasawa et al. 1983; aligote “ayu”: Kanazawa, Teshima & Sakamoto, 1985; Teshima et al., 1982; P. monodon: Páscual, 1984) alimentadas con dietas semi-sintéticas, en las que la colina y los AGE fueron adicionados por separado en cantidades iguales. Aún más, la eficiencia de los fosfolípidos en el crecimiento y sobrevivencia se ha demostrado que varía con el tipo y fuente de fosfolípidos usada. Por ejemplo, la eficiencia del huevo de bonito PC, de la soya PC y del fosfatidilinositol de soya (PI) se ha encontrado que es mucho mayor que el huevo de bonito PE, el cerebro de ovino PE, la fosfatidilserina del cerebro de ovino (PS) o el huevo de gallina PC, al ser evaluados en larvas de P. japonicus (Kanasawa, Teshima & Sakamoto, 1985). Estos investigadores también mostraron que el nivel óptimo de fosfolípidos para larvas de P. japonicus varía acorde a la fuente lipídica utilizada; así por ejemplo, encontraron un requerimiento de soya PC de 6.0% al utilizar ácidos grasos 18:1 n-9 y 1.0% de ácidos grasos altamente insaturados y de 3.5% cuando usaron aceite de hígado de abadejo como fuente lipídica. También se ha reportado un requerimiento del 3 % de soya PC para el aligote “ayu” (Kanazawa et al., 1983a) y para larvas de P. japonicus (Teshima et al., 1982) al utilizar aceite de (1) los fosfolípidos que contengan colina o inositol, ejercen un efecto positivo sobre el crecimiento y sobrevivencia (2) aquellos fosfolípidos que contengan ácidos grasos 18:2 n-6, 18:3 n-3, 20:5 n-3 y 22:6 n-3 en las moléculas, son más efectivos para promover el crecimiento y sobrevivencia y (3) la efectividad de los fosfolípidos parece depender de la naturaleza de los ácidos grasos localizados en las posiciones alfa y beta de la molécula del fosfolípido.
El efecto benéfico de los fosfolípidos en el crecimiento y la sobre vivencia de larvas de peces marinos y crustáceos, es particularmente sorprendente si estamos conscientes de la habilidad natural de esos organismos para biosintetizar fosfolípidos a partir de ácidos grasos y diglicéridos (Lui, Sage y O'Connor, 1974). Aunque falta por confirmar un verdadero requerimiento de fosfolípidos en la dieta, bajo condiciones reales de cultivo se ha sugerido que la esencialidad dietética de los fosfolípidos (si es que la hay) se debe a un requerimiento específico de fosfolípidos para el transporte de ácidos grasos dentro del cuerpo, así como a la lentitud en la velocidad de biosintesis de los fosfolípidos en relación a su demanda metabólica durante la fase de desarrollo larvario (Teshima, Kanazawa, Kakuta, 1986).
Los glicolípidos son similares a los fosfolípidos, en el sentido de que su estructura está basada en el glicerol y que tienen dos de los grupos alcohol esterificado por ácidos grasos, pero difieren de ellos por tener el tercer grupo ligado a un azúcar.

Los lípidos presentes en el pasto y trébol, que constituyen la mayor parte de la grasa dietética en los rumiantes, son en su mayoría galactolípidos (60 %). En general, aproximadamente el 95 % de los ácidos grasos presentes, es ácido linoleico (18:2 n-6).
Las ceras son ésteres de ácidos grasos con alcoholes monohídricos de alto peso molecular. A semejanza de las grasas, las ceras naturales son mezcla de diferentes ésteres, generalmente sólidas a temperatura ambiente. Las ceras se encuentran ampliamente distribuídas tanto en plantas como en animales, actuando como agentes protectores. Por ejemplo, la cera se encuentra presente dentro de la cutícula de las hojas y frutos, ayudando a minimizar la perdida de agua por transpiración; mientras que en los animales, las plumas y lana están protegidas del agua, dada la naturaleza hidrofóbica de la cubierta cerosa de las mismas. Entre las ceras de origen animal que mejor se conocen, figura la lanolina (obtenida a partir de lana), cera de abejas (una secreción de insectos) y el espermaceti, obtenido a partir del esperma de ballena.
En algunos animales acuáticos, las ceras a menudo reemplazan a los triglicéridos. Por ejemplo, en algunas ballenas y en algunos crustáceos, como el copépodo Calanus sp, los ésteres de cera representan el principal componente de los depósitos grasos. A pesar de que las ceras no son hidrolizadas por animales terrestres y por ende no tienen un valor nutricional real, ciertos animales acuáticos, como peces marinos (p. ej. sardinas, arénque, salmón) son capaces d fraccionar los ésteres de las ceras, dejándolas disponibles para la digestión. Sin embargo dado, que la fracción de ácidos grasos de estas ceras generalmente está saturada; así como a la deficiencia en AGPI de cadena larga, probablemente las ceras únicamente funcionen como fuentes energéticas, más bien que para propósitos estructurales.
