CHAIRMAN: May I call the Nineteenth Plenary Meeting to order. For this morning, we have on our agenda Item 26. 1, Appointment of the Independent Chairman of the Council. There is one nomination only for the post of the Independent Chairman of the Council, and it is that of Dr. Bukar Shaib, as stated in document C 77/15. I hope all of you have seen this document.
Before we proceed to the election, I will call upon the Secretary-General to explain the voting procedure.
LE SECRETAIRE GENERAL: On trouvera tous les renseignements concernant le scrutin dans le document C 77/INF. 2. Aux fins du scrutin, chaque délégation reçoit un bulletin de vote sur lequel figurent trois cases. Il faut mettre un X dans la case correspondant au choix de l'électeur, c'est-à-dire soit dans le "OUI", soit dans le "NON" soit dans 1"'ABSTENTION".
Aux termes de l'Article XII. 4 c) du Règlement général de l'Organisation, les bulletins blancs seront comptés comme abstentions aux termes de l'alinéa 4 d) du même Article XII, les bulletins de vote ne doivent porter aucune indication, ni aucun signe autre que celui par lequel s'exprime le suffrage.
CHAIRMAN: In accordance with the provisions of Rule XII of the General Rules of the Organization which have been explained, I hope that the whole voting procedure is made clear. Paragraph 9(a) of Rule XII specifies: "The appointment of the Chairman of the Council and of the Director-General, the admission of additional Member Nations and Associate Members, and the election of Council Members, shall be decided by secret ballot.
In accordance with the provisions of Rule XII of the General Rules of the Organization the quorum required for this election is a majority of the Member Nations of the Organization. I have requested the officers in charge of the election to carry out a count and I am told that at this moment 85 delegations of Member Nations are present in this hall. We may therefore proceed at once to voting. May I remind you that in accordance with Rule XII-14 of the General Rules of the Organization once voting has commenced no delegate or representative may interrupt the voting except to raise a point of order in connection with the voting. In accordance with the Rule XII-9(c) of the General Rules of the Organization the Chairman of the Conference appoints two tellers from among the delegations of their alternates. I therefore request the delegates of Colombia and Algeria to serve as tellers for this election. Will these two delegates please proceed to the voting area?
Vote
Votation
Votacion

LE DIRECTEUR GENERAL: C'est pour moi un très agréable devoir de rendre hommage au Président sortant du Conseil, et d'accueillir et féliciter le Président nouvellement élu.
Notre ami, le Président Bula Hoyos, quitte sa charge. J'ai évoqué, lors de la toute dernière session du Conseil, les étapes de sa remarquable carrière toujours plus étroitement associée à notre Organisation depuis 1959. Qu'il me suffise de redire devant cette eminente assemblée que M. Bula Hoyos peut être légitimement fier et satisfait de son travail. Il entre dans l'illustre lignée de ses prédécesseurs. Ceux-ci sont, en quelque sorte, la conscience de notre Organisation. Ils sont pour nous le témoignage de l'attachement d'homme de coeur à cette maison, à ses nobles objectifs. Leur exemple nous incite au dévouement.
Je tiens à vous remercier vivement, M. Bula Hoyos, des éminents services que vous avez rendus à la FAO.
Je voudrais maintenant me tourner vers le nouveau Président indépendant du Conseil et le féliciter très sincèrement. Son élection unanime témoigne de la haute estime dans laquelle il est tenu au sein de cette Organisation. Elle honore son pays, le Nigeria, mais aussi l'Afrique.
Le Dr B. Shaib a forgé sa réputation tout d'abord dans son propre pays, où il assume actuellement les importantes responsabilités de Secrétaire permanent au Ministère fédéral des ressources hydrauliques; il l'a étendue ensuite à la FAO où sa présence nous est familière. Il a participé en effet depuis 1962, à presque toutes les conférences biennales, et ses compétences l'ont porté, en 1971, au Comité du programme, dont il fut Vice-Président de 1973 a nos jours. Dans ces fonctions, il a démontré amplement qu'il avait l'étoffe d'un excellent Président.
Très sincèrement, je félicite une fois encore le Dr B. Shaib de son élection, et l'assure de toute ma coopération.
Applause
Applaudissements
Aplausos
B. SHAIB (Independent Chairman-eleet of the Council): Mr. Chairman, Mr. Director-General, Your Excellencies, Distinguished Delegates, Ladies and Gentlemen: At this very late stage of the Conference I am sure that the last thing you would want to hear would be another long speech on the world food situation, malnutrition, etc. You have heard more than enough of these already, and I do not intend to burden you with any more.
In fact, from now on, my main preoccupation will be how to persuade delegates to Council sessions not to make long speeches. And charity begins at home.
This morning in the 32nd year in the history of this Organization, you have elected an African to be the Independent Chairman of the Council, which is the second highest organ of the Organization after the Conference. And I am proud to be that son of Africa.
This is not only a rare privilege to me, but also a great honour to my country and to the whole of Africa.
I believe, Mr. Chairman, that this is also the first time a veterinarian has been appointed to this post in FAO. By electing me, therefore, the Conference has done honour to the veterinary profession the world over.
As the Independent Chairman of the Council I do not represent my country, nor do I represent my region. I have no casting vote. My role in Council debates. will be that of a neutral referee to ensure that the game is played according to the rules, and to act as a conciliator when the debates are deadlocked.
