Sukeo Kawanabe*
INTRODUCTION
Forages produced in most Asian countries are still in extremely short supply for efficient animal production. If more forages are fed to cattle, buffalo and goat, much more meat or milk than at present will be produced. However, most smallholders in these countries do not have enough land of their own for forage production. Special technologies fitted to the Asian physical environment are, therefore, needed to produce more forages of good quality from limited land resources.
In the whole process of animal production, forages are a primary product and hence, the technology of forage production has close relation with that of a secondary production. Existing forages would be useless unless livestock utilizes them efficiently. Effective utilization of forages for livestock may encourage forage production. Thus, forage and livestock production are interrelated with each other and this relationship should be taken into account. However, for convenience sake, only the former is dealt with in this paper for the APO Symposium.
The climatic conditions in APO member countries vary considerably, from temperature to tropical, and from humid to arid. The technology of forage production is strongly influenced by climatic conditions and hence, it is difficult to describe in this paper forage production in all parts of the region. Accordingly, the discussion will focus on its historical development in a humid and temperature country, Japan, and general issues on forage production in the tropical Asian environment.
Major constraints on forage production seem to arise from the socio-economic situation obtaining in Asia. Many APO member countries have no tradition of forage-livestock production practices and grassland farming. The development of agricultural technology, however, takes a long time and tradition affects greatly the introduction of a new production system. The technology of temperate grassland farming was developed in European countries and spread to other temperate countries in the world. On the other hand, the technology of tropical grassland farming has only been recently developed in Australia and other places. Many member countries have learned advanced technology, especially the principles, and have introduced improved grasses and legumes.
From these facts, it may be said that technology in these countries is not mature yet, and that there is great possibility of development in the future. The technology of Asian countries may differ somewhat from that of other countries owing to its specific environment and also to socio-economic circumstances. It is to be emphasized that Asian countries should look for appropriate technology based upon indigenous plant and animal resources and knowledge acquired by the people in the region.
Development of Forage Production in a Temperate Country - Japan's Case
The forage production system and technology have changed greatly during past 30 years in Japan. The changes have been accompanied by increases in productivity levels. Although there are still problems to be overcome, lessons from the Japanese experience may be useful to other countries in Asia.
Phases of Development
The following four phases had been recognized during the past three decades.
(1) Collection native plants, weeds and by-products of arable land (- 1955) - In this initial phase, neither fodder crops nor pasture species were planted. Instead, wild plants, leaves of soybean, sweet potato and green manure crop, such as Chinese milk vetch, etc. were collected. All of these were valuable roughages at the time, but collecting was laborious work. The improvement of native vegetation of paddy bunds roadside, etc. with red clover and tall fescue, among others, was extensively undertaken during this phase.
(2) Fodder crops and pasture species in cultivated fields during fallow period of intercropping with each crops (- 1965) - In this phase, forage crops had been planted as part of multiple cropping in cultivated fields but their status was lower than the main crops. Greater care was taken to maintain the yield of the main crops in intercropping or sequential cropping. Examples are the mixture of oats and vetch and Italian ryeglass. The former was intercropped in mulberry tree garden and other crops in winter. Italian ryegrass, a vigorous annual grass, was oversown in the rice field before rice harvest, grown during fallow period, and harvested in spring before planting rice. Italian ryegrass constituted a relay crop with rice, and produced a large amount of high quality feeds (7 mt/ha, DM or 5 mt/ha TDN), though it gave occasional problems to the rice plant. New cultivators were bred for this special purpose and adopted in large areas.
(3) Development of improved pasture (1955-) - The establishment of improved pastures aimed at increasing the productivity of native pastures was promoted all over the Japan after 1955 under the National Pasture Development Program. Japan is such a mountainous and hilly country that pasture had to be established on steep slopes. At first, pasture establishment was performed manually but later, mechanization made steady progress. The no-tillage method was also applied for establishing grazing pastures under less favourable conditions. Most of the areas were covered with soil characterized by low pH and deficiency of bases and available phosphorus so that soil amendment with high amount of lime and phosphorus was essential. Approximately 480,000 ha of improved pastures have been established. The total area covers about 600,000 ha. In addition, about 1,200 public (cooperative) pastures were established on which more than 210,000 head of dairy and beef cattle are grazing. About 24 percent of the total number of young calves now graze on public pastures. The species composition of improved pastures includes timothy grass, orchardgrass, tall fescue, perennial ryegrass, red clover, etc. The average dry matter yield is about 10 mt/ha/year and the carrying capacity is about 350 cow days per ha (500 kg body weight basis). This figure amounts to about ten times that of unimproved, native pasture.
(4) Intensive forage production in arable land (1975-) - In order to produce as much roughage as possible from limited areas, a system of intensive cropping, double or triple cropping, was developed in Japan, except in the northern part. Thus, arable lands were fully utilized for forage production, even including some paddy fields which were reserved for the purpose under the “wet-aside policy” of rice cultivation.
The major cropping system in the central part of Japan is double cropping involving a combination of Italian ryegrass for silage and corn of F1 variety for whole-crop silage. Organizations like the Forage Production Association or Silage Making Association which are organized by several farmers in a village are popular. They undertake, cultivation and storing of forage crops on a collaborative basis with a view to saving for investment in high-powered machinery. At the same time, a year-round silage feeding system has developed for the purpose of labor saving, and it has been adopted by many farmers.
Land and labor productivity of the intensive system of forage production increased remarkably, i.e., twice and ten-fold, respectively, compared to the previous production system (Table 4).
Integrated land utilization has been developed for beef cattle based upon established mountainous pasture and arable land. Summer grazing takes place in established pastures comprised of sown species and native species. Silage forwinter stall feeding is provided through intensive cropping in arable land.
Factors Promoting Development of Forage Production
Both the areas of improved pasture and forage crops and productivity in terms of land and labour increased markedly. This was accomplished by the introduction of suitable species and new high yielding cultivars, together with efficient mechanization. The change in the livestock situation should also be noted as the socio-economic factor greatly influenced productivity. The population of dairy cattle increased two-fold during the past two decades. Mechanization and modernization were actively promoted. The population of beef cattle also increased, although smallholders owning 1–2 head still predominate in the case of cow-calf operation and their forage production technology is behind that of dairy farmers.
Table 1. Changes in Roughage Supply in Japan
(Unit: Percent)
| Item | Except Hokkaido | Hokkaido | ||||
| 1965 | 1975 | 1983 | 1965 | 1975 | 1983 | |
| Rice straw | 21.8 | 16.4 | 15.0 | 4.3 | -- | -- |
| Native plants | 16.4 | 6.1 | 2.2 | -- | -- | -- |
| Farm by-products | 10.0 | -- | -- | -- | -- | -- |
| Soiling | 31.1 | 39.3 | 22.0 | 9.6 | 3.3 | -- |
| Hay | 6.2 | 16.3 | 25.6 | 40.7 | 44.9 | 42.2 |
| Silage | 8.6 | 19.0 | 32.9 | 21.6 | 31.2 | 35.8 |
| Grazing | -- | -- | -- | 11.0 | 18.8 | 17.4 |
Table 2. Productivity of Public (Cooperative) Livestock Farms in Terms of Animal Production
| Region | Carrying Capacity (head/ha) | Grazing Period (days) | Liveweight Gain | N-Fertilize (kg/ha) | Grass Yield W.W. (t/ha) | |
| (kg/day) | (kg/ha) | |||||
| Sub-arctic | 2.1 | 142 | 0.71 | 277 | 47 | 29 |
| Temprate | 2.0 | 172 | 0.49 | 172 | 81 | 27 |
| Warm-temperate | 2.2 | 201 | 0.57 | 259 | 93 | 29 |
| Average | 2.1 | 167 | 0.59 | 109 | 75 | 29 |
| (Expt.) | 2.4 | 214 | 0.87 | 448 | 180 | 75 |
Table 3. Cropping System and Productivity in Arable Land
| Region | Typical Cropping System | Productivity | ||
| Target | Present | |||
| Sub-arctic | Pasture plants-Root- crop-Corn | 17/mt | 8 mt/ha | |
| Cool temperate | (4–5 years) | (2 years) | ||
| Temperate | Corn-Italian ryegrass Corn-Barley (whole crop) | 25 | 12 | |
| Warm temperate | Corn-Sorghum-Barley Rhodes grass-Italian ryegrass-oats | 30 25 | 13 | |
Table 4. Comparison of Land and Labour Productivity of Two Cropping Systems (Old and New) for Forage Production, Japan
| Cropping | Land Productivity (mt, DM, ha/yr) | Labour Hours (hour/ha) | Labour Productivi (mt, DM,/hr | Means of Labour |
| Grass-legume mixture | 10 | 56 | 0.2 | Walking tractor with mower |
| Corn-Italian ryegrass | 20 | 8 | 2.5 | Riding tractor with corn harvester |
Notes: 1) Grass - legume mixture and corn - Italian ryegrass were prevalent in 1968 and 1975, respectively.
