The purpose of this chapter is to provide a general introduction to the biology and ecology of kelp, with emphasis on limiting factors that have affected the growth of the kelp industry in China. The chapter introduces procedures that have been developed to change or modify natural conditions for kelp culture through artificial means. These procedures include:
Laminaria is not indigenous to China but was spread to Chinese coasts from Japan in 1927, with first forests becoming established on sublittoral rocks at Dalian on the northern coast of the Yellow Sea in Liaoning Province. Cold water reefs at Dalian provided ideal growing conditions. Before and during the early 1950's the Laminaria beds growing in the Dalian region were harvested commercially, with the largest output being 40.3 metric tons of dry weight product in 1949. At this time large quantities of Laminaria products were imported from Japan and Korea.
| Year | Natural production (tons) | Artificial production (tons) | Total production (tons) | Artificial production as a % of total production |
|---|---|---|---|---|
| 1946 | 24.5 | |||
| 1947 | 17.3 | |||
| 1948 | 20.0 | |||
| 1949 | 40.3 | |||
| 1950 | 0.7 | |||
| 1951 | - | |||
| 1952 | 12.0 | 10.3 | 22.3 | 46.4 |
| 1953 | 86.5 | 28.2 | 114.7 | 24.5 |
| 1954 | 251.2 | 78.7 | 254.8 | 30.9 |
| 1955 | 321.8 | 206.0 | 527.8 | 39.0 |
| 1956 | 167.7 | 391.7 | 559.3 | 70.0 |
| 1957 | 580.8 | 1,439.3 | 2,020.2 | 71.3 |
| 1958 | 986.2 | 5,267.3 | 6,253.3 | 84.2 |
Table 1.1. Growth of artificial methods of production in the Laminaria industry in China, 1946–1958. C.K. Tseung, 1987.
After Liberation in 1949 Chinese scientists began studying artificial ways of producing Laminaria for commercial purposes. Successful research in the early 1950's led to the development of floating raft culture and indoor seedling-rearing techniques. By 1958 production output of dry weight Laminaria in China had reached 6,200 metric tons (Table 1.1).
After successfully solving many biological and technical difficulties, Laminaria seafarming has now become the largest mariculture industry in China. Today there are tens of thousands of hectares of coastal Laminaria seafarming areas from Liaoning Province in the north to Fujian Province in the south (Fig. 1.2). Annual dry weight production of Laminaria in China is now the largest for any single marine species cultured by any country in the world. Output peaked in 1980 with production of 252,907 dry-weight metric tons (C. K. Tseung, 1987). Output has declined since 1980 because of rapid diversification and expansion of other mariculture industries. Dry weight output in 1983 was 231,000 tons, still representing approximately 23% of China's total mariculture production for that year.
Laminaria products are used for industrial purposes, for medical purposes, for human consumption and as livestock fodder. The chief products extracted from Laminaria during industrial processing are: iodine, algin and mannitol. Iodine is added to salt and other foods to prevent thyroid gland disorders and goiters. Algin is a hydrocolloid or phycocolloid made from extracted alginate or alginic acid which has the property of holding water in suspension. It is widely used as a binding agent in textile, printing, medical and food manufacturing industries. Mannitol is used as an anti-depressive medicine in Asian countries.
Laminaria is increasingly being used for human consumption, especially in China and Japan where seaweeds are processed into a wide variety of food items. As well, Laminaria is used in China as a livestock fodder for chickens and cattle. For this purpose Laminaria is sometimes processed into a product called “lameal” (Laminaria meal), analogous to fish meal or soymeal though low in protein content.
In China a large proportion of the algin and mannitol extracted from Laminaria is exported. Iodine is consumed domestically. A relatively small proportion of Laminaria production is used for making foodstuffs for human consumption.
The actual processing methods for extracting iodine, algin and mannitol are complex industrial techniques involving a specialized knowledge of chemical engineering. As such, they are beyond the scope of this manual whose purpose is to focus on seafarming aspects of Laminaria production.
Laminaria japonica, a brown macroalgae, has the following taxonomy.
Laminaria japonica is the only species of the genus Laminaria occurring in China, though more than 50 species have been reported worldwide and about 20 species are present in the Asian-Pacific region. Seaweeds of the genus Laminaria are known by the following common names in different countries: “kelp” in Europe and North America, “kombu” (“large cloth”) in Japan and “haidai” (“sea ribbon”) in China.
