D. F. Lima
G. G. M. Farias
E. L. Leite
A. N. M. Negreiros
C. B. S. Nascimento
L. F. Silva
H. Flores
C. J. Lima
Biochemistry Department, Biosciences Center
Universidade Federal do Rio Grande do Norte
Introduction
Plant proteins are receiving a great deal of attention, particularly in developing countries, as they constitute the basic diet of poorer households, on account of their low price. Plant proteins exhibit amino acid deficiency, a fact which limits the efficiency of their utilization by the body. This could be corrected by adding adequate amounts of the limiting amino acids (Bressani, 1962; Rosemberg, 1960; Pecora, 1951).
The adequate use of nourishing protein, whether by man or animals, requires that both the essential amino acids and nitrogen content be provided by the diet in adequate amounts to meet the needs of the biologic functions.
The use of protein in the diet bears therefore upon the maintenance of protein synthesis in the tissues and on the growth of cell protein. The efficacy of these proteins depends on the amino acid pattern supplied by the diet's proteins, by nitrogen consumption, by energy consumption and by the physiological condition of the organism. Protein utilization efficiency depends on the presence of a minimum amount of essential amino acids in accordance with the specific needs for a given physiological condition (Bressani, 1977).
Plant protein limitations can be overcome by adding the limiting amino acids to the diet, in adequate amounts. This supplementation process becomes unfeasible in some regions due to the cost involved and because it presents technical difficulties in its utilization by the population at large. This prompted some researchers to study mixtures of plant proteins, using combinations of foodstuffs of usual consumption, where the amino acids lacking in a protein are complemented by those in excess in other protein.
Plants are significant sources of protein, the richest being legumes, with 10% to 30% protein content, although they are deficient in methionine. Cereals have a lower protein content than legumes, around 6% to 15%, but as they are consumed in greater quantities, they are the products which most contribute to protein intake in the majority of the world population, and are deficient in lysine and tryptophane. Although legumes contain very small amounts of methionine and cystine (Simpósio Brasileiro de Feijão, 1971), their essential amino acid pattern complements that of cereals.
Interest on legumes increases day to day in many parts of the world, particularly in the underdeveloped areas, where research has grown in intensity. In Latin America, their consumption is low in Argentina and Uruguay and high in almost every other country. According to Bressani et al. (1955), beans occupy the second place in rural Central American areas. In the Bralizian Northeast black beans (Phaseolus vulgaris) and macassar beans (Vigna unguiculata) are preferred by the population, particularly in rural zones and the sertão. In these zones, they are consumed in large amounts as dry or fresh beans, thereby constituting the main protein and calory source in local diets (Chaves, 1963; Krutman et al., 1963).
Cassava flour, widely used in the Brazilian North and Northeast and in Africa, has attracted the interest of several researchers, who aim at improving its nutritional value; to this end, Oliveira and Salata (1971) studied cassava flour enriched with methionine and combined with black beans.
The Nutrition Department of the Universidade Federal de Pernambuco conducted research on cassava flour enriched with fish concentrate, protein isolated from soybean, and casein (Araújo et al., 1975).
It was found that the protein value of macassar beans can be significantly improved by adding relatively small amounts of methionine. Being cassava flour frequenlty consumed together with common beans, Melo et al. (1975) decided to enrich it with methionine, in association with macassar and black beans, thus aiming at correcting bean methionine deficiency.
The nutritive value of 55:45 and 72:23 rice-bean combinations was studied, focusing on Net Protein Rate (npr); Protein Efficiency Rate (per); Net Protein Utilization (npu); Net Diet Percentage of calories (ndpcal%) and Protein Utilization (up) in animals fed on diets containing 10% protein and supplemented with normal diet components; these same parameters were assessed under operational conditions, i.e. without supplementation with the other ingredients and with the protein content of the feed itself. The value of supplementation with other ingredients and with the protein content of the food items themselves was also assessed, as well as the supplementation value with a cassava-milk mix at a ratio of 72:25. The findings showed that the cassava-milk supplementation improved the quality of both proteins, suggesting greater efficiency (Bressani, 1982).
Studies on the utilization of Prosopis juliflora pod flour in human diets (Lima et al., 1983) and attempts to direct these studies to reducing the Northeast's nutritional problems, found that the best form of complementation was between P. juliflora flour and other foodstuffs used in the region, i.e. amino acid complementation between P. juliflora protein, macassar bean (V. unguiculata), corn (Z. mays), and wheat (T. vulgare). The quality of the various protein mixtures was assessed through the Protein Efficiency Rate (per) and corroborated by the Net Protein Rate (npr).
Materials and Methods
Biologic Material
Prosopis juliflora pods were obtained from the Brazilian Forest Development Institute's station at Carnaúbas dos Dantas, Rio Grande do Norte. Pod flour was produced using the processing method (Fig. 1) developed by this research laboratory (Lima et al., 1983). Macassar beans (Vigna unguiculata, var. branco), widely used by both urban and rural populations in the dry zone and at the coastal areas of Rio Grande do Norte, corn meal (Zea mays) and wheat flour (Triticum vulgare) were purchased at local shops.
Experimental Animals
White 23-day-old weaned male Wistar rats from our laboratory, with an average weight of 46 grams were used. The animals were kept in individual cages, at a temperature not higher than 28° C, receiving water and feed ad libitum. The rats were allotted into 9 groups of 6 animals each, being the mean weight difference among the various groups not higher than 1 gram. Before being fed on the experimental diets, they were fed a complete standard diet, with the purpose of adapting them to the new environmental and nutritional conditions, as well as of standardizing their protein reserves. All the experimental diets were provided during 28 days.
Diets
The diets fed to the animals were programmed so as to be isonitrogenic and isocaloric, even when the proportion of each foodstuff was changed. For such purpose, the proximate composition of the foodstuffs tested was assayed (P. juliflora flour, macassar bean, wheat flour and corn meal); the other elements were added basing on these data, with the purpose that all diets tested had the basic composition recommended by whtr-3/unup-129: protein 10%; mineral salts 4%; fiber 5%; vitamins 1%, and carbohydrates 70%. As two of the foodstuffs studied presented a protein content of around 20%, this content was reduced to 10% at the expense of corn starch, obtaining real values of 10±0.7%. Taking 10% as the protein content of each ration, the foodstuffs participated as shown in Table 2.
As regards the P. juliflora flour and corn diets, the protein content was reduced to 8% at the expense of starch, considering the protein content of corn flour (see Table 1).