2) Surveyed dairy farms in central part of Japan.
Concerning pasture development in the mountainous region, assistance which had been given by FAO and APC to the Japanese Government during 1955–1963 should be mentioned. Seven specialists on grassland farming from the United States and United Kingdom surveyed the country and presented recommendations on pasture development in Japan. The recommendations were so valuable that these were later influential in the establishment of the National Pasture Development Program.
It may be worthy to note that pasture development in the Rep. of Korea had nearly the same situation as Japan though there were some differences. In the Rep. of Korea, where there was no tradition of grassland farming, the pasture development program started in 1959, some years later than Japan. The assistance had been given by advanced countries in grassland farming such as West Germany, Switzerland and Australia. Like Japan, the pasture development program in the Rep. of Korea had been motivated by the government and experienced some contradiction between government intention and farmers' awareness during the first stage of implementation.
PROBLEMS OF FORAGE PRODUCTION IN ASIAN TROPICAL ENVIRONMENT AND DEVELOPMENT STRATEGY
Limited Land Area Available for Forage Production
Most of Asian smallholders have neither individually cultivated pastures nor arable land where forage crop can be planted. However, the tropical environment has abundant resources such as plant genetic resources and solar radiation.. If selection is made and high yielding species are adapted from abundant plant germplasms, the production potential could be greatly developed. In order to utilize strong solar radiation efficiently, multi - layered cropping or multiple cropping is suitable. Through the three dimensional planting structure, a large amount of forages may be obtained even from small pieces of land.
Native Pasture Deterioration and Low Production
Ranchers and the government hold large areas of native pasture while smallholders have some communal pastures in most of Asian tropical countries. The vegetation of these pastures is mostly natural, not improved, and the predominant species is Imperata cylindrica. It supports 0.3–0.5 animal unit per ha and fairly stable in the Philippines. It is reported that in Indonesia there are 21 million ha of grassland, of which 16 million ha is Imperata grassland. It is gathered that Imperata pastures appeared after many years of shifting cultivation and regular fires in the dry season. The pastures were severely degraded by overgrazing, excessive burning and destructive erosion. Though these native pastures are not available for cultivation, they are suitable for grazing, able to maintain some carrying capacity and hence, are a valuable resource for animal production.
A number of studies have pointed out that these low productivity pastures could be improved to achieve high productivity by oversowing better legume species and top-dressing phosphate. Moreover, the technology has been adopted in many countries successfully except in the arid and semi-arid environment. These facts may indicate that there exists a huge potential productivity in monsoon tropical Asia.
Physiological studies have made clear that dry matter production of forages is higher in tropical than in temperate grassland. Under favourable conditions, it is in the order of 80 and 25 mt/ha/yr, respectively. However, in the wet-dry tropics, available moisture amy become a limiting factor and thus reduce the maximum production to about 30 mt/ha/yr. In addition, when soil nutrition is deficient, production is at a much lower level, i.e., 10–20 mt/ha/yr or below (G. O. Mott, 1983). Thus, soil moisture and nutrient status greatly affect productivity. In many cases, soil productivity has deteriorated due to mismanagement and many years of erosion. Consequently, high productivity may be expected if soil fertility is restored by good pasture management.
Low Quality Forage
Quality is an important characteristic for animal production but so far, not much attention has been paid to it in the tropics. Two factors have to be considered in quality evaluation, i.e., digestibility and dry matter intake. These two factors are related to each other. Tropical forages are generally inferior in quality to temperate forages. One of the reasons is that the high temperature of growing reduces the quality. Another reason is the fact that tropical grasses have 10–15 percent lower digestibility than temperate grasses. The ranges of digestibility of tropical and temperate grasses are 35–74 and 58–80 percent, respectively.
An experimental result shown in Table 5 indicates that subtropical grass is an efficient converter of solar energy into dry matter (DM) but the conversion of this DM energy into animal product is poor. Thus, unfortunately, the high DM yield of tropical grasses is not transformed into high animal production.
Table 5. Comparison of Solar Energy Conversion in Grazed Pasture Between Temperate Grasss and Subtropical Grass
| Temperate Grass (percent) | Subtropical Grass (percent) | |
| Incident radiation | 100 | 100 |
| Net plant production | 0.74 | 1.36 |
| Herbage available | 0.53 | 0.99 |
| Grazed energy | 0.43 | 0.73 |
| Digested energy | 0.34 | 0.36 |
| Gained energy | 0.05 | 0.02 |
Source: Okubo, 1982.
Two countermeasures may be useful in overcoming the quality problem of tropical pasture. The first is the use of legume and the second is better pasture management. Tropical legumes have higher digestibility and protein content than grasses and legumes are valuable feed in a tropical environment. Since the protein in a grass diet is frequently below the critical level of about 7 percent, the addition of as little as 10 percent legume in the diet may lead to a large increase in intake and animal performance (Minson, 1980).
A number of excellent legumes have been developed in tropical Asia as follows:
Calopogonium mucinoides (calspo)
Centrosema pubescens (centro)
Desmodium heterophyllum (hetero)
D. intortum (greenleaf)
D. uncinatum (silverleaf)
Lotononis bainesii
Macroptilium atropurpureum cv. siratro (siratro)
M. lathyroides (phasey bean)
Paeraria phaseoloides (puero, tropical kudzu)
Stylosanthes guyanensis cv. cook and cv. schofield (stylo)
S. hamata cv. verano (Caribbean stylo)
S. humilis (townsville stylo)
S. scabra cv. seca
The legume population established in pasture separately from the grass population and aimed at offering the protein for animals is called “protein bank”. Thus, tropical legumes are adopted widely in the tropical environment and have proved their usefulness.
The principle of pasture management concerned with the quality of tropical pasture may not differ from that for temperate pasture.
However, tropical pasture should be managed more carefully, in terms of maintaining good quality, vis-a-vis temperate pasture. Harvesting more green leaves is important because these are palatable and digestible. Digestibility of green leaves, dead leaves and stem are approximately 70 percent, 45 percent and 35 percent, respectively. If the digestibility is more than 65 percent, it will have plenty of green leaves and be an excellent pasture. However, if the digestibility is lower than 50 percent, young cattle lose weight and dairy cattle should not allowed to graze on it (E. R. Beaty, et al. 1982).
INCREASING FORAGE PRODUCTION IN ASIAN TROPICS
The following points may be considered in efforts to increase forage production in the Asian tropics for each type of land: pasture, arable land and agro-forest.
Pasture
Idle land - Though the area is small, smallholders in Asia have varied pasture resources, including roadside verges, border of fields, fallow or abandoned fields, paddy bund, backyard, etc. They hold native vegetation consisting of indigenous plants such as Imperata cylindrica, Paspalum conjugatum, Axonopus compressues, Ottochlva modosa, Microstegium cillialis, etc. The productivity of these areas seems rather high considering the fact that they actually support a number of livestock.
For instance, in Indonesia, there are suprisingly large numbers of small ruminants, up to 400/ha, often reared by village people with little or no land (J. B. Lowry, 1983). Similarly, in Malaysia, a number of cattle are allowed to graze during daytime in fallow paddy lands, roadside verges, etc. and at night, the animals receive supplementary fodder cut from replanted rubber and oil-palm holdings, etc. (I. R. Lane, 1983). It may thus be observed that these small pieces of land around households practically produce fairly abandoned forages with a little care and, therefore, are valuable land resource to villagers.
Communal pasture - It is often said that communal pastures in every village are deteriorating badly owing to the fact that no one has responsibility for management. However, there is an example of a production type of pasture. This is the communal grazing at a swamp in Brunei where 200 ha of pasture support 300 head of buffalo, producing DM 18.7 mt/ha/yr (K. C. Lee, 1983).
A report from India is suggestive of how responsibility for pasture management may be arranged. The milk cooperative took up the task of rehabilitating the village common land and regulating its use. If farmers' group manages democratically the communal pasture in proper stocking rate, then, it may be effective for sustained production. The other measure may be to parcel out communal pasture and transfer the parcelled plots to individual ownership (M. L. Verma, 1983).
