El ambiente acuático es una vastísima materia cuyo estudio comprende investigaciones de sus constituyentes físicos, químicos y biológicos y cómo varían en el espacio y en el tiempo. En esta sección sólo se esbozan los rasgos principales del estudio. A pesar de que el ambiente acuático, particularmente el mar, se ha estudiado intensamente, se han establecido pocas relaciones entre los peces y su ambiente que sean de utilidad a los biólogos halieúticos. Esto se debe probablemente a que el ambiente es complejo y las reacciones que causa entre los peces no son directas, por lo que raramente pueden esperarse que sean sencillas como las que existen, por ejemplo, entre los efectivos de la clase anual y la temperatura del agua.
Por esta razón y porque no hay ningún laboratorio que pueda estudiar todos los aspectos de esta cuestión, el director de un laboratorio ocupado en la investigación pesquera práctica tiene que decidir qué trabajo dará resultados útiles. Las decisiones las tomará basándose en que aspectos de la labor ambiental en la misma o en otras regiones handemostrado ser de verdadera utilidad.
De utilidad potencial serían el estudio de la distribución de los peces con respecto a las características ambientales y la posible productividad de las masas de agua. Esta sección tratará sobre todo de estos estudios.
Los programas de muestreo hay que organizarlos. El tipo de observaciones necesarias se tienen que establecer como una lista de estaciones. Una estación es un punto geográfico en el que se hacen observaciones. Hay algunos principios sobre la organización de estaciones que son de aplicación general: (a) las líneas de estaciones (secciones) deben ser perpendiculares a las isolíneas anticipadas de las características que van a ser objeto de muestreo (una isolínea es una línea a lo largo de la cual la característica estudiada, por ejemplo, la temperatura, es igual); (b) la distancia entre las estaciones la determinará el ritmo supuesto de cambio a lo largo de la sección de las propiedades que se van a medir; (c) la frecuencia del muestreo guardará relación con el ritmo esperado de cambio con el transcurso del tiempo. La distancia entre estaciones se fijará según el ritmo esperado de cambio de las características que se muestrean; cuanto mayor sea éste, menor la distancia entre estaciones. En el mar hay observaciones uniformes de la profundidad que son convenientes en casi todas las circunstancias. Estas son: 0, 10, 20, 30, 50, 75, 100, 150, 200, 300, 400, 500, 600, 800, 1 000, 1 200, 1 500, 2 000 m y después cada 1 000 m según convenga.
Después de decidir el número de estaciones y la frecuencia con que se van a muestrear, hay que meter a bordo equipo suficiente, productos químicos y los recipientes para las muestras.
En la mar, la persona que tenga más experiencia de navegación, normalmente uno de los oficiales de cubierta, se encarga de que el barco esté exactamente en la posición de la estación decidida de antemano por el investigador. Este último toma nota, junto con los detalles de las observaciones hechas.
La temperatura es la característica física del ambiente que con más frecuencia se anota porque es fácil de medir y la más sencilla de relacionar con la distribución y asamblea de los peces. La manera más sencilla de tomar la temperatura de la superficie del agua es llenar un balde de agua a sotavento y lejos de las descargas de agua de refrigeración y otras y leer la temperatura con un termómetro de lectura diferida.
Para tomar la temperatura a profundidad hay que tener equipo especial, que con frecuencia también se usa para tomar muestras de agua.
Probablemente la botella Petersen-Nansen (Fig. 7.1) son el instrumento más conveniente para tomar muestras hasta 200 m de profundidad. No debe emplearse a más profundidad porque puede ocurrir que la temperatura cambie mientras se izaes. Con una sola botella Petersen Nansen se obtiene la temperatura de cada profundidad que debe ser objeto de muestreo, bajándola sucesivamente a cada una de ellas, cerrándola con un mensajero (un peso que se desliza por el cable) cuando ha estado a esa profundidad por lo menos medio minuto e izándola. La temperatura se lee inmediatamente con una lente de aumento.
A profundidades superiores a 200 m las temperaturas se toman con termómetros montados en armazones reversibles o en botellas toma muestras de agua también reversibles (Fig. 7.1). Se pueden usar a la vez hasta siete botellas o armazones, espaciados en el cable para tomar muestras a las profundidades deseadas. La primera, la activa un mensajero, que suelta el siguiente y así sucesivamente. Se usa un par de termómetros, uno protegido y el otro no y a menudo se emplean dos juegos, uno que sirve de testigo del otro.
Se llama termómetro protegido al que está dentro de un tubo de vidrio herméticamente cerrado que lo protege de la presión del agua (Fig. 7). En el termómetro que no tiene protección la presión del agua comprime el vidrio y hace que la temperatura que marca sea más alta que la del protegido. Como la presión del agua es proporcional a la profundidad se puede calcular la verdadera a la que se ha tomado la muestra.
Se puede obtener una estimación aproximativa de la profundidad a partir del ángulo que forma el cable con la vertical y la cantidad que se ha largado. Esto basta para ángulos del cable de 5° y varios centenares de metros, pero solamente hasta 100 m si el ángulo es mayor. Las razones de las diferencias entre la profundidad calculada y la real es que el cable no está en línea recta entre el barco y la botella y que la velocidad de la corriente altera el ángulo en el agua. Si los sistemas de corrientes están superpuestos y se mueven en direcciones distintas el ángulo del cable cambiará cada vez que atravíese una.
El termómetro principal es de construcción especial. Consiste en un tubo en uno de cuyos extremos está el bulbo principal de expansión y en el otro un bulbo más pequeño (Fig. 7.2). El tubo, que es capilar, tiene dos constricciones (Fig. 7.2). El termómetro desciendo con el bulbo principal hacia abajo; el mercurio que contiene se dilata, llena el capilar y parte del bulbo pequeño de expansión. Cuando el mensajero llega a la botella, el armazón de la vuelta y la columna de mercurio se rompe en la constricción más baja quedando parte de éste aislado del bulbo de expansión principal, cuyo volumen depende de la temperatura en el punto de muestreo. El volumen de este mercurio y, por lo tanto, la temperatura que registra dependerán todavía de la temperatura a que se ha leido el termómetro principal. Cada uno de estos va acompañado de otro auxiliar que registra ésta (Fig. 7.2). La precisión de los termómetros principales es de 0,01°c y la de los auxiliares de 0,1°C; generalmente tienen un dispositivo lector con una luz y una lente de aumento.
