TABLE V
Fluctuations in pH values, oxygen content and colour of water in Series A and B ponds during experimental period
| Month | Factor | A1 | A2 | A3 | A4 | A5 | A6 | B1 | B2 | B3 | B4 | B5 | B6 |
| December | pH | 9.8 | 9.9 | 9.8 | 8.9 | 10.1 | 9.1 | 8.8 | 9.2 | 8.9 | 10.0 | 10.1 | 9.0 |
| January | 10.0 | 9.4 | 9.9 | 9.2 | 10.3 | 9.3 | 9.3 | 9.1 | 9.2 | 8.8 | 9.6 | 9.3 | |
| February | 10.8 | 11.0 | 10.8 | 10.1 | 11.0 | 10.6 | 10.1 | 9.6 | 9.9 | 9.9 | 10.3 | 10.4 | |
| March | 9.0 | 9.6 | 8.8 | 8.8 | 9.1 | 9.3 | 8.6 | 8.0 | 7.8 | 8.1 | 8.6 | 8.6 | |
| April | 9.8 | 10.2 | 9.8 | 9.6 | 10.0 | 10.6 | 9.0 | 8.9 | 8.8 | 9.4 | 9.4 | 8.8 | |
| May | 8.9 | 9.5 | 9.3 | 9.0 | 9.4 | 9.6 | 8.4 | 8.3 | 8.5 | 9.0 | 8.2 | 8.0 | |
| December | Oxygen (ppm) | 8.4 | 8.6 | 6.8 | 6.0 | 5.2 | 5.4 | 4.8 | 4.2 | 2.4 | 6.0 | 3.8 | 4.0 |
| January | 6.6 | 6.4 | 5.2 | 5.8 | 3.6 | 5.0 | 4.4 | 7.2 | 5.0 | 4.6 | 4.6 | 5.0 | |
| February | 6.4 | 5.0 | 4.4 | 5.0 | 5.0 | 4.0 | 4.2 | 4.4 | 4.6 | 6.0 | 4.2 | 5.2 | |
| March | 6.0 | 4.2 | 3.0 | 4.6 | 2.0 | 3.1 | 8.0 | 5.4 | 7.4 | 7.0 | 6.8 | 6.0 | |
| April | 4.8 | 3.0 | 2.4 | 3.8 | 1.3 | 3.2 | 3.0 | 3.4 | 3.8 | 4.6 | 4.2 | 3.4 | |
| May | 5.0 | 4.1 | 3.7 | 4.6 | 1.2 | 3.6 | 3.4 | 3.2 | 4.2 | 3.2 | 3.5 | 3.0 | |
| December | Colour | b1 | lg4 | b | b | g2 | lg | b | b | b | g | g | b |
| January | m | lg | lg | b | g | lg | b | b | b | b | g | b | |
| February | m | dg5 | m3 | b | dg | lg | b | m | m | lg | dg | dg | |
| March | m | c | m | m | lg | g | b | b | b | lg | g | g | |
| April | m | dg | m | m | dg | g | b | m | m | lg | dg | dg | |
| May | m | lg | m | m | lg | lg | b | m | m | b | lg | lg |
1 b : brownish
2 g : greenish
3 m : milky
4 lg : light green
5 dg : dense green
TABLE VI
Quantitative and qualitative data on plankton in Series A ponds
| Pond No. | Volume (ml/l) | Plankton | |
| Zooplankton | Phytoplankton | ||
| A1 | 1.0 | Thermodiaptomus galebi | Cosmarium sp., Melosira granulata, Uscillatoria spp. |
| A2 | 6.5 | Moina dubia, Mesocyclops leuckarti, Copepoid stages, Eggs of crustacea, Nauplii | Ulothrix sp., Pediastrum sp., Closterium spp., Euglena spp., Phacus sp., Melosira granulata, Oscillatoria spp., Lyngbya spp., Nostoc sp., Anabaenopsis, Charra |
| A3 | 4.0 | Moina dubia, Daphnia barbata, Thermodiaptomus galebi, Nauplii | Cosmarium sp., Oscillatoria spp., Nostoc sp., Lyngbya sp., Anabaenopsis spp. |
| A4 | 2.0 | Moina dubia, Mesocyclops leuckarti, Thermocyclops neglectus | Melosira granulata, Nostoc spp., Spirogyra spp. |
| A5 | 8.0 | Moina dubia, Macrothrix, Mesocyclops leuckarti, Nauplii, Water-bug, Larvae of Echiromidae | Closterium spp., Staurastrum spp., Pediastrum sp., Euglena spp., Melosira granulata, Synedra spp., Navicula spp., Lyngbya spp., Anabena spp., Nostoc spp. |
| A6 | 3.5 | Mesocyclops leuckarti, Macrothrix, Alana verrucosa, Water-bug | Pediastrum sp., Cosmarium sp., Melosira granulata, Nostoc sp., Oscillatoria spp. |
TABLE VII
Quantitative and qualitative data on plankton in Series B ponds
| Pond No. | Volume (ml/l) | Plankton | |
| Zooplankton | Phytoplankton | ||
| B1 | 1.0 | Moina dubia, Nauplii | Melosira granulata, Lyngbya sp., Anabaenopsis spp., Oscillatoria spp. |
| B2 | 4.0 | Thermodiaptomus galebi, Moina dubia, Nauplii, Daphnia barbata | Cosmarium sp., Oscillatoria spp., Anabaenopsis spp., Anabena spp., Nostoc sp., Lyngbya sp. |
| B3 | 2.5 | Moina dubia, Mesocyclops leuckarti, Diaphanosoma excisum | Euglena spp., Navicula spp., Lyngbya sp., Oscillatoria spp. |
| B4 | 2.0 | Thermodiaptomus galebi, Macrothrix, Moina dubia | Melosira granulata, Nostoc sp., Oscillatoria spp. |
| B5 | 12.0 | Diaphanosoma excisum, Moina dubia, Mesocyclops leuckarti, Thermodiaptomus galebi, Ceriodaphnia cornuta, Eggs of crustacea, Nauplii, Copepoid stages | Ankistradesmus spp., Cosmarium sp., Scenedesmus spp., Melosira granulata, Symbella, Surirella sp., Maphidiopsis spp., Glosatricha spp., Oscillatoria spp., Lyngbya sp., Anabena spp. |
| B6 | 10.5 | Mesocyclops leuckarti, Moina dubia, Thermodiaptomus galebi, Ceriodaphnia cornuta, Diaphanosoma excisum, Thermocyclops neglectus, Eggs of crustacea | Pediastrum sp., Closteri spp., Staurastrum sp., Trachelomonas spp., Euglena spp., Melosira granulata, Synedra spp., Navicula spp., Cyclotella sp., Polycytis spp., Spirlena sp., Lyngbya sp., Anabena spp., Anababenopsis spp., Nostoc sp., Gloeotricha sp., Raphidiopsis spp. |

Fig. 1. Experimental design and distribution of fertilizers in Series A and B ponds.

Fig. 2. Part of the yield in pond B5 at the time of cropping.

Fig. 3. Percentage increment (production) in series A and B ponds.

