Semi-natural or hormone-induced propagation of Clarias in ponds/ tanks as described in chapter one has not proved to be a reliable method for mass production of fry. Therefore, artificial propagation under controlled environmental conditions in a hatchery has become a necessity to ensure that production en masse of fry and fingerlings.
Artificial propagation by induced breeding through hormone treatment, followed by artificial fertilization and incubation of fertilized eggs and subsequent rearing up to fingerling size has several advantages (Woynarovich and Horvath, 1980) as listed below:
The artificial propagation of C. gariepinus, as for all finfishes, is a chain of activities which are more or less similar to those of natural reproduction. The various activities involved in the process of artificial propagation of the African catfish are:
Breeders can be collected from nature or from fish ponds. The capture of wild brood fish is recommended during: (i) breeding season when mature catfish aggregate in or towards shallow spawning grounds or (ii) dry season when they are relatively concentrated in their reduced natural habitats especially small pools and streams.
Handling and transportation of wild breeders should be done with care. This can be facilitated using tranquilizers (MS 222, Quinaldine or Phenoxyethanol at a rate of 10g/100 l; 2.5ml/100 l and 30ml/100 l respectively). At arrival at the hatchery, the wild breeders should be desinfected and deparasitised with a formaldehyde bath (15 ppm for 6 hours). A bactericide (Furaltadone or Furazolidone, 10 ppm for 1 hour) together with a fungicide (Malachite green 0.2 ppm) should be applied daily during 4 days in order to prevent outbreak of infections, especially on those parts of the skin which have been injured during handling/transportation. Biting during transportation may also be one of the reasons for injuries.
An alternative to capturing brood fish from spawning grounds or natural habitats, is the rearing of fingerlings up to breeders in fish ponds. At harvest, breeders are selected and transferred to the holding unit in the hatchery, or to a special brood fish pond.
Various factors influences the size of the stock of female breeders. Some of the most important factors are listed below:
(i) Hatchery management
Hatchery management is simplified if only two age-groups are kept in the hatchery e.g. brood fish and one batch of juveniles up to 1 g at a time. One gram fingerlings is the minimum size required for proper stocking of on-growing ponds. It was found that brood-stock maintained for at least one year under controlled conditions in a hatchery will lose its seasonal reproductive cycle. This would mean that mature breeders will be available year round. Consequently two stocks of brood fish should be maintained in the hatchery e.g. (i) actual brood stock for propagation and (ii) conditioning brood stock.
(ii) Weight of the breeders
Individual brood fish of weight 0.5–1.0 kg is preferable. They have a substantial quantity of mature eggs and are easy to manipulate.
(iii) Incubation capacity
A moderate hatchery (annual production of 500,000 fingerlings) required a total incubation capacity of 800g of fertilized eggs batch. This amount of eggs can be produced by about 16 females of 500g (see section 3.5.1) and incubated in 4 incubation troughs (see section 3.10.1).
(iv) Length of nursery period
The period of indoor rearing of fry up to early fingerlings of about 1 g (depending on water temperature and feed quality) varies between 6 to 8 weeks. This would mean that artificial propagation should be carried out every 6–8 weeks. If nursing is done in ponds, artificial breeding should be carried out once or twice every month in order to meet the annual production of 500,000 fingerlings (see section 3.9.2).
(v) Repeated artificial propagation
It has been found that the same female brood fish can be induced to reproduce artificially every 4–6 weeks without affecting neither quality or quantity of eggs obtained after stripping.
The size of the male brood stock depends on the number of males required for each artifical propagation and the number of artificial reproductions per year. One rarely two males, needs to be dissected for the procurement of milt.
Taking into account the above and with a large safety margin, the following stock of brood fish should be maintained in different tanks of the hatchery:
approx. 100 ♂♂ brood stock for propagation
approx. 100 ♀♀ brood stock for propagation
approx. 100 ♂♂ conditioning brood stock
approx. 100 ♀♀ conditioning brood stock
A reserve brood stock of about 150 ♂♂ and 150 ♀♀ should be maintained in one pond for safety reasons. In ponds, two sexes are maintained together because they do not spawn in confined waters.
Qualitatively and quantitatively adequate sexual products are prerequisites for artificial propagation. Therefore, sexually mature and healthy breeders kept under suitable environmental conditions and with adequate food supply are mandatory. Optimal hatchery management including the following factors are required to maintain brood fish under these optimal breding conditions:
Containers: The breeders have to be maintained in rectangular troughs about 1.0 to 1.5m3 (see section 3.10.1). The water inflow is at one end, while the superfluous water flows out at the other end through a turn-down pipe (flow-through system).
Stocking density: Each trough may be stocked with 100 to 150 kg of fish per cubic metre.
Oxygen/Water supply: The oxygen requirement and consequently the water supply depends on the water temperature and the feeding level. The best way to control the oxygen supply for the brood fish is to measure the dissolved oxygen content of the outflowing water. This oxygen level should not fall below 3 ppm.
An indication of the water supply may be obtained with the formula of Willoughby (1968) for calculating carrying capacity of trout species:

| Where: | Oi | = | Oxygen level tank inlet (mg/l) |
| Oo | = | Oxygen level tank outlet (mg/l) | |
| 86.4 | = | m3 water supply per day at a flow rate of 1 1/sec. | |
| 200 | = | grams oxygen required to digest 1 kg of food | |
| D | = | water flow rate (1/sec) |
The required water supply is calculated under the following assumptions:
Table 3.I gives the estimated water supply and turnover time for different biomass of brood fish in a holding tank. This table is only a guideline for practical use in the hatchery and the dissolved oxygen level of the effluent must be checked at regular intervals (once or twice weekly).
Table 3.I: Calculated water supply (1/min) for adult/brood fish and turnover time (min) for a 1m3 brood fish device for different biomass of breeders.
| Biomass per tank (kg) | Water supply (1/min) | Turnover time (min) |
| 50 | 10 | 95 |
| 75 | 15 | 62 |
| 100 | 20 | 45 |
| 125 | 25 | 35 |
| 150 | 30 | 28 |
Temperature: The optimum temperature recommended for rearing and conditioning brood fish for artificial propagation is 25°C (Richter et al, 1982). This optimum temperature with a minimum of fluctuation is a prerequisite for quantitatively and qualitatively adequate gonadal development year round.
Although the temperature of the hatchery water fluctuates with the temperature of the water source (stream, reservoir or borehole), some simple improvisations can increase or decrease the water temperature as close as possible to the required optimum.
Light: Little is known about the influence of light on the gonadal development of C. gariepinus. Light periodicy does not seem to be a decisive stimulus for gonadal development. Illuminated environment may irritate catfish since their preferred habitat are turbid waters. It is, therefore, recommended to recover ¾ of the trough starting from the inlet with a non-transparent cover (wood or plastic). Artificial light is placed on the open part of the tank (near the outlet), about 20–30cm above the water level, to accentuate the difference between the dark part (gathering of healthy fish) and illuminated part (diseased fish) and to facilitate monitoring of fish and cleanness of the rearing device.
Tranquility: It is believed that frequent disturbances interfere with normal gonadal development (Woynarovich and Horvath, 1980). Stress decrease considerably the appetite of catfish and will reduce its resistence against unfavourable environmental factors causing diseases. Conditioning and rearing of brood fish should, therefore, be done in a quite, dark-some place free of disturbances. The entrance of visitors and intruders into the propagation and rearing unit of the hatchery, (see section 3.10.1) must be minimized as much as possible.
Water quality: The water quality requirements of the African catfish C. gariepinus are not fully known. The water quality requirements given in Table 3.II can be used as a guideline. This table is based on practical experience in hatcheries and/or derived from requirements of related species as the Asian catfishes (C. batrachus and C. macrochepalus) or the American catfish (Ictalurus punctatus).
Table 3.II: Water quality requirements of the African catfish C. gariepinus. (Tolerance is given between brackets).
| Eggs, larvae, early fry | Advanced fry | Fingerlings/adults | |
| O2 | 80 – 100% saturation | 3–5 ppm | ≥ 3 ppm |
| temperature | opt. 30°C | opt. 30°C | opt. 26–28°C |
| NH3-N | 0.1 ppm (1.0 ppm) | ||
| NO2-N | 0.5 ppm | ||
| NO3-N | 100 ppm | ||
| pH | 6 – 9 | ||
| CO2-C | 6 ppm (10–15 ppm) | ||
| Salinity | 10 ppt (15–16 ppt) |
The non-ingested food and faecal particles should be washed out once a day by exchanging about 20% of the water volume of the container. Once every 6–8 weeks, or earlier if required, algal growth on the trough walls needs to be removed with a brush.
Health management and hygiene: Adequate hygiene is one of the most crucial factors of proper health management in a catfish hatchery. Without such a management, healthy sexual gametes cannot be guaranteed. To achieve this goal, every unit of twin trouhs must have proper tools as netting, brushes, bucket, rubber tubes etc., which are maintained in a small container filled with a disinfectant solution (Benzalkonium chloride, 1°/00; Formaldehyde, 0.1%, or Iodine solution 1–2% e.g. Wescodyne or Betadyne). The first compound, a non-corrosive and little aggressive detergent is preferred. The hatchery floor should be disinfected once every week. The hatchery operator should also use this solution to disinfect his hands before and after each cleaning operation. Under proper farming conditions, brood fish does not require regular prophylactic treatments. Some of the most important brood fish diseases and their proposed therapeutic treatments are given in Appendix 3.6.
