by
A. Fonteneau
The description of tuna fisheries active in the Gulf of Guinea (chapter 4) clearly shows the diversity of fishing gears used and sizes caught by each of them. Fisheries are most often multispecies fisheries where each gear simultaneously exploits several species to different degrees. These fisheries exploit migrating stocks where a species lives at different stages of its existence in different geographic sectors and at different depths (chapter 5). This problem is particularly important in a regional study: the eastern intertropical Atlantic zone, consisting of an entity where various fisheries concentrate, does not actually correspond to stocks which are independent of stocks situated in the north, central and south Atlantic (with perhaps the exception of small tuna). It is therefore often necessary to analyze the state of stocks at a geographic scale larger than that of the study zone, a scale that will depend on the structure of the exploited stocks and migrations of the species.
It will also be necessary, as much for the assessment the state of stocks as in the study of their management perspectives, to analyze problems from a plurispecific viewpoint. This will be especially important at the level of changes in the target species of various fleets; a “nominal” fishing effort (defined, for example, by the transport capacity of a fleet), will be able, depending on fishing strategy, to exert a highly variable “effective” fishing effort (hence, fishing mortality) on a given species, according to variations in abundance or value of the species, for example. It will also be fundamental for scientists to attempt to estimate probable consequences of envisaged management actions, not only on the “target” species of the management proposal, but also on the principal by-catch species. It is in these various ways that scientists working within ICCAT have developed their research during recent years.
The production model was first proposed in the fisheries management perspective by Schaeffer in 1954. Schaeffer (1957) adapts the interaction described by Lotka (1923) for an autoregulated ecological system between predator and prey. In the production model proposed by Schaeffer, fishery catch rates decrease linearly as fishing effort increases. Production increases until reaching a maximum, the maximum sustainable yield, then decreases toward zero for increasing fishing efforts (figure 8.1).

Figure 8.1 Production model: equilibrium relations between (a) CPUE and effort and (b) catch and effort according to 3 values of the parameter m: 0 hyperbolic model, 1 exponential model (Fox), 2 Schaeffer model.
Pella and Tomlinson (1969) generalize this model by introducing a parameter m that modulates the form of the production curve, specifically for low biomass and high fishing efforts. The 3 principal types of curves of the general production model are those with:
In practice, it is reported that tuna generally follow production curves of a type with m near 1 (Fox model) although very often the initial phases of development of fisheries are well described by the model m = 0.
The biological significance of the parameter “m” has been the object of numerous debates without any definitive conclusion. The most important point is that there is a strong analogy between m = 1 models and theoretical yield per recruit curves. This clearly suggests that the m = 1 model corresponds implicitly, among other factors, to a certain stability of recruitment (particularly compared with the model m = 2, which implicitly assumes that recruitment is altered by fishing). Another very plausible interpretation of the Fox model (complementary to the preceding) is that only a fraction of the total biomass is exploited by the fisheries; the existence of a cryptic fraction of biomass, inaccessible to fisheries geographically or at depth, is very likely for most tuna.
In practice, the production model is often applied with 3 different values of the parameter m, for the value of m, determined by iterative searching, that gives the best agreement between the model and the observed catch, effort and catch per unit of effort. The “best m” must however be interpreted with care as it does not necessarily have biological significance and is modified in general when the fishery changes.
The production curve will have a maximum, the maximum sustainable yield (or MSY) that will be obtained for a fishing effort classically called “optimum” effort or “fopt”. In practice, one will very rarely have situations of equilibrium in fisheries, because fishing mortality changes constantly according to external factors, socio-economical for example. In these conditions, one will try to estimate the equilibrium production curve of stock by using the Gulland method (1961). This method relies on the concept that age classes present in a stock exploited by a fishery have a biomass level that is a result of previous fishing effort. The Gulland method established the relation between abundance during one year with the mean effort exerted during the k previous years, the parameter k depending on the duration of the exploitation phase.
Knowledge of the number of individuals of a cohort captured by one or several fisheries as a function of time, permits, by the use of cohort analysis, the estimation of changes in mortality and the strength of the cohort since its recruitment into the fishery through its extinction (real or apparent), as well as the age specific rate of fishing mortality.
In practice, diverse methods of calculation have been proposed by several authors under different names. The usual method of calculation employed by ICATT scientists is the method proposed by Tomlinson (1970), which is no more than a generalization of Murphy's (1965) method. The catch (Ci) during each interval is a function of the cohort strength (Ni) and the fishing mortality (Fi) exerted during the interval. If the natural mortality and the catches at age are known during the whole exploitation of the cohort, it is sufficient to know any one of the Ni or the Fi to determine gradually, by iteration of Fi, all elements of the vectors of fishing mortality and underlying populations.
Cohort analyses on tropical tunas are generally conducted on a quarterly time base, rather than annually, because the relatively short life span of these species and because of the highly seasonal the catches at age.
The structural models of the population dynamics of oceanic fish are built on the quantitative analysis of the evolution of the cohorts and of the weighted catches attained by the fisheries on these individuals.
Thus each cohort, composed of No individuals at the age of recruitment into the fishery, will see its numbers decline throughout its existence due to natural mortality (even in the absence of fishing). The activity of a fishery accentuates the decline in cohort strength by removing some number of fishing which constitutes the catch. Simultaneously the weight of each individual increases according to the growth rate of the species. The total biomass of the cohort increases or decreases according to the balance between the growth in weight of each individual and the decline in numbers of the cohort.
A stock will usually be composed of several cohorts. If this stock is in a state of equilibrium (recruitment, natural and fishing mortality, and growth stable), the annual production of the whole stock will be equal to the production of a single cohort during its entire life. The annual production of a stock (or the production obtained from N recruits) will thus be directly proportional to recruitment for a given pattern of exploitation if the biological parameters (growth, mortality, …) are identical.
However the relative consequences of all changes in fishing pattern, for example modification of the size at first capture or of the fishing mortality, will be the same whatever the level of recruitment. In other words, the patterns of exploitation seeking to maximize the production of N recruits will have the same relative effects independent of the level of recruitment. Because of this fact, studies of fishing strategies will frequently be conducted in terms of yield per recruit.
Several methods allow the calculation of yield per recruit: Thompson and Bell, Beverton and Holt, and Ricker. The last is the most flexible method and most frequently used for tunas; it is particularly suitable when the growth and age specific mortality parameters are complex, as is often the case with tunas.