Laminaria japonica grows in temperate cold water zones. In the Asian-Pacific region the species is native to northwest coasts of the Pacific Ocean, occurring south as far as 36° N latitude. It is found along the northern coastline of the Sea of Japan from northern Hokkaido Island and coastal regions near the Kinkazan Mountains of Honshu Island, across the Kuril Island chain to Yamchatka Peninsula in the U.S.S.R., along the northern coastline of the Okhotsk Sea, south to Sakhalin Island and south-east as far as the Tartar Channel near Wonsan in Korea (Fig. 1).
In China, the range of introduced “wild stock” Laminaria growing under natural conditions is also restricted to regions north of 36° N latitude. High summer seawater temperatures in more southern latitudes damage Laminaria fronds and destroy parent breeding stock. Laminaria's natural range has been successfully extended south to Fujian Province only by using artificial seedling-rearing techniques, where young sporelings are grown indoors in refrigerated seawater before being transplanted to outdoor rafts for grow-out. Even with artificial seedling-rearing, commercial Laminaria seafarming has been undertaken only as far south as 25° N latitude. Thus Laminaria grows either naturally or under artificial cultivation along the eastern seabaord of five provinces in China, from Liaoning Province in the north to Fujian Province in the south (Fig. 1.2).

Fig. 1.1 Distribution range of Laminaria japonica in the Asian Pacific Region.

Fig. 1.2 Provinces in northern and southern China where Laminaria seafarming is carried out.
Laminaria sporophytes are unable to complete their life cycle in southern latitudes where seawater temperature rises above 18–20° C for prolonged periods. Seawater temperatures above 27° C are lethal to sporophyte plants. Sporangial sori will not produce zoospores and gametophytes will cease ovulating when seawater temperature rises much above 21–22° C (Fig. 1.7). Optimum temperature range for the development of sporophyte plants is between 1–15° C. Table 1.2, showing growth rate in frond length of sporophytes between November and July, illustrates that Laminaria growth is stimulated by falling winter seawater temperatures and retarded by rising summer seawater temperatures.
Unfortunately this means that Laminaria production is not well-suited for countries or regions located in warmer tropical or subtropical climates. However, many of the phycoculture techniques so successfully developed in China for commercial production of Laminaria may be adapted for production of other marine algal species in these countries and regions.
Laminaria exhibits alternation of generations, which means that the sporophyte generation alternates with the gametophyte generation (Figs. 1.3 – 1.5). The sporophyte plant is a large multicelled macroalgae whereas the microscopic female and male gametophytes are only one-celled or a few cells in size. I.e. Laminaria exhibits heterothallism.
The asexual sporophyte generation (2N) produces motile zoospores (N) which develop into male and female gametophytes. Whereas the sexual gametophyte generation (N) produces male and female gametes (N). The male gametophyte plant produces male gametes called spermatozoids or antherozoids. The female gametophyte plant produces female gametes (eggs). At fertilization male and female gametes fuse to form the zygote (2N) which subsequently develops into a young sporeling at the beginning the sporophyte generation.
Zoospores are produced on the fronds of mature sporophyte plants in sporangial sori (“spore sacs”, plu. sporangia, sing. sporangium). Sporangial sori are cup-like structures where cells divide through meiosis to produce haploid (N) male and female zoospores. The pelagic zoospores are motile, having two flagella. When released from the sporangial sori they drift and swim around in the water for 5–10 minutes at 15–20° C and up to 48 hours at 5° C, then settle and adhere to the substratum where they develop into male and female gametophytes.

Fig. 1.3 Schematic representation of the life history of Laminaria showing alternation of generations (N--2N).

Fig. 1.4 Terminology used to refer to stages in the life history of Laminaria.
Male and female gametophytes are morphologically dissimilar, the male gametophyte having smaller cells and being more branched than the female gametophyte (Fig. 1.5: 5a, 5b).
After a number of cell divisions the microscopic male gametophyte plant develops several spermatangia (also called antheridia), each spermatangium producing a single motile biflagellate spermatozoid which is released into the seawater (Fig. 1.5: 6b, 8).
The female gametophyte develops a single large oogonium which produces an egg. The egg is extruded during ovulation but remains attached to the apical lip of the oogonium (Fig. 1.5: 7). Here the egg is fertilized by motile spermatozoids (Fig. 1.5: 9) with fusion of male and female gametes producing the fertilized zygote (Fig. 1.5: 10). The zygote (2N) germinates and develops into a “young sporeling”, also called a “young seedling” (Fig. 1.5: 11), which subsequently develops into a “young sporophyte” plant (Fig. 1.5: 12).
