Figure 1 : Average monthly variations in total demersal landings, Cameroon (1980–1983)

Figure 2 : Average monthly variations in shrimp landings (1970–1978), Cameroon (Njock, in press)



Figure 4a: Modified bottom chart for Cameroonian waters (Villegas and Garcia, 1983)

Figure 4b: Distribution of fish communities and their main components in Cameroonian waters (Villegas and Garcia, 1983)

Figure 5: Global production models for total demersal stocks of Cameroon

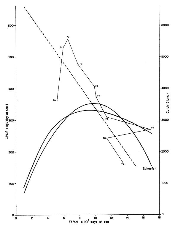
Figure 6: Global production models for the Nigeria-Cameroon stock of Penaeus notialis (using Cameroonian CPUE data)
Figure 7: Demersal fish density map - Nigeria - FIOLENT Cruise 2 (November) (Robertson, 1977)

Figure 8: Demersal fish density map - Cameroon. FIOLeNT Cruise 1 (May 1976) (Robertson, 1977)

Figure 9: Demersal fish density map - Cameroon. FIOLENT Cruise 2 (September) (Robertson, 1977)

LISTE DES RAPPORTS COPACE/PACE - LIST OF CECAF/ECAF REPORTS
FAO, 1975 A bibliography of West African marine fisheries and fishery oceanography. Rome, FAO, 145p., CECAF/ECAF Series/75/1 (En). Supplement 1, 73p.
FAO, 1975 Bibliographie sur les pêches martimes et l'océanographie appliquée aux pêches en Afrique de l'Ouest. Rome, FAO, 145p., COPACE/PACE Séries/75/1 (Fr). Supplement 1, 73p.
Ansa-Emmim, M. and D. Levi, 1975 Biostatistical data for stock assessment purposes : Present situation and suggestions for improvement. Rome, FAO, 16p., CECAF/ ECAF Series/75/2 (En).
Ansa-Emmim, M. et. D. Levi, 1975 Données biostatistiques requises aux fins d'évaluation des stocks : Situation présent et suggestions pour leur amélioration. Rome, FAO, 17p., COPACE/PACE Séries/75/2 (Fr).
Hamlisch, R. and G.K.F. Moore, 1975 Joint ventures in fishery development in the CECAF area. Rome, FAO, 25p., CECAF/ECAF Séries/75/3 (En).
Hamlisch, R. et G.K.F. Moore, 1975 Les armements communs et le développment des pêches dans la zone du COPACE. Rome, FAO, 26p., COPACE/PACE Séries/75/3 (Fr).
Everett, G.V., 1976 An overview of the state of fishery development planning in the CECAF region. Rome, FAO, 67p., CECAF/ECAF Series/75/4 (En).
Everett, G.V., 1976 Développement et planification halieutique dans la région du COPACE : vue d'ensemble. Rome, FAO, 71p., COPACE/PACE Séries/75/4 (Fr).
FAO, 1977 Rapport du groupe de travail ad hoc sur l'exploitation de la crevette (Penaeus duorarum notialis) du secteur Mauritanie-Libéria. Rome, FAO, 85p., COPACE/ PACE Séries/77/5 (Fr).
FAO, 1977 Rapport du groupe de travail ad hoc sur l'évaluation des stocks de crevette (Penaeus duorarum notialis) du secteur Côte d'Ivoire-Congo. Rome, FAO, 57p., COPACE/PACE Séries/78/6 (Fr).
FAO, 1979 Report of the ad hoc working group on the evaluation of the shrimp stocks (Penaeus duorarum notialis) of the Ivory Coast-Congo sector. Rome, FAO, 59p., CECAF/ECAF Series/78/6 (En).
FAO, 1978 Report of the ad hoc working group on sardine (Sardina pilchardus Walb). Rome, FAO, 35p., CECAF/ECAF Series/78/7 (En).
FAO, 1978 Rapport du groupe de travail ad hoc sur la sardine (Sardina pilchardus Walb). Rome, FAO, 35p., COPACE/PACE Séries/78/7 (Fr).
FAO, 1979 Report of the ad hoc working group on coastal demersal fish stocks from Mauritania to Liberia. Rome, FAO, 98p., CECAF/ECAF Series/78/8 (En).
FAO, 1979 Rapport du groupe de travail ad hoc sur les stocks côtiers démersaux vivant entre le sud de la Mauritanie et de Libéria. Rome, FAO, 99p., COPACE/PACE Séries/78/8 (Fr).
FAO, 1979 Report of the ad hoc working group on hakes (Merluccius merluccius /
innaeus
,
Merluccius senegalensis
adenat
and Merluccius cadenati
outre
), in
he
northern zone of CECAF. Rome, F
O, 93p., CECAF/ECAF Series
78/9 (En).