Preventing pasture deterioration - It was observed in the Philippines that when heavy grazing pressure is applied to Imperata pasture, grass height decreases and eventually, the tall grass vegetation changes to short grass vegetation. If heavy grazing lasts for a longer period, Chrysopogon aciculatus tends to increase replacing Imperata. Chrysopogon pasture supports only a smaller number of livestock than Imperata pasture. Moreover, it easily suffers from soil erosion (M. D. Guzman, 1983).
This change of vegetation is a phenomenon of pasture deterioration connected with overgrazing which occurs more frequently in a semi-arid than humid environment. Before such deterioration occurs, regulation of stocking rate should take place. In order to detect vegetation change as early as possible, a technique to evaluate pasture condition had been developed in the United States and applied practically for range management. This “range condition classification” evaluates range condition with indicator species groups, decreaser, increaser and invader, and classifies it into excellent, good, fair and poor condition.
However, there is a lack of information for most natural tropical pastures concerning major vegeration change in connection with stocking rate and productivity under different environments. Such basic information related to pasture management and carrying capacity is expected to be accumulated.
Improving pasture by oversowing legumes - The oversowing of legumes, such as centro, siratro, stylo, etc. in native pasture is an effective way to increase herbage production and also to improve the quality of feed. The application of phosphorus is required to encourage the growth of legumes. Table 6 shows an example of the improvement of typical Imperata grassland by the use of stylo and phosphate application. The stocking rate increased from 0.5 to 1.0 beast/ha, liveweight gain per head (LWG) from 55.7 to 125.7 kg and LWG per ha from 27.9 to 125.7 kg. The increase of LWG in improved pasture by legumes is especially evident during the dry season.
Arable Land
Planting or sowing fodder crops or pasture species in arable land is difficult for smallholders in the Asian tropics given the present socio-economic situation. Instead, intercropping or multiple cropping which involves growing forage crops in association with cash crops or food crops is feasible. In the case of an intercropping system, it is important to avoid a reduction in yield of the main crop. In order to avoid severe competition between these crops, special care has to be taken on the following: combination of crops, sowing date, seeding rate, row space or width of planting, fertilizer, etc.
Table 7 presents examples of success in experiments. In the cassava/verano system, when planting both crops at the same time, the yield of cassava root greatly decreased. However, when sowing verano 45 days later than the planting of cassava, the reduction in the yield of cassavaroot is small. In this case, 24.5 mt/ha of cassava root and 2.5 mt/ha of verano (Stylo-santhes hamata cs. verano) were obtained. Another experiment involved corn/legume and sorghum/legume systems, where legumes included verano stylo, schofield stylo, centro, siratro and cowpea (Table 8). The combination of corn/schofield and sorghum/siratro gave excellent results without much reduction in yield of the main crop and getting relatively good harvest of forages. However, the other combinations did not give good results owing to either reduction in yield of the main crop or little yield of fodder. The sorghum/siratro systems produced 2.1 mt/ha of sorghum grain and at the same time 6.8 mt/ha of fodder.
Table 6. Liveweight Gain of Heifers on Improved and Unimproved Native Pasture, Philippines
| Stocking Rate beast/ha | Liveweight Gain (400 days) | ||
| kg/head | kg/ha | ||
| Native pasture | 0.5 | 55.7 (100) | 27.9 (100) |
| Native pasture | 1.0 | 17.4 | 17.4 |
| Improved pasture | 1.0 | 125.7 (100) | 125.7 (100) |
Source: Siota, 1977.
Table 7. Root Yield of Cassava, Dry Matter Yield of Verano Single Planted and Intercropped, Thailand
| Cassava (mt/ha) | Verano (mt/ha) | Weed (mt/ha) | |
| Cassava a | 26.8 | -- | -- |
| Cassava + Verano b | 7.6 | 2.9 | 2.0 |
| Cassava + Verano c | 24.5 | 2.5 | 1.1 |
| Verano d | -- | 3.4 | 1.2 |
Source: Wilaison, 1983.
Note: a Cassava only planted June 4, weeding on July 18 and Oct. 4.
b Cassava and verano planted at the same time on June 4.
c Cassava planted on June 4, verano sown after weeding on July 18.
d Verano only sown on July 18, after weeding.
Intercropping may be a promising technology, but before it is expanded, in-depth studies should be made because it is an intensive and delicate technology.
Harvesting young corn plants for fodder is a common practice in the Asian tropics. In this method, sowing corn at higher density than optimum is done and the excess corn plants are harvested for fodder at young stage. The harvesting of the upper part of the corn plant a little before corn maturity is also a common practice in the Asian tropics.
An experiment carried out at IRRI indicates that after harvesting lowland rice, the planting of cowpea under no-tillage condition is feasible. The cowpea variety adopted for this practice should be the dual purpose type which produces both grain and fodder.
If forage crops are introduced in arable land under fertile and adequate moisture conditions, certain crops show remarkably high yield. These fodder crops are Pennisetum purpureum panicum maximum, hybrid napier grass, sugarcane, etc. They are capable of producing 40–50 mt or more DM/ha and feeding 10 head of cattle/ha. Under these favorable circumstances, production of roots of cassava and yam may be recommended for lactating cows and cattle for fattening.
Agro-forestry
Agro-forestry is a system consisting of trees and crops which are planted simultaneously on the same land. “Tree” includes not only fodder trees but also those used for other purposes such as fruit, timber, pulp, fuel and industrial materials. “Crop” also includes all crops other than fodder crops and pasture species referred to in this paper. The tree-pasture-livestock system is often called “sylvi-pastoral system”. This system is economically important in the Asian tropics since the area of pasture under trees is most extensive and pasture under trees is underutilized at present. In Malaysia, for instance, forage resources under tree crops are estimated to be most abundant as shown in Table 9. Although roadside verges and paddy bunds are the most visible and heavily used resources, their areas and resources are limited. The situation is similar in Thailand.
Table 8. Grain Yield of Corn and Sorghum, Fodder Yield of Main Crops and Intercrops Under Lowland Condition
| Item | Grain Yield (mt/ha) | Fodder Dry Matter Yield (mt/ha) | ||
| Main Crop | Intercrop | Main+Inter Crop | ||
| Corn | 0.61 | 0.53 | -- | 0.53 |
| Corn + schofield stylo | 0.54 | 0.50 | 2.13 | 2.63 |
| Corn + siratro | 0.36 | 0.50 | 3.40 | 3.90 |
| Sorghum | 2.23 | 2.83 | -- | 2.83 |
| Sorghum + schofield stylo | 1.93 | 3.23 | 1.53 | 4.77 |
| Sorghum + siratro | 2.10 | 3.97 | 2.83 | 6.80 |
Source: A.D. Calub, IRRI.
Table 9. Estimated Available Forage from Natural Pasture, Malaysia
| Item | Area (10, ha) | DM Productio (mt/ha/yr) | Percent Contribution |
| Under tree crops | 643.8 | 5.0 | 90.2 |
| Grazing reserves | 39.8 | 7.0 | 7.8 |
| Roadside verges | 6.4 | 7.0 | 1.2 |
| Paddy bunds | 5.8 | 5.0 | 0.8 |
Source: I.R. Lane, et al, 1984.
The ecological significance of agro-forestry is great. Firstly, the canopy of tree and crop constitutes a double layer which absorbs solar radiation efficiently. Secondly, the root system of tree and crop develops in three dimensional manner and absorbs water and nutrients efficiently. And thirdly, tree and crop build a stable community against pests, weeds and physical environment and thus, the system works effectively for soil and water conservation.
On the other hand, some drawbacks may develop in agro-forestry. For instance, livestock grazing may damage the trees and makes the soil compact. Also, plant competition between tree and crop affects the yield of either or both plants.
Among many agro-forestry systems, the potentially most valuable one for grazing resources may be the coconut/pasture/livestock system (Table 10). This system exhibits such advantages as improved soil fertility by manure of grazing animal and reduced cost of weed control. Most undergrowth of coconut plantations consist of native plants such as Paspalum conjugatum, Axonopus compresus, etc. (I. R. Lane, et al., 1983). But improvement by grasses and legumes has often taken place, and the carrying capacity has increased remarkably. A report in Thailand indicates that DM production of native pasture which is comprised mostly of Axonopus compresus was 18–19 mt/ha/yr, whereas improved pasture by centro-signal grass produced 24 mt/ha/yr. The carrying capacity of these pastures is shown in Table 11. It may be concluded that the productivity of pasture under coconut is fairly high and not inferior to ordinary pasture.
