In order to properly manage any fishery, an essential first step is to define the exploited stock. It has long been recognised as essential to clarify the relationships between the chambo fisheries of Lake Malombe and of South East Arm of Lake Malawi, by determining the degree of movement of fish between the two lakes through the connecting Upper Shire River (Lowe 1952; Lewis 1990). We have investigated this question by (i) experimental fishing on the Upper Shire River, (ii) biological analysis of chambo catches in the three water bodies, (iii) examination of seasonal and annual patterns of abundance of chambo reflected by catch returns.
Tagging experiments were not carried out because (i) very few returns were recorded by Lowe (1952) who tagged several thousand fish and (ii) adult fish, which can be positively identified, rarely survive decompression when caught at the depths they normally inhabit (Turner 1990).
2.1. Experimental Fishing
2.1.1 Fyke Nets
Immature chambo (kasaswala) were sampled using a pair of fyke nets, of 25mm bag mesh, fixed in shallow water in the Upper Shire River, in front of the Mangochi Fisheries Office. The nets were operated continuously from September 1990 to September 1991, except when damage forced their repair. Catches were removed twice daily, measured and weighed.
2.1.2 Gillnets
A fleet gillnets of meshes 64, 74, 89, and 102mm were employed to sample adult chambo. The nets were fished three times weekly, where possible: once each at the northern and southern ends of the river, and once near the Mangochi Office, which is near the middle of the river. The nets, of length 91.4m × 6.4m deep, were mounted by half and set in the evening. Catches were removed in the morning, sorted, measured and weighed. Chambo caught were identified to species, where possible, and sex and gonad state determined.
2.1.3 Seining
To give an assessment of the state of the chambo stocks in the Upper Shire, experimental seining was carried out on the river at Green Beach, Mangochi in October 1991. The numbers and lengths of fish caught were compared with unpublished records of a similar experiment carried out in October 1973. The seine used in 1991 was of 80m headline length, while that used in 1973 was 60m long. Both had bunt mesh sizes of 20mm. Population parameters were estimated from the LFSA package (Sparre 1987): cohort components were distinguished using Bhattacharya analysis, and growth estimated using the von Bertalanffy method. Total mortality was determined through linearised catch curve analysis based on length composition data.
2.2 Biological Analysis of Catches
The species composition, sex, gonad state and weight of chambo in traditional and commercial fisheries catches in Lake Malawi, Lake Malombe and the Upper Shire were sampled from October 1990–September 1991. Full results of this work will be presented in a subsequent report, but some preliminary findings are related here. Multivariate morphometric analysis was carried out on samples of adult breeding males (which could be unambiguously identified) of each chambo species, to determine if there are any morphological differences between Lake Malombe and Lake Malawi stocks. Discriminant analysis on residuals of the common within-groups regression line for each variable on standard length (Thorpe 1976) was used to determine what proportion of the fish could be distinguished from morphometrics. The significance of the discriminant function was tested with a multivariate analysis of variance calculated from the Mahalanobis' Distance (Flury & Riedwyl 1988).
2.3 Catch and Effort Data Analysis
Both historical records of catch statistics collected by the Fisheries Dept. and the recent data collected by the Chambo Project were scrutinised to see if they provide any information on seasonal changes in chambo abundance in the three water bodies which might give insight into migratory patterns.
3.1 Experimental Fyke Netting
Juvenile chambo (kasawala) are not equally abundant in the Shire in all months (Kruskal-Wallis One-Way Analysis of Variance: P<0.001): peak catches were recorded in May to July, the cool season after the rains (Figure 1). Overall, the majority of kasawala caught were moving towards Lake Malombe (68.7%). Direction of movement varied seasonally (Kolmogorov-Smirnov Test: D=0.097, N=445,975, P<0.05), with a larger proportion moving towards Lake Malombe from May to October (G-Test: P<0.05).
Analysis of haplochromine (kambuzi) catches indicates that this directionality is not due to differential catchability because of the direction of the current. Most kambuzi were caught moving towards Lake Malawi (55.6%). Directionality also varied seasonally in these fishes (Kolmogorov-Smirnov Test: D=0.119, N=388,485, P<0.05): kambuzi tend to move towards Lake Malawi in October, December and January and towards Lake Malombe in June (G-test: P<0.05).