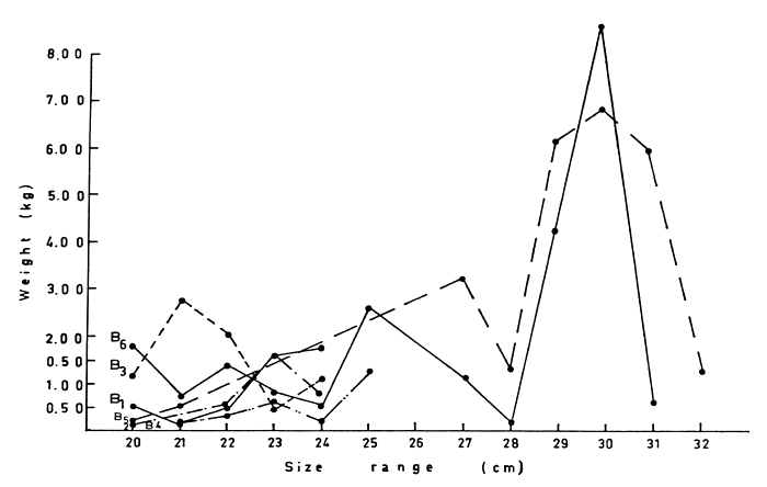
Fig. 4. Length/weight relationship in series A ponds.

Fig. 5. Length/weight relationship in series B ponds.

Fig. 6. Maximum length of Tilapia nilotica (32 cm) attained when using poultry manure and superphosphate.