Surprisingly high carrying capacity was attained in Indonesia. Vegetation under coconut was improved with stylo, centro and signal grass. Five yearling per ha provided a long-term production of about 500 kg live-weight gain/ha/year.
On the other hand, lower productivity than the above was reported in Kerala, India (A. Shamsudeen, et al., 1985). Sown species were ruzigrass, molasses grass, centro and stylo. The yield was 8 mt/ha/yr, under rainfed condition and 50–60 percent light transmission of coconut tree. Such intercropping led to higher coconut yield and better soil status. Although productivity varies considerably depending on environmental condition and management, pastures under coconut are an important forage resource in Asian tropical countries. Accordingly, more intensive practices should be promoted.
There are many species of fodder trees in the Asian tropics, and their leaves and young stems are fed to village livestock, especially goats (C. Devendra, 1983). The list of fodder trees and forage grasses common in Asia are listed below. Among these, Leucaena leucocephala is particularly valuable. It is planted and used for feed, fuel, etc., in the world tropics. It is planted along roads, field bunds and hedges and reduce protein-rich feed abundantly. Productivity, when cutting is made every 16 weeks in Indonesia, is as follows: fresh forage yield 404 g/tree/week, leaf dry matter yield 106 g/tree/week, crude protein 20 percent, ratio of leaf in the harvest 40 percent (Armiadi Samali, et al., 1983). Dry matter production of Leucaena in humid tropical Asia may be 20– 35 mt/ha/yr. and crude protein percent may be 20–22 percent, considering results from experiments.
Table 10. Estimated Area Planted to Coconut
| Country | 1,000 ha |
| Philippines | 2,100 |
| Indonesia | 1,870 |
| Papua New Guinia | 249 |
| India | 906 |
| Sri Lanka | 445 |
| Malaysia | 246 |
| Thailand | 318 |
| Fiji | 72 |
| Asia sub-total | 6,178 |
| World Total | 6,865 |
Source: D.L. Plucknett, 1979.
Table 11. Stocking Rate and Liveweight Gain in Native and Improved Pasture Under Coconut Trees, Thailand
| Item | Stocking Rate (head/ha) | Liveweight Gain (kg/ha/yr) |
| Native pasture | 1.0 | 43.7 |
| Improved pasture (Centro-signal) | 1.5 | 116.8 |
Source: Soorthon, 1982.
Leucaena may be one of the most useful foreage trees in the tropics. Active propagation and full utilization of this plant may significantly contribute to increase forage and animal production.
Important Forage Trees in Tropical Asia
Acacia Sp.
Albizia falcataria
A. Molucana
Artcarpus heterophyllus
Azadirachia indica
Cadjanus cadjan
Calliandra callothyrsus
Ceiba pentandra (kapok)
Dendrocalamus strictus
Erithrina lithosperma (dapdap)
E. religiosa
Flemingia congerta
Gliricidia maculata
G. sepium
Leucaena leucocephala
Manihop uitlissima
Morus indica
Prosopis sp.
Sesbania aegyptica
S. grandiflora
S. sesban
Tema arientalis
Titonia diversifolia
Ziziyphus jujuba
Important Forage Grasses in Tropical Asia
Brachiaria decumbens (signal grass)
B. brizantha (polisade grass)
B. miliiformis (cori grass)
B. mutica (para grass)
Cenchrus ciliaris (buffel grass)
Digitaria decumbens (pangola grass)
Dichantium aristatum (slabang x)
Melinis miutiflorus (molasses grass)
Panicum maximum (guinea grass)
Pennisetum purpureum (napier grass)
P. purpureum x P. tyhoides (hybrid nepier)
Setaria anceps (setaria grass)
SUMMARY
In most of the APO member countries there is no tradition of grassland farming and smallholders have only small pieces of land for grazing and fodder production. However, there are certain prospects for increased forage production in terms of quantity as well as quality, if appropriate technologies are applied.
The experiences in the development of forage production in Japan for the past 30 years are described in connection with changes in the production system, productivity and socio-economic circumstances. As for tropical countries, native vegetations near households have some productivity at present but this could be greatly enhanced if improvement is made by inter-cropping legumes.
Imperata grassland which covers huge areas in Asia has a carrying capacity of 0.3 – 0.5 animal unit/ha at present. This could reach two or three animal units if those pastures are improved with suitable legume species and phosphorus. Forage production in arable land may be increased by various ways such as intercropping forage legumes in a cassava or kenaf field. Fodder trees such as Leucaena which provide valuable feed rich in protein and pasture under coconut are important forage resources in the Asian tropics. They can produce abundant forages under good management.
LITERATURE CITED
ASPAC; Seminar Report on “Recent Advances in Pasture Research and Development in Southeast Asia,” Khon Kaen Univ., Thailand, 1983.
Jap. Soc. Zootech. Sci.; “New Strategies for Improving Animal Production for Human Welfare,” proc. Fifth World Conf., Anim. Prod., 1, 2, 1983.
Trop. Agr. Res. Cent. (Jap.); “International Symposium on Pasture in the Tropics and Subtropics.” Proc. Symp. Trop. Agr. Res., No. 18, 1985.
Jap. Soc. Grassl. Sci.; Proc. XV Intern. Grassl. Cong., 1985. Plucknett, D. L.: Managing Pasture and Cattle under Coconuts, Westview Press, 1979.

Appendix Figure 1 Area Planted to Green Manure Crops and Forage Crops

Appendix Figure 2. Distribution of Beef, Dairy Cattle and Tractor

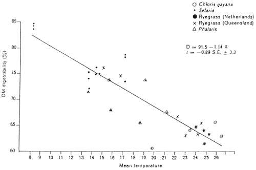
Appendix Figure 3. Relationship Between Dry Matter Digestibility and Mean Temperature (D. J. Minson)

Appendix Figure 4. Histogram of Tropical and Temperate Grass Digestibilities (D. J. Minson)
C. Devendra*
INTRODUCTION
Expanding the use of agro-industrial by-products and non-conventional feed resources represents, possibly, the most challenging task concerning components of the animal industries in Asia. The situation is extremely compelling for at least three reasons. Firstly, there continues to exist serious feed deficits that do not appear to be contained in the face of increasing human and animal population growth. Secondly, inadequacies in dietary nutrient supply penalize animal performance and do not maximize the production of animal products (meat, milk, eggs, skin and fibre) which are essential and are of economic importance in all countries. Thirdly, inability to meet national target, especially of edible animal products, has raised doubts about the efficiency of existing animal production systems and the utilization of resources used by animals (Devendra, 1983).
The justification for focussing specific attention on the feed resources is also necessitated by other considerations. Of the environmental factors affecting production in animals, improved nutrition and management represents, possibly, the single most important issue. Whereas selection and breeding programmes are generally long term, attention to improved ways and means of taking advantage of available dietary ingredients in efficient systems appropriate to individual species can result in immediate results which can often be identified with economic and profitable production. The problem is simply one of how to expand and increase the efficiency with which the available feeds can be utilized by animals (Devendra, 1986).
Several meetings have been held in Asia on the subject of available feeds and their utilization, for example, in Malaysia (1979; 1986; 1987), Indonesia (1981), Philippines (1980), Bangladesh (1983), Pakistan (1983), Thailand (1984) and Sri Lanka (1986). In India, annual meetings are held on the subject through the ICAR-supported All-India Coordinated Research PRoject on the Utilization of Agricultural By-products and Industrial Waste Materials for Evolving Economic Rations for Livestock. In addition, regular meetings are held by the Animal Nutrition Society of India (1986).
While the brevity of the problems has been repeatedly reviewed, and consciousness constantly sensitized, the fact remains that the situation has not changed significantly insofar as more intensive and expanded utilization of the feeds is concerned. The situation is particularly critical for ruminants (buffaloes, cattle, goats and sheep), whereas for non-ruminants (pigs and poultry) the converse is true in view of the use of mainly imported cereals, fish meal and advanced temperate technology.
The intent in this paper is to focus on the available feeds and examine possible strategies that can encourage expanded utilization. The discussion will include the likely impact of these strategies on potential increased contribution from animal resources.
ANIMAL RESOURCE
Table 1 sets out the magnitude of the animal resources in Asia, the percentage in terms of total world population and average annual growth rate specific to each species.