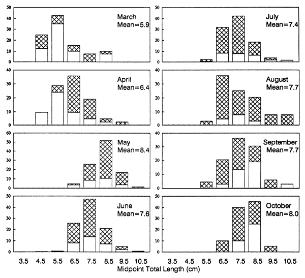
Examination of the length distribution of kasawala caught indicates that the cold season peak in numbers is not due to the selectivity of the fyke net causing kasawala to escape until they had grown to larger sizes. 4– 5 cm juveniles appear as a mode in March, and this cohort can be followed as it progresses to about 9cm in September-October (Figure 2). Rather, the cold season peak appears to be due to movement, perhaps from nursery areas flooded in the rainy season, into the main channel as the water level drops.
3.2 Experimental Gillnetting
Chambo catches per gillnet set varied significantly between months (Kruskal-Wallis Oneway Anova: P<0.001). Chambo were scarce during the cold season (June-August), a pattern generally observed for chambo fisheries operating in shallow water (Lowe 1952). From the beginning to the height of the breeding season, the majority of chambo were caught moving into Lake Malombe, while at the end of the reproductive period, the majority of chambo were moving towards Lake Malawi (Table 1). Thus, it appears that there is a movement into Lake Malombe associated with breeding. However, the relatively low directionality suggests that the movement is more of a meandering, rather uncoordinated trickle of fish, rather than a dramatic salmonid-type migration.
| Table 1. Direction of Chambo Movements in Upper Shire | ||||
| Direction of Movement (Numbers) | ||||
| Towards L. Malombe | Towards L. Malawi | % To Malombe | CPUE | |
| Sept-Nov | 21 | 3 | 87.5 | .44 |
| Dec-Feb | 23 | 15 | 60.5 | .92 |
| Mar-May | 52 | 61 | 46.0 | 1.48 |
| Jun-Aug | 4 | 3 | 57.1 | .08 |
| Total | 100 | 82 | 54.9 | |
| Notes: data pooled into three-month periods because of low sample sizes. Proportions are different between seasons. G-test: G=15.96, 3df, P<0.01. | ||||
3.3 Biological Analysis of Catches in Upper Shire
Biological analysis of gillnets catches indicated that the majority of chambo caught in the experiment were O.karongae and O.squamipinnis, with O.lidole being relatively rare. Seine net catches sampled included a high proportion of O.lidole, almost all spent females, in April. The rarity of this species, except for spent females, is also a feature of Lake Malombe catches, but not of those of Lake Malawi. This is consistent with the hypothesis that O.lidole migrates into Lake Malombe to brood its young, while the other species actually spawn there.
| Table 2 Analysis of Adult Chambo Catches in Upper Shire | |||||||
| Gillnet All | Seines | Combined catches | |||||
| Sep | Oct | Apr | Ripe | Spent | Sex Ratio (F:M) | ||
| O.lidole | 11% | 11% | 9% | 80% | 7% | 25% | 9.4:1 |
| O.squamipinnis | 43% | 0% | 11% | 4% | 2% | 15% | 1.9:1 |
| O.karongae | 47% | 89% | 80% | 16% | 18% | 15% | 1.6:1 |
| N=136 fish from seines, 105 from experimental gillnet. | |||||||
Multivariate morphometric analysis indicated that Oreochromis karongae and O.squamipinnis populations from Lake Malombe were significantly different in body proportions from those of the SE Arm of Lake Malawi (Table 3). Discriminant analysis indicated that the locality of origin of more than 80% of individuals of each species could be unambiguously distinguished on the basis of 7 external body measurements. This analysis suggests that Lake Malombe and Lake Malawi contain largely independent stocks of these two species.