Nutrition: Adequate food supply is also of foremost importance to brood fish. A well balanced compounded diet containing all the essential nutrient requirements, particularly the amino-acids, vitamins and minerals is a prerequisite for proper gonadal development. Except protein and lipid requirements, little is known about the nutrient requirements of C. gariepinus. Estimated requirements, based either on practical experiences or on requirements of other warm-water predatory fish species, are given in Table 3.III. Artificial diets should be made with locally available agricultural by-products. In most African countries feed ingredients containing high amounts of animal protein such as fish and blood meal are scarce and costly. Therefore, it is easier to meet the high protein requirement by using ingredients containing large amounts of vegetable protein as oil cakes and oil meals. These ingredients are more common, cheaper and generally available in large quantities. The composition of the artificial diet used for brood fish in Central African Republic is given in Table 3.IV.
All the ingredients are pulverized until they have a particle size less than 1.0 to 1.5mm, using a high speed hammermill. Then, they are mixed thoroughly and compounded to pellets (diametre 4 to 5mm). The pellets can be prepared following the “dry” or “moist” processing technique.
Table 3.III: Nutrient requirements for Clarias gariepinus
| Fry and Fingerlings | Juveniles and Growers | Brood Fish | |
| Digestible protein, % | 35–40 | 30–35 | 35–40 |
| Digestible Engery, Kcal/kg | 3000–3500 | 2500–3000 | 3000–3500 |
| Ca, % min. * | 1.5 | 1.8 | 1.5 |
| Ca, % Max. * | 0.6 | 0.5 | 0.6 |
| P, avail, % min. * | 1.0 | 1.0 | 1.0 |
| P, avail, % max. * | 1.2 | 0.9 | 1.0 |
| Met + Cys, % min. * | 2.1 | 1.6 | 1.8 |
| Lysine, % min. * | 0.8 | 0.5 | 0.8 |
| Vitamins * (Supplement) (per 100 kg) | |||
| A, I.U. | 600 000 | 500 000 | 600 000 |
| D3 I.U. | 100 000 | 100 000 | 100 000 |
| E3, I.U. | 6 000 | 5 000 | 6 000 |
| K, g | 1.2 | 1.0 | 1.0 |
| C, g | 24.0 | 20.0 | 24.0 |
| Thiamine, g | 2.4 | 2.0 | 2.4 |
| Riboflavin, g | 2.4 | 2.0 | 2.4 |
| Pantothenic acid, g | 6.0 | 5.0 | 6.0 |
| Niacin, g | 12.0 | 10.0 | 12.0 |
| Pyridoxine, g | 2.4 | 2.0 | 2.4 |
| Biotin, g | 0.024 | 0.02 | 0.024 |
| Folic acid, g | 0.6 | 0.5 | 0.6 |
| Choline Cl, g | 54.0 | 50.0 | 54.0 |
| B-12, mg | 2.4 | 2.0 | 2.4 |
| Minerals * (Supplement) (per 100 kg) | |||
| Iron,g | 5.0 | 5.0 | 5.0 |
| Copper, g | 0.3 | 0.3 | 0.3 |
| Manganese, g | 2.0 | 2.0 | 2.0 |
| Zinc, g | 3.0 | 3.0 | 3.0 |
| Iodine, mg | 10.0 | 10.0 | 10.0 |
| Cobalt, mg | 1.0 | 1.0 | 1.0 |
| Selenium, mg | 10.0 | 10.0 | 10.0 |
Table 3.IV: Composition and calculated chemical composition of artificial diet used for Clarias gariepinus brood fish and young fish in C.A.R.
| Ingredients | Percentage |
| rice bran | 8.0 |
| maize | 4.0 |
| cotton cake | 25.0 |
| groundnut cake | 25.0 |
| sesame cake | 10.0 |
| blood meal | 20.0 |
| bone meal | 2.0 |
| salt | 0.5 |
| Palm oil | 5.0 |
| mineral/vitamin supplement * | 0.5 |
| Calculated chemical composition | |
| crude protein, % | 47.0 |
| digestible energy, Kcal/kg | 3050 |
| lysine, % | 2.2 |
| methionine & cystine | 1.4 |
| calcium | 0.9 |
| phosphorus | 1.2 |
A feeding level of 1% of the body weight should be applied for brood fish of 500 g or more. Careful handfeeding, avoiding stress and over-feeding is recommended. The feeds are given in three or even better four portions during day time near the inlet. Supplementary feeding with under-sized tilapias is recommended whenever they are available. Feeding must be stopped when catfish stop showing interest for the feed. This type of feeding allows to control the appetite and at the same time, the condition of the brood stock is monitored. It also avoids feeding of the tank instead of feeding the fish. Automatic feeders, which generally results in a higher food intake, may be used but the appetite and the health of the brood fish must be monitored daily for the above mentioned reasons.
The breeders maintained in the hatchery can be captured by lowering the water level in the tank and using a rectangular hand net. Those from ponds are captured using a seine net. The females which show the most advanced maturity are chosen using the following criteria:
well-rounded and soft abdomen which extends anterior past the pectoral fins to the urogenital papilla. Mature eggs, showing clearly the nucleus in the centre, can be obtained easily by slight pressure on the abdomen.
the genital opening is swollen and sometimes reddish or rose in colour.
There are no clear external symptoms to indicate the maturity of the males. Some authors describe a more elongated slightly swollen urogenital papilla for “ready-to spawn” males.
The calculation of the number of females needed for an artificial propagation and the production data on which this calculation is based, are given in Appendix 3.1.
In practice, it is convenient to select the breeders in the morning and to inject the hormone solution in the evening. After selection, breeders are kept segregately in plastic pools or basins filled with well oxygenated, clean water and covered with a board to avoid escaping. Careful handling, using a hand net and wet towels are necessary to guarantee proper health condition of the breeders during the time of artificial reproduction. The selected breeders are not fed between their selection for reproduction and stripping.
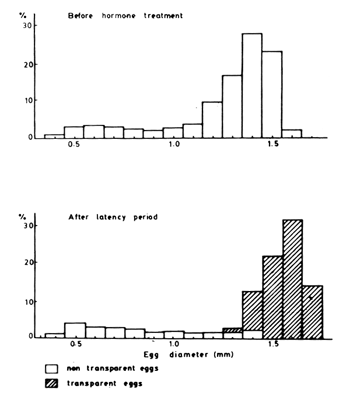
Final maturation followed by ovulation can easily be induced in C. gariepinus. A large number of ovocytes which have completed the yolk accumulation also called post-vitellogenic ovocytes or ovocytes in the “dormant” phase, is a prerequisite for successful induced breeding. Figure 3.1 shows the distribution of vitellogenic and post-vitellogenic ovocytes in the ovary of C. gariepinus. Post-vitellogenic ovocytes (diameter ≥ 1.Omm) constitute about 80–90% (on weight basis) of the ovary.
The success of the artificial propagation (number of ovulated eggs obtained after stripping), depends on the number of post-vitellogenic ovocytes in the ovary e.g. the size of the female gonad and/or gonadal maturity.
The gonadal maturity of the females, indicated by the roundness of the abdomen (see 3.3), can also be checked by counting the number of post-vitellogenic eggs of an egg sample from the ovary. Such a sample can easily be obtained by inserting a canule (inner diameter 1.2 – 1.5mm) into the urogenital orifice and carefully sucking out some eggs. The diameter of the eggs can be measured with a binocular, using a micrometer or mm-paper. This sample is representative for the egg development of the ovary since there is no significant difference between the maturity of different parts of the gonad.
The following hormones/compounds have been successfully used to induced artificial propagation with C. gariepinus:
Induced ovulation and spawning achieved through gonadotrophins (eigher pituitaries or isolated gonadotrophins) is also called hypophysation. Recently hypophysation with frog pituitary extract has succesfully induced final maturation and ovulation in C. anguillaris, a species closely related to C. gariepinus (Janssen and Ndadukwe, in press).
The use of DOCA is not recommended since this compound only induces pre-ovulation or final maturation (migration of nucleus to micropyle, brakedown of geminal vesicle followed by first meiotic division). Ovulation (rupture of follicle and accumulation of ripe eggs in the ovary cavity) does not occur. The eggs are “ovulated” mechanically through stripping.
Hyphophysation, using commercially available carp pituitary glands, is presently the most commonly used technique for artificial propagation of C. gariepinus, although treatment with locally available catfish or frog pituitary extract is less expensive, but certainly more laborious.
The content of active hormone i.e. gonadotropin(s) of pituitary glands varies during different seasons and different life stages of the donor. This is the reason why the content of gonadotropin varies in the commercial product. Catfish pituitary glands from wild or pond-reared donors must be collected when the gonadotropin level is at its highest i.e. during the beginning of the rainly season when sexually mature fishes have reached or nearly reached their optimum gonadal development.
The hormone dosage required may vary according to the “readiness” to spawn of the females which depends on season, age, size, sensitivity, farming conditions and many other factors. It was found that a dosage of ¼ of the recommended dosages of carp pituitary gland induces ovulation during the peak of the breeding season of pond-reared breeders.