Table 1. Animal Resources in Asia (FAO, 1986)
| Species | Population (Million head) | As Percent of Total World Population | Annual Rate of Growth (1975–1985, %) |
| Ruminants | |||
Buffaloes | 123.9 | 96.1 | 1.2 |
Cattle | 328.1 | 25.9 | 0.7 |
Goats | 207.7 | 44.7 | 1.4 |
Sheep | 184.5 | 16.2 | 1.0 |
| Non-ruminants | |||
Chickens | 2244.0 | 30.0 | 5.8 |
Ducks | 103.0 | 62.8 | 1.3 |
Pigs | 3.6 | 46.0 | 1.5 |
The extent of both ruminant and non-ruminant animal resources are quite enormous. Among ruminants, about 95 percent of the buffaloes and 45 percent of the goats are found in Asia in terms of the total world populations of these species. This is followed by cattle and sheep of 26 percent and 16 percent each.
Among non-ruminants, ducks accounted for as much as 63 percent of the total world population, followed by pigs and then chickens. Among ruminants, the goat and buffalo populations were growing the fastest, followed by sheep and cattle. Among non-ruminants, the chicken population was growing the fastest.
It is significant to draw attention to the fact that ruminants are generally more widely reared than non-ruminants and the vast majority of the ruminant populations are, in fact, owned by small farmers, landless peasants and labourers. They are renewable resources and have varied functions (Devendra, 1983) from food production (meat and milk) to various miscellaneous benefits (security, draught power, fertilizer, fuel, utilization of coarse crop residues, social values and recreation).
By comparison, pigs and poultry constitute advanced animal industries in many countries in Asia. The main reasons for this are associated with the availability and successful transfer of proved technology in pigs and poultry production, the ease of importing feedstuffs for them, a large and ready market for the products and the rapid turnover of capital investment. The two industries have already assumed industrial proportions and are usually found in urban-fringe areas which can absorb the growing domestic market outlets for the products. In view of the priority on the development of ruminants in most countries in Asia, expanding the use of agro-industrial by-products and non-conventional feed resources will necessarily have to focus more on these species.
FEED RESOURCES
Three main categories of feeds are identifiable: crop residues, agro-industrial by-products (AIBP) and non-contentional feed resources (NCFR). It is appropriate to briefly discuss each of these categories.
Crop Residues
The crop residues are mainly fibrous materials that are by-products of crop cultivation, and because of the intensity and emphasis on crop production in Asia, these form a high percentage of the total volume of feeds produced.
Crop residues have, in general, a low crude protein content, in the range of 3.3 – 13.3 percent on dry matter basis. This suggests a basic limitation in some of the residues (e.g., bagasse and rice straw) around the borderline of the 6–7 percent dietary crude protein level required for promoting dry matter intake (DMI).
There is also the point that most of the residues are deficient in fermentable energy, reflected by the relatively low organic matter digestibility, and also in mineral nutrients.
Agro-Industrial By-Products
Agro-industrial by-products refer more to by-products derived in the industry due to processing of the main products. They are (in comparison to crop residues), less fibrous, more concentrated and have a higher nutrient content. Good examples of AIBP are molasses, rice bran, pineapple waste, palm oil mill effluent (POME) produced from refining the palm oil and coconut cake. For purposes of this paper however, and for reasons of brevity, AIBP are used in a general sense to include crop resides.
Non-conventional Feed Resources
Non-conventional feed resources (NCFR) have been identified separately from crop residues and AIBP although they can be components of both these feed categories. The main reason for this is to give them a separate identity, and especially in the context of their vast potential in Asia.
NCFR refers to all those feeds that have not been traditionally used in animal feeding and or are not normally used in commercially produced rations for livestock.
Defined in this manner, the NCFR embraces a wide diversity of feeds that are typical of, and abundant in Asia. A feature about these ingredients is that whereas the traditional feeds of crop origin tend to be mainly from annual crops, the NCFR include commonly, a variety of feeds from perennial crops and feeds of animals and industrial origin. In this sense, the NCFR could really be more appropriately termed “new feeds”, and this term is in fact being increasingly used.
Thus, the term NCFR has been frequently used to describe such new sources of feedstuffs as palm press fibre (oil palm by-products), single cell proteins, and feed material derived from agro-industrial by-products of plant and animal origin, poor-quality cellulosic roughages from farm residues such as stubbles, haulms and vines. Other agro-industrial by-products also exist such as slaughterhouse by-products and those from the processing of sugar, cereal grains, citrus fruits and vegetables from the processing of food for human consumption. This list can be extended to derivatives from chemical or microbial processes, as in the production of single cell proteins.
It is not easy, however, to draw a distinct demarcation between traditional feeds and NCFR. This is because in some countries, such as India and Pakistan, what may now be classified NCFR may, in fact, be traditional to the extent that it may have been fed for a long time. Additionally, the availability of NCFR, especially of plant origin, is dependent to a large extent on type of crops being cultivated, and the prevalent degree of application of the crop technology.
Characteristics of NCFR
The NCFR has a number of characteristics worth nothing and to keep in perspective:
Many of the NCFR are currently designated as wastes, and this is an inaccurate description. They are wastes only to the extent that they have not been utilized and converted by animals into valuable products for human benefit. They then become new feed materials of importance. Additionally, they can alleviate the existing limited feed resources. Recycling, reprocessing and utilization of all, or a portion of the wastes, offers the possibility of returning these to beneficial use, as opposed to the traditional methods of disposal and relocation of the same residues. The demonstration of potential value can thus make many of these wastes, new feeds of value and importance.
The AIBP and NCFR are of three categories:
Priorities for Use
Table 2 summarizes the priorities for using AIBP and NCFR in Asia according to their potential value and importance, especially to individual species of animals. It categorizes the broad types of feeds, their essential characteristics and the main species which currently utilize them.
Table 3 sets out the principal types of crop residues and agro-industrial by-products commonly found throughout the Asian region. In the absence of more complete data on cell wall content, the average crude fibre contents are indicated.
The case for expanded use of the available feeds is also justified by high reliance on imported feeds, spiralling feed costs, excess capacity and inadequate use, especially of the more important NCFR. Table 4 provides in this context, an indication of the approximate percentage of local feedstuffs used by feed manufacturers in selected countries.
Several countries in the Asian region have expressed concern over the limited feed supplies, the increasing cost of imported feeds and the need to increase the use of NCFR. Many of these countries are now hiving attention to NCFR as potentially valuable feeds and, particularly to increased research and development effort that can encourage wider utilization and improve the efficiency of animal production.
The emphasis on crop production and the concurrent processing of some of the products result in effluents which cause serious pollution problems, e.g., pineapple canning wastes, palm oil processing wastes, rubber processing wastes, slaughterhouse wastes and distillery wastes. Serious efforts should, therefore, be made to find effective and economic uses for these residues and wastes, without detriment to the environment.
Adequacy and Requirements
The question of matching potential response in animals by ensuring the requirements of the total animal genetic resources represents a major challenge to animal nutritionists in all counties. The Asian region is unique in that this situation varies from one of acute inadequacy to adequacy in some countries. While all animal species are involved, the problem is more acute for lactating ruminants with their demand for more nutrients (Devendra and Wanapat, 1985).
The problem is acute in Asia where the feed requirements by livestock are in excess of current supplies. Recent analyses of the feed resource base in Asia in terms of the area under pasture and fodder crops, quantities of available feed grains, oil cakes and agricultural by-products and the requirements by animals suggest a quantitative and qualitative insufficiency of feeds in relation to the total requirements for growth, reproduction and production of the livestock sector (Verma, 1983).
