Due to the multispecies nature of the fisheries of Lake Malawi and associated water bodies, assessment of the state of the various fisheries requires that an accurate series of catch and effort figures be available. A high degree of precision in estimates enables trends to be rapidly detected, local overfishing of sedentary stocks to be identified, and appropriate corrective action to be taken by the Malawi Fisheries Department (FD).
Since 1976, the FD has monitored the traditional fisheries using a boat-based catch assessment system (CAS) developed by Bazigos (1974) and introduced to Malawi by Walker (1976). The results have recently been summarised in a series of papers by Tweddle et al (in prep.). Previous evaluations of the system (Alimoso 1988, Stamatopoulos 1989, Mahon 1990) have expressed doubts over the reliability of the raw data collection and pointed out that the activity of gears operated by two boats will not be correctly calculated from a boat-based raising factor. Also, it is apparent that in some years, particular gears may be severely under- or over-sampled, a problem especially acute with relatively rare gears which make large catches, such as Chambo Seines (Alimoso & Tweddle in prep).
From February 1988–Feb 1989, a gear-based sampling system was used to assess the seine net fisheries of Lake Malombe (Alimoso & Tweddle in prep). This revealed, in addition to the expected inaccuracy of estimation of the chambo seine fishery, that the boat-based system gave an effort estimate for the other seines which was approximately twice as high as that of the gearbased system. However, the overall seine net catch estimate was found to be within 9% of that of the gear-based system.
Since 1990, the Chambo Fisheries Research Project has employed a gear-based sampling system (MTF- Malawi Traditional Fisheries) to assess the traditional seine and gillnet fisheries of Lake Malombe, the Upper Shire River and the South East Arm of Lake Malawi (Alimoso et al 1990). Design and operation of the database system, which performs analysis from the raw data stage, is described by Alimoso et al (1990) and Stamatopoulos (1990). The results of this analysis are compared with those of the CAS, and further investigation into past estimates are performed.
Of the 13 comparisons between gears and locations, estimates from the two systems differed by more than 50% in catch in 9, and in effort in 10, cases. Most spectacularly, the Nkatcha Seine effort estimate was almost 7.4 times higher in the MTF system. Total production estimates in the Upper Shire differed by 90% and in the SE Arm of Lake Malawi by 29%, although that of Lake Malombe showed little difference between the two systems (7%). In all gears in all areas, the CAS system showed considerably larger fluctuations between months in both catch and effort (see for example Figure 1) indicating, unequivocally, the greater sensitivity of the MTF system. Effort and CPUE figures from the CAS must thus be considered highly unreliable, while monthly trends are entirely obscured by ‘noise’.
| Table I. Comparison of Total Catch and Effort Estimates for All Species, for 1991, from MTF and CAS systems (MTF estimate first). Inconsistencies of more than 50% are asterisked. | ||||||
| a. Total Catch (tonnes) | ||||||
| Lake Malombe MTF/CAS | Upper Shire MTF/CAS | SE Arm Lake Malawi MTF/CAS | ||||
| Chirimila | - | - | 2387/3443 | |||
| Chambo Seine | 53/157 | * | 88/48 | * | 552/1532 | * |
| Gillnet | 956/912 | 3/16 | * | 660/1161 | * | |
| Kambuzi Seine | 1444/5667 | * | 2/44 | * | 1003/1861 | * |
| Nkatcha | 6332/2696 | * | 403/174 | * | 801/- | * |
| Total | 8784/9432 | 496/282 | * | 5402/7997 | ||
| 7% | 76% | 48% | ||||
| b. Chambo Catch (tonnes) | ||||||
| Lake Malombe MTF/CAS | Upper Shire MTF/CAS | SE Arm Lake Malawi MTF/CAS | ||||
| Chirimila | - | - | 154/424 | * | ||
| Chambo Seine | 31/105 | * | 69/41 | * | 543/1523 | * |
| Gillnet | 377/389 | -/1 | * | 490/745 | ||
| Kambuzi Seine | 23/19 | -/- | 26/54 | * | ||
| Nkatcha | 10/9 | -/1 | * | 11/- | * | |
| Total | 441/522 | 70/42 | * | 1224/2746 | * | |
| 18% | 67% | 124% | ||||
| c. Annual Effort (thousands of pulls/sets) | ||||||
| Lake Malombe MTF/CAS | Upper Shire MTF/CAS | SE Arm Lake Malawi MTF/CAS | ||||
| Chirimila | - | - | 228/233 | |||
| Chambo Seine | 0.5/0.7 | 9/3 | * | 4/15 | * | |
| Gillnet | 75/41 | * | 0.5/3 | * | 225/426 | * |
| Kambuzi Seine | 24/99 | * | 0.4/3 | * | 3/3 | |
| Nkatcha | 559/76 | * | 21/3 | * | 36/- | * |
Over large time periods, such as a year, total production estimates of the CAS for all gears combined would appear to be of some value, particularly in areas, such as Lake Malombe, where there is a high overall catch. The value of this data for stock assessment is limited, unless adequate smoothing of effort estimates is performed.
