A mon arrivée à Nin le secteur d'élevage larvaire était déjà en pleine activité, tous les bassins étant occupés par des larves à différents stades de développement; les premiers transferts de larves au secteur de sevrage et pré-grossissement avaient été également effectués. Tous les secteurs avaient donc déjà démarré.
Si d'un côté, pour ce qui concerne la production massive de plancton et l'élevage larvaire, le know-how fourni à la CENMAR décrivait suffisamment bien les techniques de reproduction en reportant les instructions nécessaires, de l'autre, pour le secteur de sevrage et prégrossissement on a dû constater une carence quasi-totale de données quantitatives et d'instructions spécifiques concernant surtout les quantités d'aliment à distribuer et le type et fréquence des tris à réaliser (éléments de base pour le succès du sevrage et prégrossissement du bar).
Les plus gros problèmes auxquels il a fallu faire face durant la mission sont les suivants:
Suite à l'absence totale de reproducteurs dans l'exploitation (les quelques reproducteurs disponibles ont fourni environ 6% de l'approvisionnement total), l'approvisionnement en oeufs a été réalisé grâce à des expéditions à partir de différentes fermes italiennes et instituts yougoslaves:
Pour l'interprétation plus aisée des résultats, les données de production ont été divisées en 8 cycles; on a pu ainsi regrouper différents lots d'oeufs qui ont pu être suivis individuellement, cycle par cycle, du début jusqu'à la fin des différentes phases de production. Tous les résultats quantitatifs d'élevage de larves et d'alevins de la saison, sont reportés au tab.1.
L'exploitation est pourvue de 5 bassins extérieurs de 800 m3 de capacité unitaire destinés au stockage des reproducteurs; toutefois, les températures hivernales de l'eau au niveau de la prise d'eau en lagune (-0.3°C, température minimale de cet hiver) empêchent toute utilisation à cette fin de ces bassins. Je crains que la réalisation de la prise d'eau en mer (cf. § suivant) ne puisse résoudre le problème de ces bassins; en effet, par temps de vent (la Bora, vent froid de NE, est fréquente dans la zone, surtout en hiver), la température de l'eau dans les bassins subira des chutes telles que l'on arrivera fort probablement à des niveaux critiques pour les reproducteurs (sauf au prix de pompages considérables d'eau pour en augmenter le renouvellement dans les bassins).
Il est regrettable qu'une écloserie industrielle comme celle de Nin soit dépourvue d'un stock de reproducteurs; les aléas d'un approvisionnement extérieur en oeufs représentent un trop gros risque pour le succès de la production de l'exloitation (risques du transport, qualité des oeufs, quantités aléatoires, etc.).
| OEUFS UTILISES | LARVES | ALEVINS | ||||||||||||||||
| Date | Prov. oeufs | N.oeufs util. | N. b. | N.oeufs | N. larv. | Age (j) | N.larves | Survie (%) | N. alev. |
Age (j) | N. bass. | N.alev. | Survie (%) | Survie tot(%) | ||||
| /bass | /lit. | /bass. | /lit. | /bass. | /lit. | |||||||||||||
| I | 26/11 | Rovinj | 50.000 | |||||||||||||||
| 10/12 | " | 50.000 | ||||||||||||||||
| 15/12 | " | 460.000 | ||||||||||||||||
| TOT. | 560.000 | 11 | 50.900 | 25.5 | 38.000 | 37 | 3.450 | 1.7 | 6.8 | 11.214 | 102–121 | 4 | 2.804 | 0.28 | 29.5 | 2.00 | ||
| II | 10/01 | Rovinj | 487.000 | |||||||||||||||
| 09/01 | " | 110.000 | ||||||||||||||||
| Tot. | 424.000 | 8 | 53.000 | 26.5 | 144.050 | 35–37 | 18.006 | 9.0 | 34.0 | |||||||||
| 02/01 | Nin | 165.000 | ||||||||||||||||
| 12/01 | " | 15.000 | ||||||||||||||||
| 20/01 | " | 320.000 | ||||||||||||||||
| 21/01 | " | 145.000 | ||||||||||||||||
| 23/01 | " | 55.000 | ||||||||||||||||
| Tot. | 540.000 | 13 | 41.550 | 21.0 | 100.740 | 35–44 | 7.750 | 3.9 | 18.7 | |||||||||
| 14/01 | Pel. | 321.000 | ||||||||||||||||
| Tot. | 287.000 | 7 | 41.000 | 20.5 | 35.100 | 35–36 | 5.014 | 2.5 | 12.2 | |||||||||
| TOT. | 1.346.000 | 28 | 48.100 | 24.0 | 279.900 | 35–44 | 9.996 | 5.0 | 20.8 | 104.127 | 74–111 | 27 | 3.857 | 0.39 | 37.2 | 7.74 | ||
| III | 27/01 | Rovinj | 315.000 | |||||||||||||||
| 30/01 | " | 440.000 | ||||||||||||||||
| Tot. | 695.000 | 14 | 49.650 | 24.8 | 154.570 | 40–48 | 11.040 | 5.5 | 22.2 | |||||||||
| 26/01 | Nin | 150.000 | ||||||||||||||||
| 02/02 | " | 100.000 | ||||||||||||||||
| 03/02 | " | 70.000 | ||||||||||||||||
| Tot. | 285.000 | 6 | 47.500 | 23.8 | 105.940 | 40–43 | 17.657 | 8.8 | 37.2 | |||||||||
| TOT. | 980.000 | 20 | 49.000 | 24.5 | 260.510 | 40–48 | 13.026 | 6.5 | 26.6 | 111.357 | 79–119 | 18 | 6.187 | 0.62 | 42.7 | 11.36 | ||
| IV–V | 14/02 | Dubr. | 320.000 | |||||||||||||||
| 16/02 | Polic. | 3.815.000 | ||||||||||||||||
| Tot. | 4.135.000 | 39 | 106.025 | 53.0 | 429.000 | 37–49 | 11.000 | 5.5 | 10.4 | |||||||||
| 21/02 | Polic. | 2.570.000 | 39 | 65.900 | 32.9 | 450.000 | 37–49 | 11.538 | 5.8 | 17.5 | ||||||||
| TOT. | 6.705.000 | 78 | 85.961 | 43.0 | 879.000 | 37–49 | 11.270 | 5.6 | 13.1 | 381.498 | 77–120 | 46.5 | 8.204 | 0.82 | 43.4 | 5.69 | ||
| VI | 12/03 | Polic. | 1.680.000 | 27 | 62.222 | 31.1 | 372.000 | 40–47 | 13.777 | 6.9 | 22.1 | 300.343 | 73–96 | 30 | 10.011 | 1.00 | 80.7 | 17.88 |
| VII | 28/03 | Rovinj | 870.000 | |||||||||||||||
| 30/03 | " | 665.000 | ||||||||||||||||
| 04/04 | " | 690.000 | ||||||||||||||||
| TOT. | 2.225.000 | 24 | 92.708 | 46.4 | 177.300 | 40–45 | 7.388 | 3.7 | 8.0 | 135.106 | 71–95 | 23 | 5.874 | 0.59 | 76.2 | 6.07 | ||
| VIII | 21/04 | Rovinj | 300.000 | 5 | 60.000 | 30.0 | 110.000 | 40 | 22.000 | 11.0 | 36.7 | 82.500 | 68–95 | 12 | 6.900 | 0.69 | 75.0 | 27.50 |
| 13.796.000 | 193 | 71.482 | 35.7 | 2.116.710 | 35–49 | 10.967 | 5.5 | 15.34 | 1.126.145 | 68–121 | 161 | 7.000 | 0.70 | 53.2 | 8.16 | |||
Tab. 1. Résultats de production de l'écloserie (1984).
N.B.: Nombre de bassins.
Actuellement le stock est en voie de constitution mais le nombre de reproducteurs disponibles (poids total: environ 160 Kg; 234 individus dont 170 de moins de 500 g unitaire) est encore insuffisant pour garantir la demande en oeufs de la prochaine saison.
Le Tab.2 ci-dessous reporte les estimations du stock de reproducteurs nécessaire pour la production annuelle de 1.5 million d'alevins. Les données de base utilisées pour les calculs sont les suivantes:
| • taux de fécondité moyenne: 20% (200.000 oeufs/Kg femelle) | |
| • taux de réponse à la ponte: 50% | (minima) |
| • taux de fécondation des oeufs: 80% | |
Trois hypothèses sont prises en considération pour ce qui concerne les résultats de survie en écloserie:
| Hypothèses de survie (%) | |||
| “basse” | “moyenne” | “haute” | |
| survie oeufs-larves | 15 | 25 | 35 |
| survie larves-alevins | 50 | 65 | 80 |
| survie finale écloserie | 7.50 | 16.25 | 28.00 |
| nécessité en oeufs (N. ×106 ou Kg) | 20.00 | 9.23 | 5.36 |
| nécessité en femelles(Kg) | 250 | 115 | 67 |
| nécessité en mâles (Kg) | 125 | 57.5 | 33.5 |
| Poids total reproducteurs nécessaires (Kg) | 375 | 172.5 | 100.5 |
Tab.2.
Il faut donc prévoir un stock de 375 Kg de reproducteurs; toutefois, les résultats de la prochaine saison pourront mieux déterminer le choix de l'une ou l'autre hypothèse et l'augmentation du stock actuel pourra donc être effectuée en conséquence.