| Table 3. Morphometric Comparisons of Chambo from Lake Malombe & Lake Malawi. | ||||||
| Sample Size | % Correctly Identified | Manova Test | ||||
| Malombe | Malawi | |||||
| O.squamipinnis | 15 | 18 | 82% | F=8.38, | 6,26df | P<0.001 |
| O.karongae | 23 | 20 | 83% | F=7.82, | 6,33df | P<0.001 |
3.3 Experimental Seining
Experimental seining in the Upper Shire showed that there were far fewer chambo, of all sizes above 10cm, in 1991 than in 1973 (Figure 3). Insufficient fish were caught to estimate mortality in 1991, and so mortality rates calculated from catch curve analysis of the 1973 sample, were compared with measurements of fish caught by traditional fishermen's beach seines in Lake Malawi and Lake Malombe in 1991. The mortality rate (Table 3: Z) was substantially higher in 1991 than in 1973. Close agreement on growth parameters lend confidence to the results.
| Table 4. Growth and Mortality Parameters of Chambo from 1973 & 1991 | |||||
| Year | K | to | Linf | Z | r |
| 1973 | 0.42 | -0.13 | 37.0 | 1.52 | -0.927 |
| 1991 | 0.45 | -0.11 | 37.0 | 4.05 | -0.954 |
3.4 Monthly Catch Trends in the Upper Shire River
The mean monthly chambo catches from chambo seines in the Upper Shire River between 1976 and 1991 (CAS boat-based system) are shown on Figure 4. There is a significant difference between monthly catches, with low catches recorded in the cold season months of May to August. Catches were not accurately recorded during the closed season, which lasts from November to March. On the present project (using MTF gear-based system), catches were recorded in all months, and cpues, although exhibiting substantial fluctuations, probably caused by small sample sizes, were at their lowest during the months of May to July. Thus, catch returns confirm the findings of the gillnet experiments that there is a reduction of the density of the chambo stock in the river during the non-breeding season, which suggests that chambo move into, or through, the river to breed.
3.5 Annual Catch Trends in the Upper Shire River
Annual catch and effort figures for the Upper Shire, collected using the CAS system, exhibit considerable year-to-year variation (Tweddle et al. ms), much of which is probably due to sampling and calculation errors (Turner et al. 1992). Much of this noise can be removed by calculating three-year running means of both catch and effort. After performing this smoothing, it is apparent that the chambo catch in the Upper Shire has declined from almost 1000 tonnes per annum in the early in 1980s to the present level of around 100 t (Figure 6a). The proportion of small-meshed gears has been steadily rising since 1980 (Figure 6b). Considering only the large-meshed chambo-targeted gears, annual catch per fishing craft has declined from 8–9 tonnes in the early 1980s to less than 2 tonnes in the 1990s. Between 1976 and 1986, cpue was strongly related (inversely) to fishing effort, as would be expected if the Upper Shire fishery had a strong influence on the exploited chambo population: subsequently, cpue has steadily declined despite a decline in effort (Figure 6c). This is a classic indication that the stock has collapsed due to causes other than the fishery targeted on the adult stock.
This trend almost exactly parallells that of the chambo stock of Lake Malombe (van Zalinge et al 1991), and has probably been caused by the collapse of the Malombe stock, but it could have been a result of the increased use of small-meshed nets within the river itself.
Whereas in Lake Malombe catches of kambuzi have risen to replace the chambo catch in terms of weight, although not in value, the fishermen of the Upper Shire have no such compensation. There are two possible explanations for this: (i) the Upper Shire chambo fishery was previously based on a migratory stock- if, as seems likely, kambuzi do not migrate, then the fishery is now based on the much smaller production of the river itself; (ii) heavy beach seining has destroyed the extensive weed beds which formerly provided a large nursery area for small immature fishes, including juvenile chambo, and which might also have served to trap nutritious sediment (Tweddle, pers. comm.).
Regardless of the explanation, the Upper Shire is now of greatly reduced importance as a fishing ground. The fishery is largely based a migratory stock of breeding adult chambo, which, if not caught in the river, would contribute to the catches of Lake Malombe and Lake Malawi.
4.1 Migration of Chambo
The decline of chambo stocks in the Upper Shire has probably largely obscured former migration patterns, which may have been more clear-cut in the past. It can be concluded that seasonal changes in abundance of chambo in the Upper Shire occur, and some of this, at least, is attributable to movement of chambo stocks between Lake Malombe and Lake Malawi. Migration appears to be gradual and unco-ordinated. Only one species, O.lidole, has definitely been shown to migrate, while it is likely that the majority of the other two species are sedentary.
