Onio Terekia
Marine Resources Division,
Rarotonga, Cook Islands
Introduction
Aquaculture development in the Cook Islands is presently being examined with interest by the Ministry of Marine Resources. The ministry's aquaculture priorities include culturing giant clams (Tridacna deresa) and milkfish (Chanos chanos) for stock enhancement.
Present State of Milkfish Production
Milkfish are abundant in the coastal waters of the northern Cook Islands such as Manihiki and Penrhyn, and in fewer numbers off Rakahanga and Pukapuka. Two other northern atolls, Suwarrow and Nassau, have no record of milkfish sighting in their coastal waters.
Milkfish inhabit brackish water ponds adjoining the lagoon. Ponds situated further inshore are used for milkfish culture. At very high tides milkfish fry and fingerling naturally enter ponds adjoining the lagoon through small inlets. Milkfish fry and fingerling are manually transferred to stock inshore ponds.
On the island of Manihiki at one particular inshore pond, milkfish farming is strictly regulated by the representative councillor. This allows the animals to grow to an adequate size before harvesting. Harvesting, supervised by the councillor, is only performed during traditional ceremonies or when VIP's visit the island.
On the island of Penrhyn, the layout of the ponds is similar to that on Manihiki, with ponds adjoining the lagoon and further inshore. However, in Penrhyn all the milkfish ponds are owned, managed and harvested by individual families or clans. At the harvest season, fish are distributed to the community or sent to families staying on the main island (Rarotonga).
Only few adult milkfish have been reported from Rakahanga and Pukapuka islands.
Apart from the northern atoll islands, adult milkfish are seen in Aitutaki, Palmerston, and Manuae islands in the southern Cook Islands. Palmerston and Manuae are both atolls, while Aitutaki is of volcanic origin. There are no brackish water ponds in the three islands. It has been difficult to capture milkfish fry and juveniles around the shorelines. Only a few adult milkfish are caught by gill nets.
The nearby island of Mitiaro has a large freshwater lake. Several years ago, juvenile milkfish from Aitutaki were transferred into the lake. Unfortunately, no official records on this experiment are available.
Milkfish Marketing
Adult milkfish caught range in size from 1 to 1.5 m in length. The catch is sometimes sold to hotels at the price of NZ$5.00 per kg in the outer islands and NZ$6.50 to 7.00 per kg on the main island.
Development Potential and Outlook
Presently, the Ministry of Marine Resources is interested in establishing milkfish farms on the island of Mitiaro.
Tashiro Ludwig*, Arnold Elley**, Saelus Taulung** and John Iou***
* Pohnpei State Marine Resources, Pohnpei, FSM
** Kosrae State Marine Resources, Lelu, Kosrae, FSM
*** Yap State Marine Resources,
Introduction
According to Pohnpeian mythology, milkfish (Chanos chanos) was brought into existence by the gods through the rain. This species of fish is therefore named according to the myth as “mwommwenleng” meaning “heavenly fish.” Pohnpeians believed that fry inhabit the brackish waters.
Milkfish occure naturally throughout the atolls and lagoons of the over 600 islands, that form the four states of Yap, Truk, Pohnpei and Kosrae of the Federated States of Micronesia (FSM). However, reliable information regarding milkfish are not available.
Milkfish vary in importance and value as traditional food among the different cultures on the widespread islands. They are highly prized on some islands in Kosrae and Yap states. In Yap State a local farmer has built his own ponds to culture milkfish.
Early trials by the Micronesian Mariculture Demonstration Center to build ponds for finfish culture in the four FSM states in the mid 1970s failed. Experts from the Philippines and Japan looked at the potential for milkfish culture in Yap and Pohnpei in the early 1980s.
Only a few studies on milkfish culture have been made. They include “Fish pond technical feasibility studies in Yap State”, by Handog, Dearlang and Espelo in 1979 and “A survey of existing fish pond on Yap proper with recommendations for the development of subsistence fish culture,” by Nelson of the University of Guam, Marine Laboratory in 1987.
Milkfish Marketing
Milkfish are consumed for subsistence and marketed locally as whole fish, either fresh or frozen. An adult milkfish, netted or speared, averages 8 kg. Local catches are sold at prices ranging from US$1.30 to 2.20 per kg. Asian workers in Micronesia prefer milkfish and support a small level of imported frozen milkfish. This species is imported to Pohnpei and Yap from Guam and the Philippines, and sold at US$6.00 per kg in Pohnpei. Domestic prices have been increasing and local production has not been sufficient for export.
Present Status of Milkfish Production
In Yap, adult milkfish (1 m and larger), locally called “tangir,” are caught in the wild and are given to a certain family or clan. Culturing of milkfish in Yap and Kosrae depends on natural stocking from wild populations and is performed in natural ponds without any additional improvements. Such an approach provides a convenient food source when rough weather prevents fishing.
Trials to culture finfish in Yap have been unsuccessfully attempted. A US$5,000 grant from the Community Action Programme to culture milkfish, rabbitfish, mangrove crabs, and mullet was inadequate. The project still needs a main gate and to have the sluices trimmed. The site chosen includes three brackish water ponds (a nursery of 15 by 30 m, an intermediate pond of 40 by 50 m, and a grow-out pond of 50 by 60 m) of 1.5 m deep.
Development Potential and Outlook
Adult milkfish are found in all the islands of FSM, even in the outer atolls. Seasonality and abundance of fry for pond stocking, needs to be evaluated throughout the FSM.
Local demand and prices for all fish products are constantly increasing. There seems to be export potential of fresh milkfish to Nauru, Guam, Saipan and Hawaii.
There is a great interest at the grassroot level in producing milkfish in the FSM and hundreds of acres of potential pond sites exist. Government support and development bank loans have already been used and private investments remain available for development of milkfish culture.
Constraints and Recommendations
A demonstration and training project for milkfish culture is planned at the proposed FSM Aquaculture Center, Kosrae, to disseminate information, train farmers, and establish appropriate small-scale milkfish culture technology throughout the FSM.
Ecologically, mangrove areas are very important for small islands like Yap. Identification of suitable sites for fish pond construction should be assessed. Road construction is taking place throughout mangroves areas. Under such circumstances, basins delineated by the inland side of the road could be suitable for fish-pond development.
The most immediate need for culturing of milkfish in the FSM is a study on fry availability, and geographical and seasonal distribution. This study was initiated in 1986 in Yap, but no financial support could be secured for the study.
Marketing of milkfish must be primarily local and then, if produced in sufficient amounts, exported to Guam, Saipan, and Palau.
Dr. Stephen Nelson
University of Guam,
Guam
Introduction
Although milkfish are common at many locations within Micronesia, they are relatively uncommon on Guam (Amesbury and Myers, 1982). Therefore, no tradition of milkfish culture and no fishery for either the adults or the fry has developed on Guam. Until recently, the only milkfish available in the markets of Guam were those imported from the Philippines.
Experimental culture of milkfish on Guam was first undertaken in the mid-1970s as part of a program developed by the Guam Department of Agriculture, which was then the lead agency for aquaculture development. Currently, the Guam Department of Commerce is the lead agency for aquaculture development. Commercial production of milkfish began in 1983 and has grown steadily since. There are currently three businesses engaged in aquaculture of milkfish on Guam; these are Inarajan Enterprises, Lu Island Farm, and Wang's Farm.
Present State of Milkfish Production
Milkfish production through aquaculture has not yet replaced milkfish imports from the Philippines. Both the imported and the locally produced milkfish are sold primarily to ethnic Filipinos, which constitute over 25% of Guam's culturally diverse population of 130,000. Despite the fact that most milkfish purchases on Guam are made by consumers of Filipino heritage, the production ponds are all owned and operated by ethnic Chinese, from either the Republic of China (Taiwan) or the People's Republic of China. This is presumably because of their previous experience with fish culture in their home countries.
The only production of milkfish on Guam has been through aquaculture. Milkfish are raised in freshwater, brackish, and marine ponds located along the southeastern coast of the island, the only part of the island with terrain and soil suitable for pond aquaculture. Methods of culture used on Guam are essentially those described as the “modern” or “deep-water method”, which is practiced in Taiwan (Liao and Chen, 1986). Fry for stocking the ponds are imported from Taiwan and grown to a market size of 450 g to 680 g over a period of approximately five months. The milkfish are fed pelletized feed imported from either Taiwan, the People's Republic of China or the United States. Locally produced whole milkfish are sold freshly chilled in small markets shortly after harvesting.
On Guam, milkfish are raised in ponds which range in area from 3,000 to 10,000 m2 with water depths of 1.5 to 2.0 m. Ponds of 4,000 m2 are used as nursery or holding ponds as well as grow-out, and larger ponds are used for grow-out. All the commercial ponds are located in the southeast portion of the island which has volcanic soil and gently sloping terrain. Temperatures in the ponds on Guam range from 28 to 31°C (FitzGerald and Nelson, 1979).
The water salinities in the ponds used for grow-out depend on the location of the pond and can vary dramatically with rainfall. Salinities in grow-out ponds used for milkfish range from freshwater to 34 ppt seawater. According to producers, optimum salinity is approximately 20 ppt, which allows maximum growth and yields fish with high quality flesh and good flavor. At higher or lower salinities the quality of the flesh and flavor are adversely affected, although the fish is still marketable. Growers on Guam report that milkfish growth is reduced at salinities above 34 ppt, but that milkfish are known to survive even hypersaline conditions (Crear, 1980).