3. EVALUATION OF THE PERFORMANCE OF THE CAS, 1976–1991
3.1 Overall Production Figures
As illustrated by the comparison with the MTF system, the CAS, like any other sampling system, performs more reliably when a larger number of samples are involved, i.e. when a large number of individual fishing operations, gear types, months and minor strata are combined. Thus, it might be expected to give reliable estimates for the total production figures for the SE Arm of Lake Malawi, which is sampled through 6 minor strata and in 1990 included 1725 fishing craft operating from 133 beaches (Alimoso et al, in prep).
However, the total annual catch estimates for all fish species from the four major gear types exhibit bewildering fluctuations from one year to the next (Fig. 3a). Environmental variation is unlikely to affect all the several hundred fish species exploited by the traditional fishermen in the area, moreover, there is no correlation between changes in the annual catches of the commercial and traditional fisheries, as would be expected if environmental factors had a strong influence on annual catches. This can be illustrated by a comparison with the total production figures for the commercial fishery (Fig 3b). Although the latter is more likely to be greatly influenced by the presence or absence of a single vessel, the mean change in total production between consecutive years is three times larger in the traditional than in the commercial fishery (Table II). This is not the result of a more rapid directional change in the traditional fishery: although the overall trend is towards increased catches, 8 of the 14 changes in annual catches (1976–1991) are downwards!
| Table II. Comparison of Variation in Catch Estimates of Traditional and Commercial Fisheries in the SE Arm of Lake Malawi. | |||
| Number of Craft (1990) | Mean Annual Change in Catch (1976–1990) | Range | |
| raditional | 1725 | 34% | 4–110% |
| Commercial | 14 | 13% | 2–36% |
3.2 Sources of Error in CAS
The following sources of error have been identified as contributing towards the unreliability of the CAS:
3.2.1. Errors of data entry.
The data recording forms used in the system are excessively complex, and data is often recorded in the wrong column, or transcribed in the calculation process into the wrong column. This frequently leads to misassignment between gears or between fish species, or, for example, the replacement of seine net effort in pulls with the gear headline length in 100m units (the standard gillnet unit). For example, in 1981, this led to an overestimation of annual chambo seine effort in Lake Malombe by a factor of 4, while catch was more than 50% underestimated (Appendix 2). The underestimation was due to the catch being assigned to gillnets. These errors explain the tendency of the system to give reasonable overall production estimates (Alimoso & Tweddle, in prep., and section 2 above) and wildly inaccurate effort estimates, as well as inaccurate estimates of catches by gear or species, since the total catch estimate is unaffected by misassignment between columns. This makes it imperative that all raw data calculations in the CAS be thoroughly rechecked.
3.2.2 Errors in calculation.
All calculations except those of adding together monthly catch and effort estimates are presently performed manually. Processing is done by manual transcription between a number of forms. This has frequently led to errors in computation (see appendices 2 & 3). Most of these have been identified and rectified in the course of the Traditional Fisheries Assessment Project, but the system remains manually executed and further such errors can be expected to accumulate in future, unless thorough supervision is maintained.
3.2.3 Failures of gear coverage.
Selection of beaches is currently carried out with regard to the number of operational craft counted in the frame survey of the previous August. No gear targeting is performed. This frequently leads to gears being under- or over-sampled. The tendency of this to produce unreliable estimates of relatively rare gears, even those with large overall catches such as Chambo Seines in Lake Malombe, has already been documented (Alimoso & Tweddle in prep). However, even the relatively abundant gillnets in MS 2.2 were completely unrecorded in 1987 and 1988 (see Appendix 1), and such biases must regularly contribute considerable noise to the estimates.
3.2.4 Effort estimates of gears operated by more than one craft.
Concern has been expressed about the estimation of catch and effort of gears normally operated by two craft (Alimoso 1988; Mahon 1990). Generally, catch and effort are recorded for a single fishing unit (i.e. two craft, if required), but raised estimates are based on the ratio of the number of fishing craft in the minor stratum to that on the fishing beach. Unless the proportion of two craft-operated gears on the beach is the same as that in the whole minor stratum, a biased estimate will occur. Chirimila nets, the most numerous gear in Lake Malawi, are operated by two or three craft, while the main gear in Lake Malombe, the Nkatcha net is operated by two plank boats. Therefore this is a major source of bias.