A standard protein was also prepared, taking casein as reference protein, as well as a control diet devoid of protein (Table). The salt mix added to all rations is the complete vitamin complex used in rations according to the recommendations of whtr-3/unup-129 (1980).
Preparation of the Various Flours Used in the Rations
Prosopis juliflora pod flour was obtained through the process shown in Figure 1, and macassar bean flour was prepared after soaking and boiling the beans for two hours, a typical household system, there after drying in an aerated oven at 100° C and milling with an electric disc mill. Cooking had the purpose of softening up the beans and neutralizing the proteolythic enzyme inhibitors. Corn meal and wheat flour were purchased at local shops.
Proximate Composition
Test foodstuff proximate composition and experimental ration proteins were determined. Moisture was determined through the gravimetric method, desiccating the samples until they achieved constant weight. Calculations were made taking as base sample dry weight. Lipid content was determined after extraction with a Soxhlet continuous extractor, using ethyl ether as dissolvent. Ash was measured per gravimetry after incinerating in a muffle at 550° C. Fiber was measured by acid and alkaline digestion, and proteins were determined by Kjeldahl semi-micro method. All assays were performed according to AOAC (1979) recommendations.
Biologic Trial
Fifty-four weaned male 23-day-old rats were used for the biologic trials. Each experimental group was made up by 6 animals kept in individual cages, with 46 g average weight. The parameters chosen to determine the optimum complementation levels were based on the Protein Efficiency Rate determined for each ration and performed over a 28-day period, where young animal growth was observed by weighing every 4 days, correlating weight gains with amount of proteins ingested, estimating feed intake according to Osborne and Mendell (1919).

Figure 1. P. juliflora pod processing.
Results and Discussion
The nutritional quality of a foodstuff is linked to the capacity of its proteins to meet the organic needs of tissue growth and maintenance of young animals.
Trials conducted by several researchers showed that when proteins of different origin are mixed in varying proportions, variations also occur in the concentration of the limiting amino acids, which has direct influence on the efficiency of their utilization by man and other animals.
Knowing that proximate composition of foodstuffs obtained from plants normally varies, at times significantly, as a result of climate, soil or processing conditions, each “problem” foodstuff was routinely assayed, even when its composition had been previously determined, with the purpose of guaranteeing the results obtained.
Moisture, protein, fiber, lipid, and mineral salts were measured, and carbohydrates determined by difference, in P. juliflora pod flour, processed as shown in Figure 1 above; previously boiled and ground macassar bean (Vigna unguiculata); corn (Zea mays) meal, and wheat (Triticum vulgare) flour, with the purpose of ascertaining their chemical composition and preparing experimental rations to be used in the study of amino acid complementation. The findings for macassar bean are consistent with those reported by Pessoa et al. (1979), and those of corn meal and wheat flour are in line with those recorded by Satterlee (1977) and the incap Table. To establish the proximate composition of boiled beans, care was taken to evaporate all the cooking water without decanting, thus preserving the protein content of the foodstuff and determining initial moisture in boiled beans, 61 %, and that for P. juliflora pod flour, 9.7%.
Weight gain, ration intake and Protein Efficiency Rate vary within a certain proportion, in accordance with the essential amino acid concentration in the foodstuffs analyzed.
The results obtained with the standard ration, as regards weight gain and Protein Efficiency Rate, are within the values reported in literature for casein. Likewise, the animals subjected to a basic diet devoid of protein were affected by a weight loss of about 15 grams, consistent with the data reported by whtr-3/unup-129, being therefore used as control.
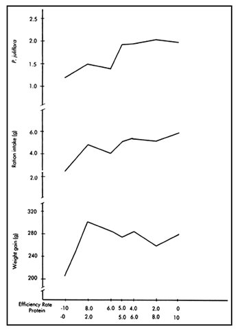
![]() | Figure 2. Ration intake, weight gain and PER, as a function of the complementation level between P. juliflora pod and macassar bean protein. |
The weight gain afforded by several complementation levels between P. juliflora pod flour and macassar bean were plotted and analyzed in Figure 2. It may be seen that the maximum weight gain occurred with the ration containing 100% bean, where the ingestion of food reached 60.17 ± 9.3 grams, constituting 83% of the weight gain of the animals fed on a standard ration. As the P. juliflora pod flour proportion increases, a slight slowing up in weight gain occurs, which tends to remain constant for rations 2, 3, and 4. As from ration 5, the weight gain curve suffers a deflection, however at no time a real weight loss occurred in the experimental animals.
The Protein Efficiency Rate (per) numerical data for the macassar bean-P. juliflora pod flour complementation are presented in Table 1, and show that the per values found for rations 1, 2, 3, and 4 do not differ significantly (P<0.005) and represent approximately 75% of milk protein PER taken as reference. These data are plotted in Figure 2, as a function of the complementation levels, and show that the addition of P. juliflora pod flour protein to macassar bean protein up to a proportion of 50:50 (ration 4), did not interfere with the mix's protein efficiency. In ration 2, where P. juliflora pod flour accounted for 20% of the ration's protein, a per increase was observed, whose value of 2.04 was not statistically significant. However, in the combinations where P. juliflora pod flour represents over 50%, a decrease in the efficiency of its utilization was observed, both in relation to ration 1 and in relation to ration 7, where P. juliflora pod flour is the only source of protein.
Weight gain with the macassar bean diet was greater than with the P. juliflora pod flour combinations, while the greater protein consumption by group 1, as may be seen in Table 1, showed that protein quality remained constant. The amounts of P. juliflora pod flour and boiled macassar bean (green weight) are shown in Table 2, and, in this case, it may be concluded that for 100 grams of boiled beans, no more than 37 grams of P. juliflora pod flour must be added, as protein efficiency remains unchanged after this level of complementation.
TABLE 1
Protein Quality of P. juliflora Pod Flour-Boiled Macassar Bean Mixture
at Various Levels of Complementation
| Diets | Protein level (%) | Feed Intake | Weight Gain | PER | |
|---|---|---|---|---|---|
| Beans | P. juliflora | ||||
| 1 | 100 | 0 | 284.70 ± 27.7 | 60.17 ± 9.3 | 1.96 ± 0.21 |
| 2 | 80 | 20 | 260.80 ± 35.0 | 53.60 ± 10.5 | 2.04 ± 0.18 |
| 3 | 60 | 40 | 283.34 ± 17.3 | 54.90 ± 4.7 | 1.93 ± 0.09 |
| 4 | 50 | 50 | 274.80 ± 24.6 | 53.00 ± 5.7 | 1.92 ± 0.07 |
| 5 | 40 | 60 | 283.80 ± 31.1 | 41.30 ± 4.2 | 1.37 ± 0.22 |
| 6 | 20 | 80 | 305.50 ± 30.9 | 49.60 ± 9.4 | 1.50 ± 0.23 |
| 7 | 0 | 100 | 243.30 ± 17.7 | 26.70 ± 7.4 | 1.20 ± 0.14 |
| Casein | 282.15 ± 8.6 | 72.52 ± 6.0 | 2.55 ± 0.15 | ||
Every diet was adjusted to contain 10% protein at the expense of corn starch.