Los esteroides incluyen un muy importante grupo de substancias ampliamente distribuidas, comprende a los esteroles, ácidos biliares, hormonas adrenales y hormonas sexuales. No obstante que los esteroides tienen un amplio rango de propiedades biológicas, su unidad estructural básica es un núcleo de fenantreno, unido a un anillo de ciclo-pentano.

Los compuestos individuales difieren en el número, posiciones de sus dobles ligaduras y en la naturaleza de la cadena lateral unida al átomo de carbono 17. En éste apartado se hará referencia únicamente al zoosterot, colesterol y a los ácidos biliares.
El colesterol se encuentra ampliamente distribuido en el cuerpo de los animales, siendo particularmente abundante en el tejido nervioso y cerebro, sangre, bilis, hígado y en la piel. Dentro del cuerpo, el colesterol puede existir en un estado libre (p. ej. el colesterol es el principal componente de los cálculos biliares) ó en su forma esterificada con ácidos grasos y otros ácidos orgánicos.
El colesterol realiza muchas funciones importantes dentro del cuerpo:
Es un componente esencial de los sistemas de biomembranas en todas las especies eucarióticas, junto con los fosfolípidos y proteínas. El grueso del colesterol, en los tejidos animales está asociado con los sistemas de membranas.
Muchos esteroles importantes, encontrados dentro del cuerpo, son sintetizados a partir del colesterol. Por ejemplo el colesterol es un precursor de los ácidos biliares, las hormonas esteroides (incluyendo los andrógenos, estrógenos y corticosteroídes) y de la vitamina D3.
El colesterol también juega un papel importante en la absorción de ácidos grasos en el intestino y en su transportación subsecuente en la sangre y hemolinfa. donde el colesterol se combina con los ácidos grasos, para formar ésteres de colesterol, que son más solubles y emulsificables que las moléculas de ácidos grasos libres.
En contraste con los peces, los crustáceos a semejanza de otros artrópodos, son incapaces de sintetizar esteroles de novo, a partir del acetato y mevalonato (Teshima y Kanazawa, 1971; Teshima, 1983); por lo cual el colesterol es considerado como un nutriente esencial en la dieta de camarones y langostinos. Basado en los estudios de laboratorio realizado con P.japonicus, el nivel óptimo de colesterol en la dieta se reporta entre 0.5-2.0% de la dieta seca (Deshimaru, 1981; Kanazawa et al., 1971; Teshima et al., 1982; Teshima y Kanazawa, 1986). Una fuente rica en colesterol, es el aceite de cabeza de camarón.


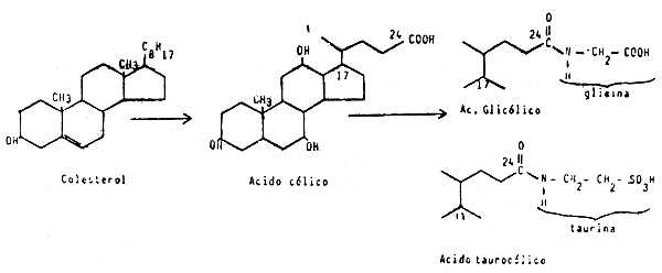
Estos esteroides están constituidos por la combinación de los aminoácidos glicina o taurina con el ácido cólico (un derivado del colesterol). Los ácidos biliares son formados y concentrados por el hígado, y son secretados por el hígado a la bilis, y de aquí pasan al tracto gastrointestinal (duodeno) vía conducto biliar, donde actúan como emulsificantes biológicos de gran importancia. Ayudan a solubilizar los glóbulos de grasa del alimento, de tal modo que las enzimas hidrosolubles ó lipasas, pueden reaccionar con las moléculas de grasa y desdoblarlas para facilitar la absorción de la grasa. Los ácidos biliares tambien facilitan la principal ruta de excresión del colesterol.
Al alimentar tanto a peces como camarones con dietas experimentales deficientes en ácidos grasos esenciales (AGE), se observó una disminución en el crecimiento y sobreviviencia, así como una pobre eficiencia de conservación alimenticia. los siguientes signos anatómicos provocados por deficiencia, han sido reportados en condiciones de laboratorio con juveniles de peces y camarones, alimentados con dietas deficientes en AGE.
Las deficiencias de AGE, generalmente se deben a una formulación deficiente.
| Especie | Signos de deficiencia por AGE 1 |
| Trucha arco iris (S. gairdneri) | Aumento en la mortalidad, mayor susceptibilidad a erosión de áleta caudal por Flexebacterium sp.: síndrome de Shock ó desfallecimiento, disminución en el volumen de células sanguíneas (1); infiltración grasa/degeneración lipoide, hígado hinchado y pálido (1,2); disminución en la eclosión/sobrevivencia, 3). |
| Salmón “cocho” (O. kisutch) | Hígado hinchado y pálido, incremento en el índice hepatosomático (hígado graso), mortalidad elevada (2). |
| Salmón “chum” (O. keta) | Hígado hinchado y pálido, incremento en el índice hepatosomatico (hígado graso), mortalidad elevada (2). |
| Carpa común (C. carpio) | Mortalidad elevada (4); hígado graso (5). |
| Anguila (A.japonica) | Mortalidad elevada (6). |
| Tilapia (O. niloticus) | Hígado hinchado y pálido, hígado graso (7). |
| “Red sea bream” (C. major) | Reducción en la eficiencia de desove (disminución en la tasa de eclosión/sobrevivencia, 3). |
| Rodaballo (S. maximus) | Aumento en la mortalidad, disminución en el crecimiento, degeneración del epitelio branquial (8). |
En condiciones de laboratorio se ha observado que un exceso de AGE en la dieta, puede ejercer un efecto negativo en el crecimiento y en la eficiencia alimenticia (trucha arco-iris-Yu y Sinnhuber, 1976; bagre de canal-Robinson y Lovell, 1984; Lewis, Marks y Stickney, 1985; tilapia nilotica-Takeuchi,Satoh y Watanabe, 1983; Stickney y Wurts, 1986).