In practice, it is easier to use whole glands of approximately the same size rather than pulverized glands. The use of pulverized glands requires a micro balance for weighing, since only some milligrams are needed for each propagation. The pulverized glands may also be contaminated with easily adulterated brain tissue.
The hormone is administered by one single, decisive dose to the females. It is not necessary to treat the males with hormones.
A 0.6–0.7 percent NaCl solution (physiological salt solution) is used as solvent for the pituitary gland solution. This solution can be obtained by dissolving six to seven gram clean common salt, free from iodine, in one litre distilled, or boiled tap water. Addition of 10 percent glycerine to the solvent is recommended to increase the viscosity of the solution which will reduce wastage of injected hormone solution by retracting after injection. The quantity of hormone solution to be administered is not of much importance, too little should be avoided. A quantity of about 1 ml pituitary gland solution per 500g body weight is advised.
The quantity of pituitary extract as well as the quantity of solvent required for each propagation can be calculated from the estimated total body weight of the females to be treated (see Appendix 2).
The required quantity of pulverized acetone dried pituitary gland or number of pituitaries is weighed or counted, and put in a small, dry porcelain mortar. The measured quantity of glycerine is added first to facilitate pulverization of the powder or glands followed by the salt solution. The pituitary gland solution can be used after about 15 to 30 minutes when the gonadotropin has been dissolved. The tissue residue may be removed from the solution by centrifuge or by simply allowing the residue to settle down and then sucking off the supernatant with a syringe.
DOCA and HCG are generally commercialized as crystalline and lyophilized powder respectively. The quantity of solvent required for each vial can be calculated using the requisite dosage and chosen quantity of solution to be administered to each female.
The most common procedure to inject catfish breeders is to select females of more or less equal size. In that case, all the females can be injected with the same quantity of pituitary gland solution calculated as described above. Otherwise each female should be weighed, after which the quantity of hormone solution must be calculated.
The most commonly adopted technique to administer the hormone solution, is injecting intra-muscular into the dorsal muscles above the lateral line, just below the anterior part of the dorsal fin using a graduated syringe (2–5ml). The needle is placed parallel to the fish, pointed posteriorly at an angle of approximately 30°. After injection, the injected area is rubbed with one finger to distribute the hormone suspension evenly throughout the muscles.
The injection can also be given intra-peritoneal into the body cavity. This procedure was commonly used for induced breeding of catfish in the seventies, but has now been replaced by intramuscular injections.
When more than 10 females are selected, it is advisable to seperate them into two groups of equal numbers and to inject them with a time interval of about 30–60 minutes between each group. This will give the operator more time for stripping the females at the right moment.
Females are generally injected in the evening. The injection time is calculated according to the water temperature and the desired time of stripping (see section 3.5.1 and Appendix 3.3).
Handling of breeders should be done with care using a wet towel. After injection the females are gently replaced in their covered containers.
There is no need to suture the genital orifice of catfish to prevent wastage of ovulated eggs since the females do not scatter their eggs without the presence of a male.
The processes of final ripening or pre-ovulation followed by ovulation cannot be stopped or reversed after administration of a correct hormone dosage.
Once these processes start the eggs must either be spawned or stripped. The physical effects of inducing final ripening on the ovocytes are: (i) increasing diameter due to hydration (ii) changing of colour into more or less transparent green to brownish green and (iii) flattening (often hollowing). The first two effects are visualized in Figure 3.1. It is obvious that only post-vitellogenic or “dormant” ovocytes (≥ 1.Omm) respond to the hormone treatment. Only these transparent ovocytes in which final maturation or pre-ovulation took place will fall into the lumen of the ovaries and can be successfully fertilized.
If stripping is accomplished too early the processes of final maturation and ovulation are not yet completed and if too late the ovulated eggs become overripe and will be resorbted. Incubation of these “not yet ripe” or “overripe” eggs, will result in relatively low hatching percentages. Therefore, it is essential to strip females as soon as the main bulk of their eggs are ovulated (Figure 3.2). The majority of eggs mature and ovulate at the same time. The time necessary for pre-ovulation and ovulation (also called latency time) changes with the water temperature. Figure 3.3, shows the relation between water temperature and time interval between injection of pituitary gland solution and ovulation of the eggs (latency time). When HCG has been used to induce breeding, the latency time is slightly extended (about 14–16hrs at 25°C).
The time of injection and the exact time of stripping can easily be calculated using this figure (see Appendix 3.3).
The ovulated female is carefully caught with a hand net, and held tightly by two persons using too wet towel. The main operator who holds the spawner's head with one hand, presses gently the abdomen with the thumb of his other hand from anterior the pectoral fin onto the genital papilla. A second operator holds the tail of the female. If the female has responded well to the hormone treatment, ovulated eggs will easily flow out in a thick jet from the genital papilla. The eggs are collected into a dry plastic or enamel bowl. At completion of stripping only few eggs will flow out and often some blood together with some nontransparent eggs will appear. This is a sign that all or nearly all the ovulated eggs have been released. The spawner is now called “spent”.
A “spent” ovary, representing only about 10–20 percent of its initial weight contains oogonia, previtellogenic and vitellogenic ovocytes.
The approximate time availlable for stripping, bringing about an optimal hatching percentage is 20–30 minutes, 60–90 minutes and 120–240 minutes for an average water temperature during latency time of 30, 25 and 20°C respectively (see Figure 3.3).
The quantity of eggs obtained after stripping, expressed as percentage of the initial body weight (stripping percentage) of breeders maintained under pond conditions and of those maintained for more than one year under hatchery conditions in Central African Republic, are given in Figure 3.4 and 3.5 respectively. There is a clear seasonal fluctuation of the stripping percentage for breeders kept in ponds whereas the stripping percentage is more or less constant throughout the year for those kept in the hatchery. In “hatchery” breeders percentage is slightly less (about 15%) than the maximum obtained from “pond” breeders (about 23%) The more or less constant water temperature in the hatchery is probably the reason for the absence of seasonal gonadal development. Therefore, it has been advised earlier to maintain a broodstock under hatchery conditions in order to strip catfish the year round (see section 3.3.2)
![]() |
Fig. 3.1. Distribution of vitellogenic and post-vitellogenic ovocytes (eggs) of Clarias gariepinus before hormone treatment and after latency period (just prior to stripping) (Janssen, Unpublished) |
![]() |
Fig. 3.2. Mean percentage of viable larvae (open bars) and deformed larvae (solid bars) in relation to time from hypophysation to stripping of Clarias gariepinus injected with carp pituitary suspension at three different temperatures. (After Hogendoorn and Vismans, 1980) |

Fig. 3. 3. Decrease of latency time of Clarias gariepinus injected with pituitary gland suspension (4mg/kg body weight) in relation to increase of water temperature. (After Janssen, 1985)

Fig. 3. 4. Stripping percentage of Clarias gariepinus maintained under pond conditions in Bangui, C.A.R. Mean, ± SD of 10 observations. (After Janssen, 1985)

Fig. 3. 5. Stripping percentage of Clarias gariepinus maintained for more than one year under hatchery conditions in Bangui, C.A.R. Mean, ± SD of 10 observations. (After Janssen, 1985)
The same female can be stripped every 6–8 weeks without affecting the quantity and quality of eggs obtained after stripping. This would mean that a “spent” catfish breeder kept under optimum farming conditions (especially optimum temperature and adequate feeding) will develop a new batch of mature (post-vitellogenic) eggs within this short time interval.
Failure of stripping: Sometimes it is not possible to obtain ovulated or “ready to be fertilized” eggs from mature female spawners by stripping. This can occur when:
a wrong concentration of hormone has been used
the activity of the hormone is reduced due to bad storage conditions
the female has been highly stressed during latency time.
About one hour before stripping, the sperm must be obtained from a male spawner. Attempts to strip catfish males to collect milt have not been successful. This is probably due to the anatomical structure of the seminal vesicles. Therefore, milt is obtained by sacrificing one male and dissecting the testis. Some small incisions are made into the cream coloured lobes of the testis. Milt can easily be squeezed out and collected into a vial or small bottle. In this way, several droplets of milt can be obtained, after which the milt is diluted with physiological salt solution (0.6–0.7% NaCl). It is essential to avoid any contact with water otherwise the sperm will lose fertilization activity. The milt solution can be stored in a refrigerator for one or two days without affecting its activity.
The suitability of sperm solution may be controlled by mixing a drop of this solution with a drop of water. After mixing ripe sperm will become active and will move vigorously for a period of about 30–60 seconds. This mobility can be monitored using a microscope (60 or 100 magnification).
After stripping one or several female spawners, few drops of milt solution is added onto the eggs and the sexual products are mixed by gently shaking the bowl. Mixing may be facilitated by adding some physiological salt solution.
The eggs are fertilized by adding approximately the same volume of clean water. The water and egg mass are thoroughly mixed by gently shaking the bowl. After about 60 seconds the sperm would lose its activity and cannot fertilize any egg by entering through the micropyle. More or less at the same time the micropyle closes which also makes fertilization impossible.
Fertilized eggs are incubated in stagnant or running water in California-type incubation troughs containing small trays or boxes. These trays have a perforated bottom (diameter 1.2 to 1.5mm) which can also be made of mosquito netting.
