“Taking samples” is a procedure used in nearly all fisheries investigations and from the sample taken we wish to be able to generalize about the population under investigation; for example, having measured a sample of Haplochromis mloto from Lake Malawi, we want to be able to say something specific, for example about the length-range of all the H. mloto in Lake Malawi. If we are to be able to do this our sample must be taken carefully.
Firstly, we must define what we mean by a population. In the example just described it was all the H. mloto in Lake Malawi but it can be defined as all the subjects or material of like kind about which we wish to generalize from our sample. So, in one instance the population might be all the fish of one particular species landed at a particular port in a particular week; for example, all the Alestes baremose landed at Wanseko, Lake Sessesako Mobutu (Lake Albert) Uganda between 17–30 March 1974. In another instance it might be all the fish of a particular species in a small pool at a particular time. In another instance it could be all the fish caught in a single trawl haul and landed on deck.
The efficiency of any sampling scheme is related to whether it allows a satisfactory generalization to be made about the population from the sample or samples. There are two main reasons why samples may not permit us to be precise in what we say about the population. These are Random Sampling Error and Bias.
When we take a sample it is unlikely that it will exactly represent the population from which it was drawn. For example, if we are sampling a landing of fish for length our random sample might contain a rather greater proportion of large fish than we would in fact find if we measured all of the fish in the landing. How is it caused? When we draw a simple random sample from a population we give all individuals in that population an equal chance of being chosen as members of that population but chance can and usually does cause individuals of some types to be over-represented and individuals of other types to be under-represented. This is random sampling error. Random sampling error can be reduced by taking larger samples and in certain cases can be reduced by sampling in another way (e.g. stratified sampling). Whether random sampling error prevents us making a valid generalization from our sample to the population will depend on the degree of precision we require of our generalization. For example, if we wish to obtain an estimate of the proportion of different lengths in the catch for the purpose of advising, say, a fish processing company of the approximate composition of the catch, it is quite probable that we and they might be content with answers which were less precise than we would wish to obtain if the results of the sample were to be used as the basic data in a scientific assessment of the fish stock, which would subsequently be used to set a catch quota.
Bias is caused by systematic error. For example, if the board we used was incorrectly numbered so that all lengths were recorded as being 1 cm longer than they actually were a systematic error of 1 cm would be introduced. This is an example of a bias. Less obviously, bias could occur if only fish from the tops of boxes were measured because selected large fish might have been put there by the fishermen to make buyers think that the boxes contained more large fish than they actually did. The reverse might happen if large fish were not put into the boxes because they were being kept aside by the fishermen for favoured buyers.
In both cases a biased sample would result because neither sample would allow us to generalize accurately about our population; the fish being landed. A bias is not removed by taking larger samples because it is caused by a basically incorrect method of obtaining a sample of the population. A known bias in a sampling scheme may be acceptable. For example, a trawl survey to determine the relative proportions of fish of two different species might be biased because the fishing gear might be more efficient at catching fish of one species than fish of the other. However, the results of such a survey would be perfectly usable if we knew that one species was twice as catchable as the other. Unfortunately, the recorder often may not be aware that the results he is obtaining are biased as causes of bias are difficult to detect, as the following examples show.
An investigator picking individual fish from a pile nearly always picks out the largest fish first causing the mean length of the sample to be systematically larger than in the pile, in this case the population being sampled.
Gulland (1966) describes types of biases that met an investigator sampling fish at Lowestoft Fish Market, when he wanted to get an estimate of the mean length of the herring landed. Being in time he always came early and took his samples from the first landings in the morning. Later it was found out that the first landings came from the boats that had been fishing nearest to the coast where the fish were, on average, smaller than those from greatest depths. Thus the sample mean was systematically smaller than the population mean (mean length of all fish landed that day).
Samples of fish always taken from the same ship, because the laboratory has good relations with the crew, are likely to be biased because individual fishing skippers normally have their own preferences in fishing places and different ways of rigging and operating their gear.
Bias due to differences between individual investigators was found during the ICES Herring Tagging Programme 1957–58 (Aasen et al, 1961) who reported how three tagging teams under indentical circumstances (tagging on board the same ship, on the same catch, etc.) consistently got significant different percentages of recapture of the fish tagged.
It is also well known how different persons get different results of age readings on the same otoliths. Subjectivism is very abundant in connection with the determination of maturity stage of gonads. The very important bias in the system we use for sampling the population of fish in the sea arises when fishing with gear that only select certain size groups of fish and this is discussed in section 9.
Bias can be detected only if: the whole sampling system from catching to subsequent laboratory analysis is studied in detail; if the reasons for it can be detected it may be able to rectify the data e.g. adding 1 cm to all fish lengths which have been measured on a board with an origin at 1 cm instead of zero.
This is not a text book of statistics many of which are available for those interested in that subject and the statistical concepts related to sampling are described in detail by Gulland (1966). However, knowledge of four statistical terms is required to understand something about sampling.
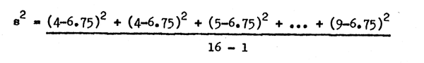
Let us say we took a very small sample of 16 fish, measured them and obtained the following results:
length (cm) | 4 | 5 | 6 | 7 | 8 | 9 |
number of measurements | 2 | 1 | 2 | 6 | 4 | 1 |
The mean is calculated by adding all the individual lengths and dividing by the number of fish:
(4 + 4 + 5 + 6 + 7 + 7 + 7 + 7 + 7 + 7 + 8 + 8 + 8 + 8 + 9) / 2 + 1 + 2 + 6 + 4 + 1
or more simply (4 × 2 + 5 × 1 + 6 × 2 + 7 × 6 + 8 × 4 + 9 × 1) / 2 + 1 + 2 + 6 + 4 + 1
which equals 8 + 5 + 12 + 42 + 9/16 = 108/16 = 6.75 cm
which is the mean of these observations.
This set of calculations can be described in a mathematical shorthand by writing:

(pronounced ‘sigma’), which simply means ‘the sum of’ or ‘add up all the observations’ and
∑ x means add up all the observations which we have called x; x is called the variable. If
we divide this by n, the number of fish in our sample, we get
(pronounced x bar), the
mean.
We could take another sample of 8 fish and get the following results:
length cm | 4 | 5 | 7 | 7 | 8 | 9 | 10 |
number of measurements | 2 | 1 | 1 | 1 | 1 | 1 | 1 |
∑x = 54, n = 8 so
= 54/8 = 6.75 cm.
These two sets of observations have the same mean but they look very different. In the first set most of the fish were 7 cm and 8 cm long; in the second set only one length group (5 cm) had more than one observation in it. So the mean does not tell us a great deal about the numbers in each length group in the sample. To describe it better we have to calculate the variance and the standard deviation.
The variance, is defined as the sum of the squares of the deviations of the observations from this mean divided by one less than the total number of observations and it is usually written s². It is written ó² (pronounced sigma squared) when it is the variance of a population and not of a sample. In statistical shorthand

(x -
) is the deviation of an observation from the mean, (x -
)² is the square of the
deviation and ∑ means ‘add them all up’ as it did in section 2.3.1. The standard deviation
is the square root of the variance.
For the first set of observations in section 2.3.1.

=2.06
s = ± 1.43 cm

| Fig. 2.1. | (a) Histiogram based on few fish measured in units of 10mm |
| (b) Histiogram based on many fish measured in units of5 mm | |
| (c) Infinite numberof fish measured in infinity small unite - Normal curve |
The three dots means that I did not want to put in the square of the deviations for all the observations. This is a long and tedious way of calculating the variance and it can be proved that:

This formula makes calculation much easier, especially on a calculating machine. It is very important to note what the brackets mean; ∑(x²) means add up all the values of x²; (∑x²) means add up all the values of x and then square the result. Taking the first sample in section 2.3.1. again
∑(x)² = 4² + 4² + 5² + 6² + 6² + 7² - - - - + 7² 8² + 8² + 8² + 8² + 9² = 760
(∑x)² = (4 + 4 + 5 + 6 + 6 + 7 + - - - - + 7 + 8 + 8 + 8 + 9)² = (108)² = 11664

which is exactly the same result as we obtained by the long method of calculation.
Many of the observations which fisheries scientists made, such as the number of fish in
each length group in a sample or the number of fish at each age in a length group form histograms
of the type shown in Fig. 2.la. If the class intervals in such a histogram were made
smaller (5 mm instead of 10 mm) and the number of fish measured increased, the outline of the
histogram would become smoother (Fig. 2.lb). Continuing this process indefinitely would produce
a bell-shaped curve as in Fig. 2.lo. This bell-shaped curve is called the Normal Curve.
It is defined entirely by its mean and its standard deviation; the latter describes its
spread (Fig. 2.2). For such a curve there is a relationship between the deviation from the
mean (
) expressed as a multiple of its standard deviation, in this case
because the normal
curve describes a whole population, and the frequency with which these deviations should
occur. In particular 95% of the individuals should lie between ±1.96 ∑ of the mean. If we
then measured one fish of the same species to which the curve refers and found that its mean
length was greater or smaller than ±1.96
then we could say that we are 95% confident that
it did not belong to the population described by the mean
and the standard deviation
. If
we took a sample of n fish and determined the mean of that sample (=
) then we could say
that it did not come from the same population as the original if its mean was greater or less
than 1.96 ∑ n than that of
. (±1.96
) describe the 95% confidence limits of a normal
distribution. If we wanted to be more accurate and describe the confidence limits within
which we were 99% certain that the mean lay we should have to work to ±3.1
/
.
The preciseness with which we can define whether a sample can be described as coming
from the population described by
and ∑ depends upon the square root of the observations we
take. This has an important bearing on fish sampling. If we measured 10 fish the accuracy
with which we could describe the mean would be s/n, s now referring to the standard deviation
of the sample of 10 fish. If we now measured 50 fish the accuracy with which we could
describe the limits of the mean would decrease by the ratio of 
= 3.16/7.07 = 0.45.

