Página precedente Indice Página siguiente


11. Rendimientos

La importancia de medir y estimar

Los propietarios y los ordenadores de las plantaciones forestales conocen el volumen o el peso de la madera que venden y el precio que obtienen de ella; pero, frecuentemente, no conocen con detalle la capacidad productiva de los diferentes sectores de su propiedad o cuáles son las rotaciones a las que deberían someterlas en diferentes sitios. Es necesario conocer la productividad o calidad del sitio y la distribución de las zonas de calidad de sitio similar, para la ordenación eficaz de las propiedades, especialmente las de gran extensión, que tendrían que poder programar costosas fábricas elaboradoras para absorber grandes cantidades de producto. El ordenador de la plantación debería disponer de tablas volumétricas exactas, que indiquen el volumen de los árboles de diferentes tamaños y, preferiblemente, las dimensiones de las trozas que pueden cortarse de estos árboles; debería tener también un mapa que muestre calidades de sitio fácilmente identificables, y tablas de producción que indiquen los volúmenes que pueden preverse en las diferentes edades del cultivo. Si se dispone de estos elementos para la ordenación, se podrá elaborar una información fundamental, como la rotación que dé la mejor producción en volumen, o la rotación que proporcione los mejores beneficios financieros.

Desde hace muchas décadas se dispone de estos elementos de ordenación para las plantaciones europeas, que, por lo general, tienen rotaciones largas de 40 a 100 años, y en las recientes décadas, se han elaborado y publicado muy buenas tablas volumétricas y de producción y mapas de calidad de sitio para algunas de las plantaciones de coníferas de rápido crecimiento en los Estados Unidos, Sudáfrica, Nueva Zelandia y Australia. Estas plantaciones de coníferas pueden ser ordenadas en rotaciones tan cortas como de 20 a 40 años, e industrias muy grandes ya dependen de meticulosos cálculos de su producción.

En la actualidad, plantaciones muy extensas de eucalipto están comenzando su producción en las latitudes bajas y medias del globo, y estas vigorosas plantaciones serán taladas con rotaciones más cortas de las que se han usado para la mayor parte de otras plantaciones forestales. En algunas estaciones, la rotación que ofrece el mayor beneficio financiero puede ser hasta de 6 años. Las rotaciones variarán desde 6 hasta aproximadamente 20 años. Es importante preparar tablas de volumen y de producción exactas para estas plantaciones, que indiquen claramente en qué forma se expresa su producción. Se han realizado diversos buenos estudios y, en este capítulo, se hará referencia a algunos de ellos. Es necesario que se publiquen más tablas de producción, insistiendo para que indiquen con precisión qué es lo que se incluye en los volúmenes citados y, si fuere posible, mencionar los factores para el cálculo del volumen de la corteza, el de las ramas y el de las cepas. Toda referencia a producción debe indicar si las cifras son representativas de grandes superficies o de rodales pequeños.

Para las explicaciones sobre los símbolos de medida más comúnmente empleados, se remite al lector al Anexo 3.

Crecimiento individual del árbol: tablas volumétricas

Los volúmenes de árboles individuales, medidos con respecto a diferentes parámetros, constituyen el punto de partida en la estimación de los rendimientos. Se han publicado tablas de volumen para eucaliptos en diversos países, tales como para E. grandis en Uganda (Kingston, 1972b), Sudáfrica (Wattle Research Institute, 1972) e India (Chaturvedi y Pande, 1973; Pande y Jain, 1976); para E. occidentalis y el híbrido E. X trabutii en Italia (Ciancio y Hermanin, 1974); para E. tereticornis (Mysore gum) en la India (Chaturvedi, 1973a); para especies agrupadas en el Brasil (Heinsdijk et al., 1965); para E. globulus en Italia (Ciancio, 1966); para E. camaldulensis en Italia (Ciancio, 1966, 1970) y en Israel (Kolar, 1961).

Cada una de estas tablas indica los volúmenes estimados, en función de la altura total del árbol (a) y del diámetro con corteza a la altura del pecho (1,30 m) (d). Si bien las variables independientes de altura y diámetro son comunes a todas las tablas antes mencionadas, la definición exacta de «volumen» puede variar de acuerdo con las utilizaciones finales y la tradición local. Las posibles variaciones son:

Volumen real o volumen apilado

Todas las tablas mencionadas se expresan en volúmenes reales. En los casos en que el producto se venda para leña, puede ser conveniente expresar el volumen en pila. Los factores que se han usado para convertir los volúmenes reales a volúmenes apilados son X 1,6 para E. globulus en India y X 1,54 para E. grandis en Uganda. En Brasil se vio que el factor variaba de 1,9 para árboles pequeños (5–7 cm de diámetro) a cerca de 1,4 para árboles grandes (30 cm de diámetro) (Heinsdijk et al., 1965).

Madera de las ramas

Todas las tablas anteriores se refieren al volumen del tallo, excluyéndose la madera de las ramas. Las tablas no mencionan factores para convertir el volumen de madera del tallo en madera de tallo más madera de ramas. Sin embargo, hay una cierta información de otras publicaciones. En los estudios sobre plantaciones jóvenes de E. globulus de 4 años en Australia (Cromer et al., 1975), se ha comprobado que las ramas representaban el 20% y el tallo el 80% del peso de la madera, más la corteza, por encima del nivel del suelo. En plantaciones de E. microtheca en el Gezira (Sudán) de 8½ a 11½ años, las ramas constituían el 4,5% y los tallos el 95,5% del volumen con corteza, ambos medidos hasta 5 cm de la extremidad (Waheed Khan, 1966); los árboles incluían una cierta cantidad de árboles con dos a tres tallos, así como tallos simples. Las mediciones en Sicilia, en la primera rotación por tallar, pusieron de manifiesto que la proporción de volumen con corteza, hasta 2–3 cm de la extremidad, aportada por las ramas, disminuía desde el 25% a los 5 años, hasta el 7,5% a los 10 años, sobre E. camaldulensis, y desde el 9% a la edad de 5 años, al 4% a la edad de 10 sobre E. globulus (Cantiani, 1976); sobre cada cepa había varios tallos por cepa.