This, Mr. "Chairman, is not an easy role and to succeed I will need the confidence and goodwill of not only the members of the Council, but also of all Member Nations of the Organization Happily, all the indications are that the necessary confidence and goodwill do exist. The overwhelming votes which you have just cast in my favour and the numerous pledges of support which we received even before the election are eloquent testimony of such confidence and goodwill. I am most grateful to all of you.
Mr. Chairman, I now wish to refer to some remarks made by the Heads of two delegations which have a direct bearing on the work of the Conference and the Council.
The Head of the Saudi Arabian delegation His Excellency Abdel-Aziz Al-Sheihk in concluding his statement appealed to the Conference to limit the number of resolutions to a few essential ones. I couldn't agree more. An index of all FAO Conference and Council resolutions and decisions since the Organization was founded in 1945 to date have been compiled by the Secretariat at the request of the Council. ' These resolutions occupy over 600 pages in three volumes. Mr Chairman, much time and effort can be saved if in future all draft resolutions are screened to make sure that they are, in fact, new before being submitted to the Conference or Council for adoption.
The next remarks were made by Mr. Walter Ives, the Leader of the Australian delegation. Mr. Ives drew the attention of the Conference to the tendency of the Member Countries to belong to one group or the other, and to the apparent lack of effective mechanism for the groups to exchange their viewpoints in a quiet and informal atmosphere which could be conducive to compromise. In other words, the type of ''musyawara'' of the Indonesian farming villages which you, Mr. Chairman, described so vividly in your opening statement.
Well, Mr. Chairman, I do not entirely share Mr. Ives' pessimism in this respect. Since 1963 I have attended every FAO biennial Conference, except that of 1967, and I can say without any hesitation that this Conference is one of the best I have ever seen. As Mr. Ives himself pointed out later in his statement, "There is a good spirit in this Conference and an evident desire for cooperation even at the cost of difficult compromise. '' These are Mr. Ives' own words, and here I am in full agreement with him.
One good example of the spirit of compromise was the "Contact Group" set up when the debates on certain important issues were deadlocked in the last Council Session. The "Contact Group" which consisted of members of the "Group of 77" and the "Geneva Group" held informal discussion, which not only took the heat out of the formal Council debates, but also resulted in compromise solutions acceptable to the various groups. In fact, the "Contact Group" continued to hold informal discussion throughout this Conference.
Mr. Chairman, what is of much greater concern to me, and I am sure to many other people is the lack of genuine debate by ministers and other heads of delegations on matters of substance at the plenary meetings. The whole of the first week of the Conference is taken up by formal statements, after which most ministers leave for home because throughout the second week the Commissions are meeting and there is very little for the ministers to do, and they cannot afford to be in Rome for the whole three weeks of the Conference. When the reports of the Commissions come up for adoption at the Plenary in the third week it is often difficult to form a quorum, because by that time even the poor bureaucrats left behind are completely exhausted and show little further interest in the proceedings of the Conference. It is, therefore, necessary for the Council to examine this problem in depth and make recommendations to the Conference on how best to make the maximum use of the limited time available to ministers.
Mr. Chairman, I look forward to working closely with my friend, Dr. Edouard Saouma. Since he took office as the Director-General less than two years ago, Dr. Saouma has revitalized the Organization and given it positive direction. As a member of the Programme Committee, I know how much effort Dr. Saouma and his staff have put into reshaping the Programme of Work to what it is today. I will do all I can to contribute to the further success of the Director-General's efforts.
Finally, I would like to pay tribute to my predecessor Señor Gonzalo Bula Hoyos, the outgoing Independent Chairman of the Council. I have worked with him for many years both in the Council and the Programme Committee, and we have all come to admire his patience and confidence as a Chairman. The greatest tribute I can pay to Gonzalo is to say that I will endeavour to keep the very high standard he has already set. Thank you, Mr. Chairman.
Applause
Applaudissements
Aplausos
CHAIRMAN: Thank you, Dr. Bukar Shaib, the newly-elected Independent Chairman of the Council. May I now call upon Señor Gonzalo Hoyos, the Independent Chairman of the Council until the end of this Conference.
G. BULA HOYOS (Presidente Independiente del Consejo): Señor Presidente, señor Director General, señoras y señores; Esta Conferencia acaba de elegir el nuevo Presidente Independiente del Consejo. Concluye así el mandato que recibí de este organismo soberano por dos períodos consecutivos.
En estos momentos experimento la sensación de que culmina une etapa importante en los veinte años de servicios que he dedicato a nuestra Organización.
Personalmente, me siento muy satisfecho, muy honrado con las generosas frases que se han pronunciado sobre mi labor. Todo ello será un valioso estímulo para continuar mi vinculación a la FAO. Reiniciare el ciclo desde sus comienzos: volvere a ser delegado de Colombia, y me empeñaré per ofrecer a esta Organización todos mis esfuerzos en favor de los objetivos que le corresponde cumplir. Los caminos siguen abiertos, la jornada continua.
Mi carrera se ha basado en la amistad y la simpatía personales que me han unido a todos ustedes. La cooperación que me ofrecieron mis colegas y amigos facilitó grandemente en todo momento el mejor desempeño de mis funciones.
