Kew Mahn Chee1
INTRODUCTION
The animal industry in the Rep. of Korea has been growing very fast at 8.6 percent annually. In comparison, the rate of growth of other agricultural industries was only about 2.3 percent annually during the last decade. This rapid growth in the animal industry is due to an increasing demand for animal products as GNP per capita has improved from $234 in 1970 to $2,032 in 1984.
Total meat and milk consumption per person in 1970 were 5.3 and 1.6 kg, respectively. Fourteen years later, these figures were already 14.1 and 20.5 kg, in that order (Table 1). In 1984, the amount of caloric intake from animal products was 100 Kcal per capita per day, compared to 66 Kcal in 1970. As a result, the proportion of income per farm household from raising animals increased from 7.5 percent in 1975 to 17.0 percent in 1985.
The major species of livestock and poultry in the country are Korean native cattle (Bos taurus chosenus), beef cattle, dairy cattle, swine and chicken. The populations of others such as ducks, goats, horse, sheep, rabbit and turkey are very small. Korean native cattle are now being raised primarily for beef production, except for a very limited number being raised still for draft in high mountain areas. The population of native cattle in 1984 was 2,652 × 103, which doubled from 1970. However, they are now being replaced by dairy cattle (Table 2).
The modern imported breeds of beef cattle in the country are Aberdeen Angus, Hereford and Charolais. Charolais is becoming popular these days. The population of these breeds in 1981 was 28.53 × 103.
The dairy industry has likewise made remarkable progress even with its very short history of 20 years. Because of a strong demand for dairy cattle, some 92,000 head were imported during the period 1962 to 1982. The population in 1984 was 334,000 head compared to 23,000 head in 1970. However, the average number of dairy cattle per farm has hardly changed, i.e., 7.6 vs 8.9 for 1970 and 1987, respectively (Table 3).
The average milk yield per cow per year has remarkably improved from 3,200 kg in 1961 to 5,620 kg in 1982, mainly due to improvement in management and breeding. The Holstein cow is a dominant breed in the country. Per capita milk consumption was 10.54 kg in 1984, which was about 13 times greater than in 1970.
1 Professor, Department of Animal Science, College of Agriculture, Korea University, Seoul.
The pig industry has also achieved a greater expansion in recent years. Pork was the main means of satisfying the increasing demand for animal products. The per capita consumption of pork increased from 2.63 kg in 1970 to 8.37 kg in 1984. The pig population almost tripled from 1,121 × 103 in 1984. However, the average size per farm is still not big enough for efficient farm operation with an average of 81.4 head each in 1984, compared to 1.6 in 1970.
Two major breeds of pigs are Landrace and Yorkshire. For commercial production, the three-way crossing among Landrace, Yorkshire and Doruc is most popular. The period required to reach market weight (90 kg) improved from 160 days in 1970 to 154 days in 1980, and feed consumption per kg body weight gain decreased from 3.3 kg in 1970 to 3.0 kg in 1980.
Poultry industry is considered the most stabilized of all the livestock industries. They achieved fastest growth in the past 40 years, and experienced earlier than the other industries the ups and downs in repeating business cycles.
Since 1970, poultry farmers began to industrialize their stock. In 1983, 47.2 percent of total chicken population were raised in farms with more than 10,000 birds each. The population of layers grew to 28.9 million in 1984 from 23.6 million in 1970. The annual consumption of egg per capita increased from 4.4 kg in 1970 to 6.7 kg in 1984. The egg consumption level is expected to peak in 1987 at 8.2 kg per capita and plateau at that level.
The major strains of commercial egg producers are Arbor Acres, Babcock, Hyline, Hisex, Shaver, Starcross, Warren and domestically bred strain such as Marina. The strains for broilers are such imported ones as Pilch, Arbor Acres, Hubbard and domestically bred ones such as Maniker. The layers and broilers are totally dependent on formula feeds manufactured by local feed millers.
AVAILABILITY OF FEED RESOURCES
The total agricultural land in the country represents about 23 percent which is approximately 9.9 × 10 ha. Much of the crops produced from cultivated lands are used directly for human consumption rather than for livestock. Grains, pulses, root crops, oil crops, vegetables and fruits are major products from cultivated land.
The production of rice has increased to 7.97 × 103 mt in 1984, compared to 3.99 × 103 mt in 1970. This means a large output of by-products: straw and bran. The production of barley, wheat, sorghum, sweet potatoes and potatoes in comparison, decreased considerably.
Table 1. Demand Projection for Animal Products
(Unit: kg)
| Item | 1970 | 1984 | 1987 | 1991 |
| Total meat | 5.3 | 14.1 | 15.3 | 17.8 |
Beef | 1.2 | 2.6 | 3.4 | 3.9 |
Pork | 2.6 | 8.4 | 8.7 | 10.3 |
Poultry | 1.4 | 3.0 | 3.2 | 3.6 |
| Egg | 4.4 | 6.7 | 8.2 | 8.1 |
| Milk | 1.6 | 20.5 | 31.0 | 44.3 |
Table 2. Projection of Animal Population
(Unit: 1,000 head or birds)
| Item | 1970 | 1980 | 1987 | 1991 |
| Total cattle | 1,297 | 2,652 | 2,748 | 2,777 |
Korean beef | 1,274 | 2,318 | 2,265 | 2,094 |
Dairy | 23 | 334 | 483 | 683 |
| Swine | 1,121 | 2,958 | 3,600 | 4,495 |
| Poultry | 23,477 | 44,639 | 58,030 | 65,160 |
Table 3. Average Animal Numbers per Farm
(Unit : No. Animals)
| Item | 1970 | 1984 |
| Korean cattle | 1.2 | 2.2 |
| Beef cattle | 3.3 | -- |
| Dairy cattle | 7.6 | 8.9 |
| Swine | 1.3 | 8.2 |
| Poultry | 18.0 | 126.7 |
Table 4. Land Use in the Republic of Korea
| Land Utilization | Extention (1,000 ha) | Percent |
| Cultivated land | 2,195,822.1 | 22.1 |
Paddy | 1,306,789.0 | (13.2) |
Upland | 889,033.1 | (9.0) |
| Forest | 6,567,772.0 | 66.2 |
| Others | 1,135,639.9 | 11.5 |
| Total | 9,899,234.0 | 100.0 |
Rice straw is preferred among cattle farmers as a source of crude fiber. The straw is mostly processed, i.e., ammoniation, NaOH processing or ensiling with poultry mature2 for better utilization.
Fodder crops and pasture have been the focus of government support in an effort to improve supply rate of feedstuffs. Consequently, the available amount of ME and CP from the resources doubled in 1984 compared to the 1970 figure. The major fodder crops in the country are corn, barley, rye and oats. The nutrients from hay are also included in this category.
The quantity of nutrients from agro-industrial by-products also increased significantly in 1984 due to industrialization and its development in per capita income of the Koreans. The by-products from grain processing are mostly rice and wheat bran. The quantity of the latter is about four times more than that of the former for both years. Much of the wheat supply, however, is imported.
The vegetable oil industry by-products are composed of soybean oil meal (93 percent); perilla seed oil meal (3 percent); sesame seed oil meal (2 percent); and rape seed oil meal (1 percent) in 1984. The sources of other by-products are fish meal, meat and bone meal, bone meal, feaather meal and tallow.
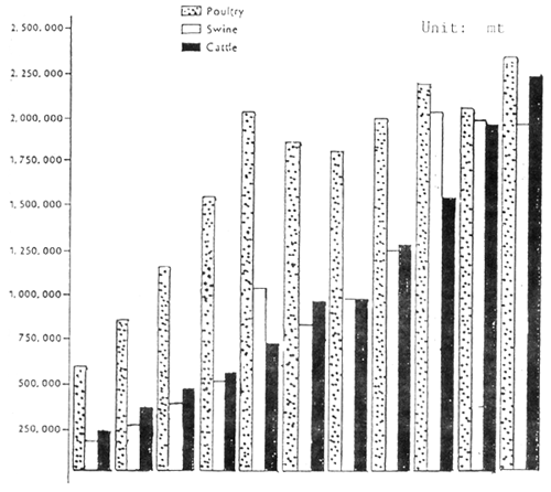
The development of the formula feed industry is a major breakthrough in feed manufacture. There are two major organizations of feed millers in the country: the Korea Feed Association (KFA) and National Livestock Cooperatives Federation (NLCF). The KFA operated 63 feed mills and NLCF 16 feed mills in 1985. Their shares for production capacity were 82 percent for KFA and 18 percent for NLCF in 1985. The total production capacity of all the feed mills was 6,451 × 103 mt per year in 1985 on the basis of 8-hour operation daily. The distribution of formula feeds among the livestock species in 1985 was 36 percent for poultry; 30 percent for swine; 19 percent for beef cattle; and 15 percent for dairy cattle (Table 5).