3.2.5 Over-raising of estimates from small beaches.
The catch and effort of each operation recorded is raised by multiplying by the ratio of the number of craft in the whole MS to the number on the sampled beach. These figures are then divided by four and added together to average across the four sampled beaches. This means that the contribution of an observed catch to the total estimate is inversely proportional to the number of craft on the beach. For example, consider two seine nets operating in a minor stratum (MS) of 250 craft, each catching 100kg with a single pull:
| Craft in MS | Craft on Beach | Sample Catch(kg) | Sample Effort | Estimated Seine Catch(kg) | |
| Beach A | 250 | 1 | 100 | 1 | (250/1)*100=25,000 |
| Beach B | 250 | 50 | 100 | 1 | (250/50)*100=500 |
| Total Estimate | (25,000+500)/4=6375 | ||||
Consider the effect on the estimate if either of the two nets has bad luck and only catches 10kg:
| Catch on Beach A | Catch on Beach B | Estimated Catch |
| 10kg | 100kg | (2,500+500)/4=750 |
| 100kg | 10kg | (25,000+50)/4=6263 |
Thus, identical distribution of catches by identical gears can produce estimates of catches which differ by almost an order of magnitude!
Inevitably, small beaches contain few gears to be sampled, and exceptionally good or bad catches by a single net often have huge effects on overall estimates. The erroneous recording of the headline length in place of the effort for a chambo seine at such a small beach could easily double the estimate of the entire annual chambo seine effort for all of Lake Malombe!
3.2.6 Absence of data on gear headline length.
Under CAS, headline length is only recorded for gillnets. The absence of data on headline lengths of seines means that a change in the mean headline length of a gear will go unrecorded. Such a change would lead to changes in CPUE, even though there may be no effect on stock biomass. For example, there has been a reduction in mean CPUE with increasing effort of Kambuzi Seines in Lake Malombe. This could either be due to a reduction in stock biomass, or a reduction in mean headline length of seines. The latter must be considered likely, as the increasingly popular Nkatcha Seine (which is generally recorded as a Kambuzi Seine), has a smaller headline length and a smaller CPUE than an average shore-pulled Kambuzi Seine. Since it is impossible to know which of these has occurred, it is impossible to determine the state of the kambuzi stocks in Lake Malombe: the answer will only become apparent if severe overfishing occurs and a collapse in total production is sustained for a sufficient number of years to overcome the noise in the estimates. By then the kambuzi fishery, like the chambo fishery, in Lake Malombe will be devastated for years to come.
3.2.7 Motivation and ability of field recorders.
There is no evidence that field recorders have been neglectful of their duties, nor found them to be unduly difficult. There is no evidence of falsification of data. There is no sign of undue constancy of catch records, and where raw data has been reanalysed, clear trends are visible. Field recorders have frequently added comments about the reasons for lack of data recorded, even where this has been a result of their own personal problems. Additional information on the size of gears or species categorised as ‘others’ is often added to forms, and this suggests considerable interest and motivation.
However, misallocation of data to the wrong columns within a form is responsible for many errors, and while this can, in most cases be detected by a competent analyst, it has frequently been overlooked. The accuracy of the data can only be improved by the closer supervision of field staff, and by regular training.
The MTF system has been specifically designed in the light of a detailed analysis of the shortcomings of the CAS system. It is a fully computerised, gear-based system with simple unambiguous recording forms. The system has been in use for more than 18 months and the computerised data analysis system has been improved through regular consultation between the system programmer and field workers familiar with the use of the system. Its results clearly show trends over short time periods and give reliable estimates of catch and effort for all gears monitored. As Malawi has moved from a situation where enthusiastic expansion of fisheries could be encouraged, to the present state of almost full exploitation, or in some cases overexploitation, of stocks, the need for rapid production of reliable fisheries statistics is essential if the Fisheries Department is to adequately perform its role of monitoring and managing the fish resources of Malawi.
5.1 The adoption, on a nationwide basis, of a fully automated system for the analysis of catch and effort statistics is strongly urged. The MTF system is already available as a complete package in a workable version. A similar such opportunity may not present itself for several years.
5.2 If the MTF System is not to be adopted, the following alterations are required to produce adequate, error free estimates:
5.2.1 To avoid problems of lack of gear coverage, gear-targeting must be practised. The use of gear-based raising factors would greatly reduce the errors in effort and CPUE estimates.
5.2.2 The biases produced by exaggerated raising of the catch and effort on small beaches should be eliminated. Thus the system of beach selection should be altered, and the catch and effort recorded raised to a single factor for all beaches.
5.2.3 Account should be taken of the use of several craft to operate the majority of fishing gears in Malawi. This is not a problem with a gear-based system.
5.2.4 Recording forms should be redesigned to eliminate ambiguity.
5.2.5 Important developments in gear design and use should be incorporated into the system, and reflected in the redesign of forms to incorporate new types of gears, such as the Nkatcha Net.
5.2.6 Headline length and mesh sizes of all gears should be recorded on both frame and catch/effort surveys. This should be rectified immediately, by the introduction of an improved frame survey form before August 1992.
5.2.7 A fully automated data analysis system should be programmed for the calculation of estimates. An experienced computer programmer would be required, and the system should be first tested for a lengthy period, and the programme and sampling system modified in the light of any ‘bugs’ detected in its workings.