The incubator is filled with clean, well oxygenated water, free of plankton organisms. The eggs are spread homogeneously in one single layer in the incubation tray. These trays are made in such a way that the eggs are continuously oxygenated by an induced water current (Figure 3.6). About 100 to 150g eggs can be incubated in a incubation trough containing about 80 to 100 liter of water (see section 3.10.1). If no incubation trays are available, fertilized eggs are placed directly on one half of the bottom of the incubation trough (towards the outlet).
Once the fertilized egg comes in contact with water, the egg starts to swell and become sticky, since catfish eggs have a sticky layer. This sticky layer situated as a disc around the micropyle is composed of glucoprotein (a compound of sugar and protein). The stickiness is strongest after 30–60 minutes and disappears with time at the end of the incubation period. Therefore, incubation must be done promptly after fertilization i.e. about 60 seconds after mixing egg mass and water.
For normal, healthy development of the embryos, the eggs need highly oxygenated water (5–6 mg/l) preferably oxygen-saturated. This can be ensured by a water supply of 1–2 l/min for a 80–100 l incubation trough as described in section 6.1 or using an air-lift in case of incubation in stagnant water. These two incubation techniques are shown in figure 3.6.
Information on the removal of the stickness of catfish eggs before incubation is scanty. The removal of the stickiness is not a prerequisite for incubation of catfish eggs as it is for some other fish species and large numbers of viable larvae have been obtained with the two techniques described above.
The stickiness of catfish eggs can be removed with bathing them in a Maxatase solution using one of the following concentrations and exposure times (Verreth, comm. pers. 1986):
This technique has not yet been applied in commercial hatcheries. Once the sticky layer has been removed, several layers of eggs can be spread in the incubation trays or the eggs can be incubated in funnel type incubators as used for many other fish species.
The time interval between the start of embryonic development (fertilization) and hatching, also called incubation period changes with the water temperature. The incubation period decreases with increasing temperature. The relation between water temperature and incubation period is given in Figure 3.7. At 25°C hatching takes place about 28–32hrs after fertilization.
Hatching is the mechanical and enzymatic process, of breaking of the egg shell (chorion) and release of larvae (hatching). Compared to hatching in stagnant waters, hatching in running water is retarded due to washing out of the hatching enzymes. Therefore, the technique of incubation in stagnant water is slightly preferable. Hatching may also be accelerated by increasing the water temperature up to about 30°C.

Fig. 3.6. Incubation of Clarias gariepinus eggs in california-type troughs (After Janssen, 1985)

Fig. 3. 7. Incubation period of Clarias gariepinus eggs in relation to water temperature. (After Hogendoorn and Visman, 1980)
During the incubation period the fertilized eggs are treated twice with a fungicide, (bathing) e.g. malachite green (5 ppm for 10 minutes). These treatments are applied just after incubation of the eggs and about 10–12hrs later. They reduce considerably the fungus (Saprolegnia sp) proliferation on spoiled eggs.
Although the number of normal, healthy larvae is difficult to estimate, a percentage of about 50–70% can be obtained with the two incubation techniques described above. This hatching percentage may be 80–90%, when small numbers of eggs (about 100) are incubated in petri-dishes, and maintained under laboratory conditions. The total number of hatched larvae is slightly higher since about 10–15 percent of the larvae are deformed. There deformed larvae die within a few days after hatching.
The production capacity of an incubation trough can be summarized as follows:
| weight of stripped eggs | 150g |
| number of eggs (600–900 per gram) | 90,000 – 135,000 eggs |
| percentage of viable larvae (50%) | 45,000 – 67,500 larvae |
Causes of egg mortality during incubation
The fertilized eggs usually develop normally if the incubation conditions (oxygen, temperature, cleanness etc.) mentioned earlier are provided. In actual practice, there is always some mortality. About 3–5 percent of the eggs die a few hours after incubation and a slightly higher percentage of about 5–10 percent die near completion of development or during hatching. Higher mortalities are not normal and can be caused by:
Catfish larva is, like all fish larvae, very different from adult fish. Most of its main organs such as barbels, mouth, gut, gills etc. are not yet developed. The yolk sac contains high quality reserve food for growth and development during the larval stage. The weight of hatchlings is about 1.0–1.5mg, and its total length is about 4mm. They will gather in dark places on the bottom of the trough Larval and fry development is repre sented in Figure 3.8.
In the case of incubation in perforated incubation trays the separation of healthy larvae from egg remnants and spoiled eggs take place automatically. Only viable larvae, looking for shelter, pass through the perforated bottom of the tray by actively swimming, leaving behind deformed larvae, dead eggs and empty shells. The trays are removed as soon as hatching is complete and normal larvae have gathered under the incubation trays.
In the case of incubation in trays with mosquito netting the separation is less complete because most of the deformed larvae fall into the trough due to too big mesh of the mosquito netting. Even small fertilized eggs will pass this type of trays. The crippled larvae are siphoned off on the second day after hatching. The first day after hatching the “swimming” capacity of larvae is not yet well developed, and viable larvae will be wasted by too early siphoning.
When fertilized eggs have been placed directly on the bottom of the incubation device, separation is obtained by covering the eggs - free part of the incubator. The healthy larvae will swim into the shadowed part under the cover and cluster at the edges of the tank. Egg shells, dead eggs, and deformed larvae are removed by siphoning.
The technology employed for mass rearing of larvae and fry in indoor facilities is the flow-through technique. This technique is based on the following principles:
Larval rearing device. The device employed for incubation of eggs is the same as used for larval rearing, except that the incubation trays have been removed.
A non-translucent cover which avoid direct exposure to light is placed on the anterior ⅔ of the container and the posterior part is illuminated with tube light in order to:
The water level in the larval tank can be adjusted by changing the position of the stand pipe or turn-down pipe. A fine mesh (≤ 1.0 mm) screen is placed diagonally just anterior to the water outlet. The screen should be cleaned several times a day (removal of accumulated waste matter) to prevent over-flowing of the rearing device and loss of young fish. The screen can be cleaned automatically by installing an airstone under the diagonally placed screen.
The farming conditions described above are illustrated in Figure 3.9.
Stocking density. After hatching, the rearing tank as described earlier may contain about 45,000 to 70,000 larvae (see section 3.7). The recommended water level in the larval rearing device is about 12 to 15 cm which corresponds with about 100 to 120 l water and a stocking density of about 375 to 700 larvae per litre.
Water flow rate/Oxygen: Larvae need highly oxygenated environment, preferably air saturated. It is advisable that the dissolved oxygen level does not fall under ≥ 5 mg/l.
This can generally be obtained with a water flow rate of about 3–5 l/min. Catfish larvae, which gather on the tank bottom, beat their tails unceasingly. This would force the water around their body to move in order to ensure sufficient oxygenation. A very high water flow rate, which may press the larvae against the filtering surface, should be avoided. The dissolved oxygen content of the outflowing water must be measured at least once every day.
Temperature: The optimum temperature for rearing of catfish larvae and young fish is about 30°C. Too low (< 22°C) and too high (> 36°C) temperature, retarding larval development, considerably should be avoided.
Light: The requirement of light has been discussed earlier.
Water quality: The water quality requirements have been discussed earlier and are given in Table III. Clean, highly oxygenated water free of parasites and predators is a necessity for rearing of young fish stages under hatchery conditions.
The larval rearing device must be cleaned (removal of incubation remnants, dead or deformed larvae and waste matter) once or twice daily by careful siphoning.
Health management and hygiene: All necessary operations to guarantee adequate hygiene in the hatchery have been described earlier (section 3.2.3). These operations are a necessity for adequate health management.
In addition to proper hygiene, prophylactic treatments (bathing) to prevent disease out break should be applied once a day. The prophylactic treatments including concentrations of drugs and exposure times can be found in table IX. Expensive antibiotics such as Oxytetracyline, Neomycine, Streptomycine, Chloramphenicol and other chemical bactericides such as Sulfonamides are not advised for prophylactic use. They should only be employed for therapeutic treatment in the case of emergency.
Yolk sac o edema due to bacterial contamination of fertilized eggs may sometimes occur. In the case, bathing with 50 ppm Oxyteracycline for 1 hour should be done during 4 to 6 days. From then on, it is advisable to disinfect eggs before incubation with iodine solution (25 ppm Wescodyne or Betadine for 5 min.) to prevent vertical contamination (contamination of eggs by brood fish). Contamination by pathogens can be avoided by using boilded water for incubation of eggs (stagnant water technique).
After 3–4 days when about ⅔ of the yolk sac is absorbed, the larva (weighing about 2–3 mg) becomes a feeding fry. This major turning point in catfish life occurs when the larvae begin vigorously swimming in a fish-like manner for searching for external food items. The presence of yolk at this stage serves to ensure survival, since fry needs some time to learn how to find its own food. Once the yolk sac is fully absorbed, the fry must find adequate food both quantitatively and qualitatively to ensure proper development, failure will weaken them beyond recovery and will stimulate cannibalism. During the early fry stage the development of the main organs will be completed and the metamorphosis ends after about 10–18 days when the accessory air-breathing organ has developed and catfish fry (weighing about 30–50 mg) frequently rise to the surface to breathe air. It is from this point that the advanced fry stage begins.