| Fig.2.2. | Three normal curves: (a) with small standred deviation, (b) with large devialtion and (c)with small standard deviation but positively biassed to right of true mean (i.e.mean of c should be the same as that of curves a and b) |
If we measured 100 fish instead of 10 it would decrease to 0.32; for 200 fish instead of 10 it would decrease to 0.22. By doubling the number of measurements from 50 to 100 we increase the accuracy with which we can define the mean by a large amount but by measuring another 100 fish we do not increase it in proportion either to the number of fish measured or to the number of fish measured or to the amount of time this would have taken.
When sampling a heterogeneous population (that is in this case one made up of fish of widely different lengths), the precision achieved can be increased, sometimes very greatly and the risk of bias reduced by dividing the population into relatively homogenous sections (e.g. fish of similar lengths) called strata (singular, stratum). Each stratum is then sampled independently, and the estimates of mean length for each obtained. These can then be combined to give the estimate for the whole population. The variance of this estimate will also be obtained by combining the variances of the estimates within the individual strata. As these latter will tend to be small - the strata being relatively homogeneous, so that the variance within strata is less, and possibly much less than the variance in the population as a whole - the variance of the final, combined estimate will also be small.
Fish are often landed by categories which consitutute readily available strata for sampling. Gulland (1966) describes one example of the application of stratified sampling to a haddock catch landed on Aberdeen market, Scotland. The haddock were landed in few categories, or strata, large, medium, small medium and small. A sampling scheme which made use of these strata resulted in a variance of the mean length which was one seventh of that obtained by not using the strata, 0.0285 compared with 0.197.
So far we have discussed mainly the theoretical aspects of sampling. More often than not sampling programmes have to be carried out in circumstances which do not allow the theory to be put into practice in complete detail. The following sections describe some of these practical difficulties and what can be done to overcome them.
How many fish to measure? To some extent this question has been answered in section
2.3.3 in which we said that the accuracy with which we could define the confidence limits of
the mean increased with the square root of the number of observations. For a fish landed
unsorted we might decide that 100 fish would give us the accuracy we required. If we found
that one container held only 80 fish it would be better to measure one container rather than
two from the landing of one ship and deploy our effort elsewhere because doubling the amount
of measuring would reduce our confidence limits to only 0.71 of that if we measured one
container. However, the fish might be landed in containers holding 300 fish and to avoid
bias we might find it necessary to measure all the fish even though the measurements of the
last 200 fish would add little to our precision of the estimate of
. A slightly quicker
method would be to measure only every third fish, discarding the other two. By measuring
the fish in this way we avoid bias caused by picking out the largest fish first (section
2.2).
The size of the sample will also depend upon the variance of the length range of the fish in the box. After a small amount of sampling this will be known within certain limits and the size of sample adjusted accordingly.
If the fish are landed by categories then some fish of each category must be measured; if they are not bias will be introduced. In this instance the total variance for all samples from all categories will be the least if the number of fish measured in each category (n) is proportional to the product of the total number of fish in the category (N) and the standard deviation of the mean (s), that is: nαNs. Usually the categories of large fish contain a wider length range of fish, but fewer of them, than the categories of small fish. For ex- ample, if the standard deviation of the mean of the category ‘large’ was ±5 cm and the total number of fish in the category was 1000 and the standard deviation of the mean of the category ‘small’ was ±2 cm and the total number of fish in the category was 8000 then the ratio of sampling of large to small would be 5000:16000 = 1:32. Of course, neither of these factors will be known for any category before it is sampled, but the likely values will be known from trial market sampling programmes.
Usually several landings are sampled on one occasion and this also affects the choice of the number of fish to measure. The variation between landings by different vessels is likely to be greater than that within categories of the same vessel, simply for the reason that they probably fished different areas whereas the length composition in one box of one category is likely to be similar to that of any other box in the same category of the one vessel. Therefore it is best to measure from as many ships as possible but it takes time to move between ships. Gulland (1966) has calculated that the best allocation of sampling time, that is, that giving the minimum variance, in terms of the number of individual samples from each

| where | sw = the within ship variance |
| sb = the between ship variance | |
| tb = time spent moving from one ship to the other | |
| tw = time spent examining one individual fish |
As most sampling programmes require raising the weight of the sample measured to the weight of the total catch of the category, complete weight units are usually measured, either in total or on the basis of measure 1 fish, discard 1 fish (as described earlier). Thus, in practice, the unit by which the fish are measured becomes the minimum sample size.
In the majority of fisheries research programmes the amount of sampling done is rarely decided by statistical criteria but by the available manpower which is limited by the amount of money a government is prepared to spend. It therefore becomes a matter of using the available manpower to best advantage by planning the sampling programme in the manner described in this section so that observations with the least variance are obtained with the least effort. The ‘best’ sampling programme has yet to be worked out. The reason for this is that the fisheries scientist is primarily interested in determining the number of fish in an age group or the growth curve of a fish species and the statistics for calculating the variance of these observations has as yet not been described.
Sampling on a boat presents many difficulties apart from those associated with working on an unstable platform. The catch consists of many species and it is not sorted into species or species groups and categories as it is on a market. If the vessel is commercial the scientist has to work in a way that will cause the least possible interference to the normal working of the boat and often he has a very limited time in which to obtain his samples.
On a research vessel the scientist-in-charge usually has some control over the amount of fish he catches because he can decide how much gear he will fish or how long he will fish it. The problems of sampling increase as the size of the catch increases. The objective should be to catch as many fish as will make one easily handled sample, Several hauls each catching a quantity of fish which can be handled easily (100–200 specimens of the species of main interest) are better than one haul of 5 tons or more. However, fishing crews do get tired constantly working gear and this also sets limits to what the scientist can do.
On a research vessel the scientist-in-charge should have control over what is done with the catch. Nothing should be done until he has given his instructions. The catch rarely consists of one species and if it is taken with a bottom trawl the fish will be mixed with benthos, stones and rubbish.
The first operation is to remove the fish from the catch and to place them in containers keeping together fish of the same species, or species groups if they cannot be easily distinguished. This operation immediately introduces a bias because it has been found that people subconsciously pick up the biggest, most attractive and least spiny fish for selection first. These will be placed in the first container to be filled and the last container will hold mainly the smallest fish of the species. It would be possible to treat each container as a stratum and apply stratified sampling techniques to the containers. For example, say there were four containers, all holding the same species. A possible approach would be as follows (see also Fig. 2.3).
1st container, large fish: | weigh the fish, measure all of them. |
2nd container, medium size fish: | take the fish out one by one, placing alternate fish in each of two baskets; fishes 1, 3, 5, etc. go in one basket, fishes 2, 4, 6 etc. go in the other. The fish in both baskets are weighed, the fish in one basket measured and the measure- ments raised by the factor of total weight divided by weight of the fish measured. |
3rd container, small fish: | take the fish out one by one, placing every third fish in each of three baskets; fishes 1, 4, 7, etc. go in the first basket, fishes 2, 5, 8 etc. in the second basket and fishes 3, 6, 9 etc. in the third basket. The fish in all baskets are weighed, the first in one basket measured and the measurements raised by the factor of total weight divided by weight of the fish measured. |
4th container, very small fish: | take the fish out one by one, putting every fourth fish in each of four baskets; fishes 1, 5, 9 etc. go in the first basket, fishes 2, 6, 10 etc. in the second basket, fishes 3, 7, 11, 15 et. in the third basket and fishes 4, 8, 12, 16 etc. in the fourth basket. The fish in all the baskets are weighed, the fish in one basket measured and the measurements raised by the factor of total weight divided by weight of the fish measured. |
If the catch of one species is larger than this, say 9 containers, the above procedure may be too time-consuming and it will be necessary to get a manageable sample in some other way. Divide the catch in sets of 4 as nearly as possible. With 9 containers the best split would be one set of 4, one set of 3 and one set of 2 (Fig. 2.3). Take the same number of empty containers as there are in the original set and place one quarter of the fish in the first empty container, one quarter in the second empty container, one quarter in the third empty container and one quarter in the fourth empty container. Repeat this with the second, third, and fourth full containers, tipping into the original empty containers which will now hold some fish and will eventually be full. This procedure is repeated with the set of 3 containers, putting one third of the fish into each empty container. When there are originally only two containers with fish it is better to split the dividing into two operations, putting the first and third quarters from the first full basket into the first empty basket and the second and fourth quarters into the second empty basket. The same should be done with the contents of the second full basket.

| Fig 2.3. | Sub-sampling on a commercial trawler: each line in stages 1 and 2 represents division of part of the full baskets (1/2, 1/3, 1/4 depending upon number of baskets at start of stage) into the empty baskets. Double line indicates that 1st and 3rd quarters are placed in one empty basket and 2nd and 3rd in the other. Full baskets at start of stage shown cross hatched. |