5.3 Existing raw data collected under the CAS should be carefully preserved and filed, and at the earliest opportunity, reanalysed. Finance should be provided for the provision of adequate shelving and file boxes to enable the raw data sheets to be preserved.
5.4 Collection and analysis of fisheries statistics should be placed under the responsibility of a well-qualified and capable staff member, who should be concerned exclusively with this work. This officer should be based at Monkey Bay, where contact with, and supervision of, the field workers familiar with the major fisheries of Malawi would be most easily maintained.
5.5 It is recommended that field staff should be closely supervised, and their data analysed immediately (preferably within the month), so that erroneous practises can be eliminated before too much time has elapsed. Such rapid response would also allow sampling beaches to be changed if gear coverage had proved to be inadequate.
5.6 Well-motivated, well-trained field recorders should be employed where possible. If financial considerations do not permit the use throughout of technical assistants for this purpose, then they should be employed in the most critical areas of the country, such as the SE and SW Arms of Lake Malawi, and especially in Lake Malombe.
5.7 The Fisheries Department should urgently consider the adoption of a new statistical system, so that its implementation can begin without delay on a nationwide basis. Training of field recorders should begin immediately, and the full introduction of the new system implemented before the end of the year.
Alimoso, S.B. (1988) A review of the present systems of collecting fisheries statistics from Malawi waters. Report of the SADCC Fisheries Statistics Workshop, Lusaka, Zambia 1988.
Alimoso, S.B. & Tweddle, D. (in prep.) Seine net fisheries of Lake Malombe.
Alimoso, S.B., Tweddle, D. & Sodjapanza, G. (in prep) Aerial and ground surveys of the distribution and abundance of fishing craft and gears in Lakes Malawi and Malombe and the Upper Shire River 1972–1990.
Alimoso, S.B. Seisay, M.B.D. & van Zalinge, N.P. (1991) An efficient method for catch-effort sampling of the artisanal chambo fisheries of the South East Arm of Lake Malawi, the Upper Shire River and Lake Malombe. MLW/86/013 Field Document 6.
Mahon, R. (1990) Statistical and computing aspects of the chambo fisheries. MLW/86/013 Field Document 3.
Stamatopoulos, C. (1990) Statistical and computing aspects in developing statistical systems in Malawi. MLW/86/013 Field Document 1.
Stamatopoulos, C. (1991) MTF- Malawi traditional fisheries, computer user manual. MLW/86/013 Field Document 7.
Tweddle, D., Alimoso, S.B. & Sodjapanza, G. (in prep). Analysis of Lake Malombe catch & effort data 1976–1989. Analysis of catch and effort data from the S.E. Arm of Lake Malawi 1976–1989. Analysis of catch and effort data from the Upper Shire River 1976–1989.
Figure 1. Comparison of CAS and MTF Statistical Systems
| A. Total Chambo Catch, SE Arm Lake Malawi 1991 | B. Total Chambo Catch, Lake Malombe 1991 |
![]() | ![]() |
In both lakes, MTF gives a clear pattern of high chambo catches during the breeding season, with a decline in the cold season. The decline in SE Arm catches in November & December is attributable to the close season for seines. CAS shows huge inexplicable fluctuations, which obscure any trends.
C. NK & KS Effort, Lake Malombe 1991 | D. Chambo Seine Catch, Lake Malombe 1991 |
![]() | ![]() |
C. MTF gives a picture of consistently high kambuzi and nkatcha seine activity,
except during the closed season (Jan–Mar). CAS records a peak of activity in
Apr–Jun, and a second in December, with an inexplicable drop between.
D.MTF records consistent low chambo seine catches in all months outside
the closed season (Nov–Dec). CAS gives huge catches during March and April,
and zero catch for the rest of the year.
Overall MTF gives consistent comprehensible trends throughout the year, while CAS shows large inexplicable variations between months. These are almost certainly a reflection of sampling errors.
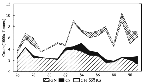
Figure 2. Comparison of CAS & MTF Statistical Systems:
Catch & Effort Estimates by Gear for 1991
| Catch Estimates | |
| Lake Malombe | SE Arm L.Malawi |
![]() | ![]() |
| Effort Estimates | |
| Lake Malombe | SE Arm L.Malawi |
![]() | ![]() |
CH= Chirimila Net
CS= Chambo Seine
GN= Gillnet
KS= Kambuzi Seine
NK= Nkatcha Net
Large inconsistencies between the systems are apparent. Note especially the differences between nkatcha seine catch and effort figures in Lake Malombe and the chirimila and chambo seine catches and gillnet effort in Lake Malawi. The difference in kambuzi seine and nkatcha net catch figures in Lake Malombe may be a result of confusion between the gears by the CAS recorders. No nkatcha net activity was recorded in Lake Malawi by the CAS.
Figure 3a Trends in Traditional Fisheries Catches (CAS Estimates) S.E. Arm Lake Malawi

Figure 3b Comparison of Annual % Change in Catches of Commercial and Traditional Fisheries (CAS) in SE Arm, Lake Malawi.