Table 2. Priorities for Utilization by Animals of Agro-Industrial
| Feed Source | Characteristic | Species |
| Energy and protein concentrates (e.g., rice bran, coconut cake, soyabean meal, poultry litter) | High energy High protein | Pigs, poultry, ducks, lactating ruminants a |
| Good quality crop residues (e.g., cassava leaves) | High protein High energy | Pigs, ducks, lactating ruminants and use as supplements by meat animals |
| Medium quality crop residues (e.g., sweet potato vines) | Medium protein | Pigs, ruminants (meat and milk), camels and donkeys |
| Low quality crop residues (e.g., cereal straws and bagasse) | Low protein Very fibrous | Ruminants (meat and Draught), camels and donkeys |
Note: a Ruminants refer to buffaloes, cattle, goats and sheep
Table 3. Percent Distribution of Nutritional Characteristics of Principal Crop Residues and Agro-Industrial By-Products for Ruminants, Asia
| Feed Source | Moisture | Crude Protein a | Crude Fibre | Organic Matter Digestibility |
| Crop residues b | ||||
Cassava leaves | 73.6–78.8 | 21.7–26.6 | 8.1–23.2 | 55.1–61.0 |
Groundnut vines | 71.3 | 9.2 | 24.1 | 60.0–68.0 |
Maize stover | 12.8–16.3 | 5.0 | 28.3 | 61.0 |
Pigeon pea forage | 71.1–74.8 | 20.0–25.6 | 17.6–22.6 | 47.2–55.4 |
Rice straw | 9.0–9.2 | 3.3–4.5 | 28.8–33.6 | 48.1–56.4 |
Suqarcane tops | 72.0 | 3.8 | 38.0 | 43.0 |
Sweet potato vines | 86.8 | 13.3 | 17.2 | 60.2 |
| By-products b | ||||
Bagasse | 3.9–4.7 | 2.9–6.9 | 10.3–39.3 | 49.0 |
Brewers qrains | 9.8–10.8 | 24.0–27.4 | 15.9–17.1 | 60.0 |
Cocoa pod husks | 89.6 | 6.0 | 31.5 | 45.0 |
Coconut cake c | 10.0 | 18.0 | 12.0 | 78.0 |
Coffee seed hulls | 8.0 | 6.9 | 45.6 | 31.0 |
Molasses | 24.5 | 1.6 | - | 90.0 |
Palm kernel cake d | 5.7 | 14.2 | 20.2 | 66.8 |
Palm oil mill | ||||
effluent | 78.0–89.0 | 9.6 | 11.5 | 58.1–64.2 |
Palm press fibre | 13.8 | 4.0 | 36.4 | 30.8 |
Pineapple waste | 6.8 | 4.9 | 20.8 | 76.0 |
Poultry litter | 6.4 | 40.4–45.7 | 18.0–21.2 | 54.2 |
Rice bran | 9.3–11.4 | 11.4–17.4 | 10.4–20.0 | 62.0 |
Rice hulls | 6.7–9.7 | 1.5–2.8 | 14.3–41.4 | 37.0 |
Wheat middlings | 12.7 | 20.5 | 9.0 | 69.0–71.4 |
Note: a On dry matter basis.
b Includes non-conventional feeds.
c Expeller pressed.
d Solvent extracted.
Table 4. Approximate Percentage of Local Feedstuffs Used by Feed Manufacturers, Selected Asian Countries
| Country | Utilization of Feedstuffs of Local Origin in the Manufacture of Animal Feed |
| China | 95 |
| Bangladesh | 90 |
| India | 95 |
| Indonesia | 80 |
| Malaysia | 30 |
| Pakistan | 95 |
| Philippines | 65 |
| Sri Lanka | 50 |
| Thailand | 95 |
The situation is exemplified by India where it has been estimated that there was a shortage of 8.5 million mt of concentrates (44 percent), 38.4 million mt of dry fodder (11 mt) and 129.4 million mt of green fodder (38.4 percent) for dairy animals. The National Commission on Agriculture (1976) report also indicated that only 70 percent of digestible crude protein (DCP) requirement of dairy animals, 50 percent of the requirement of dry animals, 40 percent of the requirement of adult cattle and about 20 percent of the requirement of young cattle were being met from the available feds. This situation has been projected to continue up to the turn of the century (National Commission on Agriculture, 1976).
A similar situation also exists in Pakistan where despite the availability of 14.2 million mt of total digestible nutrients (TDN) and 1.4 million tonnes of crude protein, there is still a deficit of 49 percent energy and 42 percent digestible crude protein (DCP).
Although feed shortages are apparent in India and Pakistan, in some countries such as in Malaysia (Devendra, 1982) or Sri Lanka (Ranjhan and Chadhokar, 1984), the feed resources are in excess of the requirements of farm animals (Devendra, 1982). A similar situation may also prevail in other countries in South East Asia.
STATUS OF CROP RESIDUES AND AGRO-INDUSTRIAL BY-PRODUCTS UTILIZATION
A review of the situation concerning crop residues and agro-industrial by-products utilization in the Asian region (Devendra, 1986) leads to the following observations.
1) There now exists substantial and adequate information on quantitative and, to a lesser extent, qualitative data on individual feeds in most countries except those in the South Pacific. Tables of feeding value exist in a number of countries, for example in India (Sen and Ray, 1971; Ranjhan and Kehra, 1976), Thailand (Holm, 1971), the Philippines (Zamora and Baguio, 1984), Malaysia (Devendra, 1975; 1979a) and Indonesia (Hartadi et al., 1980). More recently, and based on the available data, tables of feed composition applicable to South East Asia have been published (Harris et al., 1982).
2) Many of the feeds are common to most countries and variations in nutritive value are normal and attributable to locational differences. Demonstration of effective utilization in one country can enable application in another without resource to expensive duplication or repetition of previous effort.
3) Research programmes in most countries tend to focus mainly on the utilization of fibrous materials, especially cereal straws. The bulk of these have been concerned with the various options to use one or more alkalis (Doyle, 1982) without inadequate reference to cost-benefit effects.
4) The present position is that urea-ammonia treatment is the most promising chemical treatment technique. A parallel innovation is the use of urea-molasses block licks.
5) Very few studies have attempted to utilize fibrous feeds in the untreated form in combination with other ingredients. There is evidence in this context that supplementation with leguminous forages may be just as effective and more cost-effective than chemical pre-treatments.
6) The bulk of work done hitherto has been at the laboratory or station level. Only limited effort has been made to extend these to site-specific and real farm situations, notably in Bangladesh, India, Pakistan, Sri Lanka and Thailand. These extensions are in any case small scale and not altogether convincing.
7) The opportunities for much wider application of nutritional principles that can ensure more efficient utilization of crop residues, AIBP and NCFR especially in real farm situations are enormous, and need to be substantially expanded if ruminants are expected to make a bigger impact on current production.
QUANTITIES OF FEEDS PRODUCED
It is important to quantify the magnitude of the feeds produced in terms of AIBP and NCFR. This has been achieved by using published information on the land area and total yield of individual crops (FAO, 1982) in individual countries and extraction rates (Tables 5 and 6) to calculate the availability of individual crop by-products, AIBP and NCFR (Tables 7 and 8). The extraction Rates that have been applied are given in Tables 5 and 6, based on field results of the by-products generated. Table 5 gives the extraction rates of major by-products and these have been sub-divided from convenience into field crops and tree crops. The field crops include cereals, root crops and grain legumes, and include such examples as cassava, castor, cotton, groundnuts, linseed, maize, sesame, soyabean, sugarcane and wheat. The tree crops include cocoa, coconuts, rubber and sago. Not all of these are however, non-conventional, and Tables 5 and 6 indicate these. Table 6 gives the extraction rates of other non-conventional feedstuffs that are notably found in India and Pakistan.
Table 5. Major By-product Feeds from Tree and Field Crops with Approximate Extraction Rates, Asia and the Far East
| Crop | By-product Feed | Approximate Extraction Rate (percent) |
| Tree Crops | ||
| Cocoa (Theobroma cocoa) | Cocoa bean waste | 5– 10 |
| Cocoa pod husks | 70 | |
| Coconut (Cocos nucifera L.) Oil palm (Elaeis guineensis) | Coconut meal | 35 – 40 |
| Palm oil mill effluent(dry) | 2 | |
| palm kernel meal | 12 | |
| Rubber (Havea brasiliensis) | Rubber seed meal | 55 – 60 |
| Sago (Metroxylon sago) | Sago refuse | 55 |
| Field Crops | ||
| Castor (Ricinus communis L.) | Castor meal | 45 – 50 |
| Cotton (Grossypium spp.) | Cotton seed meal | 40 – 45 |
| Maize (Zea mays) | Maize bran | 8 – 10 |
| Maize germ meal | 16 – 18 | |
| Rice (Oryza sativa) | Broken rice | 4 – 5 |
| Rice bran | 10 | |
| Rice husk | 15 – 17 | |
| Rice straw | 100 a | |
| Sugarcane (Saccharum officinarum) | Bagasse | 12 – 15 |
| Green tops | 15 – 20 | |
| Molasses | 3 – 4 | |
| Cassava (Manihot esculenta Crantz) | Tapioca waste | 55 – 59 |
| Wheat (Triticum aestivum L.) | Wheat bran | 10 |
| Wheat straw | 100 a |
Note: a Devendra, 1976a, Implies equivalent weight t the yeild of grains.
