El Cuadro A5.1 resume la información disponible sobre la superficie total plantada con eucaliptos en cada país. La información procede en su mayor parte de las contestaciones dadas por los gobiernos a los cuestionarios remitidos por la FAO a principios de 1975 y se refiere a las superficies plantadas a finales de 1973. Cuando no se tuvo contestación, la información se tomó de otras fuentes. En cada caso se indica la fuente de información.
La superficie total en el Cuadro A5.1 es de poco menos de 4 millones de ha. Brasil posee netamente la superficie mayor, con más de 1 millón de ha. Cuatro países (India, España, Sudáfrica, Portugal) tienen cada uno entre 250 000 y 500 000 ha.
Relativamente pocos países han informado sobre el ritmo actual o previsto de sus plantaciones de eucaliptos, pero comprenden la mayor parte de las grandes zonas donde éstos se cultivan. La información disponible se resume en el Cuadro A5.2. Puede observarse que la superficie media anual de plantaciones en los países mencionados es de alrededor del 5% del total, pero la variación es grande, desde el 2–3% para los países con plantaciones más viejas al 20, 50 y 100% en países que están iniciando programas de plantación. Si se pudiese aplicar este aumento del 5% medio anual al total mundial de 4 millones de ha, el consiguiente ritmo de expansión mundial sería de 200 000 ha anuales.
Debe reconocerse que hay considerable variación en la exactitud de las estimaciones. En algunos casos pueden referirse a la superficie de plantaciones con plena densidad; en otros casos, a la superficie total plantada, y en otros, a un área equivalente a la cantidad de plantas criadas en vivero.
Cuadro A5.1 Superficie con plantaciones de eucaliptos
| País o región | Superficie total plantada hasta fines de 1973 (ha) | Superficie total plantada en fecha diversa de 1973 (ha) | Fuente de la información |
| Alto Volta | 933 (1976) | Cuestionario | |
| Angola | 100 600 (1970) | Persson, 1975 | |
| Argelia | 28 200 (1965) | FAO, 1967a | |
| Argentina | 80 000 | Cuestionario | |
| Australia | 26 400 (1972) | FORWOOD, 1974 | |
| Belize | Sólo ensayos | Cuestionario | |
| Bolivia | 5 000 | Cuestionario | |
| Brasil | 1 052 000 | Cuestionario | |
| Brunei | Sólo ensayos | Cuestionario | |
| Burundi | 18 627 | Cuestionario | |
| Camerún | 2 000 (1972) | Persson, 1975 | |
| Colombia | 13 800 | Cuestionario | |
| Comoras | 638 | Cuestionario | |
| Congo | 5 500 | Cuestionario | |
| Costa de Marfil | 150 | Cuestionario | |
| Costa Rica | Ensayos y parcelas rurales | Gewald, 1977 | |
| Cuba | 36 000 | Cuestionario | |
| Chad | 223 | Cuestionario | |
| Chile | 31 052 (1966) | Cuestionario | |
| China | 52 000 (1977)1 | FAO (en prensa) | |
| Chipre | 2 000 | Cuestionario | |
| Ecuador | 17 716 (1975) | Narváez, 1976 | |
| España | 390 277 | Cuestionario | |
| Estados Unidos | 110 000 | Cuestionario, Skolmen, 1976 | |
| Etiopía | 42 300 | Cuestionario | |
| Fiji | Sólo ensayos | Cuestionario | |
| Filipinas | 70 070 (1975) | Domingo, 1977 | |
| Francia | 1 130 (1961) | 2a Conferencia Mundial del Eucalipto | |
| Ghana | 900 | Cuestionario | |
| Grecia | 100 | Cuestionario | |
| Guyana | Sólo ensayos | Cuestionario | |
| Honduras | 300 (1972) | Troensegaard et al., 1973 | |
| Hong Kong | Sólo ensayos | Cuestionario | |
| India | 450 000 | Cuestionario | |
| Indonesia | Sólo ensayos | Cuestionario | |
| Irán | Sólo ensayos | Cuestionario | |
| Iraq | 3 000 | Cuestionario | |
| Irlanda | 20 | Cuestionario | |
| Islas Salomón Británicas | Sólo ensayos | Cuestionario | |
| Israel | 10 022 | Cuestionario | |
| Italia | 38 000 (1975) | Cuestionario | |
| Jordania | 10 | Cuestionario | |
| Kenya | 11 296 | Cuestionario | |
| Kuwait | Ornamentales | Cuestionario | |
| Lesotho | 360 | Cuestionario | |