Volumen de la cepa

En dos casos (Chaturvedi y Pande, 1973 y Wattle Research Institute, 1972) se menciona el volumen del tallo a partir del nivel del suelo, y, por lo tanto, incluye el volumen de la cepa. En otros casos, se supone que el volumen del tallo excluye el volumen del tocón. Las tablas de volumen de Uganda para E. grandis incluyen un cuadro que indica el volumen de la cepa en relación al volumen del tallo, excluida la cepa. El extracto siguiente resume dicho cuadro por clases diamétricas de 5 cm a la altura del pecho expresadas en porcentajes. En Uganda puede considerarse que la altura media de la cepa es de 15 cm aproximadamente (Kingston, 1977).

Diámetro (cm)Relación del volumen de la cepa/volumen del tallo menos la cepa (%)
55,7
102,8
151,8
201,4
251,3
301,3
35 o más1,2

Se ha publicado (Wattle Research Institute, 1972) otra tabla de conversión para E. grandis. Se diferencia de la de Uganda en que está relacionada con la altura del árbol, en vez del diámetro del árbol, tiene en cuenta las diferencias de altura de las cepas y el volumen de la cepa se expresa como un porcentaje del volumen del tallo incluyendo la cepa. El extracto siguiente resume dicha tabla para un árbol determinado y para varias alturas de cepa.

Altura total del árbol (m)Alturas de cepa, incluso desperdicio por el ancho de corte de la sierra (cm)
 12182430
 Porcentaje
12,03,24,86,48,0
15,02,33,54,65,8
18,01,82,73,64,5
21,01,52,33,13,8
24,01,42,12,83,5

Diámetro apical

Algunas de las tablas antes mencionadas (por ejemplo las de Uganda y Brasil) incluyen el volumen del tallo hasta su ápice. Otras (India, Italia, Sudáfrica) incluyen el volumen del tallo hasta un diámetro apical de 5 cm con corteza. Las tablas de Uganda para E. grandis dan los volúmenes hasta el diámetro apical de 10 cm y 20 cm, además del volumen total del tallo; las de Sudáfrica indican una información similar para una serie de diámetros apicales, en la forma de un porcentaje del volumen total hasta el diámetro apical de 5 cm.

Las tablas de volumen utilizables en Uganda dan los volúmenes que corresponden a dos variables independientes (d y a), mientras que las tablas de Sudáfrica incluyen solamente una variable independiente (d). Sin embargo, son muy pequeñas las diferencias en el porcentaje del volumen utilizable en las tablas de Uganda motivadas por las diferencias de altura dentro de la misma clase diamétrica. El extracto siguiente ignora, por lo tanto, la altura. En el caso de Uganda, y con fines comparativos, se han agregado las cifras de porcentaje de volumen.

E. grandis. Volumen utilizable sin corteza hasta 10 y 20 cm en el ápice, como porcentaje del volumen total1 sin corteza

PaísDiámetro
(cm)
Volumen totalDiámetro apical (cm)
1020
Volumen utilizable%Volumen utilizable%
Uganda15 (a2=15 m)0,0930,07075,3--
Sudáfrica15  74,5--
Uganda20 (a=20 m)0,2170,19589,9--
Sudáfrica20  91,5--
Uganda25 (a=25 m)0,4200,40195,50,20949,8
Sudáfrica25  95,9 45,5
Uganda30 (a=30 m)0,7200,70497,80,47766,3
Uganda40 (a=40 m)1,6921,67498,91,43184,6

1 En Uganda, el volumen total del tallo sin corteza hasta el ápice, sin la cepa. En Sudáfrica, el volumen total del tallo sin corteza hasta 5 cm del ápice, incluyendo la cepa. Se supone para ambos casos que no hay una largura mínima de trozas utilizables.

2 a=altura.

Puede verse que, en la gran amplitud de diámetros citados en ambas tablas, el porcentaje del volumen utilizable difiere muy poco.

Corteza

La mayoría de las tablas antes mencionadas da los volúmenes con y sin corteza. Otros autores ofrecen tablas con el porcentaje de corteza para facilitar la conversión.

Se indican a continuación algunas cifras comparativas sobre porcentaje de corteza, dados en las tablas o derivados de las mismas:

Fuente de informaciónAltura total (a) en m y diámetro (d) a 1,30 m con corteza, en cm
 a=10a=15a=20a=30
 d=10d=15d=20d=30
     
E. occidentalisCorteza % en peso
     
Italia (Ciancio y Hermanin, 1974)(18,3)(15,5)14,1-
     
 Corteza % en volumen
     
E. globulusd=10d=15d=20d=30
Italia (Ciancio, 1966)19,816,415,1-
     
E. camaldulensis    
     
Italia, Sicilia (Ciancio, 1966)30,024,221,6-
Italia, Basilicata (Ciancio, 1970)28,125,222,8-
     
 a=10a=15a=20a=30
E. tereticornisd=10d=15d=20d=30
     
India (Chaturvedi, 1973)29,024,823,3-
     
Especies mixtas    
     
Brasil (Heinsdijk et al., 1965)21,819,516,913,6
     
E. grandis    
     
India (Pande y Jain, 1976) Edad 6 años30,415,912,910,8
India (Pande y Jain, 1976) Edad 14 años30,816,914,212,8
Sudáfrica (van Laar, 1961)18,216,314,812,6
Uganda (Kingston, 1972b)12,113,913,513,5

Las cifras entre paréntesis se han calculado a partir de las tablas publicadas, por interpolación.

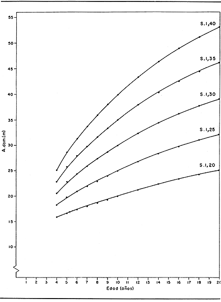
XVI. Curvas de altura dominante/edad de E. grandis en UgandaXVI.

La mayor parte de las cifras mencionadas (exceptuando Uganda) concuerdan en demostrar que el porcentaje de corteza disminuye con el mayor tamaño del árbol. Con rotaciones cortas (d = 15–20 cm) puede esperarse un porcentaje de corteza del 15% en especies como E. grandis y E. globulus, y a veces valor algo mayor (20–25%) en especies como E. tereticornis y E. camaldulensis.

