G. Leynaud
Division Qualité des Eaux Pêche et Pisciculture, Centre Technique du Génie Rural des Eaux et des Forêts (C.T.G.R.E.F.), 14, Avenue de Saint-Mandé, 75012 Paris, France
RÉSUMÉ
Les perturbations du régime thermique naturel des eaux, dûes en particulier aux centrales thermiques, entraînent des modifications physico-chimiques du milieu dont les conséquences sur les écosystèmes aquatiques ont fait l'objet de nombreuses études au cours des vingt dernières années. Ce rapport présente une synthése des travaux concernant les effects du réchauffement des eaux sur les gaz dissous et le bilan en oxygène ainsi que sur les principaux groupes d'organismes aquatiques (bactéries, algues, plantes aquatiques, plancton, invertébrés etc.…). Les incidences des perturbations thermiques des eaux sur les peuplements de poissons et la pêche sont examinées en détail.
ABSTRACT
Perturbations of the natural thermic regime of the waters, due to power plants in particular, affect the physico-chemical characteristics of the environment. The consequences on the aquatic ecosystems have been widely studied during the past 20 years. This report is a synthesis of the works concerning the effects of increases in water temperature on dissolved gas and oxygen balance as well as the effects on the major groups of aquatic organisms (bacteria, algae, aquatic plants, plankton, invertebrates, etc.…). Effects of thermal perturbations of the waters on fish populations and the fisheries are reviewed in detail.
INTRODUCTION
L'utilisation rapidement croissante de l'eau comme fluide de refroissement en raison du développement de la production d'electricité d'origine thermique dans les pays industrialisés, a suscité de très nombreuses recherches sur les conséquences d'une élévation de température des écosystèmes aquatiques.
Ces travaux, développés sur le terrain aussi bien qu'au laboratoire depuis une vingtaine d'années, ont largement contribué au développement de nos connaissances dans le domaine de l'hydroécologie et de la physiologie des poissons.
Les rejets thermiques les plus importants et les plus concentrés sont généralement observés au niveau des centrales thermiques (nucléaires ou à combustible fossile); il convient, cependant, de ne pas négliger le cas échéant les autres sources de perturbation du régime thermique natural des eaux (rejets industriels, urbains ou agricoles, modifications de l'utilisation des bassins versants, barrages,…).
C'est ainsi que, sur les cours d'eau porteurs de nombreux équipements hydroélectriques, l'impact des barrages sur leur régime thermique peut être autant, et même plus, significatif que celui que produirait une centrale thermique de grande puissance.
MODIFICATIONS PHYSICO-CHIMIQUES DU MILIEU
Rejets de Chaleur en Rivière
Le refroidissement des cours d'eau en aval des rejets des centrales résulte essentiellement des échanges d'énergie entre la rivière et l'atmosphère.
Ces flux varient de façon aléatoire avec les conditions hydrologiques et météorologiques locales et la charge des centrales.
Des modèles mathématiques ont été mis au point dans divers pays afin de prévoir à l'avance la répartition des températures dans les plans d'eau affectés par les rejets en fonction des saisons; ils permettent de simuler la situation en fonction de différentes hypothèses de charge des centrales (Jacquet et Gras 1970; Gadkowski 1979; Talmage et Coutant 1979; Poulain 1980).
Gaz Dissous et Bilan en Oxygène
Une élévation de température agit sur le degré de dissociation et la solubilité des composants et, donc, sur la chimie des eaux. En fait, compte tenu d'une part des écarts thermiques relativement faibles et, d'autre part, du degré de précision des mesures effectuées dan les milieux aquatiques, il n'est guère possible de mettre en évidence un changement notable de la qualité des eaux aprés passage dans les condenseurs, sauf en ce qui concerne les gaz dissous.
L'oxygène, en raison de son importance pour la vie aquatique, a été l'objet d'une considération particulière.
Des modèles mathématiques ont été établis en vue de la prévision des teneurs en oxygène en fonction des caractéristiques des cours d'eau, des charges organiques qu'ils reçoivent et de la température (Leynaud et Verrel 1980); la plupart sont dérivés du modèle présenté initialement par Streeter et Phelps (1925).
On insiste généralement sur la baisse de solubilité de ce gaz due à l'élévation de la température. En fait, on constate souvent en effectuant des mesures sur place que les échanges gazeux indiqués par la théorie ne se produisent pas instantanément. L'eau entrant à saturation dans les condenseurs ne subit pas toujours de dégazage et se trouve en sursaturation à la sortie. On a pu observer également un certain enrichissement en oxygène des eaux de refroidissement contenant à l'entrée de faibles concentrations de ce gaz (Leynaud 1967; Gadkowski et al. 1979). Par ailleurs, le coefficient de réaération noté K2 dans l'équation classique de Streeter et Phelps, augmente avec la température (cet effet étant toutefois partiellement contrebalancé par l'élévation du taux de saturation correspondant).
La vitesse de réaération dépend également des conditions d'écoulement (profondeur, vitesse du courant…) et d'après Krenkel et Parker (1969) l'augmentation de K2 ne serait sensible que pour les eaux courantes.
L'action la plus marquée de la température sur le bilan en oxygène s'exerce en fait par l'intermédiaire du métabolisme bactérien. Dans les eaux polluées par des matières organiques, une élévation de température (au-dessous du seuil létal pour les bactéries) accélère théoriquement la vitesse de décomposition de ces matières et la consommation on oxygène correspondante.
Au total, l'augmentation du coefficient de dégradation ou de désoxygénation (désiginé habituellement par K1 dans l'équation de Streeter et Phelps et les modèles dérivés) est plus rapide que celle du coefficient de réaération. Dans ces conditions données de charge organique et d'écoulement, une élévation de la température modifie notablement l'allure du profil en oxygène du milieu récepteur (courbe en sac). La dégradation des matières organiques s'effectue en un temps et donc sur un trajet plus court et le déficit maximum en oxygène est plus accentué.
Cette accélération de la dégradation des matières organiques sous l'influence du réchauffement se retrouve également au niveau des boues déposées sur les fonds et qui sont le siège de fermentations anaérobies; dans ce cas, l'augmentation de la production de gaz (H2S, CH4…) peut provoquer la dispersion des boues dans l'eau surnageante et un abaissement très important de la teneur en oxygène.
Les mesures effectuées sur le terraine ne confirment toutefois pas pleinement les prévisions théoriques. Dans les milieux naturels, l'élévation de température entraîne, en effect, des changements dans les peuplements bactériens et leur comportement thermique, les espèces initialement présentes étant remplacées par d'autres présentant généralement des températures optimales plus élevées (Brock 1975).
La stimulation éventuelle de la photosynthèse et son influence réelle sur le bilan en oxygène ne peut être appréhendée que par des mesures continues des teneurs en oxygène rarement effectuées; elles sont cependant nécessaires pour appréhender la situation pendant la période nocturne.
Le danger des sursaturations en oxygène et en azote dues aux centrales est plus rarement signalé; il semble bien cependant que les risques d'embolie gazeuse en résultant pour les poissons ne soient pas négligeables.
INCIDENCES BIOLOGIQUES GÉNÉRALES DU RÉCHAUFFEMENT DES EAUX
Conceptions Générales et Voies d'Approche
L'appréciation et la prévision des effets du réchauffement des eaux a été tentée par diverses méthodes.
L'une d'entre elles consiste à porter les efforts de recherche sur les espèces “représentatives” ou importantes sur le plan économique (Coutant 1977) et dont la préservation est jugée prioritaire.
De très nombreux travaux, effectués généralement en laboratoire, ont été réalisés afin de préciser les effets de la température sur la physiologie, la survie, la croissance, la reproduction et le comportement de diverses espèces de poissons. Ces travaux sont très intéressants car ils aident à la compréhension des faits observés sur le terrain et permettent de définir rapidement un certain nombre de contraintes minimales à respecter (ex. températures létales).
Il serait toutefois illusoire de poursuivre la description exhaustive des relations existant entre les espèces à protéger et un facteur donné de l'environment, ici la température.
De toutes façons, les diverses espèces aquatiques ne se développent pas isolément mais sont soumises aux inter-actions de toutes les autres. Ces inter-actions peuvent conduire à des résultats très sensiblement différents des prévisions basées sur l'étude approfondie des effets de la température sur chaque espèce prise individuellement.
Au surplus, il n'est pas toujours facile de désigner les espèces les plus “intéressantes” car ce critère peut varier sensiblement dans le temps.
Il est donc plus sûr d'adopter une approche synécologique, de caractère beaucoup plus synthétique. Cette démarche doit s'appuyer sur une théorie cohérente permettant d'ordonner l'ensemble des connaissances acquises sur les conditions de répartition combinée des espèces aquatiques en fonction de la variabilité des milieux.
Les recherches effectuées sur les systèmes d'eaux courantes en Europe pendant ces trente dernières années ont mis en évidence l'existence d'une structure biologique à l'échelle des cours d'eau et des bassins versants formée par la succession de groupes écologiques d'espèces constituant des “niveaux typologiques” repérables par la présence, l'abondance ou l'absence d'un certain nombre d'espèces associées à ces niveaux (Huet 1946, 1949; Illies et Botosaneanu 1963; Verneaux 1973, 1976, 1977).
Le relevé sur plus de 200 stations du réseau hydrographique français des peuplements de poissons et d'invertébrés benthiques (300 espèces) a ainsi permis de mettre en évidence, par analyse factorielle des correspondances, 10 niveaux typologiques.
Chacun de ces niveaux se trouve associé à des groupements d'espèces présentant des exigences écologiques voisines appelées “biocenotypes” (Verneaux 1976).