Fig. 2.4. Sampling large catches
From each of these sets of newly-filled baskets one is selected for measuring or the procedure is repeated until a sample of the required size fish is obtained. All the fish are weighed and the length measurements of the sampled raised to the total weight of the fish caught.
Dividing the catch between containers can be done by weighing but unless the water is flat calm weighing on a boat is not accurate and the division can be done almost as accurately by tipping the fish into the containers and estimating when they are one third or one quarter full.
The purpose of this procedure is to eliminate any bias that arose when the fish were originally picked off the deck.
If the fish were sorted by species groups the sorting into species is done as the fish are measured. Division into males and females is done at the same time.
The choice of which container of fish to keep and which to throw away can be decided arbitrarily; all the baskets should contain the same mixture of fish. Alternatively it can be decided by rolling an unbiased dice after numbering the containers or using a table of random numbers (Table 2.1). If this table is used allocate any number between 00 and 99 to each container, start at any number in the table and read either horizontally or vertically until you reach one of the numbers on the container; select the fish in this container for measuring. If more than 100 containers have to be sampled, say 200, the figures in the left hand column can be used to allocate the pairs of random numbers, taking 1, 3, 5 etc. to 0–99 and 2, 4, 6 etc. to refer to 100–199. For over 200 baskets 1, 4, 7 etc. would refer to 0–99, 2, 5, 8 etc. to 100–199 and 3, 6, 9 to 200–299 etc.
See Table 2.1 on next page.
The scientist on a commercial vessel will have to fit in his sampling with the work of the crew unless the commercial vessel is chartered, when the scientist-in-charge should have the same control as if he were on his own research vessel.
The catch may be very large and so he should aim to sample it in a manner which will give the least bias. Two methods of taking a sample from a pile of fish are shown in Fig. 2.4. This figure represents the view, looking down from above, on a catch from a trawl haul. It may be possible to take a large sample originally but not to measure it all because the crew want the fish for gutting. The large sample will need to be subsampled, say by mixing with a shovel and keeping one basketful obtained by placing every second, third or fourth shovel full (depending upon the size of the original sample) into the basket of fish to be measured. The type of sampling shown in Fig. 2.4 may have to be adopted on a research vessel when very large amounts of fish are caught.
Another way of working on large commercial vessels where the fish are gutted and washed is to measure fish as they leave the washer. The scientist must first estimate by looking at the size of the catch what proportion he wishes to measure; say it is a twentieth, he then takes every twentieth fish as it leaves the washer. This is particularly easy if only one species is being measured.
The important facts to remember when working on a commercial vessel are first, do not upset the crew and second, adapt your technique of sampling to fit in with the working of the ship so as to obtain the least bias possible. If you cannot avoid bias record what you think is the bias.
| First Thousand | ||||||||||
|---|---|---|---|---|---|---|---|---|---|---|
| 1–4 | 5–8 | 9–12 | 13–16 | 17–20 | 21–24 | 25–28 | 29–32 | 33–36 | 37–40 | |
| 1 | 23 15 | 75 48 | 59 01 | 83 72 | 59 93 | 76 24 | 97 08 | 86 95 | 23 03 | 67 44 |
| 2 | 05 54 | 55 50 | 43 10 | 53 74 | 35 08 | 90 61 | 18 37 | 44 10 | 96 22 | 13 43 |
| 3 | 14 87 | 16 03 | 50 32 | 40 43 | 62 23 | 50 05 | 10 03 | 22 11 | 54 38 | 08 34 |
| 4 | 38 97 | 67 49 | 51 94 | 05 17 | 58 53 | 78 80 | 59 01 | 94 32 | 42 87 | 16 95 |
| 5 | 97 31 | 26 17 | 18 99 | 75 53 | 08 70 | 94 25 | 12 58 | 41 54 | 88 21 | 05 13 |
| 6 | 11 74 | 26 93 | 81 44 | 33 93 | 08 72 | 31 79 | 73 31 | 18 22 | 64 70 | 68 50 |
| 7 | 43 36 | 12 88 | 59 11 | 01 64 | 56 23 | 93 00 | 90 04 | 99 43 | 64 07 | 40 36 |
| 8 | 93 80 | 62 04 | 78 38 | 26 80 | 44 91 | 55 75 | 11 89 | 32 58 | 47 55 | 25 71 |
| 9 | 49 54 | 01 31 | 81 08 | 42 98 | 41 87 | 69 53 | 82 96 | 61 77 | 73 80 | 95 27 |
| 10 | 36 76 | 87 26 | 33 37 | 94 82 | 15 69 | 41 95 | 96 86 | 70 45 | 27 48 | 38 80 |
| 11 | 07 09 | 25 23 | 92 24 | 62 71 | 26 07 | 06 55 | 84 53 | 44 67 | 33 84 | 53 20 |
| 12 | 43 31 | 00 10 | 81 44 | 86 38 | 03 07 | 52 55 | 51 61 | 48 89 | 74 29 | 46 47 |
| 13 | 61 57 | 00 63 | 60 06 | 17 36 | 37 75 | 63 14 | 89 51 | 23 35 | 01 74 | 59 93 |
| 14 | 31 35 | 28 37 | 99 10 | 77 91 | 89 41 | 31 57 | 97 64 | 48 62 | 58 48 | 69 19 |
| 15 | 57 04 | 88 65 | 26 27 | 79 59 | 36 82 | 90 52 | 95 65 | 46 35 | 06 53 | 22 54 |
| 16 | 09 24 | 34 42 | 00 68 | 72 10 | 71 37 | 30 72 | 97 57 | 56 09 | 29 82 | 76 50 |
| 17 | 97 95 | 63 50 | 18 40 | 89 48 | 83 29 | 52 23 | 08 25 | 21 22 | 53 26 | 15 87 |
| 18 | 93 73 | 25 95 | 70 43 | 78 19 | 88 85 | 56 67 | 16 68 | 26 95 | 99 64 | 45 69 |
| 19 | 72 62 | 11 12 | 25 00 | 92 26 | 82 64 | 35 66 | 65 94 | 34 71 | 68 75 | 18 67 |
| 20 | 61 02 | 07 44 | 18 45 | 37 12 | 07 94 | 95 91 | 73 78 | 66 99 | 53 61 | 93 78 |
| 21 | 97 83 | 98 54 | 74 33 | 05 59 | 17 18 | 45 47 | 35 41 | 44 22 | 03 42 | 30 00 |
| 22 | 89 16 | 09 71 | 92 22 | 23 29 | 06 37 | 35 05 | 54 54 | 89 88 | 43 81 | 63 61 |
| 23 | 25 96 | 68 82 | 20 62 | 87 17 | 96 65 | 02 82 | 35 28 | 62 84 | 91 95 | 48 83 |
| 24 | 81 44 | 33 17 | 19 05 | 04 95 | 48 06 | 74 69 | 00 75 | 67 65 | 01 71 | 65 45 |
| 25 | 11 32 | 25 49 | 31 42 | 36 23 | 43 86 | 08 62 | 49 76 | 67 42 | 24 52 | 32 45 |
This table is reproduced from Tracts for Computers by Professor E.S. Pearson, No. XXIV, Department of Statistics, University College, University of London
All fisheries' scientists need to take samples of the fish which they study. But the fisheries' scientist who is concerned with the effect of fishing upon fish, with conservation and with advising his government on fisheries' policy must collect his data in such a way that he can build from them a model from which he can predict what will happen within the fishery he is studying. The data he collects must describe as accurately as possible the fish population from which it was collected. To do this he must collect it in a precise way. This section is concerned with the collection of catch and fishing effort statistics.
Fishery statistics are usually required by people other than the scientists, for example, by economists. Therefore fisheries' statistics which meet the needs of everyone must be collected. However, the needs of the fisheries' scientists are usually greater than those of anyone else and a system set up by an economist is unlikely to satisfy the scientists' requirements. Therefore, the scientist must be responsible for the way in which the statistics are collected and over the staff who collect them.
Usually the staff who collect fisheries' statistics are the most junior members of the fisheries' organization, often working in isolated places under poor conditions. Yet the work that the highly-qualified fisheries' biologist does and the advice he gives depends upon the way in which these junior staff do their work. If they do it badly no amount of sophisticated analysis with computers will produce the correct results. If the original data are biased the answers derived from them will be wrong. Staff who collect statistics should be carefully recruited, properly trained and kept under close supervision to ensure they do their work properly. They will do their work better if they are made to feel part of the organization for which they work, see the fisheries' scientists regularly and, most important of all, are told how the information which they collect is being used.
Yet, in many countries the collection of fishery statistics is not always the responsibility of the fishery biologist. Often the system designed to collect fishery statistics is set up initially by the economists and it is not unusual to find a fishery laboratory, together with highly-qualified staff, attempting to work with the most inadequate basic data.
It must be remembered that the final results of any stock assessment study are directly related to the quality of the original, basic data.
It may seem a statement of the obvious to say that the fisheries' scientist must know the species on which he is working but this is not always as easy as it sounds. In some areas species may be very difficult to separate and the scientist may be unaware that he is calling two separate species by the same name. If there is any doubt whatsoever it is advisable to preserve reference specimens and to consult a systematist as soon as possible during your investigation.
The individual species should be represented by special statistical categories for which separate statistics are collected. Many of the statistical categories presently in use in fishery statistics are not representative of individual species, but of species, of genera or even groups of families. In some cases species may be grouped because the catches of individuals are small; this practice should be avoided as much as possible because information is lost which may become useful if one of the species in the group later becomes important. In other cases species may be grouped because they cannot be easily distinguished in the catches.
GENERAL FISHERIES COUNCIL FOR THE MEDITERRANEAN
| ORDER :Clupeiformes FAMILY: Clupeidae | FAO Sheet No.14(En) GFCM No.14(En) 1971 |
SCIENTIFIC NAME: Sardina pilchardus (Walbaum, 1792)
| SYNONYMS STILL IN USE: | Clupea pilchardus Walbaum, 1792 |
| Sardina pilchardus sardina (Walbaum, 1792) |

