“Prélever des échantillons” est une procédure utilisée dans presque toutes les recherches sur les pêches, et de l'échantillon prélevé nous désirons être capables de généraliser sur la population faisant l'object des recherches. Par exemple, ayant mesuré un échantillon d'Haplochromis mloto du lac Malawi, nous voulons être capables de dire quelque chose de spécifique, par exemple sur la gamme des longueurs de tous les H. mloto du lac Malawi. Si nous devons être capables de faire cela notre échantillon doit être prélevé avec soin.
Tout d'abord, nous devons définir ce que nous entendons par “une population”. Dans l'exemple décrit ici c'était tous les H. mloto du lac Malawi, mais elle peut être définie comme tous les sujets ou matériels de même espèce à propos desquels nous désirons généraliser à partir de notre échantillon. Ainsi, dans un cas la population peut être tous les poissons d'une espèce particulière mis à terre dans un certain port pendant une semaine particulière. Par exemple, tous les Alestes baremose mis à terre à Wanseko, lac Sese Seku Mobutu (lac Albert), Uganda, entre le 17 et 30 mars 1974. Dans d'autres cas, ce peut être tous les poissons d'une espèce particulière dans une petite rivière à un certain moment. Dans d'autres cas, ce peut être tous les poissons pêchés en un seul trait de chalut et amenés sur le pont.
L'efficacité de tout système d'échantillonnage est en relation avec la possibilité qu'il offre de faire une généralisation satisfaisante concernant la population à partir d'un ou de plusieurs échantillons. Deux raisons principales ne nous permettent pas d'être précis en ce que nous disons de la population. Ce sont: l'erreur de l'échantillonnage effectué au hasard et l'erreur systématique.
Quand nous prélevons un échantillon, il est peu probable qu'il représentera exactement la population dont il provient. Par exemple, si nous échantillonnons pour la longueur une quantité débarquée de poissons, notre échantillon pris au hasard peut contenir une proportion plus élevée de grands poissons que celle que nous pourrions trouver en mesurant tous les poissons mis à terre. A quoi cela est-il du? Quand nous prélevons un échantillon au hasard d'une population nous donnons à chacun des individus de cette population une chance égale d'être choisi en tant que membre de cette population, mais la chance peut causer, et généralement elle le fait, que des individus de quelques types soient sur-représentés et que des individus d'autres types soient sous-représentés. C'est une erreur d'échantillonnage effectué au hasard. L'erreur d'échantillonnage effectué au hasard peut être diminuée par le prélèvement de plus grands échantillons, et dans certains cas elle peut être réduite en échantillonnant d'une autre façon (p. ex., échantillonnage stratifié). Que l'erreur d'échantillonnage effectué au hasard nous empêche de faire une généralisation valable de notre échantillon à la population dépend du degrée de précision que nous demandons à notre généralisation. Par exemple, si nous désirons obtenir une estimation de la proportion des différentes longueurs dans la capture dans le but de conseiller, disons, une société de traitement du poisson sur la composition approximative de la capture, il est probable que nous pourrons nous contenter tous deux de réponses qui seraient moins précises que celles que nous désirerions obtenir si les résultats de l'échantillon devaient être utilisés comme données de base dans une évaluation scientifique du stock de poissons, laquelle serait utilisée par la suite pour établir un quota de capture.
Le biais est causé par une erreur systématique. Par exemple, si la planche à mesurer était mal graduée de façon que toutes les longueurs relevés soient plus grandes de 1 cm que les longueurs réelles, on aurait introduit une erreur systématique de 1 cm. C'est un exemple de erreur systématique. D'une manière moins évidente, il peut y avoir une erreur systématique si on ne mesure que les poissons du dessus des caisses parce que les grands poissons choisis peuvent y avoir été mis par les pêcheurs pour inciter les acheteurs à penser que les caisses contenaient plus de grands poissons qu'il y en avait en réalité. Il peut se produire le contraire si les grands poissons n'étaient pas mis dans les caisses parce que les pêcheurs les avaient mis de côté pour des acheteurs favorisés.
Dans les deux cas l'échantillon est affecté d'une erreur systématique parce ni l'un ni l'autre ne nous permettrait de généraliser avec précision sur notre population d'après les poissons mis à terre. Une erreur systématique n'est pas supprimée en prélevant de plus grands échantillons parce qu'elle est causée par une méthode fondamentalement incorrecte pour obtenir un échantillon de la population. Une erreur systématique connue dans un plan d'échantillonnage peut être acceptable. Par exemple, une enquête sur le chalut pour déterminer les proportions relatives de poissons de deux espèces différentes peut être affectée d'une erreur systématique parce que l'engin de pêche peut être plus efficace pour capturer les poissons d'une espèce que de l'autre. Cependant, les résultats d'une telle enquête seraient parfaitement utilisables si nous savons qu'une espèce se capture deux fois plus facilement que l'autre. Malheureusement, celui qui relève les données peut souvent ne pas savoir que les résultats qu'il obtient sont entachés d'une erreur systématique dont il est difficile de détecter les causes comme dans les exemples suivants.
Un enquêteur prélevant des poissons individuels dans une pile préléve presque toujours les plus grands poissons les premiers ce qui a pour résultat une longueur moyenne de l'échantillon systématiquement plus grande que celle de la pile, qui dans ce cas est la population échantillonnée.
Gulland (1966) décrit des types d'erreur systématique qu'á rencontrés un chercheur échantillonnant des poissons au marché au poisson de Lowestoft quand il voulait obtenir une estimation de la longueur moyenne des harengs débarqués. Etant exact, il arrivait toujours de bonne heure et prélevait ses échantillons dans les premières mises à terre du matin. Plus tard on a trouvé que les premières mises à terre provenaient de navires qui avaient pêché au plus près de la côté, où les poissons étaient plus petits en moyenne que ceux de plus grandes profondeurs. La moyenne de l'échantillon était donc systématiquement plus petite que la moyenne de la population (longueur moyenne de tous les poissons mis à terre ce jour).
Il est probable que les échantillons de poissons provenant toujours du même navire, parce que le laboratoire est en bons termes avec l'équipage, sont affectés d'erreur systématique parce que les patrons de pêche individuels ont normalement leurs préférences pour les lieux de pêche et les différentes façons de gréer et manoeuvrer leur engin.
On a trouvé une erreur systématique due à des différences entre des chercheurs individuels lors du Programme de marquage de harengs de la CIEM 1957–58 (Aasen et al, 1961) qui rapportent comment trois équipes de marquage dans des circonstances identiques (marquant à bord du même navire, sur la même capture, etc.) ont obtenue uniformément des pourcentages différents significatifs de recapture de poissons marqués.
On connait bien aussi comment différentes personnes obtiennent des résultats différents en lisant les mêmes otolithes. La subjectivité est grande en ce qui concerne la détermination des stades de maturité des gonades. L'erreur systématique très importante dans le système que nous utilisons pour échantillonner la population de poissons dans la mer, se produit quand on pêche avec un engin qui sélectionne seulement certains groupes de taille des poissons, et cela est examiné dans la section 9.
L'erreur systématique peut être détectée seulement si: 1. Le système complet d'échantillonnage, de la capture à l'analyse ultérieure au laboratoire, est étudié en détail; si on peut en détecter les raisons on peut être capable de rectifier les données, p. ex., ajouter 1 cm à toutes les longueurs qui ont été relevés sur une planche graduée dont l'origine est 1 cm au lieu de zéro. 2. Deux méthodes différentes d'échantillonnage qui théoriquement doivent donner le même résultat divergent.
Il n'existe pas de manuel de statistiques parmi les nombreux manuels disponibles, pour les personnes intéressées par ce sujet et les concepts statistiques en liaison avec l'échantillonnage sont décrits en détail par Gulland (1966). Cependant, il faut connaître quatre termes de statistique pour comprendre quelque chose à l'échantillonnage.
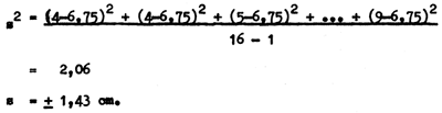
Disons que nous avons pris un très petit échantillon de 16 poissons, nous les avons mesurés et obtenu les résultats suivants:
| longueur (cm) | 4 | 5 | 6 | 7 | 8 | 9 |
| nombre de mesures | 2 | 1 | 2 | 6 | 4 | 1 |
La moyenne est calculée en additionant les longueurs individuelles et en divisant le total par le nombre de poissons:
(4 + 4 + 5 + 6 + 7 + 7 + 7 + 7 + 7 + 7 + 8 + 8 + 8 + 8 + 9) / 2 + 1 + 2 + 6 + 4 + 1
ou plus simplement
(4 × 2 + 5 × 1 + 6 × 2 + 7 × 6 + 8 × 4 + 9 × 1) / 2 + 1 + 2 + 6 + 4 + 1
ce qui égale 8 + 5 + 12 + 42 + 9/16 = 108/16 = 6,75 cm
qui est la moyenne de ces observations.
Cette suite de calculs peut être écrite dans une sténographie mathématique sous la forme:

(prononcer “sigma”), qui signifie simplement “la somme de” ou “additionner toutes les observations” et∑x signifie additionner toutes les observations que nous avons appelées x; x est appelé la variable. Si nous divisons cela par n, le nombre de poissons dans notre exemple, nous obtenons \?\ (prononcer x barre), la moyenne.
Nous pouvions prendre un autre échantillon de 8 poissons et obtenir les résultats suivants:
| longueur (cm) | 4 | 5 | 7 | 7 | 8 | 9 | 10 |
| nombre de mesures | 2 | 1 | 1 | 1 | 1 | 1 | 1 |
∑x = 54, n = 8 dono
= 54/8 = 6,75 cm.
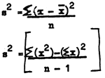
Ces deux séries d'observations ont la même moyenne mais elles paraissent très différentes. Dans la première série la plupart des poissons avaient 7 cm et 8 cm de long; dans la seconde série une seul groupe de longueurs (5 cm) comprenait plus d'une observation. La moyenne ne nous en dit pas beaucoup au sujet des nombres dans chaque groupe de longueur dans l'échantillon. Pour décrire mieux celui-ci nous devons calculer la variance et l'écart type.
La variance est définie comme la somme des carrés des déviations des observations de cette moyenne divisée par le nombre total d'observations moins un et on l'écrit généralement s². Elle s'écrit 6² (prononcer sigma carré) quand c'est la variance d'une population et non d'un échantillon. En sténographie statistique

(x -
) est la déviation de
la moyenne d'une observation (x -
)² est le carré
de l'écart type et ∑ signifie les additionner tous comme nous avons
fait dans la section 2.3.1. L'écart type est la racine
carrée de la variance.
Pour la première série d'observations de la section 2.3.1

Les trois points signifient que je ne voulais pas introduire le carré des écarts types pour toutes les observations. C'est une manière longue et fastidieuse de calculer la variance et on peut prouver que:

Cette formule rend les calculs plus faciles, en particulier avec une machine à calculer. Il est très important de noter ce que veulent dire les parenthèses; ∑(x²) signifie additionner toutes les valeurs de x²; (∑x)² signifie additionner toutes les valeurs de x et ensuite élever le résultat au carré. En prenant de nouveau le premier échantillon de la section 2.3.1
∑(x)² = 4² + 4² + 5² + 6² + 7² - - - - + 7² + 8² + 8² + 8² + 8² + 9² = 760
(∑x)² = (4 + 4 + 5 + 6 + 6 + 7 + - - - - + 7 + 8 + 8 + 8 + 8 + 9)² = (108)² = 11664

quiest exactement le même résultat que celui obtenu par la longue méthode de calcul.