The total amount of nutrients available, by source, as shown in Table 6 were corrected to prevent duplication of the amount of nutrients already counted in calculation. In other words, the by-products of oil industries were considered utilized completely for the production for formula feed and those from grain industries were assumed to be utilized only at a level of 70 percent. The other 30 percent were assumed to be used also as feed resources, but not as a part of formula feed. Therefore, it appears that Korea had 7,486.1 × 103 Mcal ME and 384.5 × 103 mt crude protein in 1970 and 26,647.8 × 106 Mcal ME and 1,505.4 × 103 mt crude protein in 1984 as available nutrients for livestock and poultry.
Table 5. Formula Feed Production, by Kind of Livestock
(Unit: mt)
| Year | Poultry | Swine | Dairy Cattle | Beef Cattle | Others | Total |
| 1975 | 568,566 | 135,505 | 150,671 | 33,495 | 12,758 | 900,995 |
| 1976 | 867,810 | 207,074 | 173,004 | 43,549 | 90,081 | 1,381,526 |
| 1977 | 1,154,924 | 350,236 | 265,707 | 95,528 | 32,295 | 1,898,690 |
| 1978 | 1,638,554 | 498,110 | 320,728 | 233,088 | 2,625 | 2,693,105 |
| 1979 | 2,043,569 | 1,129,895 | 438,512 | 266,206 | 2,053 | 3,880,235 |
| 1980 | 1,871,852 | 769,357 | 512,541 | 306,333 | 1,335 | 3,462,418 |
| 1981 | 1,842,072 | 761,204 | 470,831 | 414,699 | 1,650 | 3,490,456 |
| 1982 | 1,979,841 | 1,150,528 | 592,346 | 692,739 | 4,347 | 4,419,801 |
| 1983 | 2,245,621 | 2,103,007 | 709,936 | 870,595 | 12,427 | 5,851,586 |
| 1984 | 2,064,866 | 1,987,411 | 852,589 | 1,072,394 | 7,699 | 5,984,959 |
| 1985 | 2,309,726 | 1,923,692 | 994,282 | 1,209,042 | 25,504 | 6,456,246 |
Table 6. Total Nutrient Availability, by Source
| Item | 1970 | 1984 | ||
| ME | CP | ME | CP | |
| Crop residue | 1,853.7 | 70.1 | 2,566.1 | 63.0 |
| Fodder crops | 2,168.7 | 136.1 | 5,187.3 | 325.9 |
| Vegetable crops | 1.1 | 0.3 | 4.3 | 1.3 |
| Permanent pasture/ rough grazing | 1,147.2 | 72.7 | 1,226.1 | 141.1 |
| Agro-industrial by-products | ||||
Grain processing | 292.8 | 18.3 | 1,361.3 | 82.6 |
Oil industry | 170.2 | 29.4 | 1,216.8 | 209.2 |
Other food industry | 77.5 | 14.1 | 299.0 | 54.0 |
| Formula feed | 1,150.1 | 85.7 | 15,956.6 | 895 |
| Total | 7,861.3 | 426.7 | 28.817.5 | 1.772.4 |
| Corrected total | 7,486.1 | 384.5 | 26,647.8 | 1505.4 |

Figure 1. Total Formula Feed Production

Figure 2. Trend of Feed Production, by Kind

Figure 3. Government Plan for Feed Supply,1987
LIVESTOCK NUTRIENT REQUIREMENTS
The nutrient requirements for each cattle group were calculated on yearly basis and the amount was combined on the basis of distribution ration of the population to obtain mean nutrient requirements per cattle per year, which were crude protein 153.2 kg and ME 4,228.9 Mcal (Table 7).
Nutrient requirements for dairy cattle were calculated based on the same principle as for the Korean cattle. Total periods for lactation and gestation were assumed to be 12 months. Average milk yield per day was 15 kg with milk fat 3.0 percent. The total mean nutrient requirements per cattle per year were 406.5 kg for CP and 8,352 Mcal for ME.
For sheep, goat and horse, only two age groups, i.e., adult and young, were considered to be distributed equally among the populations. Loctation and gestation periods were taken into account only for goat. The total nutrient requirements for sheep per year were 42.5 kg CP and 941.7 Mcal ME and for goat 6,609 kg CP and 1,252.8 Mcal ME. The requirements for horse were 328.5 kg CP and 7,470 Mcal ME.
For swine, the adult ones were assumed to be 10 percent of the population. They were also assumed to have 1.8 cycles of lactation and gestation per year for a total period of special care for 60 days. The young ones were assumed to be fattened for a market weight of 90 kg during 160 days with a feed conversion ratio of 4.0. They were also assumed to be turned over 1.8 cycles per year. The total mean requirements per pig per year were 106.95 kg CP and 2,200.6 Mcal ME.
Laying hens were assumed to be composed of a group of first year and another group of second year at equal ratio of the population. The average feed intake of the two groups was calculated at 42.5 kg/bird/year. Broilers were assumed recycled four times a year. The mean total nutrient requirements for layers per year were 6.6 kg CP, and 123.3 Mcal and for broilers 4 kg CP and 64 Mcal ME.
Ducks were assumed to have adult and young populations at one to one ratio. The total mean nutrient requirements/bird per year were 10.64 kg CP and 201.9 Mcal. (Details of these calculations are reported in the Appendix.)
Table 8 shows the total nutrient requirements, by species, in the country in 1970 and 1984. The ME requirements for 1970 and 1984 were 11,756.3 × 106 Mcal and 24,307.5 × 106 Mcal, respectively. Requirements for CP were 518.5 × 103 mt for 1970 and 1,093.2 for 1984.
FEED BALANCE
Table 9 shows a summary of feed balances between the amounts available and the amounts required to support the inventory of livestock and poultry at nutritionally optimum levels.
Table 7. Nutrient Requirements, by Species, per Head per Year
| Item | ME (Mcal) | CP (kg) |
| Korean beef cattle | 4,229 | 153 |
| Dairy cattle | 8,352 | 407 |
| Horse | 7,470 | 329 |
| Sheep | 942 | 43 |
| Goat | 1,253 | 66 |
| Swine | 2,201 | 107 |
| Laying hen | 123 | 6.6 |
| Broiler | 64 | 4.0 |
| Duck | 202 | 10.6 |
Table 8. Total Nutrient Requirements, by Species
(Unit: ME, 10 Mcal, CP, 10 m/t)
| Item | 1970 | 1984 | ||
| ME | CP | ME | CP | |
| Beef cattle | 5,438.4 | 197.0 | 9,802.6 | 355.1 |
| Dairy cattle | 157.2 | 7.7 | 2,792.5 | 135.9 |
| Swine | 2,944.4 | 143.1 | 6,509.4 | 316.4 |
| Horse | 131.8 | 5.8 | 22.3 | 1.0 |
| Goat | 124.5 | 6.6 | 482.3 | 25.4 |
| Sheep | 2.3 | 0.1 | 4.4 | 0.2 |
| Poultry | ||||
| Layer | 2,915.6 | 156.1 | 3,717.0 | 199.0 |
| Broiler | -- | -- | 906.1 | 56.6 |
| Duck | 42.1 | 2.1 | 70.9 | 3.6 |
| Total | 11,756.3 | 518.5 | 24,307.5 | 1,093.2 |
Table 9. Summary of Feed Balances
| Available | Required | Balance | |||
| 1970 | ME × 10 | Mcal | 7,486.1 | 11,756.3 | -4,270.2 |
| CP × 10 | M/T | 384.5 | 518.5 | -134.0 | |
| 1984 | ME × 10 | Mcal | 26,647.8 | 24,307.5 | +2,340.3 |
| CP × 10 | M/T | 1,505.4 | 1,093.2 | +412.2 |
The country could not supply enough energy and protein for livestock and poultry for optimal nutrition in 1970. However, in 1984, the amounts of available nutrients were found in excess, compared to their requirements.
The balances for energy between the amount available and required were -4,270.2 × 106 Mcal for 1972 and +2,340.3 × 106 in 1984 and those for crude protein were -134.0 × 103 mt and +412.2 × 103 mt in 1984. In terms of proportion of requirements, ME and CP deficiencies in 1970 were 36 percent and 26 percent, respectively, and their excessive amounts in 1984 were 9.6 percent and 37.7 percent, for ME and CP.
CONCLUSION
This report was undertaken with many assumptions for some important parameters. Current national animal data were found too simple for this paper. A further detailed national survey for dynamic animal statistics in terms of proportions of age groups for all species, gestation and lactation conditions, number of recycles for swine and broilers is needed to measure more accurately the data for total requirements of nutrients. Also, a continuous study to have better estimation of the available nutrients should be carried out.
Data obtained from this type of study need to be applied in planning national policy for animal industries.
REFERENCES
Halmon, B.W., J.P. Fondant and K.E. Webb, Jr. 1975. Ensiled broiler litter forage. I. Fermentation characteristics. J. Anim, Sci. 40:144–155
Zell, J.H., M.T. Yokoyama, L.R. Shull, C.J. Flegal, J.D. Krehbiel, S.D. Sleight, J.R. Anstead, and W.T. Magee. 1983. Feeding of dehydrated poultry manure to steers on performance, blood and urine parameters and live drug-metabolizing enzyme activities. Can. J. Anim. Sci. 63: 381–389.