| Libia | 26 000 (1965) | FAO, 1967a | |
| Madagascar | 180 000 | Cuestionario | |
| Malasia | 40 | Cuestionario | |
| Malawi | 9 600 (1976) | Cuestionario | |
| Malí | Sólo ensayos | Cuestionario | |
| Malta | Ornamentales | Cuestionario | |
| Marruecos | 177 743 | Cuestionario | |
| Mauricio | 3 000 (1970) | Persson, 1975 | |
| México | 2 000 (1967) | Reynders, 1970a | |
| Mozambique | 8 000 | Cuestionario | |
| Nepal | Sólo ensayos | Cuestionario | |
| Níger | 40 | Cuestionario | |
| Nigeria | 4 000 | Cuestionario | |
| Nueva Zelandia | 12 659 | Cuestionario | |
| Pakistán | 1 000 | Cuestionario | |
| Panamá | Ensayos + ornamentales | Cuestionario | |
| Papua Nueva Guinea | 1 348 | Cuestionario | |
| Paraguay | 2 900 (1972) | Persson, 1974 | |
| Perú | 92 882 (1975) | Cuestionario | |
| Portugal | 250 000 | Cuestionario | |
| Puerto Rico | 840 | Cuestionario | |
| Reino Unido | Ornamentales | Cuestionario | |
| República Centroafricana | Sólo ensayos | Cuestionario | |
| República Dominicana | Ensayos + ornamentales | Cuestionario | |
| Rwanda | 23 000 (1970) | Persson, 1975 | |
| Samoa Occidental | Sólo ensayos | Cuestionario | |
| San Cristóbal y Nieves-Anguilla | Ornamentales | Cuestionario | |
| Senegal | 50 (1965) | FAO, 1967a | |
| Sierra Leona | Sólo ensayos | Cuestionario | |
| Somalia | Sólo ensayos | Cuestionario | |
| Sudáfrica | 347 464 | Sudáfrica, 1974 | |
| Sri Lanka | 8 296 | Cuestionario | |
| Sudán | 7 560 (1969) | Persson, 1975 | |
| Swazilandia | 2 943 | Cuestionario | |
| Tailandia | 100 (1965) | FAO, 1967a | |
| Tanzanía | 2 744 | Cuestionario | |
| Trinidad y Tabago | Sólo ensayos | Cuestionario | |
| Túnez | 42 000 (1974) | Cuestionario | |
| Turquía | 10 770 | Cuestionario | |
| Uganda | 11 528 (1975) | Cuestionario | |
| Uruguay | 111 123 | Cuestionario | |
| URSS | 2 300 (1957) | Linnard, 1969 | |
| Yemen, Rep. Arabe | Rompevientos, parcelas forestales | Beskok, 1974 | |
| Yemen, Rep. Dem. Pop. | Ensayos, rompevientos | Balaidi, 1977 | |
| Zaire | 5 000 (1965) | FAO, 1967a | |
| Zambia | 7 556 | Cuestionario | |
| Zimbabwe | 25 000 (1965) | Barrett y Mullin, 1968 | |
| Total | 3 358 789 | 558 321 | |
| Total general | 3 917 110 | ||
Cuadro A5.2 Ritmo anual de plantación de eucaliptos en algunos países
| País o región | Superficie total plantada (ha) | Ritmo actual de plantaciones anuales actuales o previstas (ha) | Incremento (porcentaje) | Fuente de información |
| Argentina | 80 000 (1973) | 3 000–6 000 (1973) | 3,75–7,5 | Cuestionario |
| Brasil | 1 052 000 (1973) | Cuestionario | ||
| 65 000 (1972) | 6,2 | Pulpwood survey, 19721 | ||
| Colombia | 13 800 (1973) | 2 500 (1973) | 18,1 | Cuestionario |
| Etiopía | 42 300 (1973) | 1 770 (1973) | 4,2 | Cuestionario |
| India (parte)2 | 189 000 (1972) | 6 000 (1972) | 3,2 | Pulpwood |
| survey, 19721 | ||||
| Lesotho | 360 (1973) | 400–800 (1973) | 110–220 | Cuestionario |
| Marruecos | 177 743 (1973) | Cuestionario | ||
| 5 000 (1971) | 2,8 | Pulpwood survey, 19721 | ||
| Nigeria | 4 000 (1973) | 800 (1973) | 20,0 | Cuestionario |
| Papua Nueva | ||||
| Guinea | 1 348 (1973) | 900 (1973) | 66,8 | Cuestionario |
| Portugal | 250 000 (1973) | 15 000 (hasta 1973) | 6,0 | Cuestionario |
| Sudáfrica | 347 464 (1973) | 10 426 (1973) | 3,0 | Sudáfrica, 1974 |
| Sri Lanka | 8 296 (1973) | 400 (1973) | 4,8 | Cuestionario |
| Túnez | 42 000 (1974) | Cuestionario | ||
| 500–800 (1971) | 1,2–1,9 | Pulpwood survey, 19721 | ||
| Turquía | 10 770 (1973) | 250 (1973) | 2,3 | Cuestionario |
| Total | 2 219 081 | 111 946–115 646 | 5,0–5,2 |
1 Inventario de la FAO sobre plantaciones de eucalipto en determinados países (inédito).