TABLE 2
Foodstuff Distribution Correlated with the Different Combination Levels
of P. juliflora Pod Flour and Macassar Bean Protein
| Proteins % | Foodstuffs % | |||
|---|---|---|---|---|
| Diet | Beans | P. juliflora | Beans | P. juliflora |
| 1 | 100 | 0 | 100.0 | 0.0 |
| 2 | 80 | 20 | 91.8 | 8.2 |
| 3 | 60 | 40 | 80.7 | 19.3 |
| 4 | 50 | 50 | 72.5 | 27.5 |
| 5 | 40 | 60 | 64.9 | 35.1 |
| 6 | 20 | 80 | 46.6 | 53.4 |
| 7 | 0 | 100 | 0.0 | 100.0 |
Every diet was adjusted to contain 10% protein at the expense of corn starch.
Pessoa et al. (1979) conducted similar trials with macassar bean and rice, determining also the ideal proportions of both foodstuffs, finding a per of 0.93 for whole macassar bean and a per of 2.93 when using 7 parts of macassar bean and 3 parts of rice.
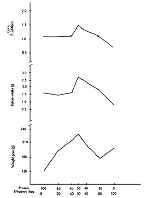
The effects of complementing P. juliflora pod flour protein with those of corn meal can be analyzed through Chart 3 and Tables 3 and 4. It may be observed that ration 1, where corn protein contributes with 100% of the protein in the diet, produced the lowest weight gain in the animals (7.42 g in 28 days). With ration 7, whose proteins were provided exclusively by P. juliflora pod flour, the experimental animals grew at a rate compatible with our previous trials, of approximately 15 grams throughout the trial, equivalent to twice the weight gained by the animals fed on a ration made up solely of corn protein. Analyzing the various complementation levels (rations 2 through 6), it may be observed that the greatest weight gain (27 g) was shown by the rats fed on ration 4, with 50:50 P. juliflora pod flour and corn protein. The value immediately below (24 g) corresponds to animals fed on ration 3, the difference being not statistically significant as that from ration 4; both, however, are significantly higher to the weight gains produced by the other rations.
Table 3 presents the per values, which can also be observed in Figure 3; they were plotted as a function of the levels of complementation among both foodstuffs, P. juliflora pod flour and corn meal. This curve shows that the maximum value corresponded to ration 4, where corn protein and P. juliflora pod flour protein partake at a 50:50 ratio, and it shows a higher per (1.50), significantly higher than that of corn (0.68) and than that for P. juliflora pod flour (1.12). Ration 3, where P. juliflora pod flour accounts for 40% of the diet's proteins, presents a per slightly lower than that for ration 4, the difference not being statistically significant.
The analysis of complementation between P. juliflora pods and corn revealed a cooperative effect, as the combination of both proteins at a ratio of 50:50 showed the best performance for all the parameters analyzed, evidencing that, in this proportion, the limiting amino acids in each foodstuff complement one another, diminishing the effects of their deficiency. Corn, widely used in this region, can be nutritionally improved by adding adequate amounts of P. juliflora pod flour, which, being tasteless, does not interfere with final taste. Bressani (1962) conducted a study on complementation with corn and black bean and showed that both proteins exhibited per values of 0.7 and 0.3, respectively, and that these values were high when both foodstuffs were mixed at an optimum complementation level, reaching a per of 2.1 when corn and bean protein were combined at a rate of 50:50.
![]() | ![]() |
Figure 3. Ration intake, weight gain and PER, as a function of the complementation level between P. juliflora pod and corn protein. | Figure 4. Ration intake, weight gain and PER, as a function of the complementation level between P. juliflora pod and wheat protein. |
TABLE 3
Protein Quality of the P. juliflora Pod Flour-Corn Meal Mixture
at Different Complementation Levels
| Diets | Protein levels (%) | Ration Intake | Weight Gain | PER | |
|---|---|---|---|---|---|
| Beans | P. juliflora | ||||
| 1 | 100 | 0 | 151.00 ± 14.9 | 7.42 ± 3.0 | 0.68 ± 0.22 |
| 2 | 80 | 20 | 194.02 ± 16.8 | 18.54 ± 1.4 | 1.09 ± 0.12 |
| 3 | 60 | 40 | 216.08 ± 14.3 | 24.60 ± 2.50 | 1.33 ± 0.07 |
| 4 | 50 | 50 | 229.70 ± 12.48 | 27.64 ± 2.3 | 1.50 ± 0.13 |
| 5 | 40 | 60 | 207.70 ± 9.80 | 16.92 ± 4.3 | 1.10 ± 0.22 |
| 6 | 20 | 80 | 178.20 ± 22.70 | 14.95 ± 3.26 | 1.12 ± 0.14 |
| 7 | 0 | 100 | 198.32 ± 45.60 | 16.24 ± 5.88 | 1.10 ± 0.15 |
| Casein | 312.12 ± 23.08 | 82.72 ± 8.09 | 3.36 ± 0.15 | ||
Every diet was adjusted to contain 10% protein at the expense of corn starch.
TABLE 4
Foodstuff Distribution Correlated with the Different Combination Levels
of P. juliflora Pod Flour and Corn Meal Protein
| Proteins % | Foodstuffs % | |||
|---|---|---|---|---|
| Diets | Corn | P. juliflora | Corn | P. juliflora |
| 1 | 100 | 0 | 100.0 | 0.0 |
| 2 | 80 | 20 | 56.0 | 44.0 |
| 3 | 60 | 40 | 32.5 | 67.5 |
| 4 | 50 | 50 | 24.0 | 76.0 |
| 5 | 40 | 60 | 18.0 | 82.0 |
| 6 | 20 | 80 | 8.0 | 92.0 |
| 7 | 0 | 100 | 0.0 | 100.0 |
Every diet was adjusted to contain 10% protein at the expense of corn starch.