Cuando se efectúa una serie de observaciones de la temperatura, la botella del fondo se arría a la profundidad exacta y se mantiene en ella por lo menos cinco minutos, para que cada termómetro se ponga a la temperatura de la capa que se intenta registrar. Entonces se suelta el primer mensajero para que cierra la primera botella. Para asegurar que ésta y lasdemás botellas se han cerrado, se sujeta el cable con la mano y cada vez que hay un cierre se siente una sacudida. A más de 500 m pueden no sentirse las sacudidas, por lo que hay que cronometrar el mensajero, que se desplaza a 250 m por minuto. Cuando se recuperan las botellas hay que mantenerlas en posición vertical, en la posición invertida, hasta que se ha leido la temperatura de todos los termómetros. A continuación se almacenan con el bulbo hacia abajo para evitar la formación de burbujas.
A las temperaturas que indica el termómetro protegido se les tiene que hacer una serie de correcciones para obtener la temperatura en el lugar donde se tomó. Estas correcciones deben compensar:
(a) la dilatación o la contracción de la columna de mercurio registradora debida a la diferencia entre la temperatura en el punto de muestreo y la de la lectura, como ya se ha indicado
(b) las ligeras irregularidades en el tubo capilar llamadas “índice de corrección” que se obtiene calibrando el termómetro a diferentes temperaturas. Casi todos han sido calibrados por el U.S. Bureau of Standards, el N.P.L. o el P.T.R., que entregan con los termómetros certificados que contiene el índice de corrección que debe aplicarse a diferentes lecturas del termómetro. También se tiene que conocer el volumen del bulbo pequeño del termómetro principal hasta la marca de 0°C en el capilar, denominada Vo (grado volumen). Se da para cada termómetro. La corrección total que se tiene que hacer a la temperatura del termómetro la da la fórmula:

en la que
| T | = | la corrección |
| T¹ | = | temperatura leida en el termómetro protegido reversible |
| t | = | temperatura leida en el termómetro auxiliar asociado al termómetro protegido reversible |
| Vo | = | volumen del mercurio debajo de la marca 0° a 0°C expresado en grados centígrados (= grado volumen) |
| K | = | coeficiente térmico recíproco de expansión del sistema termómetro |
| I | = | índice de corrección de errores en la escala del termómetro |
Vo, I y K son constantes suministradas con el termómetro. Como K es habitualmente 6 100 o 6 300 y la suma de los otros términos es apróximadamente 100, el grado de precisión necesaria se puede obtener usando la fórmula siguiente:

que es la que se usa normalmente.
Tw = T¹ + _T
en la que Tw es la lectura corregida del termómetro protegido. La fórmula para corregir la temperatura del termómetro no protegido es:

| en la que Tu¹ | = | la lectura corregida del termómetro protegido |
| tu | = | temperatura leida en el termómetro auxiliar asociado al termómetro protegido reversible |
y Vo, I y K son las mismas constantes que arriba, pero son los valores para el termómetro reversible no protegido.
Tu = Tu¹ + ΔTu
en la que Tu es la lectura corregida del termómetro no protegido.
La profundidad en metros a la que se ha tomado la temperatura (D), llamada temperatura termométrica la da

| en la que Q | = | coeficiente de presión del termómetro no protegido |
| d | = | densidad media de la columna de agua de mar encima de la profundidad de reversión |
y los otros son símbolos que ya se han descrito.
Q es una constante facilitada con el termómetro y d se encuentra en las Tablas.
LaFond (1951) da detalles completos de estas fórmulas y de los métodos para tratar los datos de la temperatura.
En el Apéndice 7.1 se da un ejemplo práctico.
En muchos casos puede convenir obtener la temperatura de la superficie con frecuencia cuando el barco hace ruta, porque los cambios rápidos normalmente indican divergencias y convergencias de las corrientes que pueden tener importancia en la distribución de los peces. La temperatura de la superficie se mide fácilmente sacando un balde lleno de agua y, en los barcos grandes, utilizando un termógrafo fijado en la toma del condensador. Este último da una lectura continua.
Se obtiene constantemente el perfil temperatura-profundidad con un batitermógrafo (Fig. 7.3) que registra la temperatura y la profundidad correspondiente en una lámina de vidrio ahumado y que se puede usar con el barco parado o en marcha. El batitermógrafo se pone en la superficie del agua y se mantiene en ella 30 segundos para que el termómetro se ajuste a la temperatura antes de hacerlo descender a la profundidad deseada. La cantidad de cable necesaria para llegar a una profundidad dada, dependerá de la velocidad del barco y de las características del cable. Se recomienda hacer varios ensayos para obtener un coeficiente de conversión cable/profundidad. La temperatura de la superficie también deberá tomarse con un balde agua y un termómetro cuando el batitermógrafo se mete en el agua. Después de la recuperación del instrumento, la lámina se guarda una vez que se han hecho las marcas de identificación necesarias, se ha lavado en agua dulce, se ha sumergido en laca de amilacetato y se ha secado en una estantería. Los registros del batitermógrafo se leen colocando las láminas en la rejilla del dispositivo lector suministrado con el instrumento. Las temperaturas reales no son tan exactas como las que da el termómetro, siendo normalmente la precisión anticipada de 0, 1°C. Los batitermógrafos dan un registro continuo de la temperatura y de la profundidad correspondiente, que se obtiene con rapidez y, en muchos casos, más que compensa la menor exactitud. Existen ya batitermógrafos de un solo uso; se lanzan desde el costado del barco mientras está en marcha y por el cable transmiten los datos temperatura-profundidad; cuando ha salido todo el cable, éste se suelta del barco auto-máticamente.
Los batitermógrafos son especialmente útiles porque dan una medida exacta de la profundidad y la intensidad de la termoclina. Este es una zona de fuerte discontinuidad de la temperatura que constituye un mecanismo físico que separa dos capas de agua. El agua debajo de la termoclina puede estar desoxigenada y ser inhabitable para los peces. En algunos lagos, como el Kivu, la termoclina es permanente y las aguas están siempre estratificadas. En agua dulce, el cambio de la densidad con la temperatura es mucho más importante que en la mar, particularmente si excede de 20°C.
Los datos de la temperatura encuentran aplicación en los problemas prácticos de la pesca, particularmente donde la distribución de una especie está limitada por fronteras oceánicas o cuando una especie se congrega en esas fronteras. Los ejemplos de este fenómeno se pueden dividir, de modo general, en tres clases, a saber:
1. las isotermas limitan la distribución geográfica de una especie
2. los peces se agrupan en el límite de una corriente mecánicamente o porque el alimento se acumula en ese límite
3. los peces se concentran en zonas de afloramiento o divergencia.
Tal vez el mejor ejemplo de primer caso sea la distribución del bacalao del mar de Barents a la que pone límite la isoterma de 2°C. Al principio del verano, cuando sólo una pequeña superficie de la región está cubierta por agua del fondo o más de 2°C, el bacalao se concentra en ella y la pesca puede ser abundante (Fig. 7.4). Más adelante en el verano el agua más cálida se desplaza hacia el este, el bacalao se dispersa por esta mayor zona de temperaturas más elevadas y disminuye la pesca (Fig. 7.5).
Existen varios ejemplos del segundo caso. King y Hida (1957) han demostrado que el rabil se reune a la vez en las corrientes de convergencia y divergencia del Pacífico ecuatorial y que en estas zonas, cuando la divergencia es pequeña se pesca de dos a tres veces más que en las corrientes principales (Fig. 7.6). Análogamente, también se ha demostrado que el arenque Atlanto-escandinavo se concentra en la estrecha frontera de temperatura entre el agua fría y cálida al este de la costa de Islandia durante el verano (Benko y Seliverstov, 1971). En la parte este del mar del Norte, en la primavera el arenque se acumula en el borde oeste del agua fría que sale del Báltico, donde se encuentra con el agua más cálida del mar del Norte. En tales casos es probable que no sea directa la relación entre la reunión de peces y la temperatura. En el caso del arenque del mar del Norte, el agua fría de poca salinidad que sale del Báltico crea una establidad vertical que, a su vez, produce una explosión de fitoplancton y zooplancton a principios de la primavera y antes que en el resto del mar del Norte. Es probable que sea la mayor disponibilidad de alimento en esta zona, y no la temperatura directamente, que hace que se reuna el arenque. Es posible que a los otros casos citados se pueden aplicar mecanismos semejantes.
El tercer caso, el de la concentración de peces en zonas de afloramiento, lo demuestra mejor la pesca de la anchoveta a lo largo de la costa de Perú y del norte de Chile y la de la sardina en aguas de la costa oeste de Africa. En ambos casos, la pesca se practica donde las corrientes afloran a lo largo de la plataforma continental, creando zonas en las que abundan los alimentos. De nuevo, la relación entre la temperatura y los peces es probablemente indirecta y el alimento el eslabón directo.
Aparte por completo de las circunstancias que permiten usar los datos de la temperatura para predecir los lugares de mayor concentración de peces y la pesca más provechosa, la temperatura tiene un efecto directo en el metabolismo de los peces. Estos sólo pueden tolerar temperaturas comprendidas entre ciertos límites y dentro de ellos existe una banda óptima para el crecimiento y la reproducción. Normalmente, en los lugares en que una especie está establecida desde hace mucho tiempo, la temperatura no excederá de los límites de tolerancia de la especie, pero las variaciones de la temperatura fuera de los límites óptimos para la reproducción pueden causar variaciones en el índice de reclutamiento. En el oeste de Groenlandia el bacalao no se pescaba antes de 1920 porque el agua era demasiado fría para la especie. Ahora parece que de nuevo el agua se está enfriando demasiado. Desde 1968 las clases anuales han sido muy pequeñas y se duda de que la población seguirá existiendo.
En la bibliografía hay muchas referencias a que los efectos de las variaciones de la temperatura alteran el momento y el éxito de la reproducción. Mankowski (1950) afirma que la reproducción del bacalao del Báltico la atrasan las temperaturas bajas y la adelantan las altas. Simpson (1953) ha demostrado que las temperaturas anormalmente bajas en los lugares de puestas, obligaron a la platija del mar del Norte a reproducirse en otros. Woodland (1964) y Galloway (1941) describen los efectos letales de la temperatura baja en los peces.
Se supondría que el éxito de la sobrevivencia de huevos y larvas, determinado por las variaciones de los efectivos de la clase de edad, mostrarían los mayores cambios con la temperatura, porque sería lógico que en estas fases las especies fueran más sensibles a las variaciones de las temperaturas óptimas que requieren. Kurita (1959) ha relacionado las variaciones en los efectivos de las clases anuales con las de la temperatura. Chase (1955) ha establecido relaciones análogas para el eglefino del banco Georges, Benko y Seliverstov (1971) para el arenque Atlanto-escandinavo y Postuma (1971) para el arenque del mar del Norte. En la bibliografía se citan muchos casos de relaciones similares en muchas especies y en muchas zonas marítimas, pero la realidad sigue siendo que todas estas correlaciones son retrospectivas y que dejan un margen considerable a la variable temperatura. Que raramente se vuelva a hablar de estas relaciones, después de la publicación inicial, podría indicar que tienen poco valor como predicciones.
Hay pocas pruebas directas de que la mortalidad esté relacionada con temperaturas anormales, entre los adultos o las larvas. Galloway (1941) ha encontrado una gran mortalidad de peces en las costas de Florida, relacionada con cambios violentos de la temperatura y Simpson (1953) observó en el frío invierno de 1946–47, gran mortalidad entre los lenguados, bacalao y merlán en la parte sur del mar del Norte.
En el Manual de la FAO de métodos de biología pesquera y en los libros de texto que en él se citan (por ejemplo, Strickland y Parsons, 1960) se describen con detalles métodos para analizar muchas substancias que se encuentran en el agua. En el presente manual sólo se describirá la manera de obtener y conservar muestras para el análisis y se discutirán algunas de las aplicaciones más importantes de tales análisis.
En general, las muestras de agua para hacer los análisis químicos se obtienen en la misma estación o en un grupo de ellas; también se toma la temperatura a diversas profundidades. Para obtener las muestras, un tubo de goma con otro de vidrio de unos 15 cm en un extremo, se fija al cuello de la botella de muestreo, cuya válvula de aire en el extremo superior se abre para aspirar el aire. Primero se toman las muestras para la determinación del oxígeno, si hace falta, y después las necesarias para otros análisis químicos. Las botellas en las que se van a conservar las muestras se lavan primero con un poco del agua de muestreo y después se llenan de la muestra. En el ambiente marino el análisis de la clorinidad es uno de los más importantes. Los resultados se emplean para derivar la salinidad y la densidad del agua, lo que a su vez se usa para caracterizar las masas de agua y determinar su origen, movimientos y mezclas. Las variaciones de la salinidad lejos de la costa son relativamente pequeñas, pero son considerables en zonas costeras debido a las modificaciones de las escorrentías, que influyen en el equilibrio osmótico de los peces y en la flotabilidad de los huevos pelágicos.
Las muestras de oxígeno disuelto se ponen en botellas oscuras de 250 ml en las que el volumen se conoce exactamente y se cierran con tapones de vidrio esmerilado. Al obtener la muestra, es preciso tener el tubo de vidrio cerca del fondo de la botella con la muestra, para que no entren en ésta burbujas de aire y se deja rebosar el agua cuando la botella está llena. En ese momento se quita el tubo y se pone el tapón de vidrio esmerilado teniendo cuidado de que con éste no entran en la botella burbujas de aire. Si no se toman estas precauciones el oxígeno del aire se disolverá en la muestra y se obtendrán resultados falsos. Para fijar las muestras de oxígeno, cerca de la parte superior de la botella se pone 1 ml de solución de cloruro de manganeso, seguida de 2 ml de mezcla yoduro-álcali; para ello el extremo de la pipeta se pone a cerca de 1 pulgada (2,5 cm) debajo de la superficie. El tapón se pone inmediatamente y los productos químicos se mezclan completamente por lo menos durante 15 segundos durante los cuales el tapón se mantiene firmemente en su sitio.
En la mar, un tenor de oxígeno bajo raramente es crítico para la supervivencia de los peces, pero esto puede ocurrir en ciertos lugares de los trópicos donde se forma una capa mínima de oxígeno bajo la superficie y cerca del fondo de depresiones mal aireadas, como las capas más profundas del mar Negro. La falta de oxígeno es mucho más común en las aguas dulces, en los lagos estratificados y en los pantanos. Como el oxígeno lo producen las plantas por fotosíntensis, su tenor en el agua puede también dar una idea útil, aunque vaga, de la cantidad de síntesis de hidratos de carbono que ha ocurrido recientemente en esa masa de agua.
Las muestras para la salinidad se ponen en botellas de 200-300 ml con tapones de vidrio con arandelas de goma. Las botellas sellenan casi completamente, dejando un espacio de 5-10 ml debajo del tapón para permitir la expansión. Estas muestras no necesitan ningún tratamiento antes del análisis.
Los fosfatos, nitratos y silicatos son sales nutrientes importantes cuyo agotamiento en el agua limita la producción orgánica. Las cantidades de estos elementos en un lugar indican su fertilidad potencial y los procesos biológicos que han ocurrido u ocurren en él. Las muestras para la determinación del fosfato deben llenar la botella hasta 2 cm por debajo del tapón; se añaden seis gotas (½-1 ml) de cloroformo, se pone el tapón y la botella se agita vigorosamente hasta que la muestra se pone lechosa. Las muestras se ponen en un frigorífico y se analizan en la primera oportunidad.
Las muestras de nitratos se ponen en botellas pequeñas con tapón de vidrio esmerilado, dejando espacio suficiente para permitir la expansión. Las muestras para los silicatos se ponen en botellas pequeñas de material plástico y se conservan en un frigorífico, sin agentes preservativos, hasta que se analizan.
Otros detalles sobre el análisis del agua de mar los dan Strickland y Parsons (1960).
La medida de la intensidad de la luz a diferentes profundidades tiene valor porque está relacionada con la actividad fotosintética de las plantas, que suministran la producción primaria y la ecología y distribución en profundidad de los animales. Las emigraciones verticales diurnas de muchos organismos marinos sugiere que siguen una intensidad de luz óptima. Además, las reacciones de algunas especies ante los materiales de pesca se debe en parte a su capacidad de verlos, lo que a su vez depende de la intensidad de la luz a la profundidad que están. Generalmente, la energía luminosa a diferentes profundidades no se mide directamente, sino que se calcula a partir de medidas del coeficiente de extinción del agua y de la intensidad de la radiación en la superficie. El coeficiente de extinción puede medirse visualmente o con instrumentos ópticos. El método visual más sencillo es el disco blanco de 20 cm de diámetro de Secchi. Sujeto a un cable, se echa el agua a la sombra del barco, midiéndose en metros la profundidad a la que se pierde de vista. Se le hace descender otros 2-3 m y se iza; se anota de nuevo la profundidad a que se vuelve a ver. La media de estas dos profundidades se convierte en coeficiente de extinción según la ecuación X = 1,7/D, en la X = coeficiente de extinción y D = profundidad media a que ha desaparecido el disco de Secchi en metros. El coeficiente de extinción también se puede calcular con medidores de extinción que tienen una luz eléctrica de 60 a 200 cm encima de una cálula fotoelétrica.
Aunque la contaminación es cada vez un problema más grave, particularmente en los mares que rodean a los países muy industrializados, no se incluye en este manual por dos razones. Primero, la buena vigilancia de los metales pesados y de los compuestos orgánicos de cloro exije tales conocimientos y equipo tan complicado, que es materia de publicaciones especiales. Segundo, porque hasta la fecha no hay pruebas de que los contaminantes tengan efectos directos en la productividad de las poblaciones marinas, excepto en casos aislados próximos a los focos de contaminación. Existen pruebas abundantes de que la contaminación puede repercutir gravemente en la idoneidad del pescado como alimento (Ackefors et al., 1970), pero éste es un problema que más incumbe a las autoridades sanitarias que a los biólogos marinos.
Debido a que el campo de investigaciones del plancton es tan extenso, no lo trata detalladamente este manual, excepto por dos aspectos que tienen una aplicación muy directa a los problemas pesqueros prácticos. Se trata, primero, de la evaluación de la producción primaria y de la biomasa total de plancton que indican la capacidad potencial de un lugar de mantener poblaciones de peces y, segundo, la aplicación de las encuestas sobre huevos y larvas a la investigación del lugar y momento de la reproducción y a la evaluación de poblaciones ícticas.
El método más sencillo y exacto para estimar la producción bruta de un lugar consiste en medir los pigmentos fotosintéticos de la población vegetal. El ritmo de la fotosíntesis se calcula a partir de las concentraciones de clorofila, los datos de la luz y transparencia, empleando una relación general entre la luz y la velocidad de fotosíntesis. Esto da un valor solamente para la producción bruta; para calcular la neta se necesita un valor de pérdida por respiración, lo que es más difícil de obtener. Sin embargo, para casi todos los fines prácticos de la pesca bastan los valores de la producción bruta.
La técnica consiste en sacar muestras de 1 a 5 1, según la abundancia de fitoplancton, de varias profundidades dentro de la zona fotosintética, empleando una botella Petersen-Nansen o cualquiera otra adecuada. Estas muestras se filtran a través de filtros de membrana de celulosa con poros de 0,4-0,65 μm (μm = 10-6 metros) que se han cubierto con suficiente MgCo3 finamente pulverizado para dar cerca de 10 mg/cm² en la superficie del filtro. Una presión aspirante de 2/3 de atmósfera aplicada a los filtros acelera la filtración. Estos filtros pueden almacenarse en la oscuridad a 1°C, sobre gel de sílice hasta dos meses, aunque es preferible extraer el pigmento del filtro húmedo inmediatamente y hacer análisis espectrofotométricos sin retraso.
El pigmento se extrae del fitoplancton poniendo el filtro durante por lo menos 10 minutos en acetona al 90 por ciento. Los extractos sería preferible tratarlos inmediatamente pero se conservan varias horas a la temperatura ambiente en la oscuridad. La medida del pigmento se hace con un espectrofotómetro con anchura de banda de μm o menos y células con una pista luminosa de 4–10 cm, leyéndose la extinción a 750, 663, 645 y 630 μm contra un testigo de acetona al 90 por ciento. La extinción a 750 μm se resta de la de los otros valores y las respuestas se dividen por la pista luminosa de la célula utilizada expresada en centímetros. Si estas extinciones corregidas son e663, e645, y e663 la concentración de clorofila a en el extracto de acetona al 90 por ciento es = 11,64e663-2,16e645+0,10e630. Si este valor se multiplica por el volumen del extracto en milílitros cúbicos y se divide por el volumen del agua de mar filtrada expresado en litros, la concentración de clorofila en el mar se obtiene como μg por litro. Una descripción completa de las técnicas para la determinación de los pigmentos vegetales en agua de mar se encuentra en “Determination of Photosynthetic Pigments in Sea Water”, Monograph on Oceanographic Methodology, Unesco, 1966.
La concentración de clorofila a calculada como se has dicho antes, da una medida adecuada de la biomasa de fitoplancton. Si se necesita una estimación de la producción siguiente: sada como peso del carbono producido al día, se puede hacer con la ecuación siguiente:
en la que P = fotosíntesis en g de carbono/m²día
R = fotosíntesis relativa
como la de una gráfica de Ryther y Yentsch (1957) que relaciona la actividad fotosintética relativa para el valor apropiado de la radiación de la superficie. K es el coeficiente de extinción por metro medido como se describe en la página y C = g de clorofila por metro cúbico.
Uno de los problemas más importantes que presenta la medida del zooplancton es que no existen dispositivos adecuados para obtener muestras de la enorme variedad de organismos que lo constituyen y que van desde celentéreos de 1 m de diámetro hasta protozoos de cerca de 2μ. En principio, esta dificultad podría vencerse empleando en cada estación diversos mecanismos que abarcaran todos los grupos principales de tamaños. Esto tiene el inconveniente de que habría muchas superposiciones en las gamas de dimensiones muestreadas con los diferentes ingenios, de modo que cuando lo que capturasen fuera sumado para obtener la biomasa total, algunos organismos se contarían más de una vez. En esta situación, lo mejor probablemente es adoptar un dispositivo que ofrezca una muestra de la gama de tamaños de los organismos que constituyen el grueso de la biomasa de plancton y aceptar el hecho de que la estimación es baja porque una proporción del placton se ha omitido debido a la selección de las mallas o a la evasión.
Una manga para plancton con una abertura de mallas de 200 μm es la mejor solución y una red con tales mallas ha sido descrita con detalles por el Grupo de Trabajo 2 de CIEM/ SCOR/Unesco (Anon., 1968), creado para asesorar sobre la normalización del muestreo de zooplancton. El Grupo recomendó que tal red se emplease para caladas verticales, pero no hay razón para no usarla oblicuamente si se remolca a cerca de 1,5 nudos, aunque esto es muy lento para los organismos mayores que se evadirían de la red a tal velocidad. Para los decápodos pelágicos y para las larvas de peces en las fases más avanzadas se necesitan velocidades de 4 nudos.
Las profundidades a que es necesario obtener las muestras para medir la biomasa de zooplancton sólo se pueden determinar haciendo experimentos en el lugar, aunque las muestras obtenidas oblicua o verticalmente desde una profundidad máxima de 200 m, normalmente darán una estimación lo bastante aproximada. No se acaba de decidir la cuestión de las ventajas de los lances oblicuos o verticales para determinar la abundancia de plancton. Los verticales tienen la ventaja de que es mácil de medir el volumen de agua filtrado, pero son muy susceptibles a las variaciones producidas por masas de plancton pequeñas. En conjunto, parece serque se obtiene una estimación más válida con los lances oblicuos porque igualan en gran parte las masas de plancton y dan una estimación media más representativa de un área bastante extensa. Las mallas de las redes para plancton se cegarán si son muy densos el zooplancton o el fitoplancton, por lo deben ir dotadas siempre de contadores del flujo del agua para calcular el volumen filtrado.
Dos instrumentos de muestreo son el Gulf III (Fig. 7.7) y el Bongo (Fig. 7.8) que pueden ser remolcados oblicuamente. Llevan conos filtrantes con malla de 250 μm. Las muestras de zooplancton deberán conservarse en formol al 4 por ciento tamponado por borax o virutas de mármol. Para determinar la biomasa de la muestra, lo más sencillo es medir el volumen desplazado al filtrarla por un trozo de seda fina de cedazo (no. 25). El trozo de seda con el plancton retenido se dejan 10 minutos en papel absorbente y a continuación la muestra se pone en un cilindro graduado que contenga una cantidad conocida de agua. El aumento del volumen en el cilindro corresponde al desplazado por el plancton. El peso de la biomasa (peso neto) puede obtenerse poniendo lo recogido en un cilindro de vidrio de peso conocido que tiene una base de nylon de malla muy fina. Cuando se ha sacado casi todo el preservativo, se quita el resto con una bomba de succión. El material se lava con agua a succión durante un corto tiempo para que pase aire por el plancton antes de pesarlo. Los resultados de estas estimaciones se expresan como peso o volumen debajo de 1 m² de superficie del mar, a partir del volumen de agua filtrada por la manga y medida por el contador y la profundidad a la cual se arrastró el dispositivo de muestreo.
Aunque estos métodos dan los resultados más exactos y comparables, también se puede obtener información de utilidad remolcando redes de zooplancton sencillas. Si no se usa un contador los resultados no son cuantitativos, pero si se sigue cada vez un método uniforme los resultados son comparables cualitativamente. Un ejemplo de un estudio cualitativo de esta clase es el de Holden y Green (1960).
Sería de suponer que la biomasa de plancton fuera de la mayor importancia para los problemas pesqueros en dos grandes esferas. Para las especies pelágicas que se alimentan directamente de plancton, podría creerse que existe una relación entre los puntos de gran abundancia de zooplancton y las concentraciones de peces y la abundancia de la pesca. Aunque en general esto se ha demostrado que es verdad en el caso de unas cuantas especies, la relación detallada está le jos de ser sencilla y muy escaso su valor como método para guiar una flota pesquera a los bancos más productivos. Esto puede tener dos razones: que haya un lapso de tiempo entre el establecimiento del plancton y la reunión de los peces y que los lugares de mayor concentración de peces sean en los que no hay plancton porque se lo han comido todo.
Otro sector en el que la estimación del zooplancton parecería probable que pudiera dar resultados pesqueros de utilidad, sería en la predicción de los efectivos de las clases anuales. La hipótesis más aceptada es que las variaciones en el tamaño de las clases anuales de los fecundísimos teleósteos se deben a cambios anuales en la cantidad de alimento, suponiéndose que la falta de alimento adecuado es el factor principal en la mortalidad de las fases larvarias. Aunque esto parece ser aceptable en teoría (Gulland, 1965), el concepto plantea problemas de interpretación en especies que no muestran modalidades similares en la variación de los efectivos de las clases anuales (Jones, en prensa), pero que se reproducen en el mismo lugar y al mismo tiempo y prefieren alimentos similares. Lo que es verdad es que nadie ha conseguido demostrar para ninguna especie una relación larga, convincente, entre el tamano de las clases anuales y la abundancia de alimento. Esto puede deberse a insuficiencia de datos más bien que a premisas fundamentales poco sostenibles.
La otra gran aplicación del muestreo de plancton a los problemas prácticos de la pesca es la de evaluar exactamente el momento y lugar de la reproducción y las dimensiones de la población reproductora. El momento puede averiguarse del examen del ciclo reproductivo, como se ha explicado en la sección 5. Puede ser posible determinar el área de reproducción a partir del lugar de pesca, pero los peces pueden continuar en un estado de madurez avanzada durante mucho tiempo antes de la puesta y entretanto recorrer enormes distancias. Una técnica más precisa es estudiar el lugar, mediante el muestreo de plancton, para determinar la presencia de huevos y larvas de las especies consideradas. Antes del estudio deberá obtenerse toda la información posible sobre el momento y lugar de captura de los peces proximos a la reproducción. El empleo de estos datos permitirá reducir al mínimo la zona y duración del estudio.
Un Grupo de Trabajo del CAIRM sobre estudios de huevos y larvas de peces ha recomendado que para obtener huevos y larvas de peces, exceptuadas las larvas de gran tamaño, el mejor instrumento es un muestreador Bongo de 60 centímetros. Dotados de redes de mallas de 0,505 y 0,333 mm, se remolca oblicuamente a entre 1,5 y 2,0 nudos desde la profundidad máxima a la que se encuentran los huevos y larvas de las especies que se estudian, hasta la superficie. Estas velocidades son satisfactorias para huevos y larvas jóvenes que no pueden escapar de las redes. Para capturar las fases larvales más avanzadas se necesitan velocidades superiores (hasta 4 nudos). Está en preparación un manual de la FAO sobre estudios de huevos y larvas de peces. Estos estudios deberían hacerse en una red de estaciones, a las mismas distancias entre ellas, que abarcaran toda el área que, según datos disponibles, contuviera centros de reproducción. Similarmente, tales redes deberían repetirse a intervalos regulares en todo el período con respecto al cual se disponen de información de otros orígenes al efecto de que puede haber actividad de puesta.
Antes de comenzar las encuestas sobre huevos y larvas sería mejor que las fases planctónicas de las especies que se investigan pudieran identificarse, para que no hubiera posibilidad de confusión con huevos y larvas de otras especies muy parecidas. Si dos especies cuyos huevos son muy difíciles de separar en las primeras fases, desovan en el mismo lugar y aproximadamente al mismo tiempo, hay que asignar definitivamente a cada especie una fase posterior de desarrollo. De esta manera se incurre en cierto error porque los huevos habrán derivado de la zona de desove y estarán dispersos por un área más amplia que la que ocuparon desde el momento del desove hasta la fase utilizada. Análogamente, a menos que se sepa el tiempo transcurrido desde el desove hasta la fase de desarrollo que se usa, habrá errores en la estimación del comienzo, del fin y del momento de máxima actividad reproductiva.
En las fases precoces de una pesquería, cuando todavía no se han identificado los huevos y las fases larvarias, es posible que no queda más remedio que agrupar ambos por especies. La identificación sólo se puede hacer criando los huevos y las larvas en el laboratorio, lo que no es fácil.
La estimación de la abundancia de una población íctica a partir de los estudios de las larvas y huevos del plancton plantea problemas análogos a los de la identificación del momento y lugar de la reproducción. El concepto básico de evaluar de esta manera la abundancia de una población es relativamente sencillo. La producción total de una fase de huevos o larvas de una especie se obtiene a partir de una serie de estudios que comprendan una época de desove. Conociendo la fecundidad media de las hembras maduras su abundancia total se puede calcular aplicando la ecuación:

en la que P = producción de huevos estimada
F = fecundidad media de las hembras maduras
La abundancia de la población explotada se obtiene de las proporciones en las capturas industriales de hembras a machos maduros y peces inmaduros juntos. Como la fecundidad de un pez es proporcional a su peso, puede estimarse el de la población empleando la relación por unidad de peso más bien que la de la fecundidad media.
El problema principal consiste en calcular la producción de huevos en toda una época de reproducción. Esto se logra haciendo en el área de distribución de los huevos un muestreo de intensidad suficiente para obtener una idea representativa de los cambios en la densidad de los huevos. Normalmente, los recuentos del total de huevos para cada estudio se obtienen en muestreos desde una red de estaciones colocadas regularmente a distancias fijas unas de otras. Esto simplifica el cálculo posterior. Para obtener la mejor estimación tiene mucho a su favor el muestreo a distancias menores en los lugares de mayor concentración, donde la variabilidad es normalmente alta, y mayores en los bordes de la distribución donde la variabilidad es normalmente la más baja. Es necesario obtener muestras de toda la gama de profundidades en las que están distribuidos los huevos, mediante lances oblicuos con un Gulf III o una red Bongo. Esta de be estar dotada de un contador del flujo para que el número total de huevos capturados pueda convertirse en el numero debajo de 1 m² de superficie. El numero pescado en cada estación se convierte al número en el volumen total de distribución; para una red de estaciones espaciadas regularmente lamedia de las observaciones de cada estación se multiplica por el volumen que representa. Para una red de muestreo irregularment distribuida, se trazan líneas isométricas, se mide el volumen dentro de cada isolínea y se multiplica por el número de huevos.
Como la puesta de huevos varia con el tiempo en una época de reproducción, es necesario efectuar durante ella varios estudios. Para obtener estimaciones de la puesta diaria de huevos, el total de cada estudio se divide por el número de días que tarda el huevo en pasar por la fase utilizada en el análisis a la temperatura reinante en el momento de ese estudio. El resultado es una serie de estimaciones del total de huevos puestos en un día en diversos momentos de la época de la reproducción. Existen dos maneras de obtener la producción total de la época: para muchas especies la puesta en la época del desove sigue una curva normal; la superficie debajo de este tipo de curva se puede estimar conociendo los valores en tres puntos cualquiera de ella. En la fase inicial de la investigación es necesario efectuar más de tres viajes para determinar si la puesta de huevos es normal.
Si la producción estacional de huevos no sigue una curva normal, se obtiene de dos maneras una estimación de la producción total: una consiste en tomar la producción total de huevos durante el viaje y pesarla como sigue. Sean:
P = producción total de huevos para el estudio
d = duración del estudio en días
2b = número de días entre este estudio y el anterior
2c = número de días entre este estudio y el siguiente
En este caso la producción estimada de huevo para el período (b+c+d) días es:
Para los primeros y últimos estudios la producción debería ser pequeña y para el primer estudio b puede tomarse como igual a cero e igualmente para el último estudio d. La otra manera es trazar los totales del estudio como ordenadas en función de la mitad de la duración del viaje y medir el área debajo de la curva resultante. Si la curva de intensidad de puesta estacional es anormal, se tendrán que hacer más estudios para obtener exactitud comparable a la de una curva normal. El número necesario no puede saberse hasta que se haya hecho un viaje piloto para determinar como el desove varía en el tiempo. Una discusión del uso de tales estudios para estimar el tamaño de las poblaciones y los límites de confianza de tales estimaciones la publica Saville (1964).
Ejemplo:
En marzo de 1971 se efectuaron nueve estudios para obtener muestras de la abundancia de huevos de eglefino. Durante cada estudio se sacaron muestras en 32 estaciones separadas por 20 millas marinas, en un sistema reticular cuadrado.
(a) Durante el estudio del 10–12 marzo los datos necesarios obtenidos en cada estación se dan en la tabla.
Los huevos pasan por la fase I en 2,5 días. Calcular la producción diaria media de huevos en el área estudiada y en el tiempo que duró el estudio (1 milla nautica cuadrada = 343 × 104 metros cuadrados).
El número medio de huevos por metro cuadrado en el área estudiada de los datos de la columna D = 9,45.
La producción diaria media de huevos = 9,45/2,5 = 3,77 por metro cuadrado
Cada estación representa 20 millas nauticas cuadradas
Area del estudio = 400 × 343 × 104 × 32 metros cuadrados | ||
| = 43904 × 106 metros cuadrados | ||
Producción total diaria de huevos durante el período de este estudio
= 43904 × 3,77 × 106 = 165518 × 106
| Número de la estación | Número de huevos en fase I en cada muestra | Volumen de agua filtrado (metros cúbicos) | Profundidad del lance (metros) | Número de huevos fase I debajo de 1 m² de superficie |
|---|---|---|---|---|
| A | B | C | AxC/B=D | |
1 | 0 | 55 | 10 | 0,00 |
2 | 1 | 62 | 31 | 0,50 |
3 | 1 | 58 | 42 | 0,72 |
4 | 0 | 65 | 63 | 0,00 |
5 | 1 | 70 | 64 | 0,91 |
6 | 8 | 63 | 63 | 8,00 |
7 | 10 | 61 | 42 | 6,89 |
8 | 4 | 62 | 31 | 2,00 |
9 | 2 | 60 | 20 | 0,67 |
10 | 25 | 54 | 30 | 13,89 |
11 | 40 | 58 | 40 | 27,59 |
12 | 1 | 45 | 45 | 1,00 |
13 | 0 | 50 | 52 | 0,00 |
14 | 15 | 63 | 45 | 10,71 |
15 | 75 | 65 | 47 | 54,23 |
16 | 0 | 60 | 25 | 0,00 |
17 | 0 | 61 | 21 | 0,00 |
18 | 90 | 58 | 36 | 55,86 |
19 | 35 | 56 | 48 | 30,00 |
20 | 1 | 63 | 63 | 1,00 |
21 | 0 | 61 | 58 | 0,00 |
22 | 75 | 60 | 43 | 53,75 |
23 | 15 | 59 | 40 | 10,17 |
24 | 1 | 57 | 22 | 0,39 |
25 | 0 | 66 | 30 | 0,00 |
26 | 10 | 65 | 38 | 5,85 |
27 | 20 | 75 | 50 | 13,33 |
28 | 0 | 57 | 61 | 0,00 |
29 | 0 | 59 | 83 | 0,00 |
30 | 2 | 50 | 75 | 3,00 |
31 | 1 | 65 | 62 | 0,95 |
32 | 0 | 53 | 71 | 0,00 |
(b) De otros estudios efectuados en la misma área en 1971 se obtuvieron las estimaciones siguientes de la producción diaria de huevos:
| Período del estudio | Producción diaria de huevos estimada | ||
|---|---|---|---|
| 3–5 marzo | 3290 × 106 | ||
| 6–8 " | 49106 × 106 | ||
| 10–12 " | 165518 × 106 | ||
| 13–15 " | 212086 × 106 | ||
| 16–17 " | 243750 × 106 | ||
| 19–21 " | 175208 × 106 | ||
| 23–25 " | 83690 × 106 | ||
| 26–28 " | 22115 × 106 | ||
| 29 marzo–1 abril | 925 × 106 |
Calcular la producción total anual de huevos de la población.
Marque estos valores en la fecha mediana de cada viaje, como en la Fig. 7.9 en una escala apropiada.
La superficie que queda debajo del gráfico es igual a 153,25 cuadrados grandes.
Cada uno representa 2 × 1 × 1010 huevos en la escala utilizada.
Producción total anual = 153,25 × 2 × 1010
= 306,5 × 1010
(c) La relación fecundidad—talla de esta población es F = 1,309L3,2 en la que F = fecundidad y L = talla de una hembra en centímetros.
Si la talla media de los reproductores es 28 cm y la relación de sexos de peces maduros es 1:1 calcular el número de peces en la población madura.
La fecundidad media de la población de hembras maduras = 1,309 × 283,2 | |
| = 55,973 | |
Se han empleado técnicas similares para especies que ponen los huevos en el fondo; las muestras se dragan en los puntos de puesta y las áreas que las rodean. No hay una técnica conveniente para el muestreo de peces de agua dulce, la mayoría de los cuales fijan los huevos a plantas. Además, las larvas no se distribuyen en un lugar pelágico como las de los peces marinos.
Anon., 1971 Report on the ACMRR Working Party on Fish Egg and Larval Surveys. ACMRR 6/71-WP4
Ackefors, H. et al., 1970 A survey of the mercury pollution problem in Sweden with special reference to fish. Oceanogr.mar.Biol., 8:203–22
Benko, Iu.K. y A.S. Seliverstov, 1971 Influence of some factors on the abundance of Atlanto-Scandian herring year-classes. Rapp.P.-v.Réun.Cons.perm.int.Explor.Mer, 160: 153–7
Galloway, J.C., 1941 Lethal effect of the cold winter of 1939–40 on marine fish at Key West, Florida. Copeia, 1941(2):118–9
Gulland, J.A., 1965 Survival of the youngest stages of fish and its relation to year-class strength. Spec.Publ.int.Commn.nthw.Atlant.Fish., (6):363–71
Holden, M.J. y J. Green, 1960 The hydrology and plankton of the River Sokoto. J.Anim.Ecol., 29:65–84
Jones, R., 1973 Density dependent regulation of the numbers of cod and haddock. Rapp.P.-v. Réun.Cons.perm.int.Explor.Mer, 164:156–73
King, J.E. y T.S. Hida, 1957 Zooplankton abundance in the central Pacific. Part 2. Fish.Bull. U.S.Fish Wildl.Serv., 57(118):365–95
Kurita, S., 1959 Causes of fluctuations in the sardine population off Japan. In World Scientific Meeting on the Biology of Sardines and Related Species, redactado por H. Rosa, Jr. y G. Murphy. Rome, FAO, 3:913–35
LaFond, E.C., 1951 Processing of Oceanographic Data. H.O.Pub. No.614. U.S. Hydrographic Navy Hydrographic Office, 144 pp.
Mankowski, W., 1950 The influence of thermal conditions on the spawning of fish. Bull.Inst. morsk.ryb., Gdynia, (5):65–70
Postuma, K.H., 1971 The effect of temperature in the spawning and nursery areas on recruitment of autumn-spawning herring in the North Sea. Rapp.P.-v.Réun.Cons.perm.int. Explor.Mer, 160:175–83
Ryther, J.H. y C.S. Yentsch, 1957 The estimation of phytoplankton production in the ocean from chlorophyll and light data. Limnol.Oceanogr., 2:281–6
Saville, A., 1964 Estimation of the abundance of a fish stock from egg and larval surveys. Rapp.P.-v.Réun.Cons.perm.int.Explor.Mer, 155:164–70
Simpson, A.C., 1953 Some observations on the mortality of fish and the distribution of plankton in the southern North Sea during the cold winter 1946–47. J.Cons.perm.int. Explor.Mer., 19:150–77
Strickland, J.D.H. y T.R. Parsons, 1960 A manual of sea water analyses (with special reference to the more common micro-nutrients and to particulate organic material). Bull. Fish.Res.Bd.Can., (125):185 p.
Unesco,1968 Zooplankton sampling. Monogr.oceanic Method., (2):174 p.
Woodhead, P.M.J., 1964 The death of fish and sublittoral fauna in the North Sea and English Channel during the winter of 1962–63. J.Anim.Ecol., 33(1):169–77
Fig. 7.1 Botella Petersen-Nansen (izquierda) y revertida (derecha)
Fig. 7.2 Termómetro de inversión (protegido contra la presión) y constricciones del tubo capilar
Fig. 7.3 Batitermógrafo, cuadrículas para lectura de los registros y registro típico
Fig. 7.4 Distribución del bacalao y de las temperaturas del fondo en la zona de la isla de los Osos al comienzo del verano
Fig. 7.5 Distribución del bacalao y de las temperaturas del fondo en la zona de la isla de los Osos más adelante en el verano, cuando el agua cálida se ha desplazado hacia el este
Fig. 7.6 Variaciones con el sistema de corrientes de las capturas de rabil y del volumen de zooplancton
Fig. 7.7 Modificación holandesa de saca muestras Gulf III
Fig. 7.8 Vista lateral del toma muestras Bongo
Fig. 7.9 Gráfico de la producción de huevos/tiempo para el estudio de los huevos de eglefino
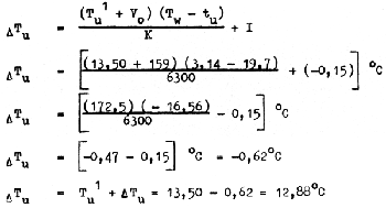
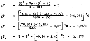
EJEMPLO PRACTICO DE CORRECCION DE LA LECTURA DE LA TEMPERATURA
Este ejemplo procede del Hydrographic Department Professional Paper No. 19, “Temperature and Salinity Measurements using reversing water bottles”, published by the Hydrographic Department, Ministry of Defence (Navy), London, 1967. Esta publicación da una excelente explicación, paso a paso, de la manera de efectuar estas medidas.
T¹ | = | temperatura marcada por el termómetro reversible protegido = 3,40°C |
t | = | temperatura marcada por el termómetro auxiliar = 19,5°C |
Vo | = | volumen del bulbo pequeño, hasta 0°C en el capilar del termómetro reversible protegido = 67°C |
K | = | coeficiente térmico del termómetro reversible protegido = 6100 |
I | = | índice de corrección del termómetro reversible protegido = -0,07°C |
![]() | ||
Es decir, la temperatura real en el punto de reversión (Tw) = 3,14°C | ||
T¹u | = | temperatura del termómetro reversible no protegido = 13,50°C |
tu | = | temperatura del termómetro auxiliar = 19,7°C |
Vo | = | volumen del bulbo pequeño a O°C sobre el capilar del termómetro de inversión no protegido = 159°C |
K | = | coeficiente térmico del termómetro reversible no protegido = 6300 |
I | = | índice de corrección del termómetro reversible no protegido = -0,15°C |
![]() | ||
Es decir, la temperatura real en el momento de la reversión más el efecto de la temperatura es 12,88°C ( = Tu)
Para calcular la profundidad:
d | = | densidad media del agua de mar a la profundidad de inversión = 1,029 |
Q | = | coeficiente de presión del termómetro de reversión no protegido = 0,00954 |
![]() | ||
| = | 993 metros | |
La profundidad real de reversión del termómetro es de 993 metros en vez de los 1000 metros indicados por la polea contadora que registra la longitud del cable arriado.