FAO, 1979 Rapport du groupe de travail ad hoc sur les merlus Merluccius merluccius (linné), Merluccius senegalensis (Cadenat) et Merluccius cadenati (Doutre), dans la zone nord du COPACE. Rome, FAO, 93p., COPACE/PACE Séries/78/9 (Fr).
FAO, 1979 Report of the ad hoc working group on coastal pelagic fish in West Africa from Mauritania to Liberia (26°N to 5°N). Rome, FAO, 161p., CECAF/ECAF Series/ 78/10 (En).
FAO, 1979 Rapport du groupe de travail ad hoc sur les poissons pélagiques côtiers ouestafricaines del a Mauritanie au Libéria (26°N à 5°N). Rome, FAO, 165p., COPACE/PACE Séries/78/10 (Fr).
FAO, 1979 Rapport du groupe de travail ad hoc sur l'évaluation des stocks de céphalopodes. Rome, FAO, 135p., COPACE/PACE Séries/78/11 (Fr).
FAO, 1979 Report of the ad hoc working group on cephalopod stocks in the northern zone of CECAF. Rome, FAO, 149p., CECAF/ECAF Series/78/11 (En).
Gulland, J.A., 1979 Towards the management of the resources of the CECAF region. Rome, FAO, 19p., CECAF/ECAF Séries/79/12 (En).
Gulland, J.A., 1979 Vers la gestion des ressources de la région du COPACE. Rome, FAO, 25p., COPACE/PACE Séries/79/12 (Fr).
Gulland, J.A., 1979 Problems of managing the CECAF hake and seabream stocks. Rome, FAO, 7p., CECAF/ECAF Series/79/13 (En).
Gulland, J.A., 1979 La gestion des stocks de merlus et de sparidés dans la région du COPACE. Rome, FAO, 10p., COPACE/PACE Séries/79/13 (Fr).
FAO, 1979 Rapport du groupe de travail spécial sur l'évaluation des stocks démersaux du secteur Côte d'Ivoire-Zaire. Rome, FAO, 74p., COPACE/PACE Séries/79/14 (Fr).
FAO, 1979 Report of the special ad hoc working group on the evaluation of demersal stocks of the Ivory Coast-Zaire sector. Rome, FAO: 74p., CECAF/ECAF Series/79/14 (En).
FAO, 1980 Report of the second meeting of the working group on sardine (Sardina pilchardus Walb). Rome, FAO, 37p., plus appendices. CECAF/PACE Séries/79/15 (En).
FAO, 1980 Rapport de la deuxième réunion du groupe de travail sur la sardine (Sardina pilchardus Walb). Rome, FAO, 40p., plus annexes. COPACE/PACE Séries/79/15 (Fr).
FAO, 1979 Catalogue des engins de pêche artisanale du Sénégal. Rome, FAO,COPACE/PACE Séries/79/16 (Fr).
FAO, 1981 A Manual on Acoustic Surveys : Sampling methods for acoustic surveys. Rome, FAO, CECAF/ECAF Series/80/17 (En).
Pereiro, J.A. & J. Bravo de Laguna, 1980 Dinamica de la poblacion y evaluacion de los recursos del pulpo del Atlantico Centro-oriental. Rome, FAO, 53p., CECAF/ ECAF Series/80/18 (Es).
Pereiro, 1981 J.A. et J. Bravo de Laguna, 1981 Dynamique des populations et évaluation des stocks de poulpe de l'Atlantiaue Centre-Est. Rome, FAO, 57p., COPACE/PACE Séries/80/18 (Fr).
Christy, F.T., 1979 Economic benefits and arrangements with foreign fishing countries in the northern sub-region of CECAF : a preliminary assesesment. Rome, FAO, 39p., CECAF/ECAF Series/79/19 (En).
Christy, F.T., 1979 Bénéfices économiques et accords avec la pêche étrangère dans la sous-région septentrionale du COPACE : évaluation préliminaire. Rome, FAO, 41p., COPACE/PACE Séries/79/19 (Fr).
FAO, 1980 Report of the ad hoc working group on sardinella stocks from Congo to southern Angola. Rome, FAO, 56p., CECAF/ECAF Series/80/20 (En).
FAO, 1980 Rapport du groupe de travail ad hoc sur les sardinelles du Congo au sud de l'Angola. Rome, FAO, 59p., COPACE/PACE Séries/80/20 (Fr).
FAO, 1980 Report of the ad hoc working group on sardinella off the coast of Ivory Coast Ghana-Togo. Rome, FAO, CECAF/ECAF Series/80/21 (En).
FAO, 1980 Rapport du groupe de travail ad hoc sur les sardinelles des côtes de Côte d'Ivoire-Ghana-Togo. Rome, FAO: 73p., COPACE/PACE Séries/80/21 (Fr).