XVII.XVII. Curvas de altura/edad de varias especies en distintos países, con calidad mediana de sitio

Coeficientes de forma

En el Anexo 2 se citan los extractos de algunas tablas de volumen publicadas para los eucaliptos, junto con los correspondientes coeficientes de forma. En el caso de estar publicadas, se reproduce también la fórmula para el cálculo del volumen. Son interesantes los siguientes puntos:

1. Las cifras de Uganda indican la importancia de conocer si las tablas de volumen o de producción están basadas en el volumen con o sin corteza. Los volúmenes hasta 10 cm con corteza son netamente mayores que los volúmenes totales sin corteza, si bien se ha descartado una notable sección de la cima del árbol. Sin embargo, muchos informes publicados omiten especificar si las cifras de producción son volúmenes con o sin corteza.

2. El volumen con corteza de un árbol de 20 m de altura y de 20 cm de diámetro (a=20 d=20), que puede ser considerado como el tamaño medio para postes largos, para producción de madera para pasta y leña en edad de rotación, varía desde 0,249 a 0,283 m3, o sea, una diferencia del 14% del volumen más pequeño. La variación dentro de una misma especie es casi similar, de 0,251 a 0,282, o más del 12% que en el volumen menor. En algunos casos, puede explicarse parte de la diferencia por las diferencias en la medición de los volúmenes (por ejemplo, si se miden o no las cepas y las puntas), pero es posible que la mayor diferencia esté causada por las diferencias reales en la forma de los árboles.

XVIII. Curva de incremento medio anual (IMA)/edad de varias especies y países para la calidad mediana de sitioXVIII.

3. Dado que todas las tablas de volumen citadas miden las mismas variables independientes de la altura total y el diámetro con corteza a 1,30 m, toda variación en el volumen debe estar causada por la variación en el coeficiente de forma (f), que es la relación entre el volumen del tallo con corteza y el producto del área basal con corteza y la altura del árbol. En los tamaños de a=20 d=20 el coeficiente de forma varía entre cerca de 0,40 a 0,45. Observando las tablas de producción que figuran en el Anexo 3, es evidente que hay una variación más amplia; en E. globulus, en el norte de España (Anexo 3, Cuadro A3.5), f supera 0,5 mientras que en E. camaldulensis, en Marruecos, Mamora (Anexo 3, Cuadro A3.1) es menor de 0.35.

XIX.XIX. Relación entre el IMA (con corteza) y la altura dominante a los 10 años, en varias localidades y especies (véase explicación de abreviaturas en pág. 338)

4. En algunas de las tablas (Chaturvedi, 1973a; Chaturvedi y Pande, 1973. Uganda, Silvolume), el coeficiente de forma se mantiene constante, a medida que el árbol se hace más viejo y más grande. En estos ejemplos se ha usado para calcular el volumen, una fórmula relativamente sencilla, basada en d2a.

5. En la mayoría de las tablas, el coeficiente de forma con corteza se reduce con la edad y con el tamaño del árbol. En las tablas de Uganda (Kingston, 1972b), por ejemplo, el factor disminuye desde 0,42 en árboles pequeños (a=10 d=10) a 0,39 en árboles grandes (a=40 d=40). Además, en las tablas de Uganda, es aparente que, dentro de una determinada clase diamétrica, un aumento en altura aumenta el coeficiente de forma; que, dentro de una determinada clase de alturas, un aumento en diámetro reduce el coeficiente de forma, y que, a medida que el árbol crece, tanto en diámetro como en altura, el efecto del diámetro equilibra, por lo general, el efecto de la altura, de manera que el coeficiente de forma decrece.

6. En las tablas de Sudáfrica (Wattle Research Institute, 1972), el coeficiente de forma aumenta con el mayor tamaño del árbol, puesto que el efecto de la altura (al aumentar el coeficiente de forma) equilibra el del diámetro (que lo reduce). En E. grandis, tomando las tablas de Pande y Jain (1976), el coeficiente de forma aumenta con el mayor tamaño del árbol hasta a=20 d=20, y luego decrece. Esto está de acuerdo con las conclusiones de van Laar (1961) sobre E. grandis, quien, empleando el coeficiente de forma real (área basal al 10% de la altura total del árbol) en vez del coeficiente de forma a la altura del pecho, halló que el coeficiente aumentaba hasta alrededor de d=35, y luego disminuía.

7. Para las tablas que indican una apreciable disminución en el coeficiente de forma a la altura del pecho con corteza, con referencia a la edad (véase párrafo 5 que precede), la disminución desde a=10 d=10 hasta a=20 d=20 varía entre el 4 y el 8%. Puede observarse que la variación del coeficiente de forma sin corteza tiende a ser muy inferior a la variación con corteza, dado que la disminución del porcentaje de corteza con el mayor tamaño del árbol tiende a compensar la disminución del coeficiente de forma con corteza. Las tablas de producción publicadas por Uganda (Kingston, 1972a) se expresan en «silvi-volúmenes», empleando la fórmula:

Vu= g × a × 0,3667
donde Vu= volumen del tallo sin corteza hasta 5 cm en la punta
g= área basal con corteza a la altura del pecho (1,3 m)
a= altura total del árbol
0,3667= coeficiente de forma convencional que no varía con el tamaño

8. Las tablas de Pande y Jain (1976) son de interés especial, ya que son las únicas que introducen la edad como una de las variables independientes. Muestran que, en los cultivos de E. grandis, en el sur de la India, los árboles que han crecido lentamente (y más viejos) tienen un coeficiente de forma superior al de los árboles de crecimiento rápido (y más jóvenes) con la misma altura y diámetro.

Las consideraciones anteriores se refieren a las tablas de volumen «normales», o de doble entrada, que incluyen tanto el diámetro como la altura como variables independientes. Las tablas de volumen de uso «local» o de simple entrada (diámetro), que son las más sencillas de aplicar, han sido compiladas por Ciancio (1966), Ciancio (1970), Heinsdijk et al. (1965), donde pueden ser comparadas con las tablas de doble entrada para las mismas especies y estaciones.

Medida de la calidad del sitio por el crecimiento en altura

Las tablas de producción reproducidas en el Anexo 3 revelan grandes diferencias en rendimiento para una misma especie. Aun cuando se ha empleado idéntico abastecimiento de semilla y prácticas de ordenación, las producciones varían conforme a la calidad o productividad relativa del sitio para dicha especie. Los ordenadores forestales han reconocido hace tiempo este hecho y han elaborado tablas, a partir de mediciones detalladas en parcelas de prueba, para indicar la producción que puede preverse a diferentes edades en diferentes sitios.