The only monitoring of water quality by commercial producers is through visual inspection of the water color and observation of the fish behavior. When the water becomes too green, the water in the pond is partially exchanged. Dissolved oxygen levels are maintained by paddle-wheel aerators which operate all night from 1800 hrs. Rates of feeding and flushing may be adjusted if the fish are observed crowding around the aerators. The intake pipes are not generally screened, so other fishes occasionally enter the ponds and are harvested along with the milkfish.
In addition to aeration and flushing, the water quality is maintained through the application of lime in the form of calcium hydroxide. The lime is obtained from Taiwan at a cost of US$5.00 per 20 kg bag. The rate of application is dependent on the age of the pond.
Fingerlings and juveniles for stocking the ponds are obtained from suppliers in Taiwan. Either hatchery-reared or wild-caught fry may be stocked depending on the time of year. According to Villaluz (1984), milkfish fry occur naturally in Taiwan from April through August with a peak in abundance occurring in May. On Guam, milkfish fry can be obtained from Taiwan from May to September. In the early part of the season, only wild fry are available, and these cost US$0.10 each including US$0.025 each for shipping. In June, hatchery-reared fry become available, and the price drops to US$0.05 each, including shipping. In addition to their lower price, hatchery-reared fish are preferred, because fry of predatory fishes are often accidentally introduced with the wild milkfish fry, and this has resulted in drastic reductions in milkfish yield.
When fingerlings and fry are obtained, they are often first stocked in a 4,000 m2 nursery or holding pond. Initial stocking density may be as high as 50 fry per m2. The fish are held in this pond until space is available in the larger grow-out ponds into which the fish are transferred when they have reached a size of approximately 12.5 cm total length. The grow-out ponds are stocked at 10,000 to 12,500 fish per ha.
The nursery/holding pond is used because milkfish fry and juveniles can only be obtained during a few months of the year. On Guam they can be reared to market size all year round. As space becomes available as a result of harvesting, fish are transferred from the holding pond to the grow-out ponds.
Several feed types are used for culturing milkfish on Guam. One grower uses a small, pelletized feed for the nursery/holding pond and a different feed for grow-out. The smaller feed, formulated for milkfish, consists of 27% protein and is obtained from Taiwan for US$0.57 per kg. The larger feed used for grow-out contains 36% protein. It is formulated for catfish and is obtained from the United States at a cost of US$0.55 per kg. Another grower uses feed, 40% protein, which is obtained from the People's Republic of China at a cost of US$12.00 per 25 kg bag or approximately US$0.48 per kg.
The amount of feeding during grow-out ranges from 3 to 5% of the weight of the fish per day. Feeding is accomplished by means of automatic feeders. The pond manager closely observes the behavior of the fish at feeding times. Feeding rates are reduced on cloudy days, on occasions when few fish come to the feeders, and routinely as the fish increase in size. The fish are fed three times per day.
Growth rates of milkfish in commercial ponds on Guam vary with season and the rate of feed application. For example, on the average, fish will grow from the 13 cm size at stocking to a 680 g market size in three months during the rainy season and in 5 months during the dry season. This is the result of limited water availability for pond flushing during the dry season. Feed conversion rate is generally 2.
Harvesting of the milkfish is generally accomplished with 5 to 6 cm mesh gill nets when the fish reach a size of 590 to 680 g, the most readily marketable size on Guam. If the market demand is not strong, grow-out may continue until the fish reach a 1.36 kg per fish size. Four or five people are hired to assist during harvesting. The fish are removed from the pond and placed for 20 minutes in iced water. They are then placed on crushed ice in containers, alternating layers of ice and fish, for delivery to local markets.
Milkfish Marketing
The cultured milkfish are sold locally, primarily to consumers of Filipino descent. Wholesale prices are around US$4.40 per kg, and retail prices are typically between US$5.50 and $6.60 per kg. The price at which the fish are sold depends on the competition from other producers. If other producers do not have milkfish available for marketing, the prices are raised by the farmer who has fish. The price of locally produced milkfish is usually lower than prevailing prices of milkfish imported from the Philippines.
A detailed break-even economic analysis has been completed for milkfish production for one of the farms on Guam (FitzGerald, 1988). In this analysis it was determined that the break-even point for milkfish cultivation on Guam occurs at a production rate of approximately 7,500 kg per ha per year. This is considerably lower than the actual rates of production obtained, which generally exceed 11,350 kg per ha per year. The major components of the variable costs of production are feed (40%), labor (28%), and fry (8%).
The production of milkfish has grown steadily since the first commercial production in 1983 (Table 1). Production for 1987 was in excess of 47,000 kg. Part of this increased production is due to increased availability of milkfish fry as a result of the development of hatchery production in Taiwan. Hatchery production has been made possible by advances in controlling milkfish reproduction and developing technology for rearing the larvae. Despite increasing local productions, milkfish are still being imported from the Philippines several times a week at some markets.
Milkfish is the most important of the fresh or frozen whole fish imported to Guam. In 1981, 62.7 metric tonnes (mt) of chilled or frozen milkfish and 7.26 mt of dried, salted, or de-boned milkfish were imported to Guam from the Philippines (Myers et al., 1983). Imports of fish from Palau, Yap, or Truk rarely include milkfish. Trends in import quantities since the start of local milkfish production are difficult to determine because data are not readily available. Records on imported fish and shellfish are maintained by the Guam Department of Commerce but are not categorized by species. Although information on particular species could be obtained by examining the invoices, invoices are often incorrect and accurate estimates can often only be obtained by applying correction factors derived from inspecting the actual shipments (Meyers et al., 1983).
Milkfish prices have increased considerably over recent years. In 1981, the retail price for whole milkfish on Guam ranged from US$4.55 to US$6.69 per kg (Meyers et al., 1983). Current (November 1988) prices for whole, chilled milkfish imported from the Philippines, ranged from $6.80 to 8.37 per kg in retail outlets (Table 2). In the larger food markets, frozen whole milkfish are also available and sell from US$5.48 per kg. Frozen, marinated, deboned milkfish sells for US$6.58 per kg. Smoked and canned milkfish are also available.
The only export of milkfish produced on Guam has been to Nauru. This has been recently discontinued, according to one producer, as a result of problems in obtaining prompt payment. Smaller quantities of milkfish have been purchased on Guam and taken to Saipan for distribution.
Development Potential and Outlook
Potential market expansion for locally produced milkfish could occur in several areas. Because whole milkfish are still being brought into Guam from the Philippines, the potential exists for expanding local production to replace imports. Also, the military markets, which are responsible for 30 to 40% of the total food imports to Guam (FitzGerald, 1981), are currently closed to local fish producers. This is apparently in the mistaken belief that fish from the western Pacific are more likely to have parasites than fish from elsewhere.
There is also potential for the development of export markets in Nauru, Saipan, Hawaii and on the west coast of the United States. Test marketing in Hawaii of milkfish produced on Guam showed that the aquaculture products were well received in both markets and restaurants (D. Crisostomo, personal comm.). However, there have been no detailed studies of the feasibility of exporting milkfish to Filipino markets in either Hawaii or the continental United States.
If domestic and export markets were expanded, local production of milkfish would have to increase. This could be achieved either through increasing the pond area devoted to milkfish production or by increasing production from existing ponds. The production per acre from Guam ponds are affected by the amount of milkfish that the local market can absorb (FitzGerald, 1988). A farmer cannot market all the production from a large pond at one time, so partial harvesting with gill nets is practiced. This practice increases operating costs and reduces conversion efficiency because the fish do not feed well for several days after being disturbed by a harvest. Therefore, if the milkfish markets were expanded, production from existing ponds could be increased.
Table 1. Aquaculture production of milkfish on Guam from 1983 to 1987.
| Year | Annual Production (kg) | Percent of total Aquaculture Production |
| 1983 | 2,362 | 6.3 |
| 1984 | 13,710 | 28.8 |
| 1985 | 13,788 | 16.3 |
| 1986 | 33,876 | 23.7 |
| 1987 | 47,275 | 26.1 |
Source: University of Guam, College of Agriculture and Life Sciences
Table 2. Current prices for milkfish at retail markets on Guam.
| Market | Location | Product | Size | US$/kg |
| Donald Mart | Dededo | Chilled, whole | >1.4 kg | 7.90 |
| <1.4 kg | 6.80 | |||
| Oyada Mart | Tamuning | Chilled, whole | all | 8.30 |
| Payless | Dededo | Frozen, whole | 0.9 kg | 5.48 |
| Frozen, deboned | 0.9 kg | 6.58 | ||
| Philippines | ||||
| Marine Products | Harmon | Chilled, whole | >0.9 kg | 7.70 |
| 0.45–0.9 kg | 6.60 | |||
| <0.45 kg | 6.05 | |||
| Lu Island | Harmon | Chilled, whole | 0.45–0.9kg | 5.50 |
The cost of feed is a major component of the variable costs of milkfish culture on Guam (FitzGerald, 1988). Presently, all feed is imported either from Taiwan, the People's Republic of China, or the United States. The establishment of a local feed mill may reduce the price of feed thereby making the culture of milkfish and other species more attractive.
The support services available for the aquaculture industry on Guam were described by FitzGerald (1982) in the aquaculture development plan for Guam. These include the availability of loans through the Guam Economic Development Authority and technical support and extension programs through the University of Guam. In addition, the Guam Aquaculture Association, a non profit organization, was formed in 1980 to address common concerns of the producers and to promote the development of aquaculture. Increased support from relevant agencies, programs, and organizations will be needed as the industry on Guam develops.
An aquaculture hatchery and research facility was recently acquired by the Government of Guam. The Guam Aquaculture Development and Training Center was recently established at the facility, located at Fadian Point on Guam's eastern coast. The Center is managed by the Guam Department of Commerce with assistance from the University of Guam. The facility is currently being renovated and is now in operation at a reduced capacity. If desirable, it will be possible to develop a functional milkfish hatchery at the facility to supply Guam and other islands within the region with fry for stocking.