Fig.2.1 (a) Histogramme basé sur quelques poissons mesurés unités de 10mm
(b) Histogramme basé sur beaucoup de poissons mesurés en unités de 5 mm
(c) Nombre infini de poissons mesurés en unités infiniment petites Courbe normale
Beaucoup des observations effectuées par les chercheurs
halieutiques, comme le nombre de poissons dans chaque groupe de longueur dans un
échantillon ou le nombre de poissons à chaque
âge dans un groupe de longueur, forment des histogrammes du type
montré dans la Fig. 2.1a. Si les intervalles de classe dans un tel
histogramme avaient été diminués (5 mm au
lieu de 10 mm) et si le nombre de poissons avait été
augmenté, les contours de l'histogrammes seraient devenus plus doux (Fig.
2.1b). En continuant indéfiniment le processus on obtendrait une courbe en
cloche comme dans la Fig. 2.1c. Cette courbe en cloche est appelée la
courbe normale. Elle est définie entièrement par sa
moyenne et son écart type; ce dernier décrit son
étalement (Fig. 2.2). Pour une telle courbe il existe une relation entre
l'écart de la moyenne (
) exprimée comme un
multiple de son écart type, dans ce cas Δ parce que la courbe normale
décrit une population entière, et la
fréquence avec laquelle ces écarts doivent se produire. En
particulier 95 % des individus doivent se trouver entre ± 1,96 Δ de la moyenne. Si
nous avions ensuite mesuré un poisson de la même
espèce à laquelle la courbe se rapporte, et
trouvé que sa longueur moyenne était plus grande ou plus
petite que ± 1,96 Δ alors nous pouvions dire que nous avons une confiance de 95 %
qu'il n'appartient pas à la population décrite par la
moyenne
et l'écarte type Δ. Si nous prenions un
échantillon de n poissons et déterminions la moyenne de
cet échantillon ( =
), alors nous pourrions dire qu'il ne
provient pas de la même population que l'original si sa moyenne
était plus grande ou plus petite de 1,96 Δ /
que celle de
. (±1,96 Δ) décrit les limites de confiance
à 95 % d'une distribution normale. Si nous voulions être
plus précis et décrire les limites de confiance entre
lesquelles nous serions certains à 99 % que se trouve la moyenne nous
aurions à travailler à ± 3,1 Δ/
.
La précision avec laquelle nous pouvons définir si un échantillon peut être décrit
comme provenant de la population décrite par
et Δ dépend de la racine carrée du nombre
d'observations effectuées. Cela est d'une grande portée sur l'échantillonnage de poissons.
Si nous avions mesuré 10 poissons, la précision avec laquelle nous pourrions décrire la moyenne serait s/
, s se
rapportant maintenant à l'écart type de
l'échantillon de 10 poissons. Si maintenant nous avions
mesuré 50 poissons, la précision avec laquelle nous
pourrions décrire les limites de la moyenne diminuerait du rapport
/
= 3,16/7,07 = 0,45.
Si nous avions mesuré 100 poissons au lieu de 10
il descendrait à 0,32; pour 200 poissons au lieu de 10 il diminuerait
jusqu'à 0,22. En doublant le nombre de mesures de 50 à 100
nous augmentons de beaucoup la précision avec laquelle nous pouvons
définir la moyenne, mais en messurant 100 autres poissons nous ne
l'augmentons pas en proportion soit du nombre de poissons mesurés soit du
temps que cela aurait pris.
Quand on échantillonne una population hétérogène (qui est dans ce cas constituée de poissons de longueurs très différentes), la précision obtenue peut être augmentée de beaucoup parfois et le risque d'erreur systématique réduit en divisant la population en sections relativement homogènes (p. ex. poissons de longueurs similaires) appelées strata (singulier stratum) ou strates. Chaque strate est ensuite échantillonnée indépendamment, et on obtient des estimations de longueur moyenne pour chacune. Ces estimations peuvent être combinées pour donner l'estimation pour la population complète. La variance de cette estimation sera aussi obtenue en combinant les variances des estimations à l'intérieur des strates individuelles. Comme ces dernières tendront à être petites - les strates étant relativement homogènes, donc la variance dans chaque strate est moindre, et il est possible qu'elle soit beaucoup moindre que la variance dans la population dans son entier - la variance de l'estimation combinée finale sera petite aussi.
Les poissons sont souvent débarqués par catégories qui constituent des strates facilement disponibles pour l'échantillonnage. Gulland (1966) décrit un exemple de l'application de l'échantillonnage stratifié à l'églefin mis à terre au marché d'Aberdeen, Ecosse. Les églefins étaient mis à terre dans quelques catégories ou strates: grands, moyens, moyens petits, et petits. Un plan d'échantillonnage qui utilisait ces strates a eu pour résultat une variance de la longueur moyenne qui était un septième de celle obtenue en n'utilisant pas les strates, 0,0285 au lieu de 0,197.

Fig.2.2 Trois courbes normales: (a) avec un faibel écart-type, (b) avec un grand écart-type et (c) avec un failble écart-type mais dévié positivement á droite de la moyenne reéelle (c'est-á-dire, la moyenne de o doit être la même que celle des courbes a et b).
Jusqu'à présent, nous avons discuté surtout des aspects théoriques de l'échantillonnage. Le plus souvent les programmes d'échantillonnage doivent être mis en oeuvre dans des circonstances qui ne permettent pas de mettre la théorie en pratique dans tous ses détails. La section suivante décrit quelques-unes de ces difficultés pratiques et ce qui peut être fait pour les surmonter.
Combien faut-il mesurer de poissons? Jusqu'à un
certain point il a été répondu
à cette question dans la section 2.3.3 où nous disons que
la précision avec laquelle nous pouvions définir les
limites de confiance de la moyenne augmentait avec la racine carrée du
nombre d'observations. Pour un poisson mis à terre non
trié nous pourrions décider que 100 poissons nous
donneraient la précision que nous voulions. Si nous trouvons qu'un
récipient contenait seulement 80 poissons il serait mieux de mesurer un
récipient plutôt que deux du débarquement
d'une navire et déployer notre effort ailleurs parce qu'en doublant la
quantité de mesures nous réduirions nos limites de
confiance à 0,71 seulement de celles obtenues en mesurant un
récipient. Cependant, les poissons peuvent être mis
à terre dans des récipients contenant 300 poissons et pour
éviter l'erreur systématique nous pouvons trouver
nécessaire de mesurer tous les poissons bien que les mesures des 200
derniers poissons ajouteraient peu à notre précision de
l'estimation de
. Une méthode
légèrement plus rapide serait de mesurer seulement un
poisson tous les trois poissons, en écartant les deux autres. En mesurant
les poissons de cette façon nous évitons l'erreur
systématique causée par le prélevement des
plus grands poissons les premiers (section 2.2).
La grandeur de l'échantillon dépend aussi de la variance de la gamme de longueur des poissons dans la caisse. Après l'échantillonnage d'une petite quantité on la connaîtra dans certaines limites et la grandeur de l'échantillon sera ajustée en conséquence.
Si les poissons sont débarqués par catégories, alors on peut mesurer quelques poissons de chaque catégorie; s'il en est ainsi il n'y aura pas d'erreur systématique. Dans ce cas la variance totale pour tous les échantillons de toutes les catégories sera moindre si le nombre de poissons mesurés dans chaque catégorie (n) est proportionnel au produit du nombre total de poissons dans la catégorie (N) et l'écart type de la moyenne (s) qui est nαNs. Pratiquement les catégories de grands poissons contiennent une plus large gamme de longueur des poissons, mais moins que les catégories de petits poissons. Par exemple, si l'écart type de la moyenne de la catégorie “grands” est ±5 cm et le nombre total de poissons dans la catégorie est 1 000, et l'écart type de la moyenne de la catégorie “petits” est ±2 cm et le nombre total de poissons dans cette catégorie est 8 000, alors le taux d'échantillonnage de grands à petits serait 5 000 : 16 000 = 1 : 32. Naturellement, aucun de ces facteurs ne sera connu pour quelque catégorie que ce soit avant qu'elle soit échantillonnée, mais les valeurs probables seront connues d'après les programmes d'essai d'échantillonnage du marché.
Généralement, on échantillonne plusieurs débarquements à la fois et cela affecte aussi la choix du nombre de poissons à mesurer. La variation entre les mises à terre par différents navires doit probablement être plus grande que celle dans les catégories du même navire simplement pour la raison qu'ils ont pêché dans différentes zones alors que la composition des longueurs dans une caisse d'une catégorie est vraisemblablement similaire à celle de n'importe quelle autre caisse dans la même catégorie de ce navire. Par conséquent, il vaut mieux mesurer les poissons d'autant de navires que possible, mais cela prend du temps d'aller d'un navire à l'autre. Gulland (1966) a calculé que la meilleure allocation de temps pour échantillonner, c'est-à-dire, celle donnant la variance minimum, en termes du nombre d'échantillons individuels de chacun

où sw = la variance dans le navire
sb = la variance entre navires
tb = temps passé pour aller d'un navire à l'autre
tw = temps passé pour examiner un poisson individuel.
Comme la plupart des programmes d'échantillonnage nécessitent d'élever le poids de l'échantillon mesuré au poids de la capture totale de la catégorie, on mesure généralement des unités de poids complètes, soit en totalité, soit sur la base de mesure 1 poisson mesuré un poisson rejeté (comme décrit auparavant). Ainsi, en pratique, l'unité selon laquelle les poissons sont mesurés devient la grandeur minimum d'échantillon.
Dans la majorité des programmes de recherches sur les pêches la quantité d'échantillonnages effectuées est rarement décidée par des critères statistiques mais par la main d'oeuvre disponible quiest limitée par la somme qu'un gouvernement est prêt à dépenser. Il devient donc una question d'utilisation au mieux de la main d'oeuvre disponible en faisant les plans du programme d'échantillonnage de la façon décrite dans cette section afin d'obtenir des observations avec la plus faible variance au prix des efforts les plus faibles. Le “meilleur” programme d'échantillonnage est encore à établir. La raison en est que les chercheurs halieutiques sont d'abord intéressés à déterminer le nombre de poissons dans un groupe d'âge ou la courbe de croissance d'une espèce de poisson et les statistiques pour calculer la variance de ces observations n'ont pas encore été décrites.
L'échantillonnage sur un navire présente beaucoup de difficultés à part celles associées à l'accomplissement d'un travail sur une plate-forme instable. La capture se compose de beaucoup d'espèces et n'est pas triée en espèces ou groupes d'espèces et catégories comme elle l'est sur un marché. Si le navire est industriel, le chercheur doit travailler d'une manière qui provoque le moins possible d'interférence avec le travail normal du navire, et souvent il dispose d'un temps très limité pour obtenir ses échantillons.
Sur un navire de recherche, le chercheur responsable exerce généralement quelque contrôle sur la quantité de poisson qu'il pêche parce qu'il peut décider du nombre d'engins qu'il emploiera ou combien de temps il pêchera avec. Les problèmes de l'échantillonnage augmentent quand la grandeur de la capture augmente. L'objectif doit être de pêcher autant de poissons que peut contenir un échantillon d'une manipulation facile. Plusieurs traits capturant chacun une quantité de poissons qui peuvent être manipulés facilement (100 – 200 spécimens de l'espèce présentant l'intérêt principal) valent mieux qu'un trait de 5 tonnes ou plus. Cependant, les équipages de pêche se fatiguent à manoeuvrer constamment un engin et aussi cela limite ce qu'un chercheur peut faire.
Sur un navire de recherche, le chercheur responsable doit avoir le contrôle sur ce que l'on fait de la capture. Rien ne doit être fait avant qu'il ait donné ses instructions. La capture se compose rarement d'une espèce et si elle est pêchée avec un chalut de fond des poissons seront mélangés à du benthos, des pierres et des débris.
La première opération est d'enlever les poissons de la capture, et de les placer dans des récipients recevant des poissons de la même espèce, ou des groupes d'espèces si on ne peut pas les distinguer facilement. Cette opération introduit immédiatement une erreur systématique parce qu'on a trouvé qu'inconsciemment les gens prélèvent les poissons les plus gros, les plus attirants et les moins épineux, qui seront choisis les premiers. Ils seront mis dans le premier récipient à remplir et le dernier récipient recevra surtout les plus petits poissons de l'espèce. Il serait possible de traiter chaque récipient comme une strate et d'appliquer les techniques d'échantillonnage stratifié aux récipients. Par exemple, disons qu'il y avait quatre récipients contenant tous la même espèce. Le processus suivant serait possible (voir aussi Fig. 2.3).
| 1er récipient, grands poissons: 2ème récipient, poissons de taille moyenne: |
peser les poissons, les mesurer tous. prendre les poissons un à un en plaçant al- ternativement un poisson dans chacun de deux paniers; les poissons 1, 3, 5, etc., sont dans un panier; les poissons 2, 4, 6, etc., sont dans l'autre. Les poissons des deux paniers sont pesés, les poissons d'un panier sont mesurés et les mesures multipliées par le facteur de poids total divisé par le poids des poissons mesurés. |
| 3ème récipient, petits poissons: | prendre les poissons un à un, en mettant chaque troisième poisson dans chacun de trois paniers; les poissons 1, 4, 7, etc., sont dans le premier panier; les poissons 2, 5, 8, etc. dans le second panier et les poissons 3, 6, 9, etc. dans le troisième panier. Les poissons de tous les paniers sont pesés, les premiers d'un panier sont mesurés et les mesures multipliées par le facteur de poids total divisé par le poids des poissons mesu- rés. |
| 4ème récipient, très petits poissons: | en sortir les poissons un à un, en mettant chaque quatrième poisson dans chacun de quatre paniers; les poissons 1, 5, 9, etc. sont dans le premier panier; les poissons 2, 6, 10, etc. dans le second panier; les poissons 3, 7, 11, 15, etc. dans le troisième panier, et les poissons 4, 8, 12, 16, etc. dans le quatrième panier. Les poissons de tous les paniers sont pesés, les poissons d'un panier sont mesurés et les mesures élevées par le facteur de poids total divisé par le poids des poissons mesurés. |
Si la capture d'une espèce dépasse 9 récipients p. ex., la procédure ci-dessus peut prendre trop de temps et il sera nécessaire d'avoir un échantillon plus maniable de quelque autre façon. Diviser la capture en séries de 4 aussi proches que possible. Avec 9 récipients la meilleur division serait une série de 4, une série de 3 et une série de 2 (Fig. 2.3). Prendre le même nombre de récipients vides qu'il y en a dans la série originale et mettre un quart des poissons dans le premier récipient vide, un quart dans le second récipient vide, un quart dans le troisième récipient vide et un quart dans le quatrième récipient vide. Répéter l'opération avec le second, le troisième et le quatrième récipients pleins, en déversant dans les récipients vides originaux qui vont maintenant contenir des poissons et éventuellement seront pleins. Cette procédure est répétée avec la série de 3 récipients, en mettant un tiers des poissons dans chaque récipient vide. Quand à l'origine il y a deux récipients seulement avec du poisson il vaut mieux couper la division en deux opérations, en mettant le premier et le troisième quarts du premier panier plein dans le premier panier vide et les second et quatrième quarts dans le second panier vide. Il faut en faire de même avec le contenu du second panier plein.
On sélectionne un panier dans chaque série de paniers venant d'être remplis, pour effectuer les mesures ou la procédure est répétée jusqu'à ce qu'un échantillon de poissons de la taille voulue soit obtenu. Tous les poissons sont pesés et les mesures de longueur de l'échantillon élevées au poids total des poissons pêchés.

