Page précédente Table des matières Page suivante


4.  PREUVES EMPIRIQUES A L'APPUI DU MODELE THEORIQUE

Bien que loin d'être aussi complet que nous le souhaiterions, il existe un certain nombre d'éléments qui corroborent le modèle théorique décrit ci-dessus. Il s'agit des données concernant les coûts et profits des collecteurs d'alevins et des concessionnaires et des prix d'achat et de vente pratiqués par les concessionnaires dans la province d'Antique en 1976, données que l'on trouve dans le rapport de Smith (1981). Nous avons déjà montré dans le tableau 1 les rentes que les municipalités peuvent tirer de cette ressource. Les deux autres groupes intéressés par le système des concessions sont les collecteurs d'alevins et les concessionnaires; ces éléments de preuve nous permettent de calculer quels sont les bénéfices, si bénéfice il y a, que chacun de ces groupes tire du système des concessions.

Le coût principal du ramassage des alevins est la main-d'oeuvre, comme on le voit au tableau 3, c'est-à-dire ce qui reste une fois les dépenses de fonctionnement et l'amortissement déduits des revenus totaux. Le profit moyen de P 5,60 par journée de ramassage, quoique relativement faible, reflète assez bien les bas coûts d'opportunité des collecteurs d'alevins. Le prix moyen percu par les collecteurs interrogés en vue de dresser le tableau 3 a été de P 21,90 pour 1 000 alevins. Un des auteurs (Smith, 1981) a constaté que les collecteurs d'alevins ont cessé leur activité vers le milieu de 1977, époque à laquelle le tarif moyen pratiqué par les concessionnaires est tombé au-dessous de P 10,00 pour 1 000 pièces, ce qui indique que l'élasticité-prix de l'offre est supérieure à 0.

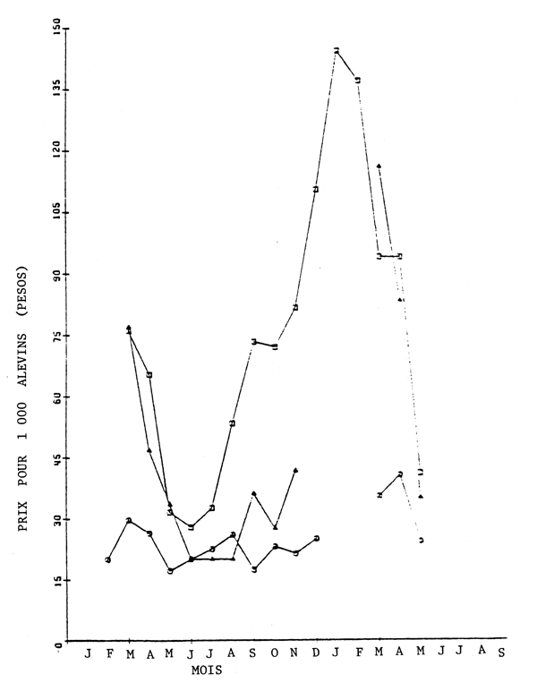
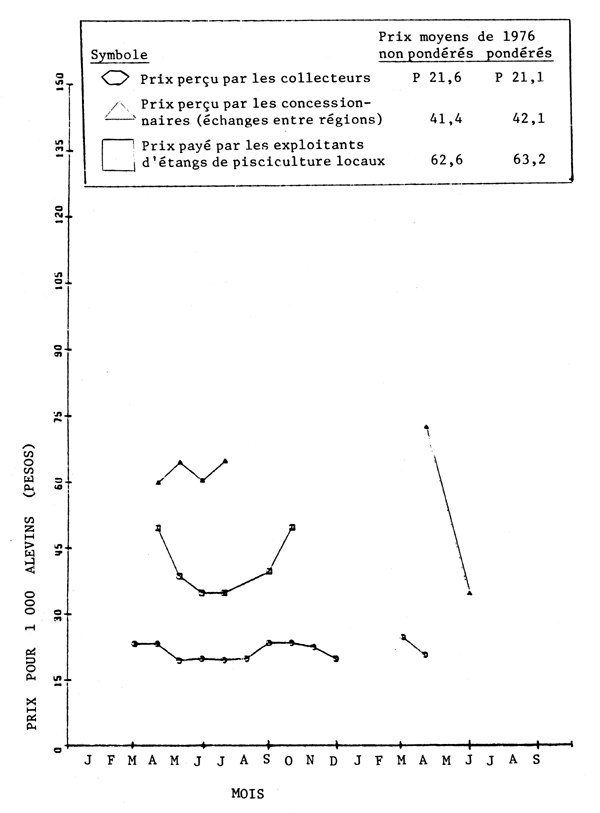
Les prix moyens percus par les collecteurs (Pb) et par les concessionnaires (Pm) dans la province d'Antique entre février 1976 et mai 1977 (voir figure 3) fournissent une indication de ce qu'est l'élasticité-prix de l'offre dans cette région. Si l'on suppose que la relation entre les deux prix peut s'exprimer par la formule Pb = ε ÷ (1+ε)Pm, on calculera l'élasticité en remplacant dans la formule le prix d'achat moyen Pb (P 20,6)m par le prix de vente moyen Pm (P 41,1). On obtient une estimation de l'élasticité-prix de l'offre ε = 1. Une estimation semblable de la relation entre les prix et de l'élasticité a été faite en 1976 dans la région de Cagayan de Oro aux Philippines (voir figure 4). En 1976, dans tout le pays, les concessionnaires payaient P 27,70 pour 1 000 alevins et recevaient P 52,70 pour 1 000 alevins, ce qui démontre là encore que cette estimation de l'élasticité est cohérente.

