| J. Ariz Telleria | A. Idelhaj |
| Biologiste | Biologiste |
| Instituto Español de Oceanografía | Institut Scientifique des pêches Maritimes |
| Avda José Antonio 3 | 2, rue de Tiznit |
| Santa Cruz de Tenerife, Spain | Casablanca, Morocco |
M. Bakhayokho | |
| Chercheur | A. Lahlou |
| Centre de Recherches Océanographiques (CRODT) | Directeur |
| B.P. 2241 | Institut Scientifique des Pêches Maritimes |
| Dakar, Senegal | 2, rue de Tiznit |
| Casablanca, Morocco | |
| J. Bravo de Laguna | |
| Océanographe/Directeur | |
| Instituto Español de Oceanografía | J.A. Pereiro |
| Avda José Antonio 3 | Océanographe |
| Santa Cruz de Tenerife, Spain | Instituto Español de Oceanografía |
| c/Alcala 27–40 | |
| M. Cissé | Madrid 14, Spain |
| Biologiste | |
| Direction Générale des Pêches | F.C. Roest |
| Conakry, Guinea | Biologiste des Pêches |
| Project COPACE/FAO | |
| A. Fonteneau | B.P. 154 |
| Chercheur | Dakar, Senegal |
| ORSTOM | |
| CRODT | Secretariat |
| B.P. 2241 | |
| Dakar, Senegal | A. Diatta (Mlle) |
| Projet COPACE/FAO | |
| S. Garcia | B.P. 154 |
| Spécialiste des ressources halieutiques | Dakar, Senegal |
| Département des Pêches | |
| FAO, Rome, Italy | R. Torres |
| Instituto Español de Oceanografía | |
| L. Gorostiza Paredes | Avda José Antonio 3 |
| Instituto Español de Oceanografía | Santa Cruz de Tenerife, Spain |
| Avda José Antonio 3 | |
| Santa Cruz de Tenerife, Spain |
OUVERTURE
DESCRIPTION DES PECHERIES - SITUATION ACTUELLE
ETUDE DES DONNEES STATISTIQUES DISPONIBLES, basée sur les recommandations du dernier Groupe de travail sur les céphalopodes (cf. conclusions de la réunion préliminaire sur les céphalopodes dans le rapport de la cinquième session du Groupe de travail de l'évaluation des ressources, Dakar, Sénégal, Octobre 1980)
ETUDE DES DONNEES BIOLOGIQUES, basée sur les recommandations du dernier Groupe de travail ad hoc sur les céphalopodes. Données collectées par le Japon, l'Espagne et le Maroc par zone
Longueur du manteau - longueur totale
Relation longueur-poids
Fécondité
Mortalité naturelle
Sex ratio/taille
Age des mâles à la première maturité (par zone)
Croissance
cpue - densité
Sélectivité
EVALUATION DES STOCKS
Modèles de production
Mise à jour des modèles de production par zone
Cohorte et rendement par recrue
Chalutage expérimental
RECOMMANDATION EN MATIERE D'AMENAGEMENT
RECOMMANDATIONS POUR LE TRAVAIL FUTUR
Statistiques
Recherche
ADOPTION DU RAPPORT DU GROUPE DE TRAVAIL
por
J. Ariz y E. Balguerias
Instituto Español de Oceanografía
Centro Costero de Canarias
1. INTRODUCCION
Con objeto de tener un mejor conocimiento de la estructura de la población de Octopus vulgaris, en la división 34.1.3 de CECAF se ha procedido a estudiar la composición de la captura, por categorías comerciales, efectuada por la flota española de arrastreros congeladores durante el período de 1976 a 1980, ambos años incluidos.
2. MATERIAL Y METODOS
Desde 1976 a 1980 se ha recuperado la composición por categorías comerciales de un 18 % de las capturas españolas de Octopus vulgaris efectuadas en la división 34.1.3 de CECAF. Los resultados obtenidos se han ponderado a la captura total.
Las categorías comerciales en las que ha sido dividida la captura de pulpo son las siguientes:
| Categoría | 1 | Pulpos mayores de | 4 kg |
| 2 | entre | 3 y 4 kg | |
| 3 | 2 y 3 kg | ||
| 4 | 1,5 y 2 kg | ||
| 5 | 1 y 1,5 kg | ||
| 6 | 0,5 y 1 kg | ||
| 7 | 0,3 y 0,5 kg | ||
| 8 | menores de | 0,3 kg |
Los pesos, a los que se refiere esta clasificación, son de pulpos que han sido eviscerados.
3. RESULTADOS
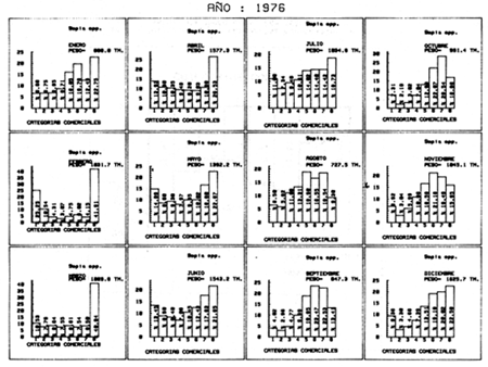
En las figuras 1, 2, 3, 4 y 5 se presenta la composición por categorías comerciales de las capturas totales de los años 1976, 1977, 1978, 1979 y 1980 respectivamente.
En las figuras 6 a 10 se refleja la composición por categorías comerciales de las capturas mensuales de los años 1976 a 1980 ambos inclusive.
En las figuras 11 a 18 se muestra la evolución, mes a mes, de cada una de las categorías comerciales en las que se distribuye la captura, durante el período de 1976 a 1980.
4. CONCLUSIONES
La categoría comercial dominante en la captura no ha sido constante en este período. En 1976 es la categoría 7 (25, 50 %), en 1977 la 8 (22, 10 %), en el año siguiente la 6 (17, 30 %), en 1979 nuevamente la 6 (17, 69 %) y en 1980 la 6 (18, 86 %). Este desplazamiento puede ser debido al cambio de malla, efectuado durante 1978, y que fué de 40 a 60 mm en el copo.
En la distribución de la categoría 8 a lo largo del tiempo (fig. 18), se aprecia que los máximos porcentajes de captura para esta categoría se producen periódicamente en los meses de mayo-junio y octubre, siendo más ostensibles en éste último mes. Esto indicaría dos épocas de puesta, una de primavera y otra de otoño, siendo más importante esta última. Los individuos de esta puesta comenzarían a ser capturados cinco meses después; esto explicaría el pico que aparece en el mes de octubre.
5. REFERENCIAS
Bravo de Laguna, J. et al., 1976 Actividad de la flota pesquera española en aguas del Banco Sahariano durante 1975. Inf.Pesquera Inst.Esp.Oceanogr., (6):
FAO, 1979 Fishery Committee for the Eastern Central Atlantic, Report of the ad hoc Working Group on the assessment of cephalopod stocks. CECAF/ECAF Ser., (78/11):149 p.
Guerra, A., 1979 Edad y crecimiento de Octopus vulgaris del Atlántico centro-oriental. CECAF/ ECAF Ser., (78/11):113–26
Guerra, A., 1979 Estructura de la población de Octopus vulgaris del Atlántico centro-oriental. CECAF/ECAF Ser., (78/11):99–112
Pereiro, J.A. y J. Bravo de Laguna, 1979 Dinámica de la población y evaluación de los recursos del pulpo del Atlántico centro-oriental. Bol.Inst.Esp.Oceanogr., 5(275):71–105

Figura 1 - Composición por categorías comerciales de la captura de PULPO en el año 1976.

Figura 2 - Composición por categorías comerciales de la captura de PULPO en el año 1977.

Figura 3 - Composición por categorías comerciales de la captura de PULPO en el año 1978.

Figura 4 - Composición por categorías comerciales de la captura de PULPO en el año 1979.

Figura 5 - Composición por categorías comerciales de la captura de PULPO en el año 1980.