Bien que chaque cours d'eau possède ses propres structures, mésologique et biologique, une analyse statistique des correspondances entre la distribution des espèces et celle des composants abiotiques à l'échelle d'un réseau hydrographique non perturbé montre la possibilité de rapporter l'essentiel de l'organisation des espèces aux actions combinées de 3 facteurs synthétiques principaux (Verneaux 1973).
Le facteur température intervient de façon nettement prépondérante par rapport aux deux autres (composantes morphodynamiques et trophiques) dans la détermination de cette structure. Le glissement d'un niveau typologique au suivant, du seul fait d'une modification de la température (mesurée pendant le mois le plus chaud de l'année) correspond à un échauffement moyen d'environ 3° C.
Il est ainsi possible de prévoir le sens et l'amplitude des variations engendrées par un rejet thermique en fonction du niveau typologique du secteur du cours d'eau concerné et de connaître les espèces les plus directement menacées. On peut considérer qu'un glissement d'un niveau typologique constitue un changement significatif décelable par des méthodes approprieés.
Les espèces les plus tolérantes aux élévations de température se développent au détriment des autres, elles sont aussi généralement plus résistantes à la pollution. L'effet global d'un réchauffement des eaux sur l'édifice aquatique apparaît ainsi semblable à celui d'une pollution et la dissociation entre les effets des rejets thermiques et ceux des rejets polluants n'est pas toujours aisée.
La démarche développée ci-dessus pour les invertébrés et les poissons ne saurait cependant tenir lieu de prévision de façon définitive.
En particulier, restent à préciser les risques de prolifération des organismes à cycle de développement court, tels que les algues et les bactéries pour lesquels les méthodes d'analyse prévisionnelle sont en cours d'élaboration. Il est à noter que l'augmentation générale des concentrations des eaux en éléments nutritifs minéraux et organiques constitue pour ces organismes des conditions favorables à un développement rapide en aval des rejets thermiques.
Cette remarque concerne également les organismes pathogènes ou parasites (bactéries, invertébrés, virus) dont la virulence, la vitesse ou la période de développement sont susceptibles d'être augmentées dans les eaux réchauffées et de produire ainsi des effets secondaires importantes sur les poissons ou les oiseaux aquatiques (botulisme).
Enfin, il convient de ne pas oublier le caractère intégrateur des espèces qui ne réagissent pas séparément aux diverses composantes de l'environnement mais d'une façon globale. C'est ainsi qu'une même espèce peut présenter une abondance maximale dans des stations présentant des caractéristiques très différentes.
Ces “compensations” ou oppositions dans l'action des diverses composantes des milieux aquatiques expliquent les nonbreuses différences entre les résultats des expériences de laboratoire et les observations de terrain, celles-ci par contre sont généralement en accord avec l'approche globale basée sur la répartition naturelle des espèces.
Incidences du Réchauffement des Eaux sur les Principaux Groups d'Organismes Aquatiques
Bactéries et Décomposeurs
Les études ont souvent porté sur la recherche des germes indicateurs de contamination fécale; la variabilité importante des résultats dans ce domaine ne permet guère de tirer des conclusions quant à l'effet du réchauffement des eaux.
Compte tenu des difficultés inhérentes à ces opérations, les bactéries n'ont pratiquement pas fait l'objet d'identifications et de numérations exhaustives. On peut supposer avec Brock (1975) qu'une élévation de température provoque d'abord une multiplication et une activation des bactéries dont l'optimum thermique se trouve au-dessus des températures régnant dans le milieu, ensuite elle entraîne l'apparition et le développement de formes possédant un optimum thermique plus élevé.
L'accélération de la décomposition des débris végétaux dans les eaux réchauffées a été observée conformément à ce schema (Talmage et Coutant 1979).
Les Algues
De nombreuses études effectuées sur divers sites semblent montrer que le transit du phytoplancton au travers des tubes des condenseurs ne provoque pas de modifications notables des populations.
L'optimum de production d'oxygène photosynthétique par le phytoplancton est atteint pour des températures voisines du maximum annuel des cours d'eau avant réchauffement.
La production algale benthique et périphytique suit la même évolution en fonction de la température (Peres et al. 1979).
Les observations qualitatives montrent pour le périphyton des variations saisonnières marquées en particulier pour les diatomées ces variations s'estompent en milieu pollué.
Parmi les formes les plus tolérantes aux fortes températures il faut signaler les cyanophycées ainsi que quelques chlorophycées de l'ordre des chaetophorales; ces algues sont associées à une microfaune particulière de ciliés et de rotières. Les diatomées restent cependant encore relativement bien représentées par des formes tychoplanctoniques ou encore des espèces thermophiles. Les autres espèces sont des formes N-hétérotrophes connues pour leur résistance aux pollutions en général (Coste et Verrel 1978).
La température n'est pas le seul facteur régissant le développement des algues, l'éclairement joue un rôle également très important et parfois prépondérant. La concordance de l'action de certains de ces facteurs—sels nutritifs, débits, température, luminosité (d'ailleurs encore mal appréhendée)—déclenche la formation de “fleurs d'eau” massives à chlorophycées ou cyanophycées dont l'action sur le bilan en oxygéne et le pH peut provoquer des mortalités massives de poissons, notamment en augmentant par la hausse diurne du pH la toxicité des sels d'ammonium présents dans le milieu (Pierre 1972, 1977).
Les Plantes Aquatiques
Dans la mesure où la granulométrie et la nature des fonds ainsi que la transparence de l'eau permettent leur implantation, les plantes aquatiques sont, dans l'ensemble, favorisées par le réchauffement des eaux qui permet un allongement de la période de végétation et une floraison plus précoce (Kokurewicz 1979; Coutant 1979).
Le Zooplancton
De nombreux auteurs (Backiel 1979) signalent des destructions importantes d'organismes zooplanctoniques transitant par les condenseurs, les peuplements semblent toutefois se reconstituer rapidement en aval avec des modifications quantitatives et qualitatives.
Des proliférations importantes de copépodes et de cladocères ou de rotifères thermophiles ont pu être observées dans les zones affectées par les rejets thermiques (Peres et al. 1979).
Les Invertébrés Bentiques
Les résultats concernant ces organismes restent encore très fragmentaires et contradictoires malgré l'intérêt qu'ils présentent pour la nutrition des poissons et le rendement des pêches.
Outre des modifications qualitatives plusieurs auteurs signalent un appauvrissement de la faune benthique pour des réchauffements encore relativement modérés (Countant 1979), d'autres observent une augmentation du benthos dans le cas d'élévation très limitée (2° C) de la température (Leszczynski 1976).
La sensibilité de certains groupes aux élévations de température a été constatée, notamment en ce qui concerne les gammaridés qui sont éliminés dès que la température avoisine 28°C (Barbier et Champ 1974).
Par contre, la caridine (Atyaëphyra desmarestii) semble se développer abondamment dans les rejets thermiques affectant les rivières françaises; elle présente d'ailleurs dans ces zones d'importantes modifications de son cycle de développement (Nourisson et Tchissambou 1978).
L'effet réel sur les invertébrés benthiques ne peut être objectivement apprécié que si les travaux comportent des données précises sur l'habitat qui joue un rôle fondamental pour ces organismes.
Selon les sites et les espèces en cause, le réchauffement des eaux peut provoquer une avance notable des périodes d'émergence (Coutant 1979). Cependant Langford (1975), après des observations détaillées sur la rivière Severn au Royaume-Uni concernant les périodes d'émergence de plusieurs groupes (Ephéméroptères, Trichoptères, Megaloptères), estime que le réchauffement des eaux ne modifie pas sensiblement les périodes d'émergence qui sont beaucoup plus dépendantes d'autres facteurs comme les variations du niveau des eaux (du moins pour les Ephéméroptères).
Invertébrés Periphytiques
Des développements importants de bryozoaires ont été régulièrement observés à l'obscurité dans le rejet de la Centrale de Montereau sur la Seine, dans une gamme de température assez restreinte (22–27° C) (Peres et al. 1979).
Dans la Loire, les pullulations du rotifère Sinantherina Socialis, en aval de la Centrale de Chinon, paraissent liées à l'action conjointe du réchauffement des eaux et de l'abondance des diatomées pendant la période estivale (Peres et al. 1979).
INCIDENCES SUR LES PEUPLEMENTS DE POISSONS ET LA PÊCHE
Survie
Les mortalités de poissons en aval des zones de mélange des effluents thermiques sont rares; des accidents sont toutefois possibles dans les canaux de rejet de certaines installations provoquant des écarts thermiques importants.
Les très importants travaux effectués sur les températures létales prenant en compte les temps de survie aux différents niveaux et exploités par la méthode des taux de mortalité développée par Fry et al. (1946), associés aux résultats donnés par les modèles de prévision thermique, permettent d'évaluer les risques de mortalités pisciaires pendant les périodes correspondant aux températures maximales ou aux débits minimums dans les cours d'eau concernés (Coutant 1970, 1979; Peres et al. 1979; Horoszewicz 1979).
Il convient cependant de tenir compte des effets néfastes des élévations de température sur la physiologie et le métabolisme des poissons que se manifestent nettement au-dessous des températures létales à court terme, ainsi que l'ont démontré de très nombreux travaux de recherche (Coutant 1970, 1979; Peres et al. 1979; Jezierska 1979).
Les études effectuées sur le terrain montrent la fragilité des poissons lors des manipulations effectuées à des températures nettement inférieures aux températures létales des espèces considérées (27° C dans la Seine selon Leynaud et Allardi 1975).