Grosslein, M.D. and A. Laurec, 1982 Bottom trawl surveys : design, operation and analysis. Rome, FAO, 25p., CECAF/ECAF Series/81/22 (En).
Grosslein, M.D. et A. Laurec, 1982 Etudes par chalutage démersal : planification, conduite des opérations et analyse des résultats. Rome, FAO, 27p., COPACE/ PACE Séries/81/22 (Fr).
FAO, 1980 Report of the second ad hoc working group on coastal demersal stocks from southern Mauritania to Liberia. Rome, FAO, 11p., CECAF/ECAF Series/80/23 (En).
FAO, 1980 Rapport du deuxième groupe de travail ad hoc sur les stocks démersaux côtiers du sud de la Mauritanie au Libéria. Rome, FAO, 11p., COPACE/PACE Séries/ 80/23 (Fr).
FAO, 1982 Rapport du groupe de travail spécial sur les stocks de céphalopodes de la région nord du COPACE. Rome, FAO, 180p., COPACE/PACE Séries/82/24 (Fr).
FAO, 1982 Report of the special working group on Cephalopod stocks in the northern region of CECAF. Rome, FAO, 178p., CECAF/ECAF Series 82/24 (En).
Garcia, S., 1982 Distribution, migration and spawning of the main fish resources in the Northern CECAF area. Rome, 9p. + 11 charts, CECAF/ECAF Series 82/25 (En).
Garcia, S. and L. Villegas, 1983 Demersal fish assemblages in Liberia, Ghana, Togo, Benin and Cameroon. Rome, FAO, 16p. + 7 charts, CECAF/ECAF Series 83/26 (En).
FAO, 1984 Rapport du groupe de travail ad hoc sur les chinchards et les maquereaux de la zone nord du COPACE. Rome, FAO, 188p., COPACE/PACE Séries/83/27 (Fr).
Garcia, S., 1984 The problems of unstable resources management. Rome, FAO, 39p., CECAF/ECAF Series 84/28 (En)
Garcia, S., 1984 Les problèmes posés par l'aménagement des ressources instables. Rome, FAO, 30 p., COPACE/PACE Séries 84/28 (Fr)
FAO, 1984 Report on the R/V Dr FRIDTJOF NANSEN fish resource surveys of West Africa: Morocco to Ghana, and Cape Verde, May 1981-March 1982. Rome, FAO, 190 p., CECAF/ECAF Series 84/29 (En)
Christy, F.T., 1979 Bénéfices économiques et accords avec la pêche étrangère dans la sous-région septentrionale du COPACE : évaluation préliminaire. Rome, FAO, 41p., COPACE/PACE Séries/79/19 (Fr).
FAO, 1980 Report of the ad hoc working group on sardinella stocks from Congo to southern Angola. Rome, FAO, 56p., CECAF/ECAF Series/80/20 (En).
FAO, 1980 Rapport du groupe de travail ad hoc sur les sardinelles du Congo au suud de l'Angola. Rome, FAO, 59p., COPACE/PACE Séries/80/20 (Fr).
FAO, Report of the ad hoc working group on sardinella off the coast of Ivory Coast Ghana-Togo. Tome, FAO, CECAF/ECAF Series/80/21 (En).
FAO, Rapport du groupe de travail ad hoc= sur les sardinelles des côtes de Côte d'Ivoire-Ghana-Togo. Rome, FAO; 73p., COPACE/PACe Séries/80/21 (Fr).
Grosslein, M.D. and A. Laurec, 1982 Bottom trawl surveys : design, operation and analysis. Rome, FAO, 25p., CECAF/ECAF Series/82/22 (En).
Grosslein, M.D. et A. Laurec. 1982 Etudes par chalutage démersal : planification, conduite des opérations et analyse des résultats. Rome, FAO, 27p., COPACE/ PACE Séries/81/22 (Fr).
FAO, 1980 Report of the second ad hoc working group on coastal demersal stocks from southern Mauristania to Liberia. Rome, FAO, 11p., CECAF/ECAF Series/80/23 (En).
FAO., 1980 Rapport du deuxième groupe de travail ad hoc sur les stocks démersaux côtiers du sud de la Mauritanie au Libéria. Rome, FAO, 11p., COPACE/PACE Séries/ 80/23 (Fr).
FAO, Rapport du groupe de travail spécial sur les stocks de céphalopodes de la régopm mprd du COPACE. Rome, FAO, 180p., COPACE/PACE Séries/82/24 (Fr).
FAO, 1982 Report of the special working group on Cephalopod stocks in teh northern region of CECAF. Rome, FAO, 178p., CECAF/ECAF Series 82/24 (En).