VERNACULAR NAMES:
| FAO - En : | Pilchard |
| Fr : | Pilchard |
| Sp : | Sardina |
| NATIONAL- | ALBN: | Sardelë | ISRL: | Sardin zefoni | ROUM: | Sardea |
| ALGR: | Sardin' | ITAL: | Sardina | SPAN: | Sardina | |
| BULG: | Sardina | LEBN: | Sardine mabroum | SYRI: | Sardin | |
| CYPR: | Sardella | LIBY: | Särdin mabrum | TUNS: | Sardina | |
| EGYP: | Sardina | MALT: | Sardina kahla | TURK: | Sardalya | |
| FRAN: | Sardine | MONC: | Sardina | USSR: | Sardina | |
| GREC: | Sardélla | MORC: | Sardina | YUGO: | Srdjela |
DISTINCTIVE CHARACTERS AND DIAGNOSIS:
Body rather rounded, oval in cross section; belly not sharply keeled in the mid-line, but a shallow ridge runs from the throat to the vent; dorsal fin originates in front of the level of the pelvic fin base; gill cover strongly marked with pronounced radiating ridges; upper jaw not notched in the mid-line; lower jaw ends in front of the hind margin of the eye; colour of the back greenish, occasionally olive, sides golden, shading to silvery-white ventrally; a row of faint dark spots along the sides.
Other field characters: silvery, large, fragile scales which do not extend to the head; no lateral line visible on the sides of the body; the last two rays of the anal fin are longer and broader than the preceding rays; an elongate modified scale is present on both lobes of the caudal fin.
DISTINCTION FROM MOST SIMILAR SPECIES OCCURRING IN THE AREA:
Sardinella aurita and S. maderensis: differ from S. pilchardus by the absence of radiating ridges on the gill cover and of dark spots along the sides of the body.
Fig. 2.5(a) Example of FAO Species Identification Sheet
Sprattus sprattus; differs from S. pilchardus by the sharply keeled belly,
with a distinct line of spiny scales running from the throat to the vent, the absence
of elongate modified scales on each caudal fin lobe, the position of the dorsal fin,
which originates slightly behind the level of the pelvic fin origin and the absence
of enlarged rays in the anal fin. | S. sprattus![]() |
Alosa alosa and Alosa fallax nilotica: differ from S. pilchardus by the
presence of a distinct notch in the mid-line of the upper jaw and by the absence
of enlarged rays in the anal fin. | |
Engraulis encrasicolus: differs from S. pilchardus by the prominent snout
and the long upper jaw, the mouth extending well past the eye. | E. encrasicolus
![]() |
SIZE:
Maximum: 22 cm in the Mediterranean, 17 cm in the Black Sea and 25 cm in the Atlantic; common: 10 to 15 cm in the Mediterranean, 6 to 8 cm in the Black Sea.
GEOGRAPHICAL DISTRIBUTION AND BEHAVIOUR:
Common in the western Mediterranean, and in the Adriatic Sea: rare in the eastern Mediterranean,
the Sea of Marmara and the Black Sea; also occurs in the Eastern Atlantic from Cape Blanc to the Dogger
Bank in the North Sea. | ![]() |
A pelagic and migratory fish, forming shoals
at shallow depths (15 to 35 m at night and 25 to
55 m by day) in coastal waters over the continental
shelf. | |
Feeds on small phyto-and zooplankton
organisms. |
PRESENT FISHING GROUNDS:
Coastal waters over the continental shelf.
CATCHES, MAIN FISHING GEAR AND PRINCIPAL FORMS OF UTILIZATION:
Separate statistics for this species are collected in Algeria (1970: 17 000 tons), Egypt, France (1970: 23 000 tons), Greece, Italy (1970: 44 000 tons), Malta, Morocco, Spain (1970: 32 000 tons), Tunisia, Turkey and Yugoslavia (1970: 11 000 tons), the catches recorded for 1970 in the GFCM area by these countries totalling 157 000 tons. However, unidentified quantities of S. pilchardus may be included in larger statistical categories by other countries.
Caught with purse seines and lamparas (light fishing), gill-nets, beach seines, trap nets and occasionally high opening bottom trawls (French Mediterranean coast).
Canning in oil or sometimes in tomato sauce is the commercially most important form of utilization in the Mediterranean; also, a rather important part of the landings is pickle-salted, or marketed fresh.
| FAO species code: 1,21(05),064,01 |
| FAO fishing area code: 37/1–8 |
Fig. 2.5(b)
As part of its Regular Programme activities FAO is preparing a series of Species’ Identification Sheets for Statistical Purposes. It is intended ultimately to prepare one sheet for each commercially-important species recorded within each of the major fishing areas recognized on the FAO World Chart “Major Fishing Areas for Statistical Purposes”. It is hoped that the Species' Identification Sheet series will help to improve the present situation by placing in the hands of the non-specialized fishery worker a practical tool for the identification of the most common commercial species occurring in his area.
An example of one such sheet for the Mediterranean area is shown in Fig. 2.5.
Fig. 2.5a and Fig. 2.5b on next two pages.
FAO is also producing a standard classification of aquatic animals and plants for statistical purposes (FAO, 1972).
Collecting catch and fishing effort data is not easy. Even when the law makes it obligatory for a fisherman to give information he will not necessarily give you the correct information if he knows you have no way of checking whether he is telling you the truth or a lie. Usually you have no way of checking so you depend on him. So it is worthwhile making him your friend. Tell him why you want the information. Listen interestedly to his answers and be prepared to listen to his troubles as well. If there are laws governing the fishery, for example, minimum mesh size regulations or minimal legal landing size, try to make sure that you are not the person who has to enforce the laws. It is difficult to be friendly one day and a policeman the next. “You must have a sense of humour in everything you do. Say what you have to say with a smile”, (Bazigos, 1973).
The first thing we wish to know is the weight of each species being landed. This, and the value of the catch, are the two quantities in which the fisheries' economists are also interested. It is impossible to give any rules about how this information is collected because they will depend upon how the catch is landed. In the large ports in England the collector of statistics can obtain the information by arranging for the trawler' owner to provide him with a sales sheet which lists weights and values by species. In some other ports the collector of statistics has to count the standard size boxes in which the fish are landed on the market and record the prices bid at auction. At the other extreme are fisheries such as those found on African lakes, where the collector of statistics has to visit each canoe as it lands and weigh the catch himself. In some instances the landing place may be so isolated that the catch must be recorded at some central point. Appendix 2.1 desoribes three types of fisheries and the method of recording catches for each.
There are standardized ways of recording catch and FAO has provided standard definitions of the basic terms used. These are given in Table 2.2 which is taken from FAO Fisheries Circular No. 248 “Nominal catches and landings : definitions and notes” (FAO, 1973a).
FAO Fisheries Circular No. 428 also describes standard methods of recording data where problems arise, for example, fish being transferred from the ship of the catches nation to that of the buyer nation in a third nation's port. It also includes a list of standard statistical classification of aquatic animals and plants.
As described in section 1 it is essential to know how much fishing effort has been used to catch the quantity of fish landed because it enables an index of abundance to be calculated. Without knowing effort it is impossible to say whether an increase in landings from 20,000 to 40,000 tons from one year to the next resulted from the fish beingtwice as abundant and the fishing effort remaining constant, or the fish abundance remaining constant and the fishing effort doubling. Equally possible is that the fish abundance went down to a half of the first year's level and the fishing effort rose by four times.
| Concepts | Definitions | Synonyms | Weight Basis |
|---|---|---|---|
| Landings | The weight of fish and fish products brought ashore, i.e., the actual weight of the quantities landed. This weight represents the net weight of the gutted, eviscerated, filleted, frozen, cured, canned fish and fish products fish meals, oils, etc. at the time of landing | Landings, landed weight | Landed weight |
| Nominal catch | The live weight equivalent of the landings | Landings, round fresh | Live weight |
Landings, whole fresh | |||
Landings, ex-water weight | |||
| Catch | The term “catch”, unless otherwise specified, normally refers to the “nominal catch”, i.e., the live weight equivalent of the landings | Landings, round fresh | Live weight |
Landings, whole fresh | |||
Landings, ex-water | |||
weight | |||
| Gross catch | The weight of the fish | Real catch | Live weight |
| Discarded catch | That part of the gross catch which, as whole fish, is returned to the sea at the time of capture | Discards | Live weight |
| Retained catch | That part of the gross which, as whole fish, is not discarded | … | Live weight |
The difference between “retained catch” and “landings” is due to:
(a) consumption by the crew
(b) use for bait
(c) dumping of whole fish because of spoilage or for other reasons
(d) dumping of guts, heads and other parts of the fish because of processing
(e) loss or gain of fluid content.
The difference between “retained catch” and “nominal catch” is accounted for by items (a), (b) and (c) above.
The difference between “nominal catch” and “landings” is accounted for by items (d) and (e) above.
The term “landings” is not used in international statistics synonymously with “number of arrivals” or “trips”.
Data on “gross catch”, “discarded catch” and “retained catch” will generally be available only in logbook entries reflecting estimates by skippers or other crew members of the quantities involved; these estimates might vary from the results (“nominal catch”) obtained by converting recorded landings to their live weight equivalent.
Fishing effort data is usually collected at the same time as catch data, that is, it is collected at the point of landing for those vessels which land fresh fish or by some form of logbook system for vessels which land frozen fish infrequently, a lobgbook may be the only method. Three examples of the collection of fishing effort data are given in Appendix 2.1.
There are many ways in which fishing effort data can be recorded. FAO has issued a list of international classifications and definitions used in fishing fleet, fishing gear and fishing effort statistics and the notes on fishing effort statistics are shown in Appendix 2.2.
The important point to remember in recording fishing effort statistics is to choose an index of measure of effort which is related as nearly as possible to the abundance of the stock. For a trawler, the number of hours with the trawl fishing in the water is better than the days on ground because the trawler will not be fishing some of the days it is on the fishing ground because of bad weather. ‘Days on ground’ is, in turn, better than ‘days absent from port’ because the latter does not take in account the number of days which a trawler has to steam to and from the fishing grounds. On the other hand, for a purse-seiner, which may search for several days using sonar before locating a fish shoal, which it may then catch in a few hours fishing, ‘days on ground’ is a much better index of fishing effort because the abundance of the fish is related to the searching time. The actual time spent catching a shoal once it is located is not related to the abundance of shoals.
It is difficult to make sure fishing effort data are comparable over long periods. Fishing units usually get more efficient each year. In Great Britain both the tonnage and engine power of trawlers has increased. Engine power has increased at about the same rate as tonnage, so the two are comparable, and ‘ton-hours’ (that is, gross tonnage x hours fished) is a useful index of fishing effort which takes into account this increase in efficiency. On the other hand the engine power of Dutch beam trawlers has increased at a much greater rate than their tonnage. The increased engine power is used to drag a heavier beam trawl over the ground more quickly. In this instance the increase in efficiency is related to the engine power and not tonnage.
In gill net fisheries the change from one material to another will affect efficiency and therefore effective fishing effort; knotless monofilament nylon gill nets are more efficient than knotted, multifilament nets which are more efficient than cotton nets.
These changes are obvious and to agreater or lesser extent quantifiable by experiment. Some factors affecting fishing effort are not. The use of sonar makes a purse-seiner more efficient at searching but the degree of increase depends upon the skill of the fishing skipper. An echo-sounder in a boat may make that boat more efficient if the echo-sounder is switched on and used efficiently. But it may make it more efficient only when fish are scarce; when fish are plentiful the use of the echo-sounder may make no difference at all. Changing the hanging ratio of gill nets may make themmore efficient. These examples are used to illustrate the difficulties of collecting meaningful fishing effort data. It is a problem which fisheries' experts are still trying to solve but if the basic rules described in this section are followed the information collected will be meaningful.
It is essential to know where the catch of a species was taken. For example, cod are landed in Great Britain from every fishing area of the North Atlantic but the catches are taken from different stocks, or populations, which do not mix. The only way in which we can relate the effect of fishing to what is happening in each stock is to record the area from which the catch was taken. This may present few problems if the vessel has been fishing in one area only. But large freezer trawlers may be at sea for three months or more during which they may have fished several different areas of the world. In this case it is usually only possible to get an estimate from the fishing skipper of the quantity of fish taken in any area. As for the recording of catch, the method of recording fishing area will depend upon the nature of the fishery.