État Sanitaire
Selon leurs propres exigences écologiques, les agents pathogènes pour les poissons peuvent être favorisés ou défavorisés par un réchauffe ment des eaux. Par ailleurs, et dans certaines limites, les mécanismes immunitaires des pois sons peuvent être accélérés et améliorés par une élévation de température.
Divers travaux effectués en laboratoire montrent qu'une élévation thermique favorise le développement de nombreux parasites des poissons; les observations effectuées sur le terrain ne font pas cependant état de nombreuses et importantes altérations de l'état sanitaire des poissons en aval des rejets thermiques (Peres et al. 1979).
Des cas ponctuels d'un net développement de parasitoses dans les milieux clos notablement réchauffés ont été signalés (Pietrzak 1979). Dans d'autres cas, le déclenchement de maladies pisciaires dues à des agents pathogènes généralement inféodés aux organismes à sang chaud a été constaté (Besse 1949; Prevot et al. 1950).
Croissance
L'effet stimulant d'une augmentation de température sur la vitesse de croissance des poissons est déjà largement utilisé en pisciculture. On ne saurait cependant étendre ces conclusions aux eaux libres; en effet, en pisciculture, les poissons élevés sont au moins partiellement soustraits à la concurrence des autres espèces et bénéficient d'une alimentation artificielle.
D'autre part, les pisciculteurs organisent leurs élevages de façon à profiter de la gamme de température la plus favorable aux espèces considérées sans pour autant conduire la totalité de leur cycle vital en milieu réchauffé.
De nombreux travaux ont montré que la taux de prédation sur les espèces soumises à des élévations de température, et notamment des chocs thermiques pouvait être notablement augmenté (Coutant 1969, 1970). En eaux libres, un nombre important d'études de terrain relatent une diminution du facteur de condition des poissons vivant dans les zones réchauffées et une dimunution de la faune benthique leur servant de nourriture. Dans ces cas, l'augmentation des besoins métaboliques des poissons ne semble pas compensée par un développment correspondant de la nourriture naturelle (Backiel 1979; Coutant 1970).
Toutefois, ces constatations semblent concerner essentiellement des milieux clos notablement réchauffés ou victimes d'une dégradation des conditions d'habitat. Dans les eaux courantes soumises à un réchauffement modéré, il n'est généralement pas signalé de diffèrences du facteur de condition des peuplements de poissons entre l'amont et l'aval des rejets thermiques (De Tollenaere et Micha 1980).
Reproduction
La plupart des espèces de poissons téléostéens présentent un rythme annuel de reproduction dont les phases successives apparaissent très dépendantes des variations climatiques. Les deux facteurs les plus importants sont, sans nul doute, la température et la photopériode.
D'une façon générale, le réchauffement des eaux accélère la maturité sexuelle et avance la période de fraie. De Tollenaere et Micha (1980) ont réalisé dans ce domaine une étude détaillée des populations de gardon (Rutilus rutilus) en amont et en aval de la Centrale nucléaire de Tihange sur la Meuse. Ils ont mis en évidence chez cette espèce une accélération de la gamétogénèse, une avance de la période de fraie de 20 jours et une augmentation de la fécondité liées à un réchauffement modéré de l'eau (2 à 3° C en général, maximum 6° C).
Cet effet n'a pas toujours des conséquences favorables chez d'autres espèces; c'est ainsi que l'avance de la période de fraie peut rompre pour certaines d'entre elles, comme le brochet, la synchronisation nécessaire avec des épisodes hydrologiques (crues) leur permettant de disposer des substrats nécessaires à la ponte.
Les diverses phases de la gamétogénèse peuvent être perturbées, voire inhibées, par des élévations de température même chez des espèces thermophiles comme le carassin (Carassius auratus) (Peres et al. 1979). La synchronisation du dévéloppement des ovules peut également être rompue entraînant la résorption des oeufs et une diminution du taux de reproduction l'année suivante (Epler et Bieniarz 1979). Les fluctuations journalières de température trop marquées (supérieures à 3–4° C) peuvent compromettre le développement embryonnaire des oeufs (Kokurewicz 1979).
Déplacements, Changements de Structure des Populations
De très nombreaux travaux ont mis en évidence des déplacements de poissons liés au réchauffement des eaux. Ces déplacements sont généralement cohérents avec les “préférences thermiques” des différentes espèces (Coutant 1970, 1975, 1979; Horoszewicz 1979).
Toutefois, la fréquentation des zones réchauffées augmente sensiblement pour les différentes espèces pendant la période de fraie (Leynaud et Allardi 1975; Peres et al. 1979).
Même dans les zones légèrement réchauffées (là 2° C), des études approfondies mettent en évidence des changements significatifs de l'abondance relative des différentes espèces et conformes à leur écologie (Peres et al. 1979). Des élévations de température plus importantes peuvent modifier de façon notable la structure des populations (Horoszewicz 1979); ces modifications sont d'autant plus importantes que des zones concernées appartiennent à un niveau typologique plus apical (situé généralement plus près des sources dans l'espace géographique) (Peres et al. 1979).
Toxicité Des Produits Chimiques
Une élévation de température peut accélérer, par augmentation générale du métabolisme, la pénétration des toxiques mais elle peut favoriser aussi les mécanismes et les processus de détoxication et d'élimination.
Les résultats peuvent différer sensiblement selon les concentrations testées.
Sprague (1964) observe une augmentation de la toxicité du sulfate de zinc à l'égard du saumon atlantique avec une élévation de température. Des résultats inverses peuvent être obtenus avec des substances dont la dégradation est accélérée par une élévation thermique comme les phénols ou le malathion (Peres et al. 1979).
Incidences sur l'Exercice de la Pêche
En raison des déplacements temporaires des poissons vers les zones réchauffées, les pêcheurs amateurs recherchent souvent des emplacements au voisinage des canaux de rejets des Centrales. Elser (1965) a montré que les captures par les pêcheurs amateurs dans les zones réchauffées différaient sensiblement, selon les saisons, des zones amont et qu'elles étaient nettement supérieures pour l'ensemble de l'année.
Cette constatation ne signifie pas que les rejets thermiques sont favorables au développement des peuplements de poissons mais elle peut être mise à profit pour une exploitation rationnelle des pêches.
Les Possibilités d'Adaptation des Espèces
On peut s'interroger sur la capacité d'adaptation des peuplements actuels confrontés à une élévation générale de la température des eaux. Les limites de température, au-delà des possibilités d'acclimatation dépendent du patrimoine génétique individuel des organismes aquatiques. À cet égard, des différences sensibles peuvent être constatées dans des peuplements d'une même espèce mais de localisations géographiques différentes. Dans un important travail, Philipp et al. (1980) ont mis en évidence des différences significatives de comportement thermique chez le black-bass (Micropterus salmoides) selon la situation géographique des peuplements testés.
Ces différences concernant les températures préférées et les températures létales, sont liées à des différences génétiques s'exprimant dans la production de certains enzymes jouant un rôle fondamental dans le métabolisme. Selon leur origine et l'équipement enzymatique associés, les sujets sont plus ou moins aptes à supporter une élévation de température de leur milieu de vie.
Ces recherches présentent un grand intérêt pratique en matière de prévision des impacts et de conduite des repeuplements.
Brock (1975) rapporte l'adaptation des populations de truite dans le Firehole River recevant des apports géothermiques et où la température atteint couramment 27° C. Ces peuplements auraient été introduits après 1889 et l'adaptation de cette espèce se serait donc produite sur une durée relativement courte.
Dans le cas des rejets des Centrales thermiques, le caractère aléatoire et fluctuant du réchauffement ne facilitera guère l'adaptation des espèces aux nouvelles conditions.
CONSÉQUENCES ET APPLICATIONS PRATIQUES
Les effets des modifications thermiques sur l'édifice biologique aquatique ne concernent pas seulement la pêche mais influencent directement la qualité générale des eaux et, donc, l'ensemble de leurs usages.
Ces effets doivent être appréciés à travers les changements imposés à la structure des biocenoses dans leur ensemble et à son évolution saisonnière (succession des phases de développement des espèces).
La “sensibilité” des biocenoses aquatiques aux différentes formes d'altération et notamment aux modifications thermiques, varie en fonction de la situation écologique des sites concernés. Les mesures de protection et de compensation devraient donc être adaptées à cette situation.
L'utilisation d'une structure biologique de référence des écosystèmes aquatiques permet l'appréciation objective des effets des activités humaines et les prévisions requises par les études d'impact.
Dans celles-ci, un juste compromis doit être trouvé entre le souci de décrire toutes les particularités des sites concernés et l'intérêt pratique de centrer l'analyse autour des espèces dont la répartition dans les systèmes aquatiques est suffisamment connue pour servir de base à la prévision des effets.
Il convient d'apprecier objectivement l'importance des effets du réchauffement artificiel des eaux par rapport à celle d'autres aménagements ou rejets: c'est ainsi qu'à Montereau sur la Seine où le réchauffement “moyen” est inférieur à 2° C (pour le débit semi permanent du fleuve), il ne peut être constaté, du fait du seul réchauffement que des différences dans l'abondance relative des espèces de poissons alors que, en l'espace de dix années, trois espèces (gremille, barbeau, hotu) ont pratiquement disparu de ce site, sans doute à cause des “aménagements” du cours d'eau pour la navigation, et des rejets polluants des zones industrielles situées en amont.
Il est toutefois nécessaire de ne pas négliger le caractère additif et cumulatif des diverses formes d'altération du milieu aquatique qui aboutissent à la simplification et à la banalisation des biocenoses au détriment de la qualité des eaux et de leurs différents usages, y compris la pêche.