Garcia, S., 1982 Distribution, migration and spawning of the main fish resources in the Northern CECAF area. Rome, 9p. + 11 charts, CECAF/ECAF Series 82/25 (En).
Garcia, S. and L. Villegas, 1983 Demersal-fish assemblages in Liberia, Ghana, Togo, Benin and Cameroon. Rome, FAO, 16p. 16p. + 7 charts, CECAF/ECAF Series 83/26 (En).
FAO, 1984 Rapport du groupe de travail ad hoc sur les chinchards et les maquereaux de la zone nord du COPACE. Rome, FAO, 188p., COPACE/PACE Séries/83/27 (Fr).
Garcia, S., 1984 The problems of unstable resources management. Rome, FAO, 39 p., CECAF/ECAF Series 84/28 (En).
Garcia, S., 1984 Les problèmes posés l'aménagement des ressources instables. Rome, FAO, 30 p., COPACE/PACE Séries 84/28 (Fr)
FAO, 1984 Report on the R/V Dr FRIDTJOF NANSEN fish resource surveys of West Africa: Morocco to Ghana, and Cape Verde, May 1981-March 1982. Rome, FAO, 190 p., CECAF/ECAF Series 84/29 (En)
Roullot, J. et A. Fahfouhi, 1984 Catalogue des engins de pêche du Maroc. Rome, FAO, COPACE/PACE Séries 84/30, 281 p. (Fr)
Anum Doyi, B., 1984 Catalogue of small-scale fishing gear of Ghana. Rome, FAO, CECAF/ECAF Series 84/31 (En)
Poinsard, F. et S. Garcia, 1984 L'évaluation des ressources et l'aménagement des pêches dans la région du COPACE: Analyse perspective. Rome, FAO, COPACE/PACE Séries 84/32, 36 p. (Fr)
Poinsard, F. and S. Garcia, 1984 Stock assessment and fisheries management in the CECAF region: A perspective view. Rome, FAO, CECAF/ECAF Series 84/32, 34 p. (En)
FAO, 1986 Rapport du premier groupe de travail spécial sur les pêcheries de merluset de crevettes profondes dans la zone nord du COPACE. Rome, FAO, COPACE/PACE Séries 86/33 (Fr) (in preparation)
Ssentongo, G.W. and M. Ansa-Emmim, 1986 Marine fishery resources of Sierra Leone: A review of exploited fish stocks. Rome, FAO, CECAF/ECAF Series 86/34, 76 p. (En)
FAO, 1986 Rapport du groupe de travail ad hoc sur les ressources démersales et les crevettes du secteur Gabon-Congo. Rome, FAO, COPACE/PACE Séries 86/35 (Fr) (en préparation)
FAO, 1986 Report of the CECAF ad hoc Working Group on the demersal and shrimp resources of the Central Gulf of Guinea Division (34.3.5). Rome, FAO, CECAF/ECAF Series 86/36, 107 p. (En)
Josse, E. et S. Garcia, 1986 Description et évaluation des ressources halieutiques de la ZEE Mauritanienne. Rome, FAO, COPACE/PACE Séries 86/37, 310 p. (Fr)
FAO, 1986 Report of the First ad hoc Working Group on sea bream (Sparidae) stocks in the Northern CECAF Zone. Rome, FAO, CECAF/ECAF Series 86/38 (in preparation)
FAO, 1986 Rapport de la troisième réunion du groupe de travail ad hoc sur la sardine Sardina pilchardus (Walb.). Rome, FAO, COPACE/PACE Séries 86/39, 157 p. (Fr)
Ssentongo, G.W., E.T. Ukpe and T.O. Ajayi, 1986 Marine fishery resources of Nigeria: A review of exploited fish stocks. Rome, FAO, CECAF/ECAF Series 86/40 62 p. (En)
FAO, 1986 Rapport du troisième groupe de travail ad hoc sur l'évaluation des stocks de céphalopodes dans la région nord du COPACE. COPACE/PACE Séries 86/41 (Fr) (en préparation)
LISTE DES RAPPORTS TECHNIQUES DU COPACE - LIST OF CECAF TECHNICAL REPORTS
Everett, G.V., 1976 Quelques observations et recommandations sur le développement de la pêche maritime en République du Togo. Dakar, Projet COPACE, 46p., COPACE/ TECH/76/1 (Fr).
Robertson, I.J.B., 1977 Summary report : FIOLENT 1976 Eastern Central Atlantic Coastal fishery resource survey, southern sector. Rome, FAO, 115p., CECAF/TECH/ 77/2 (En).
Robertson, I.J.B., 1978 Compte-rendu sommaire : FIOLENT 1976. Prospections des ressources ichthyologiques côtières de l'Atlantique Centre-Est, secteur sud. Rome, FAO, 117p., COPACE/TECH/77/2 (En).