La gestion correcte des reproducteurs est un élément de base dans la gestion d'une écloserie; il faudra donc respecter surtout les aspects suivants:
Quatorze bassins circulaires de 12 m3 de capacité unitaire, identiques à ceux de prégrossissement, sont destinés à la ponte; les deux rangées de bassins sont pourvues chacune de deux circuits d'alimentation en eau: un relié à un biofiltre (H2 et H5; cf. fig.2), commun avec le circuit de deux rangées de bacs d'élevage larvaire et l'autre d'apport direct d'eau de la prise extérieure. Le know-how indique comme températures idéales pour les pontes 16–18°C et prévoit le contrôle thermique dans les bassins de ponte par le mélange des eaux provenant de l'extérieur et du biofiltre. Un simple calcul montre qu'aux conditions thermiques hivernales (l'eau extérieure à 7–8°C dans le cas d'une nouvelle prise d'eau en mer), la demande en eau du biofiltre serait de l'ordre de 250 m3/jour (le renouvellement du biofiltre est de l'ordre de 10 m3/jour), qui serait ainsi évacuée (il est en effet absolument contre-indiqué de recycler sur le biofiltre des eaux de bassins de reproducteurs toujours porteurs de nombreux parasites ou autres organismes dont il faut éviter le contact avec les milieux d'élevage larvaire).
Se pose donc le problème de la gestion des pontes, qui doit être résolu conjointement avec celui du stockage hivernal des reproducteurs.
lère hypothèse. Réalisation à Lamjana d'une unité de ponte, à circuit semi-fermé (pontes à 16–18°C) ou à circuit ouvert (10–13°C); un système à circuit ouvert aurait l'avantage de minimiser l'intervention nécessaire. Le stockage des reproducteurs serait réalisé dans les cages mêmes: les géniteurs seraient donc manipulés une seule fois au moment de la sélection et du transfert dans les bassins de ponte. Le transfert des oeufs jusqu'à l'écloserie ne représente pas un problème limitant.
2ème hypothèse. Réalisation sous couvert, à Nin, de la même unité en circuit semi-fermé et indépendant des autres circuits d'eau de l'écloserie, pour le stockage hivernal des reproducteurs (8–10°C) et les pontes en conditions thermiques contrôlées (16–18°C). Se pose dans ce cas un problème d'espace actuellement disponible dans l'écloserie. Cette solution offre l'avantage d'une plus grande disponibilité de bassins pour le prégrossissement (14 bassins en plus), donc une plus grande capacité productive de l'écloserie (tout comme la lère hypothèse).
3ème hypothèse. Utilisation des 14 bassins actuellement prévus pour les pontes et les relier aux deux biofiltres (H2 et H5), en isolant les mêmes biofiltres des bassins d'élevage larvaire; ceux-ci devraient alors se rattacher au circuit hydrique des biofiltres H3 et H4 (voir proposition § 2.5). Pour le stockage des reproducteurs je conseille vivement, dans ce cas, de réaliser un bassin de stockage interne (environ 100 m3) qui pourrait être légèrement réchauffé en utilisant les eaux plus chaudes évacuées au niveau des biofiltres.
L'écloserie ne prévoit malheureusement pas, au niveau de l'installation et des programmes de production, les pontes décalées; il est fortement conseillable, dans le but d'améliorer la productivité de l'exploitation, de prévoir la réalisation d'un secteur de stockage et conditionnement de géniteurs (par température et photopériode).
Autre point faible de l'installation: la prise d'eau dans la lagune voisine à l'écloserie. Pour pallier à la profondeur très limitée de cette lagune on a dû creuser un puits d'environ 4m de profondeur au niveau de la station de pompage (2 pompes verticales d'environ 100 m3/h). Plusieurs problèmes se sont posés:
Le choix du site se révèle donc tout à fait erroné pour ce qui concerne la qualité de l'eau (critère de choix primordial); au niveau technique, les autres critères ayant régi le choix du site (d'après les rapports fournis à la CENMAR) ne me semblent pas justifiés par rapport au problème en question:

Fig.4. Températures de l'eau relevées à la station de pompage de l'écloserie de novembre 1983 à juin 1984.
En effet, les quatre premières caractéristiques sont communes à bon nombre d'autres sites dans la zone (la présence d'un fleuve n'est pas nécessaire); la proximité de l'écloserie aux salines ne représente pas un avantage prédominant pour les possibilités d'exploitation de ces bassins. Quant à la facilité de construire une prise d'eau en lagune, le critère n'a plus aucune validité quand l'étude de faisabilité démontre clairement le facteur limitant des propriétés physico-chimiques de l'eau (il semble toutefois, d'après les rapports consultés, qu'aucune donnée physico-chimique n'ait été récoltée ni prise en analyse pour le choix du site).
Il est regrettable que sur une telle côte, possédant des eaux claires, non ou peu polluées (développements urbains et industriels très limités), profondes, protégées de la grosse mer par une barrière d'îles et aux caractéristiques thermiques très favorables (minima hivernaux de l'ordre de 10–11°C; possibilité de puiser en dessous du thermocline de l'eau à 15°C toute l'année), l'écloserie ait été implantée sur la seule lagune existante.
Des travaux sont actuellement en cours pour réaliser une nouvelle prise d'eau en mer (environ 800 m de ligne); toutefois, également la baie en face de Nin est peu profonde et il semble que les températures minimales soient de l'ordre de 7°C. Elle résoudra toutefois bon nombre des problèmes existants à l'heure actuelle.
Depuis la station de pompage, l'eau est distribuée aux 5 bassins extérieurs et à l'écloserie où l'eau est introduite directement en amont des biofiltres. L'absence de toute décantation ou d'une filtration préliminaires de l'eau oblige les biofiltres à jouer un rôle de bassins décanteurs et de filtration de matière organique en suspension; cette situation nuit considérablement au bon fonctionnement des biofiltres (problèmes de colmatage, développement de populations bactériennes hétérotrophes, etc.) et à l'état sanitaire général des circuits hydriques (la stérilisation U.V. se trouve en aval des biofiltres). Un filtre à sable a été prévu à cet effet et fait partie du matériel commandé (voir § 2.11).
L'installation est également dépourvue de bac de stockage de l'eau de mer pour une distribution en gravité de l'eau nécessaire; l'absence d'un tel bassin oblige à laisser fonctionner constamment la pompe extérieure (débit minimum de 100 m3/h) quand l'écloserie a une demande en eau de l'ordre de 4 m3/h en régime normal (renouvellement de l'eau dans les biofiltres). En estimant à environ 10 m3/h le besoin moyen réel de l'écloserie (remplissage des bassins d'élevage, demande du secteur phyto-zooplancton, utilisations temporaires en circuit ouvert, nettoyages, etc.), le fonctionnement continu de la pompe extérieure (13.5 KW) représente un surplus de consommation d'énergie électrique de l'ordre de 70.000 KW sur toute la saison, soit 25% de la consommation totale d'électricité de l'écloserie de septembre 1983 à juin 1984. Il est primordial de prendre en considération ces aspects économiques au niveau de la réalisation des projets de telles exploitations.
Responsable: Vlasta Franičevic
L'activité de ce secteur a été fortement lésée par:
1) des problèmes de production de rotifères: les cultures ne montaient pas régulièrement en concentration, ce qui a réduit de près de 50% la production potentielle du secteur;
2) les pourcentages très bas d'éclosion des cystes d'Artemia salina qui ont rendu insuffisant l'approvisionnement de nauplii en élevage larvaire;
3) l'épuisement prématuré des stocks d'oeufs d'Artemia disponibles et la difficulté d'approvisionnement rapide de cette marchandise (problèmes d'importation) qui ont été à l'origine de carence grave, voire totale, de nauplii pendant plusieurs jours durant les phases plus critiques de la saison.
Production d'algues et rotifères
La production d'algues n'a pas posé de gros problèmes; toutefois des phénomènes de contamination ont été observés au niveau des cultures (cf. ci-dessous). Pour ce qui concerne le problème des rotifères, les techniques utilisées ne semblent pas en cause car elles reflètent celles utilisées à la SIRAP et éprouvées, du moins dans la mesure des productions prévues pour l'écloserie de Nin; quelques petites améliorations ont toutefois été apportées et d'autres ont été proposées par M. Bédier.
Il est fort probable que le facteur limitant ait été la qualité de l'eau à l'entrée du secteur, mise en évidence par la présence continue, tout au long de la saison, de ciliés au niveau de toutes les cultures; les causes sont à rechercher au niveau du traitement préalable de l'eau:
1) l'eau est initialement prélevée en aval d'un biofiltre (H3; cf. Fig.2); or la qualité de cette eau est déjà compromise en amont par les caractéristiques, déjà discutées, de l'eau extérieure, par la non-activité du biofiltre (voir résultats § 2.7 ; toutefois les concentrations de N-NH4 en cause sont assez faibles) et par une stérilisation U.V. carente de l'eau (non fonctionnement des lampes U.V. pendant plusieurs semaines, insuffisance probable de l'efficacité stérilisante de ces systèmes U.V.: cf. § 2.5).
2) en amont de chaque unité du secteur (cultures d'algues, cultures de rotifères, incubation des oeufs d'Artemia) l'eau est filtrée sur une série de 8 filtres à cartouches (2×10μ, 2×5μ, 4×1μ); elle devrait ensuite être stérilisée au moyen de 2 lampes U.V. qui n'ont pu fonctionner durant toute la saison. Les cartouches n'étaient pas disponibles en nombre suffisant (celles de lu ne se trouvent pas en Yougoslavie) ce qui a entraîné une utilisation prolongée et excessive des cartouches existantes et donc une perte progressive et certaine d'efficacité filtrante.
Les améliorations appotées sont les suivantes:
1) traitement de l'eau à l'entrée de l'écloserie et du secteur par filtration sur filtre à sable sous pression (sous commande);
2) disponibilité et approvisionnement assurés de cartouches filtrantes;
3) mise en fonctionnement des lampes U.V. en amont de chaque unité du secteur.