El ácido ciclopropenoico es un ácido graso tóxico, se encuentra en la fracción lipída de los productos se la semilla de algodón. Experimentalmente, al ácido ciclopropenoico ha causado una disminución de la tasa de crecimiento de la trucha arcoiris y además actúa como un potente sinergístico, par la carcinogenicidad de las aflatoxinas.(Lee y Sinnhuber, 1972; Hendricks et al., 1980). Otras patologías observadas en trucha incluyen un gran daño en el hígado (color pálido) con un aumento en la depositación de glicógeno y una disminución en el contenido proteínico, así como una disminución en la actividad de varias enzimas claves (Roehm et al., 1970; Taylor, Mongomery y Lee, 1973).
En ausencia de una adecuada protección por algún agente antioxidante, los lípidos ricos en AGPI, son muy propensos a la auto-oxidación al quedar expuestos al oxígeno atmosférico. Bajos esas condiciones, el beneficio nutricional de los AGE, es de hecho perjudicial a la salud de los peces ó crustáceos. Los ingredientes alimenticios ricos en AGPI que son particularmente susceptibles de sufrir daño de oxidación lipídica (rancidez oxidativa) incluye aceite de pescado, harina de pescado, salvado de arroz y pastas de oleaginosas, conteniendo poco ó ningún agente antioxidante natural. Durante el proceso de auto-oxidación lipídica, se forman productos a raíz de la degradación química, incluyendo radicales libres, peróxidos, hidroxiperóxidos, aldehídos y cetonas; los cuales reaccionan con otros ingredientes en la dieta (vitaminas, proteínas y otros lípidos) disminuyendo su valor biológico y disponibilidad durante la digestión. Actualmente, la rancidez oxidativa es considerada como uno de los principales cambios deteriorativos, que tienen lugar en las materias alimenticias almacenadas. (Cockerell, Francis y Halliday, 1972; Chow, 1980).
Se han reportado numerosos signos anatómicos patológicos en peces, alimentados con raciones conteniendo aceites de peces/vegetales oxidados, carentes de la protección de algún antioxidante (Vitamina E). Tabla 7a.
Con excepción del estudio de Soliman, Roberts y Jauncey (1983) con O. niloticus, los efectos patológicos de los lípidos oxidados, se ha visto que se previenen mediante la suplementación de la dieta con acetato de d-l-alfa-tocoferol (vitamina E).
En ausencia de una adecuada protección con antioxidantes, la tasa de autooxidación lipídica en materias alimenticias almacenadas se ha visto que aumenta en presencia de piroxidasa (presente en soya cruda); los compuestos hemo (mioglobina/hemoglobina son agentes pro-oxidativos, y se les encuentra en harinas de carne y pescado); peróxidos (producto de la auto-oxidación lipídica); luz (UV.- formación de singulete entre el exígeno y radicales libres); aumento en la temperatura (tasa de reacción); y elementos traza (se ha visto que el Fe y Cu aceleran la oxidación lipídica por una transferencia directa de electrón en las reacciones redox mientras que el Zn induce al desdoblamiento de hidroperóxidos a radicales libres (ADCP, 1983).
TABLA 7a. Patologías causadas por lípidos oxidados.
| Especie | Efefectos patológicos del aceite de pescado oxidado. 1 |
| Tilapia (O. niloticus) | Marcada congestión, con alguna hemorragia en los vasos dérmicos localizados alrededor del hocico y en la base de las aletas pectoral/dorsal, lordosis, exoftalmía, hinchazón abdominal (edema) cataratas, colapso orbital, obscurecimiento del hígado, marcada distensión del conducto biliar, estéatitis de toda la grasa abdominal en contacto con el tejido, depósito ceroides intracelulares en hígado, bazo, riñón y coroideo, aumento en la mortalidad (1). |
| Salmón “chinook”(O. tshawytscha) | Coloración corporal obscura, anemia, letargía, hígado con pigmentaciones café-amarillentas (depósitos ceroides), hígado anormal y evidencia de fusión branquial (2). |
| Carpa común (C. carpio) | Crecimiento pobre, pérdida de apetito, distrofía muscular, elevada mortalidad, disminución en absorción de lípidos en la dieta (3-5). |
| Bagre de canal (I. punctatus) | Crecimiento pobre, pobre eficiencia de conversión alimenticia, elevada mortalidad, diatesis exudativa, distrofía muscular, depigmentación, hígado graso (6). |
| Cola amarilla (S. quinqueradiata) | Disminución en el crecimiento, hinchazón del hígado, disminución en la depositación lipídica (7) anorexia, inclinación del músculo dorsal, distrofial muscular (8). |
| Trucha arco-iris (S. gairdneri) | Reducción en el crecimiento (9,10) pobre eficiencia de conversión alimenticia (9), anemia microcítica (10,11); disminución en el hematocrito y en el contenido de hemoglobina (9), degeneración lipoide del hígado (acumulación ceroide, 10,11); severo daño muscular (9); aumento en la mortalidad y fragilidad en los eritrocitos (9,11;12). |
Después de las proteínas y lípidos, los carbohidratos representan el tercer grupo de compuestos orgánicos más abundantes en el cuerpo animal, En contraste, los carbohidratos constituyen los nutrientes orgánicos principales del tejido vegetal. El grupo de los carbohidratos incluye importantes compuestos como la glucosa, fructosa, sucrosa, almidón, glicógeno, quitina y celulosa.