Si existen tablas de producción para una especie, la posibilidad de ser aplicadas a una plantación exige una estimación de la calidad de la estación. Se emplea comúnmente la relación de la altura con la edad, como medida de una calidad de sitio, dado que medir la altura es mucho más fácil que medir el volumen, que es el parámetro que puede reflejar con mayor precisión la productividad del sitio, ya que la altura, especialmente en los árboles dominantes, está menos influenciada por las prácticas de ordenación (por ejemplo, espaciamientos, raleos) que el diámetro a la altura del pecho, que es el otro parámetro de fácil medición.

Se define (Ford-Robertson, 1971) la « clase de sitio » o « clase de calidad» como «una medida de la capacidad de productividad relativa de un sitio para el cultivo o el rodal en observación»; mientras que « índice de sitio» se define como «una medida particular de la clase de sitio, basada en la altura de los árboles dominantes en un rodal a una edad arbitrariamente elegida». En algunos de los ejemplos indicados en el Anexo 3, se emplea el sistema de las clases de sitio o de calidad, siendo la clase 1 la del sitio más productivo. En otros, se ha usado el sistema del índice de sitio, basado en la altura dominante a la edad de 10 años. Por ejemplo, el índice de sitio (IS) 30 indica un sitio donde la altura dominante es de 30 m a la edad de 10 años.

A título de ejemplo, en la Figura XVI se ve el desarrollo de la altura dominante con relación a la edad y a la calidad de sitio para E. grandis en Uganda. Gráficos similares pueden obtenerse rápidamente con las otras tablas del Anexo 3. El ejemplo de Uganda es el de una de las especies de crecimiento más rápido en el mundo, desarrollándose en un clima que le conviene muy bien; el crecimiento dominante en altura, durante los primeros 10 años, varía desde los 2 m anuales, en los sitios más pobres, hasta 4 m por año, en los mejores sitios. Las curvas para los sitios representan la media para el país, pero parece que la forma de la curva, para un determinado índice de sitio, pueda variar con las condiciones locales. Kingston (1974) demostró que, en regiones con un déficit de humedad (DH) relativamente bajo, el crecimiento inicial en altura era más lento que en regiones con un elevado déficit de humedad, pero que el crecimiento posterior era más rápido; ambas regiones tenían un índice de sitio 25 (a la edad de 10 años). Los datos fueron:

EdadAltura dominante (adom)
 DH=300DH=500DH=700
516,0717,2718,66
1025,2125,0624,91
1531,1129,5028,04

Una posible explicación es que, en las regiones secas y menos nubladas, son superiores las temperaturas diurnas, las horas con sol más numerosas y la fotosíntesis es más activa, mientras que la temperatura nocturna es más baja y la respiración menos activa; el crecimiento inicial es, por lo tanto, más rápido que en las regiones húmedas. A medida que los árboles se hacen más grandes, la competencia por la humedad se intensifica y la tensión causada por la sequía limita más fuertemente el crecimiento en las regiones secas.

Hay otros factores que pueden provocar un cambio aparente en la calidad del sitio, en el curso de la vida de una plantación. El aporte de fertilizantes o el drenaje pueden mejorarla; pero, por el contrario, la presencia de una capa impermeable en el suelo, los cambios en las condiciones de drenaje que provocan una acumulación de sales, o los ataques de plagas y enfermedades, pueden reducirla.

Otra fase en la programación de la producción de plantaciones ordenadas es la preparación de mapas que indiquen las zonas ocupadas por las diversas clases de sitio y el cálculo del área total de cada una. La información disponible sobre las superficies relativas a cada clase de sitio es muy escasa, aun en aquellos países que han publicado tablas de producción. En el caso de las tablas de producción para E. occidentalis en Calabria, la distribución de las parcelas de prueba era la siguiente: 33% en la clase 1 o superior, 50% en la clase 2, y 17% en la clase 3 o inferior. Dado que las parcelas fueron distribuidas sistemáticamente, puede suponerse que la distribución de las clases era similar sobre toda la superficie plantada. En las tablas para E. grandis de Transvaal, se consideró que aproximadamente el 80% de la superficie plantada se encuadraba en la clase media (índice de sitio IV), y alrededor del 20% en los sitios más pobres (índice de sitio VI). En el Brasil, la distribución de las parcelas de prueba en los rodales de 4 años resultó ser: clase de calidad (CC) 1,4%; CC 2, 10%; CC 3, 28%; CC 4, 35%; CC 5, 21%, y CC 6, 2%.

Al no tenerse información precisa, se supone que la clase de calidad media, o índice de sitio medio, indicada en cada tabla de producción en el Anexo 3 es la más representativa para la superficie considerada por la tabla. En la Figura XVII se muestran las curvas de altura para algunas de estas clases intermedias. En el caso del norte de España, donde se reconocen cuatro clases de calidad, la curva está trazada a mitad de distancia entre las curvas de alturas dominantes para la segunda y tercera clases de calidad. Puede observarse que algunas de las curvas se refieren a la altura dominante y otras a la altura media, por lo que no es posible una comparación directa. En el caso de Zambia, puede observarse el efecto aritmético del raleo sobre la altura media. La cifra indica la variación del crecimiento en altura, registrada entre un cierto número de zonas plantadas bien documentadas, así como la variación en la forma de las curvas.

Tablas de producción

En el Anexo 3 se reproducen algunos ejemplos de tablas de producción para eucaliptos; éstas indican que el incremento medio anual (IMA) puede variar entre las diferentes especies y las diferentes calidades de sitio, desde 1 m3 hasta 50 m3 por ha, aproximadamente.

Es posible que sea más realista comparar en cada tabla de producción las producciones para las clases de calidad intermedia de sitio que para las clases superiores o inferiores de calidad de sitio, dado que estas últimas ocupan un porcentaje relativamente bajo de la superficie total plantada en la región. La Figura XVIII compara los IMA de varias clases de calidad intermedia. Las comparaciones pueden ser solamente aproximadas, puesto que pueden variar mucho los tratamientos silviculturales, como, por ejemplo, la intensidad de la preparación del sitio antes de la plantación, y provocar una influencia notable sobre la intensidad del crecimiento inicial. También varía la densidad de plantación, pero la mayoría de las tablas se refieren a cultivos de rotación corta de madera para pasta o leña, sin raleos y con densidades que varían entre 800 y 1 500 tallos por ha en la edad de corta. Puede notarse que hay una gran diversidad en la forma de las curvas.