Pour une écloserie comme celle de la CENMAR il est indispensable d'améliorer les techniques de ce secteur dans un but d'économie de temps; les manipulations effectuées actuellement sont non seulement lourdes (déplacement manuel de sacs de 25–30 l) mais recquièrent également du temps (vidange complète et redémarrage des bacs de culture de rotifères, soudure des sacs, transport des sacs, etc.). Pour ce faire il serait utile de modifier progressivement les techniques utilisées comme suit:
1) Utilisation de sacs en U (voir Fig.5) pour les cultures d'algues, ce qui évite le travail de soudure des sacs et les risques de pertes par les soudures-mêmes;
2) Les volumes de ces sacs (50–60 l) nécessitent une distribution par pompe du phytoplancton dans les cultures de rotifères; ce type de distribution évite les déplacements à la main des sacs et les risques d'accidents sur les sacs-mêmes, tout en représentant une économie de temps appréciable.
3) Technique en “semi-continu” de culture de rotifères: cette technique, proposée par M. Bédier au cours de sa mission, offre l'avantage d'augmenter la productivité de ce secteur (50% environ) et d'apporter en même temps une économie de temps considérable outre la possibilité d'automatisation des manipulations. Je recommande vivement de réaliser dès cette saison les premiers essais de production suivant cette technique pour l'étendre ensuite progressivement à tous les bassins de culture dès que la méthodologie de travail sera bien acquise par le personnel du secteur.

Fig. 5. Sacs de polyéthylène pour les cultures d'algues et rotifères
Production de nauplii d'Artemia salina
Les taux très faibles d'éclosion des oeufs d'Artemia ont entraîné une consommation excessive de cystes et l'épuisement rapide des stocks prévus initialement. Différents essais ont été réalisés pour vérifier l'éventuelle mise en cause des techniques d'incubation utilisées, en premier lieu la décapsulation. Toutefois, les résultats obtenus avec l'utilisation de souches et origines différentes des cystes montrent clairement, à méthodes et conditions de manipulation égales, que c'est l'origine même des oeufs qui a déterminé les différents pourcentages d'éclosion obtenus.
L'économie de cystes qui s'est rendue très vite nécessaire vu les difficultés et les temps d'approvisionnement de nouvelles quantités d'oeufs, a eu comme conséquence directe une carence de nauplii, très marquée durant certaines phases de l'activité, par rapport aux exigences réelles de l'élevage larvaire.
Sur la base de cette expérience et des quantités requises pour l'élevage larvaire (cf. § 2.5 et 3.2) il est recommandé de disposer dès le début de la saison, du stock entier d'oeufs d'Artemia nécessaires pour l'entière production. En considérant une production de base de 1.5–1.8 million d'alevins (cf.§ 2.5), la demande globale annuelle est de l'ordre de 37.5–45.0 109 nauplii d'Artemia; sur la base du taux d'éclosion moyen de la saison passée (112.250 nauplii par gramme de cystes) il faut donc prévoir au moins 400 Kg d'oeufs. Une estimation plus pessimiste peut se baser sur la consommation totale de la saison passée (424 Kg) en rapport avec la production finale d'alevins (1.125.00); proportionnellement, une production de 1.5–1.8 106 alevins nécessiterait de 600 à 700 Kg d'oeufs. Il est toutefois plus que probable que les taux de survie moyens de l'écloserie augmentent la prochaine saison ce qui devrait diminuer les quantités estimées sur cette dernière base.
Quant aux manipulations liées à la production des nauplii il faut également intervenir dans une optique de gain de temps, en particulier sur les opérations suivantes:
Il serait souhaitable enfin de mettre au point une technique de grossissement (1–2 jours) des nauplii ce qui permettrait, d'une part l'augmentation sensible de biomasse de plancton disponible et une économie appréciable d'Artemia et de l'autre, de pouvoir disposer de proies plus grosses pour les stades larvaires plus avancés du bar.
Responsable: Darko Lisac
Origine des oeufs. Les résultats productifs de la saison (Tab. 1) ont démontré une fois de plus l'importance de l'origine et de la qualité des oeufs pour le succès de l'élevage larvaire. Le deuxième cycle de production le montre clairement: trois différents lots d'oeufs, provenant de Rovinj, de l'écloserie même de Nin et de Pellestrina (SIRAP), dans les mêmes conditions d'élevage (même période, même charge initiale des bassins en oeufs, même circuit d'eau, alimentation à satiété, manipulations identiques) ont donné des taux de survie au 40–45ème jour extrêmement différents, respectivement de 34.0, 18.7 et 12.2 %. Cette qualité des oeufs, dont les effets peuvent se répercuter non seulement sur le taux d'éclosion mais également sur le taux de survie des larves durant les différentes phases d'élevage, dépend principalement, à mon avis, des conditions générales du stock de reproducteurs et des manipulations effectuées avant et après la ponte, aussi bien sur les géniteurs que sur les oeufs mêmes. C'est pour cela qu'il est primordial de prêter les meilleurs soins possibles aux reproducteurs (cf. § 2.2).
Alimentation. Autre point de base de cette phase d'élevage est la nutrition comme quantités de proies distribuées et modalités de distribution; je ne me pencherai pas ici sur l'aspect qualitatif de l'aliment vivant, aspect tout aussi important que les précédents. Quant aux quantités nécessaires pour l'élevage larvaire il est utile d'analyser les résultats obtenus sur les différents cycles de production en fonction notamment des quantités alimentaires distribuées (voir Tab.3).
L'interprétation de ces résultats est peu aisée du fait de l'interaction de deux facteurs: qualité des oeufs et nutrition; toutefois des indications utiles émergent de l'analyse de ces résultats:
1) les meilleurs taux de survie (lots 2, 6 et 11) sont obtenus avec les rations de rotifères les plus élevées (n.rotifères/oeuf initial);
2) la ration de nauplii par larve de 40 jours est peu variable (10 000–15 000), ce qui s'explique par le fait que la distribution est effectuée en fonction de la demande; 3) on peut en déduire les rations totales qui apparaissent optimales:
| Lots | Cycle | Proven. oeufs | N.oeufs /bassin ( ) | N.larves 40 jours /bassin ( ) | Survie moy. à 40 j. (%) | N.rot.distribués | N. nauplii distr. | ||||
| /bass. (106) | /oeuf init. | /larve 40 j. | /bass. (106) | /oeuf init. | /larve 40 j. | ||||||
| 1 | I | Rovinj | 50.900 | 3.450 | 6.8 | 82.4 | 1.619 | 23.880 | 57.7 | 1.134 | 16.725 |
| 2 | II | Rovinj | 53.000 | 18.006 | 34.0 | 48.4 | 914 | 2.688 | 166.6 | 3.143 | 9.252 |
| 3 | Nin | 41.550 | 7.750 | 18.7 | 40.1 | 966 | 5.174 | 118.9 | 2.861 | 15.342 | |
| 4 | Pell. | 41.000 | 5.014 | 12.2 | 28.1 | 686 | 5.604 | 65.4 | 1.595 | 13.043 | |
| 5 | III | Rovinj | 49.650 | 11.040 | 22.2 | 24.1 | 485 | 2.183 | 172.6 | 3.476 | 15.634 |
| 6 | Nin | 47.500 | 17.657 | 37.2 | 43.7 | 920 | 2.475 | 187.3 | 3.943 | 10.608 | |
| 7 | IV | Polic. | 106.025 | 11.000 | 10.4 | 30.6 | 289 | 2.781 | 98.4 | 928 | 8.945 |
| 8 | V | Polic. | 65.900 | 11.538 | 17.5 | 34.7 | 527 | 3.007 | 86.6 | 1.314 | 7.506 |
| 9 | VI | Polic. | 62.200 | 13.777 | 22.1 | 40.5 | 651 | 2.940 | 216.6 | 3.482 | 15.722 |
| 10 | VII | Rovinj | 92.700 | 7.388 | 8.0 | 48.8 | 526 | 6.605 | 249.4 | 2.690 | 33.876 |
| 11 | VIII | Rovinj | 60.000 | 22.000 | 36.7 | 121.5 | 2.025 | 5.500 | 549.0 | 9.150 | 24.955 |
Tab.3. Quantités de proies, rotifères et nauplii d'Artemia, distribuées durant les différents cycles de production. Le nombre d'oeufs est calculé sur la base de 1000 oeufs/gramme.
Les tableaux de distribution journalière d'aliment vivant sont reportés au § 3.4; ces chiffres sont donnés à titre indicatif et pourront évidemment varier, surtout pour les nauplii d'Artemia, en fonction des taux de survie obtenus. Ils donnent toutefois une idée assez précise des consommations de proies qu'il faut affronter en élevage larvaire et qui sont nettement différentes des données fournies par le know-how (de 2 fois supérieures pour les rotifères et de 5 fois pour les nauplii).
Dans une optique d'économie des proies distribuées, dont une partie est évacuée du fait du renouvellement d'eau, je recommande:
1) de limiter au maximum le renouvellement d'eau durant la phase d'alimentation en rotifères (2–3 1/m); en effet, la production pratiquement négligeable d'ammoniaque durant les stades larvaires (cf. § 2.7) ne justifie pas des débits aussi élevés que ceux utilisés initialement (8–10 1/m, correspondant à un taux de renouvellement horaire de 25–30%);
2) d'utiliser, durant la phase d'alimentation sur nauplii, et après le 20ème jour d'âge des filtres de 220 u au niveau de l'évacuation du bassin pendant la journée pour empêcher la sortie des nauplii et de 500 u pendant la nuit de manière à pouvoir évacuer les matières en suspension (cystes, sédiments organiques, etc.).
Du fait que l'élevage larvaire est réalisé suivant les cycles photopériodiques naturels et à des températures relativement élevées pour le métabolisme des larves (20°C), les périodes d'obscurité (environ 14 h pendant l'hiver) sont très longues; il est donc important que les larves aient une distribution d'aliment dès le lever du jour et à la tombée de la nuit. Pour ce faire, il est nécessaire que les rations de rotifères ou Artemia soient préparées la veille pour la première distribution matinale.