Figura 6. - Composición por categorías comerciales de las capturas mensuales de 1976.

Figura 7. - Composición por categorías comerciales de las capturas mensuales de 1977.

Figura 8. - Composición por categorías comerciales de las capturas mensuales de 1978.

Figura 9. - Composición por categorías comerciales de las capturas mensuales de 1979.

Figura 10. - Composición por categorías comerciales de las capturas mensuales de 1980.

Figura 11 - Evolución mes a mes de los porcentajes en la captura de PULPO de categoría 1 en el período de 1976–80.

Figura 12 - Evolución mes a mes de los porcentajes en la captura de PULPO de categoría 2 en el período de 1976–80.

Figura 13 - Evolución mes a mes de los porcentajes en la captura de PULPO de categoría 3 en el período de 1976–80.

Figura 14 - Evolución mes a mes de los porcentajes en la captura de PULPO de categoría 4 en el período de 1976–80.

Figura 15 - Evolución mes a mes de los porcentajes en la captura de PULPO de categoría 5 en el período de 1976–80.

Figura 16 - Evolución mes a mes de los porcentajes en la captura de PULPO de categoría 6 en el período de 1976–80.

Figura 17 - Evolución mes a mes de los porcentajes en la captura de PULPO de categoría 7 en el período de 1976–80.

Figura 18 - Evolución mes a mes de los porcentajes en la captura de PULPO de categoría 8 en el período de 1976–80.
por
J. Ariz, E. Blaguerias y J.C. Santana
Instituto Español de Oceanografía
Centro Costero de Canarias
1. INTRODUCCION
Con objeto de tener un mejor conocimiento de la estructura de la población de Loligo vulgaris en la división 34.1.3 de CECAF, se ha procedido a estudiar la composición de la captura, por categorías comerciales, efectuada por la flota española de arrastreros congeladores durante el período de 1976 a 1980, ambos años incluidos.
2. MATERIAL Y METODOS
Desde 1976 a 1980 se ha recuperado la composición, por categorías comerciales, de un 13 % de las capturas españolas de Loligo vulgaris efectuadas en la división 34.1.3 de CECAF. Los resultados obtenidos han sido ponderados a la captura total.
Las categorías comerciales en que ha sido clasificada la captura de calamar (Loligo vulgaris) son las siguientes:
| Categoría | 0 | calamares mayores de | 31 cm |
| 1 | 26–30 cm | ||
| 2 | 21–25 cm | ||
| 3 | 16–20 cm | ||
| 4 | 11–15 cm | ||
| 5 | menores de | 10 cm |
Las tallas, a las que se refiere esta clasificación, corresponden a la longitud del manto.
3. RESULTADOS
En las figuras 1, 2, 3, 4 y 5 se presenta la composición, por categorías comerciales, de las capturas totales de los años 1976, 1977, 1978, 1979 y 1980 respectivamente.
En las figuras 6 a 10 se refleja la composición, por categorías comerciales, de las capturas mensuales de los años 1976 a 1980.
En las figuras 11 a 16 se muestra la evolución, mes a mes, de cada una de las categorías comerciales en las que se distribuye la captura, durante el período estudiado.
4. CONCLUSIONES
La captura la soporta, por categorías, la O con porcentajes homogéneos a lo largo de todos los años estudiados. En las categorías centrales (1, 2 y 3) se observa un mantenimiento de los porcentajes, mientras que las menores (4 y 5), consideradas en conjunto, sufren un descenso en los años 1979 y 1980 quizas debido a la introducción en 1978 de la nueva malla de 60 mm.
A la vista de la figura 16, en la que se muestra la evolución de los porcentajes en la captura del calamar de categoría 5 desde 1976 a 1980, observamos la existencia de dos máximos anuales coincidentes con los meses de febrero-marzo y julio-agosto-septiembre, que podrian interpretarse como épocas de reclutamiento.
5. REFERENCIAS
Adam, W., 1952 Expédition océanographique belge dans les eaux côtières africaines de l'Atlantique sud. Céphalopodes. In Résultats scientifiques. Institut Royal des sciences naturelles de Belgique, Bruxelles, 3(3):142 p.
Bravo de Laguna, J. et al., 1976 Actividad de la flota pesquera española en aguas del Banco Sahariano durante 1975. Inf.Pesquera Inst.Esp.Oceanogr., (6):
FAO, 1979 Fishery Committee for the Eastern Central Atlantic, Report of the ad hoc Working Group on the assessment of cephalopod stocks. CECAF/ECAF Ser., (78/11):149 p.

Figura 1 - Composición por categorióas comerciales de la captura de CALAMAR en el año 1976.

Figura 2 - Composición por categorióas comerciales de la captura de CALAMAR en el año 1977.

Figura 3 - Composición por categorióas comerciales de la captura de CALAMAR en el año 1978.

Figura 4 - Composición por categorióas comerciales de la captura de CALAMAR en el año 1979.

Figura 4 - Composición por categorióas comerciales de la captura de CALAMAR en el año 1980.

Figura 6 - Composición por categorías comerciales de las capturas mensuales del año 1976.

Figura 7 - Composición por categorías comerciales de las capturas mensuales del año 1977.

Figura 8 - Composición por categorías comerciales de las capturas mensuales del año 1978.

Figura 9 - Composición por categorías comerciales de las capturas mensuales del año 1979.

Figura 10 - Composición por categorías comerciales de las capturas mensuales del año 1980.

Figura 11 - Evolución mes a mes de los porcentajes en la captura de CALAMAR de categoría 0 en el periodo de 1976–80.

Figura 12 - Evolución mes a mes de los porcentajes en la captura de CALAMAR de categoría 1 en el periodo de 1976–80.

Figura 13 - Evolución mes a mes de los porcentajes en la captura de CALAMAR de categoría 2 en el periodo de 1976–80.

Figura 14 - Evolución mes a mes de los porcentajes en la captura de CALAMAR de categoría 3 en el periodo de 1976–80.

Figura 15 - Evolución mes a mes de los porcentajes en la captura de CALAMAR de categoría 4 en el periodo de 1976–80.