Much greater variation is shown by traditional fisheries estimates, suggesting that sampling error, and not environmental factors are responsible. The smaller number of commercial craft (14 v 1725) would tend to cause larger variations in commercial figures.

Figure 4. Comparison of effort estimates from CAS and frame survey for gillnets in minor stratum 2.1. Although based on a single sample per year, the frame survey provides a more consistent estimate of effort than CAS. (Effort standardised by dividing by the mean annual estimate, 1987 figure for frame survey extrapolated).
Figure 5. Effect of Error Checking on Chambo Seine Catch and Effort Data from CAS, SE Arm Lake Malawi, 1981–1991.
![]() | A. Catch estimates show little effect of errors. of total catch estimates by an average of 4.8%. |
| B. Effort estimates were affected by an average of 51.6%. | ![]() |
![]() | C.CPUE figures were most severely influenced by computation errors: on average 96.3% error was detected. However, even elimination of this error does not produce a clear picture. |
Computation errors were mainly a result of misallocation of data between rows in worksheets. This type of error strongly affects effort estimates but has little effect on catch figures.
Consequently, the data is useful for indicating catch trends, but cannot be used for surplus production models.
APPENDIX 1:
Gillnet Fishery South of Boadzulu Island 1984–1991
To study the properties of the CAS data at its best, the gillnet fishery south of Boadzulu Island was selected for the following reasons:
previous work suggested that the CAS might give unreliable results for seines;
gillnets are likely to have a relatively constant activity level, since fishing is less likely to be affected by weather than, say, chirimila nets which have to fish offshore;
the 100yd (approx 100m) length of gillnet set has been the standard unit of effort employed in assessment of the traditional fisheries for chambo and catfish, and therefore it is important to know if CPUE estimates are accurate;
the large number of gillnet units operating in the area should damp out any noise in the sampling system, since they are unlikely to be missed through a biased beach selection;
useful comparisons can be made between the two minor strata in the area (2.1 & 2.2), since the lake is narrow and sheltered at the southern tip and fishermen often cross from beaches at one side to fish at the other, and are thus likely to be fishing the same stock;
the period 1984–1991 was selected for analysis, as examination of other data sets from the CAS indicated that maximum consistency was obtained during this period.
The following results were obtained:
Total annual catches were tremendously variable: for example, the estimated catch in MS 2.1 dropped from almost 1300t in 1990 to virtually nothing in 1991, although the frame survey recorded 59.3km of gillnets in the MS in August 1991. Annual effort estimates were even more variable and showed no correlation with CPUE.
Despite the considerable number of gillnets in the area, no gillnet activity was recorded in MS 2.2 for 1987 or 1988.
Monthly catch estimates in MS 2.1 varied from 0–800t and in MS 2.2 from 0– 320t. There was no correlation between the two minor strata in monthly catches (R=0.078, 94df, NS), or between annual catches (R=0.37, 6df, NS).
Monthly effort estimates varied from 0–69630 in MS 2.1 and from 0–37440 in MS 2.2. These maximum estimates represent an average of 2321 and 1248 gillnet units per night for the month, respectively 2 and 6 times higher than the maximum numbers recorded by frame surveys of the MS during the whole 8-year period, and in the case of the 2.1 figure, higher than the total number of gillnets in the whole SE Arm from 1985–1991.
Co-efficients of variation between years were higher for catch, effort and cpue than for the number of nets counted by frame surveys (Table III), suggesting that frame surveys provide a more reliable indication of effort than the CAS, and thus that gear-based assessment systems can be founded on a reliable basis. Frame survey counts in MS 2.1 show a smooth trend of declining gillnet ownership, while the total effort estimate from the CAS gives much greater annual fluctuations (Figure 3).
| Table III. Variability in Annual Catch, Effort and CPUE from CAS and of Number of Gillnet Units from Frame Survey. | ||||
| Co-efficients of variation | ||||
| MS | Catch | Effort | CPUE | N Gears |
| 2.1 | 49% | 70% | 59% | 35% |
| 2.2 | 110% | 96% | 82% | 69% |
There were no significant differences between monthly catch, effort or CPUE figures, either within years or averaged across the whole 8-year period.
APPENDIX 2
Chambo Seine Fishery, Lake Malombe West 1981.