Los carbohidratos son definidos como aquellas substancias que contienen carbono, hidrógeno y oxígeno, con los dos últimos elementos presentes en la misma proporción que en el agua (p. ej. Cx (H2O) y). Aunque esta definición es satisfactoria par la mayoría de los compuestos presentes dentro de este grupo, algunos carbohidratos contienen una proporción menor de oxígeno, que en el agua, o bien existen derivados de carbohidratos que pueden contener nitrógeno y azufre.
Acorde a su estructura química, los carbohidratos se pueden dividir en dos grupos principales, azúcares y no azúcares (Tabla 8). Los azúcares más simples se denominan monosacáridos, mismo que pueden dividirse en 5 subgrupos dependiendo del número de átomos de carbono presentes en la molécula:
Triosas (C3H6O3), Tetrosas (C4H8O4), Pentosas (C5H10O5) y Hexosas (C6H12O6).
Estos monosacáridos pueden unirse entre sí (con la eliminación de agua) para formar di, tri ó polisacáridos, conteniendo dos, tres, ó más unidades o residuos de monosacáridos. Por lo que los carbohidratos denominados “no azúcares”, son aquellos que contienen más de 10 unidades de monosacáridos y que no poseen un sabor dulce. Los no azúcares pueden dividirse en dos subgrupos, hemopolisacáridos y heteropolisacáridos; consistiendo los primeros en unidades de monosacáridos idénticas, y los últimos son mezclas de diferentes unidades de monosacáridos.
En general todos los monosacáridos son solubles en agua, escasamente en etanol e insolubles en éter, son activos ópticamente, poseen propiedades reductoras (p. ej. reducen la solución de Fehling) se representan con la fórmula general CxH2xOx, y generalmente son de sabor dulce.
La fórmula estructural de los monosacáridos más comunes se representa como sigue:

En las fórmulas estructurales representadas, la “D” representa la configuración o dirección del grupo aldehído (OH) ubicado en el átomo de carbono próximo al último carbono del grupo aldehído. Por ejemplo, en el caso del D(+)gliceraldehído y D(+)-glucosa, el grupo hidroxilo del penúltimo átomo de carbono (p.ej. C2y C5 respectivamente) están del lado derecho en relación al grupo aldehído (RCHO) de la parte superior de la fórmula. De igual modo, el símbolo (+) ó (-) indica la dirección de la rotación óptica producida cuando una solución del azúcar se coloca bajo el campo de un polarímetro; dextrógiro (en el sentido de las manecillas del reloj, -). Virtualmente todos los monosacáridos naturales son miembros de las series D: consecuentemente, la configuración en torno al penúltimo átomo de carbono es la misma que la del Dgliceraldehído.
TABLA 8. Clasificación de carbohidratos.
Además, todos los monosacáridos existentes en la naturaleza, son dextrógiros, con excepción de la fructuosa y la eristrosa.
Existen evidencias suficientes para sugerir que los monosacáridos también pueden existir en las formas moleculares cíclicas o anillos. Por ejemplo, las dos formas cíclicas de la D-glucosa que existen en la naturaleza α Dglucosa y β-D-glucosa. como en la fórmula estructural, la diferencia entre estas dos formas cíclicas depende de la configuración o dirección del grupo hidroxilo en el átomo de carbono 1.

La importancia biológica de la diferencia estructural entre la α y la β-Dglucosa debe ser señalada; la configuración estructural determina las propiedades físicas y consecuentemente biológicas de los polisacáridos constituidos por unidades individuales de monosacáridos. Por ejemplo la celulosa, polisacárido compuesto por cadenas en zig-zag de unidades de β-glucosa: mientras que el almidón y glicógeno, polisacáridos constituidos por cadenas helicoides ó ramificadas de α-glucosa, son más reactivos desde el punto de vista biológico.
En este momento se debe mencionar que los monosacáridos rara vez están directamente involucrados en reacciones bioquímicas intracelulares, sin embargo son primeramente transformados en algún derivado del monosacárido. Derivados importantes de monosacáridos incluyen el éster de azúcar fosfato (D-glucosa-6-fosfato, D-glucosa-1fosfato, D-fructuosa-6-fosfato y diésteres de fosfato), azúcares-amino (D-glucosamina), azúcares-ácido (ácido glucónico y ácido glucurónico) y azúcares-alcohol (sorbitol).