E. grandis es entre las especies representadas en las tablas de producción, la que tiene el crecimiento más rápido, con un IMA de 25–30 m3/ha a los 10 años sobre sitios intermedios. Le sigue de cerca E. globulus ssp. globulus en los montes Nilgiris, de la India, con 24 m3 y en las regiones costeras del norte de la Península Ibérica, donde los rendimientos en sitios intermedios varian entre 16 y 28 m3. En los climas más secos y más mediterráneos del sur de España y Portugal, el rendimiento de ssp. globulus es muy inferior, variando entre 4 y 12 m3 en función del tipo de suelos y de la intensidad de la estación seca.

La especie E. cloeziana en el Copperbelt de Zambia produce 18 m3. En Brasil, las tablas de producció n indican un rendimiento de cerca de 22 m3 para la calidad intermedia ¾ de sitio para las especies medidas, que eran una mezcla de eucaliptos de especies de crecimiento «rápido» (como E. saligna y E. grandis) y «medio rápido» (como E. citriodora y E. robusta).

En las condiciones climáticas más rigurosas de Marruecos, E. camaldulensis produce 5,4 m3, mientras que en Calabria (Italia), con suelos arcillosos difíciles junto con una estación seca larga, E. occidentalis produce 3 m3. En el caso especial de las plantaciones con riego de E. microtheca en Gezira (Sudán), la producción en una CC intermedia I/II es de alrededor de 14 m3. El rendimiento, sin embargo, está estrechamente relacionado con la cantidad de agua proporcionada, lo que, a menudo, está seriamente limitado en plantaciones forestales durante la estación seca, debido a las necesidades competitivas de los cultivos agrícolas. Por lo tanto, es muy posible que el rendimiento intermedio para una gran parte de esta región esté cerca de la cifra correspondiente a la CC II, con un valor de 6 a 7 m3 (Jackson, 1977a).

En varias tablas de producción, los rendimientos en los mejores sitios de una región son, aproximadamente, cuarto veces mayores que los de los sitios más pobres, colocándose el sitio intermedio casi en la mitad, con una productividad aproximadamente el doble que la de los sitios más pobres. En algunos casos, el margen de variación entre los sitios mejores y los más pobres es mucho mayor; por ejemplo, casi 13 veces más elevada en Portugal, al norte del Tajo, y 18 veces en el suroeste de España, sobre suelos de esquistos o pizarra.

En la mayoría de los casos, la edad en la cual el IMA alcanza su máximo es entre los 8 y los 20 años, si bien hay algunas excepciones con un máximo aparente a menos de 4 años en los índices inferiores de sitio para Uganda, y por encima de los 20 años en las clases de calidad de sitio más bajas en Portugal, al norte del Tajo. No hay una relación lógica entre el efecto de la calidad del sitio y la edad en la cual culmina el IMA. En el caso de E. globulus ssp. globulus en Portugal (al norte del Tajo), E. occidentalis en Italia (Calabria) y E. grandis en Sudáfrica (Transvaal), cuanto más baja es la calidad del sitio tanto más tarde se produce la culminación del IMA. En la ssp. globulus en Portugal (al sur del Tajo), en el suroeste de España y en la India (Nilgiris) y en las especies mezcladas del Brasil, el IMA culmina a la misma edad, independientemente de la calidad del sitio. Para E. grandis, en Uganda, la ssp. globulus en el norte de España y E. camaldulensis en Marruecos, cuanto más baja es la calidad del sitio más temprana es la culminación del IMA.

La relación entre el incremento en diámetro y en altura está influenciada por la densidad. Sin embargo, las tablas de producción indican que, cuando la densidad es constante, la razón diámetro/altura puede estar relacionada con el índice o calidad del sitio; cuanto mayor es el índice del sitio (una especie de crecimiento rápido sobre un sitio de alta calidad) tanto más alta es la relación de la altura con el diámetro. El Cuadro 11.1 da algunos ejemplos.

La gran diferencia entre los rendimientos de sitios buenos y pobres hace surgir una importante pregunta ¿por qué plantar en los sitios pobres? En algunos casos, las plantaciones cumplen una función esencial protectiva, como el control de la erosión del suelo en pendientes de colina, o para proporcionar protección a los cultivos agrícolas, en cuyo caso la producción de madera es una ayuda útil, pero no es el objetivo principal de dichas plantaciones.

Surge otro factor importante de política en los lugares donde hay una amplia gama de calidades de sitio dentro de una zona de plantaciones para la producción de madera. La protección y ordenación de una importante superficie de tierra se facilita si está toda sometida a cultivos ordenados sistemáticamente. Si se deja que las partes más pobres se abandonen, aumenta el peligro de una mala gestión del conjunto. El ordenador forestal debe esforzarse en obtener un rendimiento de toda su tierra, y aceptar el hecho de que habrá diversas clases de productividad.

Cuadro 11.1 Relación de la altura (m) con el diámetro (cm) a la edad de 10 años

E. grandisClase de sitioIIIVVINo de tallos/ha
Sudáfrica (Transvaal)Altura (a los 10 años)34,8 (a los 9 años)28,420,21 100
 Relación a/d1,76 (a los 9 años)     1,55     1,19 
E. globulusClase de sitioIIIIIV 
Norte de EspañaAltura a los 10 años22,016,013,02 500–2 800
 Relación a/d1,57     1,42     1,31 
E. globulusClase de sitioIIIIV 
Portugal1 (Norte del Tajo)Altura a los 10 años127,019,011,01 100
 Relación a/d11,39     1,26     1,29 
E. camaldulensisClase de sitioIIIIV 
Marruecos (Mamora)Altura a los 10 años15,613,010,4   800
 Relación a/d0,95     0,95     0,95 
E. occidentalisClase de sitioIIIIII 
Italia (Calabria)Altura a los 10 años11,2    8,8    6,4   970
 Relación a/d0,91     0,89     0,88 

1 En el caso de Portugal, se trata de la altura dominante.

Cuando haya una extrema variación entre los rendimientos en los sitios mejores y más pobres de un sector de plantación, puede ser el caso de considerar diferentes especies para los sitios más pobres. Por ejemplo, para los sitios más pobres de la ssp. globulus en la Península Ibérica, se prefieren las procedencias adecuadas de E. camaldulensis, más resistentes a la sequía. Sin embargo, la mayor robustez de E. camaldulensis tiene que sopesarse con las superiores calidades para hacer pasta de la ssp. globulus, para la cual existen ya mercados establecidos en España y en Portugal. Cuando puede atribuirse la baja producción de un sitio a una deficiencia específica, podría aumentarse el rendimiento por medio de un tratamiento adecuado, por ejemplo, con el aporte de abonos.