Quant à la distribution des proies au niveau des bassins, la méthodologie actuelle, fort limitée par l'installation même est à modifier à tout prix si l'on veut se mettre sur un plan d'économie de temps. Le facteur limitant est la rampe d'accès à la passerelle du secteur d'élevage larvaire (liée à la hauteur des bassins, 1.80 m); la pente étant trop forte il n'est pas possible d'y accéder avec des chariots et des cuves contenant les solutions de proies à distribuer. Conséquence: la distribution est effectuée avec des seaux qui sont transportés à la main depuis les bassins de stockage (secteur de production de plancton; cf. Fig.2) jusqu'aux bacs d'élevage, en devant passer, non sans acrobaties, audessus du biofiltre et de la canalisation d'évacuation pour accéder à la passerelle. En comptant en moyenne 2 seaux de nourriture à distribuer par bassin et par jour sur 112 bassins, cela représente 224 seaux de 10 l à porter sur une distance moyenne de 15 m, chaque jour.
Sur une installation de cette envergure, il faut absolument envisager une distribution automatique de ces aliments: les solutions liquides d'aliments permettent en effet aussi bien l'utilisation de pompes que de bacs surélevés avec distribution gravitaire au niveau des bassins. Faute d'une solution technique d'automatisation de ce genre, il faut au moins projeter le secteur de production de plancton au même niveau que la passerelle des bacs d'élevage larvaire.
Aspects techniques. Le circuit d'air général de l'écloserie est à revoir. D'une part la pression générale est insuffisante à régime normal ce qui se traduit par un bullage insuffisant au niveau des biofiltres et plus particulièrement dans les bacs d'élevage larvaire. Il est nécessaire que dans ces bassins (profondeur: 1.80 m) le bullage soit assuré depuis le fond du cône de manière à empêcher la sédimentation des proies, surtout des Artemia. Les mesures réalisées indiquent un besoin supplémentaire en débit d'air d'environ 50%; actuellement 2 surpresseurs sont utilisés (en alternance, sur 3 installés) pour un débit total de 600 m3/h (à 0.16 bar); les trois surpresseurs pourraient être utilisés en continu ou un 4ème surpresseur doit être installé.
D'autre part, un circuit unique de distribution de l'air pour les différents secteurs de l'exploitation (phyto-zooplancton, élevage larvaire, prégrossissement, biofiltres) me semble peu indiqué. En effet, une variation de la demande en air dans l'un ou l'autre secteur modifie la pression dans le circuit et donc les bullages dans les autres secteurs; le phénomène est d'autant plus marqué que la capacité de l'installation est à la limite du besoin en débit d'air. Il serait donc préférable de fractionner le circuit dans une écloserie et rendre indépendants les circuits de distribution dans les différents secteurs.
Les systèmes automatiques de nettoyage dans les bassins d'élevage larvaire sont peu performants (mauvaise adhérence da la pale aux parois du bac) et peu fiables (moteurs insuffisamment puissants); des modifications sont toutefois en cours de réalisation actuellement.
La gestion de ce secteur était déjà bien acquise par le responsable et les résultats de la saison sont déjà d'un niveau appréciable compte tenu de la qualité fort variable des oeufs utilisés. L'élevage dans ce type de bac peut être encore intensifié et il faudrait progressivement arriver à charger les bassins avec 200 g d'oeufs (100 oeufs/1) en augmentant proportionnellement les doses alimentaires nécessaires.
Alimentation
Les larves, transférées des bacs de 2 m3 aux bacs circulaires de 12 m3 à fond pratiquement plat, à l'âge de 40–45 jours, sont progressivement conditionnées à l'aliment sec (Trouvit, type 0000). toutefois, la carence en nauplii d'Artemia nous a contraint à passer de suite à l'aliment sec, avec une période de transition de 2-3 jours seulement; les résultats ont été surprenants, l'adaptation à l'aliment granulé se réalisant en quelques heures seulement.
Initialement, durant les premiers cycles de production, la distribution d'aliment se faisait au moyen de distributeurs automatiques; l'aliment, contenu dans une trémie est retenu au fond par un disque à 3 perforations: une hélice, actionnée par un moteur, pousse en tournant les particules au niveau des trous. Malgré une longue période d'essai, ces appareils se sont révélés peu fiables pour ce type de distribution. L'humidification inévitable des granulés (de granulométrie très petite) provoque ou le colmatage, partiel ou total, des trous ou le bloquage de l'hélice suite à une accumulation de particules dans les angles de l'appareil; en conséquence, les débits d'aliment sont difficilement calibrables et très irréguliers et les arrêts fréquents.
En outre, une distribution très localisée de l'aliment provoque une forte sélection au niveau de la population en dessous du distributeur, qui joue en faveur des individus plus forts; il faudrait donc multiplier le nombre de distributeurs sur chaque bassin.
L'intervention, pour résoudre ce problème, a donc consisté à adopter une distribution manuelle des granulés, contrôlée au niveau des quantités, qui ont été de fait augmentées.
Les doses alimentaires nécessaires à ce stade d'élevage (aliment sec intégré par de l'aliment frais) sont reportées au troisième chapitre (§ 3.3). Il serait appréciable de pouvoir s'approvisionner pendant l'été d'Artemia adultes, que l'on trouve dans le nord et le sud de la côte yougoslave; l'apport qualitatif d'une telle source alimentaire en phase de sevrage et prégrossissement serait certainement intéressant.
Comme pour les larves, il est nécessaire d'effectuer le premier nourissage dès le lever du jour et une dernière distribution à la fin de la journée.
Sélection
Autre aspect important en phase de prégrossissement est celui de la sélection des tailles; le problème de la compétition interindividuelle est, surtout pour le bar prédateur considérable, le cannibalisme, obligent à intervenir au moyen de tris. Des paniers circulaires à fentes verticales de différentes épaisseurs, avaient été conçus à cet effet; les alevins, transférés dans les paniers pendant quelques heures se séparent alors en deux lots, les plus petits passant au travers des fentes dans le bassin et les plus gros restant dans le panier et transférés dans un autre bassin ou dans un autre panier pour un deuxième tri sur fentes plus larges. Les manipulations ont donné des résultats satisfaisants; il est toutefois conseillé d'essayer un panier de forme rectangulaire plutôt que ronde et des fentes horizontales ou obliques (instinct d'enfouissement du bar). En phase de prégrossissement deux tris sont nécessaires:
On profite du ler tri pour réduire, avec les changements de bassin, les densités d'alevins, qui sont initialement de 30.000 –40.000 alevins/bac (cf. § 3.3).
Aspects techniques
Le nettoyage des bacs est actuellement assuré manuellement par un dispositif de raclage du fond; le sédiment ainsi accumulé est ensuite évacué par siphonnement. Des. systèmes automatiques sont à l'étude et sort en fait souhaitables afin de réduire la main-d'oeuvre supplémentaire nécessaire à cette tâche (4 personnes pendant 4 mois).
Les systèmes d'évacuation des bassins par contre ne permettent pas la chasse journalière nécessaire pour l'évacuation des sédiments dans le puits situé sous la grille centrale du bassin; l'accumulation de ces déchets dans le milieu d'élevage représente un obstacle sérieux au maintien des bonnes conditions hygiéniques dans les bassins d'élevage.
Sur la base des résultats moyens obtenus la saison passée (15% survie oeufs-larves, 53% survie larves-alevins) et sur deux cycles de production (il est difficile de réaliser 3 cycles sur une saison normale de reproduction du bar: décembre-février, du moins sans décalage), on peut établir comme suit le plan de production de l'écloserie (Tab.4). Un troisième cycle, sur pontes légèrement décalées (début avril) pourrait être réalisé avec le transfert d'un troisième lot d'alevins en grossissement début juillet.
Des essais pourraient être faits au plus tôt dans le but d'augmenter les charges dans les bassins de prégrossissement; il serait hasardé, à l'état actuel des expériences acquises, de prévoir un plan de production basé sur des charges finales supérieures à celles reportées ici (12.700/bassin), qui représentent la charge maximale obtenue la saison passée sur quelques bassins. L'augmentation de telles charges permettrait de retarder quelque peu le premier transfert d'alevins dans les cages (prévu ici début avril) et d'anticiper le 2ème cycle de pontes; en effet, les résultats de la saison passée montrent qu'à ces températures (13°C) il faut prévoir dans les cages une mortalité initiale d'environ 20%. La production potentielle de l'installation dans les conditions actuelles d'exploitation (sans pontes décalées, reproduction d'une seule espèce) pourrait être de 1.780.000 alevins.
| Date | Opérations | N. individus | N. bassins | Charge (ind./bassin) |
| ler cycle | ||||
| 01–31/12 | Pontes. Mise en incubation des oeufs | 11.200.000 | 112 | 100.000 |
| 15/01–15/02 | Transfert des larves en bassins de sevrage à 45 j | 1.680.000 | 42 | 40.000 |
| 01/02–01/03 | Premiers tris à 60–70jours | 1.155.000 | 70 | 16.500 |
| 01/04–01/05 | Transfert en cages à 120j. | 890.000 | 70 | 12.700 |
| 2ème cycle | ||||
| 10/02–25/02 | Pontes. Mise en incubation des oeufs | 11.200.000 | 112 | 100.000 |
| 01/04–15/04 | Transfert des larves en bassins de sevrage à 50 j. | 1.680.000 | 42 | 40.000 |
| 20/04–05/05 | Premiers tris à 70 jours | 1.155.000 | 70 | 16.500 |
| 10/05–25/05 | Transferts en cages à 90 j. | 890.000 | 70 | 12.700 |
Tab.4. Plan de production pour l'écloserie en conditions actuelles

Fig.6. Poids moyens de larves et alevins de bar
à différents stades de croissance
(échantillons de 50 individus chacun).

Fig.7. Relation entre poids et longueur de larves et alevins de bar; chaque point représente la moyenne de 50 individus d'un même échantillon.