La preuve la plus convaincante que le modèle théorique fournit des prévisions raisonnables des comportements réels et des conditions d'exploitation peut être trouvée dans les coûts et profits des concessionnaires (tableau 4). Quoique ne couvrant qu'une seule année (1976), ces données confirment l'argument selon lequel les concessionnaires ne tirent que de faibles rentes de ressource ou profits de monopsone, voire aucun. En 1976, sur les 27 concessionnaires pour lesquels des données complètes des coûts et profits ont été rassemblées, 17 ont subi une perte et 10 ont eu un profit. Le revenu moyen net de P 8 338, indiqué dans le tableau 4, représente le produit du capital du concessionnaire, de son propre travail et de celui de sa famille, de sa gestion et de ses risques. Si l'on déduit de ce revenu net les coûts d'opportunité du capital et de la main-d'oeuvre, on voit que le concessionnaire moyen a, en 1976, subi une perte5.

5 Si l'on ajoute les dépenses d'investissement (P 29 800) et les royalties (P 56 699), pour lesquelles le coût d'opportunité est dans les deux cas de 9 pour cent par an, plus 109 journées de travail fournies par le concessionnaire lui-même et sa famille (à P 30 par jour), on obtient pour ces deux postes de dépenses un coût d'opportunité total de P 11 055, soit une perte de P 2 717

     Prix moyen de 1976
Symbole non pondéréspondérés
PolyPrix perçu par les collecteurs n'appartenant pas à une coopérativeP 22,6P 20,6
TriPrix perçu par les collecteurs organisés en coopérative   35,8   30,7
SquarePrix perçu par les concessionnaires   62,3   41,1

Fig. 3

Figure 3   Prix des alevins: Province d' Antique, 1976–77

Source:   Smith (1981), avec la permission de l'éditeur

Tableau 3
Coûts et profits des collecteurs d'alevins, 1976
 Total partielTotal
 (P)(P)
Revenu tiré des ventes d'alevins:
  
Alevins de chanidés (en moyenne 38 200 alevins par famille au prix moyen de P 21, 9/1 000)
837,0 
Frai d'espèces autres que des chanidés (crevettes)
25,0 
Revenu total
 862,0   
Dépenses de fonctionnement:
  
Redevances municipales
1,2 
Transport
6,4 
Réparation des engins de collecte
5,5 
Divers (carburant pour l'embarcation et les lanternes, réparation de l'embarcation)
16,5a 
Sacs en plastique et matériaux de ligature
0,5 
 30,1 
Amortissement:
  
Engins de collecte
50,2 
Embarcation
12,4a 
Bassins/récipients
18,7 
Articles divers (par exemple, lanternes)
4,0 
 85,3 
Coûts totaux:
 115,4   
Revenu net (revenu total - coûts totaux):
 746,6   
Nombre moyen de journées de travail consacrée par la
  
famille à la collecte
 133,6   
Profit moyen par journée de travailb
 5,60   
 

a Deux pour cent seulement des collecteurs d'alevins utilisent une embarcation (monoxyle)pour ce genre de travail

b Y compris le rendement des investissements du collecteur

Söurce: Smith (1981a), avec la permission de l'éditeur

Fig. 4

Figure 4  Prix des alevins: Ville de Cagayan de Oro, 1976–77

Source:   Smith (1981), avec la permission de l'éditeur

Tableau 4
Coûts et profits du concessionnaire, 1976
 Total partielTotal
 (P)(P)
REVENU:
  
Vente d'alevins de chanidés (en moyenne 4 201 000 alevins à P 52,73 pour 1 000)
221,530 
Vente de larves de crevettes
3,851 
Valeur des alevins de chanidés conservés pour l'usage personnel du concessionnaire
5,214 
Revenu total:
 230,595   
COUT DES MARCHANDISES VENDUES:
  
Alevins de chanidés (4 193 000 à P 26,66 pour 1 000)a
111,788 
Larves de crevettes
2,164113,952   
Revenu net:
 116,643   
COUTS:
  