When summer seawater temperature rises to 15–20° C between April and July in northern China (Fig. 1.7), numerous sporangial sori are formed on kelp fronds. When autumn seawater temperature falls to 22–20° C in mid-October in northern China, sporangial sori reappear on kelp fronds. Above 20–22° C formation of sporangial sori stops completely. And below 10° C relatively few sporangial sori are formed (Fig. 1.6).
The following very important general statements can be made about the limiting effects of seawater temperature on Laminaria growth and reproduction:
(i) Gametophytes will grow up to 26° C. However, gametophyte ovulation will not occur when seawater temperature is above 20° C. Ovulation occurs between 5– 15° C, even as high as 18° C, but stops completely above 20° C.
(ii) Sporangial sori will not form on Laminaria blades when seawater temperature rises above 20–22° C. Few sporangial sori are formed when seawater temperature is below 10° C. Optimum temperature range for formation of sporangial sori is 15–20° C.
(iii) Seawater temperature above 27° C for prolonged periods is lethal to Laminaria sporophytes. Sporophytes will survive up to 27° C, however biomass loss from frond deterioration occurs in warm summer seawater. Sporophyte growth virtually stops when seawater temperature rises above 18° C. Optimum temperature range for rapid growth of sporophytes is 1–13° C (Table 1.2). Thus Laminaria is unable to complete its life cycle in regions where summer seawater temperatures exceed 20° C for prolonged periods.

Fig. 1.5. Life history of Laminaria.
1: zoospore 2: embryospore 3: germination of embryospore 4: newly formed gametophyte 5a: female gametophyte 6a: male gametophyte 6a: mature oogonium 6b: spermatozoid being discharged from antheridium 7: discharged egg attached to oogonium 8: motile biflagellate spermatozoid 9: fertilization 10: zygote 11: 7-celled seeding or sporeling (sporophyte) 12: young seedling or sporeling 13: young sporophyte 14: robust sporophyte 15: mature sporophyte with sporangial sori. C. K. Tseung, 1987.
Fig. 1.7, showing monthly seawater temperature ranges at Qingdao in Shandong Province, illustrates some of the limiting factors mentioned. Female gametophyte ovulation does not occur between mid-July and early October, when water temperature exceeds 20° C. Formation of sporangial sori is much reduced between late November and early April, when seawater temperature is below 10° C. Hence only two seasonal periods exist when sporangial sori produce an abundance of zoospores: i) between early April and mid-July, and ii) between mid-October and mid-November.

A = frond length 200 cm
B = frond length 150 cm
C = frond length 100 cm
Fig. 1.4. Effect of temperature on the formation of sporangial sori. Liu Tianjin, 1981.
Before 1956 seedling-rearing was done under natural conditions in seawater. Seedlings were cultivated from zoospores which were collected in mid-October, when seawater temperature falls below 20° C, and hence were called “autumn seedlings” or “autumn sporelings” (Fig. 1.7: “AS”).
Since 1956 seedling-rearing has been done using artificially cooled conditions in seedling stations. Zoospores are collected in mid-July, just before seawater temperatures rise above 20° C, and seedlings which develop from them are called “summer sporelings” or “summer seedlings” (Fig. 1.7: “SS”).

Fig. 1.7. High, low and average seawater temperatures at Yantai in northern China
The sporophyte is a thallus, i.e. a plant without true roots, stems or leaves. The thallus, also called the frond, is composed of three parts: (i) the blade or lamina, (ii) the holdfast, (iii) the stipe (Fig. 1.8).
The frond or thallus of Laminaria japonica grows to a length of 2–6 m and a width of 35–50 cm at maturity. It is attached to the substratum by the holdfast which consists of numerous branching root-like rhizoids. The short cylindrical stipe, 5–6 cm in length, joins the blade to the holdfast. Under natural conditions the Laminaria frond lives up to three years. However in commercial seafarming Laminaria is harvested annually after an eight month growing season.
The blade or lamina is ribbon-like, with a thick central band area and thinner lateral edges appearing somewhat wavy. There are two channels along the central band part which are especially pronounced in the robust sporophyte stage. The concave surface of the blade faces upward toward the light.