Quelques dizaines de relevés biométriques (poids et longueur) ont été effectués aux différents stades de développement des larves et alevins. Chaque relevé se basait sur un échantillon de 50 individus pesés et mesurés individuellement; les résultats sont illustrés aux Fig. 6 et 7. Les écarts fort marqués pour les mesures au-delà des 70 jours d'âge s'expliquent par l'effet des tris qui créent des populations plus homogénes mais dont les caractéristiques biométriques se différentient nettement entre elles.
Les déformations au niveau de la colonne vertébrale ont été également relevées au cours de ces observations; le pourcentage moyen d'alevins affectés par ces déformations est de 19.3 %. Il est toutefois indispensable, pour pouvoir interpréter la portée d'un tel phénomène, dont les causes sont encore assez obscures (alimentation?), d'en suivre l'évolution au cours du grossissement (cf. § 2.8) pour déterminer si et dans quelle mesure:
1) cette incidence de déformations s'étend encore davantage durant la croissance;
2) cette déformation, visible par transparence sur des alevins, est perceptible extérieurement sur des individus à fin de cycle de grossissement (probléme de commercialisation);
3) ce phénomène nuit à la survie et la croissance des individus touchés.
Un autre maillon faible de l'écloserie sont les biofiltres, qui représentent pourtant l'organe primordial d'un système àrecyclage de l'eau. L'écloserie compte six biofiltres (cf. Fig. 2):
H3 et H4 (30 m3 de volume unitaire) sont reliés chacun à 28
bassins d' élevage larvaire de 2 m3;
H2 et H5 (30m3 unitaire) sont reliés chacun à 28 bassins d'élevage
larvaire et 7 bassins de ponte (12 m3);
H1 et H6 (60 m3 unitaire) servent chacun 28 bassins de prégrossissement
(12 m3).
Le schéma de fonctionnement d'un biofiltre et son circuit d'eau est illustré en Fig. 8. L' eau d'évacuation des bassins d'élevage est recueillie en amont du biofiltre, oùest placé également le robinet d'arrivée d'eau extérieure de renouvellement, passe par un bassin de chauffage de l'eau au moyen d'un serpentin immergé sur le fond et est ensuite distribuée sur toute la surface du matériau filtrant au moyen de tuyaux percés. L'eau traverse le lit filtrant, composé d'argile expansée et coquilles d'huître, passe sur un plan légèrement incliné pour la stérilisation par lampes U.V., est recueillie au niveau du puisard et pompée vers le bassin de mise en charge et distribuée, par gravité, sur les bassins. Des "air lifts" placés dans le matériau filtrant permettent une recirculation partielle de l'eau sur le biofiltre même et l'oxygénation de l'eau.
Ce type de biofiltre n'est pas l'idéal pour une écloserie de cette dimension dù fait du développement excessif en superficie et de la difficulté de gestion; toutefois ces mêmes biofiltres en place à la SIRAP depuis plusieurs années offrent une certaine efficacité de filtration biologique. A l'écloserie de la CENMAR peu d'analyses ont pu être effectuées à cause de l'absence de l'appareillage nécessaire (cf. § 2.6.) pour ce qui concerne le paramètre le plus important, soit les teneurs en azote ammoniacal (N-NH4+). Quelques analyses ont pu être effectuées par le responsable du laboratoire de chimie de l'eau dans un autre établissement et les résultats sont reportés au Tab.5; les mesures d'oxygène (cf. Fig.9) et de pH ont pu être relevées régulièrement au niveau des biofiltres. La température est restée sous contrôle continu du responsable du secteur d'élevage vues les exigences spécifiques des larves et alevins vis-à-vis de ce facteur.
Il est hasardeux de donner une interprétation correcte des données concernant l'ammoniaque (Tab.5) du fait du nombre insuffisant de relevés (il n'a pas été possible d'en réaliser davantage) et donc du manque d'un “screening” complet au niveau des biofiltres et des taux de renouvellement d'eau extrêmement élevés qu'il a fallu adopter pour parer à l'inefficacité des biofiltres (Tab.6).

Fig. 8. Schéma de fonctionnement d'un biofiltre et circuit semi-fermé.

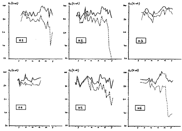
Fig. 9. Pourcentages de saturation en oxygène de l'eau à l'entrée (——) et à la sortie (-----) des différents biofiltres.
| H1 | H6 | H2 | H5 | H3 | H4 | |
| 08/03 | 956 | 147 | 372 | 155 | 183 | 129 |
| 973 | 169 | 325 | 127 | 158 | 117 | |
| 13/03 | 408 | 212 | 124 | 237 | 137 | 39 |
| 373 | 272 | 88 | 195 | 139 | 20 | |
| 20/03 | 647 | 26 | 374 | 40 | 199 | 25 |
| 597 | 15 | 347 | 22 | 180 | 42 | |
| 23/03 | 554 | 30 | 364 | 41 | 107 | 21 |
| 517 | 18 | 373 | 24 | 130 | 32 | |
| 29/03 | 559 | 15 | 429 | 31 | 26 | 45 |
| 435 | 12 | 397 | 19 | 50 | 39 | |
| 06/04 | 446 | 55 | 375 | 26 | 26 | 43 |
| 403 | 40 | 384 | 16 | 35 | 13 | |
| 18/04 | 184 | 192 | 181 | 182 | 19 | 22 |
| 188 | 239 | 162 | 239 | 39 | 32 | |
| 25/04 | 435 | 62 | 427 | 21 | 33 | 47 |
| 395 | 51 | 409 | 11 | 29 | 14 | |
| 04/05 | 422 | 73 | 419 | 32 | 20 | |
| 386 | 44 | 420 | 15 | 21 | ||
| 10/05 | 177 | 45 | ||||
| 130 | 36 | |||||
| 01/06 | 150 | 97 | ||||
| 115 | 49 | |||||
| 05/06 | 378 | 272 | ||||
| 404 | 235 | |||||
| Efficacité moyenne de filtration(%) | 9.3 | 16.9 | 7.3 | 29.9 | -25.0 | 5.7 |
Tab. 5. Taux d'ammoniaque relevés à l'entrée et à la sortie des biofiltres et taux d'efficacité de filtration biologique. [N-NH4] en μg/l.
| H1 | H2 | H3 | H4 | H5 | H6 | |
| 29/02 | 30 | 30 | 15 | 15 | 10 | 20 |
| 03/03 | 30 | 30 | 15 | 15 | 10 | 15 |
| 09/03 | 50 | 40 | 15 | 15 | 10 | 15 |
| 12/03 | 50 | 40 | 20 | 15 | 17 | 15 |
| 14/03 | 50 | 40 | 25 | 15 | 20 | 25 |
| 21/03 | 70 | 60 | 30 | 20 | 20 | 30 |
| 26/03 | 70 | 70 | 40 | 35 | 25 | 30 |
| 30/03 | 100 | 100 | 50 | 40 | 30 | 35 |
| 07/04 | 100 | 100 | 70 | 40 | 40 | 60 |
| Au-delà | >100 | >100 | - | - | >100 | >100 |
Tab.6. Evolution des taux de renouvellement journalier d'eau au niveau des biofiltres (en % du volume total d'eau dans le biofiltre et circuit hydrique).
Sur les biofiltres 1 et 2 les concentrations d'ammoniaque sont restées élevées, malgré le renouvellement, pendant toute la saison de production (respectivement 400–600 et 350–450 μg/1); sur les deux biofiltres liés exclusivement aux bassins d'élevage larvaire (H3 et H4) les taux sont restés à des niveaux très faibles. Il est clair qu'aucun de ces biofiltres n'a activé sérieusement le processus de filtration bactérienne, les taux d'ammoniaque restant pratiquement inchangés de l'entrée à la sortie du biofiltre (voir taux d'efficacité, Tab. 5). Seules les manipulations sur les taux de renouvellement d'eau ont pu tamponner quelque peu l'augmentation des concentrations dans les circuits d'eau de l'écloserie.
Les analyses d'oxygène dissous (Fig.9) montrent que sur les biofiltres liés aux bassins de prégrossissement (H1, H2, H6 et, en moindre mesure, H5) le taux d'oxygène chute brutalement au passage à travers le filtre surtout à partir du mois d'avril; le pompage de l'eau en amont de la distribution dans les bassins et le bullage dans les bassins mêmes suffisaient toutefois à rétablir le % de saturation en 02 à des niveaux optimaux pour l'élevage (80–100%). On peut dès lors formuler l'hypothèse suivante basée sur l'augmentation de la charge en matière organique de l'eau en rapport avec:
Cette charge organique a donc pour effet:
1) de favoriser le développement d'une faune bactérienne hétérotrophe qui entre partant en compétition avec les populations bactériennes responsables de l'oxydation de l'ammoniaque et des nitrites (Nitrosomonas et Nitrobacter) ou en empêche complètement le développement, tout en consommmant beaucoup d'oxygène;
2) de créer un dépôt au niveau des éléments du filtre (dans ce cas les particules d'argile expansée ce qui réduit la surface disponible et donc le développement bactérien ou de colmater le substrat filtrant tout en créant des zones à circulation préférentielle et des zones mortes et donc moins oxygénées.
Cet abattement de l'oxygène favorise en outre également le développement de populations bactériennes anaérobiques qui entrent à leur tour en compétition avec les populations désirées.
Plusieurs facteurs jouent donc un rôle limitant pour le bon fonctionnement des biofiltres:
Le manque de décantation des eaux recyclées et de traitement préalable des eaux de renouvellement (déjà discuté); la filtration sur sable en amont de l'écloserie est prévue et il faudra par contre résoudre le problème de la décantation des eaux d'évacuation des bassins d'élevage.