Pentosas
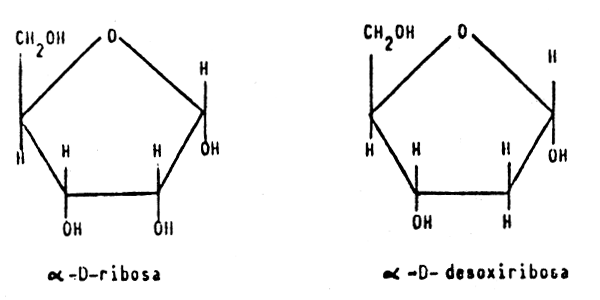
Importantes pentosas de monosacáridos incluyen la L-arabisona, D-xilosa, D-ribosa. Desde el punto de vista nutricional, la pentosa más importante es la D-ribosa y sus derivados D-desoxiribosa y ribitol. Por ejemplo, la D-ribosa y la D-desoxiribosa son componentes esenciales del ácido ribonucleico (ARN) y el ácido desoxiribonucleico (ADN), respectivamente y el ribitol es un componente esencial de la riboflavina.

Hexosas
Glucosa: Existe en su forma libre en tejidos de vegetales, frutas, miel y en la sangre. En la mayoría de los ingredientes alimenticios naturales, la glucosa existe en forma combinada, tanto con un monosacárido como un componente exclusivo de los disacáridos (p. ej. maltosa) y de polisacáridos (p. ej. almidón, glicógeno, celulosa) ó bien combinada con otros monosacáridos en forma de lactosa (azúcar de la leche), sucrosa y heteropolisacáridos. En el proceso de elaboración de la cerveza y vino, la glucosa es fermentada por la acción de levaduras, para producir alcohol y dióxido de carbono. De igual modo, en el proceso de maduración de las frutas, el contenido de azúcar libre o glucosa aumenta, conforme disminuye el contenido del almidón.
Fructuosa: A semejanza de la glucosa, la fructuosa existe en su forma libre en los jugos de vegetales, frutas y en la miel. Es un componente del disacárido sucrosa y es el azúcar más dulce que existe en la naturaleza (p. ej. es responsable del sabor excepcionalmente dulce de la miel).
Galactosa: Aunque no existe en forma libre en la naturaleza, se presenta como un componente del disacárido lactosa y de muchos polisacáridos, incluyendo los galactolípidos, gomas y mucílagos.
Los disacáridos están formados por dos azúcares hexosas, de cuya unión se elimina como residuo el agua:
C6H12O6 + C6H12O6 = C12H22O12 + H2O
Los disacáridos de mayor importancia que existen en la naturaleza son la maltosa, sucrosa y lactosa.
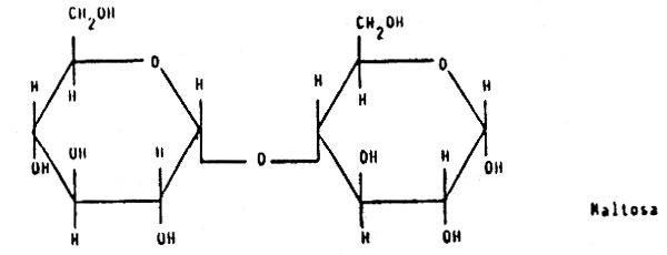
Maltosa: Está constituida por dos moléculas de glucosa unidas mediante un enlace α-1,4-glucosídico. La maltosa es un azúcar reductor, soluble al agua.
La maltosa no se encuentra en la naturaleza, pero es un producto obtenido durante la degradación enzimática del almidón. Por ejemplo, durante el proceso de germinación de la cebada, se obtiene maltosa a partir del almidón, gracias a la acción enzimática de la amilasa; una vez germinada y secada la cebada (que ahora se le denomina “malta”) se le emplea para la elaboración de cerveza y Whisky de malta.

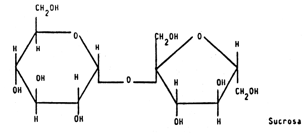
Sucrosa: Esta constituída por una molécula de glucosa y una de fructosa unidas a través de un enlace α-1-β-2-glucosídico. Dado que los dos grupos reductores funcionales están involucrados en el enlace glucosídico, la sucrosa no posee propiedades reductoras.
La sucrosa está ampliamente distribuída en la naturaleza, se encuentra en la mayoría de las plantas; entre las fuentes ricas en sucrosa se incluyen al azúcar de caña (20% de sucrosa), azúcar de remolacha (15–20%) y zanahorias, La sucrosa es el azúcar utilizada a nivel doméstico para endulzar alimentos en casa. Cuando la sucrosa es calentada a 160°C, forma azúcar de alfeñique (azúcar de cebada) y a 200°C forma caramelo. La remolacha y melaza de caña son productos secundarios de la agricultura, obtenidos mediante el proceso de elaboración se sucrosa a partir del azúcar de remolacha y de la caña de azúcar, respectivamente. Las melazas son líquidos viscosos (20–30% de humedad), de color obscuro, de los que no se puede extraer más sucrosa mediante procesos de cristalización, debido a la presencia de cantidades apreciables de azúcares reductores (p. ej. glucosa) e impurezas.