Fig. 1.8. Morphology of the Laminaria sporophyte plant.
1: holdfast with rhizoids 2: stipe 3: blade 4: shallow channel 5: central band part of blade 6: lateral part of blade
Morphology of the Different Growth Stages
The sporophyte generation can be subdivided into four distinct morphological growth stages:
(i) The young sporeling stage covers the period from germination of the zygote to the time that sporelings reach a length of 10–25 cm (Fig. 1.5: 10–12). The first few cell divisions of the zygote are monostromatic (cells divide in a line, Fig. 1.5:11). At about 1 mm in length cell divisions become multistromatic (cells divide in a plane). At first all cells are capable of subdividing, but after differentiation of the blade and stipe, when sporelings are about 5 cm long, a layer of meristematic cells develops between blade and stipe.
In the modern cultivation system in China the young sporeling stage is grown in two very different environments. They are cultivated indoors in a seedling station (a “glass house” where water is cooled to 8–10° C) until they reach a length of about 2– 5 cm. About mid-October when seawater temperature falls below 20° C, sporeling ropes on which sporelings are cultivated are transferred from the seedling station to the raft site for intermediate culture.
(ii) The young sporophyte stage (Fig. 1.5: 13) begins with the differentiation of a basal ring of meristematic cells. This stage is characterized by strongly bullate (bubbled) fronds which are rather thin and brittle. Young sporophytes grow very rapidly in length and in fresh weight biomass during the 2–4 week period of intermediate culture, reaching a length of 10–25 cm by mid-November in northern China. At this length they are transplanted from sporeling ropes to thicker “kelp culture ropes” which are suspended from floating raft ropes at the beginning of grow-out. Bullation of the fronds gradually disappears. Overall the young sporophyte stage lasts about five months, from October to mid-March.
(iii) The robust sporophyte stage (Fig. 1.5: 14) is characterized by flat laminate fronds with absence of frond bullations. Fronds have a smooth leathery texture. Growth in length stops and blades may even show a decrease in length, but growth in thickness and in fresh weight biomass continues.
(iv) The mature sporophyte stage (Fig. 1.5: 15) is characterized by increasing thickening of the blades, their bases becoming more broadly rounded and their texture more leathery. In early April, depending on light conditions and seawater temperature, sporangial sori begin to appear as small round patches on the upper surfaces of the blades, containing sporangial cells sheltered within paraphyses (Fig. 1.9). With the development of sori the sporophyte plant reaches the mature sporophyte stage, also known as the “sporulating stage”.

Fig. 1.9. Transverse section of blade showing sporangial cells containing zoospores.
1: paraphyses 2: sporangium with zoospores
The blade is composed of three basic structures: (i) the epidermis, (ii) the dermal tissue, and (iii) the pith or medulla (Fig. 1.10: A,B,C).
(i) The epidermis (Fig. 1.10: A-1) is the outermost layer of tissue, consisting of small epidermal or palisade cells arranged in regular formation beside one another. The palisade cells are square-shaped in transverse section and elongated in longitudinal section. Chromatophores (cellular structures containing photosynthetic pigents) are concentrated near the outward-facing surface of the epidermal cell.
(ii) The dermal tissue (Fig. 1.10: A-2,3) lies below the epidermis and is differentiated into ectodermal tissue and endodermal tissue. Cells in the ectodermis are smaller than those in the endodermis. Both tissues are composed of elongated cylindrical cells. Cells in the ectodermis are more regularly arranged than those in the endodermis.
(iii) The pith (Fig. 1.10: A-4, B-5) is composed of two types of cells, pith cells and trumpet hyphae cells. Both are much smaller than endodermal cells. Pith cells are ordinary cylindrical-shaped cells. Whereas trumpet cells are very elongated with wide trumpet-shaped ends that join to form a network of conducting cells. End walls where trumpet cells join have sieve plates perforated with numerous openings. The network of trumpet hyphae cells allows photosynthates (such as mannitol) to flow from one part of the blade to another, acting like a vascular system in higher plants.
Mucilage glands (Fig. 1.10: C) are distributed throughout the endodermis, the stipe and the holdfast.

Fig. 1.10. Internal anatomy of the Laminaria frond.