Fig.2.3 Sous-éechantillonnage sur un chalutier industriel: chaque ligne dans les stades 1 et 2 repésente la division d'une partie des paniers pleins (½, ⅓, ou ¼ selon le nombre de paniers au début du stade) dans les paniers vides. La ligne double indique que le 1er et 3eme quarts sont mis dans un panier vide et le 2eme et le 3eme dans l'autre. Les paniers pleins au début de stade sont hachurés en diagonale.

Fig.2.4 Echantillonnage de grosses captures
La division de la capture entre les récipients peut être faite par pesée mais à moins que la mer soit au calme plat la pesée n'est pas précise sur un bateau et la division peut être effectuée avec presque la même précision en déversant les poissons dans les récipients et en estimant quand ils sont remplis au tiers ou au quart.
Le but de cette procédure est de supprimer toute erreur systématique qui surgissait quand les poissons étaient prélevés sur le pont, à l'origine.
Si les poissons étaient triés par groupes d'espèces, le triage en espèces est effectué quand les poissons sont mesurés. La division en mâles et femelles est faite au même moment.
Le choix du récipient de poisson à conserver et de celui à écarter peut être décidé arbitrairement, tous les paniers doivent contenir le même mélange de poissons. On peut en décider soit en faisant rouler un dé sans erreur systématique après avoir numéroté les récipients, soit en utilisant un tableau de chiffres pris au hasard (Tableau 2.1). Pour utiliser ce tableau il faut attribuer un numéro de 00 à 99 à chaque récipient, partir de n'importe quel nombre sur le tableau et lire horisontalement ou verticalement jusqu'à ce que vous rencontries un des nombres portés par les récipients; choisir les poissons de ce récipient pour les mesurer. Si on doit échantillonner plus de 100 récipients, soit 200, les chiffres dans la colonne de gauche peuvent être utilisés pour attribuer les paires de nombres pris au hasard, prenant 1, 3, 5, etc. pour se référer à 0-99, et 2, 4, 6, etc. pour se reférer à 100–199. Pour plus de 200 paniers, 1, 4, 7 etc. se référerait à 0-99; 2, 5, 8 etc. à 100–199 et 3, 6, 9 à 200–299, etc.
Le chercheur à bord d'un navire industriel devra ajuster son échantillonnage au travail de l'équipage à moins que le navire industriel soit affrété, alors le chercheur responsible aura le même contrôle que s'il était sur son propre navire de recherche.
La pêche peut être très abondante et alors il doit être amené à l'échantillonner de la manière qui donne la moindre erreur systématique. Deux méthodes pour prélever un échantillon d'une pile de poissons sont montrées dans la Fig. 2.4. Cette figure représente la vue de haut en bas de la capture d'un trait de chalut. Il peut être possible de prendre un grand échantillon à l'origine mais pas de le mesurer en entier parce que l'équipage a besoin du poisson pour l'éviscérer. Le grand échantillon devra être sous-échantillonné, par exemple par mélange à la pelle et en conservant le contenue d'un panier plein obtenu en déversant chaque seconde, troisième ou quatrième pelletée (selon la grandeur de l'échantillon original) dans le panier de poissons à mesurer. Le type d'échantillonnage montré par la Fig. 2.4 peut devoir être adopté à bord d'un navire de recherche quand il a capturé de trés grandes quantités de poisson.
Une autre façon d'opérer sur les grands navires industriels où les poissons sont éviscérés et lavés, est de mesurer les poissons quand ils sortent de la machine à laver. Le chercheur doit d'abord estimer en regardant la grandeur de la capture quelle proportion il désire mesurer; disons que c'est un vingtième, alors il prélève chaque vingtième poisson sortant de la machine à laver. C'est particulièrement facile si on mesure seulement une espèce.
Les faits importants dont il faut se souvenir quand on opère à bord d'un navire industriel sont d'abord, de ne pas déranger l'équipage, et en second lieu, adapter votre technique d'échantillonnage pour qu'elle s'articule avec le travail du navire de façon à obtenir le moins possible d'erreur systématique. Si vous ne pouvez éviter l'erreur systématique prenez note de ce que vous pensez être l'erreur.
| Premier centaine | ||||||||||
|---|---|---|---|---|---|---|---|---|---|---|
| 1-4 | 5-8 | 9-12 | 13-16 | 17-20 | 21-24 | 25-28 | 29-32 | 33-36 | 37-40 | |
| 1 | 23 15 | 75 48 | 59 01 | 83 72 | 59 93 | 76 24 | 97 08 | 86 95 | 23 03 | 67 44 |
| 2 | 05 54 | 55 50 | 43 10 | 53 74 | 35 08 | 90 61 | 18 37 | 44 10 | 96 22 | 13 43 |
| 3 | 14 87 | 16 03 | 50 32 | 40 43 | 62 23 | 50 05 | 10 03 | 22 11 | 54 38 | 08 34 |
| 4 | 38 97 | 67 49 | 51 94 | 05 17 | 58 53 | 78 80 | 59 01 | 94 32 | 42 87 | 16 95 |
| 5 | 97 31 | 26 17 | 18 99 | 75 53 | 08 70 | 94 25 | 12 58 | 41 54 | 88 21 | 05 13 |
| 6 | 11 74 | 26 93 | 81 44 | 33 93 | 08 72 | 32 79 | 73 31 | 18 22 | 64 70 | 68 50 |
| 7 | 43 36 | 12 88 | 59 11 | 01 64 | 56 23 | 93 00 | 90 04 | 99 43 | 64 07 | 40 36 |
| 8 | 93 80 | 62 04 | 78 38 | 26 80 | 44 91 | 55 75 | 11 89 | 32 58 | 47 55 | 25 71 |
| 9 | 49 54 | 01 31 | 81 08 | 42 98 | 41 87 | 69 53 | 82 96 | 61 77 | 73 80 | 95 27 |
| 10 | 36 76 | 87 26 | 33 37 | 94 82 | 15 69 | 41 95 | 96 86 | 70 45 | 27 48 | 38 80 |
| 11 | 07 09 | 25 23 | 92 24 | 62 71 | 26 07 | 06 55 | 84 53 | 44 67 | 33 84 | 53 20 |
| 12 | 43 31 | 00 10 | 81 44 | 86 38 | 03 07 | 52 55 | 51 61 | 48 89 | 74 29 | 46 47 |
| 13 | 61 57 | 00 63 | 60 06 | 17 36 | 37 75 | 63 14 | 89 51 | 23 35 | 01 74 | 59 93 |
| 14 | 31 35 | 28 37 | 99 10 | 77 91 | 89 41 | 31 57 | 97 64 | 48 62 | 58 48 | 69 19 |
| 15 | 57 04 | 88 65 | 26 27 | 79 59 | 36 82 | 90 52 | 95 65 | 46 35 | 06 53 | 22 54 |
| 16 | 09 24 | 34 42 | 00 68 | 72 10 | 71 37 | 30 72 | 97 57 | 56 09 | 29 82 | 76 50 |
| 17 | 97 95 | 63 50 | 18 40 | 89 48 | 83 29 | 52 23 | 08 25 | 21 22 | 53 26 | 15 87 |
| 18 | 93 73 | 25 95 | 70 43 | 78 19 | 88 85 | 56 67 | 16 68 | 26 95 | 99 64 | 45 69 |
| 19 | 72 62 | 11 12 | 25 00 | 92 26 | 82 64 | 35 66 | 65 94 | 34 71 | 68 75 | 18 67 |
| 20 | 61 02 | 07 44 | 18 45 | 37 12 | 07 94 | 95 91 | 73 78 | 66 99 | 53 61 | 93 78 |
| 21 | 97 83 | 98 54 | 74 33 | 05 59 | 17 18 | 45 47 | 35 41 | 44 22 | 03 42 | 30 00 |
| 22 | 89 16 | 09 71 | 92 22 | 23 29 | 06 37 | 35 05 | 54 54 | 89 88 | 43 81 | 63 61 |
| 23 | 25 96 | 68 82 | 20 62 | 87 17 | 96 65 | 02 82 | 35 28 | 62 84 | 91 95 | 48 83 |
| 24 | 81 44 | 33 17 | 19 05 | 04 95 | 48 06 | 74 69 | 00 75 | 67 65 | 01 71 | 65 45 |
| 25 | 11 32 | 25 49 | 31 42 | 36 23 | 43 86 | 08 62 | 49 76 | 67 42 | 24 52 | 32 45 |
De Tracts for Computers by Professor E.S. Pearson, No. XXIV, Department of Statistics, University College, University of London
Tous les chercheurs halieutiques doivent prélever des échantillons des poissons qu'ils étudient. Mais le chercheur qui s'occupe de l'effet de la pêche sur le poisson, de la conservation et qui conseille son gouvernement sur la politique des pêches doit rassembler ses données de telle manière qu'à partir d'elles il peut construire un modèle d'après lequel il pourra prédire ce qui se passera dans la pêcherie qu'il étudie. Les données qu'il rassemble doivent décrire aussi précisément que possible la population de poissons dont elles proviennent. A cette fin, il doit les rassembler d'une manière précise. Cette section traite des rassemblement des statistiques de capture et d'effort de pêche.
Les statistiques de pêche sont généralement demandées par d'autres que des scientifiques, par exemple, des économistes. Il faut rassembler des statistiques de pêche qui satisfont les exigences de chacun. Cependant, les besoins des chercheurs halieutiques sont généralement plus grands que ceux d'aucun autre et un système établi par un économiste a peu de probabilités de satisfaire les exigences des scientifiques. Les scientifiques doivent donc être responsables de la façon selon laquelle les statistiques sont rassemblées et du personnel qui les rassemble.
Habituellement le personnel qui rassemble les statistiques de pêche se compose des membres les plus jeunes de l'organisation des pêches, travaillant souvent en des lieux isolés dans de mauvaises conditions. Néanmoins le travail que font les biologistes des pêches hautement qualifiés et les conseils qu'ils donnent dépendent de la manière selon laquelle ces jeunes membres du personnel font leur travail. S'il n'est pas bien fait aucun nombre d'analyses sophistiquées avec l'aide de calculateurs ne donnera les résultats corrects. Si les données originales sont entachées d'erreur systématique les réponses qui en dérivent seront fausses. Le personnel qui rassemble les statistiques doit être recruté avec soin, bien entrainé et maintenu sous une étroite supervision pour s'assurer qu'ils font correctement leur travail. Ils feront mieux leur travail si on les amène à sentir qu'ils sont une partie de l'organisation pour laquelle ils travaillent, s'ils voient régulièrement les scientifiques des pêches, et le plus important de tout, si on leur dit comment on utilise les informations qu'ils rassemblent.
Cepepndant, dans plusieurs pays le rassemblement des statistiques de pêche n'est pas toujours sous la responsabilité des biologistes halieutiques. Souvent le système conçu pour rassembler les statistiques de pêche est établi initialement par les économistes et il n'est pas inhabituel de trouver un laboratoire des pêches, avec un personnel hautement qualifié, essayant de travailler avec les données de base les moins appropriées.
Il faut se rappeler que les résultats finaux de toute étude d'évaluation des stocks sont en relation directe avec la qualité des données de base originales.
Il peut sembler une vérité première de dire que le chercheur halieutique doit connaître l'espèce sur laquelle il travaille mais ce n'est pas toujours aussi facile qu'il en a l'air. Dans quelques zones les espèces peuvent être séparées très difficilement et le chercheur peut ne pas s'apercevoir qu'il attribue le même nom à deux spéces séparées. S'il existe la moindre doute, il est recommandable de conserver des spécimens de référence et de consulter un systématicien le plus tôt possible pendant vos recherches.
Les espèces individuelles doivent être représentées par des catégories de statistiques spéciales pour lesquelles on rassemble des statistiques séparées. Beaucoup des catégories de statistiques actuellement utilisées dans les statistiques de pêche ne sont pas représentatives d'espèces individuelles, mais d'espèces, de genres ou même de groupes de familles. Dans quelques cas les espèces peuvent être groupées parce que les captures d'individus sont faibles; cette pratique doit être évitée dans la mesure du possible parce que des informations qui peuvent devenir utiles si une des espèces du groupe prend de l'importance, sont perdues. Dans d'autres cas, des espèces peuvent être groupées parce qu'il est difficile de les distinguer dans les captures.
| CLUP Sardi 1 | |
| 1971 |
FICHES FAO D'IDENTIFICATION DES ESPECES
| FAMILLE: CLUPEIDAE | ZONE DE PECHE 37 (Médit. et m. Noire) |
| Sardina pilchardus (Walbaum, 1792) |
| SYNONYMES ENCORE UTILISES: | Clupea pilchardus Walbaum, 1792 Sardina pilchardus sardina (Walbaum, 1792) |