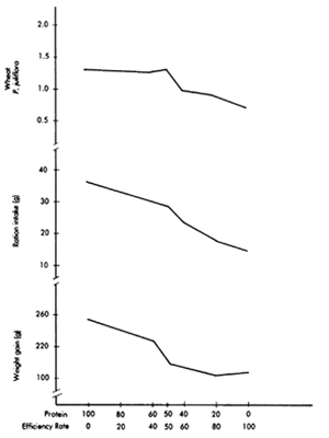
Tables 5 and 6 show the weight gain attained by the animals fed on complemented P. juliflora pod flour and wheat flour rations. It may be seen that diet 7, made up of 100% wheat protein, gave a weight gain of 14.54 ± 2.70 g, while the animals fed on ration 1, containing only P. juliflora pod flour, achieved a weight gain of 35.80 ± 11.84 g, as shown in Table 5.
TABLE 5
Protein Quality of the Wheat Flour-P. juliflora Pod Flour Mixture
at Different Levels of Complementation
| Diets | Protein levels (%) | Ration Intake | Weight Gain | PER | |
|---|---|---|---|---|---|
| Beans | P. juliflora | ||||
| 1 | 100 | 0 | 251.45 ± 28.96 | 35.80 ± 11.84 | 1.30 ± 0.37 |
| 2 | 80 | 20 | 206.80 ± 38.80 | 21.05 ± 9.03 | 0.83 ± 0.28 |
| 3 | 60 | 40 | 227.20 ± 23.39 | 30.40 ± 9.75 | 1.24 ± 0.32 |
| 4 | 50 | 50 | 197.80 ± 23.55 | 28.96 ± 5.02 | 1.29 ± 0.16 |
| 5 | 40 | 60 | 191.20 ± 24.75 | 23.90 ± 5.60 | 0.97 ± 0.13 |
| 6 | 20 | 80 | 182.40 ± 13.36 | 17.12 ± 3.53 | 0.88 ± 0.13 |
| 7 | 0 | 100 | 185.30 ± 17.90 | 14.54 ± 2.70 | 0.72 ± 0.07 |
| Casein | 282.15 ± 8.60 | 72.52 ± 6.00 | 2.55 ± 0.50 | ||
Every diet was adjusted to contain 10% protein at the expense of corn starch.
TABLE 6
Foodstuff Distribution Correlated with the Different Combination Levels
of P. juliflora Pod Flour-Wheat Flour Protein
| Proteins % | Foodstuffs % | |||
|---|---|---|---|---|
| Diet | Wheat | P. juliflora | Wheat | P. juliflora |
| 1 | 0 | 100 | 0.0 | 100.0 |
| 2 | 20 | 80 | 30.4 | 69.6 |
| 3 | 40 | 60 | 53.8 | 46.2 |
| 4 | 50 | 50 | 63.7 | 36.3 |
| 5 | 60 | 40 | 72.4 | 27.6 |
| 6 | 80 | 20 | 77.2 | 22.8 |
| 7 | 100 | 0 | 100.0 | 0.0 |
The diets are theoretically isocaloric and contain 10% protein.
TABLE 7
Optimum Complementation Levels Between Proteins from Prosopis juliflora Pod Flour
and Usual Protein Sources
| Protein | Foodstuffs (g%) | Proteins (%) | PER (c) | PER | PER | ||
|---|---|---|---|---|---|---|---|
| Sources | I (a) | II (b) | I (a) | II (b) | I (a) | II (b) | Mixture |
| P. juliflora/Beans | 8.2 | 91.8 | 20 | 80 | 1.20 | 1.96 | 2.04 |
| P. juliflora/Wheat | 24.0 | 76.0 | 50 | 50 | 1.30 | 0.72 | 1.29 |
| P. juliflora/Corn | 36.4 | 63.6 | 50 | 50 | 1.10 | 0.68 | 1.50 |
(a) P. juliflora pod flour.
(b) Usual protein sources (macassar beans, wheat flour and corn meal).
(c) Protein Efficiency Rate.
The per obtained in our study for the diet made up entirely of wheat flour was 0.72, as Table 5 and Figure 4 show, and that obtained with P. juliflora pod flour was 1.30, consistent with the findings of other trials; however, the maximum PER value found for the combination of both food items was 1.29, for ration 4, where P. juliflora pod flour and wheat flour accounted for 50% each.
The findings presented in Tables 5 and 7 and Figure 4 show that the addition of P. juliflora pod flour improved the quality of the mix in all levels of complementation, evidencing the superiority of P. juliflora pod flour protein over wheat flour protein.
In this complementation trial between P. juliflora pod flour and wheat flour, the animals gained weight in direct proportion to the increase in P. juliflora pod flour content in the diet. The weight gain data are consistent with the per values found for each combination level. In conclusion, we may suggest that complementing beans, corn and wheat with P. juliflora pod flour offers nutritional and economic advantages.
Conclusions
The addition of P. juliflora pod flour up to a proportion of 50:50 to macassar bean does not interfere with bean nutritional value, but proportions of P. juliflora pod flour greater than 50% in the diet cause a drop in per values for that combination.
The optimum complementation level between P. juliflora and corn was found to be ration 4, where each of these foodstuffs contributes with 50% of the diet's protein.
The best amino acid complementation level between wheat flour and P. juliflora pod flour was found to be a 50:50 combination, being the per for this diet significantly superior to that found for wheat protein (P<0.005).
References
angelis, r. c.; elias, c. g. and bressani, r., 1982: “Mezclas de arroz y frijol (55:45 y 77:23). I. Valor nutricional de las proteínas de las mezclas,” Archivos Latinoamericanos de Nutrición, Vol. XXXII, No. 1.
aoac, 1975: “Official methods of analysis of the Association of Analytical Chemistry,” 12th Ed., W. Horwitz, Washington d.c.
araujo, t. m. c.; lago, e. s.; bion, f. m.; nascimento, j. s.; costa, l. p.; chaves, n. and melo, a. v., 1975: “Valor biológico da farinha de mandioca enrequecida com concentrado de peixe, proteina isolada de soja e caseina,” Rev. Bras. Pesq. Méd. e Biol., 8: 143.
araujo, t. m. c.; lago, e. s.; bion, f.m.; nascimento, j.s.; costa, l. p.; antunes, n. l. m.; chaves, n. and mello, a. v., 1975: “Valor nutritivo das misturas: feijão macassar integral + farinha de mandioca e feijão mulatinho integral + farinha de mandioca suplementadas com diferentes níveis de metionina,” Rev. Bras. de Pesq. Méd. e Biol. 8 (2): 143.