Fig. 7. Variation in surface water temperature (average) during experimental period.
by
Jiri Kavalec
Fish Culture Station
Department of Fisheries
Chilanga, Zambia
Abstract
The Fish Culture Station of the Department of Fisheries, Zambia, carried out trials with fertilizers and feed in its experimental fish ponds at Chilanga. Application of fertilizers containing nitrogen, phosphorus and potassium increased production from the natural rate of about 800 kg/ha/yr to about 2,500 kg/ha/yr. After application of fertilizer the addition of feed during the growing period gave a maximum rate of production of over 6,000 kg/ha/yr. These results are the first steps in a programme to change the method of fish culture in Zambia from extensive fish culture to intensive fish culture.
Résumé
La Section de pisciculture du Département des pêches en Zambie a réalisé des essais avec apport d'engrais et nourriture dans ses étangs expérimentaux de Chilanga. Une application d'engrais contenant de l'azote, du phosphore et du potassium augmente la production originale qui était d'environ 800 kg/ha/an jusqu'à environ 2.500 kg/ha/an. Après application d'engrais, l'apport de nourriture pendant la période de croissance conduit à un niveau de production supérieur à 6.000 kg/ha/an. Ces résultats sont les premiers pas d'un programme dont le but est de faire passer la méthode de pisciculture en Zambie d'un élevage extensif en un élevage intensif.
In Zambia, emphasis is now being placed on the production of fish through fish culture to supplement production from the natural waters. In the past, fish farming relied on extensive methods but, because of the demand for greater production from fish ponds, modern methods of intensive fish culture are being tried. At present, the Department of Fisheries operates experimental fish farms at Chilanga, near Lusaka and at Mwekera, near Kitwe, and there are fourteen other fish culture stations throughout the country.
This paper reports on the use of fertilizers and feed on the production of tilapia species in the fish farms at Chilanga and Mwekera. The work was part of the initial research carried out during 1973 by the Fish Culture Division of the Department of Fisheries to establish intensive fish culture methods. The aims of the study were:
to study the soil and water quality of the ponds;
to determine the types and amount of fertilizers required;
to observe the effect of adding different types of feed which are available in Zambia.
The methods were based partly on experience gained from similar research carried out in Czechoslovakia and partly on information provided by several books on the use of fertilizers in fish ponds (see References).
2.1 Ponds
2.1.1 Ponds at Chilanga
The ponds at Chilanga are of two types:
Large natural ponds: SW2, SW3 and SW4. These ponds, approximately 0.5, 0.5 and 0.25 ha respectively, are constructed of a laterite core covered with a layer of black soil on the banks. On the bottom there is a layer of mud 5 to 20 cm thick. The maximum depth of water is about 150 cm. Each pond is provided with a sluice gate and can be filled or emptied at any time.
Concrete pools: 10A, 10B, 11A and 11B. Each of these concrete ponds, built side-by-side, is approximately 10 m by 20 m with a maximum depth of 150 cm. They are equipped with inlet valves but, having no sluice gates, have to be emptied by pumps. After a pool is filled, several bundles of grass are thrown in to generate the proper biological conditions.
At Chilanga, there are also some large dams on which tests were made of water quality for comparison with the ponds and pools.
During January and February of 1973, preliminary tests were carried out on the water, mainly to determine the pH and oxygen levels and to establish the amount of plankton present. The colour of the water in the fish ponds before the application of any of the fertilizers was yellowish brown or dark grey, indicating a minimum level of phytoplankton and zooplankton. The oxygen content of the water varied according to the temperature; over a daily temperature range of 24° to 32°C the oxygen concentration in the Village Dam ranged between 4 to 6.5 parts per million. This range may be contrasted with the daily range of 2.5 to 8.5 ppm in Pond 10A after the application of fertilizers (Fig. 1).
The water level in the large natural ponds is allowed to fall during the dry season and by the end of October the ponds may dry completely. Thus the productive period is limited and depends upon the rainfall of the preceding wet season. The policy of allowing the ponds to dry completely plays a positive role in the production cycle of fish ponds because it aerates the soil and thereby improves the vegetation on the bottom. The bottom of the dry pond is also ploughed some years. When sediments have accumulated to a depth of more than 25 cm then the pond bottom is scraped clean of mud. In general, this amelioration of the bottom helps the formation of a better biological climate in the water.
2.1.2 Ponds at Mwekera
The ponds at Mwekera are of two types:
Ponds P1, P2, P9 and P10 are built of impervious clay soil, have an area of approximately 0.5 ha each and a maximum depth of 120 cm.
Ponds RP7, RP8 and RP9 are dug in black soil each approximately 20 m x 30 m and with a maximum depth of 120 cm.
Both sets of ponds are supplied with water from a nearby dam. There is sufficient water to allow the ponds to be used all year round. However, at Mwekera, this water flows continually through the ponds thereby ruling out the use of fertilizers; ponds are not allowed to dry out with the result that amelioration of the bottom cannot take place.
2.2 Analytical Methods
Hofer's colourimetric method was used for oxygen determinations in the field and the Winkler method was carried out on water samples brought to the laboratory. The pH values were determined by a colourimetric method using a “Cuta-Kamen” apparatus from Czechoslovakia.
The relative amounts of phytoplankton in water were judged by looking at the colour of the water. A measure of the relative amounts of zooplankton in water was given by a sweep of a plankton net having an intake of 13 cm diameter; the volume of zooplankton collected in this way was expressed as cubic centimetres of animals per litre (cc/1).
The analysis of soil samples for nitrogen, phosphorous, potassium, calcium, magnesium and organic carbon was done by the Mount Makulu Agricultural Research Station near Chilanga while the analysis of water samples for these elements was performed in the research laboratories of the Department of Fisheries at Chilanga.
2.3 Fertilizers and Feed
In the course of the research, fertilizers containing nitrogen, phosphorous, potassium and in some initial experiments, calcium (the four most important bio-elements) were used. Preliminary tests of water from fish ponds showed there was sufficient calcium derived from the soil at both Chilanga and Mwekera and, therefore, it was not a limiting factor in the productivity of the ponds.
The bottom soil which should produce the necessary flora and fauna in the water, should have a minimum of one to three percent organic carbon and the following quantities of the important bio-elements:
| nitrogen | - 0.100 to 0.120 percent |
| phosphorous | - 5 to 8 ppm |
| potassium | - 0.27 to 0.52 milli equivalents/100 gm |
| calcium | - 6 to 8 me/100 gm |
In addition, the pH should be in the range of 6 to 7 and magnesium, another important element, should be present within the range of 2 to 3 meg/100 gm.
The following fertilizers were obtained from the Lusaka depot of the National Agricultural Marketing Board, a corporation established by the Government of Zambia to aid the agricultural industry.
The fertilizers were sprayed with a shovel from the shore, from the middle of the pond by wading into it or, in the case of the larger ponds, from a boat. Care was taken to avoid spraying the fertilizer on the rooted and aquatic vegetation in order to avoid too luxurient growth of these plants. When applied on foot, four doses were made seven days apart; boat applications were usually carried out in three doses ten days apart. The application of fertilizers was continued until the water maintained its “vegetative turbidity” (green colour) indicating constant production of plankton.
The experiments with fertilizers began in March 1973. In the first experiments only the phosphate and potassium fertilizers were used. Within 10 days of the application of these two fertilizers, a bloom of algae appeared but by 14 days it had disappeared and the water had returned to its original colour. The production of zooplankton followed the same rise and fall pattern and virtually disappeared also after two weeks. To find the reason for this short-lived bloom, the soil and water from all ponds were analyzed in the laboratory to establish which bio-elements were not represented in sufficient quantity. The analysis (Tables I and II) showed lack of nitrogen, phosphorus and in some cases potassium, indicating that the bottom of the ponds was poor from a biological point of view and, therefore, it was decided to apply nitrogen fertilizer as well as phosphorous and potassium fertilizers. This combination was used to keep the water in the vegetative turbidity necessary for the production of microflora and microfauna which are the natural and staple food of fish.