LACTOSA: esta compuesta de una molécula de glucosa y galactosa, unidas por un enlace β-1, 4-glucosídico. A semejanza de la maltosa tiene propiedades reductoras.

La lactosa o azúcar de la leche, es el principal azúcar presente en la leche y es exclusivo de los mamíferos. Forma aproximadamente el 40% del total de sólidos en la leche; el contenido total de lactosa en la leche de vaca y en la leche humana es de 4.6– 4.8% y 7%, respectivamente. La lactosa fácilmente sufre fermentación bacteriana, por ejemplo agriamiento de la leche por Streptococcus lactis, causado por la fermentación de lactosa a ácido láctico. A semejanza de la sucrosa, si la lactosa es calentada a una temperatura de 175° C forma lactocaramelo.
Estos carbohidratos son muy diferentes de los azúcares. Tienen un alto peso molecular y están compuestos de un gran número de hexosas o en el menor grado de residuos de pentosas. Muchos de ellos se les encuentra en vegetales y animales como material alimenticio de reserva (p. ej. almidón o glicógeno) o como elementos estructurales (p. ej. celulosa o quitina).
Almidón: esta compuesto de dos componentes estructurales, amilasa y amilopectina. Aunque las proporciones relativas entre la amilosa y la amilopectina en los almidones presentes en vegetales varían, dependiendo de las especies (20–30% de amilosa y 70–80% de amilopectina), la unidad fundamental de esos dos componentes estructurales es la alfa-D-glucosa. Por ejemplo, la amilasa consiste de largas cadenas no ramificadas, de 100 o más unidades de D-glucosa unidas entre sí por enlaces alfa-1, 4. De otra parte, la amilo pectina esta constituida por cadenas de unidades de D-glucosa altamente ramificadas (20–30 unidades por ramificación); los enlaces entre las unidades constitutivas son de tipo alfa-1, 4 y alfa-1, 6 (los enlaces alfa-1, 6 glucosídicos, son usados únicamente al inicio de las cadenas laterales).
El almidón es la forma química de almacenaje de azúcar o glucosa en los vegetales, se le encuentra en tallos, frutos, semillas y hojas, y representa la mayor reserva alimenticia de carbohidratos para los vegetales y consecuentemente constituye el mayor componente de carbohidratos en los alimentos de animales. Por ejemplo, el almidón puede representar hasta el 70% en peso de las semillas y hasta el 30% de los frutos, tubérculos o raíces. El almidón es almacenado dentro de los vegetales en forma de gránulos, cuya forma y tamaño varía de especie a especie. Cada gránulo esta rodeado por una capa delgada de celulosa que los hace insolubles al agua e indigestibles para los organismos norumiantes, incluyendo peces y camarones, al ser ofrecidos en forma cruda o no cocidos. Al cocinarlos, por calentamiento en presencia de humedad, facilitará la ruptura de la membrana celulósica, dando lugar a la absorción del agua por el almidón, que en presencia de calor provoca la gelatinización del mismo, formándose una solución gelatinosa o pastosa. Cuando el almidón es expuesto a un calor seco, se formará dextrina, producto intermedio en la secuencia de su degradación: almidón→dextrina→maltosa→glucosa. Por ejemplo, el almidón presente en el pan, es convertido a dextrina cuando lo tostamos, la dextrina le da ese sabor característico al pan tostado.
Glicógeno: Está compuesto por cadenas ramificadas de unidades alfa-Dglucosa, ligadas entre sí por enlaces alfa-1, 4 y alfa-1, 6; siendo los últimos los más abundantes en el glicógeno (en comparación con la amilopectina) debido a la presencia de ramificaciones más cortas y en mayor número, consistentes en 10–20 unidades de glucosa. El glicógeno es la forma en que los carbohidratos son almacenados en el cuerpo de los animales; en particular en músculo e hígado.
Celulosa: Está formada por cadenas muy largas de unidades de D-glucosa, enlazadas entre sí por uniones β - 1, 4, es un polisacárido muy estable y además es el carbohidrato más abundante en la naturaleza, siendo la estructura fundamental de la pared celular vegetal. La celulosa tiene una gran resistencia a la tensión y al ataque químico. Aunque la celulosa puede ser hidrolizada bajo un tratamiento con un ácido fuerte; con excepción de los microorganismos, pocos animales (excluyendo a los rumiantes) tienen las enzimas endógenas necesarias (p. ej. celulasa) capaces de hidrolizar y digerir la celulosa. Por ejemplo, las enzimas celulasas capaces de atacar la celulosa, únicamente se encuentran en semillas en germinación, hongos y bacterias (p. ej. las existentes en el tracto digestivo de los rumiantes). Un ejemplo de celulosa en una forma casi pura es el algodón.
Quitina: Está constituida de unidades repetidas de N-acetil-C-glucosamina, unidas por enlaces β-1, 4 y consecuentemente su estructura es similar a la celulosa.

La quitina es el principal componente estructural de la cutícula de los insectos y del esqueleto de crustáceos.