Molina, E., Z. Boza, and J.F. Aquilera. 1983. Nutritive value for ruminants of sugarcane, bagasee ensiled after spray treatment with different levels of NaOH. Anim. Feed. Sci. technol. 1: 1–17.
Orskow, E.R. G.W. Reid and I. McDonald. 1981. The effects of protein degradability and food intake on milk yield and compsotion in cows in early lactatiohn. Brit. J. Nutr. 45: 457–555.
Smith, L.W., G.F. Fries and T. Weinland 1979. Poultry excreta containing polychlorinated biphenyls as a protein supplement for lactating cows. J. Dairy Sci. 59: 465–474.
Thomas, P.C. 1983. Milk protein proc. Nutri. Soc. 42: 407–418.
Webb. K.E. and J.P. Fondant 1975. Medicinal drug residues in broiler litter and tissues from cattle fed litter. J. anim. Sci. 41: 1212–1217.
Appendix
CRITERIA FOR REQUIREMENT CALCULATIONS
Korean Cattle
3 age groups: adult (40%), 1–3 years (40%) & 100 kg (20%)
Adult (400 kg B.W.)
Maintenance
C.P. 0.4 kg/day
M.E. 9.8 Mcal/day
Lactation & gestation (total 7 months)
C.P. 0.52/kg/day
M.E. 14 Mcal/day
Adult average requirements for year
C.P. 171.2 kg
M.E. 4,459 Mcal
1–3 years (250 kg)
C.P. 0.38 kg/day, 142.4 kg/year
M.E. 13.7 Mcal/day, 5,000 Mcal/year
<100 kg
C.P. 0.38 kg/day, 138.7 kg/year
M.E. 6.1 Mcal/day, 2,226.5 Mcal/year
Total mean requirements/cattle/year
C.P. 153.2 kg
M.E. 4,228.9 Mcal
Dairy Cattle
3 age groups: the same as before
Adult (600 kg B.W.)
Maintenance
C.P. 0.558 kg/day
M.E. 16.84 Mcal/day
Lactation & gestation (total 12 months)
15 kg milk/day, milk fat 3.0%
C.P. 1.22 kg/day
M.E. 18.9 Mcal/day
Adult average requirements for year
C.P. 649.4 kg
M.E. 13,045.1 Mcal
1–3 years (350 kg)
C.P. 0.804 kg/day, 293.5 kg/year
M.E. 17.42 Mcal/day, 6,358.3 Mcal/year
<100 kg
C.P. 0.402 kg/day, 146.73 kg/year
M.E. 8.09 Mcal/day, 2,953 Mcal/year
Total mean requirements/cattle/year
C.P. 406.5 kg
M.E. 8,352 Mcal
Swine
Adult: 10 % of population
Lactation & gestation (total 60 days)
Feed intake 4.75 kg/day × 60 × 1.8 = 513 kg
Maintenance
C.P. (513 + 514) × 13% = 133.5 kg/year
M.E. (513 + 514) × 3.2 Mcal = 3,286.4 Mcal
Young: 160 days, 90 kg, feed conversion = 4.0
1.8 cycles/year
Feed intake 90 × 4 × 1.8 - 650 kg/year
C.P. 650 × 16% = 104 kg/year
M.E. 650 × 3.2 Mcal/year
Total mean requirements/pig/year
C.P. 106.95 kg
M.E. 2,200.6 Mcal
Chicken
Laying hen
Feed intake: 42.5 kg/bird/year
First year: 34 kg/bird
Second year: 52 kg/bird
C.P. 42.5 kg × 15.5% = 6.6 kg/year
M.E. 42.5 × 2.9 Mcal = 123.3 Mcal/year
Broiler
Feed intake: 20 kg/bird/year
5 kg diet/b/8 wks × 4 cycles/year
C.P. (20%) 4 kg/year
M.E. 3.2 Mcal/kg, 64 Mcal/year
Horse
Adult : Young = 1 :
Mature horse at medium work (500 kg B.W.)
C.P. 1.047 kg/day
M.E. 25.8 Mcal/day
Growing horse (325 kg)
C.P. 750 kg/day
M.E. 15.13 Mcal
Mean requirements for year
C.P. 328.5 kg
m.E. 7,470 Mcal
Duck
Layer : Young = 1 : 1
Layer
Feed intake/year 100 kg
C.P. 15%, 15 kg/year
M.E. 2.9 Mcal/kg diet, 290 Mcal/year
Young
C.P. 9.8 kg diet/8 wks × 4 cycles × 16% = 6.27 kg/year
M.E. 9.8 × 4 × 2.9 Mcal/kg diet = 113.7 Mcal/year
Total mean requirements/year
C.P. 10.64 kg
M.E. 201.9 Mcal
Sheep
Adult : Lamb = 1 : 1
Adult (60 kg)
C.P. 100 g/day
M.E. 2.2 Mcal/day
Lamb (40 kg)
C.P. 133 g/day
M.E. 2.96 Mcal/day
Total mean requirements per year
C.P. 42.5 kg
M.E. 941.7 Mcal
Goat
Adult : Young = 1 : 1
Adult (50–80 kg)
Maintenance
C.P. 180 g/day
M.E. 3.3 Mcal/day
Lactation & gestation (total 20 weeks)
C.P. 242 g/day
M.E. 4.3 Mcal/day
Adult average requirements per year
C.P. 74.38 kg/year
M.E. 1,344.5 Mcal
Young (30 kg)
C.P. 158 g/day, 57.8 kg/year
M.E. 3.18 Mcal/day, 1,161.1 Mcal/year
Total mean requirements per year
C.P. 66.09 kg
M.E. 1,252.8 Mcal
Nam-Hyung Lee4
SUMMARY
The process of the straw-manure silage (SMS) production involves treatment of chopped rice straw with 4 percent NaOh solution. The alkaki treated rice straw is then mixed with poultry manure and rice bran with final moisture content adjusted to about 70 percent. The mixture is packed in a silo for anaerobic fermentation. The major changes that occur during the ensiling of SMS were observed as follows: 1) rapid reduction of pH value during the first 10 days of fermentation; 2) destruction of potentially pathogenic microorganisms; 3) steady increase of total VGA content; 4) disappearance of malodor from poultry manure.
The mechanism of production of organic acid during ensiling was studied. The physiology and microbial taxonomic testing and Lactobacillus strains were isolated. Most of the strains was identified as rod type (0.5–1.0 × 3.8 u) which produce lactic acid and divided by the binary fission in the cell division. Heterofermentative lactis in SMS was more dominant than homofermentative lactis regardless of aging time of the silage. The long term feeding experiment of SMS to Korean native cattle and dairy cows were carried out to compare with conventional feeding group. The acceptability of SMS was excellent and the performance of animals in terms of body weight gain and feed conversion on the SMS diet was superior to chopped straw or straw pellet feeding group. Milk production and chemical composition of milk between SMS and maize silage group did not show significant differences. Reproductive and hematological performance were also studied in goats and dairy cows and there was no harmful effects on them. There was no was harmful effects on reproductive and hematological performance. In order to increase the efficiency of ensiling of SMS a compact silage mixer was fabricated. This compact silage mixer will require less manual work for SMS preparation.
INTRODUCTION
One of the most serious problems faced by livestock farmers in the Republic of Korea is the shortage and high-price of feedstuffs. It is estimated that over 70 percent of grains and grain by-products as ingredients for the concentrate feed is imported and there is a severe shortage of roughage for ruminant animals. Cellulosic agricultural by-products such as straws have large potential as ruminant feed. In the Rep. of Korea, about 10 mt of rice and barley straws are produced yearly. Among this only about 15 percent is currently used as ruminant feed. Some problems in the utilization of straw as animal feed are deficiencies in certain nutrients, low digestibility and poor acceptance by animals. Most native cattle fed mainly on rice straw during winter time are unable to maintain body weight and this aggravates the reproduction problem widespread in this breed. Another valuable resources available in large quantities but not utilized to the full extent is animal waste. Chemical analysis of most animal wastes show that they are rich in nitrogenous substances and minerals. The possibility of feeding processed waste materials have been amply demonstrated by the Korea Advanced Institute of Science and Technology (KAIST) as well as by others. Although there are many ways of treating waste materials and some large scale processing plants are already in operation in advanced countries, many limitation still exist both in nutritional and economic aspects. To eliminate both the problems of high cost and technical difficulties the KAIST has succeeded in producing silage which are specific for the straws and animal wastes.
ENSILING OF STRAW-MANURE
The KAIST laboratory has conducted a series of studies to develop a good quality feedstuff for ruminants from rice straw and animal wastes. The new feed is called straw-manure silage (SMS). Laying hen manure was initially selected because of its availability in large quantities in addition to the high nutrient content. In Table 1 is shown the materials used in the production of the SMS.