| Code | Latitude | Longitude | Code | Quadrant of Globe | |||
| 1 | 10' | × | 10' | ||||
| 2 | 20' | × | 20' | 1 | NE | Northeast | |
| 3 | 30' | × | 30' | ||||
| 4 | 30' | × | 1° | 2 | SE | Southeast | |
| 5 | 1° | × | 1° | ||||
| 6 | 5° | × | 5° | 3 | SW | Southeast | |
| 7 | 10° | × | 10° | ||||
| 8 | 20° | × | 20° | 4 | NW | Northeast | |
| 9 | 30° | × | 30° | ||||

| Fig. 2.6 | A graticule system (based on latitudes and longitudes) for identifying statistical rectangles (from FAO 1973b) |
| INLAND WATERS | MARINE AREAS | ||
|---|---|---|---|
| 01 | Africa | Atlantic Ocean and adjacent seas | |
| 02 | America, North and Central | 18 | Arctic Sea |
| 03 | America, South | 21 | Atlantic, Northwest |
| 04 | Asia | 27 | Atlantic, Northeast |
| 05 | Europe | 31 | Atlantic, Western Central |
| 06 | Oceania | 34 | Atlantic, Eastern Central |
| 07 | USSR | 37 | Mediterranean and Black Sea |
| (08) | (Antarctica) | 41 | Atlantic, Southwest |
| 47 | Atlantic, Southeast | ||
| 48 | Atlantic, Antarctic | ||
| Indian Ocean and adjacent seas | |||
| 51 | Indian Ocean, Western | ||
| 57 | Indian Ocean, Eastern | ||
| 58 | Indian Ocean, Antarctic | ||
| Pacific Ocean and adjacent seas | |||
| 61 | Pacific, Northwest | ||
| 67 | Pacific, Northeast | ||
| 71 | Pacific, Western Central | ||
| 77 | Pacific, Eastern Central | ||
| 81 | Pacific, Southwest | ||
| 87 | Pacific, Southeast | ||
| 88 | Pacific, Antarctic | ||
Appendix 2.1 describes three examples.
It is important to record fishing area in a standard way and FAO has proposed a set of major areas for statistical purposes (Table 2.3) and a set of statistical rectangles for this purpose (Fig. 2.6).
Fig. 2.6 see the following pages.
Table 2.3 see the following pages.
FAO's system allows for the recording of catches by very small statistical squares (10' latitude x 10' longitude). If data can be recorded in this manner the fishery can be examined in detail but usually it is possible to get meaningful information for much larger areas only. It is important to make whatever statistical divisions that are used correspond to the realities of the fishery. Fishermen will give information by the names they give to their fishing areas. It is much easier to record this information if the statistical squares correspond as closely as possible to the fishermen's areas. Also each area should correspond to the distribution, or partial distribution, of one stock of fish.
We want to know when the fish were captured, usually within a week or within a month. Little difficulty is usually found in collecting data of capture with this precision except for vessels which have been at sea for long periods when it may be necessary to assume that the catch was all caught in a certain month or to divide it arbitrarily between the months the vessel has been at sea, unless there is logbook information available. This information is used for analyzing seasonal abundance, migrations and in some cases obtaining growth data.
Throughout this section stress has been placed upon recording information in a standard manner. The reason for this is that the majority of marine fisheries and many freshwater fisheries are international. Several nations may be taking fish from a stock and recording information. While much can be learnt from national data, stock assessments require international data and the problem of combining data from several sources is made very much more difficult if they are not in the same form.
Weights of fish should be in metric tons, nominal weight. It is easy to convert them to this if they are not, so long as the units in which they were originally described are precisely stated. It is worth writing “nominal catch, metric tons” if that is what your figures are. If you write ‘landings’ it is worth saying that it is used in the sense described by FAO, (1973a) or if it is not say what sense is attached to it. ‘Metric tons’ prevents confusion with short (U.S.) tons'. These are apparently very minor points but their neglect causes scientists hours of work determining what published catch statistics really mean.
Conversion factors are used to raise quantities recorded on a landed weight basis to the live weight equivalent. Conversion factors (reflecting the “yield” rates) should be compiled by all national offices and kept under constant review. They might have to be revised from time to time due to changes in the size composition of catches, the handling and processing etc. It is important to see that these conversion factors are kept standard to a set number of decimal places; when dealing with large landings a change in the third decimal place can cause a big difference in the end result. A record of them should be published and also a record of when they are changed.
| Name of Vessel………………………………… | |
| Date of Sailing…………………… 197 | Date of Landing 197…………………… |
NORTH EAST ATLANTIC (I.C.E.S.) WATERS

It is well known that most of the important stocks of fish in the North Atlantic are being heavily fished. So that the Fisheries Laboratory can follow the fate of each stock, forecast the likely future trends in the abundance of the stock, and advise on conservation measures when necessary, it is essential to have the best possible information on present catches. In particular we want to know where (according to the area shown on the chart) and when the catches were made, what type of fish were caught, and the amount of fishing (number of hauls, and average length of haul). Would you please write this information on the chart in the appropriate position? For example, if the trip is split with 43 hauls at NW Iceland and 21 hauls at NE Iceland write:-

| Fig. 2.8(a) | Chart of Fishing Grounds to be used for reporting by Fishing Skippers |
Fig. 2.8(b)
| Name of Vessel | Day | 1 | Fig. 2.9(a) Forms currently in use in the United Kingdom for recording landings | |
| Month and Year | 2 | |||
| Port | 3 | |||
| Registered Letter and No. | Nationality of Vessel | 4 | ||
| Vessel No. | 5 | |||
| Particulars of main fishing ground
Other fishing grounds |
Gross Tonnage | 6 | ||
| Registered Length | 7 | |||
| Method of Propulsion | 8 | |||
| Method of Capture | 9 | |||
| Region | 10 | |||
| Rectangle | 11 | |||
| No. of lines or drift nets | No. of Hours Fishing | 12 | ||
| No. of hauls | No. of days Absent | 13 | ||
| No. of voyages | 14 | |||
| Average duration of haul | Serial No. (For Ministry use only) | |||
| Code | Cwt. | £ | Fig. 2.9(b) | ||
| Beam | 1-01-0 | ||||
| Brill | Large | 1-02-1 | |||
| Small | 1-02-3 | ||||
| Unsorted | 1-02-4 | ||||
| Catfish | 1-03-0 | ||||
| Cod | Large | 1-04-1 | |||
| Medium | 1-04-1 | ||||
| Small | 1-04-3 | ||||
| Unsorted | 1-04-4 | ||||
| Conger Eels | 1-05-0 | ||||
| Dabs, Long Rough | 1-33-0 | ||||
| Dabs, other | 1-06-0 | ||||
| Dogfish | 1-07-0 | ||||
| Dory | 1-08-0 | ||||
| Eels | 1-09-0 | ||||
| Flounders or Flukes | 1-10-0 | ||||
| Gurnards and Latchets | 1-11-0 | ||||
| Haddock | Large | 1-12-1 | |||
| Medium | 1-12-2 | ||||
| Small | 1-12-3 | ||||
| Unsorted | 1-12-4 | ||||
| Hake | Large | 1-13-1 | |||
| Medium | 1-13-2 | ||||
| Small | 1-13-3 | ||||
| Unsorted | 1-13-4 | ||||
| Halibut | Large | 1-14-1 | |||
| Medium | 1-14-2 | ||||
| Small | 1-14-3 | ||||
| Unsorted | 1-14-4 | ||||
| Lemon Soles | Large | 1-15-1 | |||
| Small | 1-15-2 | ||||
| Unsorted | 1-15-4 | ||||
| Ling | 1-16-0 | ||||
| Megrims | Large | 1-17-1 | |||
| Small | 1-17-3 | ||||
| Unsorted | 1-17-4 | ||||
| Monks or Anglers | 1-18-0 | ||||
| Mullet, Grey | 1-35-0 | ||||
| Mullet, Red | 1-19-0 | ||||
| Plaice | Large | 1-20-1 | |||
| Medium | 1-20-2 | ||||
| Small | 1-20-3 | ||||
| Unsorted | 1-20-4 | ||||
| Pollock | 1-21-0 | ||||
| Redfish | 1-22-0 | ||||
| Saithe (Coalfish) | 1-23-0 | ||||
| Skates and Rays | 1-24-0 | ||||
| Soles | Large | 1-25-1 | |||
| Medium | 1-25-2 | ||||
| Small | 1-25-3 | ||||
| Unsorted | 1-25-4 | ||||
| Torsk (Tusk) | 1-26-0 | ||||
| Turbot | Large | 1-27-1 | |||
| Small | 1-27-3 | ||||
| Unsorted | 1-27-4 | ||||
| Whiting | 1-28-0 | ||||
| Witches | Large | 1-29-1 | |||
| Small | 1-29-3 | ||||
| Unsorted | 1-29-4 | ||||
| Livers, Raw | 1-30-1 | ||||
| Livers Oils | 1-30-2 | ||||
| Roes | 1-31-0 | ||||
| All other | 1-32-0 | ||||
| Total Demersal | |||||
| Herrings | 2-51-0 | ||||
| Mackerel | 2-52-0 | ||||
| Pilchards | 2-53-0 | ||||
| Spart | 2-54-0 | ||||
| Horse Mackeral | 2-55-0 | ||||
| Silver Smelt (Sparling) | 2-56-0 | ||||
| Whitebait | 2-57-0 | ||||
| Total Wet Fish | |||||
| Crabs | 5-71-0 | ||||
| Crayfish | 5-72-0 | ||||
| Lobsters | 5-73-0 | ||||
| Norway Lobsters | 6-81-0 | ||||
| Prawns | 6-82-0 | ||||
| Shrimps | 6-83-0 | ||||
| Cockles | 6-84-0 | ||||
| Escallops and Queens | 6-86-0 | ||||
| Mussels | 6-86-0 | ||||
| Periwinkles | 6-87-0 | ||||
| Whelks | 6-88-0 | ||||
| Squids | 6-90-0 | ||||
| Oysters(Hundreds) | Native | 5-74-1 | |||
| Mixed | 5-74-2 | ||||
| Portuguese | 5-74-3 | ||||
| Total Value | |||||
Remarks:

Fig. 2.9(c)

Fig. 2.9(d)
Ministry of Agriculture, Fisheries and Food
Method of Capture
Code No. 2.0
| TRAWLING | DREDGING | ||
| Bottom trawling - 1 vessel | 01 | Hand dredging | 60 |
| " " - 2 vessel | 02 | Power " | 61 |
| Suction " | 62 | ||
| Nephrops trawling | 06 | 63 | |
| Midwater trawling - 1 vessel | 11 | ||
| " " - 2 vessel | 12 | POTTING | |
| " " - 3 " | 13 | ||
| " " - 4 " | 14 | Pots, top-opening | 65 |
| 15 | " , side-opening | 66 | |
| " , other or mixed | 67 | ||
| Beam trawling - 1 trawl | 21 | ||
| " " - 2 trawl | 22 | ||
| " " - 3 " | 23 | LINNING | |
| SEINING | Lines (by numbers of hooks in 100s) | 70 | |
| Lines (by number of lines) | 71 | ||
| Danish seining | 26 | Lines hand-held, feathering | 72 |
| Fly seining | 27 | 73 | |
| Unspecified seining | 28 | 74 | |
| Hand picking, access by boat | 75 | ||
| Purse-seining - 1 vessel | 31 | " " , " " land | 76 |
| " " - 2 vessels | 32 | " " , divers | 77 |
| " " - 3 " | |||
| Ring-netting - 1 vessel | 41 | FOR H-FORMS | |
| " " - 2 vessels | 42 | ||
| " " - 3 " | 43 | Foreign carriers | 100 |
| 44 | |||
| 45 | |||
| Drift netting | 46 | INDUSTRIAL FISHING | |
| Trammel netting | 47 | ||
| Tangle " | 48 | When the gear used is known to be specifically for Industrial Fishing ADD 100 to the above codes, e.g. industrial pair-trawlers, midwater trawl, Code = 112 | |
| Hoop " | 49 | ||
| Stake " access by boat | 50 | ||
| " " " " land | 51 | ||
| 52 | |||
| Shank " towed by boat | 53 | ||
| " " " " tractor | 54 | ||
| 55 | |||
| Eel traps | 56 | ||
The difficulties of combining data from several nations which have not used the same statistical breakdown of areas of fishing are obvious. At the minimum the statistical squares used must correspond to the distribution of the stock but a better understanding of a fishery can usually be obtained if smaller areas of fishing are used. But, they must be standardized to be useful. Fig. 2.7 shows an example of four nations each with its own divisions of a fishing subarea based upon a stock. The difficulties, say, of analyzing north-south movements from combined information are obvious. The example is hypothetical but it corresponds very closely to the situation for North Sea data on demersal species.