En contraste con los homopolisacáridos, los heterosacáridos consisten en mezclas de diferentes unidades de monosacáridos y tienen un alto peso molecular.
Hemicelulosa: Esta compuesta principalmente por unidades de xilosa, unidas mediante enlaces β-1,4, pero también puede contener hexosas y azúcares ácidos (p. ej. ácido urónico). Estos polisacáridos normalmente acompañan a la celulosa en hojas, partes leñosas y semillas de vegetales superiores. Son insolubles al agua y a semejanza de la celulosa no son fácilmente digeridas por otros animales que los rumiantes.
Gomas: Se les encuentra en la heridas de los vegetales y son compuestos muy complejos, al ser hidrolizados producen una gran variedad de monosacáridos y azúcares ácidos. Un ejemplo es la goma arábiga (goma de acacia).
Mucílagos: Son carbohidratos complejos presentes en ciertas plantas y semillas. Muchas algas, especialmente las marinas producen mucílagos, mismos que son solubles al agua caliente y forman un gel al enfriarse. El agar, un polímero de la galactosa con el ácido sulfúrico, es un mucílago o gel ampliamente utilizado, que se obtiene del alga marina roja (familia Gelidium). Otros ejemplos incluyen al ácido algínico, derivado de las algas cafés (familia Laminaria).
Sustancias pécticas: Son carbohidratos complejos que contienen ácido Dgalacto-urónico como principal constituyente. Naturalmente se encuentran en la pared celular primaria y en las capas intercelulares de vegetales terrestres, son particularmente abundantes en frutas de cítricos, azúcar de remolacha, manzanas y en algunas raíces de vegetales (p. ej. nabo). Como con los mucílagos, los ácidos pécticos muestran fuertes propiedades para la formación de gel y se les utiliza en la preparación de mermeladas.
Mucopolisacáridos: Son carbohidratos complejos que contienen azúcares amino y ácido urónico y constituyen las secresiones mucosas de los animales. Son de naturaleza ácida y pueden ser ricos en grupos éster-sulfato, mucopolisacáridos importantes incluyen al sulfato de condroitina (presente en el cartílago, hueso, válvulas cardiacas, tendones y en la cornea del ojo) heparina (anticoagulante presente en vasos sanguíneos, hígado, pulmones y bazo) y el ácido hialurónico (lubricante viscoso presente en piel, humor vítreo del ojo, líquido sinovial de articulaciones y el cordón umbilical en mamíferos). Finalmente los mucopolisacáridos constituyen el componente principal de la pared celular de muchas bacterias; el mucopolisacárido de la pared celular consiste en unidades alternantes de ácido N-acetil-murámico y N-acetil-glucosamina, unida a pequeñas cadenas de peptidos.
Los carbohidratos son sintetizados por todos los vegetales verdes, a través del proceso denominado fotosíntesis, que se representa como sigue:
6CO2 + 6H2O + Luz → C6H12O6 + 6O2
(673 Kcal.)
Tanto en el hombre como en los animales terrestres, los carbohidratos suministrados en la dieta son la principal fuente de energía metabólica (ATP). Esta reacción se representa de la siguiente manera:
C6H12O6 + 6O2 → 6CO2 + 6H2O + 38 ATP1
En peces y camarones no se ha establecido un requerimiento absoluto de carbohidratos en la dieta. Esto contrasta marcadamente con lo establecido para las proteínas y lípidos, nutrientes para los cuales ya se han establecido requerimientos dietéticos específicos para ciertos aminoácidos y ácidos grasos esenciales. En gran medida esto se debe a:
Los hábitos alimenticios carnívoros/omnívoros de la mayoría de las especies d peces y crustáceos cultivados.
La habilidad de los peces y camarones para sintetizar carbohidratos (p. ej. glucosa) a partir de substratos que no sean carbohidratos, tales como proteínas y lípidos (proceso denominado gluconeogénesis).
La habilidad de los peces y crustáceos para satisfacer sus requerimientos energéticos a partir del catabolismo únicamente de proteínas y lípidos, si es necesario.
Sin embargo, a pesar de la aparente ausencia de un requerimiento dietético de carbohidratos para peces y crustáceos, no existe duda que los carbohidratos realizan importantes funciones biológicas en el cuerpo del animal. Por ejemplo, la glucosa producto final de la digestión de carbohidratos en los animales, sirve como la principal fuente energética para el tejido nervioso y cerebro y como intermediario metabólico para la síntesis de muchos compuestos biológicamente importantes, incluyendo el exoesqueleto quitinoso de los crustáceos, los ácidos nucleicos ARN y ADN, y los mucopolisacaridos de las secreciones mucosas.
A pesar de que los carbohidratos pueden ser considerados nutrientes no esenciales en la dieta de peces y crustáceos, su inclusión en las dietas de engorda está garantizada debido a:
Representan una fuente económica de energía dietética muy valiosa para aquellas especies de peces y crustáceos no carnívoras.
Su uso cuidadoso en dietas para engorda puede representar un ahorro en
Al ser empleados como ligantes sirven como constituyentes dietéticos esenciales, para la elaboración de dietas estables en el agua (por ejemplo: almidón gelatinizado, alginatos, gomas).