The process of SMS production is shown in Figure 1. It involves treatment of chopped rice straw with NaOH solution. Rice straw is chopped to the length of 5–10 cm and mixed with equal weight of 4 percent NaOH solution. The NaOH sprayed rice straw is covered with plastic film and left for at least 2 days so that the lignocellulosic compounds can be broken down by chemical reaction. The NaOh treated straw is then mixed with poultry manure and rice bran with final moisture content adjusted to about 70 percent. The mixture is then packed into a silo for anaerobic fermentation.
CHARACTERISTICS OF STRAW-MANURE SILAGE
The major changes that occurred during the anaerobic fermentation of SMS are shown in Figure 2 which indicates: 1) rapid reduction of pH value during the first 10 years of fermentation; 2) destruction of potentially pathogenic microorganisms within 10 days of fermentation; 3) steady increase in total VFA content; and 4) disappearance of malodor from poultry manure.

Figure 1. Process of Straw-manure Silage Production
Characteristics of Straw-manure silage: The major changes that occur during the anaerobic fermentation of SMS are shown in Figure 2 and they conclude: 1) rapid reduction of pH value during the first 10 days of fermentation, 2) destruction of potentially pathogenic microorganisms within 10 days of fermentation, 3) steady increase in total VFA content, and 4) disappearance of malodor from poultry manure.

Microbial count: total bacteria count (Log N) Total acidity: ml of 0.1N-NaOH solution to neutral silage juice Total VFA: ml of 0.1N-NaOH/ml of silage juice distillate
Figure 2. Major Changes that Occur during the Anaerobic Fermentation of Straw-Manure Silage
Table 1. Materials Used in the Production of Straw-Manure Silage a
| Raw Materials | Percent (ADM basis) |
| Chopped rice straw | 50 |
| NaOH | 2 |
| Rice bran | 30 |
| Laying hen manure | 20 |
Note: a Final moisture content, about 70 percent.
Table 2. Chemical Composition of Maize Silage and SMS
(Unit: DM percent except pH)
| Item | Maize silage | SMS |
| DM | 26.86 | 32.26 |
| Crude protein | 9.93 | 12.21 |
| Ether extract | 2.71 | 1.33 |
| Ash | 6.21 | 27.93 |
| Crude fiber | 26.89 | 24.33 |
| NDF | 53.86 | 55.65 |
| ADF | 32.37 | 41.11 |
| Cellulose | 26.24 | 25.40 |
| pH | 3.87 | 5.24 |
| Total VFA | 5.68 | 14.37 |
| Acetic acid | 2.58 | 4.06 |
| Propionic acid | 0.14 | 1.82 |
| Butyric acid | 0.06 | 3.45 |
| Isovaleric acid | 0.21 | 0.15 |
| Varleric acid | -- | 0.74 |
| Lactic acid | 2.04 | 4.12 |
Table 3. Feed Value of Straw-manure Silage Made from Various Animal Wastes in Sheep
| Wastes Feed Value | Wet Layer Manure | Broiler Litter | Pig Manure | Dry Layer Manure |
| DM intake (g/d) | 713.25 | 674.25 | 703.5 | 794.25 |
| DM intake per MBW (g) | 54.23 | 55.65 | 51.59 | 58.6 |
| Apparent digestibility (%) | ||||
DM | 55.22 | 57.11 | 53.74 | 52.41 |
OM | 57.77 | 59.8 | 56.35 | 55.22 |
NDF | 50.58 | 55.39 | 50.81 | 48.45 |
ADF | 40.88 | 52.96 | 45.62 | 43.66 |
C. protein a | 67.75 a | 63.71 ab | 61.79 b | 56.34 c |
DCP a | 9.99 a | 8.29 b | 7.97 bc | 6.80 c |
TDN | 53.4 | 54.5 | 53.6 | 50 |
| N balance (g/d) | 3.16 | 4.71 | 3.64 | 0.14 |
Note: a Significant difference at P 0.05.
The chemical composition of maize silage and SMS are presented in Table 2. The crude protein, ash, ADF, the pH value and the total VFA content are higher for the SMS while the maize silage has more readily available carbohydrate. The high pH value for the SMS may be due to the buffering capacity of various minerals in poultry manure and NaOH in treated straw.
An experiment was conducted to determine whether other animal wastes can be used in stead of laying hen manure because there are occasions when the laying hen manure is in short supply while other animal wastes are available in large quantities. Four different kinds of SMS were prepared and digestibility trial was conducted in sheep. The result is summarized in Table 3 and shows that there is no significant differences in feed intake, digestibilities of DM, OM, NDF and ADF and N balance among treatment groups indicating that pig manure and broiler litter can satisfactorily replace the wet laying hen manure in the production of SMS. However, the utilization of N on the dried layer manure is significantly lower than the other SMS feeding group.
The mechanism of production of organic acid during ensiling was studied concerning physiology and microbial method of Bergy's manual (1974) and Peterson (1969) (Table 4). Most of the strains isolated from SMS were identified as rod type (0.5–1.0 × 3.8 u) which produced lactic acid and divided by the binary fission in the cell morphology of microflora in SMS. The heterofermentative lactis in SMS is more dominant than homogermentative lactis regardless of aging time of silage (Table 5).
STRAW-MANURE SILAGE FEEDING TO KOREAN NATIVE CATTLE
Fifteen Korean native calves (3 months old) were used for feeding trial for 48 weeks. Rice straw (chopped into 3 to 5 cm length), alkali treated straw pellet (2–3 cm length, 1.5 cm diameter) and straw-manure silage were used as the only source of roughage. The concentrate feed was given at the rate of 1 percent of body weight. A typical result of feeding trial on native cattle is presented in Table 6 and shows that the acceptability of the SMS is excellent and the performance of animals in terms of daily body weight gain and feed conversion on the SMS diet is superior to the other group.
STRAW-MANURE SILAGE FEEDING TO DAILY CATTLE
The effect of maize silage and SMS feeding on the milking performance is given in Table 7. Ten Holstein cows, which have similar litter size, milk yield, and body weight were used for 140 days. The palatability of SMS is superior to that of maize silage. This result is similar with the report of Harmen et al (1975) indicating that a reason for the increase in Dm intake for the silage containing broiler litter may have been the bulk density of the materials. Daily milk production and the content of milk fat, SNF and lactose are similar for the two silage group. Several experiments have shown milk protein to increase through alteration in the amount and type of protein in the diet (Orskove et al 1981, Thomas 1983). These results indicate that the content of milk protein can be increased by giving the cow more ME, more starchy concentrates and more protein content rates of low rumen-degradability. In this experiment, milk protein in the SMS group is not significantly higher than in the maize silage group. The feed cost for kg milk protein was estimated at W192 and W173 for the maize silage and SMS feeding group, respectively.
Table 4. Microbial Taxonomic Testing and Lactobacillacae
| Taxonomic Testing | Result |
| Gram's staining | + |
| Cell morphology | Cocci and rod |
| Spore formation | - |
| Fermentation | + (acid) |
| Products | Lactic, acetic acid |
| CO2 production | +, - |
| Catalase | - |
| Productive form | Fission |
| Nutrient source | Heterotrophic |
| Division | The Bacteria |
| Family | Lactobacillaceae |
| I. Tribe | Streptococcaceae |
Genus | Streptococcus |
| II. Tribe | Pediococcus |
Genus | Lactobacillaceae |
| Lactobacillus |
Table 5. Effect of Aging Time of Silage on Characteristics of Fermentation
| Fermentative type | Aging Time | |
| 40 days | 60 days | |
| Homofermentative lactis | Cocci (1) | Cocci (-) |
| Rod (6) | Rod (8) | |
| Total (7) | Total (8) | |
| Heterofermentative lactis | Cocci (1) | Cocci (1) |
| Rod (9) | Rod (11) | |
| Total (10) | Total (12) | |
Table 6. A Typical Result of Feeding Trial on Korean Native Cattle for 48 Weeks
| Item | Straw-manure Silage | Rice Straw | Straw Pellet |
| Initial body weight | 128.0 | 131.0 | 128.0 |
| Final weight | 429.2 | 361.8 | 400.2 |
| Weight gain | 301.2 | 230.8 | 272.2 |
| Daily gain (1) | 0.896 a | 0.687 b | 0.810 a |
| Index | 100.0 | 77.0 | 90.0 |
| Daily feed intake | |||
Dry matter | 6.26 | 5.80 | 6.03 |
Concentrates | 2.49 | 2.22 | 2.30 |
Roughage | 3.77 | 3.58 | 3.73 |
| Feed conversion | 6.99 | 8.44 | 7.44 |
Table 7. Effect of Maize Silage and SMS Feeding on Milking Performance of Holstein Dairy Cows
| Item | Maize silage | SMS |
| Dairy milk production | 17.23 | 17.05 |
Milk fat | 4.06 | 4.19 |
Milk protein | 3.89 | 3.92 |
Lactose | 5.27 | 5.17 |
SNF | 10.36 | 10.35 |
| Feed intake (DM) | 17.12 | 18.27 |
Concentrate | 6.82 | 6.82 |
Silage (Wet) | 30.00 | 30.00 |
Silage (DM) | 8.31 | 9.32 |
Orchard hay | 1.99 | 2.13 |
| Feed cost/kg milk yield (Won) | 192.00 | 173.00 |
Index | 100.00 | 90.00 |
REPRODUCTIVE PERFORMANCE IN GOATS
A preliminary test was carried out to study the effect of SMS feeding on the reproductive performance in milking goats from June 1982 to April 1984. Wild grass in conventional group and SMS in silage group were fed ad libitum and 600 g of concentrate feed were fed daily. Table 8 shows the result for reproduction. The number of twins in the SMS group was double the conventional group. However, the number of singles in wild grass hey feeding group is observed to be more than SMS group. The birth weight and weaning weight of kids do not significant differences between treatments.