Figure 8.2 Stock - recruitment relationship according to the Beverton and Holt model and the Ricker model (after Ricker, 1975).
The Ricker method (Ricker, 1958) is based on the discretization of the growth and mortality parameters. The development of a cohort is thus divided into intervals of time. Within each interval of time, the following are applied simultaneously:
The Ricker equation allows determination of the catch within each interval, and the yield from the cohort is the sum of catches during all time intervals in the exploitation period.
From a practical point of view, calculation of the Ricker model is generally made by first calculating the yield per recruit corresponding to the basic G, M and F vectors estimated from active fisheries. Various multiplicative factors can then be applied to the initial F vector in order to determine the consequences on yield per recruit of hypothetical modifications of the F vector. For each multiplicative factor of the F vector, it is also possible to vary the size at first capture by imposing Fi = 0 up to an arbitrary age of first capture. These calculations permit isopleths of equilibrium yield per recruit to be obtained as a function of a reference situation in the fishery. The results of these calculations are specifically useful for determining possible consequences of eventual changes in the size of first capture.
The conclusions of yield per recruit analysis are valid without regard to recruitment levels. However the level of recruitment conditions the future of stocks and fisheries. It is therefore necessary to permanently monitor recruitment of highly exploited stocks and to watch that recruitment do not collapse as a result of low levels of the reproductive stock or of unfavorable ecological conditions. Different mathematical models allow the description of the relation between reproductive stock and recruitment. The most classic are the models of Beverton and Holt and those of Ricker.
The curves corresponding to these two families are given in figure 8.2. Depending on the type of curve applied to the stock, the decline of the reproductive stock may consequently have either a temporary improvement in recruitment (Ricker type), due to the existence of predation by parents of their larvae, or a stable but reduced recruitment (Beverton and Holt type).
These models are analytical models, assuming various known parameters of the stocks and the fisheries that exploit them. There is potentially an infinite number of these models which are made “to measure” for studied stocks. The purpose of most is to make predictions on the future of stocks and fisheries, particularly in situations of disequilibrium whether they are natural (for example, effect of a large year class on fisheries), or well linked to the management of fisheries (for example, effects of minimum size regulation, of a prohibited fishing zone etc., …).
The first proposed models on tropical tuna were monospecific, the most recent integrate the major species. Simulation models permit the exploration of the consequences of complex stock structure on fisheries exploitation, thanks to the introduction of “box” models, between which fractions of the underlying exploited populations are moving. From a mathematical point of view, most simulation models used on tropical Atlantic tuna have Thompson and Bell's (1934) production equations in common, and mainly use results of cohort analyses, specifically total recruits, and catchabilities by age and gear (as well as natural mortalities by age implicit in cohort analyses).
Species composition of catch is generally based either or commercial declarations, or on those of fishing masters in their log books. However observations by scientists during landing have revealed that these estimations contain serious potential biases, especially when small tuna are frequently called “skipjack” in log books, while these catches actually contain a mixture of yellowfin, skipjack and bigeye in variable proportions. The problem is especially critical for small bigeye that systematically tend to be confused with yellowfin, because of the great resemblance of these two species at small sizes (Fonteneau, 1975). It is therefore indispensable to carry out an adjustment of statistical data contained in log books in order to attempt to correct these biases. For this purpose, a system of random sampling of all species has been established since 1979 in the ports of Abidjan and Dakar which covers all of the purse seine fleets (Diour, 1985; Bard and Vendeville, 1986). This procedure allows the estimation of the actual species composition in each sample where dates and catch locations are known.
A procedure described by Cayré (1984) was then established which permits the correction of specific catch estimations by size categories given in log books. This procedure has been applied since 1979, the date when species sampling started. The species composition of the period previous to 1979 can only be estimated on a statistical base, from biases demonstrated during the period 1979–1983.
These corrections applied to FIS and Spanish purse seine fleets have introduced important modifications to the proportions of principal species, as estimations for FIS purse seiners show (in percentage of total annual catch) (1) log books and (2) samples:
| 1979 | 1980 | 1981 | 1982 | ||
| Yellowfin | (1) | 73.3 | 66.7 | 61.4 | 55.0 |
| (2) | 68.9 | 66.2 | 63.3 | 57.7 | |
| Skipjack | (1) | 24.6 | 37.7 | 37.6 | 42.9 |
| (2) | 23.2 | 28.9 | 29.7 | 35.4 | |
| Bigeye | (1) | 2.0 | 1.6 | 0.9 | 2.1 |
| (2) | 7.9 | 4.9 | 7.0 | 6.9 | |
The effects of these corrections are significant for skipjack, where catch is generally reduced, and especially for bigeye where estimated catches are always very greatly increased. This will have a serious impact as far as analysis of the state of stocks as it occurs most often for very small bigeye.
Table 8.1 Catch, effort and CPUE used in fitting the general production model for yellowfin in the eastern Atlantic (Catch = catch estimated during SCRS, 1985; CPUE = CPUE of FIS purse seiners from 1969 to 1978 and FIS and Spanish purse seiners combined from 1979 to 1984).
| YEAR | CATCH | CPUE (t/d) | FISHING EFFORT |
|---|---|---|---|
| 1969 | 80.40 | 7.78 | 10334 |
| 1970 | 60.00 | 2.57 | 23346 |
| 1971 | 57.10 | 2.86 | 19965 |
| 1972 | 77.70 | 4.34 | 17903 |
| 1973 | 79.20 | 4.30 | 18418 |
| 1974 | 91.80 | 3.68 | 24946 |
| 1975 | 107.70 | 4.79 | 22484 |
| 1976 | 109.10 | 3.65 | 29890 |
| 1977 | 115.30 | 4.46 | 25852 |
| 1978 | 115.40 | 2.82 | 40922 |
| 1979 | 111.60 | 2.87 | 38885 |
| 1980 | 112.30 | 2.30 | 48826 |
| 1981 | 134.70 | 2.37 | 56835 |
| 1982 | 134.20 | 2.19 | 61279 |
| 1983 | 118.50 | 2.01 | 58955 |
| 1984 | 70.20 | 1.56 | 45000 |
(a) History
The production model has often been used and with certain success in analyzing the state of yellowfin stock in the Eastern Pacific as well as in the Eastern Atlantic. The first analysis in the Atlantic, done in 1972 during the Abidjan (CICTA, 1972) working group, has furnished estimations of maximum sustainable yield at around 45,000 tonnes for surface fishing, fishing effort being judged above “optimum” effort since 1969,.
These first estimations have been shown to be grossly false for various causes: in 1971, the surface fishery only exploited the very reduced coastal fishing zone in relation to stock presently exploited; moreover, only small yellowfin were caught, while since then all sizes, including large individuals, are caught by purse seiners exploiting the offshore zones. Finally, it turns out that in the analysis by the production model in 1972, the low yields observed for high effort in 1970 and 1971 were due, not to an actual decrease in stock resulting from increase in fishing effort, but mostly from the passage of a very weak age class, the class 1968, through the fishery. The general model has since been applied each year to Eastern Atlantic yellowfin. A critical examination of results reveal:
between 1972 and 1982 a regular increase in estimates of MSY and optimum effort and the existence good statistical agreement between data and the hyperbolic model m = 0 during this period of;
a stability of MSY and Fopt estimations obtained since 1982 and the existence of a better agreement of data with the exponential model m = 1.0.
(b) the current model, basic data (table 8.1)
The general model is applied in the Atlantic zone to the east of 30oE (catches from the study zone constitute the bulk of Eastern Atlantic catches, because of the absence of large yellowfin fisheries to the north of 25o N and to the south of 20oS). These catches were made by longline and surface fisheries. Fishing effort is a theoretical effective fishing effort on yellowfin, estimated by dividing total annual catches by the catch per unit effort of surface fleets assumed to be representative of yellowfin stock abundance. The historically accepted CPUE is the one proposed by Fonteneau (1981) for FIS purse seiners, modified by Fonteneau (1986) in order to incorporate Spanish purse seiners from 1980. This CPUE index is a fifteen day average of CPUE (in catch per standard searching time) per one degree square. All squares in which significant fishing effort was exerted were used in this calculation. For this purpose a threshold of 12 hours per 1 degree square per fifteen day period.