Cuánto me honra y complace que el Sr. Bukar Shaib haya sido elegido Presidente independiente del Consejo! He tenido la fortuna y el privilegio de ser amigo de Bukar Shaib desde hace muchos años. Hemos trabajado juntos en diversas reuniones. Conozco bien y admiro muy sinceramente sus capacidades y su inteligencia La honestidad y la franqueza que le caracterizan se suman a sus condiciones intelectuales para conformar la personalidad de un hombre íntegro y capaz que bien merece esta distinción.
La elección de Bukar Shaib conlleva también el hecho importante de que será el primer Presidente del Consejo proveniente de Africa. Así, tan importante región del mundo ha escogido uno de sus mejores hijos para que la represente en esta alta posición.
Este hecho es símbolo significativo de la evolución en curso cuyo cumplimiento hace justicia al gran continente africano.
Bukar Shaib será un excelente Presidente del Consejo. Esa es mi convicción, que coincide con mis deseos más sincero que le transmito del fondo de mi corazón.
Dejo la Presidencia del Consejo con la fe creciente e inquebrantable en el porvenir de nuestra Organización.
La FAO debe ser fortalecida porque está llamada a cumplir una función esencial en la lucha contra el hambre y la miseria.
Las declaraciones hechas en días pasados por los ministros y jefes de delegaciones indican que la situación alimentaria ha mejorado un poco, pero aún es preocupante en el Sahel y otras regiones del mundo. Las recientes mejoras temporales en la producción no deben disminuir nuestros esfuerzos. No esperemos nuevas crisis para actuar; por el contrario, hay que aprovechar esos intervalos para avanzar, buscar soluciones a los problemas y evitar futuras dramáticas situaciones. El Director General ha iniciado una profunda y vigorosa revisión del Programa, de la política y de los métodos de trabajo de nuestra Organización. En ese empeño acompañan al doctor Saouma mis mejores y más sinceros deseos. En esta Conferencia que está por terminar, la FAO ha recibido el apoyo unánime de todos los Estados Miembros. Toda la comunidad internacional debe impulsar nuestra Organización hacia el cumplimiento de los principios del nuevo orden económico internacional en favor del Tercer Mundo. Esa no es una alternativa; es la dirección, inexorable el derrotero invariable de nuestras actividades. Trabajemos, en armonía, en pleno acuerdo, sin confrontación, en el seno de la FAO, que es nuestro Organismo y es también esperanza cierta de los pueblos que padecen hambre y de todos los Estados que necesitan aumentar su producción agrícola para asegurar la subsistencia y la dignidad de sus poblaciones. El hambre, la malnutrición, la pobreza obnubilan las mentes, apagan los espíritus, ensombrecen las conciencias. desesperan a los seres desafortunados que las padecen. Sólo una población en todos los rincones del planeta, con cuerpos sanos, mentes libres condiciones de vida mínimamente decorosas; podrá asegurar la paz y el progreso en toda la humanidad.
Mil y mil gracias, queridos compañeros y amigos. La confianza con que me honraron durante estos cuatro años ha germinado en mi espíritu, pleno de gratidud y reconocimiento, hacia todos ustedes. Me siento orgulloso y feliz de volver a ser delegado de Colombia. Les ruegos que, como en otros buenos tiempos, me acojan a su lado. Sumaré toda mi buena voluntad a los esfuerzos que ustedes vienen haciendo por fortalecer nuestra Organización. En este día recuerdos los versos del poeta que dicen: ''Sopla el viento, caen las doradas hojas del otoño con el melódico rumor de su canción. El riachuelo evoca la idílica grandeza del manantial que nos espera. Sigamos de la mano. El porvenir es nuestro, "
Applause
Applaudissements
Aplausos
G. V. K. RAO (India): My delegation takes this opportunity of congratulating Dr. Bukar Shaib, Permanent Secretary of the Government of the Federal Republic of Nigeria, on his near-unanimous election to this high post. It is indicative of the measure of trust and confidence which this august body reposes in him and the country which he has the honour to represent, and also the great continent of Africa.
This is an extremely well deserved election. Dr. Bukar Shaib is no stranger to those who have been in contact with him. He has been attending these conferences since 1963 but for a single omission. Dr. Shaib has also represented his country in the FAO Council, having first served as a member of the Programme Committee and later on as its Vice-chairman. These are a few instances out of many distinctions which Dr. Shaib has to his credit, both in his government as well as in international circles. He fully reflects all the ideals which the FAO stands for.
In his speech today, he has given ample indications of the balanced and mature person he is. I have had the privilege of personally knowing Dr. Shaib in the last few weeks while we have been here. His gentle and noble temperament leaves a lasting impression. My delegation is aware of the heavy responsibility this House is putting on his shoulders, but we have no doubt that with his distinguished background, experience and personal qualities, he will successfully discharge his many responsibilities most successfully and will add lustre to the high office he is going to occupy. My delegation once again congratulates him and assures him of our support.
So far as the outgoing Chairman, Señor Bula Hoyos, is concerned, may I congratulate and compliment him on the very successful completion of his term of office. He has been a familiar figure here for the last two decades, first as a distinguished representative of his country, and later on as the Independent Chairman for the last four years. This Organization has had the privilege of his wise counsel on many occasions, and his experience has led to the solution of many complex problems on many occasions. He has all the qualities which an Independent Chairman should have - tact, firmness, humility, and above all amiability.
As we bid him farewell today, our consolation is that he will continue to sit with us and give us the benefit of his wise counsel as the distinguished delegate of his country. I wish him all success in whatever capacity he serves his country and the international community.