NOMS VERNACULAIRES:
| FAO - An : | European pilchard |
| Es : | Sardina europea |
| Fr : | Sardine européenne |
| NATIONAUX - | ALBN: | Sardelë | GREC: | Sardélla | MONC: | Sardina |
| ALGR: | Sardin' | ISRL: | Sardin zefoni | ROUM: | Sardea | |
| BULG: | Sardina | ITAL: | Sardina | SYRI: | Sardîn | |
| CYPR: | Sardella | LIBA: | Sardine mabroum | TUNS: | Sardina | |
| EGYP: | Sardina | LIBY: | Särdin mabrum | TURQ: | Sardalya | |
| ESPA: | Sardina | MALT: | Sardina kahla | URSS: | Sardina | |
| FRAN: | Sardine | MARC: | Sardina | YOUG: | Srdjela |
CARACTERES DISTINCTIFS ET DIAGNOSE:
Corps à section transversale ovale; carène ventrale peu développée mais visible de la gorge à l'anus; nageoire dorsale débutant en avant de l'origine des nageoires pelviennes; opercule présentant des stries rayonnantes très prononcées; mâchoire supérieure dépourvue d'échancrure médiane; mâchoire inférieure n'atteignant pas le bord postérieur de l'oeil; dos verdâtre, quelquefois olivâtre, flancs dorés devenant blanc-argenté ventralement; une rangée horizontale de taches sombres peu accentuées sur les côtés du corps.
Autres caractères marquants: écailles grandes, argentées et caduques ne recouvrant pas la tête; ligne latérale invisible; les deux derniers rayons de la nageoire anale plus forts et plus longs que les précédents; une écaille longue et modifiée sur chacun des lobes de la negeoire caudale.
DIFFERENCES AVEC LES ESPECES LES PLUS SIMILAIRES DE LA REGION:
Sardinella aurita et S. maderensis: diffèrent de S. pilchardus par l'absence de stries rayonnantes sur l'opercule et de points sombres sur les côtés du corps.
Fig. 2.5(a) Exemple de Fiches FAO d'identification des espèces
Sprattus sprattus: diffère de S. pilchardue par la présence d'une carène ventrale
très développée, formée d'une rangée d'écailles pointues s'ètendant de la gorge à l'anus;
l'absence d'écailles modifiées sur la negeoire caudale; la position de la nageoire
dorsale qui débute un peu en arrière de l'origine des nageoires pelviennes et l'absence
de rayons plus développés que les autres à la nageoire anale. | ![]() |
Alosa alosa et A. fallax nilotica: diffèrent de S. pilchardus par la présence
d'une échancrure médiane à la mâchoire supérieure et l'absence de rayons plus
développés que les autres à la negeoire anale. | ![]() |
Engraulis encrasicolus: diffère de S. pilchardus par le museau proéminent
et la mâchoire supérieure longue, dépassant très nettement l'oeil. | |
| TAILLE: | |
Maximum: 22 cm en Méditerranée, 17 cm en mer Noire et 25 cm dans l'Atlantique;
commune: 10 à 25 cm en Méditerranée, 6 à 8 cm dans la mer Noire. | |
| DISTRIBUTION GEOGRAPHIQUE ET HABITUDES: | |
Cette espèce est commune dans le bassin ouest
méditerranéen et dans l'Adriatique, rare dans le
bassin est, la mer de Marmara et la mer Noire;
elle est présente dans l'Atlantique est, du cap
Blanc au Dogger Bank dans la mer du Nord. Pélagique et migratrice, cette espèce forme des bancs en eau peu profonde (15 à 35 m la nuit
et 25 à 55 m le jour). Elle se nourrit de phyto et de zooplancton de
petite taille. | ![]() |
| LIEUX DE PECHE ACTUELS: | |
Eaux côtières du plateau continental. | |
CAPTURES, ENGINS DE PECHE PRINCIPAUX ET FORMES PRINCIPALES D'UTILISATION:
Des statistiques séparées sont recueillies pour cette espèce en Algérie (1970: 17 000 tonnes), Egypte, France (1970: 23 000 tonnes), Grèce, Italie (1970: 44 000 tonnes), Malte, Maroc, Espagne (1970: 32 000 tonnes), Tunisie, Turquie et Yougoslavie (1970: 11 000 tonnes); le total rapporté pour les pays de la zone du CGPM en 1970 s'est élevé à 157 000 tonnes. D'autres pays incluent probablement cette espèce dans de plus vastes catégories statistiques.
Elle est capturée à la senne tournante et au lamparo (pêche au feu), au filet maillant, à la senne de plage, avec des filets fixes et parfois au chalut (côtes méditerranéennes françaises).
Elle est essentiellement commercialisée sous forme de conserves à l'huile ou à la sauce tomate; une partie importante est également conservée dans le sel et le vinaigre ou vendue fraîche.
Fig. 2.5(b)
Dans le cadre des activités du Programme régulier de la FAO des Fiches d'identification des espèces pour les besoins des statistiques de pêche, sont en cours de préparation. Il est prévu en tout dernier, de préparer une fiche pour chaque espèce d'importance commerciale figurant dans chacune des zones de pêche importantes reconnues dans la carte mondiale de la FAO “Principales zones de pêche pour les besoins des statistiques”. On espère que la série de fiches d'identification des espèces aidera à améliorer la situation actuelle en mettant dans les mains du travailleur des pêches non-spécialisé, un outil pratique pour l'identification des espèces commerciales les plus courantes rencontrées dans sa zone.
La Fig. 2.5 donne l'exemple d'une fiche pour la région méditerranéenne.
La FAO produit aussi une classification standard des animaux et des plantes aquatiques pour les besoins des statistiques (FAO, 1972).
Le rassemblement de données de capture et d'effort de pêche n'est pas facile. Même quand la loi rend obligatoire pour un pêcheur de donner des informations, il ne vous le donnera pas nécessairement correctes s'il sait que vous ne pouvez vérifier en auoune façon, ainsi vous dépendez de lui. Il est donc valable de vous en faire un ami. Dites-lui pourquoi vous voulez les informations. Ecoutez avec intérêt ses réponses et soyez préparé à écouter aussi bien ses ennuis. S'il existe des lois régissant la pêcherie, p. ex. réglementation de la dimension minimum des mailles ou taille légale minimum des débarquements essayez d'assurer que vous n'êtes pas la personne qui doit appliquer les lois. Il est difficile de se comporter en ami un jour et en agent de police le suivant. “Vous devez avoir le sens de l'humour dans tout ce que vous faites. Dites avec un sourire ce que vous avez à dire” (Bazigos, 1973).
La première chose que nous voulons savoir est le poids de chaque espèce mise à terre. Cela, et la valeur de la capture, sont les deux quantités qui intéressent aussi l'économiste des pêches. Il est impossible de donner des règles sur la manière de rassembler ces informations parce qu'elles dépendent de la façon de débarquer les captures. Dans les grands ports d'Angleterre le collecteur de statistiques peut obtenir les informations en s'arrangeant avec l'armateur du chalutier qui lui donne une fiche de ventes énnumérant les poids et valeurs par espèce. Dans d'autres ports, le collecteur de statistiques doit compter les caisses de dimension standard dans lesquelles les poissons sont débarqués sur le marché et relever les prix offerts aux enchères. A l'autre extrémité se trouvent les pêcheries du type des celles des lacs africains où le collecteur de statistiques doit visiter chaque pirogue qui débarque et peser la capture lui-même. Dans quelques cas les points de débarquement peuvent être tellement isolés que la capture doit être relevée en quelque point central. L'Appendix 2.1 décrit trois types de pêcheries et la façon de relever les captures dans chacune.
Il existe des moyens standardisés de relever les captures et la FAO a donné des définitions standard des termes fondamentaux utilisés. Ils sont donnés dans le tableau 2.2 qui est extrait de la Circulaire FAO sur les pêches No. 428 “Captures nominales” et “quantités débarquées”, définitions et notes (FAO, 1973a).
La circulaire FAO sur les pêches No. 428 décrit aussi des méthodes standard pour relever les données quand il se pose des problèmes spéciaux. Par exemple, des poissons étant transférés de navire de la nation qui pêche à celui de la nation qui achète dans un port d'une troisième nation. Elle comprend aussi une liste de la classification statistique standard des animaux et plantes aquatiques.
Comme il est dit dans la section 1, il est essential de savoir quelle quantité d'effort de pêche a été employée pour capturer la quantité de poisson débarquée parce qu'elle permet de calculer un indice d'abondance. Si l'effort n'est pas connu il est impossible de dire si une augmentation des quantités débarquées de 20 000 à 40 000 tonnes d'une année à l'autre était le résultat d'une abondance double du poisson , l'effort de pêche demeurant constant, ou l'abondance de poisson restant constante l'effort de pêche, ayant doublé. Il est possible également que l'abondance de poisson tombe à la moitié du niveau de la première année et que l'effort de pêche soit multiplié par quatre.
Les données de l'effort de pêche sont généralement recueillies en même temps que les données de capture, c'est-à-dire qu'elles sont rassemblées au point de débarquement pour les navires qui mettent à terre du poisson frais, ou par quelque forme de système de journal de bord. Pour les navires qui débarquent irrégulièrement du poisson congelé un journal de bord peut être la seule méthode. Trois exemples de rassemblement de données d'effort de pêche figurent dans l'Appendice 2.1.
Il existe beaucoup de façons de relever les données d'effort de pêche. La FAO a publié une liste de classifications et de définitions internationales employées dans les statistiques de flottes de pêche, d'engins de pêche et d'effort de pêche et les notes sur les statistiques d'effort de pêche se trouvent dans l'Appendice 2.2.
Le point important qu'il ne faut pas oublier en relevant les statistiques d'effort de pêche est de choisir un indice de mesure de l'effort qui soit en relation aussi étroite que possible avec l'abondance du stock. Pour un chalutier, le nombre d'heures pendant lesquelles le chalut pêche dans l'eau vaut mieux que le nombre de jours passés sur les fonds de pêche parce que le chalutier ne pêchera pas certains jours pendant lesquels, il se trouve sur les lieux à cause du mauvais temps. “Jours passés sur les lieux”, est à son tour meilleur que “jours d'absence du port” parce que ce dernier ne tient pas compte du nombre de jours pendant lesquels un chalutier doit faire route pour aller et revenir des lieux de pêche. D'autre part, pour un senneur, qui peut chercher pendant plusieurs jours avec un sonar avant de localiser un banc de poissons qui peut ensuite être capturé en quelques heures de pêche, “jours passés sur les lieux” est un bien meilleur indice de l'effort de pêche parce que l'abondance du poisson est en relation avec la durée de la recherche. Le temps réel passé à capturer un banc une fois qu'il est localisé n'est pas lié à l'abondance des bancs.
Il est difficile d'être sûr que les données d'effort de pêche sont comparables pendant de longues périodes. Les unités de pêche deviennent plus efficace chaque année. En Grande Bretagne à la fois le tonnage et la puissance du moteur des chalutiers ont augmenté. La puissance du moteur a augmenté à peu près du même taux que le tonnage, les deux sont donc comparables, et “tonneaux-heures” (c'est-à-dire, la jauge brute x heures de pêche) est un index utile de l'effort de pêche, qui tient compte de cette augmentation de l'efficacité. D'autre part la puissance du moteur des chalutiers à perche hollandais a augmenté à un taux beaucoup plus élevé que leur tonnage. La puissance accrue du moteur sert à traîner un chalut à perche beaucoup plus lourd, plus rapidement, sur le fond. Dans ce cas l'augmentation des rendements est en relation avec la puissance du moteur et non avec la jauge brute.
Dans les pêcheries aux filets maillants le changement d'un matériel à un autre affectera le rendement et par conséquent l'effort de pêche effectif. Les filets maillants de nylon monofilament sans noeuds ont un meilleur rendement que les filets multi-filaments noués qui sont eux-mêmes plus efficaces que les filets de coton.
Ces changements sont évidents et plus ou moins quantifiables par l'expérience. Quelques facteurs affectant l'effort de pêche ne le sont pas. L'emploi du sonar rend un senneur plus efficace pour la recherche du poisson mais le degré d'augmentation dépend de l'expérience
| DEFINITIONS | SYNONYMES | POIDS DE BASE | |
|---|---|---|---|
| Quantités débarquées | Poids de poisson et de produits de la pêche mis à terre, c'est- à-dire poids effectif des quan- tités débarquées. Représente le poids net au moment de la mise à terre des poissons et produits de poisson vidés, éviscérés, découpés en filets, congelés, salés, en boîtes, farines de poisson, huile, etc. | Poids débarqué | Poids débarqué |
| Captures nominales | Equivalent en poids vif des quantités débarquées | Quantités débarquées, poids de poisson frais; Quantités débarquées, poids de poisson frais entier | Poids vif |
| Captures | Sauf indication contraire le terme “captures” désigne normalement la pêche nominale, c'est-è-dire l'équivalent en poids vif des quantités débarquées | Quantités débarquées, poids de poisson frais; Quantités débarquées, poids de poisson frais entier | Poids vif |
| Captures brutes | Poids de tout le poisson pêché | Pêche réelle | Poids vif |
| Captures rejetées | La partie de la pêche brute rejetée à la mer sur les lieux mêmes sous forme de poissons entiers | Rejets | Poids vif |
| Captures non rejetées | Partie de la pêché brute sous forme de poissons entiers qui n'est pas rejetée | … | Poids vif |
Différence entre “pêche non rejetée”, “captures nominales” et “quantités débarquées”
La différence entre la pêche non rejetée et les quantités débarquées résulte des éléments suivants:
(a) consommation par l'équipage;
(b) utilisation comme appâts;
(c) élimination de poissons entiers (altération ou autres raisons);
(d) éviscération, étêtage et enlèvement d'autres parties du poisson pour cause de traitement;
(e) perte ou absorption de substances liquides.
Les rubriques (a), (b) et (c) ci-dessus expliquent la différence entre “pêche non rejetée” et “captures nominales”.
Les rubriques (d) et (e) ci-dessus expliquent la différence entre “captures nominales” et “quantités débarquées”.
L'expression “quantités débarquées” n'est pas utilisée dans les statistiques internationales comme synonyme de “nombre d'arrivées” ou de “voyages”.
Les données relatives aux “captures brutes”, “captures rejetées” et “captures non rejetées” ne se trouveront généralement disponibles que dans les livres de bord où les patrons ou d'autres membres de l'équipage inscrivent les estimations et quantités pertinentes. Ces estimations peuvent varier par rapport aux résultats (captures nominales) que l'on a obtenus en convertissant les quantités débarquées dans leur équivalent en poids vif.
Renseignements complémentaires sur les “captures nominales” et “quantités débarquées”.
du patron de pêche. Un sondeur à écho à bord d'un navire peut rendre celui-ci plus efficace si le sondeur est mis en marche et utilisé efficacement. Mais il peut le rendre plus efficace seulement quand les poissons sont rares; quand les poissons sont très abondants l'emploi du sondeur à écho peut ne faire aucune différence. En changeant le rapport de montage de filets maillants on peut les rendre plus efficaces. Ces exemples sont utilisés pour illustrer la difficulté de rassembler des données significatives d'effort de pêche. C'est un problème que les experts des pêches essayent encore de résoudre, mais si on suit les règles fondamentales décrites dans cette section les informations rassemblées seront significatives.
Il est essentiel de savoir où la capture d'une espèce a été effectuée. Par exemple, les morues mises à terre en Grande Bretagne proviennent de toutes les zones de pêche de l'Atlantique nord mais les captures sont effectuées sur des stocks ou des populations différents qui ne se mélangent pas. La seule façon selon laquelle nous pouvons relier l'effet de la pêche à ce qui se passe dans chaque stock est de relever la zone où la capture a été faite. Cela peut ne présenter que peu de problèmes si le navire a pêché dans une seule zone. Mais les grands chalutiers-congélateurs peuvent rester en mer pendant trois mois ou plus, pendant lesquels ils peuvent avoir pêché dans plusieurs zones différentes du monde. Dans ce cas, il est généralement possible d'obtenir du capitaine de pêche seulement une estimation de la quantité de poissons capturés dans chaque zone. Comme pour le relèvement des captures, la méthode de relèvement des zones de pêche dépend de la nature de la pêcherie.
L'Appendice 2.1 donne trois exemples.
Il importe de noter la zone de pêche d'une façon standard et la FAO a proposé une série de zones principales pour les besoins des statistiques (Tableau 2.3) et un série de rectangles statistiques dans ce but (Fig. 2.6).
Le système de la FAO permet le relèvement de captures par de très petits carrés statistiques (10' de latitude × 10' de longitude). Si les données peuvent être relevée s de cette façon la pêcherie peut être examinée en détail, mais habituellement il est possible d'obtenir des informations significatives seulement pour de beaucoup plus grandes aires. Il est important que quelles que soient les division statistiques qui sont utilisés, elles correspondent aux réalités de la pêche. Les pêcheurs fournissent des informations par les nomes qu'ils donnent à leurs zones de pêche. Il est beaucoup plus facile de relever ces informations si les carrés statistiques correspondent d'aussi près que possible aux zones des pêcheurs. Chaque zone doit aussi correspondre à la distribution entière ou partielle d'un stock de poisson.
Nous voulons savoir quand les poissons ont été capturés, généralement dans une semaine ou un mois. Habituellement, on ne rencontre que peu de difficultés pour relever les dates de capture avec cette précision sauf pour les navires qui ont été en mer pendant de longues périodes quand il peut être nécessaire de supposer que toutesla capture a été faite pendant un certain mois ou de la diviser abitrairement entre les mois que le navire à passés en mer, à moins que l'on puisse disposer des informations d'un journal de bord. Ces informations sont utilisées pour analyser l'abondance saisonnière, les migrations et, dans quelques cas, obtenir des données de croissance.
Dans toute cette section l'accent a été placé sur le relèvement d'informations d'une manière standard. La raison en est que la majorité des pêcheries marines et beaucoup de pêcheries en eau douce sont internationales. Plusieurs nations peuvent prendre du poisson d'un stock et relever des informations. Alors que l'on peut apprendre beaucoup des données nationales, les évaluations de stocks demandent des données internationales et le problème de combiner des données de plusieurs sources est rendu beaucoup plus difficile si elles ne sont pas sous la même forme.