Figure 8.3 General production model fit to catch and effort of yellowfin in the eastern Atlantic (k = 3, m = 1.0).
(c) the current model: estimation of the maximum sustainable yield and optimum effort
The present results are those adopted by the SCRS during its annual meeting in November 1985. The relation between observed catch and effort as well as those of the model fit to these values are given in figure 8.3. There is generally a good agreement between the model and fisheries data, at least until 1983. Since 1984, the strong decline in fishing effort, due to the departure of part of the purse seine fleet to the Indian Ocean, introduces a large modification to the fishery. The maximum sustainable yield is estimated between 113 and 118,000 tonnes (for a number of age classes, k, contributing to catch equal to 3). Fishing effort during 1981 to 1983 would have been above optimum effort. In 1984 and 1985 very reduced effort does not alter conclusions of the model; this reduced effort seems to lead, according to the general model, to an increase in abundance expressed by increased CPUE since 1985. In the equilibrium situation, catch must join the production curve of the model at the level of average effort exercised during the most recent years. The general model thus seems to apply well to Eastern Atlantic yellowfin exploitation. A certain number of reservations must however be kept in mind:

Figure 8.4 Changes in yellowfin maximum sustainable yield (MSY) and optimum effort (Fopt) calculated on the current statistical series of catch and effort 1962 to 1984, according to the duration of the adjustment period.
the model is only applied in fishing conditions (gears, zones) similar to those of current fisheries. The importance of this can be clearly seen by comparing estimations of MSY obtained from 1972 to 1980 with the development of large purse seiners and the extension of fishing zones. In reanalyzing present statistical data by different periods of time, the estimated MSY has been regularly increasing (figure 8.4). The MSY proves to be impossible to estimate as long as the effort exerted has not really been above the effort corresponding to the MSY and the whole stock has yet not been exploited:
the parameter “m” remains delicate to interpret and choose: predictions of potential catches and optimal efforts for increased effort calculated with m = 2, 1 or 0 are very divergent (pessimistic with m = 2, optimistic with m = 0);
the general model does not really take into count variations in stock productivity as a function of the gears that exploit it, sizes caught and the fraction of stock actually exploited. These factors are probably significant for yellowfin, when the exploitation may be done by pole and line boats (average weight, 3 kg), by longliners (average weight, 30 kg), or by purse seiners catching all sizes of yellowfin (gear for which the theoretical yields per recruit are very different and in a fishing zone in regular expansion).
The first estimations of yellowfin fishing mortality in the Gulf of Guinea were based on estimations of total mortality calculated from decrease in catches per unit of effort of year classes exploited by surface gears. Total apparent mortality rates thus calculated for young yellowfin during 1969 – 71 are high: estimations of the average Z were equal to 1.8 (CICTA, 1972) and 2.2 (Pianet, 1971).
If a reasonable estimate of M is subtracted from this value (0.6 or 0.8), an F between 1.0 and 1.2 is obtained under the hypothesis that Z' = F + M. It will be seen by cohort analysis that these values of F were very overestimated; the mean rate of fishing mortality, F, from ages 1 to 3 being at this time close to 0.16 (for M = 0.6) and in no case above 0.2 or 0.3 (because of the convergence of the cohort analyses). The first estimates of Z' near 1.8 include an important component linked to the fall in catchability of young fish in the fishery, linked at the time to fishing method (pole and line boats and small purse seiners uniquely), and to the exclusively coastal fishing zone, while older yellowfin migrate toward the offshore zones.

Figure 8.5 Mean fishing mortality rate by age exerted on yellowfin during 4 characteristic periods of the fisheries: 1965 to 1969, 1970 to 1974, 1975 to 1979, and 1980 to 1983.
Cohort analysis has enabled better estimation of age specific fishing mortality rates.
The first cohort analyses (Fonteneau and Lenarz, 1974) carried out on yellowfin have furnished estimations an order of magnitude better than those calculated from the decline of CPUE by age, but still overestimated in relation to present estimates. The mean F for ages 2 and 3 were estimated for (M = 0.6) between 0.3 and 0.5, while the present estimation of F of this period is under 0.2. This overestimation of fishing mortality by the first analyses are due principally to the fact that, at that time, the scientists considered that yellowfin stock was close to full exploitation. This was perhaps correct as far as coastal fishing zones are concerned, but has proved false for the Eastern Atlantic because of expansion toward the offshore areas of since 1975, and from the resulting large increase in catch.
The cohort analyses currently adopted by ICCAT scientists are those proposed by Fonteneau (1984). This document will be referred to for a critical examination of numerous basic hypotheses related to this analysis. The principal hypotheses are:
the existence of a slow growth phase up to 70 cm,
the stock underwent a natural mortality of 0.8 during the first two years, (out of 100 individuals at the beginning of the year, 55 died a natural death), then a natural mortality of 0.6 (out of 100 individuals at the beginning of a year, 45 died naturally).
the CPUE of FIS purse seiners measures biomass trends without major bias.
The mean fishing mortality rate by age for 3 periods characteristic of change in the fisheries 1963 to 1965, 1971 to 1974 and 1979 to 1982 is given in table 8.2 and in figure 8.5. This figure demonstrates the change in patterns of stock exploitation by fisheries and explains largely the problems of adjustment of the production model. These numbers show that the fishing mortality exercised on young yellowfin increased in relative moderate proportion between the period 1971–1974 and the period 1979–1982: around 67% for ages 0 and 1, stability of fishing mortality for ages 2 and 3. On the other hand, the fishing mortality on adults more than 4 years old increased in large proportions and is multiplied by 3.1 from one period to the other.
Table 8.2 Mean fishing mortality rate exerted on yellowfin in the eastern Atlantic for 3 periods.
| Mean annual F | |||
| Period | 1963 – 65 | 1971 – 74 | 1979 – 82 |
| Age | |||
| 0 | .012 | .117 | .201 |
| 1 | .049 | .177 | .290 |
| 2 | .144 | .169 | .153 |
| 3 | .071 | .203 | .254 |
| 4 | .169 | .254 | .695 |
| 5+ | 0.076 | .259 | .901 |
One of the prominent results of cohort analysis is that fishing mortality exerted on young yellowfin was relatively moderate compared to that for adults: F between 5 months and 2 years close to 0.24, for an average annual catch of around 6 million individuals of less than 2 years old.
Another important result of the cohort analysis is the estimation it furnishes for underlying populations by age, therefore the biomass of stock. This result is given in figure 8.7. This figure shows the slow and regular decrease of “theoretical” biomass between 1955 and 1982. This trend is comparable to that of the CPUE of purse seiners. The large observed drop in the CPUE of longliners from their beginning (1956 to 1965) is contradictory to the moderate fall of the biomass calculated for adult stock (Fonteneau, 1985; figure 8.7).
One of the interesting parameters to calculate from cohort analysis results is the fishing mortality as a function of age by gear. The average F by age and gear from 1979 to 1982 as well as those of the two historical periods, 1962–1965 and 1971–1974 was calculated from the data of Fonteneau (1984). The results of these calculations are given in table 8.3 and in figure 8.6. The comparison of factors F by gear during these three periods show:
a relative stability of F exercised by Tema and FIS pole and line boats.
an increase in F of purse seiners, especially on older individuals (because of the increase in size of purse seiners and the extension of the fishing zones toward the high seas) and on the younger individual (less than 1.5 years), mostly during the recent period.
a strong reduction of mortalities by longline fishing: the F of longliners is in a strong regular decline over the 3 periods.