Two nursing techniques (rearing of fry) have been developed:
In addition to needing all the essential requirements of the larvae such as adequate rearing device, nearly saturated oxygen level, suitable temperature, removal of waste matter, control of enemies and health management as described earlier, the fry also require external food.
Compared to larvae fry, which are known to be very sensivite and delicate creatures require a more precise and concientious care. The lack of suitable food and improper hygiene are believed to be the main causes of fry mortality.
Farming conditions: Feeding fry are still kept in the incubation or larval rearing troughs, and the farming conditions of early fry are similar to those for larvae.
Feeding: Catfish fry have been nursed successfully with the following first feeds: (i) live or frozen zooplankton (ii) live or frozen nauplii (first larval stage) of brine shrimp Artemia salina (iii) decapsulated Artemia eggs.
A variety of artificial dry feeds such as artificial diets, commercial trout starters, microencapsulated egg diet etc. have been tested for primary nursing of C. gariepinus. All of them had more or less the same result: the food intake was considerably reduced especially a few days after commencement of feeding compared to live food items, growth was poor and mortality high. Recently rather good growth and high survival response have been obtained using an artificial dry feed (Uys and Hecht, 1984). This feed, containing 55.4% of crude protein, was mainly composed of dried Torula yeast (Candida utilis) (about 70%) and fishmeal (about 23%). Unfortunately, this type of yeast is not available in most African countries.
Feeding live zooplankton from nearby fresh water fish ponds seem to be the most reliable technique for African countries since importation of Artemia eggs is eigher difficult (no foreign exchange or too high importation tax) or prohibited. A moderate hatchery (production of about 500,000 fingerlings a year) needs at least 1.0 ha ponds to produce the required quantity of zooplankton. Large quantities of zooplankton must be collected daily using a 100–150 micron mesh plankton net.
However, it is relatively easier to produce large quantities of “first food” Artemia. The brine shrimp eggs should be decapsulated and preferably incubated for hatching. These two fairly simple processes are described in Appendix 4.
Early fry must be fed up to satiation 6 times a day between 6.00 am and 8.00 p.m. Feeding every 3–4hrs during 24hrs is even better. The water supply is stopped during feeding to avoid washing out of food items. During each feeding, the feed is administrated in two or three portions. The next portion is only given when all food items have been consumed (this can easily be checked with a pipet).

Fig. 3. 8. Nursery trough for Clarias gariepinus (After Janssen, 1985)
The behaviour of the fry may also be used as an indication for the quantity of feed to be administered. Hungry fry swim vigourously in the water column, whereas well-fed fry gather in clusters on the bottom of the tank and have a considerably swollen belly. The stomach contents of the fry can easily be monitored since their ventral sides are transparent. Thus fry fed on Artimia nauplii or decapsulated Artemia eggs have a distinct orange belly after feeding. Once the fry shows the satiation behaviour, feeding can be stopped and the water supply must be resumed.
The quantity (dry weight) of zooplankton and brine shrimp eggs required for nursing early fry is about 13.5kg and 25kg respectively. For a moderate hatchery with an annual production of 500,000 fingerlings, this tallies with about 6.25 × 1010 Artemia nauplii or small crustaceans or about 6.25 × 1012 rotifers.
Mortality during the early fry stage are negligible under optimum nursing management.
Once the early fry have completed their metamorphosis they become advanced fry. The early fry stage ends when the fry fills up their supra-branchial air chamber with air. From this stage young fish (about 50 mg body weight) accept and grow well on artificial dry feeds.
The advanced fry, which have become real small catfish, are less delicate compared to early fry, but they still need careful nursing.
Farming conditions: The advanced fry are transferred to nursery troughs. These troughs (see section 3.10.1) have the same length and width as the larval-rearing device, but the depth is increased to about 0.5m. Greater depths should be avoided in order to conserve swimming energy since fry rise regularly to the surface to obtain air.
Transferring of advanced fry is a delicated procedure and must be done by carefully siphoning fry into a bucket. The content of this bucket is then gently released in the nursing device.
Each nursing tank, filled with about 160–200 l of water may be stocked with 10,000 fry, (50 to 65 fry per litre).
The water supply must be adjusted once a day according to the dissolved oxygen content of the outflowing water. Compared to larvae and early fry advanced fry are less vulnerable to dissolved oxygen since their gills as well as their accessory air breathing organ have developed. The recommended dissolved oxygen level for advanced fry nursing is 3 mg/l. The water flow rate is regulated by the water temperature and the quantity of feed given per day (see feeding of advanced fry).
The requirements of advanced fry such as water quality, temperature, light, tranquillity hygiene and health management are same as those of larvae or early fry. Some of the farming conditions for advanced fry are shown in figure 3.8.
Feeding: There are several physical and chemical requirements for artificial dry feeds. The feed must have the correct particle size (0.35 – 0.50mm for fry ranging 50 – 100 mg; 0.50 – 0.75 mm for 100 mg – 250 mg, 0.75 mm – 1.25 mm for 250 mg – 1 g). The fry must be able to recognize the feed chemically and optically.
The feed particles must be water-stable to restrict nutrient leaching. The feed must have a low moisture content ( < 10%) to allow storage and the complete range of nutrients as required for fry must be present in each particle.
The advanced fry require a balanced diet which has a high protein and energy content (see Table V). The composition of the artificial diet for advanced fry used in C.A.R. is given in Table 3.III. The technique to prepare artificial feed starters for C. gariepinus which meet the above mentioned physical and chemical requirement is given in Appendix 3.5.
About 10–18 days after hatching the fry will accept artificial diets. The changing from live food items to artificial dry feed is a major turning point in the life of hatchery nursed catfish. This change should be gradual to allow the fish to recognize and to accept artificial feeds. Therefore, the amount of artificial feed is gradually increased during the first week of artificial feeding, while the feeding of live food items is proportionally decreased and then stopped. During feeding artificial feed is given first, followed by regular live food items. Artificial feed can be administered manually (6 times a day) or automatically with feeders (preferably 12 hours during night time). Feeds must always be administered at the same place near the water inlet. The recommended feeding levels for catfish ranging from 50 mg to 1 g and for different water temperatures are given in Table 3.V:
Table 3.V: Feeding level (% body weight per day) for C. gariepinus ranging from 50 mg to 1 g and different water temperatures.
| Body weight (mg) | ||||
| Temp. (°C) | 50 | 250 | 500 | 1000 |
| 21 | 7.0 | 5.0 | 4.5 | 4.0 |
| 23 | 10.0 | 7.0 | 6.0 | 5.0 |
| 25 | 12.0 | 9.0 | 7.5 | 7.0 |
| 27 | 14.0 | 10.0 | 8.5 | 7.5 |
| 29 | 15.0 | 11.0 | 9.0 | 8.0 |
Over-feeding must be avoided since this is belived to be the main causes of disease out breaks at this stage of development.
The maximum quantity of feed for each tank(carrying capacity) can be calculated for a given water flow rate using the formula of Willoughby (1968) (see section 3.3.3). These quantities have been calculated for practical use in the hatchery for different temperatures and different rates of water supply (Table 3.VI). This table has been prepared using the following assumptions:
Table 3.VI: Maximum quantity of feed (g) for different water temperatures and rates of water supply. Estimated oxygen saturation of inflowing water is 95%, values for 80% are given in brackets.
| Water supply l/min. | 22°C | 24°C | 26°C | 28°C |
| 8 | 320 (230) | 300 (215) | 285 (200) | 275 (190) |
| 10 | 400 (285) | 380 (270) | 360 (250) | 340 (235) |
| 12 | 480 (340) | 455 (320) | 430 (300) | 410 (280) |
| 14 | 555 (400) | 530 (375) | 505 (350) | 480 (325) |
| 16 | 635 (455) | 605 (430) | 757 (400) | 545 (370) |
| 18 | 715 (515) | 680 (480) | 645 (450) | 615 (420) |
| 20 | 795 (570) | 755 (535) | 720 (500) | 685 (463) |
| 22 | 875 (625) | 830 (585) | 790 (550) | 755 (500) |
| 24 | 955 (685) | 905 (640) | 860 (600) | 825 (555) |
After 5 to 8 weeks, the advanced fry will have a weight of about 1g. At this size, they can be harvested and transferred to grow-out or fattening ponds. A survival of about 70 to 80% can be obtained under optimum husbandry management.
Health management: Proper health management and good hygienic conditions are the most important factors for successful nursing. They can be achieved by:
Table 3.VII: Daily prophylactic treatments for fertilized eggs and young fish stages (from Janssen, 1985)
| development stage | compound | dose | exposure time (min) | treatment |
| eggs | Wescodyne | 25 ppm | 5–10 | disinfection |
| Malachite green | 0.05 ppm | permanent | fungicide | |
| 5 ppm | 5–10 | fungicide | ||
| Larvae | Malachite green | 0.05 ppm | 30–60 | fungicide |
| Furaltadone | 10 ppm | 30–60 | bactericide | |
| Early fry | Malachite green | 0.1 ppm | 60 | fungicide |
| Furaltadone | 10 ppm | 60 | bactericide | |
| Advanced fry | Furaltadone | 10 ppm | 60 | fungicide |
| Formaldehyde | 15 ppm | 60 | ecto-parasiticide |
Fry are nursed in small earthen (stagnant water) ponds for about one month up to the fingerling stage. The technique described below has been determined emperically in small (400m2) ponds.