G. W. THOM (United Kingdom): On behalf of the United Kingdom delegation, I would like to say a few words about the outgoing and incoming Independent Chairmen of the Council. If I speak only briefly, this is not due to any lack of respect or regard for Señor Bula Hoyos and Dr. Bukar Shaib. A number of delegations wish to speak, and in these circumstances brevity is a virtue; indeed, 1 understood from Dr. Bukar Shaib that in all circumstances brevity is a virtue.
To guide and control meetings at which delegates of many different nationalities often express widely differing views, sometimes at excessive length, is no easy task. The Chairman's job fundamentally is to ensure the Council completes its business in the time available and with the least possible friction. He must earn the respect of all by his courtesy, tolerance and firmness. He must not go to sleep, however dull the proceedings may be. He must listen carefully to every intervention so that at the end he may sum up the debate in a fair, balanced and reasonable way. He must work tirelessly to promote compromise or, better still, agreement between those holding different views. He must always be ready to forego his lunch or his leisure hours in the interests of peace, harmony and concord in the Council. He must be ready to travel to the ends of the earth in the interests of FAO.
I have tried to describe in a few words the functions of the Independent Chairman and the qualities which he should possess. As I have been speaking I have been reflecting on the way in which Mr. Bula Hoyos has performed these functions and exhibited these qualities. The conclusion at which I have arrived is that he has performed over the last four years the very difficult duties of his office with praiseworthy efficiency. He has shown firmness and tolerance. He has not, as far as I know, fallen asleep. He has summed up sensibly and impartially and he has exerted enormous efforts on occasions, of which I am personally aware, to bring together delegations or groups of delegations holding strongly different opinions.
All of us who have participated in sessions of the Council during Mr. Bula Hoyos' term of office will feel just a little sad that his time is up and that he will no longer be presiding over our meetings. We would like to thank him most warmly for everything that he has done.
We must now look to the future. My delegation is delighted that Dr. Bukar Shaib of Nigeria has been elected to succeed Mr. Bula Hoyos, We cannot of course say with complete confidence in advance that he will perform his duties in exactly the same admirable way in which his predecessor has been performing them. But we only have to look at his most distinguished record of service in Nigeria and his long association with FAO to feel completely confident that he will guide the Council through its business over the next two years with the great efficiency which he has shown in all the other tasks to which he has set his hand in his distinguished career. We most warmly congratulate him on his election and look forward with pleasure to working harmoniously with him.
F. J. SPECKS (Germany, Fed. Rep. of) (interpretation from German): My Government welcomes the fact that we now have an African Chairman of the Council, after having had a Latin-American one. My delegation, like the previous speakers, would like to congratulate Dr. Bukar Shaib very warmly on his election. The trust which Member countries have placed in Dr. Bukar Shaib by electing him shows the great trust which we have in him. The work of the Organization, the problems of the Organization, are extremely familiar to him because for many years he has attended the Conference, the Council, the Programme Committee and other bodies of FAO. Sound technical knowledge and wide experience in leading positions in the national government of his country give him a good basis for carrying out his responsible task. What we appreciate greatly is his readiness for a dialogue and his perfect fairness. We would like to express to Dr. Bukar Shaib our best wishes for success in his new responsible task.
Now I come to the Independent Chairman of the Council who is leaving us, Mr, Bula Hoyos, who after four years of successful work as Chairman of the Council has already heard the thanks of my delegation during the Seventy-Second Session of the Council. Therefore we want to be brief and just stress once again how greatly we appreciate the way in which Mr. Bula Hoyos has guided the debates of the Council, Also we have admired the art with which he has been able at the end of a discussion to give a clear, neutral and objective summary of what had happened during the discussion. We express to you our best wishes for your personal life in the future.
J. S. CÁMARA (Guinée): C'est un honneur pour moi et pour ma délégation que d'exprimer, au nom de la région africaine, notre profonde reconnaissance à cette dix-neuvième session de la Conférence, qui vient d'élire un fils de l'Afrique au poste de Président indépendant du Conseil de l'Organisation. En choisissant le Dr. Bukar Shaib, les délégués ont rendu un hommage à son pays et à toute l'Afrique. Nous connaissons tous ses eminentes qualités et l'immense travail qu'il a accompli dans cette Organisation, tant au cours des sessions de la Conférence que des sessions du Comité du Programme ou du Conseil. Nous sommes sûrs qu'il répondra parfaitement à la confiance que cette Conférence a placée en lui. Au nom de la région de l'Afrique et du Gouvernement de Guinée, nous luis souhaitons plein succès dans ses nouvelles responsabilités.
L'unanimité qui s'est faite sur son nom, d'abord dans la région africaine et ensuite au sein des autres régions, témoignent de l'immensité des problèmes qui préoccupent notre organisation. Nous pensons que la coopération utile et efficace qu'il aura avec le Directeur général ne pourra que nous aider dans notre tâche, La solidité de cette coopération entre les deux sera un gage certain pour l'avenir de cette organisation.
Nous voulons également exprimer à M. Bula Hoyos, et nous avons déjà eu l'occasion de le faire lors de la dernière session du Conseil, la profonde gratitude de la région africaine pour le travail qu'il a accompli à la tête du Conseil pour le bien de tous les pays et surtout des pays en voie de développement, spécialement dans notre région. M, Bula Hoyos est l'ami de tous les délégués africains. Pour nous, c'est très important. En revenant ici comme délégué de la Colombie, il continuera à mettre son expérience au service de l'Organisation, ainsi qu'il nous l'a dit lui-même. .