Constraints and Recommendations
More data are needed concerning the existing and potential markets for whole milkfish as well as on value for added milkfish products. Information is needed on the quantities and product forms of milkfish imported to Guam, on consumer preferences, and quantities and product forms of milkfish imported to Guam, on consumer preferences, and on both retail and wholesale prices. In addition, the marketing of other forms of milkfish (gutted, deboned, smoked, marinated, etc.) should be explored. Potential export markets, particularly in Hawaii, California, and other areas with large populations of ethnic Filipinos, should be explored. In addition, attention needs to be paid to promoting milkfish consumption by other ethnic groups on Guam.
Data on the quality of imported fish products in comparison to those locally produced are also lacking. However, concern is often expressed by consumers and marketers over the quality of the fish imported from the Philippines. Fish products entering Guam are supposed to meet the standards imposed by the United States Food and Drug Administration. However, enforcement by the Guam Department of Health and Social Services has not been rigorous. Quality comparisons with imported milkfish may be used to promote locally cultured fish.
Increased production could be obtained through improved pond management. For example, in Taiwan the adoption of a newer deep-water method of milkfish culture resulted in increases in yield over the traditional shallow-water method (Liao and Chen, 1986). In this case, increasing pond depth and provision of supplemental feed resulted in dramatic increases in milkfish production per unit area. To improve pond management, data are also needed on various aspects of the ecology of the grow-out ponds, including information on the relationships between water quality, pond temperature, plankton composition and density, microbial metabolism in the pond sediments, and milkfish growth.
A feed mill was operating several years ago but has since gone out of business. An economic study of the feasibility of re-establishing a local feed mill would provide useful information for pursuing this avenue of potential development.
Reliance on importation of fry for culture increases the risk involved in milkfish culture on Guam. If sufficient demand for milkfish fry were generated, the recently established Guam Aquaculture Development and Training Center should be able to produce fry for commercial growers within the region. Developing this capability would entail the transfer and refinement of technologies for broodstck maturation, induced spawning, and larval rearing.
Acknowledgements
I am particularly grateful to Mr. George Tsai of Inarajan Aquaculture Enterprises for generously sharing his time and knowledge of various aspects of milkfish culture on Guam. Thanks also to Mr. William J. FitzGerald, Jr. of the Guam Department of Commerce and to Mr. Barry Smith of the University of Guam Marine Laboratory for thoughtfully reviewing the manuscript.
References
Amesbury, S.S. and R.F Myers. 1982. Guide to the coastal resources of Guam: Vol. 1. The Fishes. University of Guam Press, Mangilao. 141 p.
Crear, D. 1980. Observations on the reproductive state of milkfish populations (Chanos chanos) from hypersaline ponds on Christmas Island (Pacific Ocean). Proc. World Maricult. Soc. 11: 548–556.
FitzGerald, W.J.Jr. 1981. The potential market for aquaculture products produced on Guam. Quarterly Economic Review Vol. 3 (4):1–10. (Published by the Guam Department of Commerce).
FitzGerald, W.J.Jr. 1982. Aquaculture development plan for the territory of Guam. Government of Guam, Dept. Commerce. 182 p.
FitzGerald, W.J.Jr. 1988. Analysis of the financial return from aquaculture under different culture systems in Guam: A decision making tool for management. University of. Guam Mar. Lab. Tech. Report 91, 35 p.
FitzGerald, W.J.Jr. and S.G. Nelson. 1979. Development of aquaculture in an island community (Guam, Mariana Islands). Proc. World Maricult. Soc., 10:39–50.
Liao, I.C. and T.I. Chen. 1986. Milkfish culture methods in Southeast Asia. p. 209–242. In, C.S. Lee, M.S. Gordon, and W.O. Watanabe (eds.), Aquaculture of milkfish (Chanos chanos): state of the art. The Oceanic Institute, Waimanalo, Hawaii.
Myers, R.F., P. Callaghan, and W.J. FitzGerald, Jr. 1983. Market for fresh or frozen whole fish on Guam. Univ. Guam Mar. Lab. Tech. Rept. 84. 50 p.
Villaluz, A.C. 1984. Collection, storage, transport, and acclimation of milkfish fry and fingerlings. p. 85–96. In: J.V. Juario, R.P. Feraris, and L.V. Benitez (eds.), Advances in Milkfish Biology and Culture. Island Publishing House, Inc., Metro Manila, Philippines.
Christopher D. Kelley, Jessie E. Banno,
Clyde S. Tamaru, Cheng Sheng Lee
Oceanic Institute,
Honolulu, Hawaii, U.S.A.
Historical Review
Production
Milkfish, Hawaiian name “awa”, have been cultured in Hawaii for hundreds of years. Archaeological fish pond sites can be found on all of the major islands: Hawaii, Maui, Molokai, Oahu, and Kauai (Madden and Paulsen, 1977). The construction of the first Hawaiian fish pond is credited to a prehistoric Hawaiian named Ku'ula-kai who lived sometime before 1300 A.D. (Kikuchi, 1976). Prior to the discovery of the Hawaiian Islands in 1778, an estimated 340 to 360 fish ponds containing primarily milkfish and mullet were in existence (Cobb, 1902). The acreage of 304 of these ponds is known, the total of which is 2,243.4 ha (Kikuchi, 1973) averaging 7.38 ha per fish pond. Cobb (1902) estimated the ancient yield of preferred species (i.e. milkfish, mullet Mugil cephalus, and ten-pounder Elops hawaiiensis) to be 414 kg per ha. Using this figure along with the estimate of 360 operating fish ponds at an average size of 7.38 ha, Kikuchi (1976) estimated the annual production to be approximately 1,050 mt from 2,655 ha, or 396 kg per ha per year.
Modern day yields in Taiwan can reach as high as 2 mt per ha per year. It has been suggested that the relatively low pre-European production is the result of both the type of pond construction and the religious beliefs of that time (Kikuchi, 1976). Hawaiian fish ponds were constructed with either open ditches, sluice gates, or permeable rock walls. These features did not allow control over the influx or efflux of juvenile fishes. Secondly, because of the belief that the Hawaiian gods “abhorred” sewage and kitchen refuse, the ponds were not fertilized. Kikuchi (1976) suggested that the purpose for constructing and maintaining these ponds in prehistoric times was not to produce large quantities of fish but rather to “yield selected fish on call” and to be “symbols of the chiefly right to conspicuous consumption and to ownership of the land and its resources.”
Figure I summarizes available information on the pond production of milkfish during the two hundred years following the European discovery of the Hawaiian islands. As a result of western influence, social and symbolic function of the fish pond mentioned above disappeared. Since many of these ponds were not commercially viable to maintain and operate, their number began to decrease as a result of natural erosion, conversion to agricultural land, destruction by lava and tsunamis, and landfills for shore-line expansion (Cobb, 1902). By 1901, Cobb found only 104 ponds totalling 1,180 ha still operating. Cobb estimated the total production for that year to be 310,127 kg, less than one third of the estimated pre-European production. Of this total, 71% or 220,190 kg were mullet and 28% or 87,622 kg were milkfish. The remaining 1% included “aholehole” (Kuhlia sandvicensis) and “o'opu” (various Gobidae species).
This decrease in the number of operating fish ponds accelerated dramatically in the 20th century. By 1950, there were only 12 licensed fish ponds in Hawaii which, together with the nearshore catch, produced only 76,726 kg of milkfish and mullet (calculated from Shomura, unpublished). Between 1960 and 1970, the annual milkfish production from ponds varied from 3,495 kg to 4,753 kg (Aquaculture Plan. Prog. 1978).

Figure 1. Milkfish production in Hawaii from 1778 to 1980. Data were compiled from Aquaculture Planning Programme, Center for Science Policy and Technology Assessment (1978), Cobb (1902), Kikuchi (1976), and Shomura (unpublished).
In the 1970s, this figure dropped as low as 224 kg. The virtual disappearance of milkfish production is considered to be perhaps the most dramatic decline of a fishery in the Hawaiian Islands.
Traditional Utilization
In 1778, when the Hawaiian Islands were first visited by Europeans, the population was estimated to be 300,000 (Kikuchi, 1976). Based on his estimated pond aquaculture production figure for that time, Kikuchi calculated that fish ponds could have produced only 3.6 kg of fish per person per year and therefore could not have provided a major source of protein for the general population. Instead, fish ponds were set aside primarily for the chiefs. It was “kapu” for commoners to take either milkfish or mullet from these ponds except in times of need. Therefore, pond cultured milkfish served two functions:
Milkfish was not a sacred species and fish caught offshore were not under any restrictions (Wyban, personal communication). However, the authors could not locate historic estimates of the capture fishery.
Current Status 1981–1987
Production: Capture Fishery
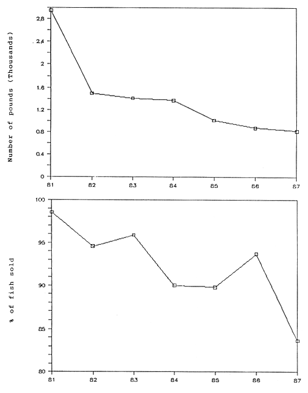
Milkfish are occasionally encountered around reefs or further offshore, but most are caught in shallow by areas. Figure 2 provides data from 1981–1987 on the annual milkfish landings in Hawaii. In 1981, approximately 1,340 kg were caught, of which 1,320 kg were sold. In 1987, 371 kg of milkfish were caught, of which 311 kg were sold. Figure 3 shows that although the catch dropped by 73% between 1981 and 1987, the value per kg remained constant at US$2.02. The total value of the milkfish catch has therefore dropped in a direct relationship to the number of kg caught, from US$ 2,683 in 1981 to US$ 634 in 1987.