The number of ponds required depends on the productivity of the ponds and the quantity of fingerlings to be produced. A moderate seed production centre which aims on an annual production of 500,000 fingerling needs about 40 are (4,000m2) of earthen nursery ponds. This calculation is based on an estimated average production is 12,500 fingerlings per are (100m2) per year.
The size of the ponds may varies from 200 to 1000m2. Rectangular ponds ranging from 10m × 20m to 25m × 40m are advised in order to facilitate seining (fish or predators). These ponds should have a water level of 50 to 100cm. Greater depths should be avoided in order to conserve swimming energy. (Clarias need to swim to the surface to breathe air).
To establish a good standing crop of zooplankton, the nursery ponds are filled with non-polluted, slightly alkaline water (pH 6.5 to 8.0) and well exposed to sunlight.
A minimum water supply of 4–6 l/sec is recommended for an area of 4,000 m2. The water supply has (i) to replace water losses due to evaporation, seepage or leakage, (ii) fill rapidly the sursery pond, (iii) to exchange the water if oxygen depletion or chemical water pollution occurs.
For proper nursery management, it is important that each nursery pond is equiped with a rather wide water supply pipe or channel as well as a draining structure (monk completed with a draining pipe). The installation of a concrete harvest pit is optional. The nursery ponds should be located near the hatchery in an area which is free from flooding.
It is necessary to protect the nursery pond against predators such as juveniles of fish, frogs, toads and frog or toad eggs. Therefore, the pond should be fenced by a fine mesh netting (mosquito net) or roofing sheets if this is cheaper. The fence, having a height of 1m to 1.50m should be embeded for about 10cm. The inflowing water should be strained trough a screened box placed on the inlet pipe. Chemically control of predators in nursery ponds has not been reported up to now.
Cleaning: Before the nursery pond is filled with water the sides of the dikes should be cleaned and monitored on weak points or leaks. These must be repaired immediately. Grasses should be cut and excess of silt from the pond bottom removed. Drying of the pond bottom for a few days will kill potential fry predators such as water insects and amphibian larvae and will increase the mineralisation of nutrients in the pond bottom.
Liming: Liming is an important part of the maintance of nursery ponds. It has a favourable action on the health of the fry and on some biological factors, enhancing the natural production of the pond. These effects can be summarized as follows:
The commonly use liming compound are: quicklime (CaO); caustic lime also called slaked lime or hydrated lime (Ca(OH)2) and agricultural lime (CaCo3). The required quantity of lime depends on the acidity of water and soil and the alkalinity of the soil and varies from region to region and from pond to pond. Heavy loam or clay soils require more liming than sandy soils. The quantity of lime needed depends also on the type of lime employed, since the neutralizing capacities of these compounds are different. The estimated quantity of lime needed are:
| Quick lime: | 5–10 kg/are |
| Caustic lime: | 7-13 kg/are |
| Agriculture lime: | 20–40 kg/are |
Fertilization: It is believed that mainly phosphorus (P) and nitrogen (N) are needed in minimum quantities for optimum quantities for optimum primary production in fish ponds. The favourable action of potassium (K) has not been clearly demonstrated. Since the required quantities of these minerals are not available in ponds, it has become a necessity to add them in order to establish an optimum standing crop of zooplankton (main food source for early catfish fry). This can be achieved by adding them either directly (inorganic fertilizers) or indirectly (organic fertilizers).
Inorganic or chemical fertilizer: The mineral content of these fertilizers is expressed as percentage of equivalent N, P2O5 or K2O. In practice, the principal fertilizers to be used are: superphosphate (about 20% P2O5), triple superphosphate (about 45% P2O5), area (about 45%N) and NPK 15:15:15 (15% N, 15% P2O5, 15% K2O).
Organic fertilizers: Organic fertilizers or manures must first decompose before releasing the required inorganic nutrients. It is believed that manure may also serve as direct food for invertebrate organisms and fish. Commonly used organic fertilizers are: chicken manure, duck manure, pig dung and cow dung. In most African countries it is relatively easy to obtain substantial quantities of chicken manure from the generally well established local poultry farms. Decompostion of manure consumes oxygen which may cause oxygen depletion in the nursery ponds especially at pre-dawn. This can be avoided by frequent application of small quantities of manure Organic fertilizers may also increase the proliferation of “non-desired” filamentous algae.
The following amounts of organic and inorganic fertilizers are applied on the day of filling, when the water depth is about 40–50 cm
| 10–20 kg | manure/are |
| 0.4–0.8 kg | N/are |
| 0.1–0.2 kg | P2O5/are |
The inorganic fertilizers must be dissolved before application. This is of great importance especially for phosphorus fertilizers since this mineral, commercialized as pellets, is easily absorbed by the pond bottom and thus lost for plankton development. Alternatively, phosphorus fertilizers may also be placed on a submerged platform in order to promote gradually release of the nutrient to the pond water.
The appropriate moment for stocking fry is about 3 to 5 days after fertilization when a good standing crop of zooplankton (mainly rotifers) has been established. At the same time fry must also be stocked in nursery ponds free of predators to ensure high survival. This would mean that, in areas where predators (especially tadpoles and frogs) enter the pond inspite of the precautions described earlier have been taken to eliminate them, stocking must be done 1 to 2 days after filling and fertilization of the nursery pond. It is essential to seine the nursery ponds before stocking to guarantee the removal of all predators.
In order to enable better survival, it is advisable to stock the pond either with 2–3 day old fry (yolk has been absorbed for ⅔) or with 6–7 day old fry, fed previously with zooplankton or Artemia in the hatchery. In both cases, fry have two food sources during the initial days in the pond e.g. external food (which may not yet be available in optimum quantities) and remaining yolk or some reserve built up during the previous feeding period.
The fry are stocked at a density of 50 to 100 per m2. The number of fingerlings harvested does not increase with higher stocking rates in ponds where still some predators (frogs and tadpoles) occur. Higher stocking rates up to 500 per m2 may be considered in “predator free” ponds.
It is of foremost importance that the preparation of the nursing ponds is synchronised with those of the artificial propagation to ensure that fry and nursery ponds are both “ready” on the desired moment. A time schedule of synchronised planning is given in appendix 3.7.
Once the fry are stocked a high standing crop of zooplankton, must be maintained in the nursery ponds, by regular fertilization to ensure good growth and high survival. The following amounts of fertilizers are applied twice weekly.
| 5 kg | manure/are |
| 0.1 kg | N/are |
| 0.025 kg | P2O5/are |
Feeding is not necessary during the first week of nursing since the early fry does not accept artificial feed stuffs. However, after one week the catfish need to be fed with a finely ground and sieved (through 0.25 – 0.5mm mesh), artificial feed. This feed is composed of blood meal or fish meal (25%), brewers yeast (25%), oil cakes (heated soya /groundnut/cotton/sesame cake 25%) and wheat or rice bran (25%). Feeds are applied twice a day at a rate of 0.5 kg/are during 2nd week after stocking, 0.75 kg/are during the 3rd week and 1.0 kg/are during the 4th week. After one week of feeding, the size of the feed particles is increased to 0.5 – 1.0 mm but the composition remains the same.
The nursery pond should be monitored once a day, preferably early in the morning. These checks are of foremost importance to ensure good growth and even more to ensure high survival of the catfish. The following should be monitored:
Predators: Amphibian eggs sticking together and floating near the water site must be removed immediately. Frogs and toads can be caught easily after sunset using a torch light and a hand net. The fence is also checked for holes and the screen of the inlet box cleaned. If damaged, they should be promptly repaired.
Fertilization: The water colour and transparency of the water are good indications for proper fertilization. A green to greenish brown colour is a sign for high plankton development. When transparency becomes less than 20cm, plankton density has become too high. Fertilization should be reduced or stopped temporarely and dissolved oxygen content measured. If oxygen depletion occurs (< 0.5 ppm) the water supply must be increased to exchange water.
Fish behaviour: After about two weeks the young catfish who have developed their arborescent organs rise to the surface to breathe air. This air breathing should not be confused with the “jumping” way of air breathing tadpoles.
Pond condition: The condition of the banks of the dykes as well as the water level are checked daily, aquatic and submerged plants are removed.
After about one month, the fingerlings (weighing 2 – 5 g) have to be removed from the nursing pond. After this period, the survival may be less due to cannibalism by the small group of “fast growers” (up to 10g). The fingerlings are collected in a concrete or wooden harvest box fixed on the outlet pipe. After harvest, the fingerlings are sold immediately or stocked temperarily in small stocking ponds up to a stocking density of 100 – 200 per m2.
Sorting out of the harvested fingerlings using a sorting table, into homogeneous groups of different size classes is advised in order to supply homogeneous size fingerlings to the fish farmers. The different size classes can be temporarily stocked in hapas placed in a small pond or concrete tank.
Under proper management, the survival rate varies between 20 and 30%, but if predators (frogs and tadpoles) are not controlled survival rate may be between 0 and 30%. This would mean that a harvest of about 10,000 to 15,000 fingerlings per are a year can be obtained.