C'est pourquoi, il serait souhaitable que les différents “compromis” intervenant dans les opérations d'aménagement et de développement industriel et urbain ne s'opèrent pas systématiquement au détriment de l'environnement aquatique.
L'acceptation du réchauffement des eaux devrait aller de pair avec un effort particulier d'épuration des effluents et de préservation, voire de restauration de l'habitat aquatique et la réalisation de mesures de compensation judicieuses.
Il convient de mentionner le problème posé par la discordance écologique induite par une augmentation sensible de la température.
En effet, si à l'intérieur de certaines limites et dans une zone biogéographique donnée (définie par son potentiel d'espèces) le réchauffement progressif des eaux se traduit théoriquement par une succession de “séries” exprimant le phénomène de remplacement des espèces les unes par les autres, encore faut-il que ce phénomène soit rendu possible par l'accord des autres composantes mésologiques aux nouvelles conditions thermiques.
Les analyses et mesures effectuées sur les différents sites montrent clairement que les composantes morphologiques et dynamiques actuelles de nombreux cours d'eau utilisés pour le refroidissement ne permettent pas le développement des espèces susceptibles d'être favorisées par une modification notable du cycle thermique. Sont fréquemment absentes, en particulier, les zones de frai et d'abris (végétation phanérogamique) nécessaires au développement des cyprinidés et des espèces carnassières d'eau calme (black-bass, brochet, perche) constituant les ultimes groupements ichtyologiques dulçaquicoles.
Afin de pallier, dans une certaine mesure, la discordance précédemment mentionnée, il serait souhaitable d'implanter au niveau des sites de centrales thermiques, en eau réchauffée après mélange, des systèmes latéraux d'eau calme correctement profilés et dimensionnés, destinés à favoriser le développement des groupements faunistiques lénitophiles et susceptibles de fournir des parcours halieutiques. Ces systèmes aquatiques secondaires permettraient le développement des macrophytes constituant les ceintures végétales des systèmes d'eau calme, ainsi que celui d'une faune abondante susceptible de servir de nourriture aux poissons.
En outre, l'échauffement doit être, si nécessaire, réduit pendant les périodes critiques (faibles débits, températures élevées).
La directive du Conseil des Communautés Européennes relative à la protection des poissons a fixé à 1,5° C l'échauffement tolérable dans les zones salmonicoles (avec maximum de température de 10° C en hiver et de 21,5° C en été), et à 3° C l'échauffement admissible sur les cours d'eau cyprinicoles (avec maximum après mélange de 10° C en hiver et de 28° C en été).
Ces prescriptions, sous réserve des considérations ci-dessus exprimées, peuvent être considérées comme réalistes et justifiées en l'état actuel de nos connaissances.
RÉFERÉNCES BIBLIOGRAPHIQUES
Backiel, T. 1979 Feeding of fish and their feeding grounds. In Biology of fish as a test for heated effluents. Pol. écol. Stud., 5(3):72–79.
Barbier, B. et P. Champ. 1974 Résistance des gammares de la Seine aux élévations de température. Cahiers du Laboratoire d'Hydrobiologie de Montereau, (2):71–75.
Besse, P. 1949 Epizootie de gangrène gazeuse chez la Soffie (Chondrostoma toxostoma). Bull. Acad. Vétérinaire No 9, nov. 1949. Paris.
Brock, T.D. 1975 Predicting the ecological consequences of thermal pollution from observations of geothermal habitats. In Environmental effects of cooling systems at nuclear power plants. IAEA-SM-187/9 Vienne, 1975.
Coste, M. et J.L. Verrel. 1978 Incidences du réchauffement des eaux de Seine sur la composition de la microflore diatomique benthique. Cahiers du Laboratoire d'Hydrobiologie de Montereau, (6):5–14.
Coutant, C.C. 1969 Effect of thermal shock on vulnerability of juvenile salmonids to predation. J. Fish.Res.Board Can., 30:965–973.
Coutant, C.C. 1970 Biological aspects of thermal pollution I—Entrainment and discharge canal effects. CRC Critical Reviews in Environmental Control, 1(3):341–381.
Coutant, C.C. 1972 Biological aspects of thermal pollution II—Scientific basis for water temperature standard at power plants. CRC Critical Reviews in Environmental Control, 3(1): 1–24.
Coutant, C.C. 1975 Temperature selection by fish. A factor in power plant impact assessments. In Environmental effects of cooling systems at nuclear power plants. IAEA-SM-187/9, Vienna, 575–592.
Coutant, C.C. 1977 Representative species concept. In Proc. Symp., the integrity of water. U.S. Environmental Protection Agency, Washington, D.C.
De Tollenaere, A. et J.C. Micha. 1980 Effets des rejets thermiques d'une centrale nucléaire sur les poissons de la Meuse. Consultation technique sur la répartition des ressources ichtylogiques, Vichy, 1980. FAO-CECPI.
Elser, H.F. 1965 Effect of a warmed water discharge on angling in the Potomac River, Maryland. Prog.Fish Cult., 27(2).
Epler, P. and K. Bienarz. 1979 Sexual maturity of fish in heated waters. Pol.ecol.Stud., 5(3):52–63.
Fry, F.E.J., J.S. Hart and K.F. Walker. 1946 Lethal temperature relations for a sample of young speckled trout (Salvelinus fontinalis). Univ. Toronto Stud. Biol. Ser. 54; Pub. Ont Fish Res. Lab., 66(5):1–35.
Gadkowski, M. 1979 The temperature of waters in a river heated by an electric power plant. In Biology of fish as a test for heated effluents. Pol. ecol. Stud., 5(3):10–17.
Gadkowski, M., A. Lysak and B. Kokurewicz. 1979 Oxygen content and toxicity for fish of some substances in heated waters. In Biology of fish as a test for heated effluents. Pol. ecol. Stud., 5(3):18–23.
Horoszewicz, L. 1979 Lethal temperatures for fish. In Biology of fish as a test for heated effluents. Pol. ecol. Stud., 5(3):24–32.
Horoszewicz, L. 1979 Changes of fish communities in heated environment. Pol. ecol. Stud., 5(3):95–99.
Huet, M. 1946 Note préliminaire sur les relations entre la pente et les populations piscicoles des eaux courantes. Trav. Stat. Rech. Groenendaal, D.4 (13):232–243.
Huet, M. 1949 Aperçu des relations entre la pente et les populations piscicoles dans les eaux courantes. Schweig Z. Hydrol., 11 (3–4):332–351.
Illies, J. et L. Botosaneanu. 1963 Problèmes et méthodes de la classification et de la zonation écologique des eaux courantes, considérées surtout du point de vue faunistique. Mitt. internat. Verein. Limnol., 12:1–57.
Jacquet, J. et R. Gras. 1970 Les échanges d'énergie en jeu entre un plan d'eau et l'atmosphère; détermination de la capacité de réfrigération d'un plan d'eau. XIèmes journées de l'Hydraulique, Paris, Société Hydrotechnique de France, question IV, rapport 12, 9 p.
Jezierska, B. 1979 Fish metabolism. Pol. ecol. Stud., 5(3):43–51.
Kokurewicz, B. 1979 Spawning of fish and their embryonic and larval development. Pol. ecol. Stud., 5(3):64–71.
Krenkel, P.A. and F.L. Parker. 1969 Engineering aspects, sources and magnitude of thermal pollution. In Krenkel and Parker, eds. Biological aspects of thermal pollution. Vanderbilt University Press, 407 p.
Langford, T.E. 1975 The emergence of insects from a British river warmed by power station cooling water. Part. II. The emergence patterns of some species in relation to water temperature and river flow, upstream and downstream of the cooling water outfalls. Hydrobiologia, 47(1):91–133.
Langford, T.E. and J.R. Daffern. 1975 The emergence of insects from a British river warmed by power station cooling water. Part 1. The use and performance of insect emergence traps in large, spate river and the effects of various factors on total catches upstream and downstream of the cooling-water outfalls. Hydrobiologia, 46(1):71–114
Leszczynski, L. 1976 The influence of preheated waters on the bottom fauna of lakes in the vicinity of Konin. III. An effort to explain the causes and results of changes in the bottom fauna. Roczn. Nauk. roln., H97, 3:49–68.
Leynaud, G. 1967 Les pollutions thermiques: influence de la température sur la vie aquatique. Bulletin technique d'information du Ministère de l'Agriculture, No. 224:1–25.
Leynaud, G. et J. Allardi 1975 Incidences d'un rejet thermique en milieu fluvial sur les mouvements des populations ichtyologiques. In Environmental effects of cooling systems at nuclear power plants. IAEA-SM-187/34:401–408, Vienne 1975.
Leynaud G. et J.L. Verrel. 1980 Modifications du milieu aquatique sous l'influence des pollutions. In Pesson: la pollution des eaux continentales (1–28) Gauthier Villars, Paris.
Nourisson, M. et P. Tchissambou. 1978 Influence de la température sur l'évolution d'une population de caridines (Atyaephyra desmaresti Millet) du site de la Maxe. Cahiers du laboratoire d'Hydrobiologie de Montereau, No. 7.
Peres, G., G. Leynaud et M. Khalanski. 1979 Centrales thermiques et hydrobiologie: bilan des études effectuées de 1962 à 1978 sous l'égide du Comité Scientifique de Montereau. Cahiers du laboratoire d'Hydrobiologie de Montereau, No. 8, 38 P.