It is very rarely possible to collect fishing effort data in an internationally-agreed standard manner because nations' fleets differ. To data, this has proved an unsoluble difficulty to conserving fisheries by regulating fishing effort.
Aasen, O., et al., 1961 ICES Herring tagging experiments in 1957 and 1958. Rapp. P. -V.Réun. Cons. Perm. Int. Explor. Mer, 152:50 p.
Bazigos, G.P., 1973 Training courses on fishery statistical surveys (inland waters). Rome, FAO, UNDP/SF/ZAM 11. FSS.T./1:59 p.
FAO, Department of Fisheries, 1972 Fishery Economics and Institutions Division, Coordinating Working Party on Atlantic Fishery Statistics (CWP), Northwest Atlantic (Area 21-ICNAF) and Northeast Atlantic (area 27-ICES): classification of aquatic animals and plants for statistical purposes. FAO Fish. Circ., (441): 66 p.
FAO, Department of Fisheries, 1973 Current Statistics and Economic Data Section, “Nominal catches” and “landings”: definitions and notes. FAO Fish. Circ., (428): 17 p.
FAO, Department of Fisheries, Fishery Economics and Institutions Division, Coordinating Working Party on Atlantic Fishery Statistics (CWP), A compendium of notes on an international standard classification of fishing areas for statistical purposes. FAO Fish.Circ., (372): 73 p.
Gulland, J. A., 1966 Manual of sampling and statistical methods for fisheries biology. Part 1. Sampling methods. FAO Man. Fish. Sci., (3): pag. var.
There are many ways of collecting information on catch and effort. Obviously, totally different systems must be organized to meet widely differing conditions. For example, a large freezer trawler may land once every three months at a major port in Europe but a canoe fishing with a drift net may land every day at an isolated village in Africa.
The number of staff available to undertake the work, and also their capability, will vary, and so the collecting programme must be designed to meet the existing local circumstances.
The following three examples are used to illustrate some of the methods that can be employed to cope with a variety of situations:
1. landings centred at major ports, e.g. United Kingdom
2. an African lake fishery
3. a purse-seine fishery.
This section describes the methods used when the landings of a fishery are concentrated at a small number of major ports at which ideal conditions exist for the collection of an accurate and complete set of catch and effort data. The methods used to collect landings' statistics can be conveniently split into two types, each providing a different problem:
1. wet fish landings, where the fish are preserved in ice after being caught; the maximum duration of this type of fishing voyage being usually about 21 days;
2. frozen fish landings, where the fish are frozen on board the catching vessel either whole, or after immediate processing; the duration of voyage can extend up to six months.
It is assumed that the wet fish landings occur at a fixed time each day and that a staff of collectors based at the port can collect by direct observation all the necessary information. The weight and species of all the fish being landed can be seen and recorded together with details of the type of fishing gear used to take the catch. The skipper or crew members of the vessels are interviewed to collect details of the area fished and the amount of fishing that has been done during the trip. Any other relevant information, for example, rejection of small fish etc., is also obtained during the interview. The value of the fish landed is obtained by attending the sales.
This system produces the required results with very little help from the industry other than the willingness of the skipper or crew to reveal details of the fishing operation, but it obviously requires a great deal of effort by the port-based collecting staff. There are usually a number of acceptable short-cuts available, provided that some form of cross-checking is built into the system to ensure that there is no loss of accuracy.
The most useful of these short-cuts is the use of sales notes to provide information on weight and value of catch. Almost all fishing companies produce, for each vessel on the day of landing, a detailed sales note giving the total catch and value of each species landed. In some countries it is a statutory requirement for fishing firms to supply this information, but often the exchange of information can be arranged informally rather than by enforcement.
This usually results in an improvement in the quality of the data and a much closer understanding between the industry and the scientist. The choice of a formal or informal arrangement depends very much on the local conditions and the relationship of the government with the industry.
An alternative method to interviewing the skipper and crew to collect details of fishing operations is to provide a log sheet for completion at sea by the skipper during the fishing operations. Examples based on divisions of fishing areas by grounds are shown in Fig. 2.8a-b. In theory these log sheets provide the most detailed information, but there are many practical problems to be faced. While fishing, skippers are usually too busy to complete a log and much of the contents may be written from memory much later. Log sheets are often forgotten completely or, if not collected from the vessel, are taken back to sea and lost. A log sheet system can be made to work very efficiently but it requires a continued follow-up. It is greatly helped if the log sheet is designed so that a copy be kept by the skipper in a form that he finds useful.
These present special problems because freezer trawlers make long voyages often to a number of different fishing areas. The mechanized landing of frozen blocks extend over many days and makes it impossible to collect quantities by direct observation. The information on landed weights must be obtained from the trawler owners. Fishing effort can be obtained only with the cooperation of skippers and owners. Log sheets in the form of a chart of the fishing areas (Fig. 2.8a-b) have been used in English trawlers. Some fishing companies require their skippers to complete a detailed fishing log, which may be used to get fishing effort information.
The forms used in England and Wales for recording weights of fish landed are shown in Fig. 2.9. The form shown as Fig. 2–9c-d has been designed so that the data recorded on it can be given to a punch operator who prepares the paper or magnetic tapes which are used in computer processing. It allows information about fishing effort on four different fishing grounds to be recorded together with information on the breakdown of catch by grounds and also the quantities of fish of different species landed (Fig. 2.9d). The form is complicated because it has been designed to be used to record information on the many different fishing operations in England and Wales.
This section is based on the problems of collecting statistics of a fishery which is operated mainly by small units, often a single boat and its crew, landing at numerous and scattered sites and selling through, at best, a loosely organized marketing system. Such a fishery is typical of many African lakes. The problems of collecting statistics in such a fishery are mainly organizational. Although the basic statistics are still those of catch and effort, it is usually a question of how to deploy the available manpower to collect these most effectively. This section therefore deals not only with all of the statistics which can be collected at first sale or its equivalent, but with the collection and use of statistics obtained at other points along the distribution chain.
In order to make assessments in a gill-net fishery it is usually necessary to have much more knowledge about the gear in use than in any other type of fishery, because a gill-net is highly selective. Therefore, in collecting statistics it is essential, if possible, to stratify the catch by mesh-size of nets, unless the only information which is required is total catch.
The basic data that need to be collected are:
| area fished | |
| time spent fishing | |
| type of boat |
| Type of boat | Licence No. | ||
|---|---|---|---|
| Mesh size | 1½ inches | 2 inches | 3 inches |
| Number of nets | 10 | 15 | 7 |
| Species | No. Weight | No. Weight | No. Weight |
This is only a suggested layout for a form for recording catches.
(i) Weight recorded at landing site
(a) Sorting and grading before sales. Although unusual, catches may be sorted into species and sold in standardized containers. This simplifies the task of obtaining data of total catch, by species, but it may make it very difficult to relate catch to the mesh-size of the gill-net in which it was caught. If sorting by categories occurs, category size may be closely related to mesh-size, especially for the smaller mesh-sizes.
(b) No sorting or grading before sales. A more probable situation is that each boat owner sells his catch direct to a fish buyer and that there is no sorting before this transaction. In this instance the required information can be obtained by a collector of statistics who is especially appointed for this purpose and whose duty it is to meet every landing. When landings are numerous it may not be possible to sample every boat, in which case a subsampling programme must be used. Every nth boat (for example 1st, 4th, 7th, 10th etc.) is sampled and the sampled landings raised by N/n, where N is the total number of boats landing. This method will avoid the tendency to sample the boats with the smallest catches (bypassing those with large catches), and to ignore those with no catch at all.
A subsampling routine will also cover those instances in which a major fishing community is surrounded by several minor ones, at which it is impractical to station a collector of statistics. In this case it is necessary to allow for the possibility that a proportion of the boats from each community are not used for fishing and that this proportion is unknown.
| - | Let the number of boats sampled in the main community | = n | |
| the total number of boats landing fish in the main community | = N | ||
| the total number of boats in the main community | = M | ||
| the total number of boats in the minor communities | = m | ||
| - | and the mean weight landed by each sampled boat | = w | |
| total weight landed in the main community | =Nw | ||
| proportion of boats fishing in the main community | = N/M | ||
| estimated proportion of boats fishing in the minor communities | ![]() | ||
| estimated total weight landed by all the communites | ![]() | ||
![]() |
The ratio N/M could be taken on a monthly basis, whereas (m) could probably be assessed less frequently. The boats of the minor stations should fish the same areas as those of the major stations, otherwise (w) is unlikely to be the same. If more than one type of boat is in use the calculation needs to be made for each type separately. The best method in which to employ staff is to ensure that sampling at the major stations is continuous throughout the year, deploying extra staff to the minor stations as they are available.
The choice of which communities to sample is best made by giving each of the communities a number and then using a table of random numbers (see section 2.6.1) to determine which will be visited. This avoids bias that might result from access to some villages being easier than others or pleasanter relationships existing with one than another.
The fishing communities may be so transitory, inaccessible or scattered that it is impossible to have collectors working on the above basis. In such instances it may be possible to collect statistics of total catch away from the point of first sale only. In the type of fishery under consideration, often the total catch eventually has to be transported along a few routes, which are monitored for various reasons at check-points, for example, road barriers, rail terminals, customs' point. These check-points form an ideal post at which to assess the total catch. Taking a road check-point as an example, a sampling programme can be based on the following factors:
i) average weight of fish in a package
ii) average number of packages per lorry
iii) average number of lorries passing check-point per unit of time.
In order to assess the species' composition it will be necessary, at some stage, to sample packages in order to estimate their average species' composition. Packages may not always have the same species' composition; for example, dissimilar species may never be mixed, and so it may be necessary not only to estimate how many packages of each species' group are being carried by a lorry but also how the proportions of these packages vary seasonally. As it may not be possible to examine packages from the lorries, species' composition may have to be estimated by special visits to the lake, from time to time, and this information applies to that collected at the check-points. To the total figure obtained it is necessary to add some estimate of local consumption. If this is not done the results are likely to be biased because the fish sent by lorry are likely to be those of highest value. This total catch information cannot be related directly to the mesh-size of the gill-nets in which it was caught.
The basic unit in a gill-net fishery is the gill-net, and there are several methods which can be used to assess the total number of nets fished.
In fishing communities in which collectors of statistics are based the number of nets fished can be assessed by:
(i) counting the number of nets of each mesh-size when the total landing is recorded; this can be done by subsampling if necessary as for sampling total landings (section 2.2 - this appendix)
(ii) sampling at intervals: at given intervals the number of nets fished by a sample of boats is counted and the average number of nets per fishing unit calculated. This, multiplied by the total number of fishing units, gives the total number of nets being fished. The number of fishing units may be determined by:
(a) direct census on the ground, which involves problems of access;
(b) licensing, which involves problems of avoidance;
(c) aerial survey, which has no problems of either access or avoidance and is therefore usually quick and easy.
Fishing units need to be divided into different categories depending upon their average net-carrying capacity. In 1961–62 two main types of vessels fished on Lake Sesseseku (Lake Albert), dugout canoes and various designs will constructed hulls. The latter could carry up to five times as many gill-nets as the former. An aerial canoe count gave the potential fishing effort of the canoes on the lake because that of the vessels with constructed hulls was five times that of a dugout canoe. When fishing was good and every fisherman could buy as many nets as his vessel could carry this comparison was valid. When fishing was poor the number of nets carried depended upon the money which the fisherman had available. In these conditions the comparison was not necessarily valid. Motive power needs to be considered if it affects fishing efficiency.
It may not be possible to count the number of nets in use directly at any stage; for example, nets may be left fishing continuously and visited only to remove the catch. An indirect census of the number of nets in use can be made if it is possible to identify the retail outlets from which sales of nets used in a given area are made. Sales figures of nets give an index of the number of nets fished in the lake, and are even more useful if the average life of a gill-net is known.
Many factors affect the fishing power of gill-nets, some of which are:
1. Mesh size: Because a gill-net is a very selective fishing gear its catch will depend greatly on its mesh-size. Measurements of mesh-size should always be defined as referring to either bar size - the distance between two adjacent knots - or stretched mesh-size - the distance between the centres of two opposite knots in the same mesh when fully extended along the pull of the net (the N-direction in the terminology of the International Standards Organization). For knotless nets this measurement is the distance between the centres of two opposite joints in the same mesh when fully extended along its longest possible axis.
2. Net material: the fishing power of a gill-net can vary markedly with the type of net material, the difference between multifilament and monofilament nylon gill-net being probably one of the best examples.
3. Knotted or knotless: generally this is linked with (2), monofilament nets usually being knotless, but not necessarily so, and multifilament nets knotted.
4. Size of net: this is best defined as the number of meshes in each direction, but this is a difficult statistic to collect if the gill-nets are machine-made and sold in standard sizes, so that a gill-net of a given mesh size will always be this standard size, it will be unnecessary to record the size of the net; all that is needed is the number of nets in the fleet, which defines its length. However, nets may be joined vertically. If some fishermen adopt this practice and others do not, then it may be necessary to record the total number of standard nets in a fleet and whether these are mounted horizontally or vertically, although a fleet of 10 standard nets (sn) in length by 2 sn in depth is unlikely to have the same fishing power as a fleet which is 20 sn long by 1 sn deep. The situation is often simplified by the depth of the nets becoming standardized toward the optimum, for example, to fish the whole water column from surface to bottom in shallow water. Depth of net is not then important.
5. Hanging ratio: this is defined as the ratio of the length of headline occupied by the net, if it were mounted with the meshes square, to the length of the headline occupied by the nets as actually mounted. The fishing power of a net can be altered considerable by changing its hanging ratio, but usually this standardizes toward the optimum and can be ignored. It is a difficult statistic both to collect and to incorporate into analyses.
6. Colour: there are records of variations in catch rates with net colour.
7. Number of boats in the fleet: if the fleet has to search for fish which form compact shoals, the searching efficiency will increase as the size of the fleet increases. On the other hand, as the size of the fleet increases, the chance that every boat in the fleet will be able to fish in the area of maximum abundance decreases and the fleet will become less efficient with size.
8. Area of fishing: this may need to be more closely defined than simply geographically or by small statistical squares. For example, in a lake fishery a fisherman may have the option of fishing in sheltered lagoons or close inshore or well offshore. In each of the last two areas he may have a further choice of using either floating or bottom set gill-nets. This gives a variety of fishing possibilities all of which will yield catches with a different species' composition. In addition to this there may be physical dissimilarities between different parts of the lake, which may be associated with population differences. As far as possible, the sampling programme should be stratified to take these into account.
9. Intervals between hauling: total fishing power will depend upon the number of time periods a net is fished. A time period is very often one night, the nets being shot one evening and hauled the next morning, so that a net-night becomes a standard fishing unit. However, nets may be visited less frequently and a net fished for two nights between visits is unlikely to fish as efficiently as one which is visited and cleared after each night. The problem is usually not very important because the method of working the nets generally standardizes toward the optimum, especially where deterioration of the catch is rapid.
The methods of obtaining catch per-unit-effort depend upon the methods which are used to determine both catch and effort. Ideally, the best method is to have collectors of statistics at the major landing sites, collecting accurate catch and effort statistics on a fishing vessel unit basis. Total effort can usually be assessed fairly accurately by means of fishing vessel censuses, and total catch then determined indirectly from the product of total effort and catch per-unit-effort.
As with all catch and effort statistics, the catch must refer to the unit of effort responsible for that catch. In a gill-net fishery there is the complexity that very often nets of different mesh-sizes are being fished. As stated previously, gill-nets are very selective, so it is essential, if possible, to determine how many nets of each mesh-size are being used in a fishery if proper assessments are to be made.
Tables 2.4a-b set out the type of sampling programme which may be called for in a gill-net fishery. It does not cover all the possible complexities.
The most striking development in catching methods over the past ten years has been the great advance made in aimed fishing techniques. Purse-seining and midwater trawling are dependent upon fish shoals being found by echo-sounders and sonar and the fishing gear being aimed at a particular shoal or group of shoals. The problems of collecting data from both purse-seiners and midwater trawlers for use in stock assessment are therefore quite similar.
A profitable commercial purse-seine or midwater trawl fishery is dependent upon an abundance of midwater shoals. In the majority of cases the catches of pelagic species by purse-seine are used for reduction to meal and oil. As the price for the raw material is necessarily low, and quite often fixed, this means that the purse-seine fleets must catch large quantities as quickly as possible. There is, therefore, every incentive for cooperation between individual vessels in the fleet to cut down searching time and also to seek techniques which increase the catching efficiency of the vessels (e.g. power blocks and pumping which minimize the time spent getting the catch aboard and allow more time to be spent searching.
The abundance of demersal fish caught by bottom trawls is estimated by using a simple “catch per fishing time” type of expression. This statistic implies that the number of fish caught are simply related in some ways to the area swept by the trawl, the catch being dependent more on the characteristics of the fishing vessel and its gear than on the behaviour of the fish. In contrast, the gill-net fishery is more dependent on the behaviour of the fish, the gear itself being more or less passive. The catch of a purse-seiner or midwater trawler is to a far greater degree dependent on the expertise of the skipper. The absolute magnitude of the catch might bear little relationship to the true abundance of the stock in the area.
Because catching is divided and because fishing skippers cooperate, the type of effort data collected must reflect changes in sizes of vessels operating, changes in gear and some estimate of the time spent searching for shoals.
The following data on fishing vessels is needed and any changes taking place must be recorded:
| (a) | name of vessel: | |
| (b) | length: | |
| (c) | hold capacity: | |
| (d) | engine (bhp): | |
| (e) | equipment: | |
| 1. | echo-sounder | |
| 2. | sonar | |
| 3. | size of net | |
| 4. | power block | |
| 5. | fish pump | |
| 6. | radio telephone | |
| 7. | direction finder | |
| 8. | radar. | |
Length and engine power reflect the distance from port an individual vessel is able to fish. Hold capacity gives a criterion for judging whether the catch landed might be considered as an abundance index. For example, in recent years in the Peruvian anchoveta fishery a common hold capacity is about 200 tons; catches bigger than this are often made with the purse-seine and the extra fish are either released or given to another vessel. Thus on any one day many vessels may enter Peruvian ports with full holds. The catches per landing of these vessels bear no relation to the abundance of fish in the sea; however, the number of vessels with full holds might well be the index of relative abundance. Catch per ton of hold capacity per landing affords a more useful estimate of the extent of vessels fishing to saturation point. It is in this measure that the degree of expertise of individual skippers becomes apparent. Often the fully loaded vessels are the same ones in each daily landing.
In a developing fishery the acquisition of better vessels with sonar and power blocks has led to an increase in net size. Fish pumps have been installed to ease handling and these allow more shots to be made each day. Radio telephone and direction finders help to make the fleet a more efficient searching unit, and the addition of radar allows fishing in poor weather conditions and more accurate navigation to the locations of suitable fish shoals.
Because most outlets for purse-seine-caught fish are bulk handled, it is possible to get catch information in two ways. The catch, as estimated by the skipper or mate, can be obtained by interview, together with other relevant information. Alternatively the weight of the catch paid for by the factory can be obtained but this may be much less than the fishing skipper's estimate which in turn may be either higher or lower than the actual catch. For small pelagic fish, such as the Peruvian anchoveta, differences as much as 20% are found. Losses occur in transferring the catch from the hold to the factory; these losses occur through pumps, elevators, and general deterioration of the fish by being held in bulk. If many vessels land it might not be possible to interview all skippers and both methods should be used.
To interpret catch data as an index of stock in a developing fishery, information on the geographic distribution of the stock (or catch) is essential. Daily information on the fishing positions of each vessel is desirable. With fleets of purse-seiners operated by companies, daily reporting to the company office by the skippers is often the rule, in which case it may be possible to obtain this information.
It is sometimes said that it is impossible to use purse-seine catches for estimating the abundance of a fish stock. This may well be true if catch per landing is considered because a purse-seiner stays at sea until its hold is as full as possible. Searching time must be taken into account in a purse-seine fishery and as the abundance of fish shoals becomes scarce the importance of searching time and of cooperation between fishing skippers becomes greater.
The number of purse-seine shots made could be another estimate of fishing activity. However, this measure too is influenced strongly by the efficiency of the skipper in interpreting the sonar record and making the cast correctly in relation to the movement of the fish shoal.
Because the interpretation of purse-seine effort is complex it is important to collect in detail the time spent in each part of the fishing operation:
Total length of trip
Number of shots
Time handling gear - shooting, hauling, emptying net etc.
Steaming time to and from fishing grounds
Searching time on the fishing grounds.
If this breakdown of effort information is available then it will be possible to interpret the data more effectively.
As has been repeatedly stated, with purse-seine vessels, the main problem in deriving an index of abundance is the directed nature of the fishing operation. In the Peruvian anchoveta fishery the abundance index used has been catch per gross registered ton of fleet capacity per month or day. The gross registered tonnage of a vessel summarizes a number of characteristics of the vessel, such as length, engine power etc. Various methods may be used to calculate this parameter in problems of comparison.
It is seldom possible to recommend a single best method of expressing catch per effort for purse-seiners; perhaps the simplest of catch per ton of hold capacity per hour at sea offers an estimate which includes a ship characteristic and some estimate of fishing/searching time. However, it should be remembered that the fisheries' scientist must look at the abundance index on a long-term basis for studying the effect of fishing on the stock. As fisheries develop their efficiency, the area of exploitation of the stock may increase. In the early 1960's the Peruvian anchoveta catch was taken mostly within 15 miles of the coast; by 1970 the area of exploitation extended out to 60 miles and to areas to the north and south of the original fishing areas. Perhaps catch per ton of hold capacity per unit area fished would give a reliable estimate of abundance if suitable data had been collected in early years.

