En primer lugar deben establecerse los elementos que constituyen los parámetros técnico económicos que definen las explotaciones de referencia sobre las que aplicaremos la metodología evaluatoria que describiremos a continuación y que nos permitirá obtener los resultados objeto de este informe.
Las explotaciones tomadas como muestra para la obtención de los datos de partida corresponden a fincas que tanto por su estructura como por sus características agroclimáticas pueden considerarse representativas del cultivo de cítricos en la Comunidad Valenciana.
Así, se trata de explotaciones propias del minifundio valenciano, menores de 1 Ha., con sistemas de riego tradicional o localizado, cuyas características agronómicas no presentan diferenciaciones dignas de mención especial en relación con las de la mayor parte de explotaciones citrícolas de la región (anexo II).
Se tomaron datos correspondientes a parcelas de las explotaciones de socios de dos organizaciones cooperativas que vienen comercializando cítricos orgánicos en los últimos años (cuadro III), y cuya caracterización productiva en cuanto a estructura se corresponde con la propia del cultivo de cítricos en esta región, con la diferenciación únicamente en lo que son prácticas propias del cultivo orgánico frente al convencional (Labrador J., et al, 1999).
Cuadro III
Número de parcelas de la muestra
| Naranjas | Mandarinas | |
| Cultivo convencional | 1.225 | 2.275 |
| Cultivo orgánico | 11 | 14 |
Fuente: Elaboración propia.
Son, por tanto, explotaciones cuyas hojas de cultivo, de las que se derivará su estructura de coste, pueden considerarse representativas, situándose además próximas, en el caso del cultivo convencional del que se disponen datos, a los resultados de otros estudios.
En relación a los precios, debe señalarse que difícilmente puede pretenderse una alta significación dadas las fuertes oscilaciones que en el caso de la agricultura orgánica se producen, y que han sido recogidas en algunos trabajos (Michelsen J. et al., 1999). Por ello, necesariamente la metodología evaluatoria debe contemplar un análisis de sensibilidad que nos sitúe en un escenario de precios muy amplio, y es sin duda el punto más crítico de este estudio.
La previsible evolución de los precios de cítricos orgánicos, que se supone será en todo caso al alza en opinión de los expertos consultados (Anecoop, Coopego, Valfruit), dependerá de la sincronización del crecimiento de la demanda con el de la oferta, así como del establecimiento de canales de distribución adecuados. Algunos estudios (Michelsen J. et al., 1999) ponen de manifiesto que frente a diferencias en precio en muchas ocasiones muy significativas a favor de los productos orgánicos, paradójicamente un porcentaje muy elevado de los mismos se comercializa como convencional.
En atención a los objetivos del presente estudio, dado que se trata de establecer comparativamente la eficiencia en términos económico-financieros de los sistemas de cultivo orgánico frente a convencionales en explotaciones citrícolas, y esto supone el análisis por tanto de inversiones de horizonte temporal superior a un año, la metodología de evaluación a utilizar debe necesariamente referirse a valores actualizados, esto es, como ya indicamos, a criterios que consideran el valor del dinero en el tiempo (Juliá J.F. y Server R.J., 1996).
Tradicionalmente esta evaluación, conocida como evaluación económico-financiera, cuyos indicadores principales son Valor Actual Neto, Tasa Interna de Rendimiento, y Tiempo de Recuperación, se formula desde la aceptación inicial de una serie de supuestos generalmente aceptados cuya finalidad es la mayor facilidad operatoria (Romero C., 1998).
Estos supuestos son:
Por otro lado, es necesario formular también una serie de supuestos específicos dado que trabajamos con unas explotaciones de referencia y unos modelos productivos determinados que podrían ser distintos en algunos casos. Estos supuestos son fundamentalmente de índole técnico.
| donde: | K0 = pago de la inversión. Pj = pagos que se realizan durante toda la vida de la inversión. qj = producción obtenida. pj = precio. i = Tasa de actualización. |
| donde: | K0 = pago de la inversión. Pj = pagos que se realizan cuando el sistema de cultivo es el convencional. qj = producción obtenida mientras el sistema de cultivo es el convencional. pj = precio del producto obtenido comercializado como convencional. Poj = pagos que se realizan cuando el sistema de cultivo es el orgánico. qoj = producción obtenida cuando el sistema de cultivo es el orgánico. poj = precio del producto obtenido comercializado como orgánico. i = Tasa de actualización. |
| donde: | K0 = pago de la inversión. Pj = pagos que se realizan durante toda la vida de la inversión. qj = producción obtenida. pj = precio. TIR = Tasa interna de rendimiento. |
| donde: | K0 = pago de la inversión. Pj = pagos que se realizan cuando el sistema de cultivo es el convencional. qj = producción obtenida mientras el sistema de cultivo es el convencional. pj = precio del producto obtenido comercializado como convencional. Poj = pagos que se realizan cuando el sistema de cultivo es el orgánico. qoj = producción obtenida cuando el sistema de cultivo es el orgánico. poj = precio del producto obtenido comercializado como orgánico. TIR = Tasa interna de rendimiento. |
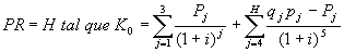
| donde: | K0 = pago de la inversión. Pj = pagos que se realizan durante toda la vida de la inversión. qj = producción obtenida. pj = precio. H = Tiempo de recuperación. i = Tasa de actualización. |
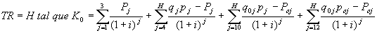
| donde: | K0 = pago de la inversión. Pj = pagos que se realizan cuando el sistema de cultivo es el convencional. qj = producción obtenida mientras el sistema de cultivo es el convencional. pj = precio del producto obtenido comercializado como convencional. Poj = pagos que se realizan cuando el sistema de cultivo es el orgánico. qoj = producción obtenida cuando el sistema de cultivo es el orgánico. poj = precio del producto obtenido comercializado como orgánico. H = Tiempo de recuperación. i = Tasa de actualización. |