For the large ponds (SW2, SW3 and SW4) at Chilanga, the following amounts of fertilizer were applied for one productive season.
N: 36.80 kg/ha (230 kg sodium nitrate/ha)
P: 34.60 kg/ha (180 kg triple super phosphate/ha)
K: 7.47 kg/ha (15 kg potassium chloride/ha)
In order to achieve greater production in the small concrete pools at Chilanga (stocked with nearly 16 000 fish) and in all ponds at Mwekera, the following higher rate of fertilization was used:
N: 73.60 kg/ha (460 kg sodium nitrate/ha)
P: 69.12 kg/ha (360 kg triple super phosphate/ha)
K: 7.47 kg/ha (15 kg potassium chloride/ha)
When after six or seven months the fertilizers were exhausted and the production of algae fell more fertilizer was applied at 50 percent of the initial rate. This reduced rate was able to maintain the production of phytoplankton and zooplankton at almost the same level until cropping and the final drying out of the ponds.
The feed used was obtained from the National Milling Company in Lusaka:
Maize bran which contains about five percent protein and is not easily digested by the fish
Maize meal No. 3 which contains 12 percent protein
Growers' mash, the preferred food, which contains 14 percent protein.
2.4 Fish
The ponds and pools contained a mixture of four species of tilapia: Tilapia andersoni, T. macrochir, T. mortimeri and T. rendalli rendalli.
In order to achieve high yields (of small fish) high stocking rates of 5 000 pieces to 16 000 pieces of fish per hectare were used in the experiments. The weight of the individual stock fish ranged from 10 to 28 g. At harvest the fish weighed between 142 and 285 g.
3.1 Plankton
The plankton in the ponds and pools at Chilanga was composed mainly of the following species:
| Phytoplankton: | Anabaenopsis tanganyika |
| Cosmarium botrytis Menegh | |
| Microcystic aeruginosa Kuetz | |
| Zooplankton: | Brachionus sp. - rotifera |
| Macrochrix sp. - cladocera | |
| Cyclops fimbriatus - copepoda |
Table 3 and Fig. 2 show zooplankton counts taken before the fertilizers were applied and in each of the five months after fertilization. Although populations of zooplankton can vary greatly from day to day, on the days when samples were taken after fertilization there were 10 to 30 times more zooplankton than before. At Mwekera, samples examined visually when they were collected showed much less increase in planktonic organisms than at Chilanga.
3.2 Fish Production
At Mwekera, extensive production from the ponds averaged 185 kg/ha/yr. With fertilization the rate increased only to 820 kg/ha/yr. The constant flow of water through the ponds, the poor soil in some ponds and the accumulation of too much silt on the bottom without periodic cleaning and drying inhibited high production. Because the experimental conditions at Chilanga were more favourable than those at Mwekera, this paper deals mainly with the results from the Chilanga fish farm which are shown in Fig. 1.
3.2.1 Natural production
The maximum production from the test ponds during 1972, the year preceding these experiments, was 820 kg/ha/yr. Some places in Zambia have higher rates of natural production, such as Chipata in Eastern Province and Solwezi in Northwestern Province, because of better soil while other places have poorer soil such as Serenje and Isoka and natural production is low.
3.2.2 Production with fertilizers and feed
The three large ponds to which fertilizers only were added were harvested after six months and gave a maximum production rate of 2,516 kg/ha/yr. In the three concrete pools to which fertilizers were applied and then feed added for nine months before harvest, the maximum production was 6,625 kg/ha/yr. The results, shown in Fig. 3, are summarized below:
| Pond | Treatment | Stocking rate Pieces/ha | Production rate kg/ha/year | Remarks |
| SW2 | Fertilizer | 5,000 | 1,332 | affected by effluent from tanning shed |
| SW3 | Fertilizer | 10,000 | 1,938 | |
| SW4 | Fertilizer | 16,000 | 2,516 | |
| 10A | Fertilizer + feed | 16,000 | 6,024 | |
| 10B | Fertilizer + feed | 16,000 | 6,156 | |
| 11A | Fertilizer + feed | 16,000 | all fish died suddenly after three months | |
| 11B | Fertilizer + feed | 16,000 | 6,625 |
This experimental result of six tons per hectare per year may be compared with a production of up to five tons in Shaba Province, in Zaire (Huet, 1970).
The results of these experiments with fertilizers and feed show that intensive fish culture can be successful in Zambia. Several practical points were brought out by these studies:
because organic matter is a prerequisite for good production from fish ponds, the ponds must be allowed to dry out to restore the vitality of the soil (Fig. 4) and accumulated mud must be removed periodically (Fig. 5);
because the fertilizers settle rapidly, they must be sprayed over the whole pond (Fig. 6) not merely along the margin or at one end;
feed should not be added dry because it floats for a time on the surface of the water and may blow ashore in a mat (Fig. 7) but rather it should be mixed with water (Fig. 8) and dumped at specific feeding places (Fig. 9);
before stocking the number and weight of the fish must be known (Fig. 10);
for good production (Fig. 11, 12) both good fertilizers and good feed must be used.
Each year Zambia consumes more fish than is produced by its natural waters. The difference, which is currently met by imports of over 20,000 tons, could be produced in Zambia by intensive fish farming using a minimum of 3 000 ha of fish ponds. The programme of fish culture proposed for Zambia calls for each farm to have at least 40 ponds of one hectare each. In farms of this size construction and maintenance costs are lower and some mechanization can be used. For optimum productivity, fish culture should be combined with ducks which not only fertilize the ponds but provide meat as well. Because the initial capital costs are high, this programme will take many years to complete.
I am grateful to many people who helped me in this project, in particular, Mr F.G. Hamlyn of the Mount Makulu Agricultural Research Station concerning soils, Prof. W.B. Banage of the Department of Biology of the University of Zambia on the identification of planktonic organisms and Dr J. Kulich of the Department of Agriculture concerning fertilizers.
Dyk, V., V. Podubsky and E. Stedronsky, 1956 Zaklady naseho rybarstvi - Our fisheries. Praha, Statni zemedelske nakladatelstvi
HICKLING, C.F., 1961 Tropical inland fisheries, p. 78–252. London, Faber and Faber
Huet, M., Textbook of fish culture, p.322–7. Brussels, Editions Ch. De Wyngaert
Kavalec, J., 1968 Hospodareni na rybnicich, p. 29–35 - Fish farming. Praha, Statni zemedelske nakladatelstvi
Maar, A., M.A.E. Mortimer and I.V. Lingen, 1966 Fish culture in Central east Africa, p. 48–50, 145–50, Rome, FAO
Mabaye, A.B.E., 1971 Fisheries Research Bulletin of Zambia, vol.5, p. 379–96. The Central Fisheries Research Institute, Lusaka
Mortimer, M.A.E., 1968 A handbook of practical fish culture of Zambia, p. 41–3. Republic of Zambia, Game and Fisheries Dep.
Mortimer, C.H., and C.F. Hickling, 1954 Fertilizers in fish ponds, p.30–151. London, Her Majesty's stationery office
Table 1
Summary of water pH - Chilanga and Mwekera Fish Farms, 1973
Chilanga:
| Pond | pH | Pond | pH | Pond | pH |
| 10 A | 8.00 | 1 A | 10.10 | Vil.Dam | 7.40 |
| 10 B | 7.90 | 1 B | 9.50 | L.Dam | 8.00 |
| 11 A | 8.00 | 1 C | 10.10 | C.p.1 | 7.30 |
| 11 B | 8.30 | 1 D | 10.20 | C.p.2 | 7.30 |
| SW 1 | 7.60 | 1 E | 10.10 | C.p.3 | 7.50 |
| SW 2 | 7.30 | L.p.2 | 7.10 | C.p.13 | 7.60 |
| SW 3 | 7.50 | L.p.3 | 7.30 | C.p.14 | 7.80 |
| SW 4 | 7.40 | L.p.4 | 7.30 | C.p.15 | 7.60 |
Mwekera:
| Pond | pH | Pond | pH | Pond | pH |
| P 1 | 6.70 | P 15 | 7.40 | RP 11 | 6.70 |
| P 2 | 6.70 | M.Dam | 7.00 | RP 12 | 6.50 |
| P 3 | 6.40 | RP 1 | 7.00 | EX 3 | 7.00 |
| P 4 | 6.70 | RP 2 | 6.70 | EX 4 | 6.50 |
| P 5 | 6.40 | RP 3 | 6.70 | EX 5 | 6.70 |
| P 12 | 7.00 | RP 4 | 6.70 | EX 12 | 7.00 |
| P 13 | 6.80 | RP 9 | 7.00 | EX 13 | 6.40 |
| P 14 | 7.30 | RP 10 | 7.00 | EX 14 | 6.40 |
Table 2
Soil analysis for nitrogen, phosphorous, potassium, calcium and pH (CaCl2)
Chilanga
| Pond SW 2 | Pond 11 A | Villagezi Dam | Main Dam | Brick. Dam | |
| T.N % | 0.086 | 0.090 | 0.088 | 0.042 | 0.038 |
| P ppm | 1 | 2 | 1 | 1 | 1 |
| K me% | 0.36 | 0.32 | 0.70 | 0.10 | 0.31 |
| Ca me% | 28.80 | 18.50 | 10.00 | 16.40 | 15.30 |
| pH/CaCl2/ | 7.60 | 7.90 | 7.65 | 7.90 | 8.25 |
Mwekera
| Pond P 1 | Pond P 2 | Pond P 11 | Mwekera Dam | Pond RP 7 | |
| T.N % | 0.036 | 0.060 | 0.036 | 0.050 | 0.296 |
| P ppm | 2 | 1 | 2 | 3 | 3 |
| K me% | 0.13 | 0.17 | 0.41 | 0.06 | 0.11 |
| Ca me% | 8.20 | 3.40 | 12.60 | 1.00 | 6.20 |
| pH/CaCl2/ | 7.00 | 6.40 | 6.50 | 5.20 | 5.50 |
Table 3
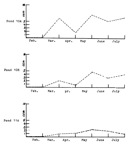
Quantitative summary of zooplankton in cc/7.2 litre in ponds of Chilanga fish farms
| Pond | Zooplankton before application of fertilizers (cc) | Zooplankton after application of fertilizers (in cc) | ||||
February | March | April | May | June | July | |
| 10 A | 0.2 | 6.1 | 1.8 | 7.1 | 5.2 | 6.7 |
| 10 B | 0.1 | 2.2 | 0.8 | 4.7 | 3.1 | 4.1 |
| 11 A | 0.1 | 0.9 | 1.2 | 2.2 | 1.9 | 0.7 |
| 11 B | 0.3 | 11.2 | 1.3 | 36.1 | 4.3 | 7.8 |
| SW 2 | 0.2 | 2.1 | 1.1 | 1.1 | 2.8 | 1.8 |
| SW 3 | 0.3 | 0.3 | 0.7 | 0.4 | 3.1 | 2.6 |
| SW 4 | 0.1 | 0.4 | 1.1 | 1.9 | 2.4 | 2.2 |