bressani, r., 1977: “Protein supplementation and complementation,” In: Evaluation of proteins for humans, ed. by The Avi Publishing Company Inc., Westport, Connecticut.
bressani, r.; marucci, e. and robles, c. h., 1955: “Valor nutritivo de los feijones centro americanos y variación en el contenido nitrógeno, triptófano y niacina en diez variedades de feijón negro (Phaseolus vulgaris L.), cultivados en Guatemala y su retención de la niacina después del cocimiento,” Bol. Ofic. Sanit. Panamer. Supl. 2: 201.
bressani, r.; elias, l.g. and valiente, a. t., 1982: “Effect of cooking and of amino acid supplementation on the nutritive value of black beans (Phaseolus vulgaris L.),” Nutritive value of bean protein.
krutman, s.; vital, a. f. and bastos, e. g., 1968: “Variedades feijão macassar (Vigna sinensis): características e reconhecimento,” Recife, Ministerio da Agricultura, p. 3.
lima, d. f. et al., 1983: “Avaliação da farinha de algaroba (Prosopis juliflora), preparo, composição centesimal e toxidez,” Arquivos de Biologia e Tecnologia, 26:193.
oliveira, j. e. d. and salata, e. b. z. m., 1971: “Methionine fortified manihot flour to combat protein malnutrition,” Nutr. Report, Intern. 3: 291.
osborne, t. b. and mendel, l. b., 1919: “The nutritive value of wheat kernel and its milling products,” J. Biol. Chem. 37: 557.
pecora, l. j. and hundley, j. m., 1951: “Nutritional improvement of white polished rice by the addition of lysine and threonine,” J. Nutr. 44.
pessoa, d. c. n. p.; lago, e. s.; freitas, l. p. c. g.; antunes, n. l. m.; bion, f. m. and MEDEIROS, r. b., 1979: “Misturas de feijão e arroz de alto valor proteico,” Rev. Bras. de Pesq. Méd. Biol. 12(2–3): 127.
rosemberg, h. r.; rohdenburg, e. l. and eckert, r. e., 1960: “Multiple aminoacid supplementation of white corn meal,” J. Nutrition, 74: 415.
satterlee, l. d.; kendrick, j. g. and miller, g. a., 1977: “Rapid in vitro assays for estimating protein quality,” Nut. Reports Int. 16:197.
simposio brasileiro do feijao, 1. São Paulo, 1971, São Paolo, Ministério da Agricultura.
whtr-3/unup-129, 1980: “Nutritional evaluation of protein foods,” Ed. by pellet, p. l. and young, v. r., The United Nations University, Shibuya-ku, Tokyo.
Resilda Gomes de Azevedo Rocha
Agency for Technical Assistance and Rural Extension, ematern-rn
Introduction
This paper does not attempt to present academic conclusions to prove the advantages of using P. juliflora pods as a source of food for human consumption.
It deals rather with practical knowledge, with rural life and its environmental, cultural and economic realities. It does not focus, therefore, on the use of P. juliflora as a source of food with scientific support, but as an actual, emerging and spontaneous situation.
In short, we will trace the practical experience of multiple applications of P. juliflora pods, as a source of food and medicine available in the semi-arid region, even in years of critical drought.
We shall of course lend support to empirical knowledge, to the analysis of adapted processing technologies, nutritional aspects and similar data with laboratory tests and a review of existing literature.
Area Covered
The selection of the areas where the study was to be conducted was based on the following criteria:
The places selected were the following:
Support team:
1. ufrn: Guacira Gondim Miranda de Farias, biochemical analysis
2. emater-rn: identification of areas and data collection:
Antonia Aldenora Gomes de Silva
Franzisca Andrade Dantas
Ilma Helena Pereira de Carvalho
Inaldo Guedes Bezerra
João Alves Neto
Maria de Lourdes Silva de A. Sales
Zuila Maria Alves
P. juliflora as Coffee Substitute
Socio-Economic and Nutritional Aspects of Coffee Consumption
In Brazil, the habit of drinking coffee has on innumerable occasions prevailed over price increases, unlike in other countries, where organized consumers' reaction has set prices deemed satisfactory by the parties involved.
In rural areas, in turn, the lower purchasing power has prompted local inhabitants to seek coffee substitutes among the plants available in their environment. Throughout the centuries, the creativity and anonymous research of housewives has led to many relevant findings in the field of nourishment.
The main factor triggering such substitution is the crisis brought about by droughts.
The products most commonly used for making coffee are “mucuna,” corn, P. juliflora pods, “mangerioba,” rice, sorghum, “quiabo” and “purga potato” seeds. Tea is more commonly used for medicinal purposes. On account of its greater availability in the semi-arid region and during drought periods, P. juliflora ranks as one of the main substitutes. There are also some highly significant cultural and nutritional aspects which bear upon this preference.
Rural workers, for instance, associate coffee with sensations of physical and emotional well-being. As they say, “coffee must be very hot and rich in smell, to increase the pleasure of smoking, replenish strength and do away with sadness.”
For them, offering coffee is a sign of hospitality and appreciation for the guest or visitor. Not having coffee to offer is a sign of extreme poverty.
The sale of animals, eggs, cheese, vegetables and other products in order to buy coffee is an obvious cultural expression of the habit of securing coffee supply in the rural areas.
According to findings of Luiz da Câmara Cascudo and personal observations of this author, many farmers drink only a “simple coffee” at sunrise, then set out to work and hold on until lunchtime.
Coffee is drank pure or combined with other foodstuffs, and as breakfast, lunch or after-dinner beverage.
No data is as yet available on its actual contribution to maintaining sugar levels or replenishing minerals under the physiological demands of farm work, with intense sweating.
Comparative Analysis of the Chemical Composition and Taste of Traditional Coffee and P. juliflora Coffee
Chemically, the coffee infusion contains carbohydrates, proteins, lipids, calcium, phosphorus, iron, complex B vitamins, caffeine, caffeol, caffeic acid, chlorogenic acid, etc. Actually, it contains over eight hundred chemical substances which lend it its characteristic flavor. Caffein is the most important substance in coffee, on account of its tonic properties. It is a potent stimulant for the central nervous system, producing faster thought flow and reducing somnolence and exhaustion. Additionally, it increases basal metabolism and motor activity.
For the effects of this study, research focused on caffein and soluble protein, as other nutrients had been measured in a similar study conducted by the Nutrition Institute of the Universidade Federal de Pernambuco, under the direction of Prof. Nonete Barbosa Guerra.
Microsublimation tests revealed absence of caffein.