On account of its unusually high calculated effort and low CPUE, a detailed analysis of the raw data was carried out on the chambo seine fishery for Lake Malombe West (MS 1.1) in 1981. All calculations were rechecked. The following errors were detected:
MS 1.1 May Lundu Beach: Day 3 729kg/1pull- calculated as gillnet;
MS 1.1 July Mwalija Beach: Days 1–2 1237kg/2pulls- calculated as gillnet;
MS 1.1 July Chapola Beach: Days 1–3 993kg/3pulls- headline length of 1300m entered in gear length or effort column as 13×100m units, and calculated as 39 pulls;
MS 1.1 July Lundu Beach: Days 2–3 2900kg/2pulls- recorded as 28 pulls from confusion with headline length;
MS 1.1 July Bwanali Beach: Day 3 314kg/1pull- recorded as 15 pulls from confusion with headline length;
MS 1.1 October Mwalija Beach: Day 3 542kg/1?pull- 6 pulls recorded, probable confusion with headline length, calculated as gillnet by mistake;
MS 1.1 October Lundu Beach: Day 3 34kg/1pull- recorded as 10 pulls from confusion with headline length;
Correction of these errors made considerable difference to estimates of chambo seine catch and effort in Lake Malombe as a whole (Table IV). The effects of such errors can be to increase the probability of a spurious correlation between catch per unit effort and effort, since the error in effort is generally much greater than the error in catch.
For example, if cpue is regressed on effort for the chambo seine fishery of Lake Malombe for 1976–1989 (a biologically meaningless exercise, as the same species are caught by gillnets), using uncorrected data, the correlation co-efficient is 0.466 (almost statistically significant), whereas if the 1981 figure alone is corrected, the correlation drops to 0.148.
| Table IV. Effect of Error-Checking Raw Data on Estimates of Lake Malombe Chambo Seine Fishery in 1981. | |||
| Chambo Catch (t) | Effort (pulls) | CPUE (kg/pull) | |
| Uncorrected | 1,546 | 15,962 | 96.9 |
| Corrected | 2,440 | 4,329 | 563.6 |
Monthly estimated chambo seine catch and effort figures for each minor stratum in the whole of the SE Arm of Lake Malawi were examined for the period 1981–1991. When unusually high catch or effort or unusually high or low CPUE were detected, raw data were examined. In the majority of these cases, errors were detected, and more typical estimates produced from corrected results. The mean percentage error in the total annual estimates are shown in Table V.
| Table V. Mean Annual Percentage Error Detected in Chambo Seine Estimates from the SE Arm of Lake Malawi (CAS) 1981–1991. | |
| % Error | |
| Catch | 4.8 |
| Effort | 51.6 |
| CPUE | 96.3 |
Clearly, as with other comparisons, CPUE and Effort figures are highly inaccurate, although overall catch estimates are little affected. Thus, the system provides reasonable estimates of total production, but does not produce data adequate for stock assessment.
Artisanal Fishery: a small-scale commercial fishing operation, using various nets and small planked boats or canoes, powered manually or by outboard engine. (chambo & kambuzi seine (qv) nets, nkatcha net (qv), chirimila net (qv), gillnet). Generally referred to in Malawi as ‘Traditional Fisheries’.
Bottom Trawl: Demersal trawl operated by a single boat, usually in water deeper than 50m.
Chambo: 3 endemic species of tilapiine cichlids classified within the subgenus Nyasalapia of the genus Oreochromis.
Chambo Seine: a large-meshed beach seine targeted on chambo (qv).
Chirimila Net: a small seine net used clear of the bottom to catch usipa (qv), utaka (qv) and ncheni (qv).
Chisawasawa: chichewa name for some categories of demersal haplochromine cichlids (qv): (i) large species caught by gillnets; (ii) small species caught by pair trawls (qv); (iii) all species caught by Maldeco Fisheries (qv).
Copadichromis: small zooplankton-feeding haplochromine cichlids (qv). Mostly found inshore in shallow waters, a few metres above the bottom (‘semipelagic’).
CPUE: catch per unit effort. Weight of fish caught in a given unit of time by a standard type of fishing craft. A direct measure of the density of fish in the environment.
Diplotaxodon: a genus of haplochromine cichlids (qv) endemic to Lake Malawi, confined to waters with a bottom depth greater than 20m. Most species are undescribed. The most important food fishes are small pelagic zooplankton feeders- ecological counterparts to Limnothrissa of Lake Tanganyika.
Endemic: naturally-occurring exclusively within a specific area (NB not to be confused with indigenous, which means naturally-occurring within a specific area, but not necessarily only that area).
Fatch: Mr.F.Fatch. Prior to 1992, the only semi-industrial (qv) fishing operator to use a technique other than pair trawling (qv). Owner of a bottom trawl (qv) unit in the S.E.Arm and a pair trawl unit in the S.W.Arm.
Fox Model: a surplus production model for the calculation of the MSY (qv) of a fishery. It is based on a regression of the logarithm of cpue on effort. Appropriate for fish stocks which do not collapse suddenly at high levels of exploitation.
Fmsy: Fishing effort required to produce the MSY (qv).
Haplochromines: demersal, pelagic and semipelagic cichlids of the haplochromine tribe of the family cichlidae. Mostly, but not all, small species.
Industrial Fishery: fishing operation with a high degree of capitalisation, including considerable investment in onshore landing, processing, repair and transport facilities.
Kambuzi: small cichlids caught by seine nets. Mostly small demersal species, but also including juveniles of larger demersal and pelagic species.