Figure 8.6 Mean fishing mortality rate by age and gear exerted on yellowfin during 3 periods of 3 characteristic years (1962 to 1964, 1972 to 1974, and 1979 to 1982) for baitboats (a), Tema baitboats (b), purse seiners (c), and longliners (d).

Figure 8.7 Changes in the biomass of the adult and total yellowfin stock in the eastern Atlantic calculated by cohort analysis.
Table 8.3 Mean F estimated for yellowfin by age and gear during 3 periods of the fishery (first: 63–64; 2:72–74; 3: 79–82) (calculated by the Fonteneau (1984) method).
| TEMA BAITBOATS | FIS TYPE BAITBOATS | SEINERS | LONGLINERS | |||||||||
| PERIOD AGE | 1 | 2 | 3 | 1 | 2 | 3 | 1 | 2 | 3 | 1 | 2 | 3 |
| 0 | .012 | .092 | .039 | 0 | .001 | .005 | 0 | .024 | .157 | 0 | 0 | 0 |
| 1 | .010 | .057 | .046 | .037 | .039 | .033 | .002 | .081 | .211 | 0 | 0 | 0 |
| 2 | .003 | .014 | .011 | .127 | .042 | .018 | .009 | .108 | .122 | .005 | .005 | .002 |
| 3 | .001 | .001 | .001 | .020 | .013 | .009 | .015 | .142 | .221 | .035 | .047 | .023 |
| 4 | 0 | 0 | 0 | 0 | .002 | .003 | .008 | .156 | .638 | .101 | .096 | .054 |
| 5+ | 0 | 0 | 0 | 0 | .002 | .005 | .006 | .169 | .820 | .070 | .088 | .076 |
The first analyses of yield per recruit on yellowfin from the Gulf of Guinea were done by Lenarz (1971), by Joseph and Tomlinson (CICTA 1972), then by Lenarz et al., 1974. These first works are of only “historical” interest as they assume a stock close to complete exploitation and high fishing mortality, hypotheses that were contradicted by increases in catch during the following ten years. Consequently, only recent yield per recruit analyses, after the 80's, will therefore be considered. The isopleths of production by recruit calculated for the years 1970 and 1980 (figure 8.8) that are characteristic of the two periods will be retained, for example in Fonteneau (1984).

Figure 8.8 Yield per recruit isopleths calculated by the Ricker model for eastern Atlantic yellowfin for the years 1970 (a) and 1980 (b).
The 1970 fishery exploits yellowfin with an F average equal to 0.15 and a relatively constant age specific fishing mortality. In this fishery there is almost no potential advantage to increase age at first catch (+2% for tc = 2.0 years). Maximum production is under 100,000 t for fishing mortalities multiplied by about 4.
The 1980 fishery exploits stock with a slightly increased F for young fish (average F = 0.24) and strongly increased for the old fish (average F = 0.49). In this fishery, there is some potential advantage expected from an increase in size at first catch: 19 % increase for an age at first capture moved to 2.5 years. In this model, yield per recruit as a function of F is close to its maximum and can only be increased to 4% by multiplying the vector of F by age by a factor 1.4 (this stock was close to complete exploitation).
These conclusions represent orders of “relative” size, probably quite reliable, of the changes of the yield of the yellowfin stock per recruit. These results show that the size limit regulation of 3.2 kg adopted by ICCAT in 1973, being based on the first analyses of yield per recruit, was probably not justified in terms of yield per recruit, because fishing mortality was much lower than estimated at that time. In the recent fishery, the analyses of yield per recruit indicate, on the other hand, the potential theoretical use of this measurement.
Theoretical yield per recruit of various gears are also historically calculated (Fonteneau, 1981) in order to compare their theoretical relative performance. The Ricker model applied to vectors of fishing mortality in figure 8.6 permits the estimation of yield per recruit. These theoretical results are represented in figure 8.9

Figure 8.9 Theoretical yellowfin yield per recruit for FIS baitboats, Tema baitboats, purse seiners, and longliners each operating separately and without limit on the size of first capture during two periods of the fishery: 1971 to 1974 and 1979 to 1982.
The mediocre potential performances of pole and line boats is notable where, if they fished alone, the maximum theoretical production would be under 80,000 t (FIS pole and line boats) or 50,000 t (Tema pole and line boats), for fishing efforts well over observed efforts. Purse seiners have a potential yield per recruit between 95,000 t (historical fishery) and 120,000 t (present fishery). Longliners have the best theoretical production surpassing 160,000 t. This result is, of course, in contradiction with mediocre effective performances of this fishery that is observed for increased effort. This result seems due to the decline of catchability for longliners, which is demonstrated by results of cohort analysis, but remains difficult to interpret (heterogeneity of deep and surface stocks, saturation of fishing effort at levels of high efforts, an inaptitude of longliners to exploit large concentrations of yellowfin).
Recruitment indexes have been calculated for yellowfin according to various methods:
Recruitment estimations obtained by these two methods are however in poor agreement (figure 8.10), without explanation for the divergence. The only elements that seem to emerge are:
This stock recruitment relationship seems to be of a Beverton and Holt type, without trend in recruitment over a wide range of reproductive stock. However, for very low values of reproductive stock, there is a risk of very rapid decrease in recruitment tending toward zero when the reproductive stock becomes null. A critical level of reproductive stocks below which the recruitment could collapse has at times been mentioned for tuna at 10% of virgin stock without support of any real observations.

Figure 8.10 Recruitment indices calculated for yellowfin (a) by cohort analysis and (b) based on quarterly CPUE by gear from ages 1 and 2 in the FIS fleet (Laurec-Fonteneau (1977) method).
Fonteneau (1981) estimates that the fecundity of yellowfin stock had been reduced to around 52% of its initial level at the beginning of the 80's in relation to virgin stock in the 50's.
The first model was introduced by Fonteneau (1975). It is a Ricker type model where various gears exploit the same stock, each gear imposing a variable age dependent fishing mortality. For various hypotheses on biological parameters (future recruitment particularly), and on those of fisheries (efforts, catchabilities, etc.…), this model permits the analysis of transient and non-equilibrium states of stocks and fisheries that are difficult to capture in the classic Ricker model.
The original model was next developed into a “box” model (Fonteneau, 1981) in which the stock is not, strictly speaking, a single unit, but divided in geographic sub-units where populations mix according to variable migration rates depending on age; the existence of various fishing gears is, of course, conserved. This model has the advantage of expressing a fundamental biologic reality, the one of tuna being a migratory species. It is however delicate to use as it requires estimations of migration rates between compartments, rates that remain at this time very hypothetical.
The last development in simulation models of the yellowfin fishery (Fonteneau, 1984) will be analyzed more in detail in paragraph 8.2.4. It is a model of the first type, i.e. exploiting a single stock without compartments and where several species are exploited simultaneously by different gear. This model has been implemented and used to estimate the potential impact on fisheries of the three principal species (yellowfin, skipjack, bigeye) of regulations prohibiting fishing in strata where juvenile yellowfin are concentrated. This model suggests that although moderate benefits can be expected for yellowfin as a consequence of these measures, these benefits will be generally nullified by larger losses of skipjack that are generally abundant with small yellowfin.