As regards soluble protein, measured by the Lowry method, it was found that 6% of the total protein of toasted P. juliflora coffee is water soluble under the conditions studied.
This 6% finding ranks Prosopis coffee above traditional coffee. According to endef, powder coffee contains 5% protein, and the infusion a mere 0.9%.
Perception of Differences Between Aroma and Taste of Traditional Coffee and Prosopis Coffee
Method
Sensorial analysis was performed for the smell and taste of traditional coffee, for Prosopis coffee and for a 50%-50% mix of the two. The samples were served to emater personnel and to groups of rural producers during their meetings.
The infusions were placed in coded thermo pots and served to 86 people (63 men and 33 women) in disposable cups equally coded and offered at random.
The methods used were difference, preference, acceptance, with hedonic scale and paired acceptance.
Biscuits were offered to remove aftertaste.
Differentiation Judgments
Differentiation Judgments
(%)
| ASSOCIATIONS REGARDING SMELL | ASSOCIATIONS REGARDING TASTE | |||||
|---|---|---|---|---|---|---|
| Item | Coffee | Mixture | P. juliflora | Coffee | Mixture | P. juliflora |
| Coffee | 95 | 63 | 61 | 91 | 25 | 09 |
| Tea | — | — | — | — | — | — |
| Unidentified | 02 | 13 | 27 | 03 | 53 | 68 |
| P. juliflora | — | 05 | 06 | 03 | 03 | 10 |
| Mixture | 03 | 12 | — | — | 13 | 09 |
| Others* | — | 07 | 06 | 03 | 06 | 04 |
| Preference test (paired) | ||
| 1. | Coffee in relation with Prosopis coffee | : 91% |
| 2. | Coffee in relation with mix | : 88% |
| 3. | Mix in relation with Prosopis coffee | : 17% |
| Judgment of Prosopis coffee according to the hedonic scale | ||
| Excellent | 14% | |
| Good | 8% | |
| Regular | 13% | |
| Bad | 22% | |
| Awful | 43% | |
| Comments recorded: | ||
| a. Favorable | : | - It is good |
| - It tastes like chocolate | ||
| - It tastes of cinnamon | ||
| - It tastes almost the same as coffee | ||
| - Doesn't know; he (she) thought it was coffee | ||
| - Tastes better than coffee and is not bad for those suffering from the nerves | ||
| b. Unfavorable | : | - It's acid |
| - It's bad | ||
| - It's awful | ||
| - It tastes like laundry water | ||
| - It's bitter | ||
| - It tastes like oil | ||
| c. Intermediate | : | - It's Ok. It teases the belly and staves off coffee-craving |
Conclusions and General Remarks
Basing on the differentiation judgments, it may be concluded that there is a correlation between the aroma of traditional coffee and that of Prosopis coffee; however, a difference in taste was distinctly perceived. The mix of both coffees strengthens traditional coffee taste and smell, masking somewhat the taste and smell of Prosopis, thereby increasing acceptance.
Coffee ows its smell mainly to caffeol, a volatile oil. It was not investigated in Prosopis coffee due to lack of chromatography pattern.
The smell of Prosopis coffee can be traced to other causes, such as:
As regards the acceptance tests, it is concluded that preference was shown for coffee over mix, and that the latter was preferred over Prosopis coffee, at a significance level of 0.1% in both cases.
Storage, Processing and Preparation
Storage
After collection and sun-drying, P. juliflora pods are usually heaped against inner walls, in direct contact with walls and floor. In some cases, they are placed in bags or stored in closed containers. Use of sand, honey or other elements was not mentioned by the persons consulted. This type of storage naturally facilitates fungal attack and consequent loss of material.
After roasting, the powder is stored in cans or dark glass containers.
P. juliflora coffee processing
The process most commonly mentioned consists of manually crushing the pods once they are thoroughly dry and then toasting them in clay pots. A wooden ladle is used for stirring the contents.
Strong fire burns the pods' outer layers without toasting them internally, besides producing a lot of waste heat.
Sugar is added at the end of torrefaction, a few minutes prior to withdrawing the pot from the fire or shortly thereafter. The average is four tablespoons of sugar per kg of pods.
The women interviewed said they preferred to toast small amounts at a time, as it reportedly makes toasting easier and gives better results. The amount of time needed for the operation is some 30 minutes.
After cooling for a while, the product is ground in a coffee mill or with pestle and mortar. The latter is more physically demanding and leaves a certain residue, but those working elements are the most commonly available. The resulting product is then sifted, with subsequent poundings and siftings to maximize production. This operation also takes some 30 minutes.
This process has the disadvantage of leaving seeds in the residue, thereby diminishing the infusion's protein content.
Yield obtained with mortar and pestle is close to 70%. With a coffee mill is can reach up to 100%.
Some women macerate the pods instead of crushing them. They claim that the time necessary for torrefaction is then shorter and that seeds can be more easily peeled. The process, however, was found to be time-consuming and tiring.
For one liter of infusion, the amount of powder needed is one full tablespoon. Women stated that “this coffee has good yield” and that, when strong, it is tasty (bitter).
Some families mix Prosopis coffee with traditional coffee at 50%-50% to strengthen taste and as a measure of economy.
Additional information
Prosopis coffee use is recent, dating from not earlier than 5 years.
The main grounds for adoption of Prosopis coffee were the price hike of traditional coffee and ready availability of the raw material.
No particular effects on the organism were reported that could be traced to Prosopis coffee in adults, children, pregnant and nursing women or elderly people.
The findings on use of Prosopis coffee were disseminated through social work by the “sucam guards” and through radio programs.
Other Applications for Human Consumption
P. juliflora pods are fashioned into something akin to chewing gum or candy, mainly for children. Adults also chew or suck this so-called “algarroba candy” during farm work breaks, shepherding or during long walks.
Flour and syrup use is still limited.
Flour is reportedly used in the preparation of cous-cous, rolls, biscuits, crumbed steaks and as thickening agent for soups, as well as combined with beans and honey in replacement of cassava flour.
Syrup is consumed pure or with flour, either as lunch or as after-dinner item. It is also used in the preparation of a number of confitures.
P. juliflora Syrup Processing
Ripe and sound pods are selected, washed and broken into small pieces. One liter of water is added to every 350 g of pods, and then boiled for two hours. The product is then sifted to separate the coarse particles. The resulting liquid can be drunk as a tea-like beverage, coffee or mate. To obtain the syrup, the liquid is boiled until it reaches the necessary consistency.