Philipp, D.P., W.F. Childers and G.S. Whitt. 1980 Environmental effects on the genetic composition of largemouth bass (Micropterus salmoides) populations in the United States. Consultation technique sur la répartition des ressources ichtyologiques, Vichy 1980, FAO-CECPI.
Pierre, J.F. 1972 Sur un problème de colmatage des prises d'eau par des algues. La Technique de l'Eau et de l'Assainissement. No. 303 mars 1972:1–5.
Pierre, J.F. 1977 Algues et mortalité piscicole en Semois. La Technique de l'Eau et l'Assainissement. No. 368–369 (= 19–31).
Pietrzak, B. 1979 Temperature changes and fish diseases. Pol. ecol. Stud., 5(3):86–94.
Poulain, M. 1980 Calcul de l'échauffement d'un cours d'eau au-dessus de l'état naturel. Consultation technique sur la répartition des ressources ichtyologiques, Vichy 1980. FAO-CECPI.
Prevot, A.R., P. Besse et A.P. De Fagonde. 1950 Étude d'une enzootie saisonnière à mortalité élevée des soffies de l'Hérault (Chondrostoma toxostoma). Annales de l'Institut Pasteur, (79) 903.
Sprague, J.B. 1964 Lethal concentrations of copper and zinc for young Atlantic salmon. J. Fish. Res. Board Can., 21(1):17–26.
Streeter, H.W. et E.B. Phelps. 1925 A study of the pollution and natural purification of the Ohio River. Bull. USPHS., No. 146.
Talmage, S.S. et C.C. Coutant. 1979 Literature review. Thermal effects. J.W.P.C.F., 51(6): 1517–1554.
Verneaux, J. 1973 Cours d'eau de Franche-Comté (massif du Jura). Recherches écologiques sur le réseau hydrographique du Doubs—Essai du biotypologie. Thèse Doct. es Sci. Nat. Fac. Sci. Univ. Besançon, 257 p.
Verneaux, J. 1976a Biotypologie de l'écosystème “eau courante.” La structure biotypologique. C.R. Acad. Sc. Paris., E.283 (8 décembre 1976):1663–1666.
Verneaux, J. 1976b Les groupements socio-écologiques. C.R. Acad. Sc. Paris., E.283 (20 décembre 1976):1791–1793.
Verneaux, J. 1977a Déterminisme approché de la structure biotypologique. C.R. Acad. Sc. Paris; t.284 (3 janvier 1977):77–79.
Verneaux, J. 1977b Détermination approchée de l'appartenance typologique d'un peuplement ichtyologique. C.R. Acad. Sc. Paris, t.284 (21 février 1977):675–67.
G. Leynaud
Division Qualité des Eaux Pêche et Pisciculture, Centre Technique du Génie Rural, des Eaux et des Forêts (C.T.G.R.E.F.), 14, Avenue de Saint-Mandé, 75012 Paris, France
RÉSUMÉ
Verneaux (1973, 1977) a mis en évidence l'étroite concordance existant entre les biocénoses aquatiques et les conditions biogéographiques du milieu, en élaborant une biotypologie du système “eau courante.” À l'aide de ce modèle théorique, il est possible de prévoir les tendances relatives au changement de la structure des peuplements aquatiques en cas d'altération du milieu. Plusieurs études récentes démontrent l'intérêt de cette démarche. Sont analysés, ici, les effets des pollutions mécaniques (extractions de graviers dans le lit des cours d'eau) et thermique (réchauffement artificiel des eaux) sur les peuplements de poissons, ainsi que l'intérêt des travaux d'entretien et des réaménagement de cours d'eau pour la mise en valeur de ces mêmes peuplements. À la lumière de divers résultats présentés, il est possible d'associer de façon objective qualité de la pêche et qualité du milieu aquatique.
ABSTRACT
Verneaux (1973, 1977) has brought to the fore the close relation existing between aquatic biocenoses and the biogeographic conditions of the environment, by drawing up a biotypology of the “running water” system. With the help of this theoretical model, it is possible to foresee the trends relating to a change in structure of the aquatic population in case of alteration of the environment. Several recent studies show the interest of this approach. The effects of mechanical pollution (extraction of gravel from the river bed) and thermic pollution (artificial heating of the water) on the fish population are analysed here, as well as the interest of works for the maintenance and management of water courses for the development of this population. In the light of the various results presented, it is possible to associate objectively the quality of the fish and quality of the aquatic environment.
Dans la gestion des eaux, les intérêts de la pêche sont souvent opposés aux autres usages, cette activité étant considérée, elle-même, comme une utilisation particulière.
Cette opposition est très artificielle: tous les usages, même s'ils ont des exigences minimales différentes, sont tributaires de la qualité des eaux et sont favorisés par un niveau élevé de celle-ci. D'autre part, la propsérité de la pêche repose sur le développement de l'édifice biologique aquatique qui contribue activement au maintien de la qualité des eaux.
LE RÔLE DE L'ÉDIFICE BIOLOGIQUE EN MATIÉRE DE QUALITÉ DES EAUX ET DE PRODUCTION PISCICOLE
L'édifice biologique aquatique, grâce à l'action conjointe et inter-régulée des producteurs, consommateurs, décomposeurs, assur la limpidité et la qualité générale des eaux (c'est-à-dire leur aptitude à satisfaire l'ensemble des usages); son adaptation aux conditions locales aboutit à une diversité et un rendement optima compatibles avec ces conditions.
Cet édifice est capable d'absorber dans une certaine mesure, outre les apports naturels, les rejets dus à l'activité humaine par un développement de l'ensemble des organismes qui le composent.
Toutefois, ce pouvoir “autoépurateur” ne fonctionne convenablement que dans la mesure où les apports exogènes ne modifient pas les conditions de milieu au point d'entraîner des changements notables dans la structure des biocénoses. Le dépassement de cette capacité d'absorption se traduit par la réduction progressive des espèces présentes et la prolifération de quelques-unes d'entre elles adaptées aux nouvelles conditions créées par la pollution.
Ces proliférations d'organismes à cycle court (algues, champignons, bactéries), de plus en plus fréquentes, constituent en elles-mêmes des nuisances graves atteignant l'ensemble des utilisations de l'eau; en outre, l'altération de l'édifice trophique diminue son aptitude à maintenir la qualité de l'eau à un niveau satisfaisant (Verneaux et Leynaud, 1974).
Des mortalités massives de poissons peuvent survenir dans les périodes de crises (faible débit, forte température) ou dans le cas de déversement de substances directement toxiques.
Les poissons participent comme les autres organismes aquatiques à l'autorégulation (contrôle mutuel des populations) et à l'efficacité du système; ils occupent une place particulière en raison de leur position dans la chaîne alimentaire (niveaux trophiques supérieurs). Si, comme les autres organismes, ils jouent le rôle de “témoins” de la qualité des eaux, ils constituent également un “ouil” d'exploitation des milieux aquatiques en transformant les apports en substances utilisables par l'homme (pêches professionnelles ou d'amateur).
Les poissons dépendent des autres organismes aquatiques pour leur nourriture, leur abri ou leur reproduction (végétaux); ils ne peuvent donc être considérés isolément.
Enfin, l'ensemble de l'édifice aquatique est sous l'étroite dépendance des caractéristiques morphologiques et dyanmiques du milieu constituant “l'habitat” au sens large et susceptibles d'être largement modifiées par les travaux d'hydraulique et les aménagements affectant le bassin versant.
En fait, le milieu aquatique doit être compris comme l'ensemble cohérent et indissociable formé par:
l'environnement général (bassin versant, nappes, lit, sédiments, berges),
le fluide vecteur d'éléments physico-chimiques et biologiques (l'eau),
les organismes aquatiques (y compris les poissons).
Dans cet ensemble les sédiments, et particulièrement les éléments fins, jouent un rôle particulièrement important. Ils constituent le lieu de stockage provisoire des matières organiques avant leur consommation ou leur transformation; grâce à leurs propriétés physico-chimiques (adsorption, chelation, précipitation) ils jouent un rôle de stockage et d'échange avec l'eau pour les éléments nutritifs et, éventuellement, certains toxiques; en outre, leur activité biologique est très généralement intense grâce aux peuplements très denses d'orgnaismes divers (bactéries, champignons, algues, invertébrés) qu'ils abritent. La granulométrie et la compacité des dépôts conditionnent aussi les possibilités d'installation des organismes.
PRÉVISION DES CONSÉQUENCES DES ALTERATIONS DU MILIEU AQUATIQUE
Structure Biologique de Référence
La composition de l'édifice biologique varie, indépendamment de toute autre action humaine, avec la localisation des stations considérées.
L'évaluation objective sur le plan biologique des conséquences découlant des activités humaines nécessite donc la confrontation des inventaires à une structure de référence donnant la composition normale des peuplements des stations concernées.
Cette structure biologique peut être établie à partir des méthodes d'analyse modernes permettant d'étudier les distributions simultanées des stations et des espèces sur des secteurs non ou peu modifiés par l'homme.
Cette approche permet de constater des discontinuités statistiques dans la répartition des espèces et d'individualiser des groupements correspondant à des biocénotypes marquant la succession d'amont en aval des différents niveaux écologiques et matérialisant une typologie des cours d'eau. Verneaux (1973) a ainsi pu distinguer 10 biocénotypes (B0 à B9).
Le relevé simultané des espèces et des composantes abiotiques permet de vérifier objectivement l'importance particulière de certaines de ces composantes dans la distribution des espèces et de les utiliser en retour pour une détermination approchée de l'appartenance typologique théorique des stations.
Chaque espèce peut être ainsi associée à un biocénotype exprimant son preferendum écologique général.