Figure 8.11 Relation between annual skipjack catch and the transport capacity of the purse seiner (a) and baitboat (b) fleets (eastern Atlantic).
The production model has only been rarely employed to analyze the status of skipjack stocks. The causes of this situation are multiple: first, effective fishing effort exercised on skipjack is very difficult to estimate (Fonteneau, 1986). Most fleets in operation on the Eastern Atlantic have, depending on year, either deliberately avoided catching skipjack, or looked for them actively. These behaviors have been highly variable depending on selling prices and abundance of skipjack and yellowfin, the characteristics of the active purse seiners, the nationality of crews, and unidentified various factors. As a result there are large variations of catch rates, without any apparent correlation between catch rates of different fleets. Fonteneau (1986a) and Cayré (1985) have however attempted to use the production model for skipjack during the recent period to calculate “effective” CPUE for skipjack.
The results of these analyses remain very hypothetical because for skipjack there is no fall in CPUE linked to an increase in effective fishing effort (contrary to other species such as yellowfin or bigeye). Examination of the relation between skipjack catch and effort of purse seiners and pole and line boats (figure 8.11) suggests that skipjack stock has not reached full exploitation, because recent increases of the carrying capacity of these two fleets are expressed, on average, by increased catches.

Figure 8.12 Mean fishing mortality rate by age exerted on skipjack in the eastern Atlantic during 2 characteristic periods: 1969 to 1972, and 1979 to 1982.
The first estimates were carried out by the ISRA-ORSTOM working group (1976). The results of this analysis are only of a historical character as there were few data available at that time. The principal analyses were made as a as a result of the international year of skipjack, a program conducted in 1981, and for which conclusions were presented during the Teneriffe Symposium (June 1983) and published by ICCAT in October 1986. Estimations of fishing mortality on skipjack result from two types of analyses: those of tagging data and those of cohort analyses. Tagging analyses were conducted by Bard (1986). They are based on the interpretation of recapture rates of tagged skipjack, principally those tagged by Japan off Ghana. After correcting various classic biases for this type of analysis, Bard (1986) concluded that the skipjack located stock off Ghana was subjected to a fishing mortality, F, equal to 0.54. The same analysis suggests that a significant fraction of the population exploited in the fishing zone emigrate outside of it, leading to a very high apparent total mortality.
Kleiber et al. (1984), analyzing the same recapture data and utilizing the model developed at the South Pacific Commission (Kleiber et al., 1983), obtained comparable estimates of fishing mortality rates, F = 0.40. These two analyses at best apply to only a the fraction of skipjack stock exploited in the central zone of the Gulf of Guinea (5o N to 5o S). It does not include the large skipjack fishing zones in the sectors of Senegal and Angola which seem relatively less exploited. On the other hand, the previous cohort analyses have also been applied to Eastern Atlantic skipjack stock. (Fonteneau, 1986; Cayré and Diouf, 1985). We will refer to works of these authors in order to know the details of hypotheses and methods of analysis of these data. At this stage we will note that cohort analyses on skipjack are made particularly difficult principally by:
Cayré and Diouf (1985) conclude that in the present Eastern Atlantic skipjack fishery there are three distinct phases (figure 8.12):

Figure 8.13 Yield per recruit isopleths calculated by the Ricker model for eastern Atlantic skipjack for 1980 (Cayré and Diouf, 1984).
The comparison of recent fishing mortalities with those exercised during the period 1969–1972 show that the increase of fishing mortalities is especially exercised on young skipjack less than 3 years old (figure 8.12). The fishing mortality calculated by cohort analysis to age of tagging (2 to 4 years) is of an order of magnitude close to those calculated from tag recaptures, although the zones are not exactly comparable.
The analyses of yield per recruit give practically identical conclusions irrespective of hypotheses on growth and natural mortality. The principal conclusion is that there is no potential benefit expected from implementing a limit on the size at first capture (figure 8.13). All size limitations under present fishing conditions (short exploited phase, large fleets, limited potential of growth in weight) could not have positive effects and could even be liable to reduce yield per recruit. The possibilities of increasing yield per recruit by increasing fishing effort seem, on the other hand, probable (moderately exploited stock). However this potential increase in yield per recruit is difficult to estimate as it is very largely a function of the adjustment procedure of cohort analyses. This potential remains largely undetermined (as in the production model …) and could in every way be modified by possible changes in the pattern (profile of age specific fishing mortality).
The variability of skipjack recruitment is particularly difficult to measure because of strong variations of catchability (interannual, seasonal and as a function of age).
Present conclusions (Cayré, 1985) are that the variability of recruitment may be moderate, from 1 to 2, and that recruitment does not show a clear trend. This is not surprising if one considers the high fecundity of the species (Cayré, 1986), the fact that the biomass is again slightly diminished by fishing, and especially that the species seems capable of reproducing in very varied geographical and seasonal conditions. Everything indicates that the stock recruitment relation of skipjack stock would be, as for yellowfin, of the Beverton and Holt type without trend in recruitment over a wide range of reproductive stocks.
Simulation methods have not been frequently employed for skipjack for various reasons:
The only applications of a skipjack simulation model are the ones described in paragraph 8.2.4. The object of the simulation proposed by Fonteneau (1984) in the working group on juvenile tropical tuna was to estimate potential consequences on skipjack stock of measures aimed at prohibiting fishing in the high density strata of juvenile yellowfin and bigeye. In this model, skipjack occur as an accessory species in a plurispecific fishery. The model shows that in recent fisheries conditions, the potential loss of skipjack resulting from the closing of yellowfin and juvenile bigeye zones is practically always higher than expected gains on the two other species. The interesting conclusion on the subject of skipjack is that any significant loss of skipjack catches at a given age, can not be compensated later. This is obviously due to the low growth potential (in weight) of the species, to its high natural mortality, and especially to migrations of the species outside of the fishing zones.
The peculiarity of the production model applied to bigeye is that the effective fishing effort is calculated exclusively from longline catch rates (Honma method, 1970). Bigeye are only caught by surface fisheries in a relatively marginal or accidental manner and one does not consider that catch per unit of effort for these fleets is a significant index of the abundance of this species.
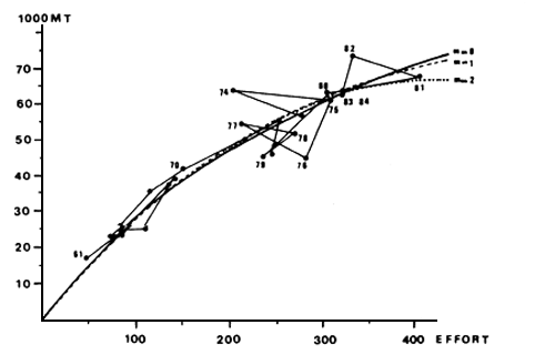
The first analyses carried out on Atlantic bigeye with the production model were presented to ICCAT in 1975 by Kume (1976) and Sakagawa (1976). The two studies concluded that for m equal to 1.0 or 2.0, the stock was close to complete exploitation. Maximum sustainable yields for m = 1.0 were estimated at 34,000 t (Kume, 1976) and 46,000 t (Sakagawa, 1976). Since then, estimates of maximum sustainable yield and optimum effort have been constantly increasing; the most recent estimation of MSY is (in 1985) 76,000 t for m = 1.0. The present estimation of MSY and optimum effort are sensitive to the value of the parameter m: the MSY is between 66,500 t for m=2.0 and 145,900 t for m=0.0 with K = 5 (figure 8.14).
This marked increase in MSY estimates, comparable to the one observed for yellowfin, merits a certain consideration. The change is due, among other factors:
to the development of longline fishing on bigeye. The fleets have diversified their fishing zones by concentrating on bigeye and in exploiting the deeper water layers (since the end of 1978) by the introduction of deep longlines. Surface fishing on young fish also developed markedly because of increased catches by purse seiners.
to statistical revisions effectuated in 1984 on surface catches of bigeye (paragraph 8.1.3.); these revisions have significantly increased estimates of bigeye catches.
The reanalysis of the relation catch-CPUE from present statistical data and in analyzing the relation by different periods show that, as for yellowfin, the MSY and Fopt estimations increased regularly as the fishery developed (figure 8.15).
This MSY increase is not as clear as for yellowfin because of the very high CPUE observed for longliners in 1974, (around 50% over those of 1973 and 1975), that distorts, by exaggerating them, the MSY estimations calculated from 1974 to 1977. If one acknowledges in 1974 a CPUE equal to the average of CPUE observed in 1973 and 1975, one obtains MSY estimations increasing regularly from 1972 to 1984; from 43,000 t in 1972 to 76,000 in 1984. (The possible causes of the high CPUE observed in 1974 have not been studied and are probably linked to a temporary increase of the catchability factor and not to a large increase of adult biomass which is impossible biologically because of the presence of several age classes).
Table 8.4 Catch, CPUE, and fishing effort on bigeye used in the general production model (data from Kume, 1986) (longline CPUE is corrected for the introduction of the deep longline).
| YEAR | TOTAL CATCH (1000 T) | CPUE LONGLINE (KG / 100H) | EFFECTIVE EFFORT |
|---|---|---|---|
| 1961 | 17000 | 36.80 | 46.20 |
| 1962 | 23100 | 29.30 | 78.90 |
| 1963 | 26000 | 30.70 | 84.70 |
| 1964 | 23500 | 28.20 | 83.30 |
| 1965 | 39200 | 27.50 | 142.50 |
| 1966 | 25000 | 23.10 | 108.30 |
| 1967 | 24700 | 28.40 | 87.10 |
| 1968 | 23000 | 31.40 | 73.30 |
| 1969 | 35400 | 30.40 | 116.40 |
| 1970 | 41500 | 27.40 | 151.50 |
| 1971 | 54900 | 21.70 | 252.80 |
| 1972 | 46300 | 19.10 | 242.50 |
| 1973 | 56300 | 20.30 | 277.10 |
| 1974 | 63500 | 31.20 | 203.50 |
| 1975 | 60600 | 19.80 | 306.10 |
| 1976 | 44600 | 15.90 | 280.80 |
| 1977 | 54100 | 25.40 | 212.70 |
| 1978 | 51500 | 19.30 | 267.40 |
| 1979 | 45100 | 19.10 | 235.60 |
| 1980 | 62600 | 20.60 | 303.70 |
| 1981 | 67000 | 16.60 | 404.60 |
| 1982 | 72900 | 22.00 | 330.70 |
| 1983 | 62200 | 19.50 | 319.30 |
| 1984 | 62200 | 19.50 | 319.30 |
These continuous changes of maximum sustainable yield must encourage scientists to be prudent and modest. Atlantic bigeye is a second good example of a stock where since 1974, scientists have repeated that the MSY is “nearly reached”, while each year increasing their MSY and Fopt estimates as a function of increases in catch and fishing effort (figure 8.15).
The only method employed to estimate fishing mortality rates has been cohort analysis. These first analyses were those done by Kume (1976) on the longline fishery for large bigeye. The first analyses concerning all fisheries are those of Marcille and Armada (1979). These authors give in fact a wide range for F at age corresponding to various hypotheses of terminal F. The most recent analyses, those of Pereira (1984), give the best present estimates of F. These are generally included in the zone of uncertainty proposed by Marcille and Armada. However, bigeye fishing statistics (especially those of surface fisheries), as well as estimations of biological parameters of the species, have improved considerably since 1976. Taking into account the fact that the fisheries have developed very significantly since these first analyses, we will retain the most recent numbers given by Pereira (1984), to which we will refer in regards to the hypotheses and methods of analysis. All of these analyses have been done on the hypothesis that natural mortality, M, is equal to 0.8 for two years. (45 survivors at the end of one year per 100 recruits) and become equal to 0.4 afterwards (67 survivors at the end of the year per 100 recruits).

Figure 8.14 The production model fit to bigeye catch and effort in the eastern Atlantic (k = 4, m = 0.1 and 2.0).

Figure 8.15 Changes in MSY and Fopt calculated for bigeye on the current statistical series of catch and effort 1961 to 1984 depending on the duration of the period of adjustment. (The CPUE of 1974 is assumed to be equal to the mean CPUE from 1973 to 1975).
Table 8.5 Mean F at age for bigeye in the Atlantic (hypothetical F prob. from Pereira, 1984).
| PERIOD | AGE (years) | F Mean | |||||||
| 0 | 1 | 2 | 3 | 4 | 5 | 6 | 7 | ||
| 1972–1975 | 0.051 | 0.074 | 0.064 | 0.104 | 0.143 | 0.208 | 0.281 | 0.248 | 0.140 |
| 1976–1979 | 0.076 | 0.102 | 0.073 | 0.104 | 0.133 | 0.200 | 0.176 | 0.144 | 0.126 |
| 1980–1983 | 0.127 | 0.200 | 0.102 | 0.173 | 0.315 | 0.332 | 0.216 | 0.140 | 0.201 |

Figure 8.16 Mean fishing mortality rate by age and gear exerted on bigeye as a function of age during 3 characteristic periods: 1972 to 1975, 1976 to 1979, and 1980 to 1983).
Figure 8.16 gives average fishing mortalities as a function of age for three periods of 4 years during recent years. These numbers are calculated from the variable recruitment estimated to be the most probable. These estimations are obtained by adjusting the theoretical biomasses of the adult stock, calculated by cohort analysis with the longline CPUE (calculated from effective effort; Honma, 1974).
The F average stayed relatively stable during the two periods 1972–1975 and 1976–1979. (F = 0.14 and F = 0.13). There is an appreciable increase of F during the recent period where the average F is equal to 0.20. In the 3 periods, the F on bigeye over 4 years old is over F for the young ones. The appearance of F at age during the recent period, 1980–1983, is characteristic with two modes: a first mode on young fish aged 0 and 1 and a second mode on adult bigeye from 4 to 5 years.
For bigeye, as for yellowfin, each gear exerts a vector of fishing mortality on bigeye characteristic of the gear. Vectors of average fishing for each gear during the periods 1969 – 1972 and 1979 – 1982 (figure 8.17) have been back calculated using data from Pereira (1984). The profile of F at age is globally very stable between the two periods and characteristic of each of the gears (exception made for fishing mortality by purse seine on young bigeye that was zero during the period 1969–1972, probably due to poor identification of small bigeye, paragraph 8.1.3.).





Figure 8.17 Mean fishing mortality rate by age and gear exerted on bigeye as a function of age by different gear: (a: FIS baitboats, b: Tema baitboats, c: Canaries and Azores baitboats, d: purse seiners, e: longliners) during the recent period, means 1969 to 1972 and 1979 to 1982 (calculated from the data of Pereira, 1984; hypothetical Fopt).

Figure 8.18 Changes in the biomass of bigeye stock in the Atlantic (adult and total stock) (recalculated from the data of Pereira, 1984; hypothetical Fopt).
![]() | ![]() |
Figure 8.19 Yield per recruit isopleths calculated by the Ricker model for Atlantic bigeye for the years 1975 (a) and 1982 (b) (from Pereira, 1984).
The biomass of bigeye stock, calculated according to the same cohort analyses, show a slow and regular decrease (figure 8.18) of total stock as well as the fraction of adults. The decrease of adult stock estimated by cohort analysis is very comparable to that of longline CPUE (contrary to yellowfin, figure 8.7).
The first analyses were done by Kume (1976), then Marcille and Armada (1979). These are only of “historical” interest, and the most recent analyses, using the best statistics and the best biological parameters (Pereira, 1984), will be used. The Ricker model has, as for yellowfin, been utilized to analyze the yield per recruit of bigeye stock.
Yield per recruit of bigeye was 2.41 kg in 1975. Maximum yield per recruit at this time was 3.18, with F at age then exerted, for fishing mortalities triple that of 1975. In the fishery at that time no benefit in yield per recruit could be expected from a limit on age at first capture (figure 8.19).
In the 1982 fishery, yield per recruit increased to 2.60 kg; the maximum production with F at age given would be 2.86kg (+10%) for mortalities by fishing increased by 80%. In this fishery a modest increase in yield per recruit of 5% is expected for an age at first capture of 2.5 years. This advantage would be increased to 14% for fishing mortalities corresponding to maximum yield per recruit (vector of fishing mortalities multiplied by 1.8).

Figure 8.20 Theoretical bigeye yield per recruit for FIS baitboats, Tema baitboats, purse seiners, Azores-Madeira-Canaries baitboats, and longliners calculated for the period 1979 to 1982 (based on the F at age in figure 8.17).
Recall that in 1979, ICCAT adopted a size limit of 3.2 kg for bigeye. This size limit had a double objective: first to improve the yield per recruit of bigeye by reducing mortality on juveniles, next to resolve the statistical problem of some false declarations whereby undersized yellowfin seemed frequently to be declared as bigeye. The second objective, to ameliorate statistics, seems to have been more or less achieved. The first objective has not, on the other hand, been reached, partly because the regulation has never been really applied, and partly because the improvement in yield per recruit that one could actually hope for would seem low.
Potential yield per recruits are very variable for different gears assumed to separately exploit stocks (figure 8.20): longliners have the best theoretical production with nearly 100,000 tonnes, followed by pole and line boats from the Canary Islands and Portugal with 85,000 tonnes. Purse seiners reach only 55,000 tonnes, pole and line boats of Tema have a potential theoretical catch under 50,000 tonnes. Although entirely potential and theoretical, these numbers doubtlessly express some differences in yield per recruit of the various gears exploiting the same stock at different ages.
No detailed analysis has been done of the variability of bigeye recruitment. The analysis of Pereira (1984) based on cohort analysis indicates recruitment with a low variability and without apparent trend. This result remains hypothetical because of uncertainties relative to the method employed, principally from the fact that catches by age of old bigeye very probably only constitute an average statistical truth, and can not measure the actual variability of catches of various ages present in the adult fishery. This is a serious problem for all species, particularly for bigeye where the duration of exploitation is estimated at 8 years. The results observed, moderate variability of recruitment and absence of notable trend, seems however very typical and characteristic of tropical tuna, at least in the present range of exploitation rates.
The first simulations of multi-gear bigeye fisheries were done by Potier and Fonteneau (1982) from results of “average” cohort analyses of the period 1976–1978. The model employed is the multi-gear and box simulation model, proposed by Fonteneau (1981) for yellowfin. The goal of these simulations is to predict year by year the consequences on bigeye of various measures aimed at reducing catches of small bigeye by purse seiners and Tema pole and line boats. The changes in yield per recruit thus calculated are in general low; particularly under the hypothesis where the stock is only moderately exploited, which today seems the most likely. All reduction in juvenile bigeye catches in the equatorial zone would generally be compensated by increased catches by longliners and pole and line boats of the north zone. However the gains are generally modest (in accordance with yield per recruit, a few percent), and especially they are generally slow (3 to 4 years) to appear in adult fisheries.
The most recent simulations on bigeye have been those done within the work group on juvenile tropical tuna. In this model, the multi-gear fishery exploits simultaneously the three species (yellowfin, skipjack and bigeye). The purpose of the model is to measure the consequences on yield per recruit of the closing of yellowfin and juvenile bigeye stratum. The conclusions of this model for bigeye are similar to those obtained on yellowfin: it is in general possible to improve equilibrium yield per recruit of bigeye by closing certain strata, selected for their abundance in juveniles. However this advantage is in general modest, and it is the most often destroyed by losses in skipjack greater than the accumulated yellowfin and bigeye gains.
The model is structurally analogous to the first simulation model produced by Fonteneau (1975), i.e. a simulation where several gears exploit a single stock in exercising on each an age-dependent fishing mortality. In the multiple species model (Fonteneau, 1984), several species (each species being considered as one stock) are exploited simultaneously. Moreover, it is possible to introduce in the course of simulation, modifications of exploitation pattern of each species. The objective of the model is to attempt to estimate the consequences on various fisheries, of closing 5o gear-month-zone strata, for which large average catches of small yellowfin and bigeye are observed. In the first run, vectors of fishing mortalities (F) exerted in the stratum that one considered for closure to fishing are calculated by cohort analysis by age, gear and species. In a second run these modifications of F are introduced into the model to next compare catches and CPUE, with or without closure, during the period of transition leading to the balance of the three species. Balance is reached rapidly for skipjack which is only exploited significantly during a brief period. The balance for yellowfin is reached after 6 years and that for bigeye only after 8 years.
In the first run, the strata with large yellowfin and juvenile bigeye catches were identified: seasonally, the maximum catches of these juveniles is traditionally observed each year from June to October (figure 8.21). However from 1980 to 1982, this pattern was not observed clearly for poorly identified reasons (development of skipjack fisheries?). As for fishing zones, catches of small bigeye and yellowfin are observed principally in the coastal zone of the Eastern intertropical Atlantic, between the Cape Verde peninsula and the Congo.
In certain zones, there are systematically large catches of juveniles (Cape Lopez, Cape Three Points), while in other zones these catches are very variable from one year to another (figure 8.22). These stratum are generally the ones where large catches of skipjack are observed (because of the frequent association of the three species in mixed schools, chapter 6.1.9.) and also the ones that on average, produce the largest catches. In the second run, the fishery is simulated for 8 years without closure of strata, then with closure. Simulated catches and yields by species for each gear are next compared under the two hypotheses.
Detailed results of these simulations are given in Cayré and Fontepeau (1984). At this stage we will accept the three principal conclusions of these authors:
losses in skipjack caused by different regulation hypotheses are in the best of cases barely compensated by the gains in yellowfin and bigeye;
gains obtained on yellowfin never exceed, when there are any, 6,000 tonnes;
quantities of bigeye tuna caught are not significantly effected by any of the regulation proposals tested.

Figure 8.21 Numbers (thousands) of yellowfin and bigeye less than 4 kg caught by month by baitboats and purse seiners from 1975 to 1982.
![]() | ![]() |
![]() | ![]() |
![]() | ![]() |
![]() | ![]() |

Figure 8.22 Numbers of yellowfin and bigeye of weight less than 4 kg caught annually 1975 to 1982 by 5o square.
These not very encouraging perspectives seem due to various factors:
(1) the strata where closure is envisaged because of large catches of young yellowfin and bigeye are also the ones where large catches of large yellowfin occur. The loss of these old individuals is not recuperable in terms of yield per recruit.
(2) the regular pattern of seasonal and geographic concentration of juveniles that were observed up to 1979, is presently not very clear (figures 8.21 and 8.22), which limits the expected reduction of the fishing mortality on juveniles.
Purse seiners operating in the Gulf of Guinea occasionally catch albacore, Thunnus alalunga. Bard (1985) summarized catch zones of this species by purse seiners (figure 8.23). These are catches of the albacore stock on the northern fringe of the South Atlantic. This stock is only significantly exploited by longliners, principally from Taiwan (figure 8.23), contrary to albacore stock of the North Atlantic that is actively exploited at young ages by active surface fisheries. The analyses of the state of this stock presented to ICCAT, indicates that this stock, after having been exploited at the level of the MSY from 1970 to 1982, could only be further exploited after 1983 at a moderate level of effort, below the effort corresponding to the MSY. All these conclusions are subject to caution because they are built on somewhat mediocre statistics and come uniquely from the exploitation of adults by longliners, which which does not necessarily express true potential of the stock.
No analysis of the state of stocks of small tuna has been done in the Gulf of Guinea. This deficiency is due to multiple factors:
Only the solution of these problems will permit approaches to evaluation of the state of these stocks and their potential exploitation; certain ones are still probably under exploited because of low commercial demand.
Billfish constitute a group of deep sea pelagic species ecologically assimilated with tuna, and because of this, fall under the responsibility of ICCAT. The analysis of the state of stocks of these species is especially difficult, particularly when one considers studies at a regional level.
These difficulties are due to multiple causes:
In spite of these difficulties, it is interesting to analyze the geographic distribution and the trends of Japanese longline catch rates in the sector.
Fishing zones of Japanese longliners on these different species are shown by maps of catches per unit of effort for two periods characteristic of the Japanese fishery:


Figure 8.23 Albacore fishing zones of FIS and Spanish purse seiners from 1979 to 1983 and Taiwanese longline fishing zones (1978 – 1982 period) where the species targeted is albacore (adult).
![]() | ![]() |
Figure 8.24 Japanese longline sailfish-spearfish catch per unit of effort in two periods: 1958 to 1969 (a) and 1970 to 1982 (b) (monthly by 5°). In this mappling the observed monthly CPUEs in each square are plotted randomly for latitudes and longitudes in each 5° square.
![]() | ![]() |
Figure 8.25 Japanese longline blue marlin catch per unit of effort in two periods: 1958 to 1969 (a) and 1970 to 1982 (b) (monthly by 5°); random plotting, idem figure 8.24.).
The following are presented for the purpose of demonstrating zones of concentration of these species in the region:
The annual CPUE of Japanese longliners (number of fish caught per species, divided by the number of hooks set) is calculated in the zone 25° N to 20° S from Africa to 30° W in the study zone. These indexes do not represent a priori the abundance of the species because effort is not weighted by specific densities in the stratum where it is exercised; they present however a certain interest and are therefore represented in figure 8.28.
After the initial period of development of fisheries during which the specific CPUE fluctuate without clear trend, the CPUE trends can be classified in two types:
(1) that of marlin (blue and white) and that of sailfish, that indicates a very strong relative decrease between the periods 1961–1965 and 1980–1982. This decrease is probably largely linked to changes in fishing zones between the historical period and the present period. For example, the gross CPUE of sailfish and marlin are in all evidence, largely diminished as a result of change in fishing zones and crossing the equatorial zone (where the densities of these species are highest) toward the tropical zone.
The production models that would use these CPUEs at the level of the Atlantic ocean would reach the conclusion that these stocks were very over exploited and that their biomass is extremely reduced as a result of the effect of fisheries. Although no analysis is possible at the level of the eastern tropical Atlantic, this conclusion obtained at the level of the Atlantic, would probably also be obtained for the study zone.
However, it is very possible that the longline CPUE represents trends in the stocks of these species in a biased manner, as is clearly the case for yellowfin during the initial period and for swordfish (see below). There is a contradiction between the very low CPUE of sailfish by longliners and the excellent and stable CPUE of artisanal fisheries (Senegal, Ghana) and sports fisheries (Senegal). During the recent period (1980–1983), Japanese longliners in the study zone have only caught on the average 1,600 sailfish per year setting an average of 16.7 million hooks. During the same period (1981–1983), the small Senegalese fishery (canoes and sport fishing) exploiting a very small coastal fringe of some dozen miles, caught an annual average of 18,100 sailfish (that is, 11.3 times more!). (Annual report of Senegal, CICTA, 1986). Without being able to estimate the state of this stock, it seems probable that the fall of longline CPUE severely overestimates the fall in stock abundance. In particular, it would be highly unreal to think that during the period 1961–1970 the biomass of sailfish would have been, in Senegal, 5 times higher than the present biomass as suggested by the gross Japanese longliner CPUE in the sector 10 – 25° N to 30° E.
(2) The gross CPUE of swordfish in the sector is, on the contrary, in a regular and strong increase since 1957, the start of the fishery, and particularly since 1980. The causes of regular improvement of this CPUE are not clear, but may be the result of an increase in catchability of the species in the sector, and not to an increase of the biomass of the resource.
It remains impossible, because of the poor relationship between longline CPUE and abundance, to estimate the state of stocks of these various species, on the level of the Atlantic Ocean as well as on a regional level.
![]() | ![]() |
Figure 8.26 Japanese longline white marlin catch per unit of effort during to periods 1958 to 1969 (a) and 1970 to 1982 (b) (monthly by 5° ); random plotting, idem figure 8.24.).
![]() | ![]() |
Figure 8.27 Japanese longline swordfish catch per unit of effort in two periods: 1958 to 1969 (a) and 1970 to 1982 (b) (monthly by 5° ); random plotting, idem figure 8.24.).

Figure 8.28 Annual catch per unit of effort (catch in number / 100 hooks) of several species of billfish by Japanese longliners in the Gulf of Guinea zone.
The analyses of the state of tuna stocks done in the Eastern Atlantic has made considerable progress for twenty years, progress due to development both of the fisheries and of the fishing and research statistics. Numerous problems remain poorly resolved and seriously limit the impact of certain conclusions: the migratory character of tuna still poses multiple problems, whether at the level of evaluation of the state of stocks or of their management. The influence of the environment on stocks, whether at the level of recruitment variations or of the catchability of the species, has been neglected up to the present even though it would seem very significant. Numerous basic biological parameters, particularly natural mortality as a function of age, remain poorly known or very hypothetical. It is therefore indispensable to deepen current research on tuna of the region, considering that the current results of stock evaluations are only temporary conclusions susceptible to reversal by future research and changes in the fisheries.