According to Release No. 865-sia, from Pimentel Gomes, P. juliflora is used as a tonic at a rate of 1 tablespoon before meals for adults and 1 teaspoon for children. Some aphrodysiac properties are claimed. One spoonful of this syrup in a glass of water makes a good refreshment. It is also mixed with spirits to make cocktails, including aguardente, a strong alcoholic beverage.
P. juliflora Flour Processing
Whole flour is made from well-dried, carefully ground pods. Residue flour is made from pods from which syrup has been extracted using the procedure described above. The residue remaining after sifting is ground. Sifting and milling are repeated until flour of desired consistency is obtained.
Tannins and Furfural
One of the concerns regarding indiscriminate use of food items made from P. juliflora was the suspected presence of tannins, suggested by the reported “bitter” taste and aftertaste of some products.
Research on tannin content was therefore suggested to a group of Pharmacy students in the discipline of Pharmacognosy.
The result was positive for pyrogallotannins (giving pyrogallol through heating) and negative for pyrocatecollic tannins (giving catecol through heating).
The inconvenience posed by tannins in dietetics is that they precipitate proteins in solution and combine with them, turning them resistant to proteolithic enzymes. Additionally, the excess of tannins irritates stomach mucose, with possible prompting of nausea and vomiting.
Ingestion of tannin-rich foodstuffs therefore deserves special attention from nutritionists, particularly when dealing with children and pregnant and nursing women, and with products of frequent use.
While tannins have this disadvantage, on the other hand they are useful for treating diarrhea and other ailments, as discussed below.
Furfural presence was also investigated with regard to honey. Furfural and hydroxymethylfurfural results from inadequate processing, through heating of sugars in an acid medium. Starting from pentose, the product obtained is furfural, while from hexoses it is HMF. Both substances are very toxic.
Fiehe's reaction was employed to investigate the presence of these compounds in P. juliflora syrup, giving a bright cherry-red color evidencing positive result.
The same reaction was tested with syrup made from muscovado sugar, quite common in the Northeast. As expected, the result was positive, with stronger coloration than in the case of P. juliflora syrup.
Uses of P. juliflora for Home Medicinal Purposes
As regards item 1, no hard data exists to lend support to this claim. The belief in the aphrodysiac powers of P. juliflora originated elsewhere and long ago.
The uses mentioned in 2 and 3 above have a certain basis, when administered as dietary-therapeutic supplement to diets low in calories and nutrients which P. juliflora syrup can furnish.
As regards item 5, tannins have long been known to be employed in medicine as astringents and for skin lesions. In case of burns, they form a protecting antiseptic coat, underneath of which tissues regenerate. In diarrhea cases, it produces a constipating action useful for treatment. In the intestinal tract, tannin forms a coat over inflamed mucose, preventing the action of irritants and decreasing toxin absorption.
As mentioned previously, research conducted by Pharmacy students confirmed the presence of pyrogallolic tannins in P. juliflora pods.
Conclusions
References
barros, c. m. p. et al., 1986: “Algaroba,” Monografia apresentada na Faculdade de Fármacia - ufrn.
bender, a. e., 1982: “Dicionário de nutrição e tecnologia de alimentos,” 4th Ed., Livraria Roca, São Paulo, SP.
goodman, l. s. and gilman, a., 1978: “As bases farmacológicas da terapeutica,” Vol. i, Sa. Ed. Guanabara Koogan s.a., Rio de Janeiro, pp. 206–219.
lowry, o. h. et al., 1951: “Protein measurement with the folin phenol reagent,” J. Biol. Chem. 193, 265.
morais, m. a. c., 1983: “Metodos para avaliação sensorial dos alimentos,” 4th Ed., unicamp.
rocha, r. g. a., 1986: “Determinação da composição centesimal e análise de aspectos sócios economicos da utilização de mucuma, s.p. (Nescafé, como substituta do café, no meio Rural Norte Riograndense),” Gráfica da emater-rn, Natal.
secretaria de planejamento da presidencia da republica/fundacao ibge - endef 1981: “Tabelas de composição química dos alimentos,” ibge, Centro de Serviços Gráficos, Rio de Janeiro.
tyler, c., 1968: “Farmacognosia,” Ed. Atheneu, Buenos Aires.
ufrn - Departamento de Tecnologia Farmaceutica e de Alimentos, 1984: “Roteiros de exercícios práticos de análises de fiscalização de alimentos do ii Curso de Especialização em alimentos e Nutrição,” Natal.
ufrn - Faculdade de Farmácia: “Estudio Químico e Bromatológico do Café,” Mimeographed.
L. F. Silva
G. G. M. Farias
E. L. Leite
C. B. S. Nascimento
C. J. Lima
A. N. M. Negreiros
D. F. Lima
H. Flores
Biochemistry Department
Biosciences Center, Universidade Federal do Rio Grande do Norte
Introduction
The multiple use possibilities of Prosopis juliflora have attracted growing interest in this species. Barbosa (1977), Nobre (1981), and Barros (1981) conducted research that showed it to be suitable as feed for polygastric animals.
Indians in Chile, Peru, Argentina, Mexico and the United States have used other species of Prosopis as a source of nourishment (Azevedo, 1957; Figueiredo, 1975; Del Valle et al., 1983). The universal need for more food has prompted research on the utilization of this xerophyte in human diets. But little information is available on the chemical composition and nutritive value of Prosopis juliflora pods and of its byproducts. fao/who (1973) showed that whole Prosopis juliflora pods have 14% protein. Studies on Prosopis juliflora in Brazil show protein values ranging from 9.7% (Campos, 1980) to 12.8% (Azevedo, 1957). Becker (1981) reports protein content ranging from 11% to 17% in Prosopis velutina pods, showing that the differences are not only due to variation among the species, but also to other factors such as soil and degree of ripening.
Carbohydrate content of various species was studied by Figueiredo (1975) and Becker and Grosjean (1980), who found a high content of saccharose and of a polysaccharide containing galactose and mannose in the seeds.
Becker (1981) determined the proximate composition, aminogram, nutritive substances, digestibility and protein efficiency rate (per) of P. glandulosa, P. velutina and P. pubescens. The limiting amino acids were methionine and cystein, and per was 0.17 for raw P. velutina pods, while cooked pods showed negative per, dropping even further when the pods were heated. Del Valle et al. (1983) determined the proximate composition of whole Prosopis juliflora pods, as well as of its components, such as pericarp, endocarp and seeds. Whole pod aminogram showed threonine and isoleucine to be the limiting amino acids. per value for whole pods was 1.4, similar to that of other legumes. Zolfaghari (1984) determined the proximate composition of P. glandulosa seeds and whole pods, and found 10% to 13% protein in whole pods and 40% in seeds. The aminogram showed sulfurated amino acids to be the major limiting amino acids of all the samples assayed. Low levels of trypsin inhibitors and nutritional parameters such as per and digestibility were recorded. An in-depth study on Prosopis juliflora seems relevant not only for the economic value of this species, but also because most studies of this sort have focused on other species of Prosopis.