Allons de l'avant, l'avenir est à nous. Nous sommes sûrs que l'avenir est à cette Organisation, grâce au dynamisme de son chef et également grâce à un sang nouveau qui vient de lui être insufflé par l'élection du Dr. Bukar Shaib. Nous sommes convaincus que, quelles que soient les difficultés rencontrées pendant les sessions du Conseil, le Dr. Shaib, comme son prédécesseur, réussira à conduire les points de vue des différentes délégations vers un consensus sur les divers problèmes traités au Conseil. Nous lui souhaitons donc plein succès.
S. H. AL-SHAKIR (Iraq) (interpretation from Arabie): On behalf of the Near East countries I am happy to congratulate Dr. Bukar Shaib on his election as Independent Chairman of the Council for the coming session. We would like to thank the friendly country of Nigeria for having chosen Dr. Bukar Shaib to represent it and all the developing African countries. Dr. Bukar Shaib is well known to the Organization. He is equally well known in Nigeria and in other international fora. His future task is a very important one, since he has to carry out and implement quite a number of resolutions and recommendations in a practical and very serious manner, especially those which have been approved at this session of the Conference. I am convinced that the fruitful cooperation that will exist between the Independent Chairman of the Council and the Director-General of FAO will provide a corner-stone for the Organization. We will be able to progress and implement new resolutions for the great benefit of FAO and the hopes of the developing countries in full confidence.
I would like to pay tribute to our friend, Mr. Bula Hoyos, the outgoing Chairman of the Council. He has made every effort and with his qualities and integrity he has been fair and just to all groups and regions and has had close ties with everybody as well as with FAO, 'We wish him every success and we welcome him amongst the permanent delegations again. I would like to wish Dr. Bukar Shaib every success.
J. C KHARAS (Pakistan): The Pakistan delegation would like to add its voice to those before us in
congratulating Mr. Bukar Shaib on his unanimous election as the Independent Chairman of the Council.
We warmly welcome his appointment which is not only a tribute to his country but also a personal
tribute to him. It is a matter of gratification for us that this important post has for the first time
passed into the hands of a distinguished son of the great continent of Africa. We know Mr. Bukar Shaib
well and we have always been impressed by his ability, his sincerity, his seriousness, his integrity
and "is deep and abiding interest in and experience of the problems of food and agriculture in developing
countries. We are confident that he will bring all these qualities to bear upon steering the work of
the Council during the years ahead. We wish him every success and assure him of our full cooperation
in the discharge of his heavy responsibilities.
The Pakistan delegation would be failing in its duty if it did not pay tribute to Mr. Gonzalo Bula Hoyos at the end of his successful tenure as Independent Chairman of the Council. Mr. Bula Hoyos has held this important post for the last four years with great distinction. The mere fact that he was reelected two years ago for another term of independent chairmanship is a clear indication of the effective manner in which he conducted his work and it is a well merited tribute to his ability. He has discharged his heavy duties with a great sense of responsibility and devotion, and has ably guided the Council during a particularly trying perioâ when the world was faced with a food crisis of unprecedented magnitude and when new initiatives and responses were required of FAO in the light of the new international economic order. We wish to place on record our sincere appreciation for his valuable contribution towards furtnering the work of the Council and the objectives of the Organization.
My delegation has always received the closest cooperation and understanding, from Mr. Bula Hoyos and we have valued his friendship. We are glad that he will continue to be with us and that we will continue to have the benefit of his valuable experience and advice. We wish him the best of health and happiness and continued success in his career.
Β. de AZEVEDO BRITO (Brazil): Dr. Bukar Shaib has advised us to be brief and I shall certainly be brief, It is for my delegation and for myself a reason of particular satisfaction to extend in the name of the Group of Seventy-Seven the warmest congratulations to Dr. Bukar Shaib on his election as Independent Chairman of the FAO Council. We feel that Africa has a tremendous interest in the Organization's work. All of us know that Africa is a continent with a tremendous agricultural potential. It is therefore in our view particularly appropriate that at this stage the leadership of the FAO Council falls in the hands of an African son.
As a Brazilian it is even a reason of almost personal and sentimental satisfaction, the fact that a son of Nigeria will be in charge of the work and in a position of leadership of the FAO Council. Many of us know the important contribution of the Nigerian people to those of Brazilian nationality. We are confident that the experience of Dr. Bukar Shaib and his statesmanlike approach to problems, which he has shown in the past, are an excellent indication that we shall have effective leadership in the work of the Council, fully responsive to the needs of the Council so that its role can be enhanced and restored to the maximum utility and usefulness.
I should not like to conclude my statement without rendering homage to the outgoing Chairman of the Council, Dr. Gonzalo Bula Hoyos and I do that, again, in the name of the Group of Seventy-Seven.
DATO'ISHAK B. Hj. PATEH AKHIR (Malaysia): On behalf of the Malaysian delegation it gives me great pleasure indeed to pay a warm tribute to Dr. Bula Hoyos for having served the Council most creditably as Independent Chairman of the last four years. Although Malaysia has not had the pleasure of working closely with him, either as a member of the FAO Council or any of the Council's standing committees, Malaysia is very much aware of the painstaking and responsible manner in which the Council has discharged its duties. This, to our mind, reflects the painstaking and responsible qualities of the man at the helm. Needless to say that to chair an important body comprising 42 members coming from various nations and regions is no simple task. That the work of the Council has been carried out smoothly is therefore not only a credit to Mr. Gonzalo Bula Hoyos as a person but also to Colombia from which he comes.