Le débit d'eau variable à travers le biofiltre. D'une part le circuit hydrique de distribution et recyclage est tel que le débit de l'eau recyclée est fonction de la quantité d'eau utilisée au niveau des bassins; d'autre part, le manque de trop-plein en aval du plan U.V. (pour l'évacuation de l'eau à renouveler) et le sous-dimensionnement du puisard de reprise font qu'à intervalles réguliers le puisard se remplit, le niveau d'eau dépasse le plan U.V. et l'eau monte au niveau de tout le biofiltre, arrêtant donc toute circulation d'eau à travers le substrat filtrant. Or ces deux situations, à fortiori la deuxième, sont à éviter de manière la plus absolue sur un filtre biologique; en effect, le ralentissement, voire l'arrêt, du flux d'eau à travers le filtre provoque des conditions d'oxygénation insuffisante ou même d'anaérobie qui sont fatales pour les espèces bactériennes en jeu.
La circulation constante d'eau doit être résolue en adaptant, en fin de tuyauterie de distribution aux bassins une valve et un retour de l'eau non utilisée en amont du biofiltre; ceci améliore également les conditions hygiéniques des circuits d'eau, en éliminant des zones de circulation morte où peuvent exploser des populations d'organismes nocifs pour l'élevage (bactéries, champignons, etc.). Le problème de la montée d'eau dans le biofiltre est, par contre, difficilement résoluble vue l'impossibilité de créer un trop-plein au niveau du puisard et de relever le plan U.V. (limité en amont par les tuyaux de distribution sur le filtre).
Le surdimensionnement des biofiltres d'élevage larvaire. Les résultats des recherches réalisées (entr'autres également à la SIRAP de 1980 à 1983) sur la production d'ammoniaque de la part de populations de larves de bar et de daurade et d'autres espèces marines, montrent désormais clairement que les quantités de N-NH4 produites en phase d'élevage larvaire sont pratiquement négligeables. Les biofiltres peuvent donc être extrêmement réduits, voire même, à mon avis, éliminés (et remplacés dans ce cas par un recyclage avec décantation efficace, oxygénation, stérilisation, contrôle thermique et renouvellement d'eau). Dans le cas de l'écloserie de Nin, deux seuls biofiltres (H3 et H4 pourraient servir respectivement tous les bassins d'élevage larvaire (56 chacun); les biofiltres H2 et H5 seraient alors disponibles exclusivement pour les bassins de ponte (voir § 2.2).
4) Le manque d'activation initiale induite de la biofiltration. Surtout dans une situation précaire comme celle de l'écloserie de Nin, il est nécessaire d'aider l'activation des processus de filtration biologique au moyen de sels d'ammonium en concentrations progressives (à partir de 100 ug/1 par ex.); cette manipulation est à commencer un mois au moins avant le début de l'activité biologique du secteur concerné.
Les systèmes de stérilisation U.V. ainsi concus me paraissent peu efficaces vue l'épaisseur de la lame d'eau (min. 1–2 cm) sur le plan de passage de l'eau (largeur insuffisante du plan incliné et pente trop faible par rapport aux débits d'eau); une bonne stérilisation U.V. basée sur ce principe ne se réalise qu'avec des lames d'eau inférieures à 0.3-0.5 cm. Il serait en outre préférable que les lampes soient disposées perpendiculairement au flux de l'eau plutôt que parallèlement comme elles le sont actuellement.
Pendant plusieurs semaines les installations des lampes U.V. se sont progressivement épuisées, sans possibilité immédiate de remplacement des lampes; la situation de développement incontrôlé de bactéries et autres organismes s'est alors détériorée et a représenté un risque particulièrement grave pour l'élevage en cours (charges bactériennes de 2.500–7.500 unités/ml par rapport à des valeurs inférieures à 1000 bactéries/ml en régime normal). Les effets les plus graves se sont toutefois vérifiés au niveau des cultures de plancton.
Dans le cas de débits d'eau aussi élevés dans une écloserie, une stérilisation U.V. efficace sur lame d'eau recquiert des surfaces et des pentes de plans inclinés importantes qui posent des problèmes sérieux d'espace. Je conseillerais pour des écloseries de cette envergure l'utilisation d'appareils de stérilisation par passage direct sur lampe (type BELUVA).
Suite aux problèmes techniques qu'il est difficile de résoudre pour rendre efficaces les biofiltres en place à Nin, je reste pessimiste quant à la possibilité d'une gestion correcte de ces systèmes. L'étude de la dynamique de l'activité de ces biofiltres devra être très approfondie dès la prochaine saison de la part du laboratoire de chimie; il serait toutefois souhaitable d'envisager dès maintenant l'essai de biofiltres mieux éprouvés, plus efficaces quant à l'efficacité de filtration biologique et mieux adaptés aux caractéristiques spatiales et opérationnelles d'une écloserie (biofiltres à percolation par exemple).
Responsable: Gordana Šarušić
Il est indispensable qu'un project de la dimension de celui de la CENMAR, qui prévoit aussi bien la reproduction que le grossissement, où la pathologie représente encore un risque élevé, vues les connaissances et expériences encore fort limitées dans ce secteur, puisse compter sur un vétérinaire ichtyopathologiste. L'ichtyopathologie en mariculture est à ses tous premiers pas et Melle Šarušić est donc obligée à travailler souvent de sa propre initiative sans pouvoir compter sur des expériences et résultats déjà acquis et des structures d'appui spécialisées en ce qui concerne surtout les diagnostics et les traitements thérapeutiques.
L'activité de ce laboratoire doit porter sur:
1) la prophylaxie générale. “Mieux vaut prévenir que guérir”: c'est la règle fondamentale qui doit régir la gestion générale d'une écloserie et d'une ferme de grossissement et, en amont, les phases de projets des exploitations. En effet, déjà en cours de réalisation des projects il est important de travailler dans une optique d'hygiène maximale au niveau de tous les circuits hydriques et des bassins d'élevage. Quant à la gestion, la prophylaxie intervient à plusieurs niveaux et devient de compétence de l'ichtyopathologiste en premier lieu:
2) le contrôle sanitaire et traitements thérapeutiques. Des observations macroscopiques et examens microscopiques doivent être effectués régulièrement sur larves, alevins et poissons, les interventions thérapeutiques en écloserie peuvent être effectuées facilement par des bains dans les bassins d'élevage, tandis que dans les cages les traitements doivent se faire par voie orale.
L'approche bactériologique permet aussi bien le contrôle au niveau de la qualité de l'eau, surtout dans les circuits semi-fermés que des premiers diagnostics de phénomènes pathologiques d'origine bactérienne. L'approche histologique est à mon avis fort utile en phase de grossissement pour le diagnostic de certaines pathologies; la liste de matériel commandé prévoit l'équipement nécessaire pour fournir le laboratoire d'ichtyopathologie d'une unité d'histologie.
Il est préférable que dans une écloserie la gestion du stock de reproducteurs relève également de ce laboratoire (contrôles de l'alimentation, de l'état sanitaire, des manipulations, etc.; cf. § 2.2).
Des problèmes techniques et de temps ont empêché le respect intégral d'un programme aussi complet la saison passée; par exemple, aucune désinfection des circuits hydriques n'a été réalisée en écloserie durant l'activité de production. Le contrôle sanitaire n'a pu être conduit que dans les limites du matériel et appareillage disponibles.
Durant la saison, aucune manifestation pathologique n'est toutefois apparue de manière explosive en phase d'écloserie, dumoins dans les limites des connaissances actuelles. En phase de grossissement, Melle Šarušić a dû intervenir cet été pour la manifestation d'une vibriose, qu'elle a pu diagnostiquer et contrôler par traitements antibiotiques.
Responsable: Davor Lu
avec
Ce secteur a fort souffert de l'absence du matériel nécessaire pour la réalisation d'un programme complet de contrôle physico-chimique des eaux.
Les résultats fournis par le laboratoire ont déjà été présentés et discutés dans ce rapport; il apparaît donc clairement que l'activité principale de ce scteur devra porter sur le contrôle routinier et l'étude de la dynamique des principaux paramètres physico-chimiques de l'eau (température, salinité, oxygène dissous, pH, NH4, NO2, NO3, BOD) au niveau des biofiltres et sur le contrôle strict de la gestion de ces biofiltres, à commencer par leur activation préliminaire au moyen de sels d'ammonium.
Des analyses doivent être effectuées également au niveau des cages de grossissement (O2, pH, NH4, NO2, NO3) dans les différentes situations et phases d'élevage pour pouvoir mieux contrôler et maîtriser les conditions d'élevage et donc en améliorer constamment les techniques (capacité de charges, effets du fouling, etc.).
Au niveau expérimental, il serait intéressant de rechercher les limites de tolérance des larves et alevins à l'ammoniaque (seuils de toxicité aigüe et chronique); la mise au point d'une méthodologie et installation expérimentales, surtout pour ce qui concerne la toxicité chronique, est toutefois assez complexe pour cette étude.
Plus d'un million d'alevins (1.102.430) ont été produits à l'écloserie et transférés dans les cages de grossissement à Mala Lamjana (cf. Tab.7). Exception faite des premiers transferts, dont la nécessité a été dictée par des problèmes de place dans l'écloserie, les alevins ont été transférés à des tailles comprises entre 500 et 700 mg; on ne peut donc parler d'un prégrossissement complet des alevins avant leur mise en grossissement.
Les résultats successifs de mortalité et de croissance (cf. ci-dessous) semblent toutefois déposer en faveur d'une mise en élevage à ces stades, ceci évitant toute une phase d'élevage qui recquiert d'autres installations pour le prégrossissement et du travail supplémentaire; la technique du prégrossissement plus long (1ère annnée) est justifiée là où les conditions climatiques hivernales représentent un facteur limitant pour des individus de lère année encore relativement petits (30 g par ex.).
Au début, les cages ont été chargées en raison d'environ 10.000 alevins/cage (125 m3); la charge a ensuite été augmentée à des valeurs voisines à 20.000/cage. L'expérience acquise sur le même site les années passées conseille toutefois de démarrer avec 10.000 alevins/cage, qui correspondent à environ 3–4 kg/m3 en fin de première année; les meilleurs résultats de croissance ont été obtenus à ces conditions. Pendant l'hiver les poissons seront passés sur des cages plus grandes (10×10×6 m), de 600 m3 environ, où en fin de 2ème année les charges seront de l'ordre de 8 Kg/m3.