Figure 2. The annual number of ponds of wild-caught milkfish and the percentage that was sold in Hawaii between 1981 and 1987. Data were obtained from the Department of Aquatic Resources, State of Hawaii.

Figure 3. The annual value per pond and total value of wild-caught milkfish in Hawaii between 1981 and 1987. Data were obtained from the Department of Aquatic Resources, State of Hawaii.
Production: Aquaculture
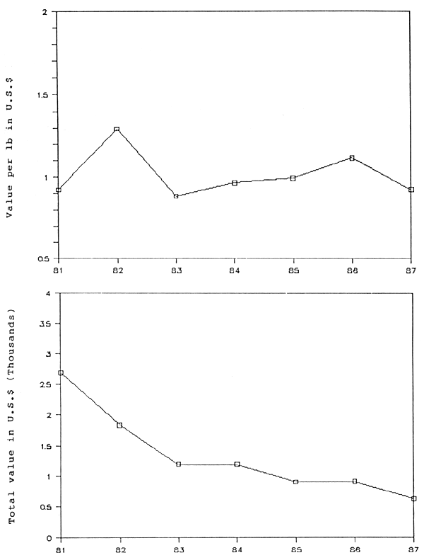
Figure 4 provides data on the pond landings of milkfish for 1981 through to 1987. In 1981, 385 kg were harvested, of which 383 kg were sold. In 1987, 215 kg were harvested and sold. Figure 5 shows that the value per kg in 1987 was US$3.57, an increase of only US$0.55 since 1981. Like the capture fishery, the total value of cultured milkfish has fluctuated in close unison with the number of kg harvested. In 1987, cultured milkfish brought US$768 compared to US$1,157 in 1981.
Although the source of cultured milkfish is unclear, it is believed that most, if not all, came from a single pond on Oahu. The Moli'i Pond is located in Kaneohe Bay on the windward side of Oahu and is a “loko kuapa” type (Kikuchi, 1976) built before 1300 A.D. The pond has an average depth of less than 1.5 m and consists of 50 ha of brackish coastal water (20 to 30 ppt of salinity) enclosed by a 1,200 m long cinder block seawall. The wall has three built-in “Makahas” or sea gates, each of which has double screens used to trap milkfish, mullet, and other species when they attempt to migrate out to the bay. Moli'i Pond is owned by Kualoa Ranch and leased to George Uyemura who has been the operator for 35 years (Uyemura, personal communication).
Mr. Uyemura has used a mixture of both ancient and modern techniques to operate the pond. As has traditionally been done, the seed stock are captured from shallow flats in Kaneohe Bay, and include mullet, milkfish, bonefish (Albua species), and aholehole (Khulia sandvicensis). Unlike traditional methods, the algae content of the pond has been increased with the use of chemical fertilizers. This practice, however, has been discontinued in recent years. Both the sea gate and the porosity of the sea wall provide a route by which predatory species such as snappers (Lutjanids), barracudas (Sphiraenids), eels (Muraenids), and jacks (Carangids) can enter the pond as juveniles or fry. These must be routinely “weeded out” just like competitor species such as tilapia, and anchovies (Engraulids) which were introduced into the Hawaiian Islands in the recent past.
At present, predators eliminating seed stock is perhaps the major problem (Uyemura, personal communication). Since milkfish are neither seined nor fished from the pond, only those which are trapped in the sea gates are harvested and sold. Their size can range anywhere from 1.5 to 9.0 kg. Furthermore, the milkfish only come to the gates during their reproductive season between April and October. Mr. Uyemura claimed peak annual production levels of 6,800 to 11,300 kg of fish or 137 to 288 kg per ha. In the recent years, this figure has dropped to less than 9 kg per ha. The potential for the pond has been estimated at 680 kg per ha per year with the use of fertilizers but not feed (Madden and Paulsen, 1977). Mr. Uyemura currently sells his milkfish for US$3.30 to 4.40 per kg.
Importation
Fresh milkfish is flown in once a week to Hawaii from Christmas Island. No records were found on the annual amount or value. Tamashiro's Market, one of the largest seafood retailers in the state, orders approximately 90 kg per week (Konishi, personal communication). The bulk is purchased by the local Filipino population with a much lesser amount being purchased by local Hawaiians. The current retail price is approximately US$6.60 per kg.

Figure 4. The annual number of ponds of pond-harvested milkfish and the percentage which was sold in Hawaii between 1981 and 1987. Data were obtained from the Department of Aquatic Resources, State of Hawaii.

Figure 5. The annual value per pond and the total value of pond-harvested milkfish in Hawaii between 1981 and 1987. Data was obtained from the Department of Aquatic Resources, State of Hawaii.
Frozen milkfish has been imported from the Philippines for several years (Aquaculture Plan. Prog., 1978). As with the fresh milkfish from Christmas Island, current data on the quantity and value of these imports was difficult to obtain.
Total milkfish exports to the United States from the Philippines in 1974 and 1978 were 102.1 mt and 104.8 mt respectively (Philippine Council for Agriculture and Resources Research and Development, 1982). The proportion which was shipped to Hawaii is unknown. Honolulu customs records estimate the value of fish other than tuna imported from the Philippines in 1987 to be US$323,346. Again, the proportion made up by milkfish was not reported. Table 1 gives the results of a survey by J. Banno on milkfish imports by six Filipino seafood markets.
These markets import an estimated 71 to 93 mt of frozen milkfish annually. The average wholesale price is US$4.10 while the average retail price is US$5.20. Like Tamashiro's market, their predominant customers are local Filipinos. Carol's Market, located in Oahu's Chinatown, sells frozen imported milkfish in addition to serving as the outlet for Mr. Uyemura. When Mr. Uyemura's milkfish are not available, Carol's sells approximately 11.3 kg per week of the frozen milkfish but say they could easily sell at least 45 kg per week. Unlike the other markets, Carol's customers are primarily local Chinese. At the time of interview (Nov. 10, 1988), their milkfish was priced at US$5.50 per kg.
In addition to those just mentioned, there are several other small seafood markets in Chinatown which also sell milkfish, primarily frozen imports from the Philippines. In one of these markets, milkfish was on sale for $2.80 per kg.
Table 1. Results of a survey on frozen Philippine milkfish importation.
| Outlet Name | Number of Tonnes Imported Annually | Wholesale (US $/kg) | Retail (US$/kg) |
| Kalihi Store | 0.45 | 5.50 | |
| Jean's Market | 3.2 | 5.60 | |
| Hawaii Integrated Inc. | 4.1 | 3.90 | ? |
| Phil. Aloha Imports | 5.4–6.8 | 4.40 | 4.90 |
| Queen's Supermarket | 13.1 | 2.40 | 4.80 |
| Quinones Imports | 44–65 | 5.80 | |
| Total/Avg | 71–93 | 4.10 | 5.20 |
Utilization
In 1978, the existing market for milkfish in Hawaii was estimated to be less than 22,700 kg per year, and it was thought this market could be increased only slightly (Aquaculture Plan. Prog., 1978). The current market has not been estimated. However, if the production figures for both captured and cultured milkfish are combined with the information obtained on imports, then the market in Hawaii must be at least 77 mt per year. Since this figure is the result of informal surveys, a more professional market analysis is needed to arrive at a more accurate figure. Local Filipinos are the main customers, and are said to prepare the fish in a variety of ways, but particularly in soups. Local Chinese were said to steam their milkfish while the Hawaiian customers eat it primarily as “poki” (raw chunks mixed with seaweed).
Future Prospects
Production: Capture Fishery
The manager of one market surveyed stated that wild-caught milkfish did not taste as good as cultured milkfish due to a lower fat content. Furthermore, the yield of wild-caught milkfish declined by 73% during the 1980s, but the price remained constant. At US$5.07 per kg, it is unlikely that the fishing effort for milkfish will be intensified.
Production: Aquaculture
When the Uyemuras are no longer able to manage Moli'i Pond, the operation will be taken over by their daughter (Uyemura, personal communication). Kualoa Ranch, the owner of the pond is presently constructing a pier out over the pond to shuttle tourists across to a recreation beach on the other side. If the owners decide to convert the entire property to recreational use, commercial milkfish culture in Hawaii (and the entire United States) will cease unless other Hawaiian fish ponds are renovated. Due the inherent problems associated with these ponds, this prospect is unlikely. An alternative would be to construct new and better designed ponds. However, given the small size of the market in Hawaii, this prospect is also unlikely. In 1978, Aquaculture Planning Programme noted that there “appears to be no opportunities to export milkfish at this time.” This statement is still relevant today and will probably remain so in the near future.
Utilization
At the present time, Filipinos, the main consumers of milkfish in Hawaii, comprise only 15% of the population. The market for milkfish in Hawaii may increase in relation to the immigration of additional consumers from the Philippines and, to a lesser extent, Taiwan. The market could also increase if other ethnic groups become interested in this species. However, this possibility is unlikely because milkfish are extremely bony. Several markets cited this as being a major reason why milkfish is a “slow mover”.
Milkfish as Baitfish
Milkfish have been ranked as the top baitfish for tuna (Pacific Tuna Development Foundation, 1982). However, milkfish fry have not been caught in adequate numbers to interest tuna fishermen in Hawaii. One way to increase the availability of milkfish fry is to culture large numbers. Presently, research is being conducted at the Oceanic Institute on Oahu, Hawaii on milkfish reproduction and larval rearing. Although considerable progress has been made, it is still unclear whether culturing fry for use as baitfish would be commercially viable. This uncertainty, coupled with the recent decline of the Hawaiian tuna fishery makes it unlikely that this type of operation will be seen in the near future.