El Cuadro A6.1 describe un método para comparar la rentabilidad de las plantaciones de eucalipto en tres casos hipotéticos. En cada caso, los costos y beneficios se refieren a 1 ha de plantación, que cubre un período de 24 años y con una tasa de descuento del 10%.
A fin de simplificar los ejemplos al máximo, se supone que los costos de implantación tienen lugar todos durante el primer año (año 0) del proyecto. Ello es posible con una combinación óptima de circunstancias (limpieza mínima de la vegetación del lugar y desmalezado intenso, una especie de rápido crecimiento y una alta calidad de sitio), cuando deberían ser suficientes 4 meses para los trabajos de vivero y preparación del sitio y 8 meses desde la plantación hasta el cierre del dosel. Más frecuentemente, sin embargo, los costos de implantación pueden distribuirse durante varios años del proyecto, por ejemplo, limpieza del terreno en el año O, cultivo del suelo, trabajo de vivero y plantación en el año 1, y desmalezado en el año 2. En tales casos deberá usarse un factor diverso de descuento para los costos de las operaciones de cada año.
Se supone en los ejemplos que los costos de implantación no incluyen el costo de la tierra. Cuando los departamentos forestales del gobierno operan en reservas forestales del Estado, está justificado omitir de los cálculos el costo de la tierra. Cuando haya que adquirir tierra privada, o pueda venderse con ventaja para usos diferentes de los de las plantaciones de eucalipto, deberá incluirse como un costo al inicio del proyecto, e incluir su valor futuro de venta como rubro de beneficios, al final del proyecto. Se supone que el costo de los raleos y la corta son a cargo del comprador y que el valor de la madera en pie representa para el productor el valor del cultivo en pie.
Los casos 1 y 2 representan dos especies que se cultivan con una rotación para pasta de 8 años. Los cultivos por plántulas de ambas especies crecen con la misma intensidad (IMA 20 m3/ha/año durante 8 años) y tienen el mismo valor como madera para pasta (10 dólares por m3). La especie del caso 1 regenera rápidamente por tallar, mientras que la del caso 2 tiene que ser replantada. El caso 1 puede por lo tanto regenerarse más económicamente a las edades de 9 y 17. Además, el IMA del caso 1 en la primera rotación por tallar (24 m3/ha/año) es un 20% superior al de la rotación por plántulas. En la segunda rotación por tallar, el IMA vuelve a bajar a 20 m3.
El caso 1 es netamente más beneficioso. Su valor neto presente o ingreso neto descontado es más de dos veces superior al del caso 2.
El caso 3 representa una especie con una tasa de crecimiento similar a los casos 1 y 2, cultivada principalmente para trozas de sierra y postes largos, pero con mercado disponible para raleos tempranos. Debido a la rotación más larga, se supone un IMA de 17,5 m3/ha/año. Se considera que el precio unitario de las trozas para sierra es más del doble del precio de madera para pasta. El valor neto presente o el beneficio neto descontado con una tasa de interés del 10% resulta intermedio al de los casos 1 y 2.
El cuadro indica también, para cada caso la tasa interna de rentabilidad (TIR) — es decir, la tasa de interés a la cual los costos descontados son exactamente iguales a las utilidades descontadas. El caso 1 sigue siendo el más ventajoso de los tres, con una TIR del 14,8%. Las TIR para los casos 2 y 3 son iguales, 12,4%, aun cuando el caso 3 indica un mayor beneficio con un interés del 10%. Ello se debe a que el efecto adverso sobre la rentabilidad por las tasas de interés incrementadas hace mayor peso sobre proyectos como el caso 3, donde la mayor parte de los beneficios se concentran al final del proyecto, que sobre proyectos donde los beneficios se distribuyen más regularmente en el tiempo (casos 1 y 2). Por otra parte, una reducción en las tasas de interés favorecerá un proyecto como en el caso 3; con el 5% de interés el caso 3 es más rentable que el caso 1.