Figura 16 - Evolución mes a mes de los porcentajes en la captura de CALAMAR de categoría 5 en el periodo de 1976–80.
por
J. Ariz, E. Balguerias y J.C. Santana
Instituto Español de Oceanografía
Centro Costero de Canarias
1. INTRODUCCION
Con objeto de tener un mejor conocimiento de la estructura de la población de Sepia spp. en la división 34.1.3 de CECAF, se ha procedido a estudiar la composición de la captura, por categorías comerciales, efectuada por la flota española de arrastreros congeladores durante el período de 1976 a 1980, ambos años incluidos.
2. MATERIAL Y METODOS
Desde 1976 a 1980 se ha recuperado la composición, por categorías comerciales, de un 15 % de las capturas españolas de choco, Sepia spp., efectuadas en la división 34.1.3. Los resultados obtenidos han sido ponderados a la captura total.
Las categorías comerciales en que ha sido clasificada la captura de choco son las siguientes:
| Categoría | 1 | chocos mayores de | 2 kg |
| 2 | entre | 1 –2 kg | |
| 3 | 0,7–1 kg | ||
| 4 | 0,5–0,7 kg | ||
| 5 | 0,3–0,5 kg | ||
| 6 | 0,2–0,3 kg | ||
| 7 | 0,1–0,2 kg | ||
| 8 | menores de | 0,1 kg |
Los pesos, a los que se refiere esta clasificación, son en fresco y con vísceras.
3. RESULTADOS
En diferentes campañas realizadas, a bordo de buques comerciales, por el Centro Costero de Canarias del IEO, se ha detectado la presencia de distintas especies del genero Sepia en la composición de algunas categorías comerciales. Los porcentajes que suponen estas especies en las capturas de las categorías 5, 6, 7 y 8 son del 0,52 %, 7, 91 %, 53,74 % y 77, 11 % respectivamente. En cualquier caso sería interesante confirmar estas observaciones en campañas posteriores.
En las figuras 1, 2, 3, 4 y 5 se presentan las composiciones, por categorías comerciales, de las capturas totales de los años 1976 a 1980. En las mismas remarcamos con trazo grueso los porcentajes que corresponden a Sepia officinalis de acuerdo con la observación expuesta al principio de este apartado.
En las figuras 6, 7, 8, 9 y 10 se refleja la composición, por categorías comerciales, de las capturas mensuales de los años 1976 a 1980.
De la figura 11 a la 18 se muestra la evolución, mes a mes, de cada una de las categorías comerciales en la que se distribuye la captura, durante el período de 1976 a 1980.
4. CONCLUSIONES
La categoría comercial dominante, en cuanto a la captura se refiere, ha sido constante a lo largo de todo el período de tiempo estudiado, correspondiéndose con la 8 exceptó en el año 1978. En este año pasa a ser la categoría 6 la que soporta en un porcentaje mas elevado la captura.
Si consideramos los porcentajes que suponen sobre la captura las distintas especies del genero Sepia a los que antes haciamos referencia, observamos que el peso de la captura recae, hasta el año 1978, sobre la categoría 6. A partir de este año, se produce un aumento en las capturas de las categorías superiores, sobre todo la 1 y una disminución en las inferiores. De cualquier manera las categorías menos afectadas por las capturas desde el año 1976 al 1980 son las 3 y 4.
A la vista de la figura 18, en la que se muestra la evolución, mes a mes, de los porcentajes de la captura de la categoría 8, deducimos que los máximos se obtienen, por lo general, en los meses de invierno (enero-febrero) coincidiendo a su vez con mínimos en la estación estival (junio-julio-agosto). Esto nos indicaría dos épocas de puesta, una en primavera-verano y otra en otoño-invierno, reclutándose los individuos en los meses de febrero y septiembre.
5. REFERENCIAS
Adam, W., 1952 Expédition océanographique belge dans les eaux côtières africaines de l'Atlantique sud. Céphalopodes. In Résultats scientifiques. Institut Royal des sciences naturelles de Belgique, Bruxelles, 3(3):142 p.
Bravo de Laguna, J. et al., 1976 Actividad de la flota pesquera española en aguas del Banco Sahariano durante 1975. Inf.Pesquera Inst.Esp.Oceanogr., (6):
FAO, 1979 Fishery Committee for the Eastern Central Atlantic, Report of the ad hoc Working Group on the assessment of cephalopod stocks. CECAF/ECAF Ser., (78/11):149 p.
Hatanaka, H., 1979 Geographical distribution of two subspecies of Sepia officinalis LINNE off the northwestern coast of Africa. In Report of the Ad hoc Working Group on the assessment of cephalopod stocks. CECAF/ECAF Ser., (78/11):55–62

Figura 1 - Composición por categorías comerciales de la captura de CHOCO en el año 1976.

Figura 2 - Composición por categorías comerciales de la captura de CHOCO en el año 1977.

Figura 3 - Composición por categorías comerciales de la captura de CHOCO en el año 1978.

Figura 4 - Composición por categorías comerciales de la captura de CHOCO en el año 1979.

Figura 5 - Composición por categorías comerciales de la captura de CHOCO en el año 1980.

Figura 6.- Composición por categorías comerciales de las capturas mensuales de 1976.

Figura 7.- Composición por categorías comerciales de las capturas mensuales de 1977.

Figura 8.- Composición por categorías comerciales de las capturas mensuales de 1978.

Figura 9.- Composición por categorías comerciales de las capturas mensuales de 1979.

Figura 10.- Composición por categorías comerciales de las capturas mensuales de 1980.

Figura 11 - Evolución mes a mes de los porcentajes en la captura de CHOCO de categoría 1 en el periodo de 1976–80

Figura 12 - Evolución mes a mes de los porcentajes en la captura de CHOCO de categoría 2 en el periodo de 1976–80.

Figura 13 - Evolución mes a mes de los porcentajes en la captura de CHOCO de categoría 3 en el periodo de 1976–80.

Figura 14 - Evolución mes a mes de los porcentajes en la captura de CHOCO de categoría 4 en el periodo de 1976–80.

Figura 15 - Evolución mes a mes de los porcentajes en la captura de CHOCO de categoría 5 en el periodo de 1976–80.

Figura 16 - Evolución mes a mes de los porcentajes en la captura de CHOCO de categoría 6 en el período de 1976–80.

Figura 17 - Evolución mes a mes de los porcentajes en la cptura de CHOCO de categoría 7 en el período de 1976–80.

Figura 18 - Evolución mes a mes de los porcentajes en la captura de CHOCO de categoría 8 en el período de 1976–80.
por
J. Ariz, E. Balguerias y J.C. Santana
Instituto Español de Oceanografía
Centro Costero de Canarias
1. INTRODUCCION
Durante los años de 1980 y 1981 se han realizado, dentro del marco de la colaboración científica hispano-marroquí, cuatro campañas de prospección por pescas exploratorias que tenian por finalidad conocer el área de distribución y abundancia de los cefalópodos que son explotados comercialmente en la división 34.1.3 de CECAF.
2. MATERIAL Y METODOS
Las campañas se realizaron a bordo del B/O IBN SINA. Este es un rampero de 38,8 m de eslora, con un desplazamiento de 300 TRB y propulsado por un motor de 1 100 HP. La duración de cada operación de pesca fue de 30 minutos y la velocidad de arrastre de 3 nudos.
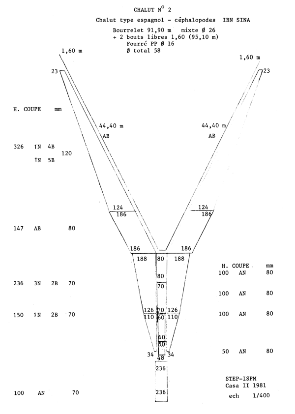
El esquema del arte empleado se presenta en la figura 1. Está confeccionado en poliamida y el copo tenia una luz de 60 mm.
La zona de trabajo se ha dividido en cuadrículas de 10' de latitud por 10' de longitud. En cada una de ellas se han representado con símbolos los rendimientos obtenidos. En caso de haberse realizado más de una pesca en alguna de las cuadrículas, se ha representado el valor medio de las efectuadas.
3. RESULTADOS
En la tabla 1 se presentan los nombres de las campañas, efectuadas, fecha en que se llevaron a cabo, profundidades entre las que se trabajó y número de pescas realizadas.
Los rendimientos obtenidos, en kg/h de arrastre, se dan por separado para cada una de las campañas en las figuras 2, 3, 4 y 5, y en conjunto para les cuatro campañas en la figura 6.
En la tabla 2 se dan el no de estaciones,
(rendimientos medios) y s (desviación típica)
obtenidos para los diferentes estratos de profundidad en las campañas mencionadas.
4. CONCLUSIONES
Las zonas de mayor concentración estan situadas entre los 24°20' y 25°N, 23°20' y 24°N y 22°20' y 22°40'N. Al norte de los 25° los rendimientos son muy bajos y al sur de los 22° no poseemos suficiente n° de estaciones, aunque en la campaña IBN SINA 8005 se detectaron rendimientos entre 75 y 100 kg/h de arrastre a 21°20'N.
Por estrato de profundidad los mayores rendimientos se obtuvieron a profundidades inferiores a los 25 m (IBN SINA 8104 y 8109) con 6 y 10 arrastres respectivamente.
Se obtienen rendimientos relativamente elevados, en el citado intervalo de profundidad, en las campañas IBN SINA 8002 y 8005, aunque el n° de estaciones es de dos en cada una de ellas.
REFERENCIAS
FAO, 1979 Fishery Committee for the Eastern Central Atlantic, Report of the ad hoc Working Group on the assessment of cephalopod stocks. CECAF/ECAF Ser., (78/11):149 p.
Guerra, A., 1979 Edad y crecimiento de Octopus vulgaris del Atlántico centro-oriental. CECAF/ ECAF Ser., (78/11):113–26
Pereiro, J.A. y J. Bravo de Laguna, 1979 Dinámica de la población y evaluación de los recursos del pulpo del Atlántico Centro-Oriental. Bol.Inst.Esp.Oceanogr., 5(275):71–105
| IBN SINA 8002 | Marzo 1980 | 43 pescas | Entre 24–110 metros |
| 8005 | Mayo 1980 | 47 pescas | 21–111 metros |
| 8104 | Mayo-Junio 1981 | 48 pescas | 18–98 metros |
| 8109 | Noviembre 1981 | 71 pescas | 19–106 metros |
| Prof. | IBN SINA 8002 | IBN SINA 8005 | IBN SINA 8104 | IBN SINA 8109 | ||||||||
|---|---|---|---|---|---|---|---|---|---|---|---|---|
| n | ![]() | s | n | ![]() | s | n | ![]() | s | n | ![]() | s | |
| 0–24 | 2 | 20.30 | 28.71 | 2 | 26.63 | 25.39 | 6 | 52.43 | 25.14 | 10 | 80.06 | 100.05 |
| 25–49 | 15 | 26.08 | 18.54 | 16 | 33.57 | 28.75 | 21 | 33.29 | 31.32 | 32 | 60.32 | 58.90 |
| 50–74 | 12 | 17.7 | 12.70 | 19 | 20.20 | 27.67 | 15 | 15.49 | 17.21 | 20 | 14.65 | 22.64 |
| 75–99 | 11 | 17.52 | 21.10 | 8 | 32.09 | 39.04 | 6 | 21.88 | 31.20 | 6 | 7.61 | 7.27 |
| 100–124 | 2 | 20.95 | 29.63 | 2 | 35.80 | 25.46 | 2 | 55.94 | 79.11 | |||