References
Aquaculture Planning Program Center for Science Policy and Technology Assessment. 1978. Aquaculture Development for Hawaii: Assessments and Recommendations. Dept. of Planning and Economic Development, State of Hawaii 222 p.
Cobb, J.N. 1902. In: Commercial Fisheries of the Hawaiian Islands (U.S. Fish Commission Report for 1901, Washington, D.C. 1902). p. 383–499.
Kikuchi, W.K. 1973. Graduate thesis. University of Arizona.
Kikuchi, W.K. 1976. Prehistoric Hawaiian Fishpond. Science 193: 295–299.
Madden, W.D. and Paulsen, C.L. 1977. The potential for Mullet and Milkfish Culture in Hawaiian Fishpond Dept. of Planning and Economic Development, State of Hawaii. 54 p.
Shomura, R.S. (unpublished). Hawaii's Marine Fishery Resources: Yesterday (1900) and Today (1986).
Philippine Council for Agriculture and Resources Research and Development. 1982. State of the Art: Milkfish Research. Laguna, Philippines. Fish. Series No.3. 41p.
Pacific Tuna Development Foundation. 1982. Programs and Projects 1974–1985. 57 p.
Bita Naburennara
Fisheries Division,
Ministry of Natural Resources and Development,
Tarawa, Kiribati
Introduction
Milkfish (Chanos chanos) farming is an old practice in many parts of Kiribati. From the old days up to the present, milkfish is still cultured in the traditional way. Milkfish ponds are simply designed without sluice gates for water exchange except for those located in Ambo, Temaiku and Kiritimati (Christmas Island).
The fish ponds owned by the community or individuals produce milkfish only at subsistence levels to meet individual or community needs. Government-owned fish ponds supply local demand and export the excess milkfish to increase government income.
Milkfish is served during special occasions and gatherings. For many ill people who will not accept other types of food, milkfish represent the only source of protein.
Milkfish from private fish ponds are used as food or as bait for fishing.
Present State of Milkfish Production
Production of milkfish in ponds has been very low because they have been produced only at a subsistence level. Many individuals who own fish ponds harvest the stock when it has reached table size (i.e. 200–300 g) for their daily consumption. When the stock is depleted, the ponds are re-stocked with fingerlings.
Milkfish from a community-owned fish pond are also harvested when they reach table size. Community fish ponds are usually quite large and sometimes take more than three days to harvest. During harvesting, community members gather around the pond setting up temporary dwellings and collecting the amount of fish needed. Feasting on milkfish goes on until the fish are completely harvested from the pond. People then return to their homes with the surplus for future consumption.
There is no data available on production but community ponds have higher production rates compared to individually-owned ponds. This subsistence level of production has been maintained unchanged from the old days up to the present. Since the establishment of fish ponds in Ambo and Temaiku, many communities outside Tarawa have shown interest in stocking milkfish in their ponds.
Little information is available on the milkfish capture fishery in Kiribati. Milkfish are landed in very small quantities together with other fish species such as bonefish. The capture fishery is a very important source of food and income, particularly for fishermen living in or near South Tarawa as this is the area where most of the people live, and where fish can easily be sold.
Tarawa lagoon is the major fishing ground for many kinds of fish, including milkfish. Transport and marketing of fish is easy in Tarawa. The seasonality of the milkfish capture fishery is not well understood because there are no full-time milkfish fishermen.
Fishermen always capture several different species. Experienced fishermen have noted that certain periods corresponding to the four phases of the moon are the most productive periods for catching milkfish and other lagoonal species. Gill nets are the only fishing gear used by this fishery. Their mesh size range from 4 to 13 cm and the fish caught range from 0.2 to 5 kg.
Cultured milkfish can be obtained only from Temaiku and Kiritimati ponds, the main milkfish production ponds in the country. Every week a total of 900 kg of milkfish are sent to Honolulu, Hawaii, from Kiritimati pond. Production from the Temaiku Farm, a semiextensive fish farm, supplies fish for both export and the local demand for food and baitfish. About 79% of the marketable milkfish produced in Temaiku are exported mainly to Nauru; 21% are locally consumed.
Fry from other islands are transported by air to Tarawa to supply fry for Temaiku Farm. Fry collection at present is not well organized, and must be improved to satisfy the requirements of the Temaiku farm.
There are no other commercial fish farms in Kiribati, apart from those on Kirimati, Temaiku and Ambo.
Milkfish fry are found throughout Kiribati. Although little information on fry is available, they are thought to occur throughout the year. The peaks of occurrence have been observed to coincide with the four phases of the moon.
Although milkfish resources have not been assessed, they occur throughout Kiribati islands. Large natural fish stocks are thought to occur in the Line and Phoenix groups. This assessment is based on catches from subsistence gillnets, which were much higher in the Line and Phoenix groups than in the Gilbert group.
Little is known about milkfish migration as no research has been done on this subject in Kiribati.
Milkfish Marketing
Milkfish from Temaiku farm is sold to Nauru through agents in South Tarawa. For export the fish are chilled in ice overnight and then packed in boxes. Excess fish are kept in a freezer and sold locally.
Smoking fish is a new practice and is done only to satisfy special orders at Temaiku Fish Farm.
The average annual export from Temaiku Fish Farm to Nauru and elsewhere is 7,167.5 kg, about 79% of the total production.
The average annual production of milkfish for food is estimated at 9,000 kg (Table 1). The average annual production of milkfish for bait for the National Fishing Company is about 18,000 kg (Table 2), with an average monthly production of 1,533 kg. The fish harvested for export weighs from 200 to 250 g. The total length of the baitfish ranges from 8 to 15 cm. The survival rate of baitfish per four month culture period is about 48.8% (Table 3).
Presently, the foreign market for milkfish produced in Kiribati is Nauru and Honolulu. Other nearby Pacific islands have explored the possibility of importing milkfish from Kiribati.
Table 1. Milkfish production for 1986 and 1987 (kg).
| 1986 | 1987 | |||||
| Mths | Total Harvest | Export | Local | Total Harvest | Export | Local |
| J | 627.3 | 433 | 194.3 | 722.6 | 560 | 162.6 |
| F | 638.3 | 440 | 198.3 | 331.7 | 250 | 81.7 |
| M | 290.0 | 212 | 78.0 | 498.7 | 320 | 178.7 |
| A | 810.3 | 559 | 251.3 | 494.8 | 363 | 131.8 |
| M | 1,157.2 | 866 | 291.2 | 628.8 | 442 | 186.8 |
| J | 1,005.1 | 744 | 261.1 | 1,060.8 | 814 | 246.8 |
| J | 824.0 | 569 | 255.0 | 711.4 | 583 | 128.4 |
| A | 1,160.1 | 986 | 174.1 | 774.0 | 646 | 128.0 |
| S | 1,190.6 | 1,012 | 178.6 | 520.3 | 475 | 45.3 |
| O | 975.1 | 780 | 195.1 | 924.3 | 745 | 179.3 |
| N | 329.0 | 300 | 29.1 | 734.1 | 584 | 150.1 |
| D | 526.1 | 422 | 104.1 | 1,250.8 | 1,230 | 20.8 |
| 9,533.1 | 7,323 | 2,210.1 | 8,652.3 | 7,012 | 1,640.3 | |
| Percentage of total | 76.8% | 23.2% | 81.0% | 19.0% | ||
There is no information available on milkfish imports to Kiribati.
Development Potential and Outlook
Although the local market potential for milkfish as food and bait is limited, the export market potential of milkfish is large. Therefore, it might be worthwhile to look for additional export markets.
Milkfish production at Temaiku Fish Farm (Table 4) is not sufficient to meet the demand from other Pacific countries apart from Nauru. Therefore, various trials on the use of organic fertilizers (i.e. chicken manure, leaves, etc.) are now being conducted to improve milkfish production.
Aside from milkfish culture, mullet culture is also being tried at the Temaiku Farm. Shrimp culture will also be initiated in the near future.
The Fisheries Division has included in its programmes a plan to assist pond owners in increasing milkfish production. The following activities are proposed:
tilapia eradication by using rotenone;
teaching fry collectors the appropriate fry collection techniques;
improving pond design for more efficient water management to facilitate natural entry of fry
teaching integrated fish farming the outer islands to improve food production (pig/chicken pens at pond site).
Table 2. Baitfish production for 1986 and 1987 (kg).
| Months | 1986 | 1987 |
| J | 1,330.0 | 3,378.0 |
| F | 710.5 | 2,856.0 |
| M | 1,241.9 | 1,683.5 |
| A | 2,954.0 | 2,636.5 |
| M | 1,774.5 | 721.0 |
| J | 892.5 | NIL |
| J | 661.5 | 1,960.0 |
| A | NIL | 1,785.0 |
| S | 647.5 | 210.0 |
| O | 2,933.0 | 455.0 |
| N | 4,003.0 | 1,274.0 |
| D | 2,492.0 | 210.0 |
| Total | 19,640.4 | 17,169.0 |
| Annual mean - 18,404.7 kg Monthly mean - 1,533.7 kg | ||
Constraints and Recommendations
There is practically no information available on the socio-economic infrastructure needed for expanding milkfish aquaculture. This is due to the fact that production from private ponds is for subsistence use only and not for commercial purposes. However, there is a need to establish and/or improve this infrastructure to motivate local production and improve the living standards of people outside Tarawa. Funding this infrastructure is a problem in Kiribati and outside assistance is required.