Ciertas fuentes de carbohidratos sirven como constituyentes dietéticos que
aumentan la palatibilidad del alimento y disminuyen el contenido de polvo
Aunque el glicógeno constituye la principal fuente energética para el metabolismo anaeróbico (glicólisis) en el músculo blanco del pez durante el “rompimiento” en el nado, la habilidad del hígado y tejidos para almacenar glicógeno es limitada; los carbohidratos totales, en forma de glicógeno constituyen menos del 1 % del tejido corporal húmedo (Cowey & Sargent, 1979). En contraste, se ha visto que los juveniles del camarón P. japonicus, contienen glucosamina y trehalosa, como principales formas de carbohidratos en su tejido corporal (Kanazawa, 1983).
Al contrario de los mamíferos omnívoros, los peces no movilizan rápidamente el glicógeno del hígado cuando son mantenidos en ayuno. De hecho se ha detectado que durante el ayuno de los peces, la oxidación de substratos diferentes a carbohidratos tiene prioridad sobre la movilización e hidrólisis del glicógeno. Lo cual sugiere que la capacidad de los peces para oxidar anaeróbicamente la glucosa es limitada. Es por ello que la gluconeogénesis puede tener un papel fundamental en el mantenimiento de los niveles de azúcar en la sangre de peces hambrientos o en ayuno. Por ejemplo, para peces cultivados que se han alimentado con una dieta de elevado contenido proteínico, es probable que la demanda energética de los tejidos (p. ej. cerebro y tejido nervioso) que catabolizan glucosa, sea cubierta a través de la gluconeogénesis (a partir de aminoácidos y del triacilgliserol) más bien que la glicogénolisis (para revisión consultar a Walton y Cowey, 1982). Sin embargo, estudios con anguila (A. japonica) parecen contradecir la hipótesis arriba señalada (Degani, Viola y Levanon, 1986).
La habilidad de peces carnívoros para hidrolizar o digerir carbohidratos complejos es limitada debido a la debilidad en la actividad amilótica en tracto digestivo (Spannhof y Plantikow, 1983). Así, para especies tales como la trucha, conforme aumenta la proporción de almidón en la dieta, disminuye su digestibilidad (Singh y Nose, 1967; Bergot y Breque, 1983). Aún más, en ensayos de alimentación de mayor duración con peces carnívoros (p. ej. salmónidos) se ha observado que elevados niveles de carbohidratos en la dieta, disminuyen el crecimiento, elevan los niveles de glicógeno en hígado y eventualmente causan mortalidad (Phillips et al., 1977). Por el contrario los peces omnívoros o herbívoros de agua caliente, tales como la carpa (C. carpio), bagre de canal (I. punctatus), tilapia (O. niloticus) y la anguila (A. japonica) han mostrado ser más tolerantes para niveles elevados de carbohidratos; siendo utilizados más eficientemente los carbohidratos como fuente de energía o bien el exceso es almacenado en forma de lípidos corporales (Chiou y Ogino, 1975; Robinson y Wilson, 1985; Adreson et al., 1984; Degani, Viola y Levanon, 1986).
También se ha visto que la utilización de carbohidratos ofrecidos en la dieta varía con la complejidad o estructura química de la fuente de carbohidratos usada (los polisacáridos y disacáridos digestibles tienen un mayor efecto benéfico en el crecimiento que los monosacáridos: peces - Pieper y Pfeffer, 1980; Robinson y Wilson, 1985; Anderson et al., 1984; camarones - Alava y Pascual, 1984; Deshimaru, 1981 1; Kanasawa, 1983) el estado físico de la fuente de carbohidratos utilizada (almidones cocidos o gelatinizados tienen una mayor disgestibilidad y efecto benéfico sobre el crecimiento, en comparación con los almidones naturales o crudos: peces - Spannhof y Plantikow, 1983; Bergot y Breque, 1983; Robinson y Lovell (1984) y el consumo de alimento diario (un régimen de alimentación restringido tiene un efecto benéfico sobre la digestibilidad de almidón: peces - Bergot y Breque, 1983). De la discusión precedente, parece que la habilidad de los peces o camarones para adaptarse a dietas con un elevado contenido de carbohidratos, dependen de su habilidad para convertir el excedente energético (p. ej. glucosa) en lípidos o aminoácidos no esenciales.
Dado que la mayoría de los peces cultivados tienen un tracto gastrointestinal corto, que no les permite desarrollar una flora bacteriana abundante (como en los rumiantes), la actividad intestinal de la celulosa, en peces, a partir de las bacterias residentes es muy débil o nula (Stickney y Shumway, 1974). Consecuentemente la celulosa o “fibra cruda” (p. ej. carbohidratos de la dieta que son resistentes al tratamiento químico con ácidos o álcalis diluidos, incluyen a la celulosa y hemicelulosa) no tiene ningún valor energético para los peces, y un exceso en la dieta tiene un efecto deletereo sobre la eficiencia alimenticia y el crecimiento (Anderson et al., 1984; Poston, 1986; Hilton, Atkinson y Slinger, 1983; Bromley y Adkins, 1984).