In addition to ice, refrigerated seawater and, to a lesser extent, superchilling systems have been successfully used to preserve fish. Eutectic plates, solid and liqulfied forms of carbon dioxide, liquid nitrogen, air-cooling and other systems have also been used, but mainly to keep already cooled fish at chill temperatures during transportation.
Refrigerated seawater
The terms refrigerated seawater (RSW) and chilled seawater (CSW) describe seawater which has been cooled to just below 0°C. In some cases, a brine of about the same salinity as seawater is used. There is no clear distinction between the two terms; RSW is generally used when a mechanical refrigeration unit cools the water and CSW is more often used when ice is added for cooling. For the rest of this document RSW will be taken to mean either system.
RSW has by no means displaced ice, but it has found use as a cooling medium in certain fisheries because of the following advantages:
(1) Greater speed of cooling
(2) Reduced pressure on the fish
(3) Lower holding temperature possible
(4) Ouicker handling of large quantities of fish with little
delay or labour involvement
(5) In some cases, an extended storage time
The method also has disadvantages. These include excessive uptake of salt, uptake of water by species with a low fat content, loss of protein, problems with anaerobic spoilage bacteria, and modification of characteristics of fish traditionally used as quality indicators, e.g. "bleaching" of gills, dulling of skin, and leaching of soluble end products of spoilage changes.
Applications. RSW systems have been used for sardine, salmon, halibut, menhaden, shrimp, mackerel, herring, blue whiting and many other species. The most successful commercial projects have been confined to bulk applications where the fish are to be used for canning or other industrial processes. In order to give the reader an idea when RSW systems can be used with advantage, some of the more successful commercial applications are briefly described:
(i) Salmon. The method has been used for storing and transporting large quantities of salmon prior to processing into a canned product. In this application salt uptake is relatively unimportant and the ease of handling, usually by brailing, gives the system an advantage over iced storage.
(ii) Industrial fish. Industrial fish such as menhaden are chilled in RSW systems to maintain the quality until such time as they are unloaded for processing into fish meal. Previously the fish were processed within a day of capture, but longer trips have made it necessary to cool the fish in order to keep them firm and suitable for processing.
(iii) Purse seiners. Purse seine fishing vessels use RSW systems for chilling catches mainly of pelagic fish. Unlike drifters, which bring the catch slowly on board, purse seiners have large catches which require to be handled and chilled quickly. The fish are therefore pumped or brailed from the net directly into RSW tanks.
(iv) Large freezer and factory trawlers. RSW systems are often used on freezer and factory trawlers when there are likely to be delays between catching and processing. Fish stored in bulk and unrefrigerated between catching and processing will deteriorate quickly, especially in warmer climates.
To sum up, RSW systems have been successfully used:
(1) Where the disadvantages of salt uptake are not important,
so comparatively long periods of storage are possible.
(2) For chilling industrial fish to allow longer trips, improve
handling and reduce losses.
(3) For bulk chilling on fishing vessels which have to handle
large quantities of fish quickly.
(4) For bulk chilling fish prior to processing, without the need
for excessive handling.
Clearly, the above applications cover a wide range of circumstances depending on the species of fish and the prevailing climatic conditions; it is difficult to generalise on both the description and use of RSW systems. It is advised that, if a commercial scale application is contemplated, a prior investigation of all the factors should be made, taking into account seasonal variations in the quality of the fish concerned and the intended end product.
Salt uptake. Salt uptake is probably the most important factor which limits the application of RSW systems. Fish intended for normal processing and marketing can acquire a salt fish taste which would make them unacceptable. The salt uptake in industrial fish is also critical since it is concentrated during processing. The upper limit is usually equivalent to a concentration of about 0.5 percent in the raw fish.
Salt uptake depends on:
(1) Species
(2) Size of fish
(3) Salt content of the RSW
(4) Ratio of RSW to fish
(5) Time
(6) Temperature
Table 11 shows the progressive uptake of salt in cod stored in an RSW system with a fish to water ratio of 2 to 1. The experimental results are given as salt percentages in the fillets.
Table 11 Salt uptake by cod in RSW
| Storage (days) |
% salt in fillets | |
| RSW | Ice (control) | |
| 5 | 0.3 | 0.1 |
| 9 | 0.5 | 0.1 |
| 15 | 1.0 | 0.1 |
In the above experiment, a taste panel detected an undesirable salty taste after only three days storage; thus storage life in RSW may be very short for many applications. In contrast to the above case for cod, eviscerated halibut does not become unacceptably salty even after storage lasting several weeks. This species difference appears to be related to the size of fish, the fattiness and the resistance of the skin to salt penetration.
Another element which dictates the limit of salt uptake is the preference of the consumer. Therefore, acceptability limits may have to be established not only according to the species and the end product but also in relation to the tolerance of the consumer.