Le nombre de niveaux typologiques dans lesquels cette espèce est significativement présente (ou son amplitude écologique) exprime son degré de sténoécie (ou sa sensibilité à une variation des conditions de milieu).
Ces deux critères permettent le classement des espèces en groupes socio-écologiques en distinguant, selon la terminologie employée par les phytosociologues de l'école sigmatiste (Guinochet 1973) et par ordre croissant de sténoécie: une classe, quatre ordres et sept alliances.
Tableau 1. Classification socio-écologique de 32 espèces de poissons d'eau douce.
| Poissons: 32 espèces | Amplitude typologique | Preferendum typologique T | Groupements socio-écologiques | ||||
| Classe C | Ordre 0 | Alliance A, sous-all. | |||||
| Salvelinus fontinalis—S. fontaine | 1–5 | 2 | I | ||||
| Cottus gobio—Chabot | 1–6 | 3 | I | ||||
| Salmo trutta fario—Truite commune | 1–7 | 4 | II | ||||
| Phoxinus phoxinus—Vairon | 2–7 | 4 | II | ||||
| Nemacheilus barbatulus—Loche franche | 2–8 | 5 | III | ||||
| Barbus meridionalis—Barbeau mérid. | 3–7 | 5 | III | ||||
| Leuciscus leuciscus—Vandoise | 4–9 | 7 | IV | ||||
| Lota lota—Lotte | 4–9 | 7 | IV | ||||
| Gobio gobio—Goujon | 4–9 | 7 | IV | ||||
| Leuciscus cephalus—Chevesne | 3–9 | 7 | IV | ||||
| Thymallus thymallus—Ombre | 4–7 | 5 | 4 | ||||
| Telestes soufia agassizi—Blageon | 4–7 | 6 | 4 | ||||
| Aspro asper—Apron | 4–7 | 6 | 4 | ||||
| Chondrostoma toxostoma—Toxostome | 5–8 | 6 | 5 | ||||
| Chondrostoma nasus—Hotu | 5–8 | 6 | 5 | ||||
| Barbus barbus—Barbeau | 5–8 | 7 | 5 | ||||
| Spirlinus bipunctatus—Spirlin | 5–8 | 7 | 5 | ||||
| Rhodeus amarus—Bouvière | 6–9 | 8 | 6 | ||||
| Lepomis gibbosus—Perche soleil | 6–9 | 8 | 6 | ||||
| Perca fluviatilis—Perche | 6–9 | 8 | 6 | ||||
| Esox lucius—Brochet | 6–9 | 8 | 6 | ||||
| Tinca tinca—Tanche | 6–9 | 8 | 6 | ||||
| Rutilus rutilus—Gardon | 6–9 | 8 | 6 | ||||
| Acerina cernua—Gremille | 6–9 | 8 | 6a | ||||
| Cyprinus carpio—Carpe | 7–9 | 8 | 6a | ||||
| Alburnus alburnus—Ablette | 7–9 | 8 | 6a | ||||
| Scardinius erythrophtalmus—Rotengle | 7–9 | 8 | 6a | ||||
| Stizostedion lucioperca—Sandre | 7–9 | 9 | 6b | ||||
| Blicca bjoerkna—Brême bordelière | 7–9 | 9 | 6b | ||||
| Abramis brama—Brême commune | 7–9 | 9 | 6b | ||||
| Ictalurus melas—Poisson chat | 8–9 | 9 | 6b | ||||
| Micropterus salmoides—Black bass | 8–9 | 9 | 6b | ||||

Fig. 1. Organisation des groupments socio-écologiques (32 espèces de poissons d'eau douce) le long de la structure biologique de l'écosystème d'eau courante médieuropéen (d'après Verneaux 1977).
Tableau 2. Détermination de l'appartenance typologique approchée d'une station.
| Analyse d'inventaires ichtyologiques | ||||||||||||
| Espèces | ||||||||||||
| Chabot | Truite | Vairon | Loche franche | Vandoise | Lotte | Goujon | Brochet | Gardon | Rotengle | Ablette | Chevesne | Anguille |
| Station A: Le Doubs à Mouthe | ||||||||||||
| +++ | +++++ | +++ | ||||||||||
| Station B: La Clauge à Vieille Loye | ||||||||||||
| ++ | + | +++++ | ++ | ++ | ++++ | ++ | + | |||||
| Station C: La Seine en aval de Troyes | ||||||||||||
| ++ | + | ++ | + | ++++ | P | ++ | +++ | P | ||||
| +: classes d'abondance relative; P: présence | ||||||||||||
| Caractéristiques | ||||
| Espèce(s) repère(s) | Groupement repère | Gamme typologique | Diversité | Type ichtyologique |
| Station A: Le Doubs à Mouthe | ||||
| Loche franche | OIII | B2–B8 | 3 | B3–B2 |
| Station B: La Clauge à Vieille Loye | ||||
| Goujon | OIV | B3–B9 | 8 | B5–B4 |
| Vandoise | ||||
| Lotte | ||||
| Station C: La Seine en aval de Troyes | ||||
| Ablette | S.A.6a | B7–B9 | (9) | (B9) |
| ( ): diversité trop faible par rapport à la gamme typologique intéressée (15 <n. sp. < 30, cf. Fig. 1). Le peuplement atypique est assimilable à un B9 artificiel, il s'agit d'une station polluée. | ||||
Protocole d'utilisation La détermination de l'appartenance typologique est effectuée à partir de l'inventaire des espèces de poissons d'une station donnée, définie par une aire de prospection dont la longueur est sensiblement dix fois supérieure à la largeur mouillée moyenne du lit mineur. L'utilisation combinée de divers moyens de captures (électricité, filets, carrelets, nasses, …) a pour objet de recenser toutes le espèces significativement présentes sur la station considérée: s'il convient de s'assurer que les espèces repères utilisées se reproduisent effectivement sur la station considérée (présence des différentes classes d'âge—exclusion des migrateurs), on peut se dispenser d'effectuer ce contrôle, toutefois utile à l'interprétation des résultats, pour les autres espèces, dont toutes les présences significatives interviennent dans l'établissement de la diversité du peuplement. Dans un milieu non perturbé la diversité spécifique est comprise dans l'intervalle du groupement repère; dans les cas contraire des discordances importantes peuvent apparître: elles sont généralement imputables à un état de pollution ou une dégradation naturelle ou provoquée de l'habitat. (D'après Verneaux 1977c et 1980). |
Une telle tentative a été effectuée en France (Verneaux 1973–1977) et a donné lieu à des applications pratiques intéressantes; le Tableau 1 donne le résultat de ce travail appliqué à 32 espèces de poissons d'eau douce.
La composition qualitative du peuplement de poissons est analysée à l'aide de l'organigramme typologique (Fig. 1) suivant l'ordre de la succession SA6b → 01; le premier groupement socio-écologique rencontré représenté dans l'échantillon constitue le groupe repère utile. Il correspond à une gamme plus ou moins étendue de possibilités typologiques (2 à 7 biocénotypes) à l'intérieur de laquelle la diversité spécifique permet de repérer l'appartenance typologique approchée de la station étudiée parmi les 10 biocénotypes identifiés.
Un exemple d'application est donné dans le Tableau 2 pour 3 stations différentes: le Doubs à Mouthe, la Clauge à Vieille-Loye et la Seine en aval de Troyes.
Le repérage peut être également effectué à partir de la composition des peuplements d'invertébrés mais la classification socio-écologique n'a pas encore été établie pour ces organismes.
Relations entre les Paramètres du Milieu et Structure Biologique—Applications Pratiques
L'étude des variations des différents paramètres du milieu associés aux stations dans leur succession le long de la structure biotypologique de l'écosystème théorique a permis d'établir les graphes des Figs. 2 et 3.
Le premier représente l'évolution de quelques paramètres physico-chimiques de la qualité de l'eau compatible avec le maintien des peuplements normaux ou sub-normaux le long de la structure biologique de référence. L'allure de ces courbes montre que les critères physico-chimiques de qualité des eaux doivent être établis en fonction du niveau typologique des secteurs considérés.

Fig. 2. Évolution de quelques paramètres physico-chimiques de long de l'écosystème théorique (d'après Verneaux et Leynaud 1974).
Le graphe de la Fig. 3 représente les variations de trois facteurs synthétiques fondamentaux:
un facteur thermique: la température maximale (en °C) du mois le plus chaud (Mm),
un facteur géotrophique doD: le produit de la distance aux sources (en km) par la dureté totale (en mg/l),
un facteur morphodynamique adimensionnel: le rapport de la section mouillée à l'étiage au produit de la pente par le carré de la largeur du lit Sm/Pl2.
| Sm: | section mouillée en m2 |
| P: | pente en ‰ |
| l: | largeur du lit en m. |
La connaissance des “poids” respectifs des différents paramètres dans la distribution des espèces permet de prévoir les conséquences liées aux variations de ces paramètres à la suite de rejets divers ou d'aménagements hydrauliques (Verneaux 1977b).
Effets des Apports Externes
Ces manifestations diffèrent selon la nature des apports.
Le déversement de produits toxiques (de même que la dégradation de l'habitat) se traduit généralement par la régression plus ou moins brutale des organismes consommateurs.
En revanche, l'apport d'éléments nutritifs peut, dans certaines limites, produire des effets contraires, ces substances étant assimilables par l'édifice biologique.