Patterns of abundance and movement of kasawala are best explained by considering that these are offspring of fish which released their fry in the floodplain of the Upper Shire itself, and which subsequently move, principally, into Lake Malombe, as these areas dry out. Thus, it would appear that the Upper Shire itself is of some importance as a chambo nursery area. If length of marshy shoreline is correlated with the size of the chambo nursery area, then the Upper Shire must be considered to be of substantial importance. The total shoreline of the Upper Shire at 17km, is almost one quarter of Lake Malombe's 72km (Alimoso et al 1991)- in both cases almost all marshy shores.
4.2 Management Options
Given that the decline in the abundance of chambo in the Upper Shire has not been compensated by an increase in kambuzi catches, it is clear that the present situation of the fishery in the river is unsatisfactory. The Upper Shire chambo fishery was mainly based on migrating breeding adults: these fish or their offspring would, if not caught in the river contribute to catches in both Lake Malombe and the SE Arm of Lake Malawi. The destruction of weed beds by seining must also reduce the productivity of the river as a nursery area.
It is recommended that steps be taken to preserve the chambo stocks and weedy nursery areas of the river. Present fishing regulations for the Upper Shire are given in Table 5.
| Table 5 Fishing Regulations on Upper Shire | ||||
| Max Headline Length (m) | Max Depth (m) | Min Mesh (mm) | Closed Season | |
| Chambo Seine | 250 | 10 | 90 | 1 Nov-31 Mar |
| Kambuzi Seine | 100 | 10 | - | 1 Nov-31 Mar |
| Gillnet | - | 3 | 90 | - |
These regulations are largely ignored: of 78 chambo seines measured by the project frame survey in January 1990 (Alimoso et al, 1990), 81% had illegally small mesh sizes and 97% were too deep. 85% of kambuzi and nkatcha nets were longer than the maximum legal length.
Few fishermen, or fisheries department staff, appear to be aware of the mesh size, headline length or depth regulations. However, most are aware of closed seasons. As the district fisheries enforcement office is at Mangochi, in the middle of the Upper Shire, it would be expected that closed seasons would be enforced in this area, at least. However, from CAS figures in 1990, during the closed season months, kambuzi seines operated at 58.3% of their normal activity level, while chambo seines had 2.4 times higher activity than during the open season!
Thus, it appears that the highest degree of illegal fishing occurs in the area where enforcement should be most effective. The reason for this lies in the nature of the fisheries in the river. As previously noted, fisheries in the Upper Shire are mainly based on migratory chambo, which are scarce during the cold season. Outside the river, most seines nets are either small-meshed kambuzi seines, or have headline lengths of over 500m. The short large-meshed seines used in the Upper Shire are ineffective except when chambo are concentrated into a narrow river. Thus, during the closed season, chambo seine owners cannot move their operations into other areas. The regulations might have been appropriate if fishermen were part-time, rather than full-time commercial operators. It seems unreasonable to expect full-time commercial fishermen to be idle for 5 months of the year, especially when the main target species is scarce during most of the open season.
Thus, the existing regulations are unreasonable on the basis of the present fishery. Given the destruction of weed beds which has occurred and the low yields of the kambuzi fishery in the river, it is recommended that seining be completely banned in the Upper Shire River. The loss of catches of less than 500 tonnes per annum, would be compensated by the increase in catches of chambo, and possibly kambuzi and catfish species, in Lakes Malawi and Malombe and by increased yields in gillnet, handline and trap fisheries in the river itself.
Alimoso, S.B., Seisay, M.B.D., van Zalinge, N.P., Mdhaili, M. & Donda, S. (1990) Frame survey of the south east arm of Lake Malawi, the Upper Shire river and Lake Malombe. GOM/UNDP/FAO Chambo Fisheries Research Project, Malawi. FI:DP/MLW/8/013, Field Document 5. 34pp.