As for the incoming Independent Chairman of the Council, Dr. Bukar Shaib of Nigeria, Malaysia welcomes his election most heartily. We wish him all the best and pray for his success. We are confident that he will acquit himself well in the interests of the Organization, an Organization upon which we depend in no small measure for world development in food and agriculture.
M. VARGAS JORDAN (Bolivia): En nombre del Grupo Latinoamericano reitero, en el momento de cesar en sus funciones Dr. Gonzalo Bula Hoyos, nuestro reconocimiento por los servicios prestados a la FAO durante los cuatro años de su mandato como Presidente.
Es digno de destacar que nuestro dilecto Presidente Independiente del Consejo, cesante, con gran eficiencia, capacidad y extraordinaria cordialidad ha pasado por este significativo organismo de gran responsabilidad demostrando su verdadera dimensión en talento y probidad como un gran personaje de América Latina.
Gonzalo Bula Hoyos es hijo de un pequeño pueblo de Colombia, Sahagun, que ha dado imagen de gran valía no sólo a su patria sino a la gran"familia de la humanidad.
Este es, a grandes rasgos, el caso de Dr. Gonzalo Bula Hoyos. En nombre de América Latina muchas gracia a nuestro dilecto y gran amigo Gonzalo Bula Hoyos.
En nombre del Grupo Latinoamericano, deseo también felicitar muy cordial y sinceramente al Sr. Bukar Shaib por su elección como Presidente Independiente del Consejo.
Puede estar seguro el nuevo Presidente Independiente- del Consejo de que en el cumplimiento de sus altas funciones estará siempre asistido por el apoyo y la colaboración de todos los países de América Latina.
A través de este distinguido representante de Africa, continente al cual unen nexos comunes a América Latina, los representantes del Tercer Mundo sentimos que se ha hecho una magnífica elección.
Todos los latinoamericanos deseamos al Sr. Bukar Shaib los mejores éxitos como Presidente Independiente del Consejo, y estamos seguros de que el viernes próximo, bajo su experta y acertada dirección, el principal organismo de la FAO seguirá desempeñando el importante papel que le corresponde.
A. U. BELINFANTI (Jamaica): The Jamaican delegation is delighted to join with the other delegations in congratulating Dr. Bukar Shaib on his appointment as Independent Chairman of the Council. Dr. Bukar Shaib has an outstanding record of service in his own country, Nigeria, matched by an equally outstanding record of distinguished service in the international field and we rejoice with our brothers from Africa in this further recognition of his ability to contribute to this Organization. We are sure that the Council will greatly benefit from his experience and his skill in its forthcoming sessions.
We also wish to add our congratulations to the outgoing Chairman, Mr. Bula Hoyos, on his performance over the last two terms. My delegation is heartened to know we will continue to benefit from his ability and experience in FAO; we salute him.
J. A. BAKER (United States of America): On behalf of the Member States of the North American region, the United States and Canada, I would like to extend our warm congratulations to our new Independent Chairman of the Council, the distinguished Dr. Bukar Shaib. We share with the other delegations here
the high appreciation of the qualities and experience which he brings to this important function. We strongly commend him for emphasizing in his statement to us here today the future role that he hopes to play as a defender of the rules of the game and as a conciliator.
As conciliator he will have before him the example of his predecessor, Mr. Gonzalo Bula Hoyos, the distinguished outgoing Independent Chairman. The fact that we have during this Conference resolved, through the practice of conciliation, the most sensitive and controversial issues before us, has its origins in the Session of the Council just preceding this meeting. There, under the leadership of Mr. Bula Hoyos and the active collaboration of the Director-General, the basis for conciliation at this Conference was laid.
Therefore our congratulations to the new Independent Chairman, as he embarks on his own path of contructive conciliation, can appropriately be combined with our gratitude to his gifted predecessor. As a personal note, I would like to state that I greatly look forward to close collaboration with Dr. Bukar Shaib as Independent Chairman and with Mr. Bula Hoyos as he looks forward to his work with us as a colleague, as Permanent Representative of Colombia.
H. MAURIA (Finland): On behalf of the five Nordic countries, Sweden, Denmark, Norway, Iceland and Finland I want to congratulate Dr. Bukar Shaib warmly on his election as the new Independent Chairman of the Council. We believe that under his chairmanship and guidance the Council will work efficiently and make good decisions. For our part we will try to be short and concise and to the point, as he has just requested.
To Mr. Bula Hoyos we would say wholeheartedly thanks for the fine work he has done under his two periods as Independent Chairman of the Council, and welcome again to this side of the podium, Mr. Bula Hoyos.
M. J. de OLIVEIRA RUIVO (Portugal): I wish to join the congratulations of the Portuguese delegations to those already expressed by the delegates of other countries to Dr. Bukar Shaib for his election to the post of Independent Chairman of the Council. His curriculum vitae has been mentioned and reveals the vast extent of his experience and his knowledge of the problems that face FAO. His participation in many FAO activities at all levels makes the Portuguese delegation certain that much can be expected from him in his chairmanship of the Council and of his ability to bring together different points of view.