Lorsque l'apport des substances nourricières (azote et phosphore notamment) s'effectue de façon progressive, ménagée, en faible quantité par rapport à la capacité d'assimilation du système (dépendant elle-même de son débit, de son volume, de ses caractéristiques morphologiques, dynamiques et thermiques, de son type écologique, de la complexité de l'édifice biologique, etc.) un processus d'eutrophisation est susceptible de se développer au moins de façon temporaire.

Fig. 3. Variation des trois facteurs synthétiques fondamentaux de long l'écosystème théorique. Cette variation s'exprime par les équations suivantes:
T1 = 0,55 θMm - 4,34
T2 = 1,17 loge (do.D.10-2) + 1,50
T3 = 1,75 loge (102.Sm/Pl2) + 3,92
Le type écologique théorique ou potentiel typologique T est obtenu par la relation:
T = 0,45T1 + 0,30T2 + 0,25T3
dans laquelle chaque facteur synthétique est affecté d'un coefficient d'intervention correspondant au pourcentage de sa contribution relative au plan F1-F2 d'une analyse factorielle des correspondances (d'après Verneaux 1976, 1977a, b).
On parvient ainsi à un état caractérisé par une production optimale non en producteurs ou décomposeurs mais en consommateurs dont l'abondance optimale dans la diversité maximale représente le stade le plus eutrophe compatible avec le niveau écologique considéré. Une telle situation correspond à la production piscicole optimale (quantité produite et diversité des espèces étant à leur niveau maximum).
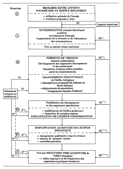
Lorsque la quantité d'apports présumés nourriciers dépasse un certain seuil ou que ceux-ci se poursuivent au-delà de l'atteinte du stade eutrophe relatif au type écologique du milieu récepteur, on assiste au développement plus ou moins rapide d'un syndrome de pollution caractérisé par la simplification plus ou moins accentuée de l'édifice biologique consommateur initial.
L'accumulation des substances non utilisées ou de l'excédent de production primaire non consommée entraîne une modification du milieu dont certaines composantes physico-chimiques atteignent puis dépassent les limites de tolérance d'un nombre de plus en plus grand d'espèces; la simplification de l'édifice biologique consommateur accuse en retour ce processus (Verneaux 1980).
La succession des modifications des peuplements aquatiques soumis à des apports croissants (éléments nutritifs, toxiques ou inhibiteurs) peut être schématisée selon le Tableau 3.
Les Modifications de l'Habitat: Travaux d' Hydraulique et Extractions de Matériaux dans les Lits Mineurs des Cours d' Eau
Les interventions humaines sur les cours d'eau par les travaux d'hydraulique n'entraînent généralement pas de déversements directs de matières polluantes, aussi leurs effets sont-ils sous-estimés alors que les modifications importantes en résultant pour les habitats aquatiques ont de graves répercussions sur les peuplements.
L'extraction des agrégats dans les lits mineurs, telle qu'elle est encore largement pratiquée en France, détruit l'habitat au niveau du chantier d'extraction, compromet la stabilité des fonds et des berges (érosion régressive) et libère d'importantes quantités de matières en suspension qui colmatent les fonds en aval.
Dans certains cas, l'érosion régressive crée, au niveau des ouvrages d'art qu'elle menace directement, des dénivellations importantes constituant un obstacle infranchissable pour les poissons (C.T.G.R.E.F. 1976).
La disparition des herbiers, l'instabilité et le colmatage des fonds entraînent une diminution de la diversité et de l'abondance de la faune (C.T.G.R.E.F. 1976; Clavel et al. 1978, 1979).
En ce qui concerne les poissons, les espèces disparaissent dans l'ordre de la succession des groupements socio-écologiques, les premières affectées sont les espèces rhitrophiles du groupement salmonicole (Truite, Ombre, Chabot, Vairon). La raréfaction de ces espèces s'explique en partie par la réduction des surfaces des secteurs courants à granulométrie grossière, en faveur des zones profondes à sédiments fins.
Les espèces d'eaux calmes présentant des exigences particulières pour leur nutrition ou leur reproduction, comme la Perche ou le Brochet, régressent aussi et même disparaissent. Ne se développent que certaines espèces de pleine eau, généralement euryèces et polluo-résistantes, comme le Chevesne, la Brème, le Gardon, … (C.T.G.R.E.F. 1978).
Tableau 3. Représentation schématique des effets des apports sur les édifices biologiques.a

a I = inhibition;
T = toxicité;
Q = quantité d'apports (d'après Verneaux modifié in Pesson 1980).
Les travaux de canalisation, rectification de cours d'eau, aboutissant à une homogénéisation excessive des fonds, des berges et des conditions d'écoulement, ont des conséquences analogues.
Par contre, dans la grande majorité des zones rurales désertées par la population, les petits cours d'eau ne bénéficient plus d'aucun travail d'entretien. Cette situation extrême n'est pas davantage que les précédentes favorable aux peuplements aquatiques et à la pêche; là encore, l'habitat se dégrade rapidement sous l'influence du développement excessif du couvert, de la multiplication des embâcles ralentissant le courant et favorisant l'envasement….
Il est donc indispensable de trouver un moyen terme entre l'absence totale d'intervention et le caractère excessif et injustifié de certains travaux. La conception et la réalisation des travaux d'hydraulique doivent être fondées sur des connaissances précises et étendues en matière d'hydraulique fluviale et d'hydroécologie.
Le Réchauffement des Eaux
Le réchauffement des eaux a des incidences sur l'ensemble de l'édifice trophique du fait que les organismes aquatiques ne possèdent pas de régulation thermique et sont sous l'étroite dépendance de la température du milieu.
L'influence du régime thermique des eaux est d'ailleurs déterminante dans la répartition des espèces et les études typologiques (Verneaux 1977) ont montré que la température maximale des 30 jours les plus chauds de l'année intervenait pour moitié dans la détermination du niveau écologique.
On a pu ainsi calculer qu'une élévation moyenne de 3°C de cette température est susceptible de provoquer un “glissement” d'un niveau vers les types “inférieurs”.
Les rejets des centrales thermiques constituent les apports principaux de calories aux cours d'eau mais ils ne sont pas les seuls: les égouts urbains, les rejets industriels contribuent à l'altération du régime thermique des eaux de même que les modifications imposées au bassin versant (déboisements, urbanisation) et l'augmentation de la turbidité des eaux.
Les rejets des centrales ne provoquent pas, sauf circonstances particulières, mortalités directes de poissons mais les études poursuivies sur les sites de Montereau et Porcheville, sur la Seine, ont montré que le réchauffement provoquait des modifications significatives des peuplements aquatiques (algues, bryozoaires, invertébrés, poissons).
La connaissance des conditions de distribution des organismes aquatiques en différentes catégories socio-écologiques en fonction de leur preferendum typologique et de leur degré d'euryécie permet de déterminer les espèces les plus directement menacées par un réchauffement des eaux.
De façon générale, les espèces les plus tolérantes aux variations de température se développent au détriment des autres, ces espèces sont en général aussi les moins sensibles à la pollution; l'effet global sur l'édifice aquatique apparaît ainsi semblable à celui d'une pollution et la dissociation entre les effets des rejets thermiques et ceux des rejets polluants n'est pas aisée; cependant, les études conduites sur la Seine au niveau de la centrale thermique de Porcheville ont mis en évidence la liaison entre le réchauffement des eaux et le développement des diatomées centriques (Coste et Verrel 1978).
Il faut toutefois noter, en ce qui concerne les centrales actuellement installées, que ces effets disparaissent à une distance relativement courte des rejets (quelques kilomètres).
C'est ainsi que l'analyse des résultats de pêches à l'électricité, effectuées sur le site de la centrale de Montereau, a permis de montrer que l'influence du réchauffement de l'eau s'exerce tout particulièrement sur la répartition de trois espèces, la perche (Perca fluvialitis), la perche soleil (Lepomis gibbosus) et le black-bass (Micropterus salmoïdes), parmi l'ensemble des poissons carnassiers présents à ce niveau de la Seine: la première espèce, entre l'amont et l'aval de la centrale, subit une diminution importante en abondance relative, tandis que les deux autres sont nettement “favorisées” par le rejet d'eau chaude. Cet effet n'est pratiquement plus sensible au niveau du confluent de la Seine avec le Loing, soit 4,5 km en aval du canal de rejet de la centrale (Pérès et al. 1979).
Expression Biologique des Objectifs de Qualité des Eaux pour les Pêches
Compte tenu de ce qui précède, le maintien ou le rétablissement d'un édifice biologique le plus complet possible en abondance et diversité, en égard aux conditions biogéographiques locales, apparaît donc comme l'objectif final des actions humaines en matière de préservation, d'aménagement et d'exploitation des ressources aquatiques.
La réalisation de cet objectif permet de concilier et d'assurer la compatibilité des divers usages de l'eau et des intérêts qui s'y rattachent; elle assure du même coup des conditions normales pour une exploitation piscicole satisfaisante des eaux superficielles.
En effet, l'obtention d'un édifice biologique correspondant aux potentialités du milieu (en fonction du type écologique) permet d'assurer la mise en valeur de la meilleure production piscicole “naturelle” en qualité et en quantité.
Elle garantit la protection et le développement des espèces les plus recherchées (généralement les plus sensibles), telles que les Salmonidés et autres carnassiers. Elle assure également la qualité de “l'environnement” nécessiare au plein épanouissement de la pêche d'amateur (aspect et couleur de l'eau et des abords, diversité des captures et des comportements des poissons) permettant la satisfaction des différentes préférences des pêcheurs quant aux espèces recherchées et aux modes de pêche.