Alimoso, S.B., Tweddle, D. & Sodzapanja, G. (1991) Aerial and ground surveys of the distribution and abundance of fishing craft and gears in Lakes Malawi and Malombe and the Upper Shire River, 1972–1990. Traditional Fisheries Assessment Project Working Paper TFAP/10. 28pp.
Flury, B. & Riedwyl, H. 1988. Multivariate Statistics: a Practical Approach. London: Chapman & Hall.
Lewis, D.S.C. (1990) A review of the research conducted on chambo (Oreochromis spp.) and the chambo fisheries of Lakes Malawi and Malombe, 1859–1985. Collected Reports of Fisheries Research in Malawi 1: 5–22.
Lowe, R.H. (1952) Report on the Tilapia and other fish and fisheries of Lake Nyasa. Fishery Publications of the Colonial Office 1: 1–126.
Sparre, P., Ursin, E. & Venema, S.C. (1989) Introduction to tropical fish stock assessment. FAO Fisheries Technical Paper 306.1: 337pp.
Thorpe, R.S. (1976) Biometric analysis of geographic variation and racial affinities. Biological Reviews 51: 407–452.
Turner, G.F. (1990) Report on field work August 1989–January 1990. ODA Oreochromis lidole project R4334. Unpublished report.
van Zalinge, N.P., Alimoso, S.B., Donda, S.J., Mdaihli, M., Seisay, M.B.D. & Turner, G.F. (1991) Preliminary note on the decline of chambo catches in Lake Malombe. FI:DP/MLW/86/013. Field Document 9. 9pp.
Artisanal Fishery: a small-scale commercial fishing operation, using various nets and small planked boats or canoes, powered manually or by outboard engine. (chambo & kambuzi seine (qv) nets, nkatcha net (qv), chirimila net (qv), gillnet). Generally referred to in Malawi as ‘Traditional Fisheries’.
Bottom Trawl: Demersal trawl operated by a single boat, usually in water deeper than 50m.
Chambo: 3 endemic species of tilapiine cichlids classified within the subgenus Nyasalapia of the genus Oreochromis.
Chambo Seine: a large-meshed beach seine targeted on chambo (qv).
Chirimila Net: a small seine net used clear of the bottom to catch usipa (qv), utaka (qv) and ncheni (qv).
Chisawasawa: chichewa name for some categories of demersal haplochromine cichlids (qv): (i) large species caught by gillnets; (ii) small species caught by pair trawls (qv); (iii) all species caught by Maldeco Fisheries (qv).
Copadichromis: small zooplankton-feeding haplochromine cichlids (qv). Mostly found inshore in shallow waters, a few metres above the bottom (‘semipelagic’).
CPUE: catch per unit effort. Weight of fish caught in a given unit of time by a standard type of fishing craft. A direct measure of the density of fish in the environment.
Diplotaxodon: a genus of haplochromine cichlids (qv) endemic to Lake Malawi, confined to waters with a bottom depth greater than 20m. Most species are undescribed. The most important food fishes are small pelagic zooplankton feeders- ecological counterparts to Limnothrissa of Lake Tanganyika.
Endemic: naturally-occurring exclusively within a specific area (NB not to be confused with indigenous, which means naturally-occurring within a specific area, but not necessarily only that area).
Fatch: Mr. F.Fatch. Prior to 1992, the only semi-industrial (qv) fishing operator to use a technique other than pair trawling (qv). Owner of a bottom trawl (qv) unit in the S.E.Arm and a pair trawl unit in the S.W.Arm.
Fox Model: a surplus production model for the calculation of the MSY (qv) of a fishery. It is based on a regression of the logarithm of cpue on effort. Appropriate for fish stocks which do not collapse suddenly at high levels of exploitation.
Fmsy: Fishing effort required to produce the MSY (qv).
Haplochromines: demersal, pelagic and semipelagic cichlids of the haplochromine tribe of the family cichlidae. Mostly, but not all, small species.
Industrial Fishery: fishing operation with a high degree of capitalisation, including considerable investment in onshore landing, processing, repair and transport facilities.
Kambuzi: small cichlids caught by seine nets. Mostly small demersal species, but also including juveniles of larger demersal and pelagic species.