Kambuzi Seine: a small-meshed beach seine targeted on kambuzi (qv), usipa (qv) or immature chambo (qv).
Kampango: Bagrus meridionalis, a large predatory catfish.
Lethrinops: a genus of haplochromine cichlids (qv) endemic to Lake Malawi and associated water bodies. Includes most of the important demersal species exploited by trawl fisheries.
Maldeco: Maldeco Fisheries Limited, a subsidiary of Press Incorporated. The only industrial fishing (qv) company presently operating in Malawi.
Mbaba: chichewa name for large demersal haplochromine cichlids (qv) caught by seines or pair trawls (qv).
Mechanised Fishery: a fishery operated by larger craft, using inboard engines (includes both industrial (qv) and semi-industrial (qv) fisheries). Generally referred to as ‘Commercial Fisheries’ in Malawi.
Midwater Trawl: a semipelagic trawl, in which heavy otter boards are set to drag the bottom, but the net is weighted to float clear of the substrate.
MSY: Maximum sustainable yield. The largest weight of fish which can be caught in a given time period (usually one year), without causing a reduction in catch rates in future years.
Ncheni: chichewa name for haplochromine (qv) cichlids of the genus Rhamphochromis (qv).
Ndunduma: chichewa name for haplochromine (qv) cichlids of the genus Diplotaxodon (qv).
Nkatcha Net: a seine net operated from two boats, which is hauled along the bottom and closed (‘pursed’) by a diver.
Pair Trawl: a demersal trawl, without otter boards, pulled by two craft.
Rhamphochromis: a genus of haplochromine cichlids (qv), endemic to Lake Malawi & associated water bodies. Surface-living fish-eaters. Some species are truly pelagic, others inshore-living. Ecological counterparts to Luciolates stappersi and Bathybates of Lake Tanganyika.
Ringnet: a purse seine operated by Maldeco Fisheries (qv). Presently operated by pairs of inboard-powered boats and manually-hauled. Mostly used with 102mm mesh and catching almost exclusively adult chambo (qv).
Schaefer Model: a surplus production model for the calculation of the maximum sustainable yield of a fishery. Based on a linear regression of cpue on effort. Appropriate for fish stocks which show dramatic declines at high fishing effort.
Semi-Industrial Fishery: a mechanised (qv) fishing operation characterised by little or no investment in onshore facilities.
Subsistence Fishery: small scale fishing operation, using inexpensive gears, and producing small catches, often mainly for home consumption (fish trap, handline, longline, cast net, scoop net).
Usipa: a small pelagic cyprinid, Engraulicypris sardella, endemic to Lake Malawi and associated water bodies. Ecological counterpart to Rastrineobola in Lake Victoria and Stolothrissa in Lake Tanganyika.
Utaka: chichewa name for small zooplankton-feeding haplochromine (qv) cichlids, mostly of the genus Copadichromis (qv). Mostly found inshore in shallow waters, a few metres above the bottom, and thus referred to as ‘semipelagic’.
LIST OF CHAMBO FISHERIES RESEARCH REPORTS
A. FIELD DOCUMENTS
STATISTICAL AND COMPUTING ASPECTS IN DEVELOPING STATISTICAL SYSTEMS IN MALAWI by C. Stamatopoulos. Field Document 1, July 1989.
PREPARATION OF A BASELINE SURVEY OF THE ARTISANAL FISHERIES ON LAKE MALAWI by B. Horemans. Field Document 2, February 1990.
STATISTICAL AND COMPUTING ASPECTS OF THE CHAMBO FISHERIES by R. Mahon. Field Document 3, June 1990.
A DATABASE FOR THE TRADITIONAL CHAMBO FISHERIES STATISTICAL SURVEY by R. Mahon., S. Alimoso, C. Stamatopoulos, and N.P. van Zalinge. Field Document 4, June 1990.
FRAME SURVEY OF THE SOUTH EAST ARM OF LAKE MALAWI, THE UPPER SHIRE RIVER AND LAKE MALOMBE by S.B. Alimoso, M.B.D. Seisay, N.P. van Zalinge, M. Mdaihli and S. Donda. Field Document 5, July 1990.
AN EFFICIENT METHOD FOR CATCH-EFFORT SAMPLING OF THE ARTISANAL CHAMBO FISHERIES OF THE SOUTH EAST ARM OF LAKE MALAWI, THE UPPER SHIRE RIVER AND LAKE MALOMBE by S.B. Alimoso, M.B.D. Seisay and N.P. van Zalinge. Field Document 6, March 1991.
MTF - MALAWI TRADITIONAL FISHERIES, COMPUTER USER MANUAL by C. Stamatopoulos. Field Document 7, March 1991.
ESTIMATION OF CONVERSION FACTORS FOR CONTAINERS USED IN TRADITIONAL FISHERIES FOR CHAMBO by M.B.D. Seisay and J. Phiri. Field Document 8, July 1991.