Two methods for rearing early fry up to fingerling size have been described above e.g. hatchery nursing or pond nursing. Both methods have their adventages and disadvantages, the more important of which are detailed below:
| Hatchery nursing | Pond nursing | ||
| - | Control of favourable environmental conditions for brood stock, eggs and young fish stages | possible | Not possible |
| - | Health control (drying, cleaning, inspection, treatments etc.) | easy | difficult |
| - | Risk for diseases | relatively high | low |
| - | Predator control | easy | difficult |
| - | Survival | high | low |
| - | Need for compounded feeds | yes | no |
| - | Need for special facilities (infrastructure equipment, electricity) | yes | no |
| - | Need for skilled, diligent, man power | yes | no |
The prerequisites of a catfish hatchery (place where young fish are produced en masse year after year) such as adequate site for hatchery; buildings and ponds; central location, transport facilities; manpower and electricity (preferable) which are more or less the same for all fish hatcheries are not discussed in this paper. The need for qualitatively and quantitatively adequate water have been described earlier.
The lay-out of the facilities of two moderate catfish seed distribution centres (500,000 fingerling per year) are briefly described below. At the first seed distribution centre the fry are nursed in the hatchery whereas in the second this is done in ponds.
The hatchery complex of a hatchery nursed seed distribution centre consist of two units; (i) a broodfish pond and (ii) the hatchery.
Brood fish pond: A brood fish pond of 100 – 200m2, located near the hatchery will be needed to stock about 300 breeders (see section 3.3.2). The broodstock pond should be sufficiently deep (about 1.0 m – 1.5 m). The brood fish may be stocked at a stocking density of 2 to 5 fish per square metre.
The brood fish (0.5–1.0 kg) are fed three times a day at a feeding level of 0.75–1.0% wet body weight. Supplementary feeding of under-sized tilapias is advisable whenever they are available. It is even more simple to stock some tilapia breeders (0.5 to 1.0 per m2) in the brood fish pond.
Hatchery: The hatchery (130m2) consists of: (i) propagation and rearing unit, (ii) laboratory, (iii) office, (iv) small store room.
The propagation unit is composed of:
Two sets of twin tanks for holding of breeders. The first set (males and females segregated) is used for actual propagation, the second for acclimatization (see section 3.3.2). These rectangular troughs (4.0m × 0.7m × 0.8m) which can be fabricated of concrete, wood coated with a thin layer of polyester or waterproof paint are provided with a water inlet and an outlet turn-down pipe (regulating water level).
Two sets of twin incubation troughts provided with trays. These troughs (2m × 0.4m × 0.2m) can be made of concrete (not advised, heavy and difficult to manipulat e), wood coated with polyester or special paint, polyester or glass. Water regulation can be achieved with an adjustable stand pipe (inside the tank) or turn-down pipe (outside the tank).
Artemia incubation unit (if applicable, see section 3.9.1). Artemia eggs are usually incubated in funnel-type incubators made of hard transparent materials such as glass, fibreglass or strong plastic. The incubators can be easily installed by using metal brackets or a wooden table in which holes are provided to retain the incubators. Plastic incubators can be hung using iron rod as support. Tube - light should be installed close to the incubators to enable optimum hatching percentage. Plastic buckets can be used as simplified incubators.
Five sets of twin nursery troughs. These troughs (2m × 0.4m × 0.5m) are made of the same materials as the incubation tanks.
A large table (needed for injection, stripping etc).
5 – 10 plastic pools (preferable depth of 0.5m) with wooden covers for holding of the injected brood fish.
It is covenient to have a laboratory, particularly for preparation of hormone solution, dissection of male for milt procurement, measurement operations, preparation of treatments, placing microscope or binocular etc.
A small room for storage of feeds, tools etc. and an office for the manager of the hatchery are convenient.
The hatchery complex of a pond nursed seed production centre consists of four units: (i) brood fish pond (ii) hatchery (iii) nursery ponds (iv) fingerling stocking pond or tank.
Brood fish pond: See section 3.10.1
Hatchery: The hatchery required for the production of pond nursed fingerlings is the same as described above for hatchery nursed fingerlings centre except that the unit of nursing tanks is not necessary. Therefore, the hatchery building may be smaller (1002).
Nursery ponds: An area of 0.4 ha rectangular nursery ponds (about 400m2 each) is required. The ponds have been described earlier (see section 3.9.2.1).
Stocking pond or tank: Several hapas made of 3–5mm mesh netting are placed in a small stocking pond (100 – 200m2) or concrete tank (5m × 1.5 × 1.0m). The last device should be provided with running water. In this way 20,000 to 40,000 fingerlings can be stocked temporarily.
The production data of the two moderate catfish fingerling distribution centres as described above can be summarized as follows:
| Pond nursing | hatchery nursing | ||
| - | Annual production (No. of fingerlings) | 500,000 | 500,000 |
| - | Nursing period (weeks) | 4–5 | 6–8 |
| - | Number of batches per year | 10 | 5 |
| - | Number of fingerlings per batch | 50,000 | 100,000 |
| - | Number of larvae per batch (survival 25% and 70%) | 200,000 | 143,000 |
| - | Number of eggs per batch (hatching 50%) | 400,000 | 286,000 |
| - | Weight of fertilized eggs (g) (750 eggs per gram) | 533 | 382 |
| - | Weight of injected females (kg) (stripping 100g/kg fish) | 5.33 | 3.82 |
| - | Number of females (0.5kg2) | 11 | 8 |
| - | Surface nursery ponds (m2) (density 50/m2) | 4,000 | - |
| - | Number of ponds (400m2) | 10 | - |
ADCP, 1983. Fish feeds and feeding in developing countries. An interim report on the ADCP feed development programme. FAO-ADCP/REP/83/18. 97 pp.
De Leeuw, R., Goos, H.J. Th., Richter, C.J.J. and Eding, E.H., 1985 Pimozide - LHRHa induced breeding of the African catfish, Clarias gariepinus (Burchell). Aquaculture, 44: 295–302.
Eding, E.H., Janssen, J.A.L., Kleine Starmans, G.H.J. and Richer, C.J.J., 1982. Effects of human chorionic gonadotrophin (HCG) on maturation and ovulation of oocytes in the ovary of the African catfish, Clarias lazera. In: G.J.J. Richter and H.J.Th. Goos (editors), Proc. Int. Symp. Reproductive physiology of fish, Wageningen, The Netherlands, 2–6 August 1982. Pudoc, Wageningen, p. 195.
Hogendoorn, H. and Vismans, M.M., 1980. Controlled propagation of the African catfish Clarias lazera (C & V). II Artificial reproduction. Aquaculture, 21 (1): 39–53.
Richter, C.J.J., Eding, E.H., Leuven, S.E.W. and Van des Wijst, J.M.G.M., 1982. Effects of feeding levels and temperature on the development of the gonad in the African catfish, Clarias lazera (C. & V.). In: C.J.J. Richter and H.J.Th. Goos (eds.), Proc. Int. Symp. Reproductive Physiology of Fish, Wageningen, the Netherlands, 2–6 August 1982. Pudoc, Wageningen : 147–150.
Richter, C.J.J., and Van den Hurk, R., 1982. Effects of desoxycorticosterone - acetate and carp pituitary suspension on follicle maturation in the ovaries of the African catfish, Clarias lazera (C. & V.). Aquaculture, 29: 53–66.
Richter, C.J.J., Eding, E.H. and Roem, A.J. 1985. 17 α -hydroxy-progesterone induced breeding of the African catfish Clarias gariepinus (Burchell), without priming with gonadotrophin. Aquaculture, 44: 285–293.
Sorgeloos, P., 1980. The use of the brine shrimp Artemia in Aquaculture. In: the brine shrimp Artemia. Vol. 3. Ecology, culturing, use in aquaculture. Persoone, G., P. Sorgeloos, O.A. Roels, E. Jaspers (eds.). Universa Press, Wetteren (Belgium).
Woynarovich, E. and Horvath, L., 1980. The artificial propagation of warm water fin fishes, a manuel for extension. FAO Fish. Tech. Pap., 201. 183 pp.
APPENDIX 3.1
CALCULATION OF NUMBER OF FEMALES REQUIRED FOR EACH ARTIFICIAL PROPAGATION
The number of females which should be treated with hormone for the production of larvae depends on the following characteristics:
Body weight of females. Female of 500 – 1000g are easy to manipulate and have a high absolute fecundity.
Stripping percentage. This is defined as the weight of stripped eggs x 100/body weight. Taking into account a security margin a stripping percentage of 10% may be used for calculations using “hatchery” females (year round) and 15% for “pond” females (during the reproductive season)
Number of eggs per gram. This number varies from 600 – 900. A safe number for calculations is 750.
Hatching percentage. This is defined as the percentage of incubated eggs which develop into normal viable larvae. Hatching percentages ranging from 70 to 80% are normal under laboratory conditions. For safety reasons, a mean of 50% will be used for our calculations.
Survival rate. Survival rate from larvae up to fingerlings of 1g is about 70%.
Production capacity of hatchery. A moderate hatchery (see section 6) has an annual production of 500,000 fingerlings.