Kambuzi Seine: a small-meshed beach seine targeted on kambuzi (qv), usipa (qv) or immature chambo (qv).
Kampango: Bagrus meridionalis, a large predatory catfish.
Lethrinops: a genus of haplochromine cichlids (qv) endemic to Lake Malawi and associated water bodies. Includes most of the important demersal species exploited by trawl fisheries.
Maldeco: Maldeco Fisheries Limited, a subsidiary of Press Incorporated. The only industrial fishing (qv) company presently operating in Malawi.
Mbaba: chichewa name for large demersal haplochromine cichlids (qv) caught by seines or pair trawls (qv).
Mechanised Fishery: a fishery operated by larger craft, using inboard engines (includes both industrial (qv) and semi-industrial (qv) fisheries). Generally referred to as ‘Commercial Fisheries’ in Malawi.
Midwater Trawl: a semipelagic trawl, in which heavy otter boards are set to drag the bottom, but the net is weighted to float clear of the substrate.
MSY: Maximum sustainable yield. The largest weight of fish which can be caught in a given time period (usually one year), without causing a reduction in catch rates in future years.
Ncheni: chichewa name for haplochromine (qv) cichlids of the genus Rhamphochromis (qv).
Ndunduma: chichewa name for haplochromine (qv) cichlids of the genus Diplotaxodon (qv).
Nkatcha Net: a seine net operated from two boats, which is hauled along the bottom and closed (‘pursed’) by a diver.
Pair Trawl: a demersal trawl, without otter boards, pulled by two craft.
Rhamphochromis: a genus of haplochromine cichlids (qv), endemic to Lake Malawi & associated water bodies. Surface-living fish-eaters. Some species are truly pelagic, others inshore-living. Ecological counterparts to Luciolates stappersi and Bathybates of Lake Tanganyika.
Ringnet: a purse seine operated by Maldeco Fisheries (qv). Presently operated by pairs of inboard-powered boats and manually-hauled. Mostly used with 102mm mesh and catching almost exclusively adult chambo (qv).
Schaefer Model: a surplus production model for the calculation of the maximum sustainable yield of a fishery. Based on a linear regression of cpue on effort. Appropriate for fish stocks which show dramatic declines at high fishing effort.
Semi-Industrial Fishery: a mechanised (qv) fishing operation characterised by little or no investment in onshore facilities.
Subsistence Fishery: small scale fishing operation, using inexpensive gears, and producing small catches, often mainly for home consumption (fish trap, handline, longline, cast net, scoop net).
Usipa: a small pelagic cyprinid, Engraulicypris sardella, endemic to Lake Malawi and associated water bodies. Ecological counterpart to Rastrineobola in Lake Victoria and Stolothrissa in Lake Tanganyika.
Utaka: chichewa name for small zooplankton-feeding haplochromine (qv) cichlids, mostly of the genus Copadichromis (qv). Mostly found inshore in shallow waters, a few metres above the bottom, and thus referred to as ‘semipelagic’.

Figure 1. Juvenile chambo (kasawala) are most numerous in the Upper Shire River between May and July. Data: 1420 fish caught from 297 sets of experimental fyke nets between September 1990 and September 1991.

Figure 2. Percentage length compostion of kasawala catches from experimental fyke netting in the Upper Shire River. Hatching indicates fish moving towards Lake Malombe. Note that the smallest fish, of 4.5–5.5cm appear in the catch in March and April, and not during the months of peak abundance in May to July, suggesting that the high catches in those months are due to immigration into the main channel of the Shire.

Figure 3. Comparison of experimental seine catches of chambo & kasawala at Green Beach, Mangochi, Upper Shire River in October 1973 and October 1991, indicates a marked decline in abundance at all sizes from 10cm upwards. 1973– 7 hauls of a beach seine of 60m headline length and 20mm mesh size, 1991– 54 hauls of 80m seine with 20mm mesh.

Figure 4. Mean (and 95% confidence intervals) monthly chambo catches in the Upper Shire River, 1976–1991, from CAS data, indicate a reduction in catch during the cold season months of May to August. The large confidence intervals are partly due to the decline in chambo stock density during the time period surveyed.