Cuadro A6.1 Cálculo del valor actual neto (en $EE.UU.) con una tasa de descuento del 10% para 1 ha de plantaciones de eucalipto, y la tasa de rentabilidad interna
| Año | Concepto | Caso 1 | |||
| Observaciones | Valor | Factor de descuento | Valor descontado | ||
| COSTOS | |||||
| 0 | Implantación | 520 | 1,0 | 520 | |
| 9 | Regeneración | por tallar | 40 | 0,424 | 17 |
| 17 | Regeneración | por tallar | 40 | 0,198 | 8 |
| 0–24 | Protección anual/gastos generales | 40 | 9,077 | 363 | |
| Total costos descontados | 908 | ||||
| INGRESOS | |||||
| 5 | Valor en pie (raleos) | ||||
| 8 | Valor en pie (tala rasa) | 160 m3a $10 | 1 600 | 0,467 | 747 |
| 10 | Valor en pie (raleos) | ||||
| 15 | Valor en pie (raleos) | ||||
| 16 | Valor en pie (tala rasa) | 192 m3 a $10 | 1 920 | 0,218 | 419 |
| 24 | Valor en pie (tala rasa) | 160 m3 a $10 | 1 600 | 0,102 | 163 |
| Ingresos totales descontados | 1 329 | ||||
| Beneficio neto descontado o «valor actual neto» | 421 | ||||
| Tasa de rentabilidad interna (porcentaje) | 14,8 | ||||
| Año | Concepto | Caso 2 | |||
| Observaciones | Valor | Factor de descuento | Valor descontado | ||
| COSTOS | |||||
| 0 | Implantación | 520 | 1,0 | 520 | |
| 9 | Regeneración | por replantación | 300 | 0,424 | 127 |
| 17 | Regeneración | por replantación | 300 | 0,198 | 59 |
| 0–24 | Protección anual/gastos generales | 40 | 9,077 | 363 | |
| Total costos descontados | 1 069 | ||||
| INGRESOS | |||||
| 5 | Valor en pie (raleos) | ||||
| 8 | Valor en pie (tala rasa) | 160 m3 a $10 | 1 600 | 0,467 | 747 |
| 10 | Valor en pie (raleos) | ||||
| 15 | Valor en pie (raleos) | ||||
| 16 | Valor en pie (tala rasa) | 160 m3 a $10 | 1 600 | 0,218 | 349 |
| 24 | Valor en pie (tala rasa) | 160 m3 a $10 | 1 600 | 0,102 | 163 |
| Ingresos totales descontados | 1 259 | ||||
| Beneficio neto descontado o «valor actual neto» | 190 | ||||
| Tasa de rentabilidad interna (porcentaje) | 12,4 | ||||
| Año | Concepto | Caso 3 | |||
| Observaciones | Valor | Factor de descuento | Valor descontado | ||
| COSTOS | |||||
| 0 | Implantación | 520 | 1,0 | 520 | |
| 9 | Regeneración | ||||
| 17 | Regeneración | ||||
| 0–24 | Protección anual/gastos generales | 40 | 9,077 | 363 | |
| Total costos descontados | 879 | ||||
| INGRESOS | |||||
| 5 | Valor en pie (raleos) | 40 m3 a $5 | 200 | 0,621 | 124 |
| 8 | Valor en pie (tala rasa) | ||||
| 10 | Valor en pie (raleos) | 60 m3 a $10 | 600 | 0,386 | 232 |
| 15 | Valor en pie (raleos) | 80 m3 a $15 | 1 200 | 0,239 | 287 |
| 16 | Valor en pie (tala rasa) | ||||
| 24 | Valor en pie (tala rasa) | 240 m3 a $22 | 5 280 | 0,102 | 539 |
| Ingresos totales descontados | 1 182 | ||||
| Beneficio neto descontado o «valor actual neto» | 303 | ||||
| Tasa de rentabilidad interna (porcentaje) | 12,4 | ||||
En las ilustraciones que siguen el número que precede al nombre de las especies debajo de cada par de dibujos es el número de Blakely. En cada par, el diseño de la izquierda representa la yema y el de la derecha el fruto. Los dibujos son de tamaño natural. (Reproducido de «Eucalyptus buds and fruits », por G.M. Chippendale, 1968, con la autorización del Australian Government Publishing Service, Canberra, Australia.) Se conserva la nomenclatura de Blakely en todos los casos (véase «Nota sobre la nomenclatura», p. viii).
![]() | ![]() |
| 125 E. accedens | 313 E. acmenioides |
![]() | ![]() |
| 207 E. alba | 422 E. andrewsii |
![]() | ![]() |
| 112 E. astringens | 186 E. blakelyi |
![]() | ![]() |
| 479 E. bosistoana | 64 E. botryoides |
![]() | ![]() |
| 225 E. bridgesiana | 584a E. brockwayi |
![]() | ![]() |
| 32 E. calophylla | |
![]() | ![]() |
| 197 E. camaldulensis | 283 E. cinerea |
53 E. citriodora