--------------- = of 20.1.1973 to 10.2.1973 Village Dam/no alga/
= of 19.3.1973 to 9.4.1973 pond No 10 A /with alga/
Figure 1 Oxygen content in the water of the Village Dam in comparison with the pond No. 10A where the fertilizers were applied for 22 days

Figure 2 Quantity of zooplankton in cc/7.2 litre in ponds of Chilanga fish farms -six months

Figure 2a

Figure 3 Effect of fertilization on the production of tilapia - 1973 - Chilanga fish fa

Figure 4 Allowing ponds to dry out after each productive period is important in fish farming

Figure 5 The accumulated mud should be removed when it becomes more than 30 cm thick

Figure 6 Spraying fertilizer on fish ponds

Figure 7 Dry food floating on top of the water

Figure 8 Fish food being mixed with water before being added to the pond

Figure 9 Dumping fish food at a feeding place

Figure 10 Counting and weighing stock fish for production ponds

Figure 11 Fish yield

Figure 12 Tilapia andersonii
par
M.M.J. VINCKE
Directeur du Projet FAO/PNUD Vulgarisation de
la Pisciculture Bangui-Landjia, République Centrafricaine
Résumé
La pisciculture dans les rizières inondées et en association avec l'élevage d'animaux domestiques (porcs et volaille), peut apporter une importante contribution à la production de protéines en Afrique. La rizipisciculture est très ancienne, de l'Inde elle a été introduite en Extrême-Orient et est pratiquée aussi aux Etats-Unis et en Europe. Madagascar est le seul pays africain où elle soit pratiquée sur une grande échelle.
La rizipisciculture dépend des conditions et du cycle de la culture du riz - eau peu profonde, fertilité élevée et courte durée de la période de submersion. Les techniques de pisciculture et d'utilisation de l'eau doivent donc satisfaire à la fois les exigences du riz et du poisson. La communication passe en revue les techniques de la rizipisciculture intensive, les espèces de poisson utilisées et les résultats de la production avec une référence spéciale à l'Afrique pour la période 1966–74. Il est évident que l'expérience acquise dans ce domaine à Madagascar pourrait être très utile aux autres pays africains.
Le document présente aussi une revue de l'élevage associé poisson-porc/volaille en Afrique. Cette pratique augmente le rendement et la rentabilité à la fois de l'élevage d'animaux et de la pisciculture par l'utilisation profitable des déchets des animaux et de leurs aliments. Ce type d'exploitation a donné des rendements qui sont les plus élevés connus en Afrique. Les techniques pour différentes combinaisons animales (poisson-canards, poissonporcs, poisson-oies, poisson-poules) sont décrits.
L'avenir de ces pratiques dépendra des résultats d'expériences actuelles et futures. Il semble profitable que ces recherches soient entreprise à un niveau régional ou sous-régional.
Abstract
Fish culture in flooded rice fields and in association with animal husbandry - pigs and poultry - can contribute significantly to protein production in Africa. Fish culture in rice fields has a long history; it was introduced into the Far East from India and is also practised in the U.S.A. and Europe. The Malagasy Republic is the only country in Africa where it is practised on a large scale.
Fish culture in rice fields is governed by the conditions and cycle of rice cultivation-shallow water, high fertility and short flood period. Fish culture and water management techniques must, therefore, fit the needs of both rice and fish. The paper reviews techniques for intensive fish culture in the rice fields, the fish species used, and production results with special reference to Africa for the period 1966–74. It is obvious that the experience gained in this field in the Malagasy Republic could be put to good use in other African countries.
A review of fish-cum-pig/poultry rearing in Africa is also presented. This practice increases the efficiency and rentability of both animal farming and fish culture through the profitable utilization of animal and feed wastes. This type of exploitation has given some of the highest fish yields in Africa. Techniques for different animal combinations - fish/ducks, fish/pigs, fish/geese, fish/chickens - are described.
The future of these practices will depend on results of current and future production tests; it would seem profitable to conduct such studies at a regional or sub-regional level.
L'utilisation de l'eau des rizières irriguées est un moyen d'augmenter la production de poisson en Afrique. L'élevage d'animaux de ferme tels que porcs, canards ou oies, combiné ou associé à un élevage de poissons, est une autre spéculation agricole qui permet d'obtenir une importante production de protéines animales.
Le but de cette note est de passer en revue les réalisations, en Afrique, en ce qui concerne la rizipisciculture et les élevages associés, de faire le point de la situation actuelle de ces deux méthodes de production, de décrire les techniques utilisées jusqu'à présent dans certains pays d'Afrique et, finalement, de proposer, à l'échelle régionale, une programme de recherches et de travaux à réaliser pour faire progresser nos connaissances en ces matières et permettre le développement de ces méthodes d'élevage, en Afrique.
Le travail que nous présentons est sans doute incomplet, car nous n'avons pu prendre contact avec tous les spécialistes de la rizipisciculture et des élevages associés en Afrique. D'autre part, il nous a été impossible d'avoir accès à toutes les sources bibliographiques existantes.
1.1 Historique
1.1.1 La rizipisciculture
L'on entend par rizipisciculture, l'élevage de poissons en rizières irriguées, le plus souvent durant le cycle cultural du riz.
D'après Coche (1967), cité par Huet (1970), la pisciculture en rizière est la plus développée en région Indo-Pacifique. On croit que la rizipisciculture a été introduite de l'Inde dans le sud-est asiatique, il y a plus de mille cinq cents ans. Elle se pratique surtout en Malaisie, en Indochine, en Inde, en Chine, en Indonésie, au Japon, aux Etats-Unis depuis 1950. Elle se pratique également, à petite échelle, en Italie, en Hongrie et Bulgarie et en Amérique centrale et du sud. Madagascar est le seul pays d'Afrique où la rizipisciculture est vraiment développée. Il y a eu également des essais dans d'autres pays d'Afrique. Il en sera donné un aperçu au chapitre 3.2.
1.1.2 Les élevages associés
L'élevage associé est un élevage combiné dans lequel on associe, d'une part des poissons (monoculture et polyculture) et, d'autre part, certains animaux de ferme tels que porcs, canards ou des oies. Il s'agit donc d'une spéculation dans laquelle on élève des poissons en étang et simultanément, sur ce même étang l'on élève des porcs, des canards, etc.
La pratique de l'élevage associé de canards et de poissons, connue et appliquée depuis fort longtemps en Extrême-Orient, a été adoptée en Europe Centrale et Orientale, spécialement en Hongrie, en République Démocratique d'Allemagne, en Pologne, en Tchécoslovaquie et en Union Soviétique (Schäperclaus, 1962; Huet, 1970). Il y a également eu des essais en Afrique, notamment en Zambie et en Rhodésie (Van der Lingen, 1967), en République Centrafricains (Croizeau, 1971) et à Madagascar (Vincke, 1972).
Des essais d'élevage associés d'oies et de poissons ont été entrepris à Madagascar (Vincke, 1973a), tandis que l'élevage associé de porcs et de poissons a été expérimenté en République Centrafricaine, en République Populaire du Congo, au Gabon, au Cameroun et à Madagascar.
1.2 Intérêt de la rizipisciculture