A: transverse section of blade B: longitudinal section of blade C: mucilage gland 1: epidermis 2: ectodermis 3: endodermis 4: pith 5: interconnecting trumpet cells
Structure of the Cell Wall
The cell wall has two layers: (i) a fibrillar layer composed mainly of cellulose which forms the structurally rigid skeleton of the cell wall, and (ii) an amorphous intercellular layer which forms the matrix within which fibrillar cell walls are imbedded.
The Zoospore
Haploid zoospores liberated from sporangial sori are pear-shaped, about 6–8 μm long and 4–6 μm wide, with two unequal flagella, one about 18–20 μm long directed forward and the other 7–8 μm long directed sideways (Fig. 1.5: 1).
Germination of the Zoospore
Within about two hours after being liberated from the sporangial sori (depending on water temperature), zoospores adhere to the substratum. They soon transform into embryospores, which have only a cytoplasmic membrane and no cell wall (Fig. 1.5: 2). Within about four hours embryospores produce a germination tube 19–33 μm long (Fig. 1.5: 3). And within 2–3 days the protoplasm of the embryospore flows to the apex of the cell, which becomes spherical and grows a cell wall, thus becoming the first cell of the gametophyte plant.
Differentiation of Male and Female Gametophyte Plants
Male and female gametophytes are morphologically similar for the first few cell divisions. Thereafter they develop differently. Male gametophytes become multicellular, 8–16 cells being formed over 6 days, each cell 4–8 μm in diameter (Fig. 1.5: 5b). Female gametophytes remain unicellular, the single cell enlarging to between 11–22 μm in diameter after about 6 days (Fig. 1.5:5a).
During the following 2–3 days, the apical cell of male gametophyte plants forms a thin-walled spermatangium (Fig. 1.5: 6b). The single female gametophyte cell transforms into an oogonium (1.5: 6a). A short period of darkness is required to stimulate release of male and female gametes. In female gametophyte ovulation the egg is extruded but remains attached to the cell wall of the empty oogonium (Fig. 1.5: 7). Each spermatangium on the male gametophyte releases a single biflagellate spermatozoid (Fig. 1.5: 8). Numerous spermatozoids are attracted to the egg (Fig. 1.5: 9), one penetrating the thin-walled egg, after which the egg cell immediately forms a cell wall. Fusion of male and female nuclei creates a fertilized zygote (Fig. 1.5: 10).
Thus the gametophyte life cycle is completed in only 12–15 days, including liberation of free-swimming zoospores (1/4 to 4 hours), growth of embryospores (2–3 days), development of the gametophyte (7–10 days), sexual differentiation of spermatangia and oogonia and release of gametes with fertilization of the zygote (2–3 days).
To understand the historical evolution of techniques used for Laminaria production in China, a brief introduction to the different stages of kelp culture is needed (Fig. 1.11).

Fig. 1.11. Stages of kelp cultivation in northern China.
(i) Collecting zoospores refers to the gathering of zoospores from parent Laminaria stock. Selected parent Laminaria plants are dried for a few hours to stimulate zoospore release. Zoospores are gathered by providing a substrate (bamboo rods, seedling ropes) on which they attach. Young sporelings develop on the same substrate materials: zoospore → gametophyte → zygote --) seedling or sporeling. When zoospores are collected in mid-October the resulting young sporophyte plants are called “autumn seedlings”. When collected in early July, the young plants are called “summer seedlings” (Fig. 1.7).
(ii) Seedling-rearing of young sporelings refers to the early growth of seedlings or sporelings into young sporophyte plants. During this three month developmental stage (Fig. 1.11: 3–4) young sporophytes reach a length of 2–5 cm. In modern kelp culture seedling-rearing is done in a seedling station where water temperature is artificially cooled.
(iii) Intermediate culture of young sporelings refers to a period lasting 2–4 weeks when young sporelings are removed from the seedling-rearing station, after reaching a length of 2–5 cm, and are transferred to seawater at the raft grow-out site. Sporelings are transferred when seawater temperature drops below 20° C, around mid-October in northern China (Fig. 1.7). The purpose of this stage is to stimulate growth of sporelings to a length of 10–25 cm in preparation for transplantation. Sporelings become over-crowded in the seedling station when they reach a length of 3–5 cm and therefore transfer to seawater is necessary. During intermediate culture young sporelings grow very rapidly.
(iv) Transplantation of young sporophytes refers to the procedure of removing young seedlings from the seedling ropes at the end of intermediate culture and transplanting them to thicker kelp culture ropes for final grow-out on rafts. The procedure is equivalent to transplanting rice shoots in paddy culture.