Salt content of RSW. The salt content of seawater is remarkably steady throughout the oceans at about 3.5 percent. However, this varies locally depending on such factors as dilution by river waters and concentration by high rates of evaporation. The addition of freshwater ice as a cooling medium will also change the salinity. The salinity also changes as the fish takes up salt from the water. Whether a fish floats, sinks or has a buoyancy equal to its weight is important in the design and operation of RSW tanks. The properties of RSW vary with salinity (Fig. 17) and many of these variations are important. Cold dead fish will normally sink in cold seawater but species, fat content, the amount of air in the swim bladder, degree of spoilage and other factors all have an effect. The method of filling and the degree of agitation will to some extent be governed by whether a fish floats or sinks.
Pure water has a density of 1 kg/l and this maximum value occurs at a temperature of 4.0°C. The density of salt water and the temperature of maximum density vary, as shown in Table 12, and the freezing point of seawater also changes with salinity. With high salinities, lower storage temperatures are possible but care should be taken to guard against slow freezing of the fish for the reasons given in Chapter 1.
- Water with a low salinity may give rise to difficulties with the cooling system since there is an increased possibility of the build-up of ice on refrigerated surfaces. This will result in a reduced efficiency or, in extreme cases, permanent damage to some types of cooler. Some coolers are designed for freezing ice on the cooling coils. This ice can be used as cooling storage which can provide rapid cooling of a bulk charge of fish. It should be borne in mind that the formation of ice on the coils will increase the salinity of the remaining seawater. Oxygen content and, as described later, carbon dioxide solubility are also important in relation to bacterial spoilage of the fish, and the solubility of both these gases changes with salinity. Salinity control, or the lack of it, may therefore be an important factor in the success of an RSW system.
Fig. 17. Specific gravity and freezing point of seawater
Table 12 shows the variation in some of the properties mentioned above with salinity changes.
Table 12. Properties of salt water
| Salt content (%) | 0 | 1 | 2 | 3 |
| Freezing point (°C) | 0 | -0.53 | -1.08 | -1.64 |
| Maximum density | 1.000 | 1.008 | 1.016 | -1.024 |
| Temperature of maximum density (°C) | 4.0 | 1.8 | -0.5 | -1.64 |
| Solubility of oxygen (litres/litre of water) | 0.010 | 0.009 | ||
| Solubility of carbon dioxide (litres/litre of water) | 1.70 | 1.61 | 1.54 | 1.46 |
Loss of nitrogenous constituents. It has been widely reported that fish lose some of their nitrogenous constituents including proteins during storage in ice. It would seem that the loss is greater with RSW systems, probably due to an acceleration of the leaching-out process because the fish are totally immersed. Some results have shown that the loss in RSW is double that which would be expected with good icing practice, but no greater than the loss if fish in ice are stored in bulk.
Weight gains by fish in RSW. Fish immersed in ice water gain weight at first, then slowly lose weight during subsequent storage. Fish in RSW also gain weight, but the gain is slow and continues for two or three weeks in some cases. Weight gain depends on species and a number of other factors. A gain of 2 to 5 percent is normal for most species after a period of one to two weeks. Some flat fish increase greatly in weight even in a short period of storage. Because the maximum storage period of cod is limited due to other factors such as salt uptake, the weight gain is usually about 0.5 percent. The problem of water uptake is less critical with fatty fish such as herring and mackerel.
Spoilage of fish in RSW. There are many contradictory reports which either favour storage in RSW or storage in ice or find that there is little difference between the two. The reasons for this are that comparisons are made under widely differing circumstances using different parameters, and also range from small-scale laboratory tests to full-scale commercial enterprises. In the RSW system fish can be handled and cooled quickly. This gives them an early advantage over iced fish which may be subjected to delays at higher ambient temperatures because of the labour involved in sorting and stowing the catch. It also seems that for short stowage periods, RSW fish may have a distinctly better appearance than fish stored in ice, as there are no indentations which occur with many types of ice, and the fish are generally firmer. The major factor against the storage of fish in RSW is the possible growth of anaerobic bacteria, which give rise to objectionable flavours and odours, with hydrogen sulphide being predominant. Ice contains a good deal of air space in its bulk and the usual methods of storage often allow air to circulate to some degree over shelves and around boxes; therefore, anaerobic bacteria do not flourish. With RSW storage, however, oxygen will tend to disappear, giving rise to anaerobic conditions. Another disadvantage of an RSW system is that spoilage may affect an entire catch, whereas ice storage may confine the problem to the immediate locality where adverse conditions prevail. Thus, RSW systems have often been condemned because of inadequate cleaning of the entire system between trips.
Carbon dioxide in RSW. Dissolving carbon dioxide in RSW has been shown to inhibit bacterial growth and extend the storage life of fish. Results with some species of fish have shown that the addition of carbon dioxide to the RSW can increase the storage life by up to one week, if bacterial spoilage is used as the only criterion. However, other control factors may terminate storage long before the advantages of using carbon dioxide are realised and, in some cases, there may be little to be gained by adding this facility.
Carbon dioxide is also an extremely toxic gas with an upper threshold limit of only 0.5 