Les rizières irriguées sont des pièces d'eau peu profondes qui produisent du paddy. Dans l'eau de ces rizières, il est possible d'élever du poisson. Le poisson élevé en rizières aménagées, où il y a la maîtrise de l'eau, n'est absolument pas un concurrent pour le riz, bien au contraire. Pendant une partie de l'année, ces rizières offrent aux poissons un milieu riche, aussi bien durant le cycle de croissance du riz qu'après la récolte du paddy, si toutefois la parcelle reste inondée.
Cependant, dans certains pays, l'on a signalé des dégâts qui auraient été occasionnés, aux plants de riz, par les poissons. Ce problème sera passé en revue à la fin de cette étude.
L'élevage de poisson en rizière peut donc être pour le paysan:
Un supplément appréciable de son revenu monétaire (prix du paddy + prix du poisson
élevé dans la même rizière).
Signalons à ce sujet qu'à Madagascar, dans la région de Betafo (Préfecture
d'Antsirabe), certains planteurs font de la rizipisciculture. Le produit de cet
élevage paie tous les travaux de culture du riz (labour, hersage, repiquage,
sarclage et moisson). Dans ce cas, pour une rizière de 15 ares (1 are = 100 m2),
on peut estimer ce revenue “poisson” supplémentaire à environ CFA.F. 4 500/an;
Une source non négligeable de protéines animales car les rizières, par la richesse
de leur faune (insectes, larves, têtards, zooplancton) et de leur flore (algues et
phytoplancton), constituent un excellent milieu d'élevage pour le poisson, surtout
si le paysan applique une fumure.
A remarquer que cette “nourriture” n'entre pas dans le cycle du riz et que
certains insectes sont plutôt nuisibles; les algues d'autre part constituent une
concurrence pour le riz;
Une amélioration des conditions de culture dans la rizière par une dimunition des insectes nuisibles attaquant le riz et par une réduction de travaux d'entretien, notamment quand on utilise des espèces qui se nourrissent de détritus végétaux, telles la carpe commune, le Tilapia mossambica et le cyprin doré (Carassius auratus).
Comme cela a déjà été souligné à maintes reprises, une grande partie de la population d'Afrique, tout en mangeant à sa faim, souffre cependant d'un déséquilibre alimentaire, car les besoins normaux en protéines animales ne sont pas couverts. Pour y remédier, un des moyens les plus faciles et des moins coûteux, sans doute, est la consommation accrue de poisson. La rizipisciculture a l'énorme avantage d'être le seul moyen à la portée immédiate du rizipisciculteur, car s'il le veut, sans investissements et seulement au prix de quelques coups de houe ou de bêche, il peut se procurer, à lui et à sa famille, une grande partie des protéines animales qui, actuellement, lui font encore trop souvent défaut.
La rizipisciculture n'est en somme que l'utilisation plus rationnelled'un milieu aquatique existant. C'est, en d'autres mots, une mise en valeur complémentaire de la rizière irriguée.
Come le signale Pillay (1973), malgré le fait que la rizipisciculture constitue un apport alimentaire important, dans certains pays cet élevage est en regression par l'usage de plus en plus important de certains pesticides. Les dernières années, toutefois, et parce que l'on utilise maintenant moins de pesticides très actifs, il y a un regain d'intérêt pour la pratique de la rizipisciculture.
Le même auteur, selon une estimation faite en 1967, pense que si l'on utilisait seulement 30 pour cent des 35,6 millions d'hectares de rizières irriguées existantes pour y faire de la rizipisciculture, l'on pourrait, même avec des rendements assez bas, obtenir approximativement 2,2 millions de tonnes de poissons.
1.3 Intérêt des élevages associés
L'élevage associé est une des techniques qui permet d'augmenter notablement la production des étangs. Ce type d'élevage est basé sur les données suivantes:
Pour obtenir les productions élevées, en étangs, de pisciculture classique, il est indispensable d'y appliquer une fumure (engrais minéraux ou engrais organiques) et de nourrir artificiellement les poissons se trouvant dans l'étang.
La fertilisation des étangs coûte cher et une importante fraction des éléments minéraux est fixée par la vase des bassins. La nourriture distribuée régulièrement aux poissons coûte également très cher et c'est une opération qui, de plus, implique de frais de main-d'oeuvre.
En élevage associé, on déverse donc les poissons dans l'étang sans application, ni de fumure, ni de nourriture artificielle. Les canards, les porcs ou les oies sont parqués sur l'étang ou à proximité des bassins. Ils sont nourris artificiellement (provendes) et les poissons se trouvent en dessous, utilisent directement ou indirectement, les déjections des animaux et également les déchets de la nourriture distribuée.
Les poissons tirent donc profit de deux sources de matières organiques: les déjections des animaux de basse-cour et les déchets de leur nourriture. Il s'agit donc bien d'une fumure organique permanente et journalière des étangs qui ne présente aucun danger pour les poissons.
Les canards éliminent complètement tous les mollusques et de plus, débarrassent les étangs de toute végétation aquatique. Cela contribue très efficament à l'élimination de la bilharziose et de la fasciolose bovine, car certains mollusques sont les vecteurs de ces maladies.
L'élevage associé s'adresse à des pisciculteurs ayant déjà atteint un certain niveau technique et il n'est pas à la portée du premier venu. C'est un élevage intensif et il est indispensable de nourrir les animaux chaque jour ce qui implique la présence journalière du paysan ou d'un ouvrier et un stock adéquat d'aliments pour les porcs ou les volailles.
Les rendements en poisson que l'on peut obtenir dans les eaux tropicales sont les suivantes:
A ces rendements en poisson, il faut ajouter l'accroissement de poids des porcs, canards ou oies.
2.1 Conditions écologiques des rizières
Par rapport à l'étang de pisciculture, la rizière irriguée est un milieu aquatique spécial caractérisé par:
La profondeur relativement faible (en général 5 à 25 cm) du plan d'eau que constitue la rizière irriguée.
La fertilité relativement élevée des rizières. Le sol des rizières, du moins dans
les bas-fonds, est généralement constitué de terres marécageuses relativement
fertiles. Elles ont naturellement un pH acide, mais la majorité des paysans applique
une fumure qui corrige certaines carences. On peut dire que, bien souvent, le fond
des rizières, du fait des soins culturaux (labour, assec annuel, engrais et fumier),
est plus fertile que bon nombre d'étangs de pisciculture où les travaux d'entretien
et d'amélioration indispensables ne sont pas toujours appliqués.
Tout ceci fait que l'eau des rizières est relativement mieux pourvue en
éléments minéraux que l'eau de nombreux étangs de pisciculture.
Un développement plus important qu'en étangs de la faune et de la flore des rizières, du fait du taux relativement élevé de certains éléments minéraux résultant de la fumure. On constate que dans les rizières fumées convenablement (fumier de ferme et engrais minéraux) certains éléments du zooplancton se développent mieux qu'en étangs (par exemple Daphnia, petits crustacés inférieurs, Cladocères et Copépodes).
Le phytoplancton semble également plus riche en rizière qu'en étang. On rencontre couramment de nombreuses espèces de Chlorophycées (Desmidiées et Chlorococcales), des Cyanophycées (Microcystis et Anabaena) et des Bacillariophycées.
Il y a lieu également de se souvenir, comme le rappelle Lemasson (1955) qu'en région tropicale, on trouve dans les rizières des quantités considérables de larves de Diptères et spécialement de Chironomes. Elles occupent le niveau superficiel du sol de la rizière et on en compte souvent plus de 10 au cm2. Elles se nourrissent de matières végétales et jouent un rôle important dans la désintégration rapide de la paille de paddy enfouie dans la rizière. Les matières azotées de ces larves sont perdues pour la consommation humaine et pour le cycle nutritif de la rizière si elles se transforment en insectes parfaits. Or, les carpes en font une grande consommation. Elles les transforment donc en aliments utilisables par l'homme.