Health problems such as pathogens, parasites, heavy metals, drug residues and contamination of PCB were reported by using hen manure as a protein source. However, these problems were avoidable by suitable processing system by the reports of Webb and Fondant (1975) and Smith et al (1976). Sodium hydroxide treatment was also recognized as a tool of disinfectant by the report of Molina et al (1983). Kinzell et al (1983) reported that there was no clinical toxicity in the beef cattle fed 34.8 percent hen manure. In this experiment, no harmful effect of SMS on the reproductive performance of goats was observed.
BLOOD CHEMISTRY OF COW
The blood parameters of the cows fed with SMS is shown in Table 9. Blood parameters such as packed cell volume, hemoglobin, plasma protein and blood urea nitrogen are similar among maize silage and SMS feeding groups. However, cholesterol and alanine transaminase in the SMS group are lower than those in maize silage group. There is no chronicle pathogenity. Liver and kidney function are of normal range.
FABRICATION OF SMS MIXER
The prototype of the silage mixer in Table 10 was fabricated by the KAIST research group. The dimension of the compact silage mixer is small enough to be transported by a small vehicle. One autofeed bucket chain was installed in manure mixing tank. The manure mixing unit of the compact silage mixer was made detachable. The orientation of the rotating shaft was adjusted to perpendicular to the manure input hopper in order to prevent spillage of manure. The straw conveyor was accompanied by a winch which was designed for straw loading. The price of this compact silage mixer is estimated at W1,800,000 (US$2,200). This compact mixer will be a choice of recommendation for straw-manure silage processing.
Table 8. Effect of SMS on Reproductive Performance of Goats
| Parameter | Wild grass hay | SMS | Remarks |
| Experimental animal (No.) | 6 | 6 | (M/F) |
| No. of kinds | 10(6/4) | 12(10/2) | |
| Birth weight (kg) | 2.8 | 2.94 | |
Male | 2.95 | 3.23 | |
Female | 2.68 | 2.65 | |
| Weaning weight (kg) | 5.77 | 6.10 | at 3 weeks |
Male | 6.06 | 6.55 | |
Female | 5.47 | 5.65 | |
| Type of twin | |||
Triple | 1 | 1 | |
Twin | 2 | 4 | |
Single | 3 | 1 |
Table 9. Effect of SMS on Blood Parameters in Dairy Cows
| Parameter | Maize silage | SMS |
| Packed cell volume (percent) | 26.00 | 27.00 |
| Hemogiobin (g/dl) | 9.14 | 9.75 |
| Palsma protein (g/dl) | 7.60 | 7.70 |
| Plasma glucose (mg/dl) | 17.50 | 21.30 |
| Cholesterol (mg/dl) | 260.00 | 205.00 |
| Blood urea N (mg/dl) | 17.00 | 19.00 |
| Alanine transaminace (units/l) | 11.00 | 7.00 |
CONCLUSION
Straw-manure silage will be used as a roughage with high nutritional value instead of rice straw, rice straw pellet or maize silage in Korean native cattle and dairy cows. Agricultural and animal wastes, such as, straw and manure, could be used as a feedstuffs by silage processing which might be more easily made by using silage mixer.
ACKNOWLEDGEMENTS
Grateful acknowledgement is expressed by the writer to Dr. E. Schulz, Institute of Animal Nutrition, FA1, Braunshweig and to GTZ in the Federal Republic of Germany for financial support for the study.
REFERENCES
Halmon, B. W., J. P. Fondant and K. E. Webb, Jr. 1975. Ensiled broiler litter forage. I. Fermentation characteristics. J. Anim, Sci. 40: 144–155.
Zell, J. H., M. T. Yokoyama, L. R. Shull, C. J. Flegal, J. D. Krehbiel, S. D. Sleight, J. R. Anstead, and W. T. Magee. 1983. Feeding of dehydrated poultry manure to steers on performance, blood and urine parameters and live drug-metabolizing enzyme activities. Can. J. Anim. Sci. 63: 381– 389.
Molina, E., Z. Boza, and J. F. Aquilera. 1983. Nutritive value for ruminants of sugarcane, bagasee ensiled after spray treatment with different levels of NaOH. Anim. Feed. Sci. Technol. 1: 1–17.
Orskow, E. R., G. W. Reid and I. McDonald. 1981. The effects of protein degradability and food intake on milk yield and composition in cows in early lactation. Brit. J. Nutr. 45: 457–555.
Smith, L.W., G. F. Fries and T. Weinland 1979. Poultry excreta containing polychlorinated biphenyls as a protein supplement for lactating cows. J. Dairy Sci. 59: 465–474.
Thomas, P. C. 1983. Milk protein proc. nutri. soc. 42: 407–418. Webb, K. E. and J. P. Fondant 1975. Medicinal drug residues in broiler litter and tissues from cattle fed litter. J. anim. sci. 41: 1212–1217.
Table 10. Dimension and Characteristics of Compact Silage Mixer
| Parameters | Dimensions or characteristics |
| Power | 8HP engine |
| Size | 3.41 × 1.1 × 1.125 M/M |
| Weight | 600kg |
| Capacity | 4–5 M/T per hour |
| Operator | 10 men |
| Transport | By 1 ton track |
| Ingredient input | |
Alkali treated straw | Half manual |
Bran | Automatic |
Manure | Automatic |
Chin Fook Yuen*
INTRODUCTION
The livestock industry is an important component of the agricultural sector in Peninsular Malaysia. Although livestock production constitutes about 11 percent of total agricultural output, it has an annual turnover of about M$1.7 billion (Table 1). Poultry meat, eggs and pork account for approximately 90 percent of this value. The balance is contributed by beef, mutton and milk. Table 2 shows the output of livestock products for 1984 with an increasing trend since 1970 with the exception of buffalo beef, sheep and goat meat.
Official statistics show that Peninsular Malaysia has a population of about 556,500 head of cattle; 163,500 head of buffaloes; 285,000 head of goats and 68,300 head of sheep in 1984 (Table 3). There has been also a standing population of 1,454,200 pigs and 38.44 million poultry birds of which 26.79 million are broilers, the balance being layers. These standing population figures do not, however, reflect the total production from pig and poultry as given in Table 2. By 1986, Peninsular Malaysia produced about 140 million broiler chickens and 3,247 million chicken eggs. In the case of ducks, 20,000 mt of duckmeat and 100 million duck eggs have been produced. The output of pork was 155,000 mt (dressed carcase) equivalent to 2.82 million head of pigs. Except for buffalo and goats, there has been an increasing trend in livestock population since 1970.
Feeds continue to play a very important and critical role in the livestock industry. The poultry and pig sectors remain totally dependent on formula feeds. For the ruminants, forages derived from natural vegetation and sown pastures and fodder crops are still the mainstay of their nutrition although the feeding of agro-industrial by-products has started to make some headway. Supplement feeding for ruminants is done but the quantity of feeds prepared or manufactured for this purpose is negligible.
STATUS, PROBLEMS AND CONSTRAINTS IN
THE DEVELOPMENT OF FEED RESOURCES
The development of feed resources in Peninsular Malaysia is directed towards the production and/or utilization of the following categories of feeds and feedstuffs: i) feed crops which are represented by forages such as natural pastures and permanent improved meadows and concentrates such as grain crops, e.g., tapioca and maize; ii) agro-industrial by-products and crop residues; iii) formula or compound feeds; iv) feed crops; and v) natural pastures.
Table 1. Contribution of Livestock to Economy, 1985
| Item | Percent of Value | |
| Contribution to: | Gross Domestic Product (GDP) | 3 |
| Agricultural output | 11 | |
| Value of food products | 30 | |
| Output value of livestock products | $1,700 million | |
Source: Department of Veterinary Services, Malaysia
Table 2. Output of Livestock Products
(Unit: 1,000 mt meat, million litres milk or million eggs)
| Product | 1970 | 1984 |
| Cattle beef | 5.2 | 8.1 |
| Buffalo beef | 7.5 | 4.5 |
| Mutton (goat and sheep) | 1.6 | 0.6 |
| Chicken meat | 61.0 | 180.9 |
| Pork | 60.8 | 134.7 |
| Duck meat | -- | 13.6 |
| Milk cattle | -- | 24.5 |
| Chicken eggs | 1,113 | 2,797 |
Source: Department of Veterinary Services, Malaysia
Table 3. Livestock Population
(Unit: 1,000 head or million birds)
| Type of Livestock | 1970 | 1984 | |
| Cattle: | total | 301.2 | 556.5 |
| beef type | -- | 453.9 | |
| milk type | -- | 102.6 | |
| Buffalo | 233.0 | 163.5 | |
| Sheep | 38.2 | 68.3 | |
| Goat | 332.5 | 285.0 | |
| Poultry: | total | 13.6 | 38.5 |
| commercial layer | 4.6 | 11.7 | |
| commercial broiler | 9.0 | 26.8 | |
| Pig | 725.4 | 1,454.2 | |
Source: Department of Veterinary Services, Malaysia.