| CODE POUR INDIQUER LA DIMENSION DES RECTANGLES | CODE POUR INDIQUER LE QUADRANT | ||||||
| Code | Latitud | Longitud | Code | Quadrant du globe | |||
| 1 | 10' | × | 10' | ||||
| 2 | 20' | × | 20' | 1 | NE | NORD-EST | |
| 3 | 30' | × | 30' | ||||
| 4 | 30' | × | 1° | 2 | SE | SUD-EST | |
| 5 | 1° | × | 1° | ||||
| 6 | 5° | × | 5° | 3 | SW | SUD-OUEST | |
| 7 | 10° | × | 10° | ||||
| 8 | 20° | × | 20° | 4 | NW | NORD-OUEST | |
| 9 | 30° | × | 30° | ||||

Fig. 2.6 Un système de quadrillage (basé sur les latitudes et longitudes) pour identifier les rectangles statistiques (FAO 1973b)
| EAUX INTERIEURES | ZONES MARINES | ||
|---|---|---|---|
| 01 | Afrique | Océan Atlantique et mers adjacentes | |
| 02 | Amérique, Nord et Centre | 18 | Océan arctique |
| 03 | Amérique, Sud | 19 | Atlantique, Nord-ouest |
| 04 | Asie | 27 | Atlantique, Nord-est |
| 05 | Europe | 31 | Atlantique, Centre ouest |
| 06 | Océanie | 34 | Atlantique, Centre est |
| 07 | URSS | 37 | Méditérranée et Mer Noire |
| (08) | (Antarctique) | 41 | Atlantique, Sud-ouest |
| 47 | Atlantique, Sud-est | ||
| 48 | Atlantique, Antarctique | ||
| Océan Indien et mers adjacentes | |||
| 51 | Océan Indien, Ouest | ||
| 57 | Océan Indien, Est | ||
| 58 | Océan Indien, Antarctique | ||
| Océan Pacifique et mers adjacentes | |||
| 61 | Pacifique, Nord-ouest | ||
| 67 | Pacifique, Nord-est | ||
| 71 | Pacifique, Centre ouest | ||
| 77 | Pacifique, Centre ouest | ||
| 81 | Pacifique, Sud-ouest | ||
| 87 | Pacifique, Sud-est | ||
| 88 | Pacifique, Antarctique | ||
Les poids de poisson doivent être en tonnes métriques, poids nominal. Il est facile de les convertir dans ces unités si elles n'y sont pas et que les unités dans lesquelles elles ont été décrites à l'origine sont indiquées avec précision. Il vaut mieux écrire “capture nominale, tonnes métriques” si c'est ce que représentent vos chiffres. Si vous écrivez “débarquement” il est bon de dire que le mot est utilisé dans le sens décrit par la FAO (1973a) sinon dire quel sens y est attaché. “Tonnes métriques” empêche la confusion avec “Short (U.S.) tons”. Ce sont apparemment des points très mineurs mais si on les néglige cela peut provoquer des heures de travail des scientifiques pour déterminer ce que signifient réellement les statistiques de captures publiées.
On emploie des facteurs de conversion pour élever des quantités relevées sur une base du poids débarqué à l'équivalent en poids vivant. Les facteurs de conversion (reflétant les taux de “rendement”) doivent être complétés par tous les offices nationaux et être soumis à un examen constant. Ils peuvent devoir être revisés de temps en temps par suite des changements de composition des tailles dans les captures, la manutention et le traitement, etc. Il est important de voir que ces facteurs de conversion sont maintenus standard à un nombre fixé de décimales. Quand il s'agit de grosses quantités débarquées un changement de la troisième décimale peut provoquer une grosse différence dans le résultat final. Il faut en publier la liste mais aussi une liste des changements qui y sont apportés.
Les difficultés pour combiner les données de plusieurs nations qui n'ont pas utilisé la même division statistique des aires de pêche sont évidentes. Au minimum, les carrés statistiques utilisés doivent correspondre à la distribution du stock mais on peut généralement mieux comprendre une pêcherie si on utilise de plus petites aires de pêche. Mais pour être utiles elles doivent être standardisées. La Fig. 2.7 donne un exemple de quatre nations avec chacune ses propres divisions d'une sous-zone de pêche basée sur un stock. Les difficultés, disons, d'analyser les déplacements nord-sud d'après des informations combinées, sont évidentes. L'exemple est hypothétique mais il correspond de très près à la situation pour les données de la mer du Nord sur les espèces démersales.
Fig. 2.7 Exemple de différentes division de la même sous-zone par quatre nations

Il est très rarement possible de relever les données d'effort de pêche d'une manière standard approuvée internationalement parce que les flottes des nations différent. A ce jour cela s'est montré d'une difficulté insoluble pour conserver les pêcheries en réglant l'effort de êche.
Aasen, O., 1961 et al., ICES Herring tagging experiments in 1957 and 1958. Rapp. P. - V. Réun. Cons. Perm. Int. Explor. Mer, 152:50 p.
Basigos, G.P., 1973 Training courses on fishery statistical surveys (inland waters). Rome, FAO UNDP/SF/ZAM 11. FSS.T./1:59 p.
FAO, 1972 Department of Fisheries, Fishery Economics and Institutions Division, Coordinating Working Party on Atlantic Fishery Statistics (CWP), ATLANTIQUE Nord-ouest (zone 21 - CIPAN) et Atlantique Nord-est (zone 27 - CIEM); classification des animaux et plantes aquatiques à fins statistiques. FAO Fish. Circ., (441/F) 66 p.
FAO, 1973 Department of Fisheries, Current Statistics and Economic Data Section, “Captures nominales” et “Quantités débarquées”; définitions et notes. FAO Fish. Circ., (428/F): 19 p.
FAO, 1973a Department of Fisheries, Fishery Economics and Institutions Division, Coordinating Working Party on Atlantic Fishery Statistics (CWP), A compendium of notes on an international standard classification of fishing areas for statistical purposes. FAO Fish. Circ., (372): 73 p.
Gulland, J.A., 1966 Manual of sampling and statistical methods for fisheries biology. Part 1. Sampling methods. FAO Man. Fish. Sci., (3): pag. var.
Il y a beaucoup de moyens de rassembler les informations sur les captures et l'effort. De toute évidence, on doit organiser des systèmes totalement différents pour satisfaire des conditions qui diffèrent largement. Par exemple, un grand chalutier-congélateur peut débarquer une fois tous les trois mois dans un grand port d'Europe, mais une pirogue pêchant avec un filet maillant peut débarquer chaque jour dans un village isolé de l'Afrique.
La quantité de personnel disponible pour entreprendre le travail, et aussi leurs capacités, varient, et le programme de rassemblement doit dono être conçu pour affronter les circonstances locales.
Les trois exemples suivants son utilisés pour illustrer quelques-unes des méthodes qui peuvent être employées pour faire face à une variété de situations:
Cette section décrit les méthodes utilisées quand les débarquements d'une pêcherie sont concentrés dans un petit nombre de ports principaux où existent les conditions idéales pour le rassemblement d'une série précise et complète de données de capture et d'effort. Les méthodes employées pour rassembler les statistiques de débarquements peuvent facilement être divisées en deux types, chacun amenant un problème différent:
On suppose que les mises à terre de poisson frais ont lieu à un moment fixé chaque jour et qu'une équipe de collecteurs basée au port peut recueillir par observation directe toutes les informations nécessaires. Le poids et l'espèce de tous les poissons débarqués peuvent être vus et relevés en même temps que des détails du type d'engin utilisé pour pêcher la capture. Le patron ou des membres de l'équipage sont questionnés pour rassembler les détails sur l'aire pêchée et la grandeur de la pêche qui a été effectuée pendant la sortie. Toute autre information pertinente, par exemple, le rejet de petits poissons, etc. est aussi obtenue pendant que l'on pose les questions. La valeur des poissons débarqués est relevée en assistant aux ventes.
Ce système produit les résultats désirés avec très peu d'aide de l'industrie autre que la bonne volonté du patron ou de l'équipage pour révéler des détails de l'opération de pêche, mais il demande évidemment beaucoup d'effort au personnel basé au port et chargé du rassemblement. Il existe habituellement un certain nombre de raccourcis acceptables, à condition que quelque forme de vérification croisée soit établie dans le système pour être sur qu'il n'y a pas de perte de précision.
La plus utile de ces raccourcis est l'emploi des notes de ventes pour fournir des informations sur le poids et la valeur des captures. Presque toutes les sociétés de pêche produisent pour chaque navire, le jour de débarquement, une note de ventes détaillée donnant la capture totale et la valeur de chaque espèce mise à terre. Dans plusieurs pays c'est une exigence statutaire pour les entreprises de pêche de fournir ces informations, mais souvent l'échange d'informations peut être arrangé non-officiellement plutôt que par mise en application de la loi. Habituellment, il en résulte une amélioration de la qualité des données et une compréhension plus large entre l'industrie et le scientifique. Le choix d'un arrangement officiel ou non dépend beaucoup des conditions locales et des relations entre le gouvernement et l'industrie.
Une autre méthode pour questionner le patron et l'équipage pour recueillir les détails des opérations de pêche est de fournir une fiche journal que le patron doit remplir en mer pendant les opérations de pêche. Des exemples basés sur les divisions d'aires de pêche par fonds sont montrés dans la Fig. 2.8a-b. En théorie ces fiches journal fournissent les informations les plus détaillées, mais il y a beaucoup de problémes pratiques à affronter. Pendant la pêche, les patrons sont généralement trop occupés pour remplir un journal et beaucoup de son contenu peut être écrit de mémoire beaucoup plus tard. Les fiches journal sont souvent complètement oubliées ou, si elles ne sont pas ramassées au navire, elles retournent è la mer et sont perdues. Un système de fiches journal peut être amené à fonctionner très efficacement mais il exige d'être continuellement poursuivi. Il est beaucoup aidé si la fiche journal est conçue de telle façon qu'un exemplaire soit conservé par le patron sous la forme qu'il juge utile.
Celles-ci présentent un problème spécial parce que les chalutiers congélateurs effectuent de longs voyages souvent vers un certain nombre de zones de pêche différentes. Le débarquement mécanisé des blocs congelés dure plusieurs jours et rend impossible de relever des quantités par observation directe. Les informations sur les poids débarqués peuvent être obtenues des armateurs des chalutiers. L'effort de pêche peut être obtenu seulement avec la coopération du patron de pêche et des armateurs. Les fiches journal sous la forme d'une carte des zones de pêche (Fig. 2.8a-b) ont été utilisées à bord de chalutiers anglais. Quelques sociétés de pêche demandent à leurs patrons de remplir un journal de pêche détaillé, qui peut être utilisé pour obtenir des informations sur l'effort de pêche.
Les formulaires utilisés en Angleterre et au Pays de Galles pour relever les poids de poissons débarqués sont montrés par la Fig. 2.9. Le formulaire montré à la Fig. 2.9c-d a été conçu de façon que les données qu'il enregistre puissent être passées à un opérateur de perforatrice qui prépare le papier ou les bandes magnétiques qui sont utilisés dans le traitement par calculateur. Elle permet à l'information sur l'effort de pêche sur quatre lieux de pêche différents d'être enregistrée en même temps que les informations sur la ventilation des captures par lieu de pêche (Fig. 2.9c) et aussi les quantités de poissons de différentes espèces débarquées (Fig. 2.9d). Le formulaire est compliqué parce qu'il a été conçu pour être utilisé pour enregistrer les informations sur les nombreuses opérations différentes de pêche en Angleterre et au Pays de Galles.
Cette section est basée sur le probléme de rassembler les statistiques d'une pêcherie où opèrent surtout de petites unités, souvent un seul bateau et son équipage, débarquant en de nombreux endroits dispersés et vendant par l'intermédiaire, au mieux, d'un système de commercialisation vaguement organisé. Une telle pêcherie est typique de beaucoup de lacs africains. Les problèmes pour recueillir des statistiques dans une telle pêcherie sont surtout des problèmes d'organisation. Bien que les statistiques de base soient encore celles de capture et d'effort, on pose généralement la question de savoir comment déployer la main d'oeuvre disponible par les recueillir avec le plus d'efficacité. Cette section traite dono non seulement de toutes les statistiques qui peuvent être recueillies à la première vente ou à son équivalent, mais du rassemblement et de l'utilisation de statistiques obtenues en d'autres points le long de la chaîne de distribution.
Name of Vessel ………………………
Date of Sailing……………19 7 Date of Landing 197……………