Le même auteur signale également le développement des algues qui absorbent beaucoup d'éléments nutritifs, formant une couche qui fait écran à la lumière. Or, les Tilapia mangent ces algues et pratiquement dans les 24 heures qui suivent une partie des éléments nutritifs qu'elles contenaient est remise à la disposition du riz, les excréments des Tilapia étant rapidement détruits par l'action des enzymes et des bactéries.
Finalement, le seul inconvénient de la rizière pour le poisson peut être la profondeur du plan d'eau et le fait qu'il n'y a pas toujours de l'eau courante. Il peut en résulter des inconvénients pour le poisson, surtout lorsqu'il atteint une certaine taille et qu'il ne lui est plus possible de circuler facilement parmi les plants de riz et par conséquent de se nourrir convenablement. Le poisson subit alors les effets néfastes de la température assez élevée d'une mince lame d'eau. Il peut y avoir déficit en oxygène dissous et asphyxie des poissons.
En définitive, la rizière, même si elle présente quelques inconvénients, est un milieu relativement favorable à la croissance de certains poissons. C'est un milieu au sein duquel se développe une chaîne alimentaire que le riz seul ne peut valoriser complètement. Le poisson, surtout en élevage mixte (association de différentes espèces), constitue dans ce cas un élément très intéressant, car il transforme en chair comestible ce que le riz “n'utilise” pas.
2.2 Modalités d'adaptation des méthodes de rizipisciculture en fonction du riz irrigué
Avant de décrire en détail les techniques d'élevage, il est nécessaire d'envisager quels sont, du fait de la culture et des exigences du riz, les impératifs auxquels seront soumises les techniques d'élevage du poisson. Il faudra également voir quels sont les aménagements piscicoles qu'il est nécessaire d'envisager afin d'obtenir la production la plus élevée possible.
2.2.1 Conditions et méthodes de culture du riz
Pour réussir à vulgariser parmi les paysans une méthode d'élevage de poisson en rizière, il est important d'essayer de ne modifier en rien leurs habitudes et leur façon de faire traditionnelle. Toutefois, s'il s'avère que des modifications sont indispensables, il faut agir prudemment et procéder par étapes, sinon on risque de n'obtenir aucun résultat. Il est donc exclu de vouloir adapter les rizières à l'élevage du poisson, mais bien au contraire, il est nécessaire de mettre au point les modifications indispensables pour adapter l'élevage des poissons aux conditions des rizières et aux exigences culturales du riz, car il est évident qu'en rizipisciculture, le riz doit rester l'objectif principal et le poisson, un complément utile.
En étudiant le cycle de croissance du riz, ses exigences et les opérations culturales en rizières, on constate que selon les techniques (semis direct ou semis en pépinière, suivi du repiquage, des plants de riz), le cycle cultural du riz irrigué, du semis ou du repiquage jusqu'à la moisson, est d'environ 120 à 140 jours. Comme il est recommandé d'empoissonner les rizières environ 8 jours après le repiquage ou 1 mois après le semis direct, et qu'à la moisson on pratique généralement un assec de la rizière, il faut compter que la durée de l'élevage des poissons sera d'environ 100 jours.
Généralement il n'y a qu'une culture par an et, après la moisson, on laisse la rizière en repos. Durant ce “repos”, elle est soit complètement à sec (elle sert alors de pâturage aux boeufs), soit inondée. Dans ce dernier cas, on l'utilise parfois comme pâturage occasionnel ou on y élève des canards. L'assec total résulte généralement du fait qu'il n'y a pas maîtrise totale de l'eau ou parce qu'il y a manque d'eau d'irrigation.
La mise à sec annuelle de la rizière a pour but, d'une part, d'aérer le sol de la rizière et de provoquer la minéralisation de la vase, et, d'autre part, de permettre, avant le repiquage de la saison suivante, les différents travaux culturaux (réfection des diguettes, application des engrais organiques et minéraux et labour).
Etant donné qu'un assec d'un mois est largement suffisant, on pourrait donc envisager l'utilisation de la rizière, restée sous eau durant la période qui va de la récolte du riz jusqu'à la mise à sec annuelle de la rizière. Cet élevage complémentaire permet l'utilisation rationnelle de la rizière, après la récolte du riz.
Au cas où, dans la même rizière, on pratique deux cultures de riz successives, il est évident qu'il est alors possible de faire soit un élevage durant la première culture (sur environ 100 jours) suivi d'un second élevage, soit de faire un élevage continu durant les deux cultures de riz, en utilisant les mêmes poissons. Dans ce cas, il faut disposer d'un petit étang de stockage pour y entreposer les poissons à partir de la moisson de la première culture jusqu'à la remise en charge, après le semis ou le repiquage de la deuxième culture de riz.
En cas de semis direct, il faut attendre environ un mois avant d'y déversar des poissons. Quand on pratique le repiquage, les plants ne sont enracinés qu'après environ une semaine et c'est alors qu'on met en charge. Si l'on empoissone immédiatement après le repiquage, les poissons (surtout la carpe), en fouillant le sol à la recherche d'animaux du fond, risquent de faire basculer les plants qui n'ont pas encore eu le temps de se fixer dans le sol. Les premiers jours après le repiquage, on maintient généralement une mince couche d'eau dans la rizière (moins de 5 cm).
En rizipisciculture, on obtient généralement les meilleurs rendements en maintenant, durant la culture, une lame d'eau presque stagnante de 10 à 20 cm. Pour certains poissons, cela peut présenter des inconvénients. L'eau est maintenue à une certaine hauteur au moyen de diguettes qui, à Madagascar, sont épaisses d'environ 15–20 cm et dont la hauteur ne dépasse généralement pas 20 cm. Si pour le riz cela suffit, il n'en est pas de même pour le poisson, car en cas de hausse au niveau de l'eau (inondation), l'eau passe au-dessus des diguettes et le poisson fait de même.
En cours de culture, il peut être nécessaire de pratiquer un assec, notamment lors des applications des produits phytosanitaires ou d'épandages d'engrais (sulfate d'ammoniaque). Il est évident qu'en rizière sans aménagements piscicoles, des assecs périodiques ne permettent pas la rizipisciculture.
L'utilisation de produits phytosanitaires, parfois toxiques pour les poissons, s'oppose à l'élevage en rizière traditionnel, à moins d'avoir aménagé dans la rizière des refuges pour les poissons.
Le sarclage mécanique, surtout s'il est effectué dans une mince couche d'eau, peut présenter un certain danger pour les poissons car cela rend les eaux fort boueuses.
On constate donc qu'il est indispensable d'adapter les techniques d'élevage si l'on veut, sans perturber les pratiques culturales rizicoles, élever les poissons en rizière.
2.2.2 Aménagements piscicoles des rizières
Connaissant les techniques culturales du riz, ainsi que les avantages et inconvénients que représentent certaines de ces pratiques pour le poisson vivant en rizière, il importe donc de voir quelles sont les adaptations possibles des techniques piscicoles pour qu'elles puissent efficacement être mises en oeuvre en rizière.
Les adaptations porteront essentiellement sur les problèmes de l'eau en rapport avec le poisson.
2.2.2.1 Maîtrise de l'eau
En rizipisciculture, la maîtrise de l'eau indispensable, sinon il y a risque de submersion des diguettes avec fuite du poisson, ou danger d'assèchement prématuré des rizières et aspbyxie des poissons.
