It is felt that a programme to initiate commercial farming on Tongatapu would benefit considerably from a short-term input from a production expert with specific practical experience in farming cottonii in the Pacific Islands. There are several personnel with the necessary commercial production experience who could be provided by regional consulting companies.
It is therefore recommended that the Department of Labour Commerce and Industries approach aid donors with a proposal for funding a six-month technical assistance programme. It is suggested that the production expert work closely with Fisheries Officers on Tongatapu, while being directly responsible to the export company(ies) involved through the appropriate Government department.
The recommended scope of the expert's input is as follows:
Initiate a farming workshops programme and a demonstration module at Nukuleka and nearby villages, in collaboration with Fisheries Division staff.
Assist and advise new farmers on the location and establishment of start-up modules.
Advise farmers on efficient work practices to maximise financial returns for effort.
Provide farmer training and education in post-harvest handling and care of production.
Advise and train staff from the export company(ies) on the purchasing, quality control, handling and consolidation of supplies.
Record the production from start-up modules, and report on the future potential of farming on Tongatapu.
The total cost estimate for this six-month input is USD 63,000, which includes fees, allowances, accommodation, air-travel and domestic transportation costs.
For reasons outlined in this report the production expert's total input should be directed at developing farming in and around the entrance to the Tongatapu lagoon and working with the export company(ies) Research trials with off-bottom farming on Niuatoputapu, and hanging long-line farming in Vava'u and possibly Ha'apai are recommended as valuable Fisheries Division projects, which should be funded separately from any attempt at commercial development on Tongatapu.
Figure 1 (After Luxton, 1985)

Figure 2 (Luxton, 1985, unpublished)
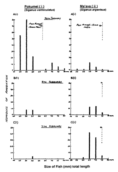
Changes in the size class distribution for Ma'ava Rabbitfish (Siganus argenteus) during February from Faioa Is. Vava'u

Figure 3 (Luxton, 1985, unpublished)
Size class distribution for two species of vermiculated Rabbitfish from Ofu Island, Vava'u

Figure 4

Figure 5 Long-line farming method (Source: E.Ask 1999)

Figure 6 Vava'u

Figure 7 Lifuka Group: Ha'apai

Figure 8 Tongatapu

Figure 9
Off-bottom constant depth farming method for cottonii seaweed
(After Luxton, 1992)

Figure 10 Niuatoputapu

Figure 11 (After Luxton, unpublished)