Les premiers transferts ont été réalisés à des températures relativement basses (13–14°C), surtout si rapportées aux températures de l'écloserie en phase de prégrossissement (16– 18°C); les données de mortalité initiale (chaque jour, les morts sont prélevés et comptés pour chaque cage), reportées au Tab.8, montrent que les transferts effectués à des températures de 13–14°C entraînent des mortalités de 15–20% durant le premier mois d'élevage en cage (cages 1,2 et3), à 14–16°C des mortalités de l'ordre de 5% (4 et 5) tandis qu'à des températures supérieures à 16°C la mortalité initiale reste inférieure à 1%. Il faut toutefois souligner que ces données ne représentent que la mortalité effectivement relevée sur les cages; il est clair que, surtout au stade d'alevin, une certaine partie de la mortalité n'est pas décelable, du fait surtout des phénomènes de cannibalisme qui caractérisent le bar aussi bien sur des individus vivants que morts.
| Cages | Poids alevins (mg) | Longueur alevins (cm) | Date transf. | Temp. Lamjana (°C) | Nombre d'alevins | |
| 1 | A | 500–600 | 3.6–3.75 | 31/03 | 12.9 | 11.214 |
| B | " | " | 10/04 | 13.8 | 10.543 | |
| C | 300–400 | 3.1–3.35 | " | " | 11.727 | |
| D | 300 | 3.1 | " | " | 17.142 | |
| 2 | A | 200–300 | 2.75–3.1 | 11/04 | 13.8 | 8.409 |
| B | " | " | " | " | 11.545 | |
| C | 300–400 | 3.1–3.35 | " | " | 11.404 | |
| 3 | A | 300 | 3.1 | 13/04 | 13.8 | 13.937 |
| B | 300–400 | 3.1–3.35 | " | " | 10.945 | |
| C | 300 | 3.1 | 26/04 | 14.5 | 25.429 | |
| D | " | " | " | " | 20.481 | |
| 4 | A | 400–450 | 3.35–3.45 | 08/05 | 15.0 | 19.167 |
| B | " | " | " | " | 13.782 | |
| C | " | " | " | " | 18.238 | |
| 5 | A | 400–450 | 3.35–3.45 | 14/05 | 15.0 | 16.747 |
| B | " | " | " | " | 19.136 | |
| C | " | " | " | " | 19.290 | |
| 6 | A | 400 | 3.35 | 28/05 | 16.0 | 16.858 |
| B | 450–500 | 3.45–3.6 | " | " | 19.245 | |
| C | 200–300 | 2.75–3.1 | " | " | 19.406 | |
| 7 | A | 500–600 | 3.6–3.75 | 30/05 | 16.5 | 20.508 |
| B | " | " | " | " | 21.242 | |
| C | 600–700 | 3.75–3.85 | " | " | 20.817 | |
| D | 500–600 | 3.6–3.75 | 01/06 | 17.0 | 20.400 | |
| 8 | A | 500–600 | 3.6–3.75 | 04/06 | 18.0 | 20.140 |
| B | 600–700 | 3.75–3.85 | " | " | 20.140 | |
| C | " | " | " | " | 18.016 | |
| 9 | A | 500–600 | 3.6–3.75 | 05/06 | 18.0 | 20.520 |
| B | " | " | " | " | 20.310 | |
| C | " | " | " | " | 21.286 | |
| 10 | A | 400–500 | 3.35–3.6 | 07/06 | 18.0 | 17.704 |
| B | 500–600 | 3.6–3.75 | " | " | 20.738 | |
| C | " | " | " | " | 20.283 | |
| 11 | A | 600–700 | 3.75–3.85 | 09/06 | 18.0 | 17.612 |
| B | 500–600 | 3.6–3.75 | " | " | 12.525 | |
| C | " | " | " | " | 11.918 | |
| 12 | A | 600 | 3.75 | 12/06 | 19.0 | 20.805 |
| B | " | " | " | " | 13.160 | |
| C | " | " | " | " | 18.772 | |
| 13 | A | 500–600 | 3.6–3.75 | 13/06 | 19.0 | 21.594 |
| B | " | " | " | " | 20.817 | |
| C | " | " | " | " | 21.023 | |
| 14 | A | 500–600 | 3.6–3.75 | 14/06 | 20.0 | 20.356 |
| B | 600 | 3.75 | " | " | 21.188 | |
| C | " | " | " | " | 20.540 | |
| 15 | A | 400–500 | 3.35–3.6 | 15/06 | 20.0 | 16.993 |
| B | 600–650 | 3.75–3.8 | " | " | 16.814 | |
| C | " | " | " | " | 20.277 | |
| 16 | A | 600–700 | 3.75–3.85 | 18/06 | 20.0 | 21.872 |
| B | " | " | " | " | 19.370 | |
| C | 700–800 | 3.85–3.9 | " | " | 14.403 | |
| 17 | A | 600–700 | 3.75–3.85 | 21/06 | 20.0 | 17.676 |
| B | " | " | " | " | 18.053 | |
| C | " | " | " | " | 15.232 | |
| 18 | A | 600–700 | 3.75–3.85 | 25/06 | 21.0 | 20.217 |
| B | " | " | " | " | 19.310 | |
| C | " | " | " | " | 19.547 | |
Tab. 7. Données principales caractérisant les transferts d'alevins de l'écloserie aux cages de grossissement. Deux transferts supplémentaires ont été réalisés les 3/7 et 9/7/1984 (85.607 alevins).
| N. jours après transfert | Unités de cages | |||||||||||||
| 1 | 2 | 3 | 4 | 5 | 6 | 7 | 8 | 9 | 10 | 11 | 12 | 13 | 14 | |
| 10 | 9.45 | 11.7 | 8.23 | 2.90 | 5.57 | 0.53 | 0 | 0.13 | 0.17 | 0.10 | 0.37 | 0.27 | 0.17 | 1.00 |
| 20 | 11.28 | 14.27 | 10.30 | 3.67 | 5.87 | 0.53 | 0.13 | 0.33 | 0.33 | 0.37 | 0.37 | |||
| 30 | 12.48 | 17.40 | 14.13 | 3.70 | 6.20 | 0.73 | 0.43 | |||||||
| 40 | 14.50 | 20.97 | 14.28 | 3.77 | 6.27 | |||||||||
| 50 | 14.80 | 22.10 | 14.50 | 3.93 | ||||||||||
| 60 | 14.90 | 22.10 | 14.58 | |||||||||||
| 70 | 14.93 | 22.10 | ||||||||||||
| 80 | 15.10 | 22.23 | ||||||||||||
Tab. 8. Pourcentages moyens (des cages composant une unité) de mortalité cumulée après le transfert des alevins de l'écloserie au site de grossissement.
La mortalité totale ainsi relevée depuis la mise en cage jusqu'à fin octobre est de l'ordre de 10%; il faut toutefois prévoir une mortalité réelle supérieure (20–30%).
Quant à la croissance, elle a été relevée systématiquement sur trois cages, une fois par mois (50 individus/cage), de juillet à octobre; chacune des trois cages représente respectivement le lot d'alevins transférés dans les cages au mois d'avril (lot 1), au mois de mai (lot 2) et au mois de juin et début juillet (lot 3). Les Fig. 10 et 11 illustrent la courbe de croissance relative à ces relevés biométriques.
Ces résultats sont à considérer assez indicatifs du fait de l'insuffisance du nombre de cages suivies pour représenter les 119 cages utilisées actuellement et de la difficulté de réaliser des échantillons valables au niveau de la cage.
Les individus nés au mois de janvier atteignent 46 g à fin octobre (ce poids sera nettement dépassé à fin novembre, du fait des températures encore relativement élevées du mois de novembre: 18°C le 10/11), ceux nés au mois de février 37 g, alors que les bars nés en mars-avril n'arrivent qu'à 26 g. Toutefois, la saison a été caractérisée par plusieurs facteurs qui ont limité le poids final de lère année:

Fig. 10. Courbes de croissance en poids des bars mis en élevage dans les cages en avril (lot 1), en mai (lot 2) et en juin (lot 3). Les alevins sont nés respectivement en janvier, février et mars-avril.

Fig. 11. Courbes de croissance en longueur des bars de lère année de grossissement en cages (of. Fig. 10).
Les déformations apparentes de la colonne vertébrale, relevées au cours des mesurations biométriques touchent moins de 10% des individus; deux possibilités émergent donc:
C'est un phénomène toutefois à suivre durant les années à venir et sur lequel il est nécessaire, faute de recherches spécifiques exhaustives, accumuler un maximum de données pour des analyses statistiques futures.
Deux problèmes principaux se sont vérifiés en phase de grossissement:
1) le fouling. Une formation abondante de fouling sur les filets qui a duré tout au long de la saison, a nécessité le renouvellement fréquent des filets (tous les 10–15 jours), ce qui représente un surplus de travail considérable; l'utilisation d'un bon anti-fouling pourrait résoudre ce problème. Une autre solution serait celle de passer plus rapidement sur des filets à mailles plus larges (actuellement, la lère année de grossissement se fait entièrement sur maille de 5 mm, la 2ème sur 14 mm), ce qui recquiert toutefois des investissements plus importants.
2) une manifestation de vibriose. Cette pathologie, déjà citée plus haut, a pu être contrôlée assez efficacement de la part de l'ichtyopathologiste de la société par traitement antibiotique (Triméthoprim) appliqué par voie orale et ne semble pas avoir donné lieu à des mortalités importantes.