Figura 1.- Plano del arte utilizado en las Campañas IBN SINA.

Figura 2.- Rendimientos de Pulpo, en Kg/h., en cada una de las cuadrículas de 10'×10'en las que ha dividido la zona. Campaña IBN SINA 8002.

Figura 3.- Rendimientos de Pulpo, en Kg/h., en cada una de las cuadrículas de 10'×10' en las que se ha dividido la zona. Campaña IBN SINA 8005.

Figura 4.- Rendimientos de Pulpo, en Kg/h., en cada una de las cuadrículas de 10'×10' en las que se ha dividido la zona. Campaña IBN SINA 8104.

Figura 5.- Rendimientos de Pulpo, en Kg/h., en cada una de las cuadrículas de 10'×10' en las que se ha dividido la zona. Campaña IBN SINA 8109.

Figura 6.- Rendimientos de Pulpo, en Kg/h., en cada una de las cuadrículas de 10'×10' en las que se ha dividido la zona. Campañas IBN SINA 8002, 8005, 8104 y 8109.
por
J. Ariz, E. Balguerias y J.C. Santana
Instituto Español de Oceanografía
Centro Costero de Canarias
1. INTRODUCCION
Durante los años de 1980 y 1981 se han realizado, dentro del marco de la colaboración científica hispano-marroquí, cuatro campañas de prospección por pescas exploratorias que tenian por finalidad conocer el área de distribución y abundancia de los cefalópodos que son explotados comercialmente en la división 34.1.3 de CECAF.
2. MATERIAL Y METODOS
Las campañas se realizaron a bordo del B/O IBN SINA. Este es un rampero de 38,8 m de eslora, con un desplazamiento de 300 TRB y propulsado por un motor de 1 100 HP. La duración de cada operación de pesca fue de 30 minutos y la velocidad de arrastre de 3 nudos.
El esquema del arte empleado se presenta en la figura 1. Está confeccionado en poliamida y el copo tenia una luz de 60 mm.
La zona de trabajo se ha dividido en cuadrículas de 10' de latitud por 10' de longitud. En cada una de ellas se han representado con símbolos los rendimientos obtenidos. En caso de haberse realizado más de una pesca en alguna de las cuadrículas, se ha representado el valor medio de las efectuadas.
3. RESULTADOS
En la tabla 1 se presentan los nombres de las campañas efectuadas, fecha en que se llevaron a cabo, profundidades entre las que se trabajó y número de pescas realizadas.
Los rendimientos obtenidos, en kg/h de arrastre, se dan por separado para cada una de las campañas de las figuras 2, 3, 4 y 5, y en conjunto para las cuatro campañas en la figura 6.
En la tabla 2 se dan el no de estaciones,
(rendimientos medios) y s (desviación típica)
obtenidos para los diferentes estratos de profundidad en las campañas mencionadas.
4. CONCLUSIONES
Se observa una distribución bastante homogenea de los rendimientos a lo largo de toda la zona de trabajo con dos puntos de mayor concentración situados entre 23°20'–24°00'N y 22°20'–22°50'N respectivamente. De cualquier manera conviene resaltar el que solamente en una de las cuadrículas se obtuvo un rendimiento superior a los 20 kg/h de arrastre.
A la vista de los datos disponibles detectamos que los mejores rendimientos son los obtenidos durante las campañas IBN SINA 8005 y 8104 efectuadas durante los meses de Mayo y Junio respectivamente, los cuales estan a su vez comprendidos dentro del período de tiempo, de Marzo a Junio, en el que la captura ha sido mas elevada desde el anõ 1976 hasta el 1980.
En cuanto a rendimientos por estratos de profundidad los mejores se corresponden con el comprendido entre los 25 y 49 m y dentro de este último observamos medias relativamente elevadas para las campañas IBN SINA 8005 e IBN SINA 8104.
REFERENCIAS
Adam, W., 1952 Expédition océanographique belge dans les eaux côtières africaines de l'Atlantique sud. Céphalopodes. In Résultats scientifiques. Institut Royal des sciences naturelles de Belgique, Bruxelles, 3(3):142 p.
Bravo de Laguna, J. et al., 1976 Actividad de la flota pesquera española en aguas del Banco Sahariano durante 1975. Inf.Pesquera Inst.Esp.Oceanogr., (6):
FAO, 1979 Fishery Committee for the Eastern Central Atlantic, Report of the ad hoc Working Group on the assessment of cephalopod stocks. CECAF/ECAF Ser., (78/11):149 p.
Hatanaka, H., 1979 Geographical distribution of two subspecies of Sepia officinalis LINNE off the northwestern coast of Africa. In Report of the Ad hoc Working Group on the assessment of cephalopod stocks. CECAF/ECAF Ser., (78/11):55–62
| IBN SINA 8002 | Marzo 1980 | 43 pescas | Entre 24–110 metros |
| 8005 | Mayo 1980 | 47 pescas | 21–111 metros |
| 8104 | Mayo-Junio 1981 | 48 pescas | 18–98 metros |
| 8109 | Noviembre 1981 | 71 pescas | 19–106 metros |
| Prof. | IBN SINA 8002 | IBN SINA 8005 | IBN SINA 8104 | IBN SINA 8109 | ||||||||
|---|---|---|---|---|---|---|---|---|---|---|---|---|
| n | ![]() | s | n | ![]() | s | n | ![]() | s | n | ![]() | s | |
| 0–24 | 2 | 3.15 | 4.45 | 2 | 3.08 | 1.97 | 6 | 1.47 | 1.70 | 10 | 1.22 | 1.04 |
| 25–49 | 15 | 3.93 | 5.17 | 16 | 13.83 | 10.54 | 21 | 10.06 | 11.82 | 32 | 3.42 | 5.33 |
| 50–74 | 12 | 3.09 | 2.98 | 19 | 7.87 | 5.74 | 15 | 2.82 | 2.67 | 20 | 6.29 | 6.55 |
| 75–99 | 11 | 0.75 | 1.13 | 8 | 0.47 | 0.51 | 6 | 0.67 | 0.91 | 6 | 4.53 | 8.50 |
| 100–124 | 2 | 4.55 | 6.43 | 2 | 0.65 | 0.92 | 2 | 0 | 0 | |||

Figura 1.- Plano del arte utilizado en las Campañas IBN Sina.

Figura 2.- Rendimientos de Pulpo, en Kg/h., en cada una de las cuadrículas de 10'×10' en las que se ha dividido la zona. Campaña IBN SINA 8002

Figura 3.- Rendimientos de Pulpo, en Kg/h., en cada una de las cuadrículas de 10'×10' en las que se ha dividido la zona. Campaña IBN SINA 8005.

Figura 4.- Rendimientos de Pulpo, en Kg/h., en cada una de las cuadrículas de 10'×10' en las que se ha dividido la zona. Campaña IBN SINA 8104.

Figura 5.- Rendimientos de Pulpo, en Kg/h., en cada una de las cuadrículas de 10'×10' en las que se ha dividido la zona. Campaña IBN SINA 8109.

Figura 6.- Rendimientos de Pulpo, en Kg/h., en cada una de las cuadrículas de 10'×10' en las que se ha dividido la zona. Campaña IBN SINA 8002, 8005, 8104 y 8109.
por
J. Ariz, E. Balguerias y J.C. Santana
Instituto Español de Oceanografía
Centro Costero de Canarias
1. INTRODUCCION
Durante los años de 1980 y 1981 se han realizado, dentro del marco de la colaboración científica hispano-marroquí, cuatro campañas de prospección por pescas exploratorias que tenian por finalidad conocer el área de distribución y abundancia de los cefalópodos que son explotados comercialmente en la division 34.1.3 de CECAF.
2. MATERIAL Y METODOS
Las campañas se realizaron a bordo del B/O IBN SINA. Este es un rampero de 38,8 m de eslora, con un desplazamiento de 300 TRB y propulsado por un motor de 1 100 HP. La duración de cada operación de pesca fue de 30 minutos y la velocidad de arrastre de 3 nudos.
El esquema del arte empleado se presenta en la figura 1. Está confeccionado en poliamida y el copo tenia una luz de 60 mm.
La zona de trabajo se ha dividido en cuadrículas de 10' de latitud por 10' de longitud. En cada una de ellas se han representado con símbolos los rendimientos obtenidos. En caso de haberse realizado más de una pesca en alguna de las cuadrículas, se ha representado el valor medio de las efectuadas.
3. RESULTADOS
En la tabla 1 se presentan los nombres de las campañas efectuadas, fecha en que se llevaron a cabo, profundidades entre las que se trabajó y número de pescas realizadas.
Los rendimientos obtenidos, en kg/h de arrastre, se dan por separado para cada una de las campañas en las figuras 2, 3, 4 y 5, y en conjunto para las cuatro campañas en la figura 6.
En la tabla 2 se dan el n° de estaciones,
(rendimientos medios) y s (desviación típica)
obtenidos para los diferentes estratos de profundidad en las campañas mencionadas.
4. CONCLUSIONES
A la vista de la figura 6 deducimos la existencia de tres áreas de máximo rendimiento, situadas entre los 24°30'–25°00'N, 23°50'–24°20'N y 22°30'–23°10'N respectivamente. Conviene resaltar tambien, a pesar del pequeño número de pescas realizadas en esta zona, la existencia de un área de elevados rendimientos entre los 21°20' y 22°10' de latitud Norte.
Los mejores rendimientos obtenidos por campaña son los correspondientes a la IBN SINA 8109 y precisamente dentro de las áreas definidas anteriormente.
Por estratos de profundidad los valores más elevados se consiguen entre los 25 y 49 metros.
Los rendimientos más altos se observan siempre a distancias superiores a 30 millas de la costa.
REFERENCIAS
Adam, W., 1952 Expédition océanographique belge dans les eaux côtières africaines de l'Atlantique sud. Céphalopodes. In Résultats scientifiques. Institut Royal des sciences naturelles de Belgique, Bruxelles, 3(3):142 p.
Bravo de Laguna, J. et al., 1976 Actividad de la flota pesquera española en aguas del Banco Sahariano durante 1975. Inf.Pesquera Inst.Esp.Oceanogr., (6):
FAO, 1979 Fishery Committee for the Eastern Central Atlantic, Report of the ad hoc Working Group on the assessment of cephalopod stocks. CECAF/ECAF Ser., (78/11):149 p.
| IBN SINA 8002 | Marzo 1980 | 43 pescas | Entre 24–110 metros |
| 8005 | Mayo 1980 | 47 pescas | 21–111 metros |
| 8104 | Mayo-Junio 1981 | 48 pescas | 18– 98 metros |
| 8109 | Noviembre 1981 | 71 pescas | 19–106 metros |
| IBN SINA 8002 | IBN SINA 8005 | IBN SINA 8104 | IBN SINA 8109 | |||||||||
|---|---|---|---|---|---|---|---|---|---|---|---|---|
| Prof. | n | ![]() | s | n | ![]() | s | n | ![]() | s | n | ![]() | s |
| 0–24 | 2 | 3.40 | 4.81 | 2 | 1.32 | 1.87 | 6 | 12.31 | 11.45 | 10 | 8.33 | 8.54 |
| 25–49 | 15 | 4.27 | 5.42 | 16 | 9.30 | 12.34 | 21 | 9.93 | 9.38 | 32 | 13.61 | 16.33 |
| 50–74 | 12 | 5.36 | 5.81 | 19 | 7.35 | 5.65 | 15 | 8.49 | 8.57 | 20 | 11.72 | 17.50 |
| 75–99 | 11 | 8.78 | 11.64 | 8 | 0.33 | 0.35 | 6 | 2.64 | 2.48 | 6 | 8.73 | 10.43 |
| 100–124 | 2 | 1.45 | 2.05 | 2 | 0 | 0 | 2 | 7.64 | 10.80 | |||

Figura 1.- Plano del arte utilizado en las Campañas IBN Sina.

Figura 2.- Rendimientos de Calamar, en Kg/h., en cada una de las cuadrículas de 10'×10' en las que se ha dividido la zona. Campaña IBN SINA 8002

Figura 3.- Rendimientos de Calamar, en Kg/h., en cada una de las cuadrículas de 10'×10' en las que se ha dividido la zona. Campaña IBN SINA 8005.

Figura 4.- Rendimientos de Calamar, en Kg/h., en cada una de las cuadrículas de 10'×10' en las que se ha dividido la zona. Campaña IBN SINA 8104.

Figura 5.- Rendimientos de Calamar, en Kg/h., en cada una de las cuadrículas de 10'×10' en las que se ha dividido la zona. Campaña IBN SINA 8109.

Figura 6.- Rendimientos de Calamar, en Kg/h., en cada una de las cuadrículas de 10'×10' en las que se ha dividido la zona. Campaña IBN SINA 8002, 8005, 8104 y 8109.
par
A. Idelhaj
Institut scientifique des pêches maritimes, Casablanca
1. INTRODUCTION
Dans le cadre du programme d'évaluation et de contrôle continu des ressources halieutiques, cinq campagnes de prospection par chalutage ont été exécutées en 1980 et 1981 dans les eaux du Sahara marocain entre les latitudes 21° et 26°N.
A l'exception de la campagne de mars 1981, les prospections ont été effectuées en coopération avec l'Institut espagnol d'océanographie à Ténériffe.
Parallèlement à l'étude de la biologie des céphalopodes, des expériences de sélectivité du chalut de fond espagnol mis à notre disposition par le centre de Ténériffe, ont été entreprises sur le poulpe (Octopus vulgaris, Cuvier, 1797) et sur le calmar (Loligo vulgaris, Lamarck, 1798).
Le maillage de 60 mm est étudié ici suivant la méthode de la “double poche” (Pope, 1975).
2. MATERIEL ET METHODES
Les prospections ont été réalisées à l'aide de l'IBN SINA, navire de recherche de l'Institut scientifique des pêches maritimes (ISPM), jaugeant 257 tonneaux et de 1 100 chevaux de puissance.
Le chalut utilisé par la flottille espagnole est du type Bacca à deux faces, de 80 m de corde de dos et de 95 m de bourrelet. L'ouverture verticale en pêche est de l'ordre de 3,5 m. La poche du chalut est en fil de polyamide; les mailles étirées mesurées avec une jauge ICES étalonnée à 4 kg varient entre 61 et 65 mm (valeurs moyennes observées lors des campagnes). La poche de couverture est constituée d'une nappe de filet non sélective de 25 mm de maille étirée, est appliquée à la partie supérieure de la poche du chalut. La partie inférieure de cette dernière est couverte par un cuir de protection. Les plans et les caractéristiques du chalut utilisé, établis par le Service de technologie des engins de pêche de l'ISPM, sont donnés en appendice.
Au cours des campagnes de mars et juin 1980, la poche de chalut a été recouverte respectivement pour 18 traits sur 42 pour 22 traits sur 43. En 1981, la poche du chalut a été systématiquement recouverte de nappe non sélective.
La durée des traits est de 30 mm et la vitesse de chalutage de 3 noeuds en moyenne. Les captures de la poche du chalut et de la poche de couverture sont mesurées et pesées séparément. La longueur de référence est celle du manteau, mesurée au centimètre inférieur. Il sera tenu compte de cette procédure dans l'expression des résultats finals des calculs qui seront donc majorés de 0,5 cm. Les données obtenues par sous-échantillonnage sont élevées à la capture totale, ce qui permet par la suite de sommer les distributions de fréquence de taille des prises de la poche et de la double poche pour un trait de chalut ou celles des traits de chalut différents.
3. CHOIX DE LA COURBE DE SELECTION
Diverses méthodes graphiques ou numériques permettent d'estimer la taille de première capture et de représenter la sélectivité du chalut de fond. Leurs applications ont donné de bons résultats (Pope, 1975) dans le cas des poissons. Parmi celles-ci, l'ajustement d'une logistique à une courbe de sélection est obtenu après linéarisation des données observées, c'est-à-dire par transformation logarithmique du taux de rétention obtenu à chaque classe de taille soit Ln (P/1-P) = aL + b où
| P = taux de rétention en % | |
| L = longueur du manteau en cm. |
Cette méthode suppose que la courbe de distribution des fréquences de taille est symétrique, ce qui n'est pas le cas général chez les poissons et encore moins chez les céphalopodes et les crustacés. Afin de pallier cet inconvénient, Pope (1975) a proposé de pondérer les données observées par classe de longueur et d'y ajuster une logistique par la méthode du maximum de vraisemblance. Quoique longue à mettre en oeuvre, cette dernière offre l'avantage de permettre de vérifier la qualité de l'ajustement par un test de X2 et de calculer la variance de L50. Nous avons fait appel à cette dernière procédure pour déterminer la courbe de sélectivité du poulpe et du calmar.
En effet, chez le poulpe, la courbe représentative des variations du taux de rétention en fonction de la longueur du manteau (figures 2 et 4) présente des irrégularités analogues à celles observées précédemment par Guerra (1979). Cet auteur explique ces irrégularités par la taille faible de l'échantillon utilisé et/ou par le comportement de l'espèce. Ce phénomène a également été observé chez la sole (Strzyiewsk In Guerra, 1979).
4. RESULTATS ET DISCUSSIONS
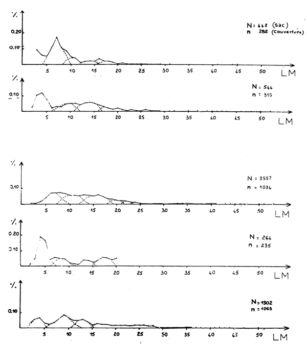
4.1 Octopus vulgaris
Des distributions de fréquence des animaux capturés dans le sac et dans la poche de couverture sont données sur les figures 1A à 1F.
Les courbes de sélectivité établies à différentes saisons (figure 2) permettent de constater des irrégularités dans les variations du taux de rétention en fonction de la longueur du manteau. Ces irrégularités sont représentées par des points qui s'écartent de la courbe sigmoide ajustée à main levée aux données observées; leur position sur la courbe de sélectivité change avec les saisons.
Les résultats issus des différentes méthodes d'ajustement des données à une logistique, présentés dans les tableaux 1Aà 1F permettent de dégager les remarques suivantes:
les tailles de première capture obtenues par la méthode de Gulland, qui suppose que les taux de rétention se répartissent le long d'une sigmoide, sont en général plus élevées que celles obtenues par les autres méthodes;
l'ajustement d'une logistique avec ou sans pondération par classe de longueur montre une évolution (saisonnière) des caractéristiques de la courbe de sélectivité. Cette évolution paraît liée à la structure démographique de la population en place (Idelhaj, 1982).
Lorsqu'une classe recrutée est importante (cohorte de printemps, recrutement en automne) peu d'irrégularités du taux de rétention sont observées et l'ajustement d'une logistique est statistiquement acceptable (figure 2D, tableau 1E). En revanche, cet ajustement est rejeté ou accepté avec un degré de confiance faible (grande variance de L50) quand les distributions observées ne comportent pas de classe de recrutement important (cohorte d'automne, recrutement au printemps) (figure 1C et tableau 1C).
En se limitant aux résultats issus d'ajustements statistiquement acceptés (X2 hautement significatif), on constate (tableau 2) que les caractéristiques des courbes de sélectivité montrent une évolution saisonnière. Lc et fs sont faibles en automne (novembre 1981) lorsque la classe recrutée est importante; ces valeurs augmentent au fur et à mesure que l'importance de cette classe diminue (mars et juin 1980). L'intervalle de sélection suit la même évolution. Ces observations sont valables pour les mâles, les femelles et pour l'ensemble des deux sexes.
La taille moyenne de première capture L50 calculée pour un maillage de 60 mm montre que les poulpes sont pêchés juste après leur recrutement.
Ces considérations nous conduisent à calculer un facteur de sélection moyen à partir des valeurs de fs obtenues à différentes saisons.
Le tableau 3 donne une comparaison des valeurs de fs calculées par les mâles, les femelles et pour l'ensemble des mâles et des femelles. Ces valeurs sont deux fois plus faibles que celles qui ont été obtenues par Guerra (1979).
4.2 Loligo vulgaris
L'ordre des loligidés auquel appartient le calmar se différencie de celui des octopoidés (poulpe) par l'habitat, par la morphologie des espèces et leurs comportements.
Le calmar est plutôt une espèce semi-pélagique, effectuant des migrations journalières (du fond à la surface) et saisonnier (de la côte au large). Les captures du chalut utilisé présenteront par là une grande variabilité suite à ce comportement.
L'étude de sélectivité pour cette espèce est effectuée selon la même procédure développée pour le poulpe. Les distributions des fréquences de taille de captures (sac et couverture) sont décomposées en classe de taille modale (figure 3) et les résultats des différents ajustements de la courbe de sélection sont présentés aux tableaux 4A à 4E.
Les taux de rétention observés s'ajustent bien à une courbe sigmoide (figure 4). Les irrégularités rencontrées dans le cas du poulpe sont peu marquées et le plus souvent localisées à proximité du point de rétention de 100 pour cent.
L'ajustement par simple régression linéaire donne des résultats proches de ceux fournis en effectuant une pondération (figures 4A et B). Dans le cas où il y a rejet de l'ajustement en utilisant toutes les données (tableaux 4C à 5E), le calcul basé sur quelques traits de chalut représentatifs permet d'avoir un ajustement significatif.
Comme c'est le cas pour le poulpe, la courbe de sélection relative au calmar serait liée à la structure démographique de l'espèce dans la capture du chalut, et qui se traduit par une évolution saisonnière des paramètres de la sélectivité: fs et L50 (tableau 5).
Le facteur de sélection moyen est: fs = 1,30 qui correspondrait à une taille de première capture de 7,80 cm pour un maillage de 60 mm.
REFERENCES
Guerra, A., 1979 Selectividad de Octopus vulgaris del Atlántico Centro-Oriental (26°10'N-23°30'N). CECAF/ECAF Ser., (78/11):75–81
Idelhaj, A., 1982 Paramètres biologiques du poulpe et du calmar, dans les eaux sahariennes, Travaux et Documents, Institut Scientifique des Pêches Maritimes Maroc (en préparation)
Pope, J.A., 1966 Manual of methods for fish stock assessment, Part III. Selectivity of Fishing Gear. FAO Fish.Tech.Pap., (41) Rev.1:46 p.
Gulland, J.A., 1969 Manuel des méthodes d'évaluation des stocks d'animaux aquatiques. Première partie - Analyse des populations. Manuels FAO de science halieutique, (4):160 p.
| Tableau 1A. Octopus vulgaris | Mars 1980 Maille: 6,10 cm |
| Ajustement à une logistique | |||||||||
|---|---|---|---|---|---|---|---|---|---|
| Méthode de Gulland | Par régression linéaire | Par les maximums de vraisemblance | |||||||
| M | F | T | M | F | T | M | F | T | |
| L50 | 5,13 | 5,80 | 5,98 | 5,16 | 5,06 | 5,72 | 5,65 | 5,80 | 5,64 |
| L25 | 3,30 | 2,50 | 3,89 | 2,45 | 2,18 | 2,50 | |||
| L75 | 7,02 | 7,61 | 7,55 | 8,86 | 9,41 | 8,79 | |||
| fs | 0,85 | 0,96 | 0,98 | 0,85 | 0,83 | 0,94 | 0,93 | 0,96 | 0,93 |
| Var (L50) | |||||||||
| 0,114 | 0,127 | ||||||||
| I.C. | 0,87 | 0,84 | |||||||
| TEST | *** | *** | RH0 | ||||||
L50 : Longueur du manteau au point de rétention de 50 pour
cent
fs : Facteur de sélection
I.C. : Intervalle de confiance
L50 ± I.C.
M : Mâles
F : Femelles
T : Total
| Tableau 1B. Octopus vulgaris | Juin 1980 Maille: 6,10 cm |
| Ajustement à une logistique | |||||||||
|---|---|---|---|---|---|---|---|---|---|
| Méthode de Gulland | Par régression linéaire | Par les maximums de vraisemblance | |||||||
| M | F | T | M | F | T | M | F | T | |
| L50 | 7,03 | 7,25 | 7,19 | 5,53 | 4,02 | 5,30 | 6,54 | 6,45 | 5,72 |
| L25 | 2,64 | -0,8 | 2,06 | 1,76 | 0,78 | -0,39 | |||
| L75 | 8,42 | 8,80 | 8,53 | 11,33 | 12,12 | 11,83 | |||
| fs | 1,16 | 1,20 | 1,19 | 0,91 | 0,66 | 0,87 | 1,08 | 1,06 | 0,94 |
| Var (L50) | 0,30 | 0,41 | 0,31 | ||||||
| I.C. | 1,40 | 1,52 | 1,35 | ||||||
| TEST | *** | *** | *** | ||||||
RH0: Rejet de l'ajustement
** : Ajustement significatif
***: Ajustment hautement significatif
| Tableau 1C. Octopus vulgaris | Mars 1981 Maille: 6,30 cm |
| Ajustement à une logistique | |||||||||
|---|---|---|---|---|---|---|---|---|---|
| Méthode de Gulland | Par régression linéaire | Par les maximums de vraisemblance | |||||||
| M | F | T | M | F | T | M | F | T | |
| L50 | 5,91 | 5,31 | 5,14 | 2,98 | 5,22 | 3,77 | 4,78 | ||
| L25 | 0,36 | 2,00 | 1,59 | 3,16 | |||||
| L75 | 5,59 | 7,44 | 6,00 | 6,41 | |||||
| fs | 0,94 | 0,85 | 0,85 | 0,47 | 0,83 | 0,60 | 0,76 | ||
| Var (L50) | 0,42 | ||||||||
| I.C. | 2,07 | ||||||||
| TEST | RH0 | RH0 | ** | ||||||
| Tabelau 1D. Octopus vulgaris | Juin 1981 Maille: 6,33 cm |
| Ajustement à une logistique | |||||||||
|---|---|---|---|---|---|---|---|---|---|
| Méthode de Gulland | Par régression linéaire | Par les maximums de vraisemblance | |||||||
| M | F | T | M | F | T | M | F | T | |
| L50 | 6,57 | 6,48 | 6,62 | 6,28 | 2,10 | 4,10 | 4,77 | 5,54 | |
| L25 | 4,92 | -1,6 | 1,60 | 2,50 | 3,70 | ||||
| L75 | 7,64 | 5,77 | 6,60 | 7,04 | 7,20 | ||||
| fs | 1,04 | 1,02 | 1,05 | 0,99 | 0,33 | 0,65 | 0,75 | 0,86 | |
| Var (L50) | 1,16 | 0,26 | |||||||
| I.C. | 2,49 | 1,20 | |||||||
| TEST | RH0 | *** | *** | ||||||
| Tableau 1E. Octopus vulgaris | Novembre 1981 Maille: 6,45 cm |
| Ajustement à une logistique | |||||||||
|---|---|---|---|---|---|---|---|---|---|
| Méthode de Gulland | Par régression linéaire | Par les maximums de vraisemblance | |||||||
| M | F | T | M | F | T | M | F | T | |
| L50 | 5,73 | 5,62 | 5,67 | 5,23 | 4,79 | 4,89 | 4,52 | 4,74 | 4,77 |
| L25 | 3,63 | 2,94 | 3,13 | 2,61 | 3,03 | 2,98 | |||
| L75 | 6,83 | 6,63 | 6,66 | 6,42 | 6,43 | 6,56 | |||
| fs | 0,89 | 0,87 | 0,88 | 0,81 | 0,74 | 0,76 | 0,70 | 0,73 | 0,74 |
| Var (L50) | 0,155 | 0,08 | 0,05 | ||||||
| I.C. | 0,93 | 0,67 | 0,53 | ||||||
| TEST | *** | *** | *** | ||||||
| Tableau 1F. Octopus vulgaris | Mars + juin 1980 Maille: 6,10 cm |
| Ajustement à une logistique | |||||||||
|---|---|---|---|---|---|---|---|---|---|
| Méthode de Gulland | Par régression linéaire | Par les maximums de vraisemblance | |||||||
| M | F | T | M | F | T | M | F | T | |
| L50 | 6,16 | 6,19 | 6,41 | 5,60 | 4,76 | 6,23 | 5,79 | 5,33 | 5,98 |
| L25 | 6 | 3,17 | 1,21 | 3,94 | 3,52 | 1,00 | 1,20 | ||
| L75 | 9,05 | 8,30 | 8,52 | 8,05 | 11,65 | 10,76 | |||
| fs | 1,02 | 1,02 | 1,06 | 0,92 | 0,78 | 1,03 | 0,95 | 0,88 | 0,98 |
| Var (L50) | 0,14 | 0,27 | 0,05 | ||||||
| I.C. | 0,87 | 1,20 | 0,51 | ||||||
| TEST | *** | *** | *** | ||||||
| Campagne | Maille (cm) | L50 (cm) | Intervalle de sélection (cm) | fs | L50 calculée pour 6 cm d'ouverture de maílle | TEST d'ajustement | |
|---|---|---|---|---|---|---|---|
| FEMELLES | Mars 1980 | 6,1 | 5,80 | 7,23 | 0,96 | 5.76 | AH0*** |
| Juin 1980 | 6,1 | 6,45 | 11,34 | 1,06 | 6,36 | AH0*** | |
| Mars 1981 | 6,3 | - | - | - | - | RH0 | |
| Juin 1981 | 6.3 | 4,77 | 4,54 | 0,75 | 4,50 | AH0*** | |
| Nov. 1981 | 6,5 | 4,34 | 3,44 | 0,73 | 4,40 | AH0*** | |
| MÂLES | Mars 1980 | 6,1 | 5,65 | 5,60 | 0,93 | 6,40 | AH0*** |
| Juin 1980 | 6,1 | 6,54 | 9,60 | 1,08 | 6,48 | AH0*** | |
| Mars 1981 | 6,3 | - | - | - | - | RH0 | |
| Juin 1981 | 6,3 | - | - | - | - | RH0 | |
| Nov. 1981 | 6,5 | 4,52 | 3,81 | 0,70 | 4,20 | AH0*** | |
| TOTAL | AH0*** | ||||||
| TOTAL | Mars 1980 | 6,1 | 5,64 | 6,30 | 0,93 | 5,58 | " |
| Juin 1980 | 6,1 | 5,72 | 12,20 | 0,94 | 5,64 | " | |
| Mars 1981 | 6,3 | 4,78 | 3,25 | 0,76 | 4,20 | " | |
| Juin 1981 | 6,3 | 5,45 | 3,50 | 0,86 | 5,16 | " | |
| Nov. 1981 | 6,5 | 4,77 | 3,58 | 0,74 | 4,44 | " |
| Mâles | Femelles | Total | |
|---|---|---|---|
| fs moyen | 0,90 | 0,74 | 0,79 |
| écart type | 0,19 | 0,01 | 0,06 |
| fs | 1,83 | 1,57 | 1,70 |
| (Guerra, 1979) |
Selon la méthode de Pope, 1966
| Tableau 4A. Loligo vulgaris | Mars 1980 Maille: 6,10 cm |
| Ajustement à une logistique | ||||||
|---|---|---|---|---|---|---|
| Méthode de Gulland | Par régression linéaire | Par les maximums de vraisemblance | ||||
| A | B | A | B | A | B | |
| L50 | 7,51 | 7,37 | 7,56 | 7,37 | 7,41 | 7,38 |
| L25 | 6,19 | 6,19 | 6,30 | 6,22 | ||
| L75 | 8,93 | 8,54 | 8,51 | 8,54 | ||
| fs | 1,24 | 1,21 | 1,25 | 1,21 | 1,22 | 1,22 |
| Var (L50) | 0,015 | 0,014 | ||||
| I.C. | 0,49 | 0,48 | ||||
| TEST | ** | ** | ||||
L50 = taille de la première capture (cm)
I.C. = intervalle de confiance de L50
L50 ± I.C.
A = 3 traits de chalut avec poche de cou-verture contenant des
individus
B = tous les traits de chalut confondus
** Ajustement significatif
| Tableau 4B. Loligo vulgaris | Juin 1980 Maille: 6,10 cm |
| Ajustement à une logistique | ||||||
|---|---|---|---|---|---|---|
| Méthode de Gulland | Par régression linéaire | Par les maximums de vraisemblance | ||||
| A | B | A | B | A | B | |
| L50 | 7,60 | 7,32 | 7,68 | 7,31 | 7,64 | 7,31 |
| L25 | 6,80 | 6,47 | 6,90 | 6,51 | ||
| L75 | 8,43 | 6,47 | 8,38 | 8,11 | ||
| fs | 1,25 | 1,25 | 1,27 | 1,21 | 1,26 | 1,20 |
| Var (L50) | 0,044 | 0,042 | ||||
| I.C. | 2,67 | 2,61 | ||||
| TEST | *** | *** | ||||
*** Ajustement hautement significatif
| Tableau 4C. Loligo vulgaris | Mars 1981 Maille: 6,30 cm |
| Ajustement à une logistique | ||||||
|---|---|---|---|---|---|---|
| Méthode de Gulland | Par régression linéaire | Par les maximums de vraisemblance | ||||
| A | B | A | B | A | B | |
| L50 | 8,10 | 8,29 | 7,34 | 8,36 | 7,52 | 8,35 |
| L25 | 5,84 | 6,83 | 6,18 | |||
| L75 | 8,84 | 9,90 | 8,87 | |||
| fs | 1,30 | 1,32 | 1,17 | 1,33 | 1,20 | 1,33 |
| Var (L50) | 0,092 | |||||
| I.C. | 0,96 | |||||
| TEST | ***AH0 | RH0 | ||||
RH0 = Rejet de l'ajustement
A = 1 seul trait de chalut
B = tous les traits de chalut confondus
| Tableau 4D. Loligo vulgaris | Juin 1981 Maille: 6,33 cm |
| Ajustement à une logistique | ||||||
|---|---|---|---|---|---|---|
| Méthode de Gulland | Par régression linéaire | Par les maximums de vraisemblance | ||||
| A | B | A | B | A | B | |
| L50 | 7,03 | 7,21 | 7,34 | 7,76 | 7,27 | 7,49 |
| L25 | 6,43 | 6,35 | 6,40 | 6,30 | ||
| L75 | 8,25 | 8,67 | 8,13 | 8,67 | ||
| fs | 1,11 | 1,14 | 1,16 | 1,22 | 1,15 | 1,18 |
| Var (L50) | ||||||
| I.C. | ||||||
| TEST | AH0 | RH0 | ||||
A = traits de chalut avec poche de couverture contenant des
individus
B = tous les traits de chalut confondus
| Tableau 4E. Loligo vulgaris | Nov. 1981 Maille: 6,45 cm |
| Ajustement à une logistique | ||||||
|---|---|---|---|---|---|---|
| Méthode de Gulland | Par régression linéaire | Par les maximums de vraisemblance | ||||
| A | B | A | B | A | B | |
| L50 | 9,73 | 9,63 | 9,59 | 9,84 | 9,66 | 9,62 |
| L25 | 7,85 | 8,22 | 8,08 | |||
| L75 | 11,33 | 11,46 | 11,24 | |||
| fs | 1,51 | ,49 | 1,48 | 1,52 | 1,50 | |
| Var (L50) | 0,010 | |||||
| I.C. | 0,30 | |||||
| TEST | AH0** | RH0 | ||||
A = traits de chalut avec poche de couverture contenant des indïvidus
B = tous les traits de chalut confondus

Figure 1A - Distribution des fréquences de tailles du poulpe

Figure 1B - Distribution des fréquences de tailles du poulpe

Figure 1C - Distribution des fréquences de tailles du poulpe

Figure 1D - Distribution des fréquences de tailles du poulpe

Figure 1E - Distribution des fréquences de tailles du poulpe

Figure 1F - Distribution des fréquences de tailles du poulpe

Figure 2 - Poulpe: variation du taux de rétention en fonction de la taille (LM = longueur du manteau)

Figure 3 - Loligo vulgaris Distribution des fréquences de tailles

Figure 4 - Loligo vulgaris Courbe d'ajustement à une logistique par le maximum de vraisemblance
Appendice à l'Annexe 9
SELECTIVITE DU POULPE EN ATLANTIQUE CENTRE-EST (GUERRA, 1979)
| Tipo de barco: | B/O CORNIDE DE SAAVEDRA. Arrastre por popa. |
| 57,4 m de eslora. TRB: 990. Potencia: 1 250 cv | |
| Velocidad de arrastre: | 3 nudos |
| Tipo de arte: | Baca |
| Método: | Copo cubierto |
| Naturaleza y tipo fibras, | Copo: Fibra de poliamida |
| Sobrecopo: Red sin nudos de poliamida | |
| Abertura mallas: | Copo: 53 mm (calibrador ICNAF, 50 medidas cada control) |
| Sobrecopo: 10 mm | |
| Fecha: | Octubre 1975 |
| Profundidad: | 20–65 m |
| Situación: | 25°02'N-24°02'N y 15°58'W-15°06'W |
| Números caladas: | 7 |
| Duración: | 7 h 25 min |
| Peso pulpo (kg): | 263,1 |
| Número ejemplares: | 268 |
| Peso otras especies (kg): | 1 968,2 |
| Talla de selección 50% (mm) | |
| machos + hembras: | 90 |
| Factor de selección machos + | |
| hembras: | 1,70 |
| Talla de selección 50% (mm) | |
| machos: | 97 |
| Factor de selección machos: | 1,83 |
| Talla de selección 50% (mm) | |
| hembras: | 83 |
| Factor de selección hembras: | 1,57 |