Figure 5. Mean monthly CPUE of the chambo seine fishery, also indicates a reduction in chambo stock density in the river during the cold season months. Data from MTF June 1990 to March 1992.

Fig 6a. There has been a marked decline in the chambo catch in the Upper Shire since the mid-1980s. Unlike Lake Malombe, there has been no compensatory increase in kambuzi '(haplochromine) catches. The poor quality of available data on effort means that effort and CPUE figures must be estimated indirectly.
NB: Catch figures are three-year running averages, centred on the indicated year.

Fig 6b. There is a significant linear
relationship between the proportion
of small-meshed gears and the
year. The equation of the line is:
P=0.024year-1.863
R=0.902, 7df, P<0.001
Thus, the proportion of craft fishing
for small species is estimated
from this relationship. For the years
1976 to 1981 a figure of 0.1 is
assumed.
NB: no frame survey is available for 1982, 1987, or prior to 1981.

Fig 6c. CPUE v Effort for chambo in Upper Shire. Effort has been adjusted to remove the small-meshed seines which are targetted on haplochromine cichlids. CPUE and effort show a negative correlation between 1976 and 1986, after which effort has declined without an increase in CPUE (arrows). This indicates that the chambo stock size is no longer dependent on the fishing effort of the chambo-targetted gears in the river.
NB: line fitted by eye. Catch and effort are 3 year running averages, centred on the year shown.
LIST OF CHAMBO FISHERIES RESEARCH REPORTS
A. FIELD DOCUMENTS
STATISTICAL AND COMPUTING ASPECTS IN DEVELOPING STATISTICAL SYSTEMS IN MALAWI by C. Stamatopoulos. Field Document 1, July 1989.
PREPARATION OF A BASELINE SURVEY OF THE ARTISANAL FISHERIES ON LAKE MALAWI by B. Horemans. Field Document 2, February 1990.
STATISTICAL AND COMPUTING ASPECTS OF THE CHAMBO FISHERIES by R. Mahon. Field Document 3, June 1990.
A DATABASE FOR THE TRADITIONAL CHAMBO FISHERIES STATISTICAL SURVEY by R. Mahon., S. Alimoso, C. Stamatopoulos, and N.P. van Zalinge. Field Document 4, June 1990.
FRAME SURVEY OF THE SOUTH EAST ARM OF LAKE MALAWI, THE UPPER SHIRE RIVER AND LAKE MALOMBE by S.B. Alimoso, M.B.D. Seisay, N.P. van Zalinge, M. Mdaihli and S. Donda. Field Document 5, July 1990.
AN EFFICIENT METHOD FOR CATCH-EFFORT SAMPLING OF THE ARTISANAL CHAMBO FISHERIES OF THE SOUTH EAST ARM OF LAKE MALAWI, THE UPPER SHIRE RIVER AND LAKE MALOMBE by S.B. Alimoso, M.B.D. Seisay and N. P. van Zalinge. Field Document 6, March 1991.
MTF - MALAWI TRADITIONAL FISHERIES, COMPUTER USER MANUAL by C. Stamatopoulos. Field Document 7, March 1991.
ESTIMATION OF CONVERSION FACTORS FOR CONTAINERS USED IN TRADITIONAL FISHERIES FOR CHAMBO by M.B.D. Seisay and J. Phiri. Field Document 8, July 1991.
PRELIMINARY NOTE ON THE DECLINE OF THE CHAMBO CATCHES IN LAKE MALOMBE by N.P. van Zalinge, S.B. Alimoso, S.J. Donda, M. Mdaihli, M.B.D. Seisay and G.F. Turner. Field Document 9, March 1991.
FISH MARKETING IN THE MANGOCHI AREA OF MALAWI by D.S. Liao. Field Document 10, November 1990.
FISHERMAN-ENTREPRENEURS - A BASELINE SURVEY by M. Mdaihli and S. Donda. Field Document 11, July 1991.
THE ECONOMIC STATUS OF CREW MEMBERS by M. Mdaihli and S. Donda. Field Document 12, June 1991.
THE ROLE OF WOMEN IN CHAMBO FISHERIES by M. Mdaihli and S. Donda. Field Document 13, June 1991.