Table 4. Sheep Grazing Undergrowth of Coconut, Rubber and Oil Palm Estates, 1987
| State | Hectarage Involved Total Area (ha) | Total Number of Head Carried |
| Johor | 17,216 | 2,292 |
| Pehang | 25,682 | 3,545 |
| Terrengganu | 5,341 | 344 |
| M. Sembilan | 2,021 | 1,650 |
| Perak | 2,192 | 923 |
| Kedah | 5,667 | 306 |
| Melaka | 6 | 266 |
| P. Pinang | 9 | 60 |
| Selangor | 1,285 | 1,700 |
| Kelantan | 8,999 | 1,027 |
| Perlis | 3,087 | 1,148 |
| Total | 71,505 | 13,261 |
Source: Department of Veterinary Services, Malaysia
Natural pasture land consists mainly of the small and scattered areas of mixed local grasses and broad-leaved weeds on open wasteland, roadside tables, irrigation and drainage bunds, gringes of coconut, rubber and oilpalm estates and fallowed or abandoned paddy land. An estimated 1.2 million ha was considered potentially available or suitable in 1984 to provide the traditional grazing areas for smallholders' cattle, buffaloes, sheep and goats. Single cropping paddy land has in fact been the main grazing land for the thousands of animals in the states of Perlis, Kedah, Kelantan, Terengganu and Malacca.
Another important source of natural pastures is the undergrowth vegetation in the coconut, rubber and oil palm estates which has not been fully exploited. Integration of cattle and coconuts has been practiced for a long time now. Some rubber estate managers also allow livestock grazing in certain areas of their estates. Livestock integration is sometimes encouraged to help estate workers earn extra income. The most recently emphasized programme concerning the development of natural pastures as a feed resource is the rearing of sheep in coconut, rubber and oil palm estates where, besides providing extra income, the animals also help to cut down the cost of weeding through their grazing of the undergrowth vegetation. It is reported that a total of more than 13,000 head of sheep are being successfully reared on about 72,000 ha of coconut, rubber and oil palm land (Table 4).
In general, there are several problems and constraints in the development and/or utilization of natural pastures as a feed resource:
Table 5. Distribution of Improved Pastures and Fodder Crops, 1984
| Agengy and Programme | Cultivated Area (ha) |
| Department of Veterinary Sericves | |
cattle farms, including institut haiwan | 8,757 |
Grazing reserves | 5,434 |
Home plots/wayside fodder | 2,817 |
| MARDI research centres | 1,290 |
| UPM training farm | 240 |
| State Government/Private Joint Venture Concerns | |
Pahangbif | 3,200 |
Derabif | 2,211 |
| Total | 23,949 |
Permanent Improved Pastures
Actual cultivated permanent improved pasture and fodder land is considered small although it has increased from 500 ha in 1970 to about 21,132 ha in 1984. The programme to cultivate improved pastures and fodder crops is being successfully undertaken under four approaches:
The programme is mainly carried out by the Government through its various agencies. Exceptions are two farms totalling 5,422 ha developed by joint-venture companies.
The cultivated pasture and fodder areas on farms, grazing reserves and home plots are presented in Table 5.
With an estimated average yield of 20 mt of dry matter/ha the total area cultivated with forages in 1984 was capable of producing about 420,000 mt of forage dry matter for feeding ruminants.
Two major constraints confront the improved pastures and fodder development programme:
The keen competition for land for agricultural cropping results in a good proportion of land given for the purpose of development into permanent pastures, particularly the Government grazing reserves, not being of top-choice. Many have limitation in agro-climate, accessibility, topography, soil and existing vegetation.
The development and management of improved pastures and fodder crops is sometimes considered expensive. There are several contributory factors. Grass seeds, normally imported, are expensive. Grass pastures grown from seeds also need a more thoroughly prepared seedbed. The quality of pastures has to be maintained through proper fertilizer management and weed control.
Concentrate or Grain Crops
Currently only tapioca can be considered as being grown for feed through the production of chips. However, only about 5 percent of the total production ends up as chips for animal feeding, the rest going to starch manufacture. Hardly any feedgrain production is done in the country. Maize is largely cultivated for human consumption. There is a programme to grow maize for feed grain but this is still in this infancy stage.
Earlier interest in cultivating sorghum and soyabean has not borne results due to uneconomically low yields and certain unfavourable agronomic factors. Groundnut production, although successfully done, is not important as a feedcrop as virtually all locally grown groundnuts are processed for human consumption. This is the reason why the production of groundnut cake exists.
Generally, the factors that have deterred the growing of concentrate and grain crops include the limitation of suitable land, relatively low income returns, high labour cost involved, unfavourable agronomic consideration, competition with plantation and food crop agriculture, competition in the use of the product for human consumption and by the competition from importation of similar feedstuffs.
Agro-Industrial By-products and Crop Residues
Agro-industrial by-products and crop residues represent the most important feed resource in the country. THey are classified into 4 main types:
Currently, all the locally produced feedstuffs of major commercial importance or value are agro-industrial by-products. The main ones are palm kernel cake, soyabean meal, rice bran and polishing, fishmeal, tapioca refuse, wheat bran and pollard and copra cake. Their annual production between 1978 and 1984 is shown in Table 6. These feedstuffs are either utilized locally or exported overseas. There are also several other agro-industrial by-products being commercially utilized locally as animal feed but in smaller quantities. These include dried brewers grain, pineapple waste, sago refuse, dried palm oil mill effluent (POME) and poultry manure.
Palm kernel cake, (PKC), one of the by-products of the palm oil industry, is currently the most abundantly produced feedstuff of commercial value. While production was 530,000 mt in 1984, this has increased to 533,316 mt in 1985. Over the last few years it has become important locally because of a programme by the Government to promote it as a beef feedlot feed as well as a supplementary feed for dairy cattle. For feedlot feeding, it is used as a sole ration or in combination with other suitable agro-industrial by-products such as dried POME, sago refuse, copra cake or cocoa pod. The success in feedlot feeding with PKC saw the sudden establishment of over 300 beef feedlot projects, big and small, over the last four years. Prior to this, there has been only one successful feedlot project in the Peninsula which uses different agro-industrial by-products, namely; a combination of pineapple waste, poultry manure and molasses.
Table 6. Local Production of Commercially Important Feedstuffs (1978–84)
| Name of Feedstuffs | Production According to Years (tonnes) | ||||||
| 1978 | 1979 | 1980 | 1981 | 1982 | 1983 | 1984 | |
| Copra cake | 33,582 | 37,210 | 36,844 | 37,770 | 33,610 | 30,154 | 27,701 |
| Rice bran and polishing | 52,582 | 58,263 | 78,246 | 71,446 | 63,532 | 75,808 | 55,253 |
| Tapioca refuse | 100,929 | 93,043 | 68,591 | 68,715 | 51,504 | 51,856 | 53,504 |
| Wheat bran and pollard | 131,691 | 116,313 | 121,009 | 119,247 | 126,226 | 138,507 | 143,000 |
| Fish meal | 12,061 | 20,061 | 32,1621 | 46,614 | 26,788 | 34,920 | 21,867 |
| Palm kernel cake | 175,739 | 244,825 | 278,559 | 312,657 | 444,155 | 477,028 | 530,000 |
| Soybean meal | -- | -- | 26,331 | 118,562 | 126,465 | 149,264 | 150,000 |
| Total | 506,584 | 570,607 | 631,101 | 775,011 | 873,280 | 957,537 | 981,325 |
Source: Department of Statistics; Department of Fisheries; PORLA, Department of Veterinary Services
Over 5.0 million mt of different useable by-products and residues of varying nutritive values are produced annually (Table 7). As already mentioned, some of them are already being used domestically or exported as animal feedstuffs. For others, research is continuing to express their potential as feed. However, overall utilization when compared to total availability remains low due to one or more of the following reasons:
The unfavourable price structure is due to the following:
Compound or Formula Feeds
Compound or formula feeds are produced by commercial feedmills as well as on-farm self mixing operations. It is reported that commercial feedmill production alone meets 65 percent - 70 percent of the domestic demand for such feeds. The most common feature of the compound or formula feed industry is the heavy reliance on imported raw materials. More than 60 percent of the raw materials used is still imported. Maize constitutes the major import raw materials requirement with the balance made up of soya bean meal, oil extracted rice bran and others. The feedmilling industry which manufactures compound feeds is generally regarded as well established, with its growth matching the rapid development of the poultry and pig sectors of the livestock industries. From a modest beginning about 20 years ago, the feedmill industry has grown rapidly to achieve a turnover estimated to be about M$1,084 million, taking into account big and small feedmillers and on-farm self-mixing operations.