It is well known that most of the important stocks of fish in the North Atlantic are being heavily fished. So that the Fisheries Laboratory can follow the fate of each stock, forecast the likely future trends in the abundance of the stock, and advise on conservation measures when necessary, it is essential to have the best pos- sible information on present catches. In particular we want to know where (according to the area shown on the chart) and when the catches were made, what type of fish were caught, and the amount of fishing (number of hauls, and average length of haul). Would you please write this information on the chart in the appro- priate position? For example, if the trip is split with 43 hauls at NW Iceland and 21 hauls at NE Iceland write:-

Fig. 2.8(a) Carte des lieux de pêche pour le rapport des patrons de pêche

Fig. 2.8(b)
| Name of Vessel | Day | 1 | Fig. 2.9(a) Formulaires utilisés dans le Royaume Uni pour le relèvement des débarquements | |
| Month and Year | 2 | |||
| Port | 3 | |||
| Registered Letter and No. | Nationality of Vessel | 4 | ||
| Vessel No. | 5 | |||
| Particulars of main fishing ground
Other fishing grounds |
Gross Tonnage | 6 | ||
| Registered Length | 7 | |||
| Method of Propulsion | 8 | |||
| Method of Capture | 9 | |||
| Region | 10 | |||
| Rectangle | 11 | |||
| No. of lines or drift nets | No. of Hours Fishing | 12 | ||
| No. of hauls | No. of days Absent | 13 | ||
| No. of voyages | 14 | |||
| Average duration of haul | Serial No. (For Ministry use only) | |||
| Code | Cwt. | £ | Fig. 2.9(b) | ||
| Beam | 1-01-0 | ||||
| Brill | Large | 1-02-1 | |||
| Small | 1-02-3 | ||||
| Unsorted | 1-02-4 | ||||
| Catfish | 1-03-0 | ||||
| Cod | Large | 1-04-1 | |||
| Medium | 1-04-1 | ||||
| Small | 1-04-3 | ||||
| Unsorted | 1-04-4 | ||||
| Conger Eels | 1-05-0 | ||||
| Dabs, Long Rough | 1-33-0 | ||||
| Dabs, other | 1-06-0 | ||||
| Dogfish | 1-07-0 | ||||
| Dory | 1-08-0 | ||||
| Eels | 1-09-0 | ||||
| Flounders or Flukes | 1-10-0 | ||||
| Gurnards and Latchets | 1-11-0 | ||||
| Haddock | Large | 1-12-1 | |||
| Medium | 1-12-2 | ||||
| Small | 1-12-3 | ||||
| Unsorted | 1-12-4 | ||||
| Hake | Large | 1-13-1 | |||
| Medium | 1-13-2 | ||||
| Small | 1-13-3 | ||||
| Unsorted | 1-13-4 | ||||
| Halibut | Large | 1-14-1 | |||
| Medium | 1-14-2 | ||||
| Small | 1-14-3 | ||||
| Unsorted | 1-14-4 | ||||
| Lemon Soles | Large | 1-15-1 | |||
| Small | 1-15-2 | ||||
| Unsorted | 1-15-4 | ||||
| Ling | 1-16-0 | ||||
| Megrims | Large | 1-17-1 | |||
| Small | 1-17-3 | ||||
| Unsorted | 1-17-4 | ||||
| Monks or Anglers | 1-18-0 | ||||
| Mullet, Grey | 1-35-0 | ||||
| Mullet, Red | 1-19-0 | ||||
| Plaice | Large | 1-20-1 | |||
| Medium | 1-20-2 | ||||
| Small | 1-20-3 | ||||
| Unsorted | 1-20-4 | ||||
| Pollock | 1-21-0 | ||||
| Redfish | 1-22-0 | ||||
| Saithe (Coalfish) | 1-23-0 | ||||
| Skates and Rays | 1-24-0 | ||||
| Soles | Large | 1-25-1 | |||
| Medium | 1-25-2 | ||||
| Small | 1-25-3 | ||||
| Unsorted | 1-25-4 | ||||
| Torsk (Tusk) | 1-26-0 | ||||
| Turbot | Large | 1-27-1 | |||
| Small | 1-27-3 | ||||
| Unsorted | 1-27-4 | ||||
| Whiting | 1-28-0 | ||||
| Witches | Large | 1-29-1 | |||
| Small | 1-29-3 | ||||
| Unsorted | 1-29-4 | ||||
| Livers, Raw | 1-30-1 | ||||
| Livers Oils | 1-30-2 | ||||
| Roes | 1-31-0 | ||||
| All other | 1-32-0 | ||||
| Total Demersal | |||||
| Herrings | 2-51-0 | ||||
| Mackerel | 2-52-0 | ||||
| Pilchards | 2-53-0 | ||||
| Sprat | 2-54-0 | ||||
| Horse Mackeral | 2-55-0 | ||||
| Silver Smelt (Sparling) | 2-56-0 | ||||
| Whitebait | 2-57-0 | ||||
| Total Wet Fish | |||||
| Crabs | 5-71-0 | ||||
| Crayfish | 5-72-0 | ||||
| Lobsters | 5-73-0 | ||||
| Norway Lobsters | 6-81-0 | ||||
| Prawns | 6-82-0 | ||||
| Shrimps | 6-83-0 | ||||
| Cockles | 6-84-0 | ||||
| Escallops and Queens | 6-86-0 | ||||
| Mussels | 6-86-0 | ||||
| Periwinkles | 6-87-0 | ||||
| Whelks | 6-88-0 | ||||
| Squids | 6-90-0 | ||||
| Oysters(Hundereds) | Native | 5-74-1 | |||
| Mixed | 5-74-2 | ||||
| Portuguese | 5-74-3 | ||||
| Total Value | |||||
Remarks:

Fig. 2.9(c)