Talarczak, K. and I. Mizuishi, 1976 Industrial marine fisheries in the CECAF area. Part I : Morocco to Liberia. Dakar, CECAF Project: 65p., CECAF/TECH/76/3 (En).
Talarczak, K. et I. Mizuishi, 1976 Pêches maritimes industrielles dans la région COPACE, Première Partie : du Maroc au Libéria. Dakar, Projet COPACE, 75p., COPACE/ TECH/76/3 (Fr).
Everett, G.V., 1977 A preliminary analysis of the Ghanaian marine fishery sector with particular reference to future development. Dakar, CECAF Project: 60p., CECAF/TECH/77/4 (En).
Talarczak, K. and I. Mizuishi, 1977 Industrial marine fisheries in the CECAF area. Part II : Ivory Coast to Zaire. Dakar, CECAF Project, 71p., CECAF/TECH/77/5 (En).
Talarczak, K. et I. Mizuishi, 1977 Pêches maritimes dans la région COPACE, deuxième partie : la Côte d'Ivoire au Zaire. Dakar. Project COPACE, 75p., COPACE/TECH/ 77/5 (Fr).
Everett, G.V., 1978 The Northwest African Fishery : problems of management and development. Dakar, CECAF Project, 43p., CECAF/TECH/78/6 (En).
Everett, G. V., 1978 Les pêches africaines du nord-ouest : problèmes d'aménagement et de développement. Dakar, Projet COPACE, 55p., COPACE/TECH/78/6 (Fr).
Haywood, K.H., 1978 A model for planning fishery development in the CECAF region. Dakar, CECAF Project, 35p., CECAF/TECH/78/7 (En).
FAO, 1978 Report of the working group on standardization of age determination of the sardine (Sardina pilchardus W.). Dakar, CECAF Project: 12p.; CECAF/TECH/ 78/8 (En).
FAO, 1978 Rapport du groupe de travail sur l'unification de la détermination de l'âge de la sardine (Sardina pilchardus W.). Dakar, Projet COPACE, 13p., COPACE/TECH/ 78/8 (Fr).
Talarczak, K. and L. Haling, 1978 Planning of fish handling facilities for a rural fishery centre. Dakar: CECAF Project: 19p., CECAF/TECH/78/9 (En).
Everett, G.V., 1978 The fisheries of Guines, Sierra Leone and Liberia : observations on their management and development. Dakar, CECAF Project, 33p., CECAF/TECH/ 78/10 (En).
Everett, G.V., 1978 Les pêches en Guinée, Sierra Leone et Libéría : Commentaires sur leur gestion et leur développement. Dakar, Projet COPACE, 32p., COPACE/TECH/ 78/10 (Fr).
Fidell, E.R., 1978 Legal and institutional aspects of fisheries management in the Republic of Liberia. Dakar, CECAF Project, 38p+, CECAF/TECH/78/11 (En).
Fidell, E.R., 1978 Legal and institutional aspects of fisheries management in the Republic of Sierra Leone. Dakar, CECAF Project: 39p. plus annex. CECAF/TECH/ 78/12 (En).
FAO, 1979 Etude préliminaire sur les relations entre investissements et emplois dans le domaine de la pêche. Dakar: Projet COPACE, 31p., COPACE/TECH/79/13 (Fr).
FAO, 1979 Report of the ad hoc working group on fishery planning. Dakar, CECAF Project, 63p., CECAF/TECH/79/14 (En).
Yamamoto, T. and M. Ansa-Emmim, 1979 CECAF Project statistical survey of Las Palmas based international crawlers. Februa y 1978 – February 1979. Dakar, CECAF Project, 40p., CECAF/TECH/79/15 (Fn).
Griffin, W.L., Warren, J.P. and W.E. Grant, 1979 A bioeconomic model for fish stock management : the cephalopod fishery of Northwest Africa. Dakar, CECAF Project, 42p., CECAF/TECH/79/16 (En).
Griffin, W.L. Warren, J.P. et W.E. Grant, 1979 Modèle bioéconomique de gestion des stocks halieutiques : la pêche des céphalopodes de l'Afrique de l'Ouest. Dakar, Projet COPACE, 42p., COPACE/TECH/79/16 (Fr).
Lamming, G.N. and M. Hotta, 1979 Fisheries cooperatives in West Africa. Dakar, CECAF Project: 18p., CECAF/TECH/79/17 (En).
Lamming, G.N. et M. Hotta, 1980 Les coopératives de pêcheuro en Afrique de l'Ouest. Dakar, Projet COPACE, 18p., COPACE/TECH/79/17 (Fr).