The amount of fry that naturally enter through the main gate of the Temaiku Fish Farm is estimated to be insufficient to stock all the ponds. Fry collection in Tarawa and some outer islands has been initiated but fry collection techniques have to be improved.
In the outer islands, milkfish production in private ponds is very low due to the presence of Tilapia, other competitors and predators.
Table 3. Survival of milkfish baits per culture period.
| Pond | Initial number | Number harvested | Total weight (kg) | Survival Rate | Chicken manure (kg) | Culture period |
| NP*2 | 34,496 | 17,680 | 442.0 | 51.3% | 500 | 4mos 5/12/86 -30/4/87 |
| NP 3 | 35,800 | 15,172 | 379.3 | 42.3% | 520 | 3 mos -4/3/87 8/12/86 |
| NP 4 | 13,903 | 6,500 | 162.5 | 46.7% | 500 | 5 mos 12/12/86 -13/5/87 |
| NP 5 | 108,903 | 34,655 | 866.4 | 31.0% | 560 | 3 mos 2/2/87 -20/5/87 |
| NP 6 | 71,175 | 51,790 | 1,294.8 | 72.7% | 560 | 4 mos 6/2/87 -5/6/87 |
| Mean | 48.8% | 3.8 mos |
Table 4. Milkfish production per pond at the Temaiku Fish Farm
| Pond | 1986 (kg) | 1987 (kg) | 1988 (kg) | Area (ha) |
| 1 | 1,163.0 | 1,139.0 | 1,781.3 | 1.14 |
| 2 | 916.4 | 1,634.0 | 170.8 | 6.40 |
| 3 | 1,236.8 | 1,045.9 | 333.5 | 6.15 |
| 4 | 2,097.7 | 2,444.9 | 30.0 | 7.18 |
| 5 | 564.3 | 708.0 | 46.0 | 6.14 |
| 6 | 572.2 | 329.0 | 542.0 | 6.12 |
| 7 | 295.2 | 401.4 | 428.4 | 2.05 |
| Total | 6,845.6 | 7,702.2 | 3,331.2 | 35.18 |
Aquaculture programs in the Line and Phoenix groups include the production of several aquatic species to supplement fish protein and generate more income. The target species, aside from milkfish, are the fresh water eel and prawn. Production trials will be conducted in ponds, pens and cages.
Studies were initiated at the Temaiku Fish farm to improve production. The production techniques that will be developed will be extended to pond owners throughout Kiribati.
Douglas Audoa
Department of Island Development,
Nauru
Introduction
Aquaculture development in the Republic of Nauru has been restricted to the culture of milkfish (Chanos chanos) in brackish water ponds adjacent to the coastline or the Buada Lagoon at the center of the island. The Nauruans have cultured milkfish for many years as a traditional practice which had a special place in their way of life. Milkfish fry were collected along shores and stocked into smaller ponds for later release into larger water bodies. Milkfish are harvested 8–9 months later and consumed as a delicacy.
Present State of Milkfish Production and Marketing
Presently, there is practically no milkfish production on the island due to tilapia infestations in the local brackish-water areas. Indeed, milkfish culture ceased soon after tilapia was introduced during the late 1970s.
When milkfish was no longer cultured in Nauru, an alternative source had to be tapped to continue the supply of fish on the island. Markets were sought overseas which resulted in imports of milkfish into Nauru from places such as the Philippines, Taiwan, Guam and Kiribati. Today only milkfish from Philippines and Kiribati are continuously imported due to the high cost of air freight from other countries.
The traditional and family ties between the peoples of Nauru and Kiribati allow for the importation of a good quantity of milkfish from Kiribati to Nauru for immediate domestic consumption. The Nauru Corporation Society sells the imported milkfish at retail prices in its shop at cost. Occasionally, private importers become involved in distributing milkfish to the retailers on the island.
Development Potential and Outlook
Interest in re-establishing milkfish culture on Nauru is still high especially because milkfish is important in Nauruan diet and traditions. In order to re-establish milkfish culture, the tilapia that are presently abound in brackish water ponds and lagoons must be eradicated.
Constraints and Recommendations
The introduction of the tilapia, Oreochromis mossambicus some twenty years ago resulted in a reduction of about 50% of the milkfish harvested in Nauru. Tilapia spawn in the lagoons due to their superior fecundity and have proliferated to such an extent that the introduction of milkfish fry into the lagoons has become unproductive.
Present efforts to solve the tilapia problem are being implemented through a government-sponsored initiative which has also sought outside assistance. The eradication of tilapia, so that milkfish can once again be cultured by the Nauruans, is on the government's priority list of projects.
Hugo Tafea
Fisheries Division,
Ministry of Natural Resources,
Honiara, Solomon Islands
Introduction
The Solomon Islands lie between 5° and 13° South and between 155° and 168° in the Western tropical Pacific. Due to their geographical position in the Indo-Pacific region, they have a very rich and varied fauna, sharing many of the species found in the Indian Ocean, the western Pacific and tropical Australia.
The Solomon Islands consist of some 800 islands located in two archipelagoes, New Georgia and Temotu (Figure 1), with a land mass of approximately 28,000 km2 and an exclusive economic zone (EEZ) of about 1.3 million km2. The nation's population is approximately 285,000 (1986 census), more than 90% of whom are ethnic Melanesians.

Fig. 1 Map of Solomon Islands showing localities mentioned in the text
Six major islands are rugged and vary between 150 and 190 km in length and between 30 and 50 km in width. The largest island, Guadalcanal, has a land area of about 5,200 km2. Most of the islands have fresh and brackish water lakes (also referred to as lagoons in this report) which support many different species of fish. Only one of these lakes, Lake Lauvi, has been surveyed to date. Others, like Lake Te Nggano on Rennell Island (Figure 2), Osi on Malaita, and Radahafila and Kafosila on Dai Island (Figure 3) although not surveyed, are said to have good potential for aquaculture.

Fig. 2 Lake Te Nggano on Rennell Island

Fig. 3 Lake Radahfila and Kafosila on Dai Island
Lake Lauvi (also known as Lauvi Lagoon) is situated on the south coast of Guadalcanal. It is roughly triangular in shape and has an area of about 3 km2 with a maximum depth of about 4 m (Figure 4). This particular lake is fed by small streams and a few springs which flow in from the neighboring mountains. Its level rises every year, usually at the peak of the rainy season (July-August). This causes a break in the beach resulting in an outflow of water into the ocean. It is presumed that an interchange of species occurs at this time as larger specimens escape to the ocean while the fry enter the lake and adapt to the freshwater conditions. Milkfish were among the many different species of fish found (Gray, 1974).
Adult milkfish often enter the Kafosila and Radahfila lakes during high tide, and are caught and eaten by villagers. The fish are caught by blocking the mouth of the lake with a gillnet. The villagers then beat the water using long poles. This disturbance makes the water muddy and forces the milkfish to leap out of the water to escape. As they do so, the majority of them end up on the banks where they are easily collected (unpublished information).

Fig. 4 Lauvi lagoon on the south coast of Guadalcanal
Present State of Milkfish Production and Marketing
Milkfish are present throughout the country as adults, and are occasionally captured around mangroves by subsistence and small-scale fishermen using gillnets. Occasional specimens can be found in the local markets where they are normally sold for S1$1.70 per kg (US$1.00 = S1$2.00). They do not play any significant part in local fisheries and their production by the artisanal fishery is insignificant in national terms. There are no specific marketing, processing or cooking methods for the fish. For this reason no milkfish is imported or exported and the species is basically unknown in aquacultural terms in the country.
Development Potential and Outlook
In spite of the above mentioned facts, the Solomon Islands Government (SIG) is pursuing aquaculture-based industries and activities as part of the current National Development Plan (1985-1989) to provide income generating opportunities for indigenous Solomon Islanders, especially in rural areas. As mentioned earlier, very little has been published on the availability of milkfish fry in the Solomon Islands. It is likely that they are present in some areas. However, the local demand for the species would not be great as there are large quantities of reef fish readily available for local consumption. Since aquaculture is a very new industry in the country, there is only one enterprise in full operation at present culturing the marine prawn, Penaeus monodon. There might be a potential for polyculture of milkfish with prawns if a sufficient number of fry is available.
In conclusion, since milkfish are present in natural lakes like Lake Lauvi, it may be advantageous to culture milkfish in the country.
Reference
Gray, N.W. 1974. The fresh and brackish water fishes on Guadalcanal. The Fishes of the Solomon Islands - Part 1 May 1974. Solomon Island Museum Association.
Lorenzo Katosang
Marine Resources and Development,
Palau
Introduction
Milkfish (Chanos chanos) is a highly valued fish which is found only in limited areas of Palau. Palau's Micronesian Mariculture Demonstration Center (MMDC) surveys indicate a seasonal abundance of milkfish fry in Peleliu, just South of Koror, the capital. This has been an important area for collection of fry for the stocking of ponds.
Present Status of Milkfish Production
There is no separate fishery established for milkfish. Juveniles are caught by cast nets while adults are speared or entangled using gillnets. Most are consumed, although some find their way to markets where they are quickly sold.
Culture trials for milkfish using wild fry have been tried in the past under the direction of MMDC, but so far no sustainable industry has resulted. Interest in milkfish culture is high but some technical aspects of pond construction still need to be worked out. In the light of the progress made elsewhere in spawning milkfish in captivity, there is a good potential for mass production. This, however, must be investigated under local conditions.