(v) Raft culture grow-out of kelp plants refers to the final stage of kelp production when culture ropes with transplanted sporophytes attached are suspended from floating raft ropes anchored in shallow sea areas. The grow-out period in northern China lasts eight months, from about mid-November to mid-July of the following year.
(f) Harvest of kelp plants refers to the cropping and raw processing of mature kelp plants at the end of the grow-out stage. In northern China kelp harvest takes place between the end of June and the end of July. As seawater temperatures warm in mid-summer kelp fronds begin to deteriorate and lose weight. Plants should be harvested before serious loss of biomass occurs.
Older culture methods, before use of seedling-rearing stations, relied on collection of “autumn seedlings” (Fig. 1.7: “AS”). The older culture methods are described here so that reasons for establishing new methods can be better appreciated.
In the early 1950's Laminaria zoospores were collected from naturally occurring parent Laminaria stock in seawater. This was done by tying bamboo rods together to form ladder-like “seedling ropes” (Fig. 3.1). Autumn seedlings were cultured from zoospores collected in mid-October. The bamboo seedling ropes were suspended from floats and seedlings were cultivated for about three months, from mid-October to late January. In late January, having reached a length of 8–10 cm, sporelings were removed from the bamboo substrates and transplanted to thicker kelp culture ropes. These, in turn, were suspended from floating raft lines for the final grow out period, which lasted about 5–1/2 months from late January to harvest time in early-to-mid July.
The seasonal clock in Fig. 1.12 (Clock A) illustrates the timing of the different stages of commercial kelp production practiced in China in the early 1950's.
The bamboo seedling-rope method of collecting zoospores and cultivating young sporelings was very inefficient, because the bamboo rods also served as ideal substrates for zoospores of competing seaweed species, such as Ectocarpus, Enteromorpha and Liemorpha. As soon as the seedling ropes were lowered into the seawater, zoospores from these other species attached and grew prolifically, covering the seedling ropes. Under natural conditions Laminaria zoospores need about 20 days to develop into multicelled seedlings and, because other seaweeds blocked out light, growth of Laminaria seedlings was stunted for the first two months while awaiting other species to complete their life cycle and wither. The delay in growth of Laminaria seedlings meant that they were not ready for transplanting to thicker kelp ropes for final raft culture until late January or early February, during the coldest season of the year. In mid-winter in northern China the frigid seawater temperature and harsh weather conditions make transplantation work very difficult.
Seasonal “Clock A” in Fig. 1.12 illustrates several of the shortcomings of kelp culture methods practiced in the 1950's:
The 5–1/2 month grow-out season from late January to mid-July was not long enough for plants to reach full maturity and produce highest yield.
For three months of the year, from mid-July to mid-October, no kelp production of any kind (seedling-rearing or grow-out) could be carried out.
Transplanting of young sporophytes was done in mid-January, the coldest time of the year to work at such a demanding procedure.
These drawbacks could be overcome if zoospores could be collected earlier, i.e. sometime between April and mid-July when seawater temperature is still below 20° C and thus when sporangial sori are producing zoospores in abundance. Under natural growing conditions with rising summer seawater temperatures, however, summer sporelings would show poor development. Young sporophyte plants are stimulated to grow by a fall, not a rise, in seawater temperature (Table 1.2).
To extend the growing season, Chinese scientists began experimenting with seedling-rearing techniques using artificially cooled seawater. Results were very successful. Today in China zoospores are collected in mid-July and “summer seedlings” are raised in “glass house” stations where flowing water is cooled to 8–10° C.

Fig. 1.11. Seasonal clocks showing scheduling of the stages of commercial kelp production.
Clock A: Schedule of production work in the 1950's using “autumn seedlings” raised on seedling ropes in seawater.
Clock B: Schedule of production work in modern kelp culture using “summer seedlings” raised in seedling-rearing stations.
seedling-rearing stage = 
intermediate culture stage = 
final grow-out stage including harvest = 
Parent Laminaria are collected before general harvest and are stimulated by a few hours of drying to produce zoospores. The zoospores attach to “culture mats” made of palm rope fibre which are placed in culture tanks in the seedling station. Within a matter of days gametophytes are produced, gametes are released and fertilized zygotes begin to develop into young sporelings. Cultivation continues in cooled water until plants reach a length of 2–5 cm suitable for transfer/transplantation to culture rafts at sea.