PART 2 CATCH EFFORT
This appendix is taken from FAO Fisheries Circular No. 429. It describes methods of recording fishing effort statistics as recommended by FAO.
(a) No. of hours or 1000 hooks fished
No. of hours fished for otter trawls this is defined as “the total number of hours during which the trawl was on the bottom and fishing”; if countries are unable to report so precisely they should give the nearest approximation with the precise definition of the approximation used.
No. of hours fished: for dory vessels this is defined as “the number of hours the dory fleet is absent from the mother vessel times the number of dories”.
Thousands of hooks fished: this is defined as “the number of hooks used in each set times the number of sets”. This figure should be calculated to the nearest thousand hooks.
For other fishing gear: the number of hours the nets, seines, traps, pots, dredges, harpoons etc. were used in the fishing operations; this is the product of the number of hours per unit timesthe number of units.
(b) No. of hauls, drags or sets made
The number of times the fishing gear has been hauled or dragged or set, whichever description is appropriate to the fishing gear or technique used.
(c) No. of days fished
The number of days (24-hour periods, reckoned from midnight to midnight) on which any fishing took place.
For those fisheries in which searching is a substantial part of the fishing operation, days “on grounds” in which searching but not fishing took place, should be included in the days fished data.
Taking into account the inclusion of “searching time” the definition of “number of days fished” could be further refined at the national level if possible as follows: “The number of days (24-hour periods, reckoned from midnight to midnight) on which the fishing craft was on the fishing grounds, intent on catching fish (not counting the time spent steaming to or from port and between grounds) minus the number of fishing days lost through delays from weather, breakdown or other factors”.
(d) No. of days on grounds
This is defined as the number of days (24-hour periods, reckoned from midnight to midnight) in which the craft was on the fishing ground, and includes in addition to the days fishing and searching also all the other days while the craft was on the ground.
(e) No. of days absent from port
The number of days absent from port on any one trip should include the day the fishing craft sailed but not the day of landing.
Where it is known that fishing took place on each day of the trip the number of “days absent from port” should include not only the day of departure but also the day of arrival back in port.
Where on any trip a fishing craft visits more than one “fishing area” (as defined for statistical purposes) an appropriate fraction of the total number of days absent from port should be allocated to each “fishing area” in proportion to the number of days spent in each, so that the total number of days absent on any trip will be the sum of the number of days allocated to all of the different “fishing areas” visited.
(f) No. of trips made
Any voyage during which fishing took place in only one “fishing area” is to be counted as one trip.
When in a single trip a craft visits more than one “fishing area” an appropriate fraction of the trip should be apportioned to each “fishing area” in proportion to the number of days spent fishing in each, so that the total number of trips for the Statistical Area as a whole will be the same as the sum of trips to each “fishing area”.
(a) Average gross tonnage
Average gross tonnage is to be given in gross registered tons.
The averages should be weighted. Weighted averages are required in view of the decision to reduce the reporting task of the national offices by eliminating for the time being the monthly breakdown of the annual effort measure data.
(b) Average horse-power
Data should be given in “brake horse-power”. For steam engines give the data instead as “indicated HP”.
The HP averages should be given as straight i.e. unweighted averages, or as weighted averages, with an indication of the type of average used. Weighting is to be calculated on the basis of “number of trips”.
(c) Average length, overall
The overall length should be given; if this is not possible and if the registered length is substituted the word “overall” in this line is to be deleted and “reg” inserted. The length data should be given in metres (1 British foot = 0.3048 m).
These length averages should be given either as straight (unweighted) averages or as weighted averages with an indication of the type of average used. Weighting is to be calculated on the basis of “number of trips”.
(d) No. of fishing units operating
The number of fishing units operating should include every unit within the relevant “class of fishing units” that fished at least once in the fishing area.
In the case of “pair boat” fisheries the two craft together comprise one fishing unit.
For detailed standard definitions of the various types of effort see sections 1 and 2 of Part D.
Countries are asked to indicate in separate memoranda the extent to which the effort data provided on the reporting forms comply or deviate from these detailed standard definitions.
According to the priorities indicated below in sections 3.3 and 3.4 national reporting offices are requested to provide the data relating to the appropriate types of fishing effort.
In giving data on fishing time effort measures, the following desirable priorities are to be followed:
| First priority: | either “no. of hours fished” or “1000 hooks fished” should be provided; in addition, “no. of hauls, drags or sets made” should also be given. |
| Second priority: | “no. of days on ground” and “no. of days absent from port.” |
| Third priority: | “no. of trips made”. |
In giving data on fishing power effort measures, the following desirable priorities are to be followed:
| First priority: | “average gross tonnage” (see section 2.1) |
| Second priority: | “average horse-power” (see section 2.2) |
| Third priority: | “average length, overall” (see section 2.3) |
| Fourth priority: | “no. of fishing units operating” (see section 2.4) |
In additition, national offices are also to indicate the extent to which effort data provided were not recorded but were obtained by sampling.