On behalf of my delegation I wish to greet our good friend Mr. Bula Hoyos who will leave the chairmanship of the Council. We have appreciated in the past years the wise, competent and tactful way in which he has conducted the work of the Council. If it is with sorrow we see him leave that post, is is with satisfaction that we note that he will continue among us as the Colombian Permanent Representative.
H. CARANDANG (Philippines): The Philippine delegation would just like to register its appreciation on the outgoing Independent Chairman, Mr. Bula Hoyos. We would like to thank him for a job well done. It is also a privilege to congratulate Dr. Bukar Shaib of the great continent of Africa on his election to the position of Independent Chairman of the Council. We would like to let him know that our delegation, and for that matter all the other countries of Asia who have not spoken, shall give him full support in his endeavours. His brief speech today shows he is able to distinguish between substance and creaming. This gives us hope that he will be able to guide the Council in its deliberations so that it will be able to come to grips with the real problems facing the developing world. We therefore congratulate him and welcome him.
F, AHMED (Bangladesh): On behalf of the Bangladesh delegation I wish to congratulate the new Chairman, Dr. Bukar Shaib, on his unanimous election. The fact that there was no other candidate demonstrates the strong confidence we have in him. We have no doubt that under his chairmanship and guidance the Council will be benefited and by electing him we are paying our great tribute to a great country, with whom we have excellent relations, and to Africa as a whole. It is befitting that the first African Chairman should come from Nigeria.
I also take this opportunity to pay our very warm tribute to the outgoing Chairman, Mr. Bula Hoyos who rendered outstanding service to the Council. We have no doubt that the fine tradition established by him will be continued by his worthy successor. We note with particular pleasure that Mr. Bula Hoyos will be continuing to associate with FAO in a different capacity and we wish him every success.
Sra. D. G. RIVERA M. DE ITURBE (Mexico): Me permito hablar en nombre de la delegación de mi país para dar la bienvenida al Dr. Bukar Shaib como nuevo Presidente Independiente del Consejo.
Estimamos, señor Presidente, que el reconocimiento que hemos hecho aquí de la distinguida personalidad del Dr. Bukar Shaib es, además de un reconocimiento a título personal de todos sus merecimientos, un reconocimiento al Africa, región del mundo que lucha ahora por obtener su total independencia, no sólo en el campo de la libertad política, sino también en el campo de su libertad económica y social.
Por otra parte, considera también nuestra delegación que la presencia del Dr. Bukar Shaib ha de ser una garantía más para el mundo en desarrollo en el sentido de que nuestra Organización ampliará sus esfuerzos para desterrar el hambre y la malnutrición de las regiones del mundo que aun las padecen.
Y ahora, hablando de nuestra Región latinoamericana, he de decir que el vacío que deja en el Consejo nuestro amigo el Sr. Bula Hoyos, será compensado, con ventaja nuestra, con un nuevo y distinguido delegado dentro del Grupo Latinoamericano, donde será y es ya desde este momento, muy bien venido para que continúe ilustrándonos con su gran experiencia y su gran bonhomía.
B. E. MATAMOROS HUECK (Nicaragua): Esta delegación desea felicitar al Dr. Bukar Shaib por su elección de Presidente Independiente el Consejo.
En varias Conferencias, señor Presidente, tuve el privilegio de compartir de cerca con el Dr. Bukar Shaib las experiencias que han contribuido a formar en parte el conocimiento que tengo de FAO, y siempre he admirado! en él su calma, su equilibrio y su inteligencia.
En el discurso que el Dr. Bukar Shaib ha pronunciado esta mañana, esas cualidades que comprobé en él como vecino se repitieron en forma más amplia. Su discurso puso en evidencia nuevamente su equilibrio y su inteligencia, y algo que no le había conocido aquí muy a menudo, pues se dedicaba con afán al trabajo: su sentido del humor.
Muy pocas veces, señor Presidente, hemos tenido ocasión de escuchar en esta Píen aria un discurso que fuera, no solamente serio, sino que además tuviera sentido del humor. Creo que estas cualidades van a contribuir mucho a que los trabajos del Consejo se beneficien de ello.
En cuanto al Dr. Bula Hoyos, no me cabe decir sino que he escuchado con gran satisfacción los testimonios aportados acerca de los veinte años que él ha dedicado a la FAO. Creo que no puedo decir lo mismo, pues hace veinte años yo era un adolescente. Sin embargo puedo dar también testimonio de que siempre he apreciado su dedicación y sus esfuerzos en pro de la Organización.
Señor Presidente, creo que, aun como Presidente Independiente del Consejo, el Sr. Bula Hoyos siempre mantuvo parte de sí mismo en nuestra Región, así como el Dr. Bukar Shaib no sólo es un hijo dilecto de Africa sino también de América Latina.
O. R. ΒORÍN (Italie): Je voudrais joindre ma voix en ma qualité de représentant du pays note de la FAO à celles des orateurs qui m'ont précédé, pour féliciter M. B. SHAIB de son élection plébiscitaire au poste de Président indépendant du Conseil, et lui souhaiter une chaleureuse bienvenue. Je désire l'assurer d'ores et déjà de l'appui et de la collaboration cordiale de la délégation italienne pour son travail si important.