AN EVALUATION OF THE MALAWI CATCH ASSESSMENT SURVEY SYSTEM FOR TRADITIONAL FISHERIES by G.F. Turner, M.B.D. Seisay and N.P. van Zalinge. Field Document 14, March 1992.
VALIDITY CHECK IN CATCH EFFORT SAMPLING IN THE TRADITIONAL CHAMBO FISHERIES IN THE SOUTH-EAST ARM OF LAKE MALAWI, THE UPPER SHIRE RIVER AND LAKE MALOMBE by M.B.D. Seisay, H.J. Phiri and P.K. Mpezeni. Field Document 15, October 1991.
FISH MARKETING IN LAKE MALOMBE, THE UPPER SHIRE RIVER AND THE SOUTH-EAST ARM OF LAKE MALAWI by M. Mdaihli, M. M. Hara and M.C. Banda. Field Document 16, March 1992.
PROFITABILITY OF FISHING IN LAKE MALOMBE, THE UPPER SHIRE RIVER AND THE SOUTH-EAST ARM OF LAKE MALAWI by M. Mdaihli and S. J. Donda. Field Document 17, July 1992.
RELATIONSHIPS BETWEEN CHAMBO STOCKS OF LAKES MALOMBE AND MALAWI AND THE UPPER SHIRE RIVER by M.B.D. Seisay, G.F. Turner and N.P. van Zalinge. Field Document 18, July 1992.
POPULATION DYNAMICS AND STOCK ESTIMATES OF CHAMBO (OREOCHROMIS SPP.) IN THE SOUTH-EAST ARM AND LAKE MALOMBE - LENGTH BASED APPROACH by M.B.D. Seisay, N.P. van Zalinge and G.F. Turner. Field Document 19, July 1992.
AGE AND GROWTH PARAMETERS OF CHAMBO (OREOCHROMIS SPP.) IN THE SOUTH-EAST ARM OF LAKE MALAWI, AS DETERMINED FROM OPERCULAR BONES by M.C. Banda. Field Document 20, July 1992.
DISTRIBUTION AND BIOLOGY OF CHAMBO (OREOCHROMIS SPP.) IN LAKES MALAWI AND MALOMBE by G.F. Turner and N.C. Mwanyama. Field Document 21, July 1992.
A BIO-ECONOMIC ANALYSIS FOR SOME OF THE INDUSTRIAL AND SEMI-INDUSTRIAL FISHERIES OF SOUTHERN LAKE MALAWI by G.F. Turner and M. Mdaihli. Field Document 22, July 1992.
MECHANIZED FISHERIES OF LAKE MALAWI by G.F. Turner. Field Document 23, July 1992.
PREDICTIVE MODEL FOR THE LAKE MALOMBE FISHERIES by N.P. van Zalinge, M. Mdaihli, G.F. Turner, and M.B.D. Seisay. Field Document 24, July 1992.
REPORT ON FISHERIES LEGISLATION IN MALAWI by A. van Houtte. Field Document 25, July 1992.
THE MANAGEMENT PLAN FOR THE COMMERCIAL FISHERIES OF LAKE MALOMBE, THE UPPER SHIRE RIVER AND THE SOUTH-EAST ARM OF LAKE MALAWI by the Ad-Hoc committee established at the Chambo Fisheries Research Project's workshop on 11 July 1992. Field Document 26, October 1992.
B. TECHNICAL PAPERS
FISHERIES MANAGEMENT IN THE SOUTH-EAST ARM OF LAKE MALAWI, THE UPPER SHIRE RIVER AND LAKE MALOMBE, WITH PARTICULAR REFERENCE TO THE FISHERIES ON CHAMBO (OREOCHROMIS SPP.). REPORT ON THE WORKSHOP HELD AT MANGOCHI, 8–11 JULY 1992. Technical Paper 1, August 1992.
C. OTHER REPORTS
IDENTIFICATION OF OREOCHROMIS SPECIES FROM LAKE MALAWI USING MITOCHONDRIAL DNA by D.M. Reid, R.N. Zaba and T. J. Pitcher, FAO, Rome 1990.