PRELIMINARY NOTE ON THE DECLINE OF THE CHAMBO CATCHES IN LAKE MALOMBE by N.P. van Zalinge, S.B. Alimoso, S.J. Donda, M. Mdaihli, M.B.D. Seisay and G.F. Turner. Field Document 9, March 1991.
FISH MARKETING IN THE MANGOCHI AREA OF MALAWI by D.S. Liao. Field Document 10, November 1990.
FISHERMAN-ENTREPRENEURS - A BASELINE SURVEY by M. Mdaihli and S. Donda. Field Document 11, July 1991.
THE ECONOMIC STATUS OF CREW MEMBERS by M. Mdaihli and S. Donda. Field Document 12, June 1991.
THE ROLE OF WOMEN IN CHAMBO FISHERIES by M. Mdaihli and S. Donda. Field Document 13, June 1991.
AN EVALUATION OF THE MALAWI CATCH ASSESSMENT SURVEY SYSTEM FOR TRADITIONAL FISHERIES by G.F. Turner, M.B.D. Seisay and N.P. van Zalinge. Field Document 14, March 1992.
VALIDITY CHECK IN CATCH EFFORT SAMPLING IN THE TRADITIONAL CHAMBO FISHERIES IN THE SOUTH-EAST ARM OF LAKE MALAWI, THE UPPER SHIRE RIVER AND LAKE MALOMBE by M.B.D. Seisay, H.J. Phiri and P.K. Mpezeni. Field Document 15, October 1991.
FISH MARKETING IN LAKE MALOMBE, THE UPPER SHIRE RIVER AND THE SOUTH-EAST ARM OF LAKE MALAWI by M. Mdaihli, M.M. Hara and M.C. Banda. Field Document 16, March 1992.
PROFITABILITY OF FISHING IN LAKE MALOMBE, THE UPPER SHIRE RIVER AND THE SOUTH-EAST ARM OF LAKE MALAWI by M. Mdaihli and S.J. Donda. Field Document 17, July 1992.
RELATIONSHIPS BETWEEN CHAMBO STOCKS OF LAKES MALOMBE AND MALAWI AND THE UPPER SHIRE RIVER by M.B.D. Seisay, G.F. Turner and N.P. van Zalinge. Field Document 18, July 1992.
POPULATION DYNAMICS AND STOCK ESTIMATES OF CHAMBO (OREOCHROMIS SPP.) IN THE SOUTH-EAST ARM AND LAKE MALOMBE - LENGTH BASED APPROACH by M.B.D. Seisay, N.P. van Zalinge and G.F. Turner. Field Document 19, July 1992.
AGE AND GROWTH PARAMETERS OF CHAMBO (OREOCHROMIS SPP.) IN THE SOUTH-EAST ARM OF LAKE MALAWI, AS DETERMINED FROM OPERCULAR BONES by M.C. Banda. Field Document 20, July 1992.
DISTRIBUTION AND BIOLOGY OF CHAMBO (OREOCHROMIS SPP.) IN LAKES MALAWI AND MALOMBE by G.F. Turner and N.C. Mwanyama. Field Document 21, July 1992.
A BIO-ECONOMIC ANALYSIS FOR SOME OF THE INDUSTRIAL AND SEMI-INDUSTRIAL FISHERIES OF SOUTHERN LAKE MALAWI by G.F. Turner and M. Mdaihli. Field Document 22, July 1992.
MECHANIZED FISHERIES OF LAKE MALAWI by G.F. Turner. Field Document 23, July 1992.
PREDICTIVE MODEL FOR THE LAKE MALOMBE FISHERIES by N.P. van Zalinge, M. Mdaihli, G.F. Turner, and M.B.D. Seisay. Field Document 24, July 1992.
REPORT ON FISHERIES LEGISLATION IN MALAWI by A. van Houtte. Field Document 25, July 1992.
THE MANAGEMENT PLAN FOR THE COMMERCIAL FISHERIES OF LAKE MALOMBE, THE UPPER SHIRE RIVER AND THE SOUTH-EAST ARM OF LAKE MALAWI by the Ad-Hoc committee established at the Chambo Fisheries Research Project's workshop on 11 July 1992. Field Document 26, October 1992.
B. TECHNICAL PAPERS
FISHERIES MANAGEMENT IN THE SOUTH-EAST ARM OF LAKE MALAWI, THE UPPER SHIRE RIVER AND LAKE MALOMBE, WITH PARTICULAR REFERENCE TO THE FISHERIES ON CHAMBO (OREOCHROMIS SPP.). REPORT ON THE WORKSHOP HELD AT MANGOCHI, 8–11 JULY 1992. Technical Paper 1, August 1992.
C. OTHER REPORTS
IDENTIFICATION OF OREOCHROMIS SPECIES FROM LAKE MALAWI USING MITOCHONDRIAL DNA by D.M. Reid, R.N. Zaba and T.J. Pitcher, FAO, Rome 1990.