121 E. cladocalyx
295 E. cloeziana

96 E. cornuta
![]() | ![]() |
| 514 E. crebra | 262 E. cypellocarpa |
![]() | ![]() |
| 236 E. dalrympleana ssp. dalrympleana | 62 E. deanei |
![]() | ![]() |
| 437 E. deglupta | 370 E. delegatensis |
![]() | ![]() |
| 57 E. diversicolor | 417 E. dives |
![]() | ![]() |
| 533 E. drepanophylla | 134 E. dundasii |
![]() | ![]() |
| 223 E. dunnii | 406 E. elata |
![]() | |
| 1 E. erythrocorys | |
![]() | ![]() |
| 318 E. eugenioides | 173 E. exserta |
368 E. fastigata

36 E. ficifolia
584 E. flocktoniae

596 E. forrestiana
![]() | ![]() |
| 381 E. fraxinoides | 237 E. glaucescens |
250 E. globulus var. bicostata

248 E. globulus var. globulus

261 E. globulus var. maidenii
![]() | |
| 98 E. gomphocephala | |
![]() | ![]() |
| 58 E. grandis | 45 E. gummifera |
![]() | ![]() |
| 239 E. gunnii | 291 E. intertexta |
![]() | ![]() |
| 56 E. jacksonii | 327 E. laevopinea |
![]() | 472 E. largiflorens |