Fig. 2.9(d)
Ministry of Agriculture, Fisheries and Food
Methods of Capture
Code No. 2.0
| TRAWLING | DREDGING | ||
| Bottom trawling - 1 vessel | 01 | Hand dredging | 60 |
| " " - 2 vessel | 02 | Power " | 61 |
| Suction " | 62 | ||
| Nephrops trawling | 06 | 63 | |
| Midwater trawling - 1 vessel | 11 | ||
| " " - 2 vessel | 12 | POTTING | |
| " " - 3 " | 13 | ||
| " " - 4 " | 14 | Pots, top-opening | 65 |
| 15 | " , side-opening | 66 | |
| " , other or mixed | 67 | ||
| Beam trawling - 1 trawl | 21 | ||
| " " - 2 trawl | 22 | ||
| " " - 3 " | 23 | LINING | |
| SEINING | Lines (by numbers of hooks in 100s) | 70 | |
| Lines (by number of lines) | 71 | ||
| Danish seining | 26 | Lines hand-held, feathering | 72 |
| Fly seining | 27 | 73 | |
| Unspecified seining | 28 | 74 | |
| Hand picking, access by boat | 75 | ||
| Purse-seining - 1 vessel | 31 | " " , " " land | 76 |
| " " - 2 vessels | 32 | " " , divers | 77 |
| " " - 3 " | |||
| Ring-netting - 1 vessel | 41 | FOR H-FORMS | |
| " " - 2 vessels | 42 | ||
| " " - 3 " | 43 | Foreign carriers | 100 |
| 44 | |||
| 45 | |||
| Drift netting | 46 | INDUSTRIAL FISHING | |
| Trammel netting | 47 | ||
| Tangle " | 48 | When the gear used is known to be specifically for Industrial Fishing ADD 100 to the above codes, e.g. industrial pair-trawlers, midwater trawl, Code = 112 | |
| Hoop " | 49 | ||
| Stake " access by boat | 50 | ||
| " " " " land | 51 | ||
| 52 | |||
| Shank " towed by boat | 53 | ||
| " " " " tractor | 54 | ||
| 55 | |||
| Eel traps | 56 | ||
Fig. 2.9(e) Code pour les méthodes de capture du poisson utilisé dans le Royaume Uni
Dans une pêcherie aux filets maillants afin de faire des évaluations il est néccesaire généralement d'avoir beaucoup plus de connaissances sur l'engin employé que dans aucun autre type de pêcherie parce qu'un filet maillant est hautement sélectif. Par conséquent, en rassemblent les statistiques, il est essentiel, si possible, de stratifier la capture par longueur de maille des filets, à moins que la seule information demandée soit la capture totale.
Les données de base qui doivent être rassemblées sont:
Zone pêchée
Temps passé à pêcher
Type de bateau
| Type de bateau | Licence No. | ||
|---|---|---|---|
| Longueur de maille | 1 ½ pouces (38mm) | 2 pouces (50 mm) | 3 pouces (76 mm) |
| Nombre de filets | 10 | 15 | 7 |
| Espèces | Nombre Poids | Nombre Poids | Nombre Poids |
Ce n'est qu'une disposition suggérée pour un formulaire de relèvement des captures.
i) Poids relevé au lieu de débarquement
a) Triage et classement avant la vente. Bien que ce soit inhabituel les captures peuvent être triées en espèces et vendues dans des récipients standardisés. Cela simplifie la tâche d'obtenir des données de capture totale par espèces, mais peu rendre très difficile de relier la capture à la longueur de maille du filet maillant dans lequel elle a été prise. S'il y a triage par catégories, le grandeur de la catégorie peut être en relation étroite avec la longueur de maille, spécialement pour les petites mailles.
b) Pas de triage ou de classement avant la vente. La situation la plus probable est que chaque propriétaire vend sa pêche directement à l'acheteur de poisson et qu'il n'y a aucun triage avant cette transaction. Dans ce cas l'information demandée peut être obtenue par un collecteur de statistiques qui est spécialement appointé dans ce but et qui doit se trouver à chaque débarquement. Quand les débarquements sont nombreux il peut ne pas être possible d'échantillonner chaque bateau, auquel cas il faut utiliser un programme de sous-échantillonnage. Chaque nième bateau (p. ex. 1er, 4ème, 7ème, 10ème, etc.) est échantillonné et les débarquements échantillonnés élevés par N/n, où N est le nombre total de bateaux faisant des débarquements. Cette méthode évitera la tendance à échantillonner les bateaux ayant les plus petites captures (sautant ceux ayant de grosses captures), et d'ignorer ceux avec rien de tout.
Un sous-échantillonnage courant couvrira aussi les cas dans lesquels une très importante communauté de pêche est en tourée de plusieurs petites où il est impracticable de maintenir un collecteur de statistiques. Dans ce cas il est nécessaire de tenir compte de la possibilité qu'une certaine proportion des bateaux de chaque comminauté ne sont pas utilisés pour la pêche et que cette proportion est inconnue.
| - | Soit, le nombre de bateaux échantillonnés dans la communauté principale | = n |
| le nombre total de bateaux débarquent du poisson dans la communauté princ. | = N | |
| le nombre total de bateaux dans la communauté principale | = M | |
| le nombre total de bateaux dans les communautés mineures | = m | |
| - | et le poids moyen débarqué par chaque bateau échantillonné | = w |
| poids total débarqué dans la communauté principale | = nW | |
| proportion de bateaux pêchant dans la communauté principale | = N/M | |
| proportion estimée de bateaux pêchant dans les communautés mineures | ![]() | |
| poids total estimé débarqué par toutes les communautés | ![]() ![]() |
Le rapport N/M pourrait être pris sur une base mensuelle, alors que (m) pourrait probablement être estimé moins fréquemment. Les bateaux des stations mineures doivent pêcher les même zones que ceux des grandes stations, d'autre part il est peu probable que (w) soit le même. Si on emploie plus d'un type de bateau il faut faire le calcul pour chaque type séparément. La meilleure méthode pour employer le personnel est d'assurer que l'échantillonnage aux stations principales est continu toute l'année, en envoyant le personnel de complément aux petites stations quand il est disponible.
Le choix des communautés à échantillonner est fait pour le mieux en donnant à chacune un numéro et en utilisant ensuite une table de nombres près au hasard (voir section 2.6.1) pour déterminer lesquelles seront visitées. Cela évite l'erreur systématique qui peut provenir du fait que l'accès à certains villages est plus facile qu'à d'autres ou de relations plus agréables existant avec l'un qu'avec l'autre.
Les communautés de pêche peuvent être si transitoires, inaccessibles ou dispersées qu'il est impossible d'avoir des collecteurs opérant sur ces bases. Dans ces cas il peut être possible de recueillir des statistiques en dehors du point de la première vente seulement. Dans le type de pêcherie considéré la capture totale doit éventuellement être souvent transportée sur quelques routes qui sont surveillées pour diverses raisons à des points de contrôle, par exemple barrières routières, terminus de chemin de fer, postes de douane. Ces points de contrôle constituent un endroit idéal pour évaluer la capture totale. En prenant un point de contrôle routier comme exemple, on peut baser un programme d'échantillonnage sur les facteurs suivants:
i) poids moyen de poisson dans un colis
ii) nombre moyen de colis par camion
iii) nombre moyen de camions passant par le point de contrôle par unité de temps.
Afin d'estimer la composition en espèces il est nécessaire, à quelque stade, d'échantillonner les colis pour estimer leur composition moyenne en espèces. Les colis peuvent ne pas avoir toujours la même composition en espèces, par exemple, des espèces différentes peuvent ne jamais être mélangées, et ainsi il peut être nécessaire non seulement d'estimer combien de colis de chaque groupe d'espèces sont transportés par un camion, mais aussi les proportions de ces colis varient avec la saison. Comme il peut être impossible d'examiner les colis des camions, la composition en espèces peut devoir être estimée par des visites spéciales au lac, de temps à autre, et ces informations appliquées à celles recueillis aux points de contrôle. Il est nécessaire d'ajouter une estimation de la consommation locale au chiffre total obtenu. Si ce n'est pas fait les résultats sont entachés d'erreur systématique parce que les poissons envoyés par camion sont vraisemblablement ceux ayant la valeur la plus élevée. Ces informations de capture totale ne peuvent pas être reliés directement à la longueur de maille des filets maillants dans lesquels elle a été pêchée.
L'unité de base dans une pêcherie aux filets maillants est le filet maillant, et il existe plusieurs méthodes qui peuvent être utilisées pour évaluer le nombre total de filets qui ont pêché.
Dans les communautés de pêche où sont basés des collecteurs de statistiques le nombre de filets ayant pêché peut être évalué en:
1. Comptant le nombre de filets de chaque longueur de maille quand la quantité totale mise à terre est relevée. Cela peut être fait, si nécessaire, par sous-échantillonnage comme pour échantillonner les quantités totales mises à terre (section A2.1.2.2);
2. échantillonnant à certains intervalles: à des intervalles donnés, le nombre de filets employés par un échantillon de bateaux est compté et on calcule le nombre moyen de filets par unité de pêche. Ce chiffre multiplié par le nombre total d'unités de pêche, donne le nombre total de filets utilisés. Le nombre d'unités de pêche peut être déterminé par:
(a) recensement direct sur le lieu de pêche, ce qui implique des problèmes d'accès;
(b) l'attribution de licences, qui implique des problèmes de dissimulation;
(c) prospection aérienne, qui n'offre aucun problème d'accès ou de dissimulation et est dono généralement rapide et facile.
Les unités de pêche doivent être divisées en différentes catégories dépendant de leur capacité moyenne de porter des filets. En 1961–62 deux types principaux de bateaux pêchaient dans le lac Sese Seku (lac Albert), pirogues monoxyles et divers modéles avec des coques construites. Ces derniers pouvaient porter jusqu'à cinq fois plus de filets maillants que les premières. Un comptage aérien des pirogues a donné l'effort de pêche potentiel des pirogues sur le lac parce que celui des bateaux à coque construite était cinq fois celui d'une pirogue monoxyle. Quand la pêche était bonne et que chaque pêcheur pouvait acheter autant de filets que les bateau en pouvait porter, cette comparaison était valable. Quand la pêche était mauvaise le nombre de filets portés dépendait de l'argent dont les pêcheurs disposaient. Dans ces conditions la comparaison n'était pas nécessairement valable. La puissance motrioe doit être prise en considération si elle affecte le rendement de la pêche.
Il peut ne pas être possible de compter le nombre de filets utilisés directement à n'importe quel stade; par exemple, des filets peuvent être laissés en pêche continuellement et être visités seulement pour en retirer la capture. Un recensement indirect du nombre de filets utilisés peut être fait s'il est possible d'identifier les débouchés de détail par lesquels s'effectue la vente des filets utilisés dans une zone donnée. Les chiffres de vente de filets fournissent un indice du nombre de filets pêchant dans le lac, et ils sont même plus utiles si on connait la durée moyenne d'une filet maillant.
Beaucoup de facteurs affectent la capacité de pêche des filets maillants, parmi eux on trouve:
1. Longueur de maille: parce qu'une filet maillant est un engin trés sélectif ses captures dépendent beaucoup de sa longueur de maille. La mesure de la longueur de maille doit toujours être définie en se référant soit à la longueur de patte - la distance entre deux noeuds adjacents - soit à la longueur de la maille tendue - la distance entre les centres de deux noeuds opposés de la même maille quand elle est entièrement étirée dans le sens de la traction du filet (la direction N de la terminologie de Organisation internationale de normalisation). Pour les filets sans noeuds, cette mesure est la distance entre les centres de deux jointures opposées de la même maille quand elle est complètement étirée le long de son plus grand axe.
2. Matériau du filet: la capacité de pêche d'un filet maillant peut varier très nettement selon le type de matériau du filet, la différence entre les filets maillants de nylon multifilament et monofilament est probablement un des meilleurs exemples.
3. Noeuds ou pas de noeuds: généralement cela se rattache à (2), les filets de monofilament étant habituellement sans noeuds, mais pas nécessairement, et les filets de multifilament étant noués.
4. Dimension des filet: la meilleure définition est le nombre de mailles dans chaque direction, mais c'est une statistique difficile à recueillir. Les filets maillants sont fabriqués, mécaniquement et vendus en dimensions standard, donc un filet maillant d'un nombre donné de mailles aura toujours cette dimension standard, il sera inutile de relever la dimension du filet. Tout ce qui est demandé est le nombre de filets dans la tésure qui définit sa longueur. Cependant, des filets peuvent être assemblés verticalement. Si quelques pêcheurs adoptent cette pratique et d'autres pas, il peut être alors nécessaire de relever le nombre total de filets standard dans une tésure et si ils sont montés horizontalement ou verticalement, bien qu'il soit peu probable qu'une tésure de 10 filets standard (fs) en longueur sur 2 fs de chute ait la même capacité de pêche qu'une tésure de 20 fs en long sur 1 fs de chute. La situation est souvent simplifiée par la chute des filets qui se standardise vers l'optimum, p. ex. pour pêcher toute la colonne d'eau de la surface au fond dans les eaux peu profondes. La chute du filet n'est donc pas importante.
5. Rapport de montage: il est défini comme le rapport de la longueur de la ralingue supérieure occupée par le filet, s'il était monté avec les mailles carrées, à la longueur de la ralingue supérieure occupée par le filet comme il est monté réellement. La capacité de pêche d'un filet peut être considérablement modifiée en changeant son rapport de montage, mais habituellement il est standardisé vers l'optimum et peut être ignoré. C'est une statistique à la fois difficile à recueillir et à incorporer dans les analyses.
6. Couleur: on a relevé des variations du taux de capture selon la couleur du filet. Les autres facteurs qui peuvent affecter la capacité de pêche sont:
7. Nombre de bateaux dans la flotte: si la flotte doit rechercher des poissons qui forment des bancs compacts, l'efficacité de la recherche augmentera avec la grandeur de la flotte. D'autre part, quand la grandeur de la flotte augmente, la chance que chaque bateau de la flotte soit capable de pêcher dans l'aire d'abondance maximum diminue et la flotte deviendra moins efficace avec sa grandeur.
8. Aire de pêche: cela doit être défini plus étroitement que simplement géographiquement ou par des petis carrés statistiques. Par exemple, dans une pêcherie lacustre un pêcheur peut choisir de pêcher dans les lagunes abritées, ou près de la côte, ou bien au large. Dans chacune des deux dernières aires il peut encore faire un autre choix, utiliser des filets maillants flottants ou fixés sur le fond. Cela donne une certaine variété de possibilités de pêche, chacun d'entre elles donnant des captures dont la composition en espèces diffère. En plus de cela il peut y avoir des dissimilarités physiques entre les différentes parties du lac, qui peuvent être associées à des différences de population. Le programme d'échantillonnage doit être stratifié autant que possible pour en tenir compte.
9. Intervalles entre les relevages de filets: la capacité de pêche totale dépend du nombre de périodes de temps pendant lesquelles un filet pêche. La période de temps est souvent une nuit, les filets étant mis à l'eau le soir et relevés le matin suivant, ainsi une nuit-filet devient une unité standard de pêche. Cependant, les filets peuvent être visités moins fréquemment et un filet qui a pêché pendant deux nuits entre des visites ne pêchera probablement pas aussi eficacement qu'un filet visité et remis en conditions après chaque nuit. Le probléme n'est généralement pas très important parce que la méthode de manoeuvre des filets se normalise généralement vers l'optimum spécialement quand la détérioration de la capture est rapide.
Les méthodes pour obtenir la capture par unité d'effort dépendent des méthodes utilisés pour déterminer à la fois la capture et l'effort. Idéalement la meilleure méthode consiste à avoir des collecteurs de statistiques aux lieux de débarquement principaux, recueillant des statistiques précises de capture et d'effort sur la base d'un bateau de pêche unité. L'effort total peut habituellement être établi avec une bonne précision au moyen de recensements des bateaux de pêche, et la capture totale déterminée indirectement d'après le produit de l'effort total et de la capture par unité d'effort.
Comme avec toutes les statistiques de capture et d'effort, la capture doit se référer à l'unité d'effort responsable de cette capture. Dans une pêcherie aux filets maillants il existe la complication que très souvent on pêche avec des filets ayant différentes longueurs de maille. Comme on l'a dit auparavant, les filets maillants sont très sélectifs, il est donc essential de déterminer, si possible combien de filets de chaque longueur de maille sont utilisés dans une pêcherie si on doit faire des évaluations correctes.
Les tableaux 2.4a-b établissent le type de programme d'échantillonnage qui peut être requis pour une pêcherie aux filets maillants. Il ne couvre pas toutes les complications possibles.
Le développement le plus frappant des méthodes de capture au cours des dix dernières années a été les grands progrès faits dans les techniques de pêche dirigée. Les pêches à la senne coulissante et aux chaluts pélagiques dépendent des bancs de poissons trouvés par les sondeurs à écho et le sonar, l'engin de pêche étant dirigé vers un banc particulier ou groupe de bancs. Les problèmes de relèvement des données à la fois des senneurs et des chalutiers à pêche pélagique pour l'utilisation dans l'estimation des stocks sont donc assez similaires.
Une pêcherie industrielle profitable à la senne coulissante ou au chalut pélagique est sous la dépendance de l'abondance de bancs pélagiques. Dans la majorité des cas les captures d'espèces pélagiques à la senne coulissante sont utilisées pour la réduction en farine et en huile. Comme le prix de la matière première est nécessairement bas, et assez souvent fixé, cela signifie que les flottes de senneurs doivent pêcher de grandes quantités aussi rapidement que possible. Il y a donc tous les stimulants pour le coopération entre les navires individuels de la flotte pour réduire le temps de recherche du poisson et aussi pour rechercher des techniques qui augmentent la capacité totale de capture des navires (p. ex. le power block et le pompage qui réduisent au minimum le temps passé pour embarquer la capture et permettent de passer plus de temps à chercher le poisson).
L'abondance de poissons démersaux pêchés par les chaluts de fond est estimée en utilisant un type simple d'expression “capture par durée de pêche”. Cette statistique implique que les nombres de poissons capturés sont en relation simple de quelque façon avec l'aire balayée par le chalut, la capture dépendant plus des caractéristiques du navire de pêche et de son engin que du comportement des poissons. Au contraire, la pêcherie aux filets maillants dépend plus du comportement des poissons, l'engin lui-même étant plus ou moins passif. Les captures d'un senneur ou d'un chalutier à pêche pélagique dépendent à un degré très élevé de l'expertise du patron de pêche. La grandeur absolue des captures peut avoir très peu de relation avec l'abondance réelle du stock dans la zone.
Parce que la pêche est divisée et parce que les patrons de pêche coopèrent, le type de données d'effort rassemblées doit refléter les changements de dimension des navires en opération, les changements dans les engins et quelques estimations du temps passé à chercher les bancs.
Les données suivantes sur les navires de pêche sont nécessaires et tout changement introduit doit être relevé:
(a) nom du navire:
(b) longueur:
(c) capacité de cale:
(d) moteur (ch au frein):
(e) équipement:
La longueur et la puissance du moteur indiquent à quelle distance du port un navire individuel est capable de pêcher. La capacité de cale donne un critère pour juger si les captures débarquées peuvent être considérées comme un indice d'abondance. Par exemple, dans la pêcherie péruvienne de l'anchoveta une capacité de cale courante est de 200 tonnes environ; avec la senne coulissante on fait parfois des captures plus élevées que cela et les poissons en trop sont soit libérés, soit donnés à un autre navire. Ainsi, n'importe quel jour beaucoup de navires peuvent entrer dans les ports péruviens avec leurs cales pleines. Les captures par débarquement de ces navires sont sans relation avec l'abondance de poissons dans la mer; cependant, les nombres de navires avec des cales pleines peuvent bien être l'indice d'abondance relative. La capture par tonne de capacité de cale par débarquement fournit une estimation plus utile de l'importance des navires pêchant au point de saturation. C'est dans cette mesure que le degré d'expertise des patrons de pêche individuels devient apparent. Souvent les navires chargés à plein sont les mêmes à chaque débarquement quotidien.
Dans une pêcherie en développement l'acquisition de meilleurs navires avec sonar et power blocks a conduit à une augmentation de dimension du filet. Les pompes à poisson ont été installées pour faciliter la manipulation et elles permettent de donner plus de coups de filet chaque jour. Le radio teléphone et les radio goniomètres aident à faire de la flotte une unité de repérage plus efficace, et l'addition du radar permet de pêcher par mauvais temps et une navigation plus précise vers les emplacements des bancs de poissons appropriés.
Parce que dans la plupart des débouchés pour les poissons pêchés à la senne coulissante la manipulation se fait en vrac, il est possible d'obtenir des informations sur les captures de deux façons. La pêche, comme l'estiment le patron ou le second, peut être obtenue en questionant, en même temps que d'autres informations appropriées. D'une autre manière on peut obtenir le poids de la pêche achetée par l'usine mais il peut être inférieur à l'estimation du patron, laquelle peut à son tour être plus faible ou plus élevée que la pêche réelle. Pour de petits poissons pélagiques comme l'anchoveta péruvien on trouve des différences atteignant jusqu'à 20%. Des pertes se produisent pendant le transfert de la pêche de la cale à l'usine; ces pertes se produisent dans les pompes, les élévateurs, et par la détérioration générale des poissons maintenus en vrac. Si beaucoup de navires débarquent ensemble il peut ne pas être possible de questionner tous les patrons et les deux méthodes doivent être employées.
Pour interpréter les données de pêche comme un indice de stock dans une pêcherie en développement il est essentiel d'avoir des informations sur la distribution géographique du stock (ou des captures). Il est désirable d'avoir des informations journalières sur les positions de pêche de chaque navire. Avec des flottes de senneurs dirigées par des sociétés, le rapport journalier au bureau de la société est souvent la règle, auquel cas il peut être possible d'obtenir cette information.
On dit parfois qu'il est impossible d'utiliser les captures de sennes coulisantes pour évaluer l'abondance d'un stock de poisson. Cela peut être vrai si on considère les captures par débarquement parce qu'un senneur reste en mer jusqu'à ce que sa cale soit aussi pleine que possible. Dans une pêcherie à la senne coulisante il faut tenir compte du temps passé à la recherche du poisson, et comme l'abondance de bancs de poissons diminue l'importance de la durée de la recherche et de la coopération entre patrons de pêche grandit.
Le nombre de coups de senne donnés pourrait être une autre estimation de l'activité de la pêche. Cependant, cette mesure est trop fortement influencée par l'efficacité du patron dans l'interprétation des enregistrements du sonar et en donnant son coup de filet correctement en relation avec le déplacement du banc de poissons.
Parce que l'interprétation de l'effort de la senne coulisante est complexe il est important de relever en détail le temps passé dans chaque partie des opérations de pêche:
Durée totale de la sortie
Nombre de coups de filet
Durée de la manoeuvre de l'engin - mise à l'eau, relevage, vidage du filet, etc.
Durée de la route pour aller et revenir aux lieux de pêche
Durée de la recherche du poisson sur les lieux de pêche.
Si on dispose de cette ventilation des informations sur l'effort il sera alors possible d'interpréter plus efficacement les données.
Comme il l'a été déclaré plusieurs fois, avec les senneurs, le problème principal pour dériver un indice d'abondance est la nature dirigée de l'opération de pêche. Dans la pêcherie de l'anchoveta péruvien l'indice d'abondance utilisé est la pêche par tonneau de jauge brute de la capacité de la flotte par mois ou par jour. La jauge brute d'un navire résume un certain nombre de caractéristiques du navire, telles que sa longueur, la puissance du moteur, etc. On peut utiliser plusieurs méthodes pour calculer ce paramètre, aboutissant à des prolèmes de comparaison.
Il est rarement possible de recommander une seule méthode meilleure pour exprimer les captures par effort pour les senneurs. Peut être la plus simple: capture par tonne de capacité de cale par heure en mer offre une estimation qui inclue une caractéristique du navire et quelque estimation de pêche/durée de la recherche. Cependant, il faut se rappeler que le chercheur halieutique doit considérer l'indice d'abondance sur une base à long terme pour l'étude de l'effet de la pêche sur le stock. Quand les pêcheries développent leur rendement, l'aire d'exploitation du stock peut s'agrandir. Au début des années 1960 les pêches d'anchoveta péruvien se faisaient dans les 15 milles de la côte; en 1970 l'aire d'exploitation s'étendait jusqu'à 60 milles et aux aires au nord et au sud des aires originales de pêche. Peut être la capture par tonne de capacité de cale par unité d'aire pêchée donnerait une estimation sûre de l'abondance si des données appropriées avaient été rassemblées dans les premières années.