FAO, 1979 Report of the workshop on the standardization of age reading techniques for Sardina pilchardus (W). Dakar, CECAF Project, 25p., CECAF/TECH/79/18 (En).
FAO, 1979 Rapport du seminaire pour l'unification des techniques de lecture d'âge et d'interpretation de Sardina pilchardus (W). Dakar, Projet COPACE, 26p., COPACE/TECH/79/18 (Fr).
FAO, 1980 Rapport de la réunion spéciale sur la mesure de l'effort de pêche appliquéé aux petites espèces pélagiques dans la zone nord du COPACE. Dakar, Projet COPACE, 64p., COPACE/TECH/80/19 (Fr).
Evans, E., 1980 Sierra Leone : An Act to provide for the management and development of fisheries. Dakar, CECAF Project, 54p., CECAF/TECH/80/20 (En).
Everett, G.V., Ansa-Emmim, M. and I. Mizuishi, 1980 A summary overview of fisheries in the CECAF region. Dakar, CECAF Project, 62p., CECAF/TECH/80/21 (En).
Everett, G.V., Ansa-Emmim, M. et I. Mizuishi, 1980 Résumé de la situation générale des pêches dans la région du COPACE. Dakar, Projet COPACE, 60p., COPACE/TECH/ 80/21 (Fr).
Jennings, M.G., 1980 The enforcement of fishery regulations. Dakar, CECAF Project, 23p. CECAF/TECH/80/22 (En).
Jennings, M.C., 1980 Mise en oeuvre de la réglementation des pêches. Dakar, Projet COPACE, 28p., COPACE/TECH/80/22 (Fr).
Jones, R., 1980 Tagging possibilities in the northern sub-region of CECAF. Dakar, CECAF Project, 65p., CECAF/TECH/80/3 (En).
Evans, E., 1980 Liberia : Fisheries Law (second interim report). Dakar, CECAF Project, 9p., CECAF/TECH/80/24 (En).
Rijavec, L., 1980 A summary of the demersal fish resources of Ghana Dakar, CECAF Project, 28p. plus tables, figures and appendices. CECAF/TECH/80/25 (En).
Shimura, T., 1980 CECAF statistical survey of Les Palmas based international trawlers. Dakar, CECAF Project, 40p., CECAF/TECH/80/26 (En).
Shimura, T., 1980 Etude statistique sur les chalutiars internationaux basés à Las Palmas. Dakar, Projet COPACE, 41p., COPACE/TECH/80/26 (Fr).
FAO, 1980 Report on the Joint ICCAT/CECAF working group on juvenile tropical tunas. Dakar, CECAF Project, 42p., CECAF/TECH/80/27 (En).
FAO, 1980 Report on the ad hoc working group on artisanel fisheries. Dakar, CECAF Project, 26p., CECAF/TECH/80/28 (En).
FAO, 1980 Rapport du groupe de travail ad hoc sur les pêches artisanales. Dakar, Projet COPACE, 33p., COPACE/TECH/80/28 (Fr).
ISPM, 1981 Report of the Evaluation Meeting of the 1980 Cooperative Acoustic survey and the planning meeting for the 1981 Dr. Fridtjof Nansen survey in the CECAF area. Dakar, CECAF Project, 44p., CECAF/TECH/81/29 (En).
FAO, 1981 Preliminary reports of the Cooperative Acoustic Survey. Dakar, CECAF Project, 166p., CECAF/TECH/81/30 (En).
FAO, 1981 Contributions soviétiques à l'évaluation des ressources halieutiques dans la région du COPACE. Dakar, Projet COPACE, 84p., COPACE/TECH/81/31 (Fr).
Watanabe, K., 1981 Fish landings and trade in the Republic of Cape Verde. Dakar, CECAF Project, 35p., CECAF/TECH/81/32 (En).
Nyanteng, V.K., 1981 Trends in fish prices and implications for the development of the Ghanaian industry. Dakar, CECAF Project, 25p., CECAF/TECH/81/33 (En).
Shimura, T., 1981 Statistical survey of Les Palmas based international trawlers for 1980. Dakar, CECAF Project, 59p., CECAF/TECH/81/34 (En).
Shimura, T., 1982 Etude statistique, pour l'année 1980, sur les chalutiers internationaux basés à Las Palmas. Dakar, Projet COPACE, 58p., COPACE/TECH/81/34 (Fr).
FAO, 1981 Report on the Consultation on Monitoring, Control and Surveillance, Freetown, 30 June-3 July 1981. Dakar, CECAF Project, 30p., CECAF/TECH/81/35 (En).
FAO, 1981 Rapport de la Consultation sur le Suivi, le Contrôle et la Surveillance. Freetown, 30 juin-3 juiliet 1981. Dakar, Projet COPACE, 31p., COPACE/TECH/ 81/35 (Fr).