97 E. lehmannii
542 E. leucoxylon var. leucoxylon

81 E. longifolia
![]() | ![]() |
| 273 E. macarthurii | 331 E. macrorhyncha |
54 E. maculata
233 E. mannifera ssp. mannifera
![]() | |
| 304 E. marginata | |
![]() | ![]() |
| 526 E. melanophloia | 550 E. melliodora |
![]() | ![]() |
| 314 E. microcorys | 507 E. microtheca |

14 E. miniata
484 E. moluccana

308 E. muellerana
![]() | ![]() |
| 46a E. nesophila | 263 E. nitens |
![]() | 362 E. obliqua |
110 E. occidentalis
var. occidentalis 
578 E. oleosa var. oleosa
380 E. oreades
210 E. ovata
537 E. paniculata 
299 E. patens
394 E. pauciflora
var. pauciflora 
![]() | |
| 73 E. pellita | |
![]() | |
| 306 E. pilularis var. pilularis | |
![]() | ![]() |
| 558 E. polyanthemos | 464 E. polybractea |
![]() | ![]() |
| 501 E. populnea | 75 E. propinqua |
![]() | ![]() |
| 405 E. pulchella | 245 E. pulverulenta |
![]() | 78 E. punctata var. punctata |
![]() | |
| 600 E. pyriformis | |
![]() | ![]() |
| 411 E. radiata subsp. robertsonii | 407 E. radiata |
![]() | ![]() |
| 438 E. raveretiana | 369 E. regnans |
![]() | 69 E. resinifera |
![]() | |
| 67 E. robusta | |
![]() | ![]() |
| 204 E. rudis | 60 E. saligna |
593 E. salmonophloia 
594 E. salubris
113 E. sargentii 
541 E. sideroxylon ssp. sideroxylon