J'ai beaucoup apprécié son discours d'investiture si équilibré, réaliste et concret. Je vois là une garantie de l'esprit constructif avec lequel M. B. SHAIB assurera l'exercice de ses fonctions. Tous nos voeux l'accompagnent.
Je saisis enfin cette occasion pour renouveler encore une fois au Président sortant du Conseil.
M. BULA HOYOS, les sentiments d'estime de la délégation italienne et de mon amitié'personnelle. Nous
serons heureux de le retrouver bientôt parmi nous comme représentant de son pays et de continuer avec lui dans le même esprit et la même collaboration.
E. S. STAMPACH (Tchécoslovaquie): Etant le dernier orateur, je voudrais non moins chaleureusement, au nom de ma délégation et de plusieurs délégations de pays socialistes amis, exprimer nos félicitations au nouveau Président élu du Conseil, le Dr. B. SHAIB. Nous nous associons également aux remerciements présentés à Μ· Bula Hoyos, non seulement pour son travail de vingt années auprès de l'Organisation mais tout spécialement pour son travail comme Président du Conseil, en nous réjouissant de pouvoir le rencontrer comme représentant permanent de son pays auprès de l'Organisation.
ADOPTION OF REPORT (continued)
ADOPTION DU RAPPORT (suite)
APROBACION DEL INFORME (continuación)
DRAFT REPORT OF PLENARY - PART 2 (from Commission III)
PROJET DE RAPPORT DE LA PLENIERE - DEUXIEME PARTIE (la Commission III)
PROYECTO DE INFORME DE LA PLENARIA - PARTE 2 (de Ta Comisión III)
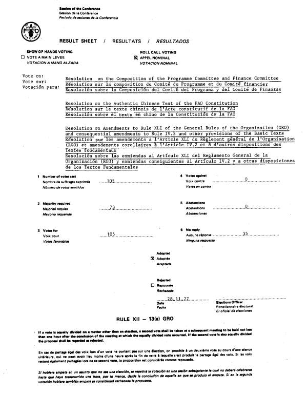
CHAIRMAN: We will now proceed to the second item on our agenda, adoption of the second part of the report of Commission III, contained in document C 77/REP/2. This document contains inter alia the proposed new structure of the Programme Committee and Finance Committee which, as you know, the Conference must now adopt in order that the nomination forms for these Committees can be filled in and submitted by the deadline required. I am told that these forms are already available in document CL 73/5 and that the deadline for the submission of nominations to all Council committees is Wednesday, 30 November 1977 at 18. 00 hours.
I would also like to remind you that the Commission report has been adopted in Commission III which, as you know, is a body of the whole. Its substance and form have been extensively discussed there and we are not expected to reopen the discussion here, I shall therefore proceed section by section for our formal adoption of the document and would ask you to refrain from raising matters of substance. If there is disagreement on any point we will simply have to vote by a show of hands. Those countries who object to one or another part of our report may have their reservations recorded in the verbatims and, should they so insist, even in the report. Any drafting amendments of a correctional nature should be handed directly to the Secretary-General on the understanding that only amendments of pure form can be retained.
You will notice that the three draft resolutions contained in the document call for amendments to the Constitution and/or the General Rules of the Organization. Such amendments must be carried by a two-thirds majority of the vote passed, provided that such a majority is more than one half of the Member Nations of the Organization. When a two-thirds majority is required the vote must be by roll-call. May I first ask whether there would be any objection if, in order to be in time, we do one roll-call vote on all three resolutions together.
I see no objection. Let us now proceed to the adoption of the report, paragraph by paragraph, leaving the resolutions for one single roll-call vote at the end.
Paragraphs 1 to 7 approved
Les paragraphes 1 à 7 sont approuvés
Los párrafos 1 a 7 son aprobados
Paragraph 8, including Resolution, not concluded
Le paragraphe 8, y compris la résolution, est en suspens
El párrafo 8, incluida la Resolución, queda pendiente
Paragraphs 9 to 11 approved
Les paragraphes 9 à 11 sont approuvés
Los párrafos 9 a 11 son aprobados
Paragraph 12, including Resolution, not concluded
Le paragraphe 12, y compris la Resolution, est ërTsuspens
El párrafo 12, incluida la Resolución, queda pendiente
Paragraphs 13 to 19 approved
Les paragraphes 13 a 19 sont approuvés
Los párrafos 13 a 19 son aprobados
Paragraph 20, including Resolution, not concluded
Le paragraphe 20, y compris la Résolution, est ën suspens
El párrafo 20, incluida la Resolución, queda pendiente
Annex approved
L'annexe est approuvée
El Anexo es aprobado
Vote
Votation
Votacion



Paragraph 8, including Resolution, adopted
Le paragraphe 8, y compris Ia resolution, est adopté
El párrafo 8, incluida la Resolución, es aprobado
Paragraph 12, including Resolution, adopted
Le paragraphe 12, y compris la resolution, est adopté
El párrafo 20, incluida la Resolución, es aprobado
Ρaragraph 20, including Resolution, adopted
Le paragraphe 20, y compris la résolution, est adopté
El párrafo 20, incluida la Resolución, es aprobado
Draft Report of Plenary - Ρart 2, was adopted
ProJet de rapport de la plenière, deuxième partie, est adoptée
EI proyecto de informe de la Plenaria - Parte 2, es aprobado
The meeting rose at 12. 45 hours
La seance est levée à 12 h. 45
Se levanta la sesion â las 12. 45 horas