Il faut donc, avant la mise en charge, être certain, d'une part, qu'il y aura un débit suffisant pendant la durée de l'élevage et prévoir, d'autre part, un système simple et peu coûteux pour éliminer les risques d'inondations.
Dans de nombreuses rizières malgaches, il n'y a pas la maîtrise de l'eau. Il est évident qu'en rizipisciculture, il faut exclure celles qui ne s'alimentent pas régulièrement en eau. Quant aux rizières qui risquent d'être inondées, il suffit bien souvent de renforcer et de surélever les diguettes pour obtenir une hauteur d'environ 50 cm. Chaque rizière sera évidemment munie d'un dispositif d'alimentation et de contrôle d'eau et d'un système de vidange fonctionnant en même temps comme trop-plein.
Dans de nombreux cas, les rizières sont disposées côte à côte, un peu dans tous les sens et celles qui sont au niveau le plus bas reçoivent les eaux des rizières situées à un niveau plus élevé. En cas de fortes chutes de pluies, des inondations sont à craindre avec pertes de poissons.
L'idéal serait de pouvoir établir un drain central qui recueille les eaux des pluies en excès et diminuerait d'autant les risques d'inondations. Cet aménagement est assez coûteux et il suppose qu'il y ait accord entre les riziculteurs. On tente généralement de remédier à ces inondations en élargissant le trop-plein (accélération de l'écoulement des eaux) et en rehaussant les diguettes.
Chaque rizière aura un système permettant de contrôler l'alimentation, la hauteur d'eau et d'empêcher la fuite des poissons. Le dispositif d'alimentation le plus facile à mettre en place est la buse en bambou enterrée dans la diguette, éventuellement munie d'un grillage pour empêcher l'entrée de poissons étrangers et la fuite de ceux déversés dans la rizière.
On peut également réaliser le système dit “de digue percée” (goulotte munie de rainures et de grilles). Ce dispositif convient aussi bien pour la rentrée d'eau qu'en tant que tropplein et système de vidange de la rizière lors de la mise à sec (récolte du riz et du poisson). Quelques petites planchettes, glissées dans les rainures, permettent de régler le niveau d'eau et des grilles ou claies en bambou tressé empêchant le poisson de quitter la rizière.
2.2.2.2 Drain périphérique et trou-refuge
Ces aménagements sont indispensables pour obtenir des résultats d'élevage intéressants. Les essais menés à Madagascar ont démontré nettement l'augmentation du taux de survie des alevins dans les rizières munies d'un drain périphérique et d'un trou-refuge.
On entend par drain périphérique un fossé large de 20 à 30 cm et profond de 30 à 40 cm, situé sur le pourtour de la rizière, au pied des diguettes. Les terres extraites de ce drain peuvent d'ailleurs servir au renforcement des diguettes. Ce drain permet la circulation des poissons dans un volume d'eau convenable, à température plus basse que la mince lame d'eau de la rizière.
Le trou-refuge est situé dans la partie la plus basse de la rizière et est en communication avec le drain périphérique. Il a généralement entre 0,50 et 0,80 cm de diamètre et 0,80 m de profondeur. Pour de grandes rizières (supérieures à 5 ares), il faut prévoir plusieurs trous-refuges par rizières.
Lors des mises à sec et de la vidange, le poisson se refugie dans le drain périphérique et dans le trou-refuge et on peut ainsi le pêcher facilement sans devoir partir à sa recherche à travers les plants de riz.
2.3 Types de rizipisciculture
On distingue généralement deux grands types de pisciculture en rizière:
2.3.1 La rizipisciculture extensive
Elle se pratique surtout en Malaisie, en Inde et au Sud-Vietnam (Lemasson, 1955). A notre connaissance, ce type de rizipisciculture n'est pas en vogue en Afrique, à l'exception de Madagascar et du Mali.
On utilise des rizières de superficies relativement vastes, situées dans de grandes plaines alluviales. Il n'y a pas d'opérations d'empoissonnement, car les poissons existent naturellement ou sont placés dans les eaux permanentes (marais, canaux d'irrigation, drains) des casiers rizicoles. En Asie, l'on utilise surtout Trichogaster pectoralis, Clarias batrachus et Ophiocephalus striatus; à Madagascar: cyprin doré, carpe commune et divers tilapia. Au Mali, les espèces suivantes se trouvent couramment en rizières: Tilapia zillii, T. nilotica, T. galilaea, Distichodus brevipinnis et Alestes dentex (Matthes, 1969).
Pour un ou deux hectares de rizières, on prévoit, dans les parties les plus basses, des fossés ou viviers de 40 à 50 m2 et de 2 m de profondeur. Ces installations permettent aux poissons de s'y rassembler lors des mises à sec des rizières et facilitent leur pêche. Ce sont en même temps des endroits de stockage pour les géniteurs et alevins qui serviront à la saison suivante.
Le rendement en poisson de pareille rizipisciculture extensive varie entre 10 et 400 kg/ha, suivant la durée de l'élevage, la nature et la fertilité des sols.
2.3.2 La rizipisciculture intensive
Elle se pratique en rizières de superficies moyennes, avec certains aménagements, et empoissonnés rationnellement. On utilise surtout la carpe commune, mais également diverses espèces de Tilapia et Heterotis niloticus.
La rizipisciculture, par définition, est une culture de riz irrigué combiné à un élevage de poisson. Il ne s'agit donc pas d'un élevage fortuit de poissons quelconques qui se sont introduits par hasard dans un champ de riz dont le niveau d'eau varie au gré de pluies ou des inondations.
Dans cette note, seules les techniques de rizipisciculture intensive seront traitées.
Les techniques culturales du riz irrigué varient d'une contrée à l'autre et elles ne seront pas décrites ici en détail, car cela dépasse le cadre de cette note. Il nous semble cependant nécessaire de résumer, ci-après, les principales opérations du riz:
2.3.2.1 Semis direct en rizière
Est encore appliqué dans de nombreux pays, alors qu'il semble admis que les meilleurs rendements en paddy sont ceux obtenus par semis en pépinière et repiquage ultérieur en rizière. En semis direct, on utilise entre 60 et 200 kg de paddy par hectare.
2.3.2.2 Semis en pépinière
Se pratique sur sol boueux, plané et fertilisé. Pour ensemencer 1 are de pépinière il faut prévoir entre 5 et 8 kg de paddy. Le repiquage de 1 hectare de rizière nécessite une pépinière de 250 à 300 m2. A Madagascar, les semences sont généralement traitées contre la fusariose et les nématodes, avant d'être prégermées.
2.3.2.3 Fumure des pépinières
Est très importante. A Madagascar, en riziculture améliorée on applique la fumure suivante: 150 kg de fumier de boeuf par are + 5 kg/are d'engrais minérale N.P.K. 15–15–15 ou 5 kg P.K. 21–16/are. L'on y ajoute 3 kg/are de sulfate d'ammoniaque entre le 8ème et 15ème jour. Au Libéria, les pépinières reçoivent uniquement un apport de sulfate d'ammoniaque à une dose de 20 à 23 kg/ha.
2.3.2.4 Fumure des rizières
Se pratique généralement comme suit:
Madagascar: fumier de boeuf: 40 à 60 kg/are + 4 à 5 kg/are de P.K. 21–16 + 0,600 kg/are de sulfate d'ammoniaque.
Libéria: en sols fertiles: 110 à 120 kg/are de N.P.K. 15–15–15; sols moins fertiles: 440 à 660 kg/ha du même engrais.
La fumure organique n'est pratiquement pas appliquée.
2.3.2.5 Préparation des rizières
Consiste en un labour à la main (Libéria), parfois à la charrue avec traction bovine et hersage (Madagascar). Le planage se fait à la main.
2.3.2.6 Repiquage
Se fait, soit en lignes, soit en rond ou “en vrac”. Le repiquage en ligne permet l'utilisation ultérieure de la houe rotative pour le désherbage et favorise le tallage. Les distances de repiquage diffèrent selon la variété de riz utilisé. Généralement il y a un interligne de 18 à 30 cm. Sur la ligne, on repique 1 à 4 brins tous les 7 à 10 cm, même parfois tous les 15 cm.
2.3.2.7 Travaux culturaux (voir paragraphe 2.4.2)