Seasonal “Clock B” in Fig. 1.12 shows changes in scheduling of production work that have occurred as a result of using the new artificial seedling-rearing techniques. The main advantages of the new production schedule are:
The grow-out season, including intermediate culture, is extended to nine months, from mid-October to mid-July of the following year, resulting in an increase of 40% in Laminaria yield at harvest.
Production activities occur year-round, with summer months used for seedling-rearing, autumn months for intermediate culture and transplantation operations and winter months for the long grow-out period.
Production work takes place in mid-November under much better working conditions.
Young sporelings don't have competition from other seaweeds in early growth stages since they are cultured in seedling stations under controlled conditions.
Having successfully developed methods for rescheduling seasonal production activities, Chinese scientists then directed their attention to other variables affecting kelp cultivation. A main limiting factor in the Bo Hai and Huang Hai (Yellow) Seas is critical deficiency of nutrient salts.
Nitrogen, phosphorous and potassium are the main mineral elements required for kelp growth. The Bo Hai and Huang Hai Seas contain sufficient phosphorous, potassium and other trace elements to meet Laminaria growth requirements. But dissolved nitrogen is severely deficient in these seawaters.
Experiments have shown that Laminaria blades 1–2 m long, with a daily growth rate of 3–4 cm and dry weight increase of 0.3 g require 6 mg of nitrogen per day. In southern China dissolved levels of N-nitrogen and N-nitrates in seawater are adequate for kelp growth requirements. However, most coastal seawaters in northern China are deficient in nitrogen levels. When dissolved nitrogen falls below 5 mg/m3 Laminaria growth is visibly impaired.
In the early 1950's naturally occurring Laminaria forests grew only near coastal cities, apparently because those seawater regions are enriched with nutrients from municipal waste water effluent. A series of studies was done on nutrient levels along coastal regions of the Bo Hai and Yellow Seas. It was found that dissolved levels of N-nitrogen and N-nitrates in the outer region of the Yellow Sea are very low, about 2–3 mg/m3. It was also shown that Laminaria requires levels of dissolved nitrogen above 20 mg/m3 during rapid growing stages.
Experiments further demonstrated that shallow sea areas otherwise suitable for Laminaria production but having low levels of dissolved nitrogen could not support commercial Laminaria seafarming. In 1956 a small scale experimental fertilization program was carried out on kelp farms along northern coastal regions of the Yellow Sea which resulted in fresh weight yield of 2,350 tons. In the following two years a larger scale fertilization program was undertaken in the same region. By 1958 fresh weight yield had risen to 31,604 metric tons (dry weight 5,267 tons, see Table 1.1), an increase in output of 1,345% over the two year period. In subsequent years fertilization was widely implemented, making it possible for kelp cultivation to be extended along the entire coastline of the Yellow Sea, including many areas where kelp farming had previously been impossible due to nitrogen deficiency.
Since 1956 six basic methods (with variations) have been developed for applying fertilizers: (i) using unglazed porous clay bottles, (ii) using porous plastic bags, (iii) splashing liquid fertilizer, (iv) spraying liquid fertilizer, (v) soaking young sporelings in a fertilizer solution, and (vi) natural fertilization through polyculture.
In the late 1950's unglazed porous clay bottles were suspended from rafts among the culture ropes. Fertilizer placed in the bottles gradually diffuses into the growing area. Large numbers of clay bottles were suspended to distribute the fertilizer continuously, evenly and in low concentration, thus minimizing loss of fertilizer due to water currents.
A modification of the clay-bottle technique was introduced in the early 1960's with the use of plastic bags, instead of clay bottles, for containing fertilizer. The same principle of slow diffusion of fertilizer holds true for plastic bags. Use of plastic bags increases efficiency and lowers cost of materials. Clay bottles were heavy, relatively expensive and involved higher labour costs. Plastic bags are inexpensive, easily manageable and reduce labour costs. A few small pinprick holes are punched in the plastic bags to allow slow diffusion of fertilizer contents and, as before, they are suspended from rafts or tied to the culture ropes in the grow-out area.
In the 1960's, with further advancement of kelp culture techniques, cost of kelp production continued to drop and profit increased, with the result that kelp farming became an attractive way of improving the living standard of many coastal farmers and fishermen. More and larger kelp farms were organized. Farms grew from a few acres in size to plantation areas of tens or even hundreds of acres. With the increase in size of farms, the fertilizer diffusion techniques (using clay bottles and plastic bags) had to be supplemented with larger scale and more cost effective methods.