La Figura XIX muestra la relación entre el IMA con corteza a la edad de 10 años y la altura dominante (índice de sitio) a los 10 años, para diferentes tablas de producción. Para permitir que las curvas fuesen lo más comparables posibles, se hicieron las siguientes conversiones antes de su trazado:

a) En el caso de Uganda y Sudáfrica (Transvaal), el IMA sin corteza fue llevado al IMA con corteza usando los valores de los porcentajes de corteza disponibles en dichos países.

b) En el caso de Marruecos, suroeste de España e Italia, la altura media fue transformada en altura dominante aplicando el coeficiente 1,11, que se aplica apropiadamente para E. grandis en Uganda (Kingston, 1972a) y próximo al empleado para la misma especie en Sudáfrica (van Laar, 1961).

Las abreviaturas para los países y regiones representados en la Figura XIX son las siguientes:

B= Brasil (especies mixtas)
IC= Italia, Calabria (E. occidentalis)
IN= India, montes de Nilgiri (E. globulus)
MM= Marruecos, Mamora (E. camaldulensis)
NE= Norte de España (E. globulus)
NP= Norte de Portugal (E. globulus)
SAT= Sudáfrica, Transvaal (E. grandis)
SG= Sudán, Gezira (E. microtheca)
SOE= Suroeste de España, suelos de esquisto y pizarra (E. globulus)
U= Uganda (E. grandis)

Hay aún una notable diferencia entre las curvas, que puede en parte deberse a los distintos métodos para medir el volumen (incluyendo o no la cepa y las puntas del tallo), a las diferencias de las densidades que influyen en la relación altura/diámetro y, en fin, a las diferencias en el coeficiente de forma. La forma general de las curvas, sin embargo, es bastante similar. Hay una excepción con E. microtheca en Gezira (Sudán), que es un caso especial, puesto que hay allí muchos árboles con troncos dobles o triples, lo que puede haber hecho bajar el crecimiento de la altura dominante, aumentando el crecimiento en volumen, en comparación con los árboles de un solo tronco.

Otros datos de producción

Si bien se dispone solamente de pocas tablas de producción para extensas superficies, se puede citar menos información detallada con respecto a una cantidad de especies de interés potencial. Se desconoce a menudo la definición exacta del incremento medio anual (IMA). En los casos en que se siguen las definiciones recomendadas por la IUFRO (1965), los volúmenes se refieren al volumen total del tronco con corteza, desde el suelo hasta el ápice (es decir, incluyendo la cepa y la punta; pero sin considerar las ramas) y el IMA, expresado en m3/ha/año se referirá al incremento del volumen total del rodal por hectárea a una determinada edad, incluyendo el volumen de raleos, dividido por dicha edad.

E. camaldulensis

El crecimiento varía de acuerdo con el clima y el suelo. Se informa sobre un IMA de 20–25 m3 en Argentina; 17–20 m3 en Turquía, y 20–30 m3 en los mejores sitios de Israel. Pueden esperarse rendimientos muy inferiores en sitios más pobres y más secos. En Portugal, la variación de los rendimientos va de 2 a 10 m3, muy similar a los de las tablas de producción para Marruecos del Anexo 3. En Uruguay, varían entre 4 y 18 m3. En Italia se espera un promedio de 6,5 m3. En los sitios más secos de Israel, el IMA es de solamente 2 m3. En Nigeria, en la zona media de Guinea, se prevé un IMA de 15–20 m3 (Jackson, 1974).

E. cloeziana

En Malawi se informa sobre un IMA de 19 m3 a los 10 años, muy cercano al de las plantaciones del Copperbelt de Zambia indicado en el Anexo 3. En Nigeria, en la zona media de Guinea, el IMA previsto es de 10–15 m3.

E. deglupta

Ovington (1972) menciona un IMA de 31 m3 a los 12–15 años en una plantación de Papua Nueva Guinea. Ello concuerda con el informe nacional más reciente, que menciona un volumen en pie de 520 m3/ha, a los 20 años, con una densidad de 133 tallos/ha, con un IMA para la cosecha principal de 26 m3, sin considerar los raleos. En las Filipinas se espera un volumen entre 17 a 25 m3 (Tagudar, 1974) y 30 m3 en la Costa de Marfil.

E. globulus ssp. globulus

En el Perú, el IMA para los altiplanos es, por término medio, de 10 m3. En Etiopía, el promedio bajo la actual ordenación es de 10 m3 a los 10 años, y el máximo de 20 m3, pero se considera posible obtener 35 m3 en sitios favorables, con ordenación mejorada. En Uruguay se obtienen 25 m3 sobre sitios buenos, pero no excepcionales.

E. globulus ssp. maidenii

Desde Malawi se informa sobre un IMA de 14–19 m3. En Tanzanía, las mejores plantaciones de los altiplanos meridionales tuvieron un IMA de alrededor de 35 m3 a los 13 años (Streets, 1962).

E. gomphocephala

En Marruecos, en la región de Mamora, es de prever un IMA con un promedio de 10 m3 a los 9 años, si bien se han registrado hasta 27 m3 en sitios excepcionales. Sobre suelos muy fértiles, con riego durante los primeros 5 años, en la región de Deroua, los rendimientos han variado entre 21 y 44 m3. Sobre estaciones más típicas, en la zona semiárida, la producción era inferior a 7 m3. En Israel, varía desde menos de 6 m3 en suelos arenosos a más de 10 m3 sobre suelos de rendzina.

E. grandis

Los informes sobre la variación de rendimientos son del mismo orden que los de las tablas de producción del Anexo 3. Se han citado para Australia (Nueva Gales del Sur), Angola y Kenya unos IMA de 20 y 22 m3.

El IMA en Zambia se reduce notablemente en estaciones más secas y más al sur, siendo el IMA de 10 m3 a los 4 años en la llanura central, y de 8 m3 en la llanura meridional, en comparación con los 24 m3 en el Copperbelt (Anexo 3). En Zimbabwe, en sitios lluviosos, el IMA varía entre 7 y 30 m3, mientras que en parcelas regadas puede llegar a hasta 40 m3. En Argentina, sobre los suelos rojos de la provincia de Misiones, se ha obtenido un IMA de 50 m3 a los 14 años, mientras que en Uruguay, sobre buenos sitios, el IMA varía entre 35 y 45 m3. En la zona media de Guinea, en Nigeria, es de esperar un IMA de 13–18 m3.