The objectives of this research work were to determine the chemical composition of local Prosopis juliflora, the nutritive value of its flour, the presence of anti-nutritive factors and the way to neutralize them; to verify, with biologic tests, the influence of Prosopis juliflora syrup when added to a good-quality protein; to show the effects of including vitamins of different origins and including Prosopis juliflora pod syrup in diets composed of milk and P. juliflora pod flour, recording nutritional parameters; to transfer this new knowledge to emater-rn extensionists and rural social workers, with the purpose of making this nourishing alternative available to the poorer rural populations.
P. juliflora pod flour and syrup were produced using a process derived from that developed by the indians. This research work is part of a wider-scope Research Program on nourishing alternatives for the Brazilian Northeast.
Materials and Methods
Pod Processing
Ripe dry P. juliflora pods were supplied by the Experimental Station of the Brazilian Forest Development Institute (ibdf), located in Carnaúba dos Dantas in the State of Rio Grande do Norte. Ripe Prosopis juliflora fruit is an indehiscent pod with fine pericarp, fleshy, extremely sweet mesocarp and seeds encapsulated in a coriaceous sheath.
Freshly collected dry ripe pods were washed and cut into 3-cm pieces. Around 350 g of these pieces were boiled in a liter a water for 2 hours to soften them up and to extract the maximum amount possible of soluble sugars from the flesh and, at the same time, neutralize the anti-nutritive factors commonly present in leguminous seeds. Boiled pods were crushed mechanically or manually into a uniform pulpy mass. Less than 2 hours boiling time is not sufficient to extract the maximum amount of soluble sugars, and hand-crushing of cooked pods in home-made preparations is then more difficult. The crushed material is then washed to remove excess soluble sugars, the dry residue dried at 75° – 80° C in an aerated oven or laid under the sun for 18 to 24 hours (Figure 1).
High-temperature artificial drying gives a bitter taste to the final product. The flesh removed in the liquid stage still contains sugars and can be used in the preparation of jelly and sweets. The dry solid residue, which contains seedcoat, endocarp and seeds, is then ground in a disc mill, by hand or with mortar and pestle. The 2-hour boiling time is crucial both to extract soluble sugars and to make grinding of the solid residue easier. In the case of this study, the flour thus obtained was sifted twice successively, using 18 and 36 mesh, respectively, to remove fibrous material present in the endocarp.
The fibrous material discarded after sifting still contains 11% protein, and is being tested for eventual use in animal rations. The liquid part, which contains soluble sugars extracted by cooking, was boiled to obtain syrup, which can be used as sweetener for food preparations or as a food supplement.
Chemical Analysis
Composition
P. juliflora pod flour was analyzed chemically, focusing on the following parameters: moisture, ether extract, total protein (N × 6.25), fibers and ash, using standard methods (aoac, 1970); carbohydrates were calculated by difference. Phosphorus (Fiske and Subbarow, 1968), calcium (Clark and Collip, 1923), iron and manganese (Zucas and Arruda, 1968) were also measured. Starch was analyzed using the enzymatic process modified by Thivend et al. (1972).
Aminogram
Prosopis juliflora flour was hydrolyzed by reflux with 5.7 N hydrochloric acid (redistilled) by constant boiling at 108–110° C for 24 hours. The same process was applied to samples pretreated with performic acid to estimate cystine and methionine. All experiments were made in duplicates and the findings correspond to the mean values of hydrolyzed duplicates run twice through the analyses. Excess hydrochloric acid was removed by vacuum distilling and the dry samples were dissolved in chromatography tampons, which included a standard amount of norleucine. The analyses were performed in a Chromaspek amino acid analyzer and the results were obtained by running a computer program. The amino acid content was expressed as grams/16 grams of nitrogen (Richardson et al., 1984).
Anti-nutritive factors
The activity of trypsin and chemotrypsin inhibitors were analyzed using the method described by Kunitz (1947). Cyanogenetic glycosides were determined by Guignard's picric acid method (Liener, 1969). Hemoaglutinant activity was analyzed for A, B, and O blood groups, using lecithin extracts obtained at pH 2.0; 4.2; 6.5, and 7.0, as described by Moreira (1975).
Nutritional Evaluation
Male 23-day-old weaned Wistar rats, weighing between 46 and 50 g with average weight difference between groups not exceeding one gram, were fed on experimental diets as shown in Tables 1 and 2. Feed was supplied ad libitum, and the animals had free access to water. Two types of biologic assays were performed: protein efficiency rate (per) and net protein rate (npr), based on weight gain (Osborne and Mendel, 1919), and net protein utilization (npu) and digestibility, based on nitrogen retention (Miller and Bender, 1955). Feed was weighed every two days and animals every four days. A group of rats fed on a non-protein diet was used for determining npr and npu values. All diets were adjusted for a 10% protein level at the expense of starch, as recommended by whtr-3/unup-129 (1980). Six groups of animals were kept in individual cages to determine per and npr, while ovoalbumin was used as reference protein for digestibility and npu tests.
With the purpose of ascertaining the vitamin level of P. juliflora pod syrup, this product was added at a rate of 10% to several types of rations, as shown in Table 2.
Analysis of Proteins and Lipids
Metabolic effects of P. juliflora pod flour ingestion were assessed by determining serum and liver protein and triglycerides, from young animals fed on a casein-based diet as reference. Blood proteins were quantified in serum by the method of Lowry et al., (1951). Liver and serum triglycerides were determined as per Soloni (1971).
TABLE 1
Composition of Experimental and Control Diets
| Components | Basal Diet % | Reference Diet % | Diet with P. julifloraa Pod Flour % |
|---|---|---|---|
| Proteinsb | — | 10 | 10 |
| Lipids (corn syrup) | 10 | 10 | 10 |
| Salt mixturec | 4 | 4 | 4 |
| Vitamin mixtured | 1 | 1 | 1 |
| Fibers (cellulose) | 5 | 5 | 10 |
| Corn starch | 80 | 70 | 65 |
![]()
|
Figure 1. P. juliflora pod processing.

Prosopis juliflora pods in storage at the farm of IPA's President, in Brazil.