Kepetsky, J.M., 1981 The artisenal fisheries of coastal lagoons and estuaries in the CECAF region : their importance relative to other fisheries and some considerations for their management and development. Dakar, CECAF Project, 35p., CECAF/TECH/81/36 (En).
Kapetsky, J.M., 1981 Pêche artisanale en lagunes côtières et estuaires dans le région COPACE : sa place dans le secteur des pêches et quelques reflexions sur son aménagement et son développement. Dakar, Projet COPACE, 32p., COPACE/TECH/ 81/36 (Fr).
Caddy, J.F., 1981 Some factors relevant to management of cephalopod resources off West Africa. Dakar, CECAF Project: 46p., CECAF/TECH/81/37 (En).
Caddy, J.F.,1981 Quelques caractéristiques de l'aménagement des stocks de céphslopodes au large de l'Afrique de l'Ouest. Dakar, Projet COPACE, 33p., COPACE/TECH/ 81/37 (Fr).
Jarrold, R.M. and G.V. Everett, 1981 Some observations on formulation of alternative strategies for development of marine fisheries. Dakar, CECAF Project, 53p., CECAF/TECH/81/38 (En).
Jarrold, R.M. et G.V. Everett, 1982 Quelques observations sur la formation des strategies alternatives pour le développement des pêches maritimes. Dakar: Projet COPACE, 56p., COPACE/TECH/81/38 (Fr).
FAO, 1982 Report of the Consultation on artisanal fisheries in the CECAF region. Dakar, 1–4 December 1981. Dakar, CECAF Project, 29p., CECAF/TECH/82/39 (Fr).
FAO, 1982 Rapport de la consultation sur la pêche artisanale dans la région du COPACE. Dakar, Projet COPACE, 26p., COPACE/TECH/82/39 (Fr).
FAO, 1982 Report of the ad hoc Working Group on Sardinella off the coast of Ivory Coast/ Ghana/Togo. Dakar, CECAF Project, 72p., CECAF/TECH/82/40 (En).
FAO, 1982 Rapport du Groupe de travail ad hoc sur la sardinella des côtes de Côte d'Ivoir d'Ivoire/Ghana/Togo. Dakar, Projet COPACE, 75p., COPACE/TECH/82/40 (Fr).
Griffin, W.L., Grant, W.E. and R. Shotton, 1982 A bioeconomic analysis of a CECAF shrimp fishery, and Operations and Background Data. Dakar, CECAF Project, 78p., CECAF/TECH/82/41 (En).
Griffin, W.L., Grant, W.E. et R. Shotton, 1982 Une analyse bio-économique de la pêche à la crevette dans le COPACE, et données d'exploitation et historiques. Dakar, Projet COPACE, 90p., COPACE/TECH/82/41 (Fr).
Everett, G.V. Ansa-Emmim, M., Robinson, M.A. and F.C. Roest, 1982 Recent trends in CECAF fisheries. Dakar, CECAF Project, 95p., CECAF/TECH/82/42 (En).
Everett, G.V., Ansa-Emmim, M., Robinson, M.A. et F.C. Roest, 1982 Les tendances récentes des pêches du COPACE. Dakar, Project COPACE, 75p., COPACE/TECH/82/42 (Fr).
Shimura, T., 1982 Statistical survey of Las Palmas based international trawlers for 1981. Dakar, CECAF Project, 46p., CECAF/TECH/82/43 (En).
Bellemans, M., 1982 Common names of West African marine animals/Noms usuels des animaux marins de l'Ouest Africain. Dakar, CECAF Project, pag.var., CECAF/TECH/ 82/44.
Gréboval, D., 1982 Analyse bioéconomique des principales pôcheries démersales dans la région nord COPACE. Dakar, Projet COPACE, 118p., COPACE/TECH/82/45 (Fr).
Gréboval, D., 1982 Bioeconomic analysis of the principal demersal fisheries in the northern zone of CECAF. Dakar, CECAF Project, 108p., CECAF/TECH/82/45 (En).
Allain, R.J., 1982 Study of aerial fisheries surveillance as part of MCS system in certain CECAF Coastal States. Dakar, CECAF Project, 54p., CECAF/TECH/82/46 (En).
Allain, R.J., 1982 Etude de la surveillance aérienne des pêches comme élément du système SCS dans certains états côtiers de l'Afrique occidentale de la région du COPACE. Dakar, Projet COPACE, 86p., COPACE/TECH/82/46 (Fr).
Lawson, R., and M.A. Robinson, 1983 The needs and possibilities for the management of canoe fisheries in the CECAF Region. Dakar, CECAF Project, 23p., CECAF/TECH/ 83/47 (En).