Milkfish Marketing
There is a great demand for milkfish in Palau. Current buying and selling prices at the Palau Federation of Fishing Association (PFFA) are US$1.98 and $2.53 per kg, respectively. New demands for milkfish as bait for longline tuna fishing have been created by a fleet of more than fifty vessels based in Palau. At present, the fleet's bait requirements are being met by importing milkfish from foreign countries.
Development Potential and Outlook
Demand for milkfish will continue to rise with the increase in population and the continued presence of the longline fleet in Palau. Some technical problems have to be solved regarding pond construction. Cost-benefit analysis of pond-reared fish has to be done.
Hesitoni K. Aloua and Tadashi Kimura
Aquaculture Section, Fisheries Division,
Ministry of Agriculture, Fisheries and Forests,
Nuku'alofa, Tonga
Introduction
One of the priority development objectives of the fishing sector is to increase production to meet the local demand for fresh fish.
Based on the people's strong fish preferences, the Government of Tonga has increased the supply of domestically produced fish and decreased imports of mutton flaps and others while trying to reduce the occurrence of degenerative diseases by preventing an excessive “westernization” of the diet.
Tongans have a strong preference for fish, preferring fresh fish and eating it often, from small fish to shark. Their most representative dishes are “Umu” (a stone baked dish unique in Polynesia) and “Ota” (a tropical style chopped fish soaked in coconut milk, lemon and various spices).
Present State Of Milkfish Production
In 1979, the total fish catch was estimated by the Fisheries Division to be 2,010 mt; 21 kg per person per year for Tonga's population of 99,491. However, considering the strong preference for fresh fish by Tongans, this figure appears to be rather low.
A 1980 survey by the U.N. Food and Agriculture Organization (FAO), reported that the consumption of domestically produced fish in Tonga was 21.2 kg per person per year, in addition to 5.1 kg per person per year of imported fish products such as tinned mackerel.
Aquaculture is among the many fisheries development projects implemented by the Fisheries Division of the Ministry of Agriculture, Fisheries and Forests. Aquacultural activities started in the early 1970s. Listed below is a summary of the projects carried out from 1973 to 1985.
| 1973 | - | Transplantation of oyster seeds which did not succeed. |
| 1974 | - | From 1974 to 1983, attempts were made to culture pearls using akoya shells, mabe shells, black pearl shells and white pearl shells, but these efforts have been suspended. |
| 1975 | - | Mexican mollies were imported from Pago Pago, American Samoa as a baits for the pole and line skipjack fishery. They were later raised in a breeding ground constructed with Japanese aid on a site belonging to the Fisheries Division. However, the experiment was suspended due to the low breeding rate typical their viviparous mode of reproduction and the unfavorable results obtained by using them as live baits for skipjack. The cultures of mullet and milkfish were also tried at the same time, but were later suspended due to poor results. |
| 1976 | - | Seeds of green mussel were imported from the Philippines and Singapore for culture experiments. As in the case of the 1973 oyster trial, the experiment failed. |
| 1985 | - | The culture of seaweed (Eucheuma) which is the raw material for carrageenan started in the Vava'u area. The original plant was imported from Fiji. |
Milkfish (Chanos chanos) known locally as “Ava” was one of the most common fish caught in the inshore areas of the Tongan islands up to the early 1960s. Since then however, their abundance gradually decreased. This coincided with the introduction of synthetic fishing nets into the country, the preferred and most efficient fishing gear for catching milkfish.
Up to the late 1960s, milkfish formed the main fishery for the people of Nomura island. In the salt water lake “Ano”, milkfish were present from fry to adult stages. Their fishery was well managed as it was reserved for the King, and harvesting was regulated on a closed season basis. This fishery ended in the early 1970s when the water salinity of the lake gradually dropped to change into freshwater. This was believed to have been caused by siltation which blocked the underwater channels connecting the lake with the sea. Fry were no longer seen in the lake and eventually the adults were fished out.
Another fishery, established in the Fanga Kakau lagoon of Tongatapu, provided milkfish that were 30 to 36 cm in size. During the months of August and September, the fish were harvested with fishing nets; this fishery also declined in the early 1970s.
The only active fishery for adult milkfish is on the island of Vava'u. Fishing takes place in the reef areas of isolated atolls north of the main island of Vava'u. This is a seasonal fishery and the fish are caught with gill nets set overnight.
Milkfish fry could be found all over the sheltered shorelines of the islands. However, owing to the extensive use of gill nets, fry and fingerling stocks are seriously depleted. At present, it is quite difficult to find milkfish in the market.
Milkfish Marketing
A marine resource assessment, as well as a fish consumption survey, was performed by FAO for the period between 1975 and 1977. The survey was carried out with questionnaires completed by 1,565 people of 395 families selected by area and social class. The consumption figures ranged between 16 kg per person per year in urban areas and 50 kg per person per year in fishing villages. Since the consumption volume is affected by the potential supply volume, 30 kg per person per year was given as a reasonable figure.
Development Potential and Outlook
As previously described, attempts were made in 1975 to culture milkfish together with mullets, but the work was inconclusive.
The aquaculture effort is at present directed towards the farming of mullet (Mugil sp.) in Tonga. Associated with it are milkfish, Tilapia, (Oreochromis sp), and other species.
Additional efforts are directed towards farming of seaweed (Eucheuma sp.) and local oyster species. There are also plans to introduce Trochus and other shellfish into Tonga's reefs.
The Tongan government is well aware of the incredible speed with which coastal fisheries develop. It is also conscious of the limited inshore fish resources and the resulting effects of overfishing. Accordingly, the Tongan government is planning to develop the country's aquaculture potential as a matter of priority. Despite the extensive failure of aquaculture practices in the South Pacific in the past (Uwate et. al., 1984), the government insists on making extra efforts to develop aquaculture establishing reliable technology suited to Tonga's conditions and needs. The development programme puts its emphasis on:
Manpower strengthening. This will involve the recruitment of local staff and training programmes.
Identification of land and sea areas, as well as fish and other aquatic species suitable for aquaculture development.
Formulation of an aquaculture master plan.
Detailed study of the biology of selected fish species and other marine organisms to be cultured.
Implementation of pilot projects.
The aquaculture section is relatively new and is still in its infancy stage. It is staffed with three locals and one Japanese biologist. The section does both research and development work. Being a small section, the work has so far been concentrated on mullets (Mugil sp.). At a later stage the work will be extended to milkfish and other species.
The Government of Tonga is determined to succeed in making aquaculture scientifically and economically viable.
Constraints and Acknowledgements
There is an apparent shortage of funds and trained manpower which could be considered a problem. However, most developing countries start their economic development under these circumstances.
Tonga's efforts have been supported mainly by the FAO South Pacific Aquaculture Development Project and the Japanese Overseas Cooperation Volunteers (JOCV) through financial support, technical assistance, and training opportunities. Assistance has also been received from the Israeli Government and the Government of the Republic of China (Taiwan). The Fisheries Division of the Ministry of Agriculture, Fisheries and Forests gratefully acknowledges the help and support given by these organizations, particularly the FAO South Pacific Aquaculture Development Project and the JOCV. Special thanks are due to Mr. Hideyuki Tanaka for providing the funds and making it possible for the country to be present at this workshop.
Annex 1 Geography
The Kingdom of Tonga comprises 171 islands forming an archipelago lying in a north-south direction between latitudes 15° South and 23° 30 minutes South and longitudes 173° West and 177° West. The total land mass is 670 km2 of sea area encompassed within the national waters.
The country is divided into four administrative districts, i.e. North, Central, South and two isolated islands near Samoa, far north of the other islands. Most of the islands are made of flat elevated coral reefs, each area having special characteristics.
In the Vava'u area in the north, three layered geological formations can be seen in many places. While the altitude is high, the coastal lines of these islands show sharp gradients. As a result of these geological conditions, Port Refuge, in the south of the main island of Vava'u, is a natural good harbor. The central Ha'apai region consists of several flat coral reef islands. These islands are scattered in the shallow waters inside the huge reef. Nuku'alofa, the capital, is located on Tongatapu island in the south and is the political, economic and commercial center of the Kingdom of Tonga.
The formation of the Tongan Archipelago can be explained by the Plate Tectonics Theory. The Tongan Archipelago and the area to the west are on the Asian-Australian plate, which is moving eastwards while the area east of the Archipelago is on the Pacific plate, which is moving westwards. At the boundary of these two plates, the Pacific plate to the east sinks under the Asian-Australian plate to maintain the balance. Whenever this balance is altered, a heavy crystal movement occurs around the boundary of the plates, causing the elevation of the coral reefs along the edge of the Asian-Australian plate and forming coral islands. To the west of the Archipelago, lava was ejected from underwater volcanos to form volcanic islands. The area's geology makes Tonga susceptible to earthquakes. A large earthquake, between 7 and 8 on the Richter Scale, hit the area in 1977.
Annex 2 Climate
Tonga has a subtropical climate with strong South East trade winds throughout the year. The southern wind, with predominant South West wind, constitutes about 60% of all winds in the year. The wind direction is most constant during the Tongan Summer from October through April, characterized by high temperatures and high humidity. During this period, large migratory fish, such as skipjack and tuna, move into Tongan waters. January through March, is the cyclone season. Small tropical hurricanes are formed at sea in northern Tonga. Tonga was hit by large hurricanes in 1961, 1967, 1975 and recently by an exceptionally strong one in March 1982. Winter in Tonga (Tongatapu) falls in July and August when it is chilly in the morning and evening. Towards the end of the year, a strong sunshine returns to confer a more tropical climate. Tonga also suffers from occasional drought, in 1983 there was a continuous freshwater shortage.