E. microcorys

Se menciona para Malawi un IMA de 15–19 m3 a los 10 años.

E. nitens

El IMA sin corteza citado por Hillis y Brown (1978) para parcelas sin ralear de 12 años en Australia era de 15 m3 en Tasmania y de 21 m3 en Victoria.

E. occidentalis

Las referencias son de un IMA de 2 m3 en Israel en la Zona C (véanse los informes nacionales en el Capítulo 4) y de 1 m3 en la Zona D, aún más seca. Estos valores se comparan con 1,5 a 6,5 m3 obtenidos en Italia en las condiciones más húmedas de Calabria (véanse las tablas de producción en el Anexo 3).

E. regnans

En Nueva Zelandia se ha mencionado un IMA entre 20 y 30 m3 para las edades de 9–14 años, en diversas parcelas, pero en una parcela fue tan bajo como 11 m3. Una parcela de ensayo en una plantación de 9 años en Victoria (Australia) tuvo un IMA de 28 m3 (Carter, 1974).

E. robusta

En Papua Nueva Guinea se ha registrado un IMA de 21 m3 a la edad de 4 años y medio, con una densidad de 1 500/ha. En Madagascar, a la edad de 11 años, el IMA varía entre 10 y 35 m3.

E. saligna

Es la especie de más rápido crecimiento en Hawaii, donde el IMA de 42 m3 se obtiene comúnmente, y las mejores parcelas sin fertilizantes producen 50 m3. Es la especie más largamente plantada en Brasil, donde el promedio nacional estimado del IMA para especies de eucaliptos mixtas se dice ser de 18 m3.

E. tereticornis

En la India, que tiene la mayor superficie de plantaciones con esta especie, el promedio del IMA a los 8 años de las mejores plantaciones, en ocho Estados diferentes, es alrededor de 18 m3. El promedio para las plantaciones más pobres en los mismos Estados es de 4 m3.

Sobre buenos sitios en el Congo, Argentina, Costa de Marfil y Uruguay se espera obtener un IMA de 18–25 m3, pero, sobre sitios más pobres, decae a 12 m3 en el Congo y a 6 m3 en Uruguay. En Malawi, la estirpe Zanzíbar «C» tiene un IMA de 14 m3 a los 8–12 años. En la zona media de Guinea, en Nigeria, se espera un IMA de 15–20 m3.

E. trabutii

Se han publicado tablas de producción de E. trabutii (un híbrido de E. botryoides y E. camaldulensis) plantado en Calabria, Italia (Ciancio y Hermanin, 1976). El IMA a los 10 años es muy cercano al de E. occidentalis, que crece en las mismas clases de calidad de sitio (CC) (véase Anexo 3). E. trabutii crece inicialmente más lento, pero, a los 13 años, el IMA, 7,5 m3 sobre CC I, 4,2 m3 sobre CC II y 1,7 m3 sobre CC III, es superior al de E. occidentalis.

Producción de los tallares

La sección anterior ha tratado de los rendimientos que pueden esperarse de la primera rotación a partir de plántulas. Se ha comprobado que, en algunas especies de eucaliptos, la segunda tala (primera por tallar) debería proporcionar mayores rendimientos. Métro (1955) mencionaba un aumento del 20%, que era común en E. globulus ssp. globulus en Portugal. En Turquía, se espera un aumento del 50% sobre E. camaldulensis. En la India, el promedio del IMA en la primera corta por tallar, en cultivos de E. tereticornis en siete zonas, fue de 23 m3, comparado con un promedio de 18 m3 de los cultivos por plántulas, sobre los mejores sitios, en ocho Estados, pero las localidades no eran idénticas.

Se dispone de una demostración más precisa desde Sicilia (Cantiani, 1976), donde el aumento a los 11 años fue del 93% con E. camaldulensis y del 44% con E. globulus ssp. globulus, y desde Kenya (Howland, 1971), donde el aumento fue del 50% en E. grandis/saligna a la edad de 8 años.

Por otra parte, Carter (1974) menciona ejemplos desde Sudáfrica, donde los rendimientos decrecieron en la primera corta por tallar para E. saligna y E. grandis. En E. saligna la reducción fue del 8% y una disminución similar se produjo en cada rotación sucesiva del tallar. En Brasil se estima un promedio de IMA de 21 m3 en el cultivo a partir de plántulas (con rotación de 7 años), de 17 m3 para la primera corta del tallar (con rotación de 5 años) y de 15 m3 en el segundo tallar (rotación de 5 años), pero la aparente reducción puede asociarse con la menor rotación en los cortes por tallar. En E. gomphocephala, en Marruecos, había una aparente reducción del IMA a los 9 años del 40% entre la corta a partir de plántulas y la primera corta por tallar, pero E. gomphocephala es una especie que rebrota mal; no produce lignotubérculos y no está considerada en Australia como especie destinada a cortas por tallar.

Siempre que la especie rebrote con vigor, que se ejecute con cuidado la corta del cultivo de plántulas (véase Capítulo 5), y que se dejen para el cultivo por tallar un promedio de 2–3 tallos por cepa. para compensar las cepas que fallen en el tallar, la primera corta por tallar debería dar un aumento del 25% o más que el rendimiento del cultivo a partir de plántulas, pero el diámetro de los tallos individuales será menor a una determinada edad.

Hay muy poca información con respecto al rendimiento de la segunda y subsiguientes cortas por tallar, pero puede esperarse un decrecimiento gradual a partir del primer corte del rebrote. Para E. globulus ssp. globulus en Portugal, Métro (1955) indica que la segunda corta por tallar produce un 80–100% del rendimiento del cultivo inicial por plántulas, y menos del 80% en el caso de la tercera corta por tallar. En la India, donde se hacen cuatro cosechas por tallar para E. globulus ssp. globulus, después de la corta inicial por plántulas, con una rotación uniforme de 15 años, se observa una caída en los rendimientos del 9% en la tercera corta por tallar y del 20% en la cuarta y última rotación.