Based on these production data, the number of females required for propagation can be calculated as follows:
| - | Production capacity per batch | 100,000 | fingerlings |
| - | Number of viable larvae (survival rate 70%) 100,000 × 100/70 | 143,000 | larvae |
| - | Number of eggs incubated (hatching percentage 50%) 143,000 × 100/50 | 286,000 | eggs |
| - | Weight of eggs 286,000/750 | 382 | g |
| - | Weight of females (stripping percentage 10% = 100g eggs/kg fish) 382/100 | 3.82 | kg |
| - | Number of females (500g) 3.82/0.5 | 8 | females |
APPENDIX 3.2
PREPARATION OF THE PITUITARY GLAND SOLUTION AND CALCULATION OF QUANTITY OF HORMONE SOLUTION TO BE INJECTED
Preparation of pituitary gland solution:
| - | Number of females | 18 females | |
| - | Total weight (18 × 0.5kg) | 9 kg | |
| - | Dosage | 4mg/kg body weight | |
| - | Quantity of pituitary powder (9kg × 4 mg/kg) | 36 mg | |
| - | Quantity of solvent | ||
| (1mg/500g body weight) | 18 ml | ||
| of which: | 10% glycerine 18×10/100 | 1.8 ml | |
| 90% salt solution 18×90/100 | 16.2 ml | ||
Calculation of hormone solution to be injected:
| Concentration of pituitary gland solution (36mg/l8ml) | 2 mg/l | |
| Weight of female | 665 g | |
| Required quantity of pituitary gland (4mg/kg × 0.665kg) | 2.7 mg | |
| Required quantity of hormone solution (2.7mg/2mg.ml-1) | 1.35 ml (= 1.4ml) | |
APPENDIX 3.3
CALCULATION OF INJECTION AND STRIPPING TIME
Calculation of injection time
| The fish farmer wants to strip his fish on Friday morning around 9.00 a.m. | ||
| Water temperature (Thursday afternoon) | 27.0°C | |
| Expected temperature on Friday morning | 24.0–25.0°C | |
| Expected mean temperature | 25.5–26.0°C | |
| Expected latency time | ± 11 hrs | |
| Injection time (Friday 9.00 a.m. minus 11 hrs) | 10.00 p.m. (Thursday) | |
Calculation stripping time
| Water temperature (Friday 7.30 a.m) | 24.5°C |
| Mean water temperature (24.5 + 27.0)/2 | 25.8°C |
| Latency time (fig. 7) | 10¾ hrs |
| Stripping time (Thursday 10.00 p.m plus 10¾hrs) | 8.45 a.m (Friday) |
APPENDIX 3.4
PREPRATION OF ARTEMIA NAUPLII
A. Origin of eggs
Dried brine strimp eggs of cysts (Artemia salina) are collected in high saline pools and shallow lakes. They can be obtained from commercial companies all over and world. The quality of the dried eggs varied enormously from source to source, and between different batches from the same source.
B. Decapsulation
Decapsulation of Artimia eggs is preferable for the following reasons:
Artemia eggs are decapsulated by treating them with a commercial hypochlorite or bleach.
In most African countries it is easier and cheaper to use bleaching powder rather than bleach. The hypochlorite solution can be prepared as follows:
This bleach solution has an activity of 3.85 percent of 12 chlorometric percent.
Artemia eggs are decapsulated as follows (Sorgeloos, 1980):
Decapsulated eggs can be either incubated by sea water or preserved in a saturated salt solution (300g NaCl per litre).
C. Incubation
Decapsulated eggs are incubated in funnel-incubators. A 15 l incubator contains up to 100 g eggs. The technique consist of:
At a water temperature of about 24–26°C, the nauplii hatch in 20 to 24hrs. The Artemia solution may be fed directly to the fish with a 50 or 100 ml pipet (the Artemia incubation water is not harmful for catfish and may be added to the rearing tanks). Sometimes, it is convenient to seperate unhatched eggs and nauplii. This can be done by stopping aeration. The unhatched eggs settle first, followed by the nauplii. The two organisms can be siphoned off seperately using a pipet or small rubber hose.
APPENDIX 3.5
PREPARATION OF ARTIFICIAL FEED STARTER
Artificial feed starter for catfish fry can be prepared as follows:
All solid ingredients as listed in Table VI are dried until moisture content is less than 10%
All solid ingredients are ground using a high-speed hammermill. Particles must be passed through until they can be sieved out with a 150 – 200 um mesh sieve
The required amount of solid ingredients, to make up 1 or 2 kg of feed, are then measured and mixed thoroughly.
Small pellets (1.5 – 2.0mm) are compounded with a laboratory pelleting machine (dry pellets) or a mixer-mincer (moist pellets)
The pellets are then dried until the moisture content is less than 10%.
The pellets are fractionated with the hammermill into particles ranging from 0.35 to 1.25mm.
The particles are then sieved to obtain the required particle sizes e.g. 0.35–0.50m; 0.50–0.75m and 0.75–1.25mm.
Feed prepared in this way can be stored for about 1 to 2 months in a dark, air-tight container, preferably maintained in a cool place (refrigerator). The oil supplement is sprayed on the particles just prior to feeding.
APPENDIX 3.6
CATFISH DISEASES
Clarias are particularly resistant to environmental stress, due to the harshness of their natural habital where drying out, high turbidity, extreme temperatures, and starvation occurs frequently. However, they are not immune to farming stress such as sudden and excessive temperature changes, poor water quality, inadequate feed and feeding regime, and repeated or rough handling by man. While healthy fish resist in general to diseases which are always present in natural waters, stressed fish becomes much more vulnerable due to a decreased natural defence mechanism.
Stressed and diseased fish can nearly always be recognized by abnormal behaviour. This starts with decreased food intake followed by abnormal swimming behaviour showing for example nervousness or slow swimming or whirling. While healthy fish generally lie on the bottom of the rearing tank, stressed or diseased catfish often stay in a vertical position at the surface near the outlet.
The more important catfish diseases found are:
Yolk sac oedema. This is one of the most important larval diseases. Mortalities ranging from 50 to 100% may occur after two or three days. The clinical symptom of this disease is an considerably swollen and transparent yolk sac. Yolk sac oedema is due to bacterial contamination with Aeromonas spp. Antibiotics such as Oxytetracycline or Chloramphenicol should be applied in a bath of 50 ppm for 1 hour. This therapeutic treatment is repeated twice a day during 6–10 days.
Myxobacteria. The disease occurs in juveniles as well as in adult fish. While spots become visible on the skin, particularly on the fins, barbels, and injured parts of the skin. The organisms causing this disease are bacteria of the species Flexibacter. While this disease is generally not fatal to adult fish, high mortalities may occur in juveniles. Therapeutic treatments (a bath of 50 ppm Chloromphenicol or 10 ppm Penicillin together with 10 ppm Furaltadone for 1 hr during 6–10 days) should be applied promptly, or else the entire population will be contaminated within a few days. Contamination is also avoided by eliminating all diseased juveniles twice daily. Adult fish recover easily with the above treatments.
Parasitic diseases. In the wild, catfish have many parasites particularly on the skin and gills as these external tissues are easily invaded. Under optimum husbandry conditions the catfish and parasites maintain an even balance whereas with stressed fish the parasites may proliferate very quickly and become fatal. The most important parasites found in catfish hatcheries are: Trichodina spp, Gyrodactylus spp, Dactylogyrus spp., Chilodonella spp., Costia spp, and leeches. Bathing with formaldehyde (100 – 150 ppm for 30 – 60 min) or Trichlorphon, an organic phosphorus compound (0.25–0.75 ppm, permanent) is recommended. Copper sulfate (CuSO4) and Potassium permanganate (KMnO4) may be applied to treat external protozoa.
Fungus infections. the only fungal infection currently found in catfish hatcheries is Saprolegnia infection. Saprolegnia, a ready and potentially very serious pathogen, is particularly prolific in eggs, larvae and early fry. Prophylactic treatment with Malachite green generally controls fatal outbreaks of fungus infections. Dosages for eggs range from 5–10 ppm (exposure time 10–15 min) and for young fish from 0.05–0.1 ppm (exposure time 1 hour).
Crackhead disease. This disease has only been found in adult fish and its cause is not completely understood. Adverse water quality as polution through overfeeding or accumulated waste matters is believed to be one of the main factors causing this disease. The clinical symptoms are: slightly distended abdomen due to septicaemia and heamorrhagy, necrotic arborescent organs, particularly the air chamber tissue, and occasionally exophthalmus (pop-eyes). In a later stage of the disease the affected fish show a reddish lateral line on the skull between the two air chambers due to heamorrhaging and necrosis of the osseous plates. Finally, the skull, will break laterally. If this disease appears, the brood fish tank should be cleaned (all waste matters must be eliminated water quality monitored and feeding stopped for a few days. Reduced quantities of feed should be distributed until the brood fish has recovered (generally after a few weeks).
APPENDIX 3.7
SCHEDULE OF SYNCHRONIZED ARTIFICIAL
BREEDING AND POND NURSING ACTIVITIES
| day | artificial reproduction | pond nursing |
| - 4 | injection of brood fish | - |
| - 3 | stripping and incubation | cleaning of nursery pond (cutting grasses, removal of silt etc.) |
| - 2 | hatching, sepe ration normal larvae and spoiled eggs | liming |
| - 1 | cleaning larval trough | filling, fertilization |
| 0 | - | stocking |
| 3,7,10,14,17,21 | - | fertilization |
| 26 – 30 | - | harvest |