Temperature and humidity tend to become higher towards the northern islands. The south sub-tropical current runs from east to west in the Tongan sea area. This current is slower than the south equatorial current and seldom exceeds 0.75 nautical mile per hour. Figure 1 shows the current direction around the Tongan Archipelago. The tide is very regular and occurs twice a day.
Average temperatures, rainfall, wind force and direction, and tide level are presented in Tables 1, 2, 3 and 4. respectively
| |
| Current chart - 1 (Dec-Feb) | Current chart - 2 (Mar-May) |
| |
| Current chart - 3 (Jun-Aug) | Current chart - 4 (Sept-Nov) |
Source: Pilot Book (British Edition)
Note: broken lines reflect a small number of observations
Table 1. Temperature (°C)
| Area | VAVA'U | HA'APAI | TONGATAPU | |||
| Month | 1982 | 1983 | 1982 | 1983 | 1982 | 1983 |
| Jan | 27.1 | 27.2 | 26.6 | 26.1 | 26.3 | 25.5 |
| Feb | 27.1 | 28.1 | n.a. | 27.4 | 26.9 | 26.3 |
| Mar | 27.6 | 27.7 | n.a. | 26.8 | 26.3 | 26.6 |
| Apr | 26.4 | 26.6 | 26.5 | 25.8 | 25.3 | 24.9 |
| May | 25.3 | 25.5 | 25.0 | 24.6 | 23.9 | 23.3 |
| Jun | 25.0 | 24.9 | 24.2 | 24.0 | 22.5 | 22.8 |
| Jul | 24.7 | 23.7 | 23.1 | 22.9 | 21.0 | 21.5 |
| Aug | 23.5 | 23.4 | 22.2 | 22.4 | 20.7 | 21.1 |
| Sep | 23.6 | 24.4 | 22.4 | 23.5 | 21.0 | 21.9 |
| Oct | 24.7 | 24.8 | 23.7 | 23.8 | 22.1 | 22.6 |
| Nov | 25.5 | 26.8 | 24.9 | 25.3 | 23.9 | 24.1 |
| Dec | n.a. | 26.9 | 25.1 | 26.1 | 24.5 | 25.5 |
Source: Meteorological Observation for 1982–1983 Pacific Island Stations
Table 2. Rainfall
| Area | VAVA'U | HA'APAI | TONGATAPU | |||
| Month | 1982 | 1983 | 1982 | 1983 | 1982 | 1983 |
| Jan | 661 | 173 | 261 | 15 | 386 | 37 |
| Feb | 420 | 218 | n.a. | 68 | 238 | 102 |
| Mar | 368 | 480 | n.a. | 177 | 253 | 73 |
| Apr | 473 | 42 | 436 | 21 | 136 | 9 |
| May | 177 | 78 | 217 | 48 | 241 | 26 |
| Jun | 56 | 20 | 54 | 8 | 58 | 69 |
| Jul | 73 | 34 | 59 | 59 | 87 | 118 |
| Aug | 199 | 21 | 74 | 21 | 149 | 66 |
| Sep | 151 | 51 | 156 | 95 | 75 | 41 |
| Oct | 17 | 42 | 14 | 157 | 34 | 108 |
| Nov | 115 | 86 | 24 | 61 | 19 | 24 |
| Dec | n.a. | 520 | 80 | 96 | 57 | 165 |
| Annual total | 1,765 | 826 | 1,733 | 838 | ||
Source: Meteorological Observation for 1982–1983 Pacific Island Stations
Table 3. Wind force and wind direction
| Month | Average W-Force (knots) | Wind Direction | ||||||||
| N | NE | E | SE | S | SW | W | NW | No | ||
| Jan | 9.3 | 3 | 13 | 29 | 35 | 9 | 8 | 0 | 2 | 1 |
| Feb | 8.9 | 6 | 18 | 29 | 29 | 3 | 3 | 0 | 11 | 1 |
| Mar | 8.9 | 5 | 12 | 21 | 39 | 14 | 4 | 2 | 3 | 0 |
| Apr | 8.4 | 3 | 7 | 16 | 57 | 7 | 0 | 3 | 4 | 3 |
| May | 6.5 | 2 | 5 | 9 | 44 | 17 | 16 | 1 | 2 | 4 |
| Jun | 6.8 | 13 | 7 | 7 | 19 | 15 | 18 | 6 | 12 | 3 |
| Jul | 7.2 | 4 | 8 | 9 | 35 | 15 | 17 | 3 | 7 | 2 |
| Aug | 8.4 | 2 | 13 | 14 | 38 | 13 | 14 | 4 | 1 | 1 |
| Sep | 9.3 | 3 | 10 | 21 | 45 | 9 | 9 | O | 2 | 1 |
| Oct | 9.3 | 6 | 12 | 31 | 30 | 10 | 8 | 0 | 3 | 0 |
| Nov | 8.9 | 2 | 8 | 13 | 42 | 18 | 11 | 1 | 9 | 1 |
| Dec | 10.2 | 2 | 11 | 35 | 37 | 10 | 2 | 0 | 2 | 1 |
| Average | 4 | 10 | 20 | 38 | 12 | 9 | 2 | 4 | 1 | |
Source: Sailing directions for the Pacific Islands
Table 4. Tide level (m)
| Item Place | Spring tide | Neap tide | Mean Sea level |
| Lifuka (Ha'apai) | 1.2 | 1.1 | 0.72 |
| Nomura (Ha'apai) | 1.5 | 1.4 | 0.96 |
| Nuku'alofa | 1.3 | 1.2 | 0.75 |
Source: Tide table VII, 11, 1985
Notes: 1) Spring tide = height of high water above datum level at spring tide
2) Neap tide = height of high water above datum level at neap tide
3) Mean sea level = height of mean sea level above datum level
Sautia Malofenua
Tuvalu Fisheries Division,
Tuvalu
Introduction
Tuvalu is comprised of nine small coral islands scattered along a 570 km chain. It has a total land mass of 26 km2 and a sea area of 1.3 million km2. Finfish resources are of primary importance for subsistence economy.
In the past, milkfish was not a preferred fish species. They are often caught in set and drive nets in coastal shallow waters and used for household consumption.
Fish culture is virtually unknown in Tuvalu. Existing practices are restricted to rearing a few wild fish in pens and small ponds. The advantage of keeping aquatic animals under controlled conditions is recognized but there is no knowledge of modern culture techniques appropriate to these islands.
Milkfish are valuable, euryhaline species found in the tropical and sub-tropical Indo-Pacific region. In waters where temperatures are above 15°C, milkfish feed mainly on benthic diatoms and humus.
This fish species has been extensively cultured in the South Pacific. In Tuvalu, fry and juveniles are found in the lagoons of Vaitupu, Nukufetau, Funafuti, Nui and Nanumea. The adults normally spawn near the coast. In Vaitupu, a few individuals have tried culturing milkfish in small ponds for their own consumption. Based on their encouraging results, island communities have requested assistance from the Government to use the lagoons and nearby bays for culturing milkfish and other food fish. A project, to develop aquaculture in Tuvalu in conjunction with regional fisheries institutions or organizations (USP, FAO, SPC) has been proposed to donor agencies.
The economics of embarking on such a project is a critical issue given the slow progress currently achieved in the region.
However, given Tuvalu's increasing population, aquaculture is considered a suitable and potential resource that could be further developed.
Present State of Milkfish Production
The total volume and value of milkfish harvested from natural habitats have not been documented. The total length of fish caught in the wild, ranges from 15 to 60 cm. Fish are caught mainly by set and drive nets. The number of fishermen varies. The lagoon areas of Vaitupu, Nukufetau, Funafuti, Nui, and Nanumea are suitable fishing grounds. However, the fishing season for milkfish is not well defined.
A few individuals on Vaitupu island have tried culturing this species in very small ponds. Fish production from these ponds is not documented but is very limited, sufficient only for household consumption. The quantity of fish harvested is variable depending on household needs. The size of the fish caught usually depends on the mesh size of the nets used. Commonly used nets have mesh size between 5.1 and 6.4 cm, total length of the fish caught ranges between 10 and 60 cm. The culture method used involves the stocking of small ponds with fry caught from the lagoons. No additional feed is introduced into the pond. Nutrients naturally enter into the pond when new water enters the pond during high tides.
The major consumers of milkfish are the fishermen. Excess fish would normally be shared or sold near roadsides. Traditionally, milkfish is broiled, boiled or salted. Transport to market sites is usually by hand-carts.
Milkfish Marketing
Importation of milkfish in Tuvalu is purely for household consumption. A few families in the capital import milkfish from Tarawa, Kiribati by air. The quantities of imported fish varies from approximately 3 to 10 kg per household. The prices are not known.
Currently, Tuvalu is not in a position to meet export demand from overseas markets, as the milkfish production is insufficient.
Development Potential And Outlook
A feasibility study on the milkfish availability, abundance and migration patterns is required to determine milkfish potential as a food resource or export. Currently, it has been reported that milkfish juveniles are commonly seen in the lagoons of Vaitupu, Nukufetau, Funafuti, Nui, and Nanumea.
The actual milkfish production from capture fisheries and culture would only be sufficient for local marketing and consumption.
Island communities have given their collective support to aquaculture development having already approached the government requesting permission to utilize their internal lagoons and nearby bays for fish culture. In response, a project proposal has been submitted to donor agencies for consideration. The objective of the project is to undertake milkfish culture development in collaboration with regional fisheries institutions and organizations (USP, FAO, SPC).
Constraints
The lack of capital to implement an aquaculture development project, as well as the limited information available on the abundance of milkfish stock in Tuvalu waters, are recognized as the major constraints. In addition, the suitable areas for milkfish culture are limited.