Une fois résolus les problèmes primordiaux de grossissement du bar, il faudra affronter au plus vite la question des tris pendant cette phase d'élevage; deux aspects rendent l'approche délicate:
Une autre baie a été choisie comme site pour le développement de l'installation actuelle. La baie de Lamjana est prévue actuellement pour le cycle complet de l'élevage en cours (environ 200–250 t de production la prochaine année), tandis que quelques alevins de la prochaine campagne de production seront déjà placées au nouveau site. A Lamjana, les cages de 2ème année seront placées de l'autre côté de la baie par rapport à la position actuelle, de manière à éloigner le plus possible les poissons de lère et de 2ème année.
Il est utile de faire une analyse, ne fut-ce que sommaire, des coûts de gestion soutenus par la CENMAR pour l'activité de production de l'écloserie; en ce qui concerne par contre la phase d'élevage, l'activité n'étant pas encore à régime (grossissement de lère année seulement) et les installations encore incomplètes (cages de 2ème année ne sont pas encore montées, le raccordement au réseau de distribution électrique n'est pas réalisé), il est prématuré d'en discuter les aspects économiques dans ce rapport.
Les chiffres reportés au tab.9 sont basés sur les coûts effectivement réalisés du 01/01/84 au 30/09/84 et ont donc été corrigés sur base annuelle.
Le personnel employé à la CENMAR est fort nombreux: 30 personnes travaillent exclusivement pour l'écloserie, auxquelles il faut ajouter le personnel administratif travaillant au siège central de la société à Zadar et le personnel employé au grossissement (au total 62 pèrsonnes actuellement); si d'une part plusieurs facteurs justifient en Yougoslavie ce nombre élevé de personnes engagées à la CENMAR (coût de la main-d'oeuvre de 3 à 5 fois moins chère, contexte politique et social, règlements et dispositions légales particulières, etc.) de l'autre il est évident qu'économiquement une telle main-d'oeuvre serait insoutenable dans un pays comme l'Italie ou la France. Une écloserie de cette dimension nécessite l'emploi normal de 12 à 15 personnes, ce qui représente de toutes manières un coût absolu encore supérieur (de 50 à 70%) à celui soutenu par la CENMAR.
Le coût des aliments représente une autre tranche importante des coûts de gestion de l'écloserie; ici les frais sont gonflés par les problèmes et les coûts d'importation de l'aliment sec granulé (Trouw Italia) et des oeufs d'Artemia (Euraquarium, Bologna). En Italie, le coût global des aliments serait environ 50% inférieur et ainsi constitué:
| • oeufs d'Artemia salina: | 70% |
| • aliment frais: | 25% |
| • aliment sec granulé: | 5% |
Les frais de chauffage sont assez élevés et se justifient par les conditions thermiques extrêmement défavorables de l'eau extérieure, d'autant plus que l'inactivité des biofiltres a nécessité des taux de renouvellement d'eau élevés et donc un surplus considérable de chauffage de l'eau. Ces frais devraient diminuer sensiblement dès la prochaine saison avec l'utilisation d'eau de mer moins froide et une meilleure activité des biofiltres.
| Coûts (U.S.$) | Ict (%) | Icp (%) | |
| Amortissement | 108.100 | 22.8 | - |
| Intérêts crédits | 140.500 | 29.6 | - |
| Coût du travail | 115.100 | 24.2 | 50.8 |
| Coût des facteurs de production | |||
| - aliments | 43.200 | 9.1 | 19.1 |
| - chauffage(gaz) | 30.300 | 6.4 | 13.4 |
| - électricité | 13.000 | 2.6 | 5.7 |
| - autres | 10.800 | 2.3 | 4.8 |
| Frais généraux | |||
| - entretien | 7.000 | 1.5 | 3.1 |
| - divers | 7.000 | 1.5 | 3.1 |
| Total | 475.000 | 100.0 | 100.0 |
Tab. 9. Coûts réalisés sur base annuelle pour la production des alevins de la campagne 1984. Ict et Icp: incidence des différents éléments respectivement sur le coût total réalisé et sur le coût réel de production (exclus amortissement et intérêts).
Sur la base de: 1 Din Y.= 10 £it
1 U.S.$ = 1850 £it
Les frais d'électricité sont relativement limités du fait du coût moindre du KWh en Yougoslavie (environ 50% en moins par rapport à l'Italie); au § 2.3 a été discutée la possibilité de réduire d'environ 15–20% la consommation totale d'énergie électrique avec un système plus rationnel de distribution de l'eau de mer dans l'écloserie.
Les frais d'entretien sont, en lère année d'activité, presque négligeables, mais augmenteront les prochaines années et devraient représenter environ 10% des coûts de production d'une telle écloserie.
Le coût unitaire de production de l'alevin (exclues les parts d'amortissement et coûts financiers) est donc d'environ U.S.$ 0.2; pour une écloserie à sa première saison de production cela représente déjà un résultat appréciable au niveau économique. Plusieurs facteurs pourront toutefois réduire ultérieurement le coût de production unitaire à la CENMAR:
Lors de ma dernière mission au mois de novembre, quelques exemplaires de daurade ont été traités par voie hormonale; toutefois le lot de reproducteurs était particulièrement pauvre en femelles et en conditions sanitaires assez précaires (la pêche en mer par filet les a endommagées sensiblement, au niveau des nageoires surtout, provoquant de sérieux foyers d'infection).
Quelques 200 g d'oeufs ont été obtenus et mis en incubation dans les bassins de 2 m3; sur les bassins, des lampes ont été installées de manière à augmenter l'intensité lumineuse au début de l'activité alimentaire des larves; en effet, en dessous d'un certain seuil de luminosité (environ 400 lux) la larve de daurade n'est plus capable de s'alimenter, faute d'un développement encore incomplet de l'oeil.
Il est déconseillé d'utiliser les oeufs des lères pontes d'une femelle de daurade (une femelle fournit quotidiennement des oeufs pendant 1–2 mois), leur qualité étant telle à compromettre partiellement l'éclosion des oeufs mêmes et ensuite la survie des larves durant les premiers stades d'élevage. L'utilisation des oeufs des lères émissions et l'arrêt insolite des pontes après quelques jours déjà (probablement lié à la taille trop petite des individus traités) laissent donc supposer que, malgré des taux d'éclosion satisfaisants, les taux de survie des larves en élevage seront faibles.
Les populations de larves suivies durant la mission présentaient une activité déprédatrice normale sur rotifères (80–100% des larves observées avaient des rotifères dans l'appareil digestif) et sur nauplii d'Artemia salina ensuite (à partir du 12ème jour d'âge). Les rotifères en culture à la CENMAR, de taille légèrement supérieure aux valeurs moyennes, ont été préalablement sélectionnés de manière à ne distribuer que les rotifères plus petits; en effet, les dimensions de la larve de daurade sont telles, surtout par rapport au bar, que la taille excessive des rotifères pourrait devenir un facteur limitant.
En fin de mission les populations les plus âgées avaient 15 jours; les instructions nécessaires pour les phases ultérieures d'élevage larvaire ont été laissées au responsable du secteur.
Les taux de survie et la croissance de la daurade supérieurs à ceux du bar en phase de grossissement, en font une espèce qui doit être au plus tôt mise en production aussi bien au niveau de l'écloserie que des cages de grossissement. La reproduction massive d'alevins ne pose actuellement plus de problèmes et peut être réalisée en exploitant les mêmes structures que celles utilisées pour le bar; la reproduction commence plus tôt que celle du bar (mi-octobre environ).
IL est donc nécessaire, dans ce sens, de constituer pour la prochaine saison un stock suffisant de reproducteurs: 50 individus de plus d'un Kg (femelles) et 50 de taille comprise entre 0.4 et 1 Kg (mâles) seraient déjà suffisants; la CENMAR devrait ensuite compter sur une assistance de 2–3 mois pour le conseil nécessaire sur les techniques de reproduction, élevage larvaire et prégrossissement de cette espèce.
Le matériel commandé par la F.A.O. pour la CENMAR dans le cadre du projet est le suivant:
Un spectrophotomètre visible PYE UNICAM SP6-350 (50Hz) avec accessoire autocell.
Une balance analytique électronique METTLER, modèle AC100 (0–82 g; 0.1 mg; sans sortie de données).
Deux oxymètres YSI mod. 58 et 51B avec:
Deux réfractomètres-salinomètres BIOMARINE Aquafauna
Un titrateur automatique METROHM Multi-dosimat 2.655.0030.
Un microtome rotatif REICHERT JUNG Biocut 2030 complet d'accessoires (couteau carbure de tungstène 16 cm avec porte-couteau, 2 séries de 50 couteaux jetables avec portecouteau universel)
Une platine histologique et bain flottant forme basse BIOBLOCK SCIENTIFIC
Filtre à sable LACRON
En outre une liste de livres a été proposée et insérée dans la commande:
| Vol.1: | Excretion, ion regulation and metabolism, 1969, |
| Vol.2: | Endocrine system, 1969, |
| Vol.3: | Reproduction and growth. Bioluminescence, pigments and poisons, 1969, |
| Vol.4: | The nervous system, circulation and respiration, 1970, |
| Vol.5: | Sensory systems and electric organs, 1971, |
| Vol.6: | Environmental relations and behaviour, 1971, |
| Vol.7: | Locomotion, 1978, |
HOAR, W.S., D.J. RANDALL and J.R.BRETT (eds),
Vol.8: Bioenergetics and growth, 1979.
SINDERMANN, C.J., Principal diseases of marine fish and shellfish, New York, Academic press, 1970.
WHEATON, F.W. Aquacultural Engineering, N.Y., Wiley Interscience, 1977.
SPOTTE S. Fish and Invertebrate Culture; Water management in closed systems, N.Y. Wiley Interscience (2nd ed.), 1979.
TIEWS K. Aquaculture in heated effluents and recirculation systems. Schr. Bundesforschungsanst. Fisc. Hamb.(16/17) 1981.
KAFUKU T. and H. IKENOUE, Modern methods of aquaculture in Japan, Tokyo. 1983.