Lorsque de telles conditions sont réalisées dans les eaux profondes (lacs, grands cours d'eau), les pêcheurs amateurs ne peuvent capturer la totalité de la production piscicole et celle-ci peut alors alimenter une pêche professionnelle de qualité, prospère et durable.
Un tel objectif ne correspond pas nécessairement au maintien de l'état sauvage ou “naturel”. Cet état n'est d'ailleurs pas toujours favorable à un plein épanouissement des biocénoses aquatiques qui soffrent tout autant que le riverain des débordements et des étiages excessifs. C'est ainsi qu'une fertilisation raissonable peut entraîner dans les bassins situés sur terrains primaires une augmentation de l'abondance et de la diversité de la faune aquatique et donc de la production de poisson; il en est de même des techniques de conservation des sols et de l'eau reposant sur des ouvrages multiples de faible dimension et parfaitement intégrés dans le paysage (seuils rustiques de faible hauteur, banquettes, terrasses, etc.).
Si certaines interventions humaines dans le passé ont atteint à cet égard une véritable perfection, il faut reconnaître que les formes modernes d'activité dans leur très grande majorité conduisent à une dégradation rapide de tous les milieux en raison du caractère concentré de ces activités, de la méconnaissance des milieux en cause et des principes fondamentaux de l'écologie.
Bien entendu, on peut concevoir l'orientation de l'aménagement des pêches vers la production de certaines espèces plus spécialement demandées fût-ce au détriment de la diversité potentielle offerte par le milieu. Cependant, même dans ce cas, la connaissance des potentialités donnée par la structure de référence est nécessaire pour définir la nature et les limites des interventions à promouvoir en vue d'atteindre le but fixé. Il convient d'ailleurs de remarquer que les espèces les plus recherchées sont celles qui souffrent le plus et le plus rapidement des détériorations du milieu (saumon, truite, ombre, perche, brochet, lotte, alose, écrevisse de ruisseau).
En dehors des eaux libres et sur des sites “contrôlables”, l'autorité gestionnaire peut même décider en fonction de conditions socio-économiques particulières la recherche d'une production maximum en sélectionnant une ou plusieurs espèces sur des critères essentiellement “économiques”.
La maîtrise des principaux facteurs de l'environnement permet dans ces cas de s'affranchir, dans une certaine mesure tout au moins, des contraintes liées à la répartition naturelle des espèces et à leur sensibilité à la dégradation de l'environnement.
Ces techniques relèvent d'ailleurs plutôt de la pisciculture et s'apparentent à celles employées en agriculture où la simplification des écosystèmes originels est délibérément recherchée en vue de l'augmentation de la production d'une ou de quelques espèces spécialement protégées. Encore faut-il dans de telles exploitations porter toute l'attention nécessaire aux coûts d'investissement et de fonctionnement souvent élevés résultant de l'instabilité de ce systèmes artificiels qui nécessitent des interventions périodiques.
En dehors de ces cas, on peut constater que l'abandon de l'objectif de base conduit plutôt à une “adaptation” à la dégradation des milieux aquatiques par la pollution et les aménagements hydrauliques qu'à définition volontaire d'un autre plan de production. Il en est ainsi notamment lorsque les aménagistes des pêches sont amenés à se contenter d'exploiter les peuplements des espèces les plus résistantes à la pollution, ou à maintenir d'autres espèces uniquement au moyen de repeuplements intensifs, coûteux, voire inefficaces. Dans ces cas, les “préférences” des pêcheurs qui ne peuvent, en fait, plus exercer de choix réel et doivent se résigner devant une situation apparaissant inéluctable, sont même parfois évoquées à titre de justification.
Cette attitude de résignation n'est pas un facteur positif pour la réhabilitation des milieux aquatiques qui constitue cependant l'objectif officiellement déclaré dans de nombreux pays.
Les biologistes des pêches ont donc dans ce domaine une responsabilité importante (C.E.C.P.I. 1978).
CONSIDÉRATIONS ÉCONOMIQUES
Les critères économiques (coût de la lutte contre la pollution) sont souvent invoqués pour justifier le choix d'un niveau de qualité inférieur à l'état optimal. Une analyse plus globale (coût total pour la collectivité) et plus appropondie pourrait cependant conduire à des choix plus nuancés en fonction des considérations suivantes:
À partir d'un certain degré de dégradation des édifices biologiques, le maintien d'un niveau donné de qualité devient plus coûteux et plus aléatoire (instabilité due à la diminution de la capacité d'autorégulation du système et chute du pouvoir “auto-épurateur”).
Les apports polluants correspondent à des pertes de matière et d'énergie représentant des pertes financières de plus en plus élevées compte tenu de l'évolution économique actuelle. En revanche, les ressources renouvelables offertes par les peuplements de poissons représenteront des valeurs croissantes.
Le recours actuel systématique aux systèmes aquatiques pour l'évacuation des déchets et leur épuration n'est pas toujours justifié. Dans un grand nombre de cas les sols peuvent constituer une alternative intéressante grâce à leur pouvoir épurateur élevé et à la possibilité de “recycler” des éléments coûteux (azote, phosphore,…) dans le cadre d'une exploitation agricole adpatée. Une telle utilisation suppose toute-fois un contrôle efficace des toxiques rémanents et des germes pathogènes.
Les considérations techniques invoquées pour justifier certaines dégradations du milieu aquatique ne sont pas toujours fondées. Il en est ainsi de la rectitude et du dimensionnement excessifs de certains lits mineurs lors de la réalisation de travaux d'hydraulique. Des techniques de conservation et restauration des sols constituent des solutions alternatives (au moins partiellement) aux barrages pour la régularisation des ressources en eau.
La concentration excessive des populations et des activités ne permet pas de réaliser dans les meilleures conditions l'épuration et le recyclage des déchets. La prise en compte dans les bilans économiques des pertes liées à la dégradation de l'environnnement serait de nature à remettre en cause “l'effet d'échelle” attribué à de telles concentrations.
CONCLUSION
Les recherches et études de terrain menées durant ces quinze dernières années en hydrobiologie ont permis de faire de cette science un outil efficace au service des ingénieurs et des aménageurs.
L'hydroécologie appliquée permet maintenant une évaluation objective des milieux aquatiques et de leur rôle en matière de production biologique et de maintien de la qualité des eaux.
La définition et la prévision des divers niveaux de qualité en fonction des utilisations et des rejets d'eaux usées ont effectué des progrès notables qui doivent être poursuivis.
Les dernières recherches soulignent toute l'importance pour la qualité des eaux des modifications de l'habitat aquatique très fréquentes actuellement. Ces résultats doivent inciter les aménageurs à une meilleure conception de leurs projets et à un approfondissement de leurs propres techniques (hydraulique fluviale, sédimentologie, …), l'écologie étant d'ailleurs une science de synthèse faisant appel à toutes les disciplines scientifiques et toutes les ressources de l'art de l'ingénieur.
RÉFÉRENCES BIBLIOGRAPHIQUES
CECPI-EIFAC. 1978 La valeur et les limites des diverses méthodes de surveillance biologique de la qualité des eaux pour les poissons d'eau douce. Rome, FAO. CECPI/T. 32. 28 p.
Clavel, P., et al. 1978 Effets des extractions de matériaux alluvionnaires sur l'environnement aquatique dans les cours supérieurs de la Loire et de l'Allier. Bull. Franç. Pisc., 268 p.
Clavel, P., Y. Hamon et C. Romaneix 1979 Incidences des extractions des matériaux alluvionnaires et de l'aménagement des cours d'eau sur l'écosystème aquatique. Bull. Franç. Pisc., 273 p.
Coste, M. et J. L. Verrel. 1978 Incidences du réchauffement des eaux de Seine sur la composition de la microflore diatomique benthique. Cahiers du Laboratoire d'Hydrobiologie de Montereau. No. 6:5–14.
C.T.G.R.E.F. 1976 1978 Effets biologiques et écologiques des extractions de matériaux dans le lit des cours d'eau. Rapport préliminaire. Etude No. 12 Rapport No. 2. Etude No. 26. CTGREF, Groupement d'Antony, Division Qualité des Eaux Pêche et Pisciculture.
Guinêochet M., 1973 Phytosociologie. Paris, Masson: 1–227.
Peres, G. G., Leynaud et M. Khalanski. 1979 Centrales thermiques en hydrobiologie: bilan des études effectuées de 1962 à 1978 sous l'égide du Comité Scientifique de Montereau. Cahiers du Laboratoire d'Hydrobiologie de Montereau No. 8:1–38.
Verneaux J. 1976 Biotypologie de l'écosystème “eau courante”. La structure biotypologique. C. R. Acad. Sc. Paris, t. 283 (8 décembre 1976).
Verneaux, J. 1977a Les groupements socioécologiques. C.R. Acad. Sc. Paris, t. 283 (20 décembre 1976).
Verneaux, J. 1977b Déterminisme approchée de la structure biotypologique. C.R. Acad. Sc. Paris, t. 284 (3 janvier 1977).
Verneaux, J. 1977c Détermination approchée de l'appartenance typologique d'un peuplement ichtyologique. C.R. Acad. Sc. Paris, t. 284 (21 février 1977).
Verneaux, J. 1980 Fondements biologiques et écologiques de l'étude de la qualité des eaux continentales. Principales méthodes biologiques, pages 289–345 in Pesson. La pollution des eaux continentales. Gauthier-Villars, Paris.
Verneaux, J., et G. Leynaud. 1974 Note sommaire sur la définition d'objectifs et de critères de la qualité des eaux courantes. CTGREF, Division Qualité des Eaux Pêche et Pisciculture, Paris, 11 p.