Méthodes de relèvement des données de capture et d'effort dans une pêcherie de lac africain

a) Nombre d'heures de pêche ou nombre (en milliers) d'hameçons mouillés
Nombre d'heures de pêche: pour le chalutage à plateaux, “nombre total d'heures pendant lesquelles le chalut était sur le fond et pêchait”. Les pays ne pouvant répondre de manière aussi précise devront fournir une valeur aussi approchée que possible, en définissant, exactement la méthode d'approximation employée.
Nombre d'heures de pêche: pour les bateaux-bases avec doris, “nombre d'heures pendant lesquelles la flottille de doris était éloignée du bateau-mère, multiplié par nombre de doris”.
Nombre (en milliers) d'hameçons mouillés: “nombre d'hameçons mouillés à chaque opération, multiplié par le nombre d'opérations”. Le chiffre doit être arrondi au millier le plus proche.
Autres engins de pêche: nombre total d'heures d'utilisation des filets, sennes, pièges, nases ou casiers, dragues, harpons, etc., employés dans les opérations de pêche (c'est-à-dire nombre d'heures de pêche par engin, multiplié par nombre d'engins).
b) Nombre de relevages, de traits ou de poses
Nombre de fois où l'engin de pêche a été relevé, traîné, posé, etc., selon le terme approprié à l'engin ou à la technique utilisée.
c) Nombre de jours de pêche
Nombre de jours (périodes de 24 heures, comptées de 0 à 24 h) au cours desquels une pêche a été faite.
Lorsque la recherche du poisson joue un rôle important dans les opérations de pêche, les journées “sur les lieux de pêche” où cette recherche a été effectuée sans qu'il y ait eu pêche proprement dite doivent être comptées comme jours de pêche.
Pour tenir compte du “temps de recherche”, la définition du “nombre de jours de pêche” pourrait être précisée à l'échelon national, si possible comme suit: “Nombre de jours (périodes de 24 heures, comptées de 0 à 24 h) au cours desquels le bateau de pêche travaillait sur les lieux de pêche (compte non tenu de la durée du trajet en direction et en provenance du port ou d'un lieu de pêche à l'autre), déduction faite du nombre de jours de pêche perdus du fait des conditions atmosphériques, de pannes ou d'autres facteurs”.
d) Nombre de jours sur les lieux de pêche
Nombre de jours (périodes de 24 heures, comptées de 0 à 24 h) durant lesquels le bateau se trouvait sur les lieux de pêche, qui comprend non seulement les jours employés à la recherche du poisson et à la pêche proprement dite, mais aussi tous les autres jours passés sur les lieux de pêche.
e) Nombre de jours en mer
Le nombre de jours d'absence du port comprend, pour toute sortie, le jour du départ du bateau de pêche, mais e\?\clut le jour de son retour.
Lorsque le bateau a pêché durant tous les jours de sa sortie, le “nombre de jours en mer” doit comprendre non seulement le jour du départ, mais également le jour du retour au port.
Lorsque au cours d'un voyage un bateau de pêche se rend sur plusieurs “lieux de pêche” (tels qu'ils sont définis aux fins statistiques), une fraction appropriée du nombre total des jours d'absence doit être affectée à chaque “lieu de pêche” au prorata du nombre de jours passés sur chacun d'eaux, de façon que le total des jours d'absence du port lors d'un voyage quelconque corresponde à la somme du nombre des jours attribués aux différents “lieux de pêche” visités.
f) Nombre de sorties
Toute expédition de pêche limitée à un seul “lieu de pêche” doit être comptée comme une sortie.
Lorsque au cours d'une seule sortie un bateau de pêche se rend sur plusieurs “lieux de pêche” une fraotion appropriée de la sortie doit être affectée à chaque “lieu de pêche” au prorata du nombre de jours de pêche passés sur chacun d'eux, de façon que le nombre total de sorties pour l'ensemble de la Zone statistique du CIEM (Atlantique nord-est) soit égal à la somme des sorties à destination des divers “lieux de pêche”.
a) Tonnage brut moyen
A exprimer en tonneaux de jauge brute officielle.
Les moyennes doivent être pondérées. Cette pondération est exigée compte tenu de la décision d'alléger la tâche des services nationaux en n'exigeant pas pour le moment que les statistiques annuelles sur l'effort de pêche soient ventilées par mois.
b) Puissance moyenne du groupe propulsif
A exprimer en “puissance au frein”. Pour les machines à vapeur, donner, à la place, la “puissance indiquée”.
Les moyennes peuvent être soit simples (non pondérées) soit pondérées, le type de moyenne utilisé devant être précisé. La pondération doit s'effectuer sur la base du “nombre de sorties”.
c) Longueur moyenne (hors tout)
Indiquer la longueur hors tout. En cas d'impossibilité, donner la longueur réglementaire, à condition de biffer à la ligne 9 le terme “overall” (“hors tout”) et d'y insérer l'abréviation “reg.” (“registered”). La longueur doit être exprimée en mètres (1 foot = 0,3048 m).
Ces moyennes peuvent être soit simples (non pondérées) soit pondérées, le type de moyenne utilisé devant être précisé. La pondération doit s'effectuer sur la base du “nombre de sorties”.
d) Nombre d'unités de pêche en activité
Doit comprendre touts unité répertoriée dans sa “catégorie d'unités de pêche” ayant pêché au moins une fois dans le lieu de pêche.
Dans le cas de pêche à deux bateaux, ceux-ci comptent comme une seule unité de pêche.
Pour les définitions standard détaillées des différents types d'effort, voir les sections 1 et 2 de la Partie D.
Il est demandé aux pays d'indiquer dans des notes séparées jusqu'à quel point les données d'effort rapportées dans les formulaires sont conformes ou diffèrent de ces définitions standard détaillées.
Il est demandé aux offices nationaux établissant les rapports de fournir les données concernant les types appropriés d'effort de pêche selon les priorités indiquées ci-dessous.
En fournissant les données sur les mesures d'effort du temps passé en pêche il faut observer les priorités désirables suivantes:
| Première priorité: | il faut fournir ou “le nombre d'heures de pêche”, ou “la pêche avec 1000 hameçons”; en plus il faut aussi fournir “le nombre de coups de filet, de traits ou de mises à l'eau”. |
| Seconde priorité: | “nombre de jours sur les lieux de pêche” et “nombre de jours d'absence du port”. |
| Troisième priorité: | “nombre de sorties effectuées”. |
En fournissant les données sur les mesures d'effort de puissance de pêche, il faut observer les priorités désirables suivantes:
| Première priorité: | “jauge brute moyenne” |
| Seconde priorité: | “puissance moyenne (ch)” |
| Troisième priorité: | “longueur hors-tout moyenne” |
| Quatrième priorité: | “nombre d'unités de pêches en action” |
En outre, les offices nationaux doivent aussi indiquer dans quelle mesure les données d'effort fournies ne sont pas obtenues par relèvement mais par échantillonnage.