Research showed that Laminaria plants absorb nitrogen very rapidly, taking in enough in a few hours to satisfy growth requirements for several days. Therefore application of fertilizer using splashing and spraying techniques was introduced. Splashing uses simple equipment, a drum or tank containing fertilizer in solution and pails for spreading the fertilizer from small boats.
Simple splashing and sprinkling techniques were later advanced by using so-called spraying methods, where special boats equipped with tanks, pumps and hoses equipped with high pressure spray nozzles are used to fertilize hundreds of acres of growing area per day. Initial investment in equipment is high, but is distributed between many seafarming operations since the spraying boats rotate from farm to farm. Therefore this spraying method of fertilizer application is able to cover large areas with fertilizer solution very efficiently and at overall lower cost per acre.
Since kelp plants absorb nitrogen quickly, the soaking method of fertilizer application can also be used, especially during intermediate culture of young sporelings. Young sporelings showing slow growth are placed in tanks containing dissolved fertilizer for about 15 minutes. The procedure is repeated at 3–5 day intervals until growth is improved.
Polyculture has also been widely adopted both because economic returns are higher and because fertilizer costs are substantially reduced. In polyculture, Laminaria is cultivated with mussels or scallops. Nitrogenous wastes produced by the sea organisms are utilized by kelp plants. The result is a “microecosystem” which enhances growing conditions for both species. This gives increased output and market value of product, while at the same time lowering costs for fertilizer application, i.e. costs of fertilizer, spraying equipment and labour.
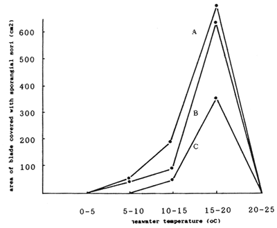
Maturation of kelp fronds is closely related to dissolved nitrogen levels in seawater. Nitrogen content especially affects the development of sporangial sori. Fig. 1.13 shows results of an experimental study on the growth of sporangial sori in seawaters having different nutrient levels. Areas of sporangial sori were measured for plants of equal blade size. The results show that kelp plants cultured in seawaters with only moderate nitrogen levels may produce sporangial sori covering 5% of blade surface area, whereas plants grown in seawaters with adequate nitrogen levels typically produce sporangial sori covering 15–25% of blade surface. Zoospore release is contingent on healthy development of sporangial sori. Therefore adequate levels of dissolved nitrogen are important not only for obtaining high harvest yield but also for producing high quality parent Laminaria having well-developed sori for zoospore collection.
Research and development of fertilizer application methods carried out during the mid-1950's greatly advanced the expansion and profitability of the kelp industry in northern China.

Fig. 1.13. Correlation between seawater nutrient levels and area of sporangial sori formed on mature Laminaria blades. Liu Tianjin, 1959.
Unlike coastal seawaters of northern China, coastal regions south of the Changjiang (Yangtze) River are very nutrient-rich. In Zhejiang Province, dissolved nitrogen levels in seawater are 88–227 mg/m3 and in Fujian Province 88–123 mg/m3, i.e. 6–11 times higher than around Qingdao. Thus kelp cultivation in southern China doesn't require fertilizer additives, greatly reducing production costs.
The main difficulty for kelp culture in coastal regions of southern China is the relatively long period of high summer seawater temperatures. Experiments on growth of Laminaria in relation to water temperature and have shown that, although optimum temperature for Laminaria growth is between 1–13° C, growth continues up to a temperature as high as 20° C without severe biomass loss due to frond deterioration.
The first experimental cultivation of Laminaria in southern China was done in 1956 at Gouji Island in Zhejiang Province. Results of this experiment confirmed that Laminaria japonica could be cultivated in seawaters south of the Yangtze River, thus laying the groundwork for large scale southward expansion of the kelp industry in China. Today, about 20% of China's total kelp production comes from southern China.
The purpose of this chapter has been to present a general introduction to the subject of Laminaria seafarming with particular focus on the development of Laminaria seafarming techniques in China. Those techniques have been developed (a) to alter Laminaria's life cycle in order to improve production scheduling, (b) to overcome the problem of nutrient deficiency in seawater through fertilizer application, and (c) to extend Laminaria's limited range distribution in order to be able to establish seafarming plantations in southern China.