In 1982, it has been reported that there were 59 feedmills and more than 100 on-farm self-mixing operations in Peninsular Malaysia. In a different manner, the latest industry source reports that the whole of Malaysia has 38 major feedmills and at least an additional 200 smaller feedmilling operations, including the self-mixing ones. Of these 38 feedmills, five are found in East Malaysia, the rest on the Peninsula. The total estimated production capacity of these 38 feedmills is about 1.41 million mt. The largest 20 feedmills alone account for an annual production of up to 920,000 mt of formula feeds. The production of formula feeds from 1978 to 1985 is presented in Table 8. The annual quantities produced show an increasing trend since the industry started, largely due to the increased demand for feeds by the poultry and pig sectors. To a lesser extent, feeds for cattle, goats, sheep, ducks, rabbits, quails, aquaculture fishes and laboratory animals are also manufactured by some feedmillers. Prices of feed are not regulated. Feedmillers compete freely in the market.
Table 7. Estimated Availability of Important Agro-industrial By-products and Crop Residues Usable as Feedstuffs, 1984
| Type of By-products | Estimated Annual Production (mt) | |
| Dried brewer's grain | 2,972 | |
| Spent hops | 171 | |
| Dried brewer's yeast | 170 | |
| Copra cake | 17,701 | |
| Cocoa pods | 69,300 | |
| Palm kernel cake | 530,000 | |
| Parm pressed fibre | 1,304,000 | |
| Palm oil mill effluent | 100,000 | |
| Pineabble bran | 24,000 | |
| Rice straw | 1,629,680 | |
| Rice husk | 277,046 | |
| Rice bran | 55,253 | |
| Coffee husk | 20,000 | |
| Sugarcane top | 260,680 | |
| Mollasses | 52,136 | |
| Bagassee | 201,096 | |
| Tapioca refuse | 53,504 | |
| Wheat bran and pollard | 143,000 | |
| Soybean meal | 150,000 | |
| Rubber seed meal | 45,000 | |
| Fish meal | 21,867 | |
| Blood meal | 120,000 | |
| Meat meal | 25,000 | |
| Poultry manure | 450,000 | |
| Total | 5,562,677 |
There are several problems that affect the formula feed industry:
Table 8. Annual Production of Formula Feeds, 1978–85
(Unit: 1,000 mt)
| Year | Poultry Feeds | Pig Feeds | Total |
| 1978 | 314.7 | 130.1 | 444.8 |
| 1979 | 334.6 | 122.7 | 457.3 |
| 1980 | 419.8 | 128.8 | 548.6 |
| (847.0) | (730.0) | (1,577.0) | |
| 1981 | 438.0 | 126.6 | 564.6 |
| 1982 | 485.7 | 105.1 | 590.8 |
| (957.0) | (756.0) | (1,713.0) | |
| 1983 | 559.5 | 93.1 | 652.6 |
| 1984 | 626.7 | 99.3 | 726.0 |
| (1,100.0) | (790.0) | (1,890.0) | |
| 1985 | 640.1 | 95.7 | 735.8 |
| (1,260.0) | (840.0) | (2,100.0) |
Note: Figures in parentheses are the revised estimates calculated from actual population figures. Other figures are from the Department of Statistics and are based on reported production from 26–30 large feedmills only.
FOREIGN TRADE IN FEEDS AND FEEDS TUFFS
There is great need to have an efficient foreign trade programme to support the continued growth of the livestock and feed industry. This is particularly true for the poultry and pig sectors which remain totally dependent on manufactured feeds which, in turn, relies on imported feeds. Importation helps ensure adequate supply and wider choice of raw materials. It also provides access to better quality ones. On the other hand, there are unutilized local feedstuffs that are best exported in order to reduce the import bill for feeds and feedstuffs.
The annual quantities and values of imports from 1978 to 1985 in Peninsular Malaysia is presented in Table 9. In 1985, it was estimated that the value of imports of feedstuffs exceeded M$485 million. Maize constitutes the major item of import. In that year, the import of maize alone exceeded 1 million mt mark for the first time (i.e. 1.04 million mt). It cost M$310 million which is 64 percent of the total value of import. In terms of quantity, the maize import constitutes about 74 percent of all imports with the balance made up of soyabean meal, ricebran, fishmeal and others. Table 9 also shows the annual quantities and values of feedstuffs exported from Peninsular Malaysia from 1978 to 1985. The major item of export is PKC which goes to European countries. The volume of export shows an increasing trend since 1978 except for a sharp drop in 1984. All other items are exported in relatively small quantities from Peninsular Malaysia. Export destination also includes the states of Sabah and Sarawak in East Malaysia.
Table 9. Import and Export of Animal Feedstuffs, 1978–85
| Year | Import | Export | ||
| Quantity (mt) | Value (M$100) | Quantity (mt) | Value (M$100) | |
| 1978 | 855,415 | 296,324 | 151,871 | 43,037 |
| 1979 | 947,884 | 356,094 | 261,979 | 80,471 |
| 1980 | 976,043 | 394,865 | 290,964 | 86,410 |
| 1981 | 901,604 | 364,277 | 329,160 | 106,559 |
| 1982 | 1,027,732 | 384,749 | 472,200 | 149,059 |
| 1983 | 1,098,762 | 413,815 | 553,693 | 182,325 |
| 1984 | 1,310,489 | 522,948 | 119,719 | 54,979 |
| 1985 | 1,404,767 | 485,630 | 743,701 | 179,973 |
Source: Ministry of Agriculture, Malaysia.
GOVERNMENT POLICY AFFECTING THE LIVESTOCK AND FEED INDUSTRY
The National Agriculture Policy (NAP) announced in 1982, set out guidelines for agricultural development in the country up to the year 2000. The overall objective of the policy was to maximize income from agriculture through efficient utilization of the country's resources and revitalization of the sectors' contribution to the overall economic development of the country. Maximizing income refers to both national and farm income. The NAP directives for livestock development are broad and allows for necessary adjustments in planning and development of programmes as long as the policy objective is kept in view.
The NAP clearly emphasizes Governmental support for the continued development and growth of the livestock industry through the ruminant, particularly beef and dairy, poultry and pig sectors. The importance of beef is emphasized because it remains a popular source of protein for a wide cross-section of the population. Its production is being continued mainly under the hands of small farmers. Well-managed cattle ranches and intensive production systems such as beef feedlots are also encouraged to be established and maintained by either the Government or the private sector.
With regards to dairying, the NAP stressed that the major part of the demand for dairy products should continue to be met by imports. Only the local production of fresh milk is being maintained to meet domestic demand. Towards this end, the Dairy Development Programme of the Government is successfully promoting the local production of fresh milk by small farmers with the setting up of milk collecting centres in strategic areas of the country.
The NAP has given an impetus to the growth of the already large and efficient monogastric animal, i.e., poultry and pig sectors. The country continues the production of pork for both domestic requirement as well as for export. However, the policy points out that pig rearing has to be undertaken in designated areas and pollution control of pig effluent needs to be given utmost consideration when the sector is being developed or expanded. The country is currently self-sufficient in poultry products. However, poultry production is being intensified to meet increasing demand as well as for export.
The NAP recognizes the importance of feeds in the success of the livestock industry. The country's feedmilling industry, particularly, will be further expanded to meet the demand for formula feeds. The country continues to import the major part of its requirements for feedstuffs. The NAP has paved the way for this as the Government recognizes the fact that local production of some of these required feed ingredients is costly and the continued development of the poultry and pig sectors, in particular, would greatly depend on the unhindered and easy access to these imported ingredients.
Notwithstanding this, however the strategy for feed development under NAP also includes steps to increase production and/or utilization of local feed resources in the form of forages, agro-industrial by-products and concentrate or grain crops in an effort to reduce the dependency of the industry on imported raw materials.
FEED RESOURCES RESEARCH AND EXTENSION
Research and extension in feedstuff production and utilization is successfully pursued by various Government departments, agencies and institutions of higher learning as well as by private concerns such as feedmill establishments and plantation agencies. On the Government side, studies on the production and utilization of forages, concentrates, grains, agro-industrial by-products and formula feeds are being conducted. Research to set-up standards for quality control of feeds is also being undertaken. Private sector involvement is more specialized with the feedmill establishments concentrating their research efforts on formula feed production for the market. The plantation agencies study the viability of rearing livestock, particularly the small ruminants, on the natural vegetation found on rubber and oil palm estates. There are over 700 research papers and literature available on animal feeds and feeding contributed by local scientists. The volume of research findings and information can be considered large. Technical advisory and extension work is done by the same government departments, agencies and institutions of higher learning and private concerns and involves the transfer of technology and technical knowhow obtained overseas or derived from findings of local research.