Table 6. Minor By-product Feeds Various Sources, with Approximate Extraction Rates, Asia a
| Crop | By-product Feed | Approximate Extraction Rate (percent) |
| Plants | ||
| Cassava (Manihot esculenta Crants) | Cassava leaves | 6– 8 |
| Dhupa (Veteria indica) | Dhupa meal | 70 – 73 |
| Groundnut (Arachis hypogaea) | Groundnut vines | 41 – 57 |
| (Stems & leaves) | ||
| Groundnut meal | 53 – 57 | |
| Guar (Cyampsis psonaloides DC) | Guar meal | 70 – 80 |
| Kakan (Salvadoza oleoides) | Kakan meal | 55 – 58 |
| Karaj (Pohogomia pinnata) | Karaj meal | 55 – 60 |
| Kakum (Garcinia indica chois) | Kakum meal | 40 – 42 |
| Kusum (Schleichara oleosa) | Kusum meal | 67 – 70 |
| Mahura (Madhuka indica) | Mahua meal | 35 – 40 |
| Mango (Mangifera indica) | Mango kernel | 50 – 55 |
| Nahor (Mesua ferrca linnn.) | Nahor meal | 60 – 62 |
| Neem (Azadirachta indica) | Neem meal | 45 – 50 |
| Oak (Obercus dilatata) | Oak meal | 60 – 62 |
| Pineapple (Annanas comosus) | Pineapple waste | 60 – 80 |
| Pisa (Actinedaphne hooberi) | Pisa meal | 40 – 42 |
| Sal (Shorea robusta Gaerth) | Sal seed meal | 35 – 40 |
| Sesame (Sesammum indicum L.) | Sesame cake | 60 |
| Soyabean (Glycine soya) | Soya bean | 70 – 75 |
| Sweet potatoes (Ipomoea batatas) | Sweet potato vines (stems + leaves) | 24 – 35 |
| Tamarind (Tamarindus indica) | Tamarind seed hulls | 30 – 35 |
| Tamarind seed kernels | 60 – 65 | |
| Animals | ||
| Poultry | Poultry litter (dry) | 26.0 b |
| Ruminants | Blood meal | 0.6 c |
| Meat and bone meal (dry) | 25–30 d | |
| Rumen contents (wet) | 0.8 c |
Note: a Devendra and Raghavan, 1978.
b Based on a daily faecal production of 100g adult bird.
c Of the live weight.
d Of the weight of wet offals.
Table 7. Availability of By-Products from Field Crops in Asia and the Pacific a
(Unit: 1,000 mt)
| Country | Field Crop Castor | Cassava | Cotton | Maize | Rapeseed | Rice | Sugarcane | Total Availability | Percent of Total Production | |||||
| By-product Meal | Leaves | Waste | Seed meal | Germ meal | Stover | Bran | Meal | Broken | Husk | Bagasse | Green tops | |||
| Bangladesh | - | - | - | 5.1 | 0.2 | 0.7 | 37.5 | 73.5 | 945.0 | 3360.0 | 963.4 | 1243.3 | 6634.5 | 3.5 |
| Burma | - | 6.0 | 23.5 | 46.3 | 39.4 | 168.2 | 0.3 | 0.6 | 630.0 | 2240.0 | 338.4 | 433.7 | 3936.4 | 2.1 |
| D. Kumpuchea | - | 18.0 | 85.5 | 1.7 | 18.7 | 79.8 | - | - | 67.5 | 240.0 | 17.5 | 32.7 | 551.4 | 8.3 |
| India | 143.5 | 663.3 | 3173.2 | 1670.3 | 1106.0 | 4712.5 | 720.7 | 1417.8 | 3066.0 | 9520.0 | 24792.3 | 32138.2 | 83121.8 | 48.7 |
| Indonesia | - | 1536.6 | 7296.0 | 805.0 | 646.0 | 2755.0 | - | - | 1534.7 | 4774.6 | 2942.2 | 3814.0 | 25307.6 | 13.3 |
| Korea Rep. of | - | - | - | 1.3 | 19.9 | 34.8 | - | 6.1 | 328.9 | 1169.3 | - | - | 1610.3 | 0.8 |
| Laos | - | 8.6 | 41.0 | 6.3 | 5.6 | 23.9 | - | - | 53.2 | 189.4 | 4.1 | 5.3 | 337.9 | 0.2 |
| Malaysia | - | 45.0 | 213.8 | - | 1.5 | 6.5 | - | - | 92.8 | 329.9 | 114.8 | 143.0 | 953.1 | 0.5 |
| Nepal | - | - | - | - | 104.0 | 443.7 | - | - | 103.5 | 368.0 | 5.3 | 65.5 | 1137.0 | 0.6 |
| Pakistan | 16.6 | - | - | 1008.5 | 161.5 | 688.8 | 72.6 | 142.8 | 225.0 | 866.0 | 4938.3 | 6401.5 | 11455.6 | 7.6 |
| Philippines | 11.9 | 276.1 | 1311.0 | 6.4 | 590.8 | 2519.4 | - | - | 315.6 | 1335.4 | 2835.0 | 3675.0 | 12936.6 | 6.8 |
| Sri Lanka | - | 60.0 | 285.0 | 5.1 | 3.9 | 16.7 | - | - | 96.8 | 344.6 | 50.0 | 65.1 | 926.6 | 0.5 |
| Thailand | 15.2 | 2521.0 | 11970.0 | 51.4 | 510.7 | 2177.9 | - | - | 787.0 | 2800.0 | 4077.0 | 6285.0 | 30195.7 | 15.9 |
| Vietnam | 1.0 | 319.9 | 1519.0 | 2.1 | 82.7 | 253.1 | - | - | 420.1 | 2204.8 | 594.5 | 770.0 | 6466.7 | 3.4 |
| Fiji | - | 11.4 | 54.2 | - | 0.7 | 2.9 | - | - | 0.8 | 2.7 | 549.5 | 712.3 | 1334.5 | 0.7 |
| Papua New Guinea | - | 11.8 | 55.9 | - | - | - | - | - | - | 0.3 | 17.4 | 22.5 | 107.6 | 0.1 |
| Total | 188.2 | 5482.7 | 26028.1 | 2813.5 | 3290.6 | 13933.9 | 831.1 | 1640.8 | 3921.4 | 29618.1 | 42285.2 | 54808.9 | 189902.0 | 100.0 |
Note: a Calculated from FAO Production Yearbook.
Table 8. Availability of By-Products from Tree Crops in Asia and the Pacific a
(Unit: 1,000 mt)
| Country | Tree Crop | Cocoa | Oil Palm | Rubber b | Total | Percent of Total Production | |||
| By-product | Bean waste | Pods husks | Palm press fibre | Kernel meal | Palm oil mill effluent (Dry) | Seed meal | |||
| Indoneisa | 1.1 | 10.5 | 390.4 | 65.0 | 65.0 | 64.9 | 596.9 | 14.2 | |
| Malaysia | 6.8 | 21.8 | 2415.8 | 402.5 | 402.5 | 158.5 | 3417.6 | 81.2 | |
| Philippines | 0.6 | 1.8 | 6.7 | 1.1 | 1.1 | 11.3 | 0.3 | ||
| Sri Lanka | 0.3 | 0.9 | 10.6 | 11.8 | 0.3 | ||||
| Thailand | 20.3 | 3.4 | 3.4 | 30.8 | 57.9 | 1.4 | |||
| Papua New Guinea | 4.7 | 14.0 | 76.1 | 12.7 | 107.5 | 2.6 | |||
| Total | 13.5 | 58.7 | 2909.3 | 484.7 | 412.0 | 264.8 | 4203.0 | 100.0 | |
Note: a Calculated from FAO Production Yearbook (1982).
Table 9. Estimated Annual Production of Nutrients in Poultry Excreta in Asia and The Pacific, 1985 a
(Unit: 1,000 mt per year)
| Country b | Poultry excreta production | Organic matter | Crude protein (N × 6.25) | TDN |
| Bangladesh | 460 | 336.0 | 112.0 | 343.0 |
| Burma | 224.4 | 163.2 | 54.4 | 166.6 |
| China | 8982.6 | 6532.8 | 2177.6 | 6668.9 |
| India | 1069.2 | 777.6 | 259.2 | 793.8 |
| Indonesia | 950.4 | 691.2 | 230.4 | 705.6 |
| Kampuchea | 39.6 | 28.8 | 9.6 | 29.4 |
| Korea Rep. of | 343.2 | 249.6 | 83.2 | 254.8 |
| Laos | 39.6 | 28.8 | 9.6 | 29.4 |
| Malaysia | 363.0 | 264.0 | 140.8 | 269.5 |
| Nepal | 165.0 | 120.0 | 40.0 | 122.5 |
| Pakistan | 627.0 | 456.0 | 152.0 | 465.5 |
| Philippines | 376.2 | 273.6 | 91.2 | 279.3 |
| Sri Lanka | 46.2 | 33.6 | 11.2 | 34.3 |
| Thailand | 508.2 | 369.6 | 123.2 | 377.3 |
| Vietnam | 462.0 | 336.0 | 112.0 | 343.0 |
| Fiji | 6.5 | 4.8 | 1.6 | 4.9 |
| Papua New Guinea | 26.4 | 19.2 | 6.4 | 19.6 |
| Total | 14,689.6 | 10,684.8 | 3,614.4 | 10,907.4 |
Note: a Based on an annual production of 90 g of faeces/bird/day equivalent to 6.6 kg dry matter/bird/year, 4.8 kg organic matter/bird/year, 1.6 kg crude protein (N × 6.25) bird/year and 4.9 kg TDN/bird/year.
b Calculations based on populations of chickens according to FAO (1986).