Producción en plantaciones con raleos

La mayoría de las plantaciones de eucalipto se cultivan en rotaciones cortas sin hacer raleos. Es escasa la información sobre rendimientos en rodales aclarados para la producción de trozas para aserrío. En el Anexo 3 figuran las tablas de producción para E. grandis fuertemente aclarado en Transvaal (Sudáfrica), y pueden ser comparadas con las tablas para rodales no aclarados para la misma región. El rendimiento volumétrico total se reduce en un 15%, pero el crecimiento en diámetro es casi el doble que en los rodales no raleados.

Rendimiento en peso

Para algunos fines, el rendimiento en peso por hectárea es más importante que el rendimiento en volumen. Es necesario conocer la gravedad específica de la madera para las condiciones locales, con el fin de convertir el volumen en peso. En algunos casos, las tablas indican directamente el peso de la madera producida para una determinada edad o tamaño, por ejemplo, las tablas para E. globulus ssp. globulus de Cantiani (1976) y para E. occidentalis de Ciancio y Hermanin (1974). En ambos casos, el peso se refiere a los árboles de reciente corta incluyendo la corteza, para los cuales la gravedad específica es de alrededor de 1, 075 para la ssp. globulus y de 1,1 para E. occidentalis.

Biomasa

Cromer et al. (1975) han hecho referencia a los estudios de la producción de biomasa por encima del nivel del suelo en plantaciones jóvenes de E. globulus ssp. globulus, en función de los fertilizantes. Se presentaron a los 4 años grandes diferencias según los tratamientos aplicados, variando el peso seco al horno en t/ha desde 6,3 en las parcelas no fertilizadas a 30,3 en las parcelas a las que se había aplicado la mayor cantidad de fertilizantes. A los 6 años, la producción varió desde 12,5 t/ha en las parcelas no abonadas a 45 t/ha en las parcelas que fueron fertilizadas al máximo (Cromer, 1978). Sin embargo, los porcentajes de los totales, aportados por los diversos componentes, eran comparables en todos los tratamientos; en el Cuadro 11.2 se indican los promedios. La proporción de hojas ha mostrado una gran reducción entre los 2 años, cuando variaba entre el 46% y el 33% del total, y los 4 años, cuando variaron del 16% al 17%. Es algo sorprendente el aumento del porcentaje de la corteza del tronco entre los 4 y los 6 años.

Parece que se han hecho pocos trabajos, o ninguno, para medir la biomasa total del eucalipto, incluyendo las raíces.

Factores que afectan al rendimiento

Se han examinado en otros capítulos los factores que influyen sobre los rendimientos del género Eucalyptus. Los principales factores y la medida con la cual pueden afectar a los rendimientos se indican seguidamente.

Sitio

Como se ha mencionado anteriormente, el rendimiento de una misma especie dentro de una región geográfica varía comúnmente en la proporción de 4:1 entre los mejores y los peores sitios. En algunos casos, por ejemplo, con E. globulus ssp. globulus en la Península Ibérica, la relación puede ser del orden de 10 o de 15:1.

Especie

Dentro de la misma área geográfica, las especies comúnmente plantadas y sanas pueden diferenciarse en el rendimiento en las relaciones de 3 o de 4:1, por ejemplo, la diferencia entre E. grandis y E. sideroxylon en la zona del cultivo de la acacia (« wattle ») en Sudáfrica (Wattle Research Institute, 1972).

Cuadro 11.2 Porcentajes de la biomasa por encima del nivel del suelo de E. globulus ssp. globulus

 Edad
4 años6 años
Madera del tronco55,557,1
Corteza del tronco11,514,6
Total tronco67,071,7
Ramas vivas12,09,8
Ramas muertas4,52,9
Total madera de las ramas16,512,7
Hojas16,515,6

Procedencia

En las especies de amplia distribución y de gran variabilidad, como es el caso de E. camaldulensis, es considerable la variación de rendimiento entre las procedencias mejores y peores para un determinado sitio. En los ejemplos de los ensayos de procedencia de E. camaldulensis citados para Israel y Nigeria, la relación entre los rendimientos en volumen máximo y mínimo variaba entre 3:1 y 8:1 (Lacaze, 1977).

Tratamientos silviculturales

En los ejemplos de fertilización antes mencionados (Cromer et al., 1975), la relación entre la producción de la biomasa sobre el nivel del suelo en las parcelas con más fuerte aporte de fertilizantes y las parcelas no abonadas fue de 6:1 para la ssp. globulus de 4 años. Puede esperarse una relación de la misma magnitud según las diferencias entre la intensidad de preparación del lugar y del desmalezado temprano, operaciones que pueden provocar la diferencia entre un crecimiento vigoroso y casi el estancamiento. En las áreas áridas, el crecimiento puede relacionarse directamente con la cantidad de agua de riego disponible (Foggie, 1967).

Plagas y enfermedades

Los rendimientos pueden quedar afectados seriamente por la aparición de una plaga o enfermedad en cultivos anteriormente sanos. La ssp. maidenii en el arboreto de Muguga, en Kenya, creció muy bien durante los primeros 2 años, después de lo cual decayó mucho, tanto en crecimiento como en forma, con motivo de los ataques de Gonipterus scutellatus (Gottnied y Thogo, 1975). Las enfermedades de hongos, como la « enfermedad rosada » en la India, provocó efectos similares.

Interacción

Se observa comúnmente tanto sobre los eucaliptos como sobre otros géneros botánicos, la interacción, es decir, las diferencias en los rendimientos de especies y procedencias diferentes en sitios diversos, o las diferencias en los efectos relativos de tratamientos diferentes sobre diversos sitios y sobre especies y procedencias diversas. Sobre una buena estación, o sitio, para E. grandis, tal como el arboreto Lushoto en Tanzanía, E. grandis supera en producción a E. salubris en la relación de cerca de 35:1 (Borota, 1969); sobre un sitio típico para E. salubris en la zona semiárida, E. salubris sobrevivirá y crecerá, aunque lentamente, mientras que E. grandis morirá. El fertilizante puede provocar un notable efecto sobre suelos naturalmente estériles, pero ninguno sobre tierra franca volcánica rica.

Si bien algunos de los ejemplos mencionados son de carácter más exagerado de los que por lo común se hallarán en la práctica, permiten comprender por qué en un género tan variable como Eucalyptus, los rendimientos en las tablas de producción publicadas pueden variar de 50:1.


Página precedente Inicěo de página Página siguiente