The promising areas for research and extension can be narrowed down to the following:
FUTURE PROSPECTS OF THE LIVESTOCK AND FEED INDUSTRIES
The medium/long term prospects for further developing the livestock industry is bright involving mainly beef cattle and buffaloes, dairy cattle, sheep and goats, poultry chicken and ducks and pigs. This optimism is based on the fact that the per capita consumption and total demand for the products of these livestock have been projected to increase substantially up to the year 2000 at least (Tables 10 and 11) and that the industry has the capability to gear itself for the necessary expansion to meet part of this growing demand. Even under short term consideration, the current production from the ruminants only satisfies a portion of the existing total demand and there is still room for expansion. Present production of beef meets approximately 50 percent of the current total requirement. Local production of milk currently contributes about 55 percent - 60 percent of the total liquid milk market and 3 percent - 4 percent of the total demand for milk and dairy products. Fresh milk consumption is becoming increasingly popular in the country, particularly among the higher income people in the urban and suburban communities. The country is currently about 12 percent self-sufficient in goat and sheep mutton. The development of the beef and dairy sectors requires a sound marketing and pricing policy to allow the home producers to market their products profitably despite the greater efficiency and economic strength of the milk recombining industry and the overseas beef industry. Ruminant development will feature strongly the prospective beef feedlot system using agro-industrial by-products and crop residues and the integration of livestock with plantation crops. The prospect in the poultry and pig sectors further lies in an export market. Not only will future production be geared towards self-sufficiency in chicken meat, pork and chicken eggs, but it will also be to maintain as well as improve the status of export currently enjoyed by the two sectors.
With the expected expansion of the livestock industry, particularly the poultry and pig sectors, there will result a parallel increase in demand for manufactured feeds (Table 12). There is thus a good prospect for further development and expansion of the feedmilling industry. The industry is expected to strive towards sophistication and technological advancement for the future. Given the gradual advantages of quality feeds as well as the considered introduction of a National Feeds Act to enforce feed quality, commercial feedmilling will be expected to phase out home or self-mixing practices on farms. There is also the prospect for feedmilliers to expand their sphere of activity to the increased production of manufactured feeds for ruminants which are likely to incorporate a high percentage of local agro-industrial by-products. Bulk grain or feed handling, storage and transport facilities will also be another potential area to look at in the feedmilling industry.
Table 10. Projectted Per Capita Consumption (PCC) and Total Demand (TD) for Ruminant Products
| Year | Beef | Mutton | Liquid Milk | ||
| PCC (kg) | TD (mt) | PCC (kg) | TD (mt) | TD (million 1.) | |
| 1985 | 3.35 | 27,533 | 3.56 | 6,735 | 36.0 |
| 1990 | 3.82 | 33,498 | 3,71 | 8,140 | 50.0 |
| 1995 | -- | -- | 3.88 | 9,537 | 67.1 |
| 2000 | 4.42 | 50,000 | 4.05 | 11,349 | 89.7 |
Source: Department of Veterinary Services, Malaysia
Table 11. Projected Per Capita Consumption (PCC) and Total Demand (TD) for Poultry and Pig Products
A. Meat
| Year | Pork | Chicken Meat | Duck Meat | |||
| PCC (kg) | TD (mt) | PCC (kg) | TD (mt) | PCC (kg) | TD (mt) | |
| 1986 | 28.2 | 154,536 | 15.9 | 217,209 | 1.5 | 19,610 |
| 1990 | 31.0 | 184,078 | 18.7 | 280,881 | 1.8 | 27,610 |
| 1995 | 32.5 | 217,295 | 21.2 | 358,523 | 2.4 | 40,500 |
| 2000 | 34.0 | 255,918 | 23.7 | 451,282 | 2.7 | 52,000 |
B. Egg
| Year | Chicken Eggs | Duck Eggs | ||
| PCC | TD (million) | PCC | TD (million) | |
| No. of eggs | ||||
| 1986 | 226 | 3,087 | 8.5 | 113.6 |
| 1990 | 246 | 3,695 | 15.0 | 225.6 |
| 1995 | 256 | 4,329 | 18.0 | 304.7 |
| 2000 | 266 | 5,065 | 20.0 | 381.2 |
Source: Department of Veterinary Services, Malaysia
Table 12. Projected Demand for Formula Feeds and Maize, 1988–2000
| 1988 | 1990 | 1992 | 1994 | 1996 | 1998 | 2000 | |
| Poultry feeds | 1,700 | 2,030 | 2,300 | 2,530 | 2,720 | 2,860 | 2,980 |
| Pig feed | 940 | 1,020 | 1,100 | 1,180 | 1,240 | 1,300 | 1,360 |
| Sub-total | 2,640 | 3,050 | 3,400 | 3,710 | 3,960 | 4,160 | 4,340 |
| Maize (level of inclusion (percent) | 45 | 45 | 40 | 40 | 35 | 35 | 35 |
| Quantity | 1,188 | 1,373 | 1,360 | 1,484 | 1,3;86 | 1,456 | 1,519 |
Source: Department of Veterinary Services, Malaysia
Alongside the prospect of development and expansion of the feedmilling industry, is the potential cultivation of feed grain/concentrate crops. The massive importation of maize as feed indicates clearly the great demand for feeds of high energy value to suggest where partial import substitution in feeds should be looked into (Table 12). Both maize grains and tapioca chipos are high energy feedstuffs and their cultivation should be promoted. Both are traditionally and successfully grown in the country although mainly for human consumption or starch manufacture. There is thus a wealth of experience and technical knowhow in their cultivation. In the case of maize, the encouraging introduction of higher yielding varieties and the possibility of cultivating the crop in a mechanized plantation system have greatly improved its prospect. Cultivation of concentrate and feedgrain crops is confronted by the competition of land for the growing of plantation tree crops and food crops. Table 13 shows that only 0.6 percent of the total agricultural land is planted to feed crops, chiefly improved pastures and fodder crops. This evidently implies that feed crops are unable to compete with plantation tree crops or food crops for land and attention of investors. Thus to express the potential for feed crops production governmental involvement to allocate land and attract investors may be necessary.
For the ruminants, the best prospect lies in maximizing the use of natural forage resources, agro-industrial by-products as well as crop residues. As seen in Table 14, useful metabolizable energy (ME) and digestible protein (DP) are contributed by these three sources which are free of competition from human consumption. their contribution has in fact given the country its positive feed balance. A big proportion of the agro-industrial by-products and crop residues is yet to be really developed or fully utilized as feeds. Some, such as cocoa pods and poultry litter, will become increasingly available in the future. Thus the prospect lies in using these by-products and crop residues either as feedlot or supplementary rations in a long term developmental programme which will benefit the aniv=mal industry. The potential of natural grasses, broadleaves and ferns in the undergrowth vegetation has been greatly enhanced by the successful integration of sheep in coconut, rubber and oil palm plantations. Table 15 shows the long term prospect in livestock integration with the 3 plantation crops.
Table 13. Breakdown of Areas Under Agricultural Crops, 1983
| Crop | Area Cultivated (ha) | Percent of Total Agricultural Land |
| Plantation crops | ||
Rubber | 1,691,091 | 45.5 |
Oilpalm | 1,099,694 | 29.6 |
Coconut | 232,486 | 6.2 |
| Beverage/food crops | ||
Paddy | 473,340 | 12.7 |
Cocoa | 50,438 | 1.4 |
Coffee | 11,061 | 0.3 |
Tea | 4,765 | 0.1 |
Fruits | 77,170 | 2.1 |
Spices | 16,167 | 0.4 |
Others | 39,920 | 1.1 |
| Feed crop | ||
Permanent pasture and fodder | 24,000 | 0.6 |
| Total | 3,720,131 | 100.0 |
Table 14. Estimated Domestic Nutriet Availability, by Source, 1984
(Unit: million Mcal of ME or 1,000 mt of DP)
| Source | Metabolisable Energy (ME) | Digestible Protein (DP) |
| Cultivated crops and crop residues | ||
Fodder crops | 135.2 | 8.0 |
Artificial pastures | 993.4 | 40.6 |
Residues (mainly paddy straws) | 1,468.3 | 8.0 |
| Natural pastures and rough grazings | 20,897.2 | 680.4 |
| Agro-industrial by-products | 4,763.0 | 204.8 |
| Formula feeds | 5,857.5 | 266.3 |
| Concentrate feeds | 126.2 | 5.8 |
| Total | 34,240.8 | 1,213.9 |
Table 15. Potential for Integration of Livestock with Major Plantation Crops, 1983
| Crop | Total Area Cultivated (ha) | Estimated Area Available (ha) | Animal Units Potentially Carried a |
| Rubber | 1,691,091 | 169,109 (10%) | 52,847 |
| Oilpalm | 1,099,694 | 54,985 (5%) | 34,366 |
| Coconut | 232,486 | 116,243 (50%) | 83,031 |
| Total | 3,023,271 | 340,337 | 170,244 |
a Estimated carry capacity:
| Rubber | 3.2 ha | : | 1 animal unit |
| Oilpalm | 1.6 ha | : | 1 animal unit |
| Coconut | 1.4 ha | : | 1 animal unit |