FAO, 1983 Report of the ad hoc working group on pelagic stocks of the Sherbro Statistical division (34.3.3). Dakar, CECAF Project, 162p., CECAF/TECH/83/48 (En).
Shimura, T., 1983 Statistical survey of Las Palmas based international trawlers for 1982 Dakar, CECAF Project, 46p., CECAF/TECH/83/49 (En).
FAO, 1983 Report of the Workshop on fishing vessels and gear/Rapport de l'atelier de travail sur les bateaux et engins de pêche. Dakar, CECAF Project/Projet COPACE. 16 p., CECAF/TECH/83/50, and/et Supplement to the report of the Workshop on fishing vessels and gear/Supplément au rapport de l'atelier sur les bateaux et engins de pêche, 183 p.
FAO, 1983 Rapport du Groupe de travail sur les statistiques de prises et d'effort de la pêche artisanale, Dakar, 24–27 Mai 1983. Dakar, Projet COPACE, 56 p., COPACE/TECH/83/51 (Fr).
FAO, 1984 Report of the seminar on frame and catch assessment surveys for CECAF coastal countries. Dakar, CECAF Project, 144 p., CECAF/TECH/84/52 (En)
Shimura, T., 1984 Statistical survey of Las Palmas based international trawlers for 1983. Dakar, CECAF Project, 44 p., CECAF/TECH/84/53 (En)
FAO, 1984 Report of the FAO/UNCTC/CECAF regional training workshop on joint ventures and other commercial arrangements in fisheries/Rapport de l'atelier régional FAO/UNCTC/COPACE de formation sur les armements communs et autres contrats d'association de pêche commerciale. Dakar, CECAF Project, 28 p., CECAF/TECH/84/54 (En/Fr)
Robinson, M.A. and A. Crispoldi, 1984 Estimated trade and consumption of fish and fishery products in the CECAF area. Dakar, CECAF Project, 22 p., CECAF/TECH/ 84/55 (En)
Robinson, M.A. et A. Crispoldi, 1984 Estimations de commercialisation et consommation de poissons et produits de la pêche dans la région du COPACE. Dakar, Projet COPACE, 23 p., COPACE/TECH/84/55 (Fr)
Shotton, R., 1984 Preliminary assessment of the Northwest African small pelagicsfishery. Dakar, CECAF Project, 118 p., CECAF/TECH/84/56 (Fr)
Epler, S., 1984 Les pêches de la Guinée Bissau. Dakar, Projet COPACE, 59 p., COPACE/TECH/ 84/57 (Fr)
Everett, G.V., 1984 An overview of current development trends in the CECAF Region. Dakar, CECAF Project, 53 p., CECAF/TECH/84/58 (En)
Everett, G.V., 1984 Tendances actuelles du développement dans la région du COPACE. Dakar, Projet COPACE, 62 p., COPACE/TECH/84/58 (Fr)
FAO, 1984 Recherches soviétiques sur les chinchards et les maquereaux de la zone nord du COPACE. Dakar, Projet COPACE, 111 p., COPACE/TECH/84/59 (Fr)
FAO, 1984 Ethmalosa fimbriata en Afrique Occidentale. Dakar, Projet COPACE, 89 p., COPACE/TECH/84/60 (Fr)
FAO, 1984 National management and research reports. Dakar, CECAF Project, 302 p., CECAF/TECH/84/61 (En/Fr)
FAO, 1984 Assessments of the stocks of Sparidae and Trachurus trachurus off Morocco. Dakar, CECAF Project, 170 p., CECAF/TECH/84/62 (En)
Koranteng, K.A., 1984 A trawling survey off Ghana. Dakar, CECAF Project, 72 p., CECAF/TECH/ 84/63 (En)
Van der Knaap, M., 1985 Preliminary annotated inventory of the scientific expeditions and resources surveys carried out in the CECAF Area/Inventaire préliminaire annoté des expéditions scientifiques et campagnes de prospection effectuées dans la zone du COPACE. Dakar, Projet COPACE, 145 p., CECAF/TECH/85/64 (En/Fr)
FAO, 1985 Report of the second ad hoc Working Group on pelagic stocks of the Sherbro Statistical Division 34.3.3. 85 p., CECAF/TECH/85/65 (En)
Roest, F.C. and A.B. Frielink, 1985 Statistical survey of Las Palmas based international trawlers for 1984. Dakar, CECAF Project, 26 p., CECAF/TECH/85/86 (En)
FAO, 1986 Report of the training course on fisheries management and development planning for the CECAF region. Dakar, CECAF Programme, 13 p., CECAF/TECH/86/67 (En)
FAO, 1986 FAO/CECAF/IDAF Workshop on Small-scale fisheries development and management. Dakar, CECAF Programme, 25 p., CECAF/TECH/86/68 (En)