It is apparent that from field, plantation and tree crops alone, the total availability of by-products is approximately 432 million mt. Of this total, it is estimated that about 190 millions mt or 44.0 percent are non-conventional which represents an enormous reservoir of NCFR (Devendra, 1985).
It is stressed however, that the generation of NCFR is very much higher than these figures suggest, as Tables 7 and 8 do not include the production from a variety of other field crops (Table 6) statistics about which are not available in the FAO data. Additionally, there are also residues and wastes from animal sources and the processing of food for human consumption which have not been included.
It is of interest to note from the data in Tables 7 and 8 that approximately 80 percent of the NCFR in field crops and 93 percent of the feeds in tree crops cultivation are principally suited for feeding ruminants. The utilization of these feeds by ruminants thus represents a most important function of the ruminant animals in the Asian region. These animals may, at the present time, be making the most efficient use of some of these feeds.
In view of the presence of large poultry populations throughout Asia, and the importance of poultry litter as an important source of nitrogen, especially for feeding ruminants, with the implications of reduced cost of feeding and imports of preformed protein sources, Table 9 presents calculations on the extent of this production in terms of crude protein and energy (expressed as TDN) supply.
CURRENT CONSTRAINTS TO UTILIZATION
The NCFR are presently underutilized due to several reasons:
In addition to these and with specific reference to NCFR utilization, there are additional major constraints that merit attention:
UTILIZATION
Particular attention is drawn to the optimum levels of utilization of individual feeds, since in the formulation of practical balanced diets for feeding individual farm animals, one immediate consideration is the technically optimum level of the feed which can be used to advantage. The question brings to bear the importance of the more fundamental aspects of research on the nutritive value of individual by-products, from chemical analysis, digestibility and balance studies to practical feeding trials that can relate optimum levels of individual by-products to feed efficiency and animal product output.
Table 10 brings together the available information from practical feeding trials where graded levels of 15 non-conventional feedstuffs were used. The identification of optimum levels was based on the results of these studies. Thus, a 30-percent level of poultry excreta would appear to be optimal for ruminants and 5– 10 percent for poultry. With oil palm by-products the optimum level of inclusion in ruminant diets is 30–40 percent. With rubber seed meal, the corresponding level for all species of livestock in India, Malaysia and Sri Lanka appears to be 20 percent. In India, cows and bulls appear to tolerate an optimum level of 40 percent sal seed meal.
Table 10. Optimum Level of Utilization of Some Important By-Products in Diets for Farm Animals in Asia
| Non-conventional Feedstuffs | Species | Location | Oprimum Level of Inclusion In Diet (%) | Reference |
| Animals | ||||
| Blood meal | Pigs | Malaysia | 3 | Hew and Devendra (1977) |
| Poultry excreta | Poultry | Malaysia | 5 – 10 | Ng and Hut agalung (1974) |
| Poultry | India | 15 | Ann. Rpt. I.C.A.R. (1983) | |
| Sheep | Malaysia | 20 – 30 | Devendra (1976b) | |
| Cows | Thailand | 30 | Tinnimit (1977) | |
| Plants | ||||
| Cocoa | ||||
| Cocoa pods husk | Sheep | Malaysia | 30 | Devendra (1977b) |
| Mango | Calves | India | 20 | Patel and Patel (1971) |
| Mango seed kernel | Bullocks | India | 40 | Patel, Patel and Talapada (1972) |
| Cows | India | 10 | Ann. Rpt. I.C.A.R.(1983) | |
| Oil palm | ||||
| Palm oil mill effluent | Sheep | Malaysia | 40 | Devendra and Muthurajah (1976) |
| Palm press fibre | Sheep | Malaysia | 30 | Devendra and Muthurajah (1976) |
| Palm oil solids | Poultry and Pigs | Malaysia | 10 – 15 | Devendra, Yeong and Ong (1982) |
| Pineapple | ||||
| Pineapple bran | Poultry | Malaysia | 15 | Ng and Hut agalung (1974) |
| Rice | ||||
| Rice husk | Sheep | Malaysia | 5 | Devendra (1977a) |
| Rubber | ||||
| Rubber seed meal | Pigs | Malaysia | 20 | Ong and Yeong (1977) |
| Poultry | Sri Lanka | 20 | Buvanendran and Siriwardene (1970) | |
| Poultry | Sri Lanka | 20 | Rajaguru (1973) | |
| Calves and Cows | India | 20 | Ann. Rpt. (1975–76) | |
| Calves | India | 30 | Ann. Rpt. I.C.A.R. (1983) | |
| Cows | India | 25 | Ann. Rpt. I.C.A.R. (1983) | |
| Sal | ||||
| Sal seed meal (untreated) | Poultry | India | 5 | Verma (1970) |
| Sal seed meal (treated) | Poultry | India | 20 | Sharma, Wah and Jakson (1977) |
| Cows | India | 30 | Sonwane and Mudgal (1974) | |
| Bulls | India | 40 | Shukla and Talapada (1973) | |
| Pigs | India | 40 | Pathak and Ranjhan (1973) | |
| Spent tea leaf | Calves | Sri Lanka | 17 | Jayasuriya, Panditharetne and Roberts (1978) |
| Calves | India | 20 | Ann. Rpt. I.C.A.R. (1983) | |
| Sugarcane | ||||
| Bagasse (untreated) | Bullocks | Pakistan | 10 | Khan, Qazi and Schneider (1962) |
| Baqasse (treated) | Sheep | Malaysia | 20 – 30 | Devendra (1979b) |
| Sun hemp | ||||
| Sun hemp leaves | Poultry | India | 8 | Reddy, Rao and Subhan (1970) |
| Tamarind | ||||
| Tamarind seed hulls | Calves | India | 10 – 15 | Reddy, Reddy and Reddy (1979) |
| Calves | India | 25 | Ann. Rpt. I.C.A.R. (1983) | |
| Water hyacinth | ||||
| Water hyacinth meal | Calves | India | 10 – 20 | Reddy and Reddy (1979) |
| Water melon | ||||
| Water melon cake | Calves | India | 20 | Sastry, Singh and Dutt (1973) |
Source : Devendra, 1985.
These optimal level of inclusion represent an approximation of the amounts that are likely to promote good response in the animals. The levels will be influenced, no doubt, by other ingredients in the diet and by the ability of individual species to utilize these materials. The removal of toxic or deleterious components is, of course, important in this context.
With specific reference to poultry litter, in recent years, considerable research and development effort has been directed in Pakistan at increasing the use of poultry litter, especially in diets for ruminants. The two principal advantages that have been demonstrated are, firstly, potential increased use of an available feed, and secondly substantial reduction in the cost of milk production when the diet is formulated from mainly local feeds.
Based on the experience in Pakistan, it is relevant to draw attention to the following issues (Iqbal Shah and Mueller, 1983):
It is relevant to emphasize that there are different types of poultry litter, depending on the type of bedding material used, e.g., saw dust, bagasse, rice or what straw. These differences are also reflected in the variable performance in ruminants, for example, with growing calves in India (Parathasarthy and Pradhan, 1985).
Recently, a very useful study was completed in the Philippines on the utilization of leucaena leaf meal (LLM) and dried poultry litter (DPL) in rice straw-based diets on the life time performance of 20 crossbred dairy cattle over a four year period. The results of this study are summarized in Table 11 adapted from Trung et al. (1987).
The results indicate that although there were no treatment effects, except for total solids (%), inclusion of LLM and DPL gave satisfactory growth rates (0.40 – 0.46 kg/day) and also total milk yields. In particular, the study shows that there were definite economic advantages due to the inclusion of LLM and DPL during both the growth and lactation phases. It has been suggested that the combined inclusion of 23 percent each of LLM and DPL was beneficial.