371 E. sieberi
![]() | ![]() |
| 274 E. smithii | 520 E. staigerana |

161a E. stoatei
![]() | ![]() |
| 178 E. tereticornis | 16 E. tessellaris |

7 E. tetrodonta
49 E. torelliana

159 E. torquata
581 E. transcontinentalis

240 E. urnigera
![]() | ![]() |
| 277 E. viminalis | 120 E. wandoo |
![]() | |
| 482 E. woollsiana |
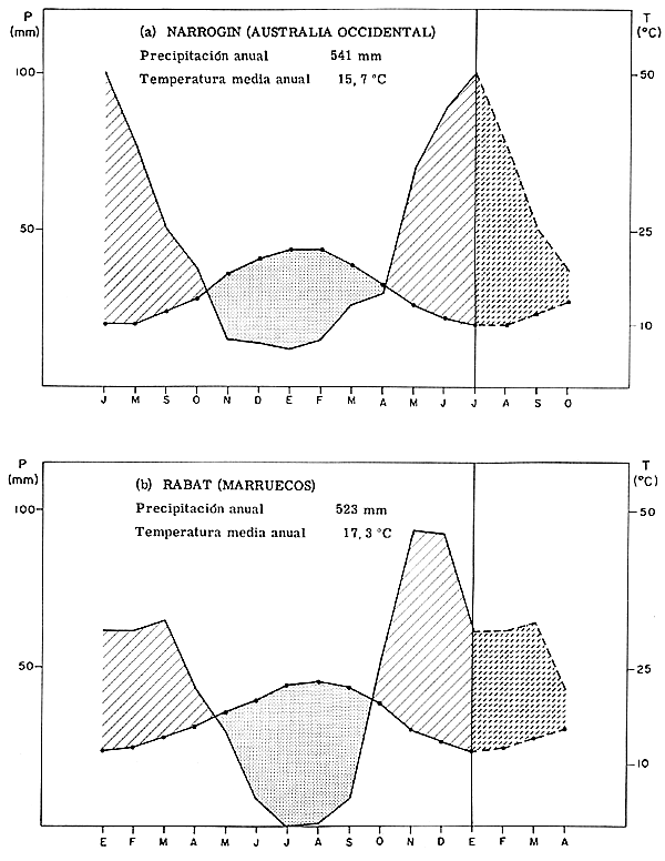
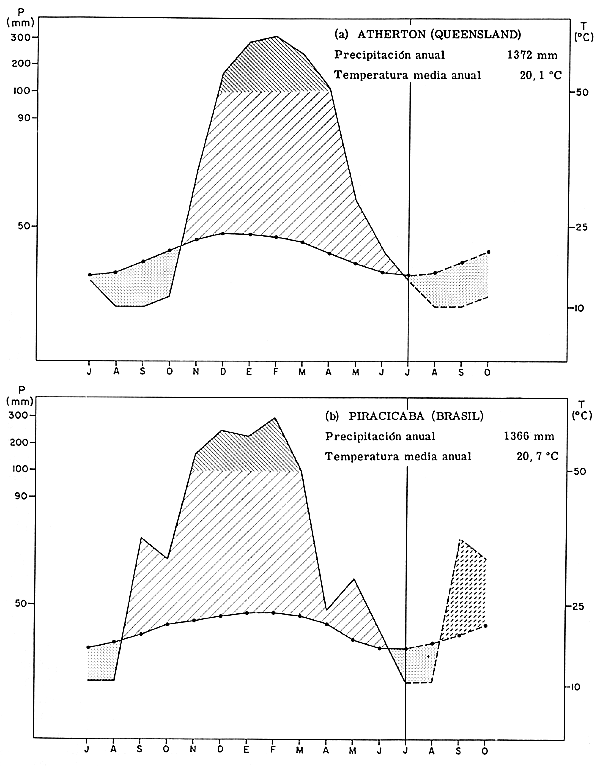
El método de Gaussen (1954) es una ayuda útil para hacer una comparación rápida entre el clima de las nuevas estaciones para plantación de eucaliptos y el emplazamiento original en Australia de las especies o procedencias a plantar. En Klimadiagramm-Weltatlas (Walter y Lieth, 1967) figura una serie global de diagramas climáticos obtenidos por este método. A continuación se ilustra este método con algunos ejemplos, en los cuales cada estación climática en Australia se empareja con una estación en otro país que planta eucaliptos y tiene un régimen climático similar.
En cada diagrama climático los meses se indican a lo largo de la abscisa.
Con el fin de representar la continuidad en el tiempo, 4 meses se indican
dos veces, ambos al principio y al final de la serie cronológica. En cada
diagrama, los meses más calurosos del año (enero-febrero en el hemisferio
sur, julio-agosto en el hemisferio norte) figuran cerca de la mitad de dicha
serie cronológica. La temperatura media mensual en °C está representada
por
y la precipitación mensual media en mm por
. La
temperatura está representada a una escala doble de las precipitaciones, es
decir, 1°C = 2 mm de precipitación. La precipitación mensual por encima
de los 100 mm está representada a una escala de un décimo de la precipitación
hasta 100 mm.
El período o períodos del año durante los cuales la curva de las temperaturas (zona con puntos) está por encima de la curva de precipitaciones se consideran como «secos» (humedad del suelo probablemente deficitaria), mientras que el período o períodos durante los cuales la curva de precipitaciones excede la curva de temperatura (zona rayada) se consideran « húmedos » (humedad del suelo probablemente excedentaria). El diagrama climático representa de este modo la duración y la intensidad de las estaciones «seca» y «húmeda» e indica si coinciden con las estaciones calurosas o frescas del año.
El par de diagramas climáticos para Hythe y Santander (Figura A8-1) representa un régimen pluviométrico en el cual las lluvias invernales son superiores a las estivales, pero la curva de temperatura nunca sobrepasa a la curva de precipitaciones, ni siquiera en verano. Por consiguiente, no hay estación seca.
El par de diagramas climáticos para Narrogin y Rabat (Figura A8-2) representa un régimen de fuertes lluvias invernales, con una estación seca rigurosa, que dura alrededor de 5 meses.
El par de diagramas climáticos para Atherton y Piracicaba (Figura A8-3) representa un régimen de fuertes lluvias estivales, con una estación seca bien marcada de 2 a 3 meses durante la estación fría.

A8-1

A8-2

A8-3