Prix fixes:
  
Royalties
56,184 
Permis/impôts/licences divers
76 
Relations publiques
439 
Total des coûts fixes:
 56,699   
Frais de fonctionnement:
  
Voyages d'affaires
2,969 
Aliments (oeufs)
45 
Recharges d'oxygène
141 
Sacs en plastique
1,044 
Sacs en pandan
528 
Matériaux de ligature
57 
Location de véhicules
599 
Location d'embarcations
601 
fret
4,229 
Permis de transport BFAR (facture auxiliaire)
189 
Rendus (récipients vides)
590 
Location de bureaux/dépôts
209 
Communications
217 
Charges (électricité/eau)
36 
Kérosène/essence/huile
1,017 
Frais de représentation et frais divers
1,149 
Gratifications aux collecteurs
409 
Réparation du matériel
1,796 
Dettes impayées
7,193 
Divers (fournitures de bureau, nourriture, location de matériel)
1,425 
Travaux à la commission
15,498 
Main-d'oeuvre occasionnelle (salaire journalier)
243 
Main-d'oeuvre salariée (salaire mensuel)
3,496 
Intérêts
2,962 
Total des dépenses de fonctionnement:
 46,641   
AMORTISSEMENT:
  
Engins de collecte (filets)
1,464 
Embarcations (pirogues)
434 
Engins de collecte divers
242 
Récipients et équipement d'entreposage
733 
Matériaux pour le transport
537 
Véhicules
889 
Locaux (entrepôts, bureaux)
666 
Total amortissement:
 4,965   
Coûts totaux:
 108,305   
REVENU NET: (revenu net moins coûts totaux)
  
Représente le profit produit par le capital du concessionnaire, son
  
travail (82 journées de travail), la main-d'oeuvre familiale non
  
rémunérée (27 journées de travail), gestion et risque
 8,338b   
Revenu net en pourcentage des ventes
 3,6%   
 

a  La pratique courante veut que les vendeurs (y compris les collecteurs d'alevins) cèdentà l'acheteur une quantité supplémentaire d'alevins à titre “gratuit”. Cela fait partiedes règles de marchandage (souvent dictées par les concessionnaires), en vertu desquellesles collecteurs doivent en général automatiquement céder aux concessionnaires 20 pour centde leur marchandise, les concessionnaire cédant à leur tour < 10 pour cent en moyenne àleurs acquéreurs. Le concessionnaire paye donc 1 000 pièces au collecteur, mais en recoiten fait 1 200. Cette pratique appelée “pasobra”, a pour objet de réserver une certainemarge pour la mortalité qui interviendra au cours de la phase suivante de la commercialisation.Toutefois, la mortalité moyenne des alevins alors qu'ils sont encore en possess ndes concessionnaires, telle qu'elle a été mesurée, n'est que de 5,8 pour cent, c'està-dire beaucoup moins que la marge de 20 pour cent consentie par les collecteurs. Même entenant compte de la “pasobra” qu'ils consentent à leurs propres acquéreurs, les concessionnaires sont encore en mesure de vendre une partie des alevins qu'ils ont obtenus“gratuitement” des collecteurs et, par conséquent, de vendre en moyenne des quantités plusimportantes qu'ils n'en achètent.

b  Sur les 27 concessionnaires qui ont répondu au questionnaire sur les coûts et profits,17 ont subi des pertes en 1976 et 10 ont tiré de cette activité un revenu net positif

Source: Smith (1981), avec l'autorisation de l'éditeur

On pourrait alléguer, bien entendu, que 1976 a été une mauvaise année atypique, mais on trouve encore dans Librero et al. (1976) que même en 1974, année pour laquelle les captures nationales d'alevins sont estimées avoir été légèrement supérieures à celles de 1976 (Smith, 1981), les concessionnaires ont aussi à peine couvert leurs frais.

L'analyse que nous venons de faire des concessions d'alevins de chanidés aux Philippines montre que ce type de droit d'usage territorial recèle la possibilité d'engendrer des rentes de ressources positives susceptibles d'être captées par les municipalités côtières sous la forme de royalties. Ce système montre certaines tendances à l'optimisation de l'utilisation de la ressource et, même si ces tendances semblent quelque peu mitigées par les imperfections de l'information et par les problèmes et les coûts d'application des droits monopsones du concessionnaire, ce système de concession doit pouvoir produire des gains évidents d'efficience économique. A maints égards, il n'est pas très dissemblable du système de contrôle des exportations de thonidés par lequel le Gouvernement des Maldives, en tant qu'acheteur exclusif, prélève une taxe sur le produit, de la facon décrite par Christy et al. (1981). Le mécanisme utilisé - taxe au lieu de redevance - est bien sûr différent mais dans un cas comme dans l'autre produit des rentes de ressources positives.


Page précédente Début de page Page suivante