par
K.Ya. BATALIANTS
Atlant-NIRO, Kaliningrad, URSS
Les données présentées dans ce document ont été collectées sur le plateau continental de l'Afrique de l'Ouest entre 9 et 26°N, de septembre à octobre 1975 et en octobre et novembre 1976. On a analysé les échantillons des prises des bateaux travaillant à la senne tournante sur cinq espèces pélagiques - Sardinella aurita, Sardinella maderensis, Sardina pilchardus, Trachurus trachurus, Trachurus trecae.
Sardinella aurita. Les distributions de fréquence des captures par décade sont données dans le Tableau 1. Ces distributions correspondent à la réunion d'échantillons tires de bancs isoles, chacun avec des valeurs différentes de longueur moyenne des individus. Par exemple, au cours de la troisième décade de septembre, la longueur moyenne des individus dans les échantillons (M + m) variait entre 25,25 ± 0,057 et 27,04 ± 0,087; au cours de la première décade d'octobre, cette valeur était comprise entre 25,15 ± 0,100 et 26,25 ± 0,085; au cours de la deuxième décade d'octobre, elle se situait entre 25,35 ± 0,090 28,37 ± 0,110, et à cours de la troisième décade d'octobre entre 25,04 ± 0,050 et 27,17 ± 0,160. Le poids moyen des individus par intervalles de taille a été mesure sur les échantillons prélevés au cours de la première décade d'octobre (Tableau 2).
Sardinella maderensis. Elle provient surtout de captures associées et moins importantes que celles de Sardinella aurita. Les échantillons proviennent des bancs isolés (Tableau 3) caractérises par des valeurs différentes de longueur moyenne des individus qui les forment. Le poids des individus appartenant aux classes successives de longueur est présente dans le Tableau 4.
Sardina pilchardus. Au cours de toute la période d'observations on a constate une stabilité de la longueur moyenne des individus dans les échantillons isoles, ce qui se reflète dans la valeur moyenne par décade (Tableau 5). Dans les 16 échantillons étudiés, la longueur moyenne des individus est restée comprise entre 19,14 ± 0,057 et 19,79 ± 0,056. Le poids moyen des individus est donne dans le Tableau 6.
Trachurus trachurus. Les distributions de longueur par décade données dans le Tableau 7, résultent aussi de la réunion d'échantillons tirés de plusieurs bancs isolés. Au cours de la deuxième décade d'octobre, la longueur moyenne des individus dans les bancs isolés a varié entre 18,99 ± 0,053 et 26,99 ± 0,121; au cours de la troisième décade d'octobre entre 18,67 ± 0,127 et 29,40 ± 0,081. Le poids moyen des individus est présenté dans le Tableau 8.
Trachurus trecae. Les variations dans la distribution de longueur par décade (Tableau 9) sont liées à la prédominance dans les prises de bancs ayant des longueurs moyennes différentes. La longueur moyenne a varie pendant la troisième décade de septembre entre 28,81 ± 0,109 et 32,55 ± 0,067; pendant la première décade d'octobre encre 27,06 ± 0,219 et 29,75 ± 0,157 et enfin pendant la deuxième décade d'octobre entre 23,28 ± 0,113 et 27,35 ± 0,169. Le poids moyen des individus est donne dans le Tableau 10.
Ainsi, la composition de taille des prises des espèces par décade peut varier de façon considérable (Trachurus trecae) ou assez faiblement (Sardinella aurita et Sardinella eba, Trachurus trachurus) et pratiquement pas (Sardinella pilchardus). Les variations dépendent de l'homogénéité des bancs que forment les populations des espèces indiquées dans le secteur étudie. L'analyse de chaque banc représente un intérêt particulier pour suivre la composition de longueur des espèces pélagiques de ce secteur.
Tableau 1
SARDINELLA AURITA, (SECTEUR 9-26°N, 1975):
DISTRIBUTIONS DE FREQUENCE "POUR MILLE" DE LONGUEUR DE PRISE
A LA SENNE TOURNANTE
|
Mois, décades |
22 |
23 |
24 |
25 |
26 |
27 |
28 |
29 |
30 |
31 |
32 |
33 |
Longueur |
n |
|
|
Septembre, |
3ème décade - |
6,2 |
10,8 |
72,3 |
263,1 |
293,8 |
196,9 |
104,6 |
29,2 |
16,9 |
4,6 |
- |
1,5 |
26,13 |
650 |
|
Octobre, |
1ère décade - |
5,0 |
51,7 |
93,3 |
363,3 |
275,1 |
125,0 |
63,0 |
18,3 |
5,0 |
- |
- |
- |
25,60 |
600 |
|
Octobre, |
2ème décade - |
- |
5,1 |
52,3 |
131,3 |
212,3 |
248,2 |
188,7 |
93,3 |
64,6 |
3,1 |
1,1 |
- |
26,94 |
975 |
|
Octobre, |
3ème décade - |
7,8 |
24,9 |
107,5 |
172,7 |
287,0 |
204,7 |
99,8 |
62,7 |
26,2 |
4,5 |
1,3 |
- |
26,23 |
1 563 |
POIDS MOYEN DES INDIVIDUS DANS LES DIFFERENTES CLASSES DE LONGUEUR
|
Longueur (cm) |
Poids moyen (g) |
Longueur (cm) |
Poids moyen (g) |
|
22 |
167,5 |
26 |
295,9 |
|
23 |
210,0 |
27 |
332,0 |
|
24 |
233,3 |
28 |
341,9 |
|
25 |
265,9 |
29 |
397,5 |
SARDINELLA MADERENSIS (SECTEUR 9-26°N,
1975):
DISTRIBUTIONS DE FREQUENCE "POUR MILLE" DE LONGUEUR DES
PRISES A LA SENNE TOURNANTE
|
Mois, décades |
21 |
22 |
23 |
24 |
25 |
26 |
27 |
28 |
29 |
30 |
Longueur |
n |
|
|
Septembre, |
3ème décade |
- |
14,1 |
57,1 |
107,0 |
242,8 |
200,0 |
128,5 |
157,1 |
79,3 |
14,1 |
26,02 |
140 |
|
Octobre, |
1ère décade |
11,1 |
61,1 |
222,2 |
233,3 |
233,3 |
83,3 |
88,9 |
38,9 |
16,8 |
11,1 |
24,54 |
180 |
|
Octobre, |
2 ème décade |
- |
12,0 |
108,0 |
208,0 |
328,0 |
208,0 |
80,0 |
44,0 |
8,0 |
4,0 |
25,09 |
250 |
|
Octobre, |
3ème décade |
- |
- |
69,7 |
209,4 |
358,1 |
195,4 |
106,9 |
46,6 |
13,9 |
- |
25,25 |
215 |
POIDS MOYEN DES INDIVIDUS DANS LES DIFFERENTES CLASSES DE LONGUEUR
|
Longueur (cm) |
Poids moyen (g) |
Longueur (cm) |
Poids moyen (g) |
|
22 |
165,0 |
26 |
336,3 |
|
23 |
228,8 |
27 |
371,1 |
|
24 |
256,6 |
28 |
395,0 |
|
25 |
293,1 |
29 |
435,0 |
SARDINA PILCHARDUS (SECTEUR 9-26°N, 1976): DISTRIBUTIONS DE FREQUENCE "POUR MILLE" DE LONGUEUR DES PRISES A LA SENNE TOURNANTE
|
Mois, décades |
16 |
17 |
18 |
19 |
20 |
21 |
22 |
23 |
Longueur |
n |
|
|
Octobre, |
3ème décade |
- |
17,8 |
170,0 |
423,4 |
262,2 |
97,7 |
28,9 |
- |
19,34 |
900 |
|
Novembre, |
1ère décade |
- |
6,7 |
156,7 |
383,3 |
288,3 |
98,3 |
55,0 |
11,7 |
19,53 |
600 |
|
Novembre, |
2ème décade |
- |
19,3 |
102,0 |
379,4 |
260,0 |
176,0 |
63,3 |
- |
19,66 |
1 500 |
|
Novembre, |
3ème décade |
0,6 |
15,5 |
127,3 |
420,6 |
289,9 |
109,9 |
34,9 |
1,1 |
19,46 |
1 788 |
POIDS MOYEN DES INDIVIDUS DANS LES DIFFERENTES CLASSES DE LONGUEUR
|
Longueur (cm) |
Poids moyen (g) |
Longueur (cm) |
Poids moyen (g) |
|
16 |
50,0 |
20 |
97,1 |
|
17 |
60,0 |
21 |
114,8 |
|
18 |
79,1 |
22 |
120,0 |
|
19 |
91,2 |
- |
- |
TRACHURUS TRACHURUS (SECTEUR 9-26°N, 1975): DISTRIBUTIONS DE FREQUENCE "POUR MILLE" DE LONGUEUR DES PRISES A LA SENNE TOURNANTE
|
Mois, décades |
16 |
17 |
18 |
19 |
20 |
21 |
22 |
23 |
24 |
25 |
26 |
27 |
28 |
29 |
30 |
31 |
32 |
33 |
Longueur |
n |
|
|
Octobre, |
2ème décade |
3,4 |
10,1 |
91,3 |
165,6 |
135,1 |
81,1 |
57,4 |
47,3 |
61,9 |
83,3 |
76,6 |
94,6 |
60,8 |
23,6 |
7,9 |
- |
- |
- |
22,51 |
888 |
|
Octobre, |
3ème décade |
4,2 |
26,3 |
122,1 |
149,5 |
103,2 |
37,9 |
8,4 |
7,4 |
22,1 |
33,7 |
67,4 |
83,2 |
78,9 |
93,7 |
114,7 |
41,1 |
4,2 |
2,1 |
23,98 |
950 |
POIDS MOYEN DES INDIVIDUS DANS LES DIFFERENTES CLASSES DE LONGUEUR
|
Longueur (cm) |
Poids moyen (g) |
Longueur (cm) |
Poids moyen (g) |
|
17 |
50,0 |
24 |
172,8 |
|
18 |
76,0 |
25 |
207,0 |
|
19 |
79,2 |
26 |
227,7 |
|
20 |
98,9 |
27 |
255,3 |
|
21 |
107,5 |
28 |
284,0 |
|
22 |
132,0 |
29 |
300,0 |
|
23 |
150,5 |
30 |
350,0 |
TRACHURUS TRECAE (SECTEUR 9-26°N, 1975): DISTRIBUTIONS DE FREQUENCE "POUR MILLE" DE LONGUEUR DES PRISES A LA SENNE TOURNANTE
|
Mois, décades |
18 |
19 |
20 |
21 |
22 |
23 |
24 |
25 |
26 |
27 |
28 |
29 |
30 |
31 |
32 |
33 |
34 |
35 |
36 |
Longueur |
n |
|
Sept. 3ème déc. |
- |
- |
- |
- |
- |
- |
1,6 |
- |
3,2 |
29,0 |
37,1 |
59,7 |
201,6 |
217,7 |
229,0 |
235,5 |
58,2 |
24,2 |
23,2 |
28,59 |
620 |
|
Oct. 1ère déc. |
- |
- |
0,8 |
1,7 |
14,1 |
19,0 |
19,8 |
25,5 |
48,8 |
147,1 |
214,9 |
128,9 |
194,2 |
107,1 |
57,8 |
11,6 |
1,7 |
9,1 |
0,8 |
28,59 |
1 210 |
|
Oct. 2ème déc. |
1,9 |
5,8 |
64,1 |
128,2 |
194,1 |
195,2 |
62,1 |
42,7 |
50,5 |
108,7 |
89,3 |
52,4 |
58,3 |
29,1 |
13,7 |
3,9 |
- |
- |
- |
24,62 |
515 |
|
Oct. 3ème déc. |
- |
5,8 |
17,4 |
95,6 |
133,8 |
49,5 |
32,0 |
23,4 |
26,2 |
75,6 |
87,2 |
127,9 |
203,5 |
93,0 |
26,2 |
2,9 |
- |
- |
- |
26,60 |
344 |
POIDS MOYEN DES INDIVIDUS DANS LES DIFFERENTES CLASSES DE LONGUEUR
|
Longueur (cm) |
Poids moyen (g) |
Longueur (cm) |
Poids moyen (g) |
|
22 |
135,0 |
27 |
270,0 |
|
23 |
157,5 |
28 |
295,5 |
|
24 |
170,0 |
29 |
321,7 |
|
25 |
206,0 |
30 |
342,5 |
|
26 |
250,0 |
31 |
380,0 |
|
|
|
32 |
420,0 |
Chart of the sector studied and the geographic limits of CECAF statistical divisions 34.1.3, 34.3.1 and 34.3.3
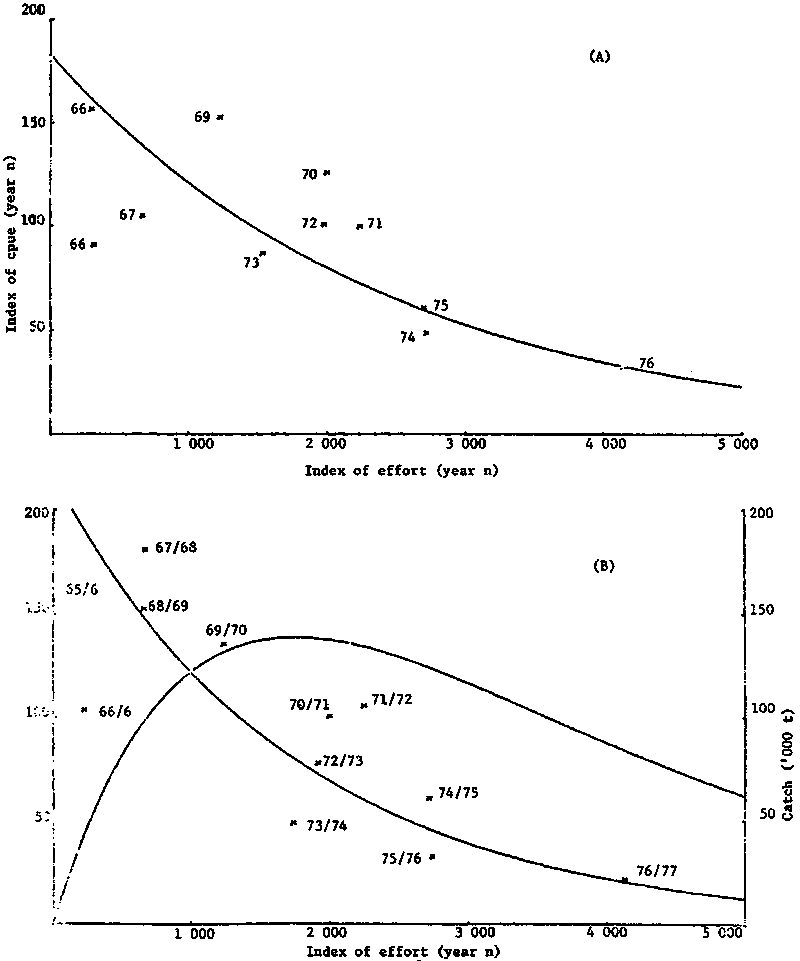
Fig. 5 Prises et rendements obtenus pour Scomber japonicus dans la zone sénégalo-mauritanienne:
- A évolution des captures totales annuelles de 1965 à 1976.

- B, comparaison de l'évolution des prises par unité d'effort (non standardisées) des flottes de différents pays de 1965 à 1977.

Catches and yields of Scomber japonicus in the Senegal-Mauritanian zone:- A, pattern of total yearly catches from 1965 to 1976- B, comparison of the pattern of catch per unit effort (not standardized) of fleets of different countries from 1965 to 1977.
- effort during the same year (A),- effort in the previous year (B),
- average effort for both years (C). This last figure also gives the corresponding relationship of equilibrium between total catch and total effort.
- effort during the same year (A)- effort of previous year (B). This last figure also gives the corresponding relationship of equilibrium between total catch and total effort.
Tableau 1.b
Table 1.b
NOUVELLE REPARTITION PAR ESPECE DES PRISES DE CLUPEIDS PAR LES FLOTTES D'URSS COMMUNIQUEE PAR LA DELEGATION SOVIETIQUE (t)
A NEW DISTRIBUTION BY SPECIES OF CLUPEIDS CAUGHT BY USSR FLEETS. COMMUNICATION FROM THE SOVIET DELEGATION (t)
|
ESPECE/SPECIES |
1969 |
1970 |
1971 |
1972 |
1973 |
1974- |
1975 |
1976 |
|
Sardinella spp. |
30 000 |
35 000 |
40 000 |
45 000 |
50 000 |
55 000 |
59 388 |
51 245 |
|
Sardina pilchardus |
80 100 |
88 700 |
123 600 |
91 000 |
154 800 |
287 200 |
357 183 |
514 978 |
|
Autres/Others |
|
|
|
|
1 000 |
|
|
|
|
Total |
110 100 |
123 700 |
163 600 |
136 000 |
205 800 |
342 200 |
416 571 |
566 223 |
Table 5
RECAPITULATION OF FISHING PERIODS AND AVAILABLE EFFORT DATA BY FISHING GEAR AND BY COUNTRY FOR THE SENEGAL-MAURITANIAN ZONE (CECAF DIVISIONS 34.1.3 AND 34.3.1)
|
FISHING BOATS/ |
FISHING PERIODS |
EFFORT DATA AVAILABLE |
||
|
TRAWLERS |
||||
|
|
BULGARIA |
1967 to 1976 |
1967 to 1976. |
Fishing days factory trawler |
|
GERMAN DEM. REP. |
1964-66 to 1976 |
1966 to 1976. |
Fishing days factory trawler |
|
|
GHANA |
1964 to 1977 |
- |
|
|
|
JAPAN |
1964 to 1976 |
1964 to 1976. |
Bottom trawl |
|
|
POLAND |
1964 to 1976 |
1964 to 1977. |
Standardized fishing days (B23 factory trawler) |
|
|
ROMANIA |
1970 to 1976 |
1970 to 1976. |
Standardized fishing days |
|
|
USSR |
1964 to 1977 |
- |
|
|
|
PURSE SEINERS |
||||
|
|
BERMUDA |
1970 to 1977 |
1973 to 1977. |
Fishing days purse seiners |
|
NORWAY |
1970 to 1975 |
1970 to 1974. |
Fishing days ASTRA purse seiner |
|
|
SOUTH AFRICA |
1970 |
- |
|
|
|
SENEGAL |
1962 to 1977 |
1962 to 1977. |
Dakar purse seiner fishing hours |
|
|
GERMAN DEM. REP. |
1970 to 1971 |
1970 to 1972 |
|
|
|
USSR |
1973 to 1976 |
1966 to 1977 |
|
|
|
MAURITANIA |
1974 to 1977 |
- |
|
|
|
GHANA |
1973 to 1977 |
Days at sea purse seiner |
||
|
CANOES |
||||
|
|
GAMBIA |
1964 to 1977 |
- |
|
|
MAURITANIA |
1974 to 1977 |
- |
|
|
|
SENEGAL |
1964 to 1977 |
1) 1972-73 number of trips and fishing hours (18 months) |
||
|
|
|
2) 1977 number of trips and fishing hours |
||
Table 7
PRINCIPAL MODAL LENGTHS OF SPECIES CAUGHT IN THE VARIOUS FISHERIES (cm)
|
COASTAL COUNTRIES |
SARDINELLA AURITA |
SARDINELLA MADERENSIS |
||
|
INSHORE |
OFFSHORE |
INSHORE |
OFFSHORE |
|
|
MAURITANIA |
21 |
21-28 |
21-23-27 |
23-26 |
|
SENEGAL AND GAMBIA |
17-21-28 |
21-28 |
21 |
|
|
GUINEA-BISSAU |
- |
21-28 |
- |
18-21 |
|
GUINEA |
- |
- |
- |
- |
|
SIERRA LEONE |
17-21 |
- |
15-18 |
- |
|
COASTAL COUNTRIES |
CARANX RHONCHUS |
TRACHURUS TRECAE |
TRACHURUS TRACHURUS |
|||
|
INSHORE |
OFFSHORE |
INSHORE |
OFFSHORE |
INSHORE |
OFFSHORE |
|
|
MAURITANIA |
|
25-35 |
- |
15-35 |
- |
15-35 |
|
SENEGAL AND GAMBIA |
10-35 |
25-35 |
10-35 |
15-35 |
- |
35 |
|
GUINEA BISSAU |
- |
30-35 |
- |
- |
- |
- |
Table 8
PRISES PAR UNITE D'EFFORT (NON STANDARDISEES) DE SARDINELLA AURITA POUR LES DIFFERENTES FLOTTES EXPLOITANT LA ZONE SENEGALO-MAURITANIENNE (DIVISIONS COPACE 34.1.3 ET 34.3.1)
CATCH PER UNIT EFFORT (NOT STANDARDIZED) OF SARDINELLA AURITA FOR THE DIFFERENT FLEETS FISHING THE SENEGAL-MAURITANIAN ZONE (CECAF DIVISIONS 34.1.3 AND 34.3.1)
|
|
CHALUTIERS (t/jour)/TRAWLERS (t/day) |
SENNEURS/PURSE SEINERS |
|||||||
|
URSS/ |
BULGARIE/ |
POLOGNE/ |
ROUMANIE/ |
URSS/ |
BERMUDES/ |
NORVEGE/ |
SENEGAL |
||
|
1964 |
|
|
|
|
|
(b) |
(c) |
|
9.6 |
|
1965 |
|
|
|
|
|
|
|
|
11.4 |
|
1966 |
|
|
|
|
|
|
|
|
12.3 |
|
1967 |
|
0.1 |
|
|
|
|
|
|
15.6 |
|
1968 |
|
5.0 |
0.9 |
|
|
|
|
|
12.2 |
|
1969 |
|
6.3 |
1.1 |
|
|
|
|
|
9.5 |
|
1970 |
|
2.2 |
0.8 |
0.2 |
|
|
|
23.4 |
7.5 |
|
1971 |
2.0 |
1.6 |
1.0 |
0.6 |
|
|
|
18.0 |
11.4 |
|
1972 |
0.7 |
5.2 |
0.9 |
2.2 |
|
|
|
33.1 |
16.2 |
|
1973 |
0.7 |
0.3(a) |
|
2.1 |
2.9 |
18.8 |
43.4 |
27.6 |
10.5 |
|
1974 |
0.9 |
|
|
|
1.5 |
9.7 |
29.9 |
16.3(d) |
9.8 |
|
1975 |
2.0 |
|
|
|
1.9 |
53.8 |
66.0 |
|
6.9 |
|
1976 |
0.8 |
|
|
|
2.2 |
39.1 |
51.6 |
|
7.8 |
|
1977 |
2.5 |
|
|
|
|
|
|
|
5.0 |
(a) 21°-26°N seulement/only(b) S. aurita seulement/only
(c) Total sardinelles/sardinella
(d) Janvier-mai seulement, 4 mois en Guinée-Bissau/January-May only, 4 months in Guinea-Bissau
Tableau 9
Table 9
PRISES PAR UNITE D'EFFORT (NON STANDARDISEES) DES CHINCHARDS (TRACHURUS SPP. ET CARANX RHONCHUS) POUR LES DIFFERENTES FLOTTES EXPLOITANT LA ZONE SENEGALO-MAURITANIENNE (DIVISIONS COPACE 34.1.3 ET 34.3.1). CALCUL D'UN INDICE MOYEN DE PUE
CATCH PER UNIT EFFORT (NOT STANDARDIZED) FOR HORSE MACKEREL (TRACHURUS SPP. AND CARANX RHONCHUS) FOR THE DIFFERENT FLEETS FISHING THE SENEGAL-MAURITANIAN ZONE (CECAF DIVISIONS 34.1.3 AND 34.3.1). CALCULATION OF AN AVERAGE CPUE INDEX
|
|
CHALUT PELAGIQUE/MIDWATER TRAWL |
INDICE MOYEN/ |
|||||||
|
BULGARIE/ |
POLOGNE/ |
ROUMANIE/ |
URSS/ |
||||||
|
1965 |
|
|
|
|
|
|
9.1 |
(62) |
62 |
|
1966 |
|
|
|
|
|
|
7.6 |
(52) |
52 |
|
1967 |
5.4 |
(69) |
|
|
|
|
18.2 |
(124) |
97 |
|
1968 |
|
|
2.9 |
(41) |
|
|
13.1 |
(89) |
65 |
|
1969 |
6.8 |
(79) |
4.4 |
(62) |
|
|
18.5 |
(126) |
89 |
|
1970 |
8.4 |
(98) |
6.9 |
(97) |
7.0 |
(76) |
17.1 |
(116) |
97 |
|
1971 |
5.6 |
(65) |
5.3 |
(75) |
7.3 |
(80) |
14.8 |
(101) |
80 |
|
1972 |
11.8 |
(137) |
9.2 |
(130) |
13.2 |
(144) |
12.2 |
(83) |
124 |
|
1973 |
17.5 |
(205) |
5.8 |
(82) |
16.1 |
(176) |
11.9 |
(81) |
168 |
|
1974 |
19.8 |
(230) |
4.0 |
(56) |
|
|
16.9 |
(115) |
134 |
|
1975 |
|
|
2.3 |
(32) |
|
|
20.5 |
(139) |
86 |
|
1976 |
|
|
2.9 |
(41) |
|
|
25.8 |
(76) |
109 |
|
1977 |
|
|
2.6 |
(37) |
|
|
20.0 |
(136) |
86 |
|
Moyenne/ |
8.6 |
7.1 |
9.2 |
14.7 |
|
||||
Tableau 10
Table 10
PRISES PAR UNITE D'EFFORT (NON STANDARDISEES) DE MAQUEREAU (SCOMBER JAPONICUS) POUR LES DIFFERENTES FLOTTES EXPLOITANT LA ZONE SENEGALO-MAURITANIENNE (DIVISIONS COPACE 34.1.3 ET 34.3.1). CALCUL D'UN INDICE MOYEN DE PUE
CATCH PER UNIT EFFORT (NOT STANDARDIZED) FOR MACKEREL (SCOMBER JAPONICUS) FOR THE DIFFERENT FLEETS FISHING THE SENEGAL-MAURITANIAN ZONE (CECAF DIVISIONS 34.1.3 AND 34.3.1). CALCULATION OF AN AVERAGE CPUE INDEX
|
|
CHALUT PELAGIQUE (t/jour)/MIDWATER TRAWL (t/day) |
INDICE MOYEN/ |
|||||||
|
URSS/ |
POLOGNE/ |
BULGARIE/ |
ROUMANIE/ |
||||||
|
1965 |
7.1 |
(90) |
|
|
|
|
|
|
90 |
|
1966 |
12.4 |
(156) |
|
|
|
|
|
|
156 |
|
1967 |
7.6 |
(96) |
|
|
8.3 |
(111) |
|
|
104 |
|
1968 |
6.3 |
(80) |
5.4 |
(360) |
7.4 |
(99) |
|
|
180 |
|
1969 |
9.0 |
(114) |
2.8 |
(187) |
11.6 |
(155) |
|
|
152 |
|
1970 |
7.3 |
(92) |
1.7 |
(113) |
14.0 |
(187) |
4.7 |
(109) |
125 |
|
1971 |
4.3 |
(54) |
1.6 |
(107) |
9.1 |
(121) |
4.9 |
(114) |
99 |
|
1972 |
9.3 |
(118) |
1.8 |
|
4.6 |
(61) |
4.5 |
(105) |
101 |
|
1973 |
10.8 |
(137) |
1.0 |
(67) |
2.5 |
(33) |
3.2 |
(74) |
77 |
|
1974 |
4.9 |
(62) |
0.7 |
(47) |
2.8 |
(37) |
1.7 |
(40) |
47 |
|
1975 |
7.8 |
(99) |
0.4 |
(27) |
3.0 |
(40) |
3.1 |
(72) |
60 |
|
1976 |
3.8 |
(48) |
0.4 |
(27) |
1.0 |
(13) |
1.5 |
(35) |
32 |
|
1977 |
2.4 |
(30) |
0.2 |
(14) |
|
|
|
|
22 |
|
Moyenne/ |
7.9 |
1.5 |
7.5 |
4.3 |
|
||||
Tableau 11
Table 11
ANALYSE DES PRISES, EFFORTS ET PRISES PAR UNITE D'EFFORT DE MAQUEREAU (SCOMBER JAPONICUS) DANS LA ZONE SENEGALO-MAURITANIENNE (DIVISIONS COPACE 34.1.3 ET 34.3.1). CALCUL D'INDICE D'EFFORT EN DIVISANT LA PRISE TOTALE PAR LA PUE DE L'URSS OU PAR UN INDICE MOYEN DE PUE
ANALYSIS OF CATCHES, EFFORT AND CPUE'S FOR MACKEREL (SCOMBER JAPONICUS) IN THE SENEGAL-MAURITANIAN ZONE (CECAF DIVISIONS 34.1.3 AND 34.3.1). CALCULATION OF THE EFFORT INDEX BY DIVIDING THE TOTAL CATCH BY CPUE FOR THE USSR OR BY AN AVERAGE CPUE INDEX
|
ANNEE/ |
PRISE TOTALE |
(I) URSS (t/jour) |
(II) INDICE MOYEN/ |
|||
|
pue/ |
Effort |
|
pue/ |
Effort |
||
|
1965 |
28 319 |
7.1 |
3 989 |
|
90 |
315 |
|
1966 |
39 774 |
12.4 |
3 204 |
285 |
156 |
255 |
|
1967 |
67 800 |
7.6 |
8 921 |
452 |
104 |
650 |
|
1968 |
112 632 |
6.3 |
17 878 |
638 |
180 |
626 |
|
1969 |
187 758 |
9.0 |
20 829 |
930 |
152 |
1 235 |
|
1970 |
247 113 |
7.3 |
33 851 |
1 606 |
125 |
1 977 |
|
1971 |
221 601 |
4.3 |
51 535 |
2 107 |
99 |
2 238 |
|
1972 |
196 997 |
9.3 |
21 182 |
2 094 |
101 |
1 950 |
|
1973 |
133 475 |
10.8 |
12 359 |
1 842 |
77 |
1 733 |
|
1974 |
127 166 |
4.9 |
25 952 |
2 220 |
47 |
2 706 |
|
1975 |
161 211 |
7.8 |
20 661 |
2 697 |
60 |
2 687 |
|
1976 |
132 114 |
3.8 |
34 767 |
3 408 |
32 |
4 129 |
|
1977 |
|
2.4 |
|
|
22 |
|
Tableau 12
Table 12
ANALYSE DES PRISES, EFFORTS ET PRISES PAR UNITE D'EFFORT DES CHINCHARDS (TRACHURUS SPP. ET CARANX RHONCHUS) DANS LA ZONE SENEGALO-MAURITANIENNE (DIVISIONS COPACE 34.1.3 ET 34.3.1). CALCUL D'INDICES D'EFFORT EN DIVISANT LA PRISE TOTALE PAR LA PUE DE L'URSS OU PAR UN INDICE MOYEN DE PUE
ANALYSIS OF CATCHES, EFFORT AND CPUE'S FOR HORSE MACKEREL (TRACHURUS SPP. AND CARANX RHONCHUS) IN THE SENEGAL-MAURITANIAN ZONE (CECAF DIVISIONS 34.1.3 AND 34.3.1).CALCULATION OF EFFORT INDICES BY DIVIDING THE TOTAL CATCH BY CPUE FOR THE USSR OR BY AN AVERAGE CPUE INDEX
|
ANNEE/ |
PRISE TOTALE |
URSS (t/jour) |
INDICE MOYEN/ |
||
|
pue/ |
Effort |
pue/ |
Effort |
||
|
1965 |
61 971 |
9.1 |
6 810 |
50 |
1 239 |
|
1966 |
45 049 |
7.6 |
5 927 |
42 |
1 079 |
|
1967 |
113 212 |
18.2 |
6 220 |
77 |
1 470 |
|
1968 |
168 866 |
13.1 |
12 890 |
60 |
2 814 |
|
1969 |
251 512 |
18.5 |
13 595 |
76 |
3 309 |
|
1970 |
414 837 |
17.1 |
24 259 |
91 |
4 559 |
|
1971 |
501 271 |
14.8 |
33 870 |
70 |
7 161 |
|
1972 |
483 378 |
12.2 |
31 621 |
103 |
4 693 |
|
1973 |
517 127 |
11.9 |
43 456 |
99 |
5 224 |
|
1974 |
487 647 |
16.9 |
28 856 |
105 |
4 644 |
|
1975 |
426 660 |
20.5 |
20 813 |
75 |
5 689 |
|
1976 |
423 633 |
25.8 |
16 420 |
95 |
4 459 |
|
1977 |
|
20.0 |
|
76 |
|