The Agricultural Research Institute, Keldnaholt, IS-112 Reykjavík, Iceland
SUMMARY
White clover has not been a realistic option for farmers in northern areas. Obtaining persistent varieties that give adequate yields is therefore a prerequisite for its future use. Two white clover populations from northern Norway were compared with the white clover cultivars Undrom from northern Sweden and Abercrest from Wales with respect to various morphological characters and yield in a field experiment at an experimental site in Iceland (64°30'N) over a period of three years. Core samples were taken in autumn and spring for detailed morphological measurements. The Norwegian populations produced substantially more stolons (mm-2 and g m-2), growing buds (no m-2) and roots (g m-2) per unit area than both Undrom and Abercrest and the difference increased with time. The biggest differences occurred between the Norwegian populations and Abercrest. Leaf production (g m-2) was significantly less for Abercrest than the other three populations whereas Undrom had the highest stolon specific weight (g m-1). Reductions in stolons, buds, leaves and roots occurred over winter followed by recovery in spring, especially for the Norwegian populations. The differences in morphological characters were clearly reflected in the harvested clover yield during the growing season. The Norwegian populations can be recommended for cultivation in northern marginal areas and their agronomic performance is currently being investigated.
Keywords: DM production, marginal areas, stolon production, white clover, overwintering.
INTRODUCTION
White clover has not been used to any extent in agricultural production in northern areas, mainly due to lack of winter hardy varieties. With growing interest in ecological agriculture varieties are urgently needed that combine good winter hardiness with active leaf expansion at low temperatures. Comprehensive studies have shown that stolon survival over winter is of overriding importance in determining the subsequent yield of clover (Collins et al., 1991). Experimental results in Iceland with the white clover variety Undrom from northern Sweden have indeed demonstrated large collapses in yield following periods of sub zero temperatures with extensive sunshine in early spring (Helgadóttir, 1996). Such conditions lead to extensive and rapid death of stolon (Rhodes et al., 1994).
A trial with contrasting white clover varieties in Iceland, established in 1995, provided the opportunity to study factors that affect the yield and persistence of these varieties under marginal growing conditions. Four varieties are compared in the present paper. Undrom from Svalöf Weibull AB, Sweden is the only commercial variety that can be recommended for cultivation in Iceland. Abercrest from IGER, UK, is a new variety on the market that combines improved winter hardiness and good growth at low temperature. Furthermore, it has been postulated that day length and temperature requirements of this variety may be a survival mechanism preventing winter kill in an environment subjected to alternate cold and milder periods in winter (Rhodes et al., 1994), characteristic conditions prevailing in Iceland. Finally, two breeding lines from Planteforsk, Norway are included. These originate from 62° N latitude and should therefore be adapted to the Icelandic environment.
METHODS
A number of clover varieties were sown in a mixture with smooth meadow grass, cv. Lavang in spring 1995 at Korpa Experimental Station (64°30'N). The experimental design is a randomized block with three replicates. The equivalent of 20 kg N, 11 kg P and 23 kg K ha-1 were applied in spring and after 1st and 2nd cut or a total of 60 kg N ha-1 yr-1. The plots were cut on 19 June, 18 July and 28 August 1996 and 18 June, 16 July and 18 August 1997 and the harvested matter was separated into grass and clover. In October and May 1995-1998 detailed morphological measurements were made on plant material contained in two cores of 12 cm in diameter and 10 cm depth taken from each plot. In this paper results are presented for the length of live stolon (mm-2), the specific stolon weight (g m-1), the number of terminal buds m-2 and the yield of leaves (g m-2). All results were subjected to standard analyses of variance.
RESULTS AND DISCUSSION
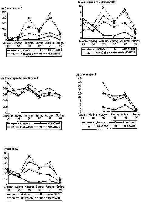
The first autumn the number of terminal buds ranged from 2 700 to 6 400 m-2 (Figure 1b) indicating that the establishment of white clover in the plots was successful. However, the mean temperature at Korpa Experimental Station from May to September is 9°C. In such an environment the development of white clover is slow. Hardly any stolon had developed by the first autumn in any of the varieties (Figure 1a). After the first winter Abercrest could not be seen in the plots and was subsequently not sampled. It made a small recovery and was especially noted in autumn 1997. But in spring 1998 it could not be detected in any of the cores taken. The two Norwegian populations both grew well during summer 1996 and had produced over 100 m of live stolons m-2 by the autumn (Figure 1a). Some losses occurred over winter but the subsequent autumn stolon production surpassed 200 mm-2. Significant amounts of stolons were lost during the following winter leaving only around 50 mm-2 by spring 1998. The stolon production of Undrom on the other hand never exceeded 70 mm-2. The number of buds generally followed a similar pattern to that of the stolon production (Figure 1b). The specific stolon weight generally fell during winter (Figure 1c) and Undrom had higher specific stolon weight than the Norwegian populations. Leaf production (g m-2) was, on the other hand, similar for these three populations (Figure 1d). The DM yields of the four white clover varieties clearly reflect their differences in morphology (Table 1). The Norwegian populations contributed significantly more to the total dry matter and gave higher yields than both Abercrest and Undrom.
Table 1. Total DM yields (t ha-1) of Abercrest, Undrom, HoKv9238 and HoKv9262 and Lavang smooth meadow grass at each harvest (mean for 1996 and 1997) and percentage of clover in the harvest.
| |
Total yields (t ha-1) |
% clover |
|||||
|
1st Cut |
2nd Cut |
3rd Cut |
Total |
1st Cut |
2nd Cut |
3rd Cut |
|
|
Abercrest |
1.02 |
1.39 |
0.84 |
3.66 |
2 |
12 |
15 |
|
Undrom |
1.21 |
1.87 |
1.40 |
4.49 |
11 |
30 |
30 |
|
HoKv9238 |
1.24 |
1.91 |
1.68 |
4.83 |
18 |
42 |
40 |
|
HoKv9262 |
1.29 |
1.91 |
1.46 |
4.67 |
18 |
47 |
43 |
|
Mean |
1.19 |
1.77 |
1.34 |
4.41 |
12 |
33 |
32 |
Figure 1. Changes in (a) stolon production (mm-2); (b) the number of terminal buds m-2, (c) the specific stolon weight (g m-1); and (d) leaf yield (g m-2) of four white clover varieties from autumn to spring 1995-1998.

The results of this experiment demonstrate that Abercrest is not adapted to growing conditions is Iceland even though it has proved winter hardy in less extreme regions of Europe (Collins et al., 1996). The Norwegian populations, on the other hand, show superior production of both stolon and number of growing points in spring and remarkable recovery during summer. These characteristics attribute to their superior dry matter yields. Their yield potential could possibly be improved even further by crossing with less hardy varieties of larger leaf size without the loss of winter hardiness.
REFERENCES
Collins, R.P., Glendining, M.J. & Rhodes, I. 1991. The relationships between stolon characteristics, winter survival and annual yields in white clover (Trifolium repens L.). Grass and Forage Science, 46: 51-61.
Collins, R.P. Conolly, J., Fothergill, M., Frankow-Lindberg, B.E., Guckert, A., Guinchard, M-P., Lüshcer, A., Nörberger, J., Rhodes, I., Robin, C., Stäheli, B. & Stoffel, S. Variation in the overwintering of white clover cultivars in cool and wet areas of Europe. In: Grassland and Land Use Systems (Parente, G., J. Frame and S. Orsi, Eds). 16th General Meeting of the European Grasslands Federation, Grado, 1996, pp. 201-204.
Helgadóttir, Á. 1996. Legumes in Icelandic agriculture. In: Grassland and Land Use Systems (Parente, G., J. Frame and S. Orsi, Eds.). 16th General Meeting of the European Grasslands Federation, Grado, 1996, pp. 741-745.
Rhodes, I., Collins, R.P. & Evans, D.R. 1994. Breeding white clover for tolerance to low temperature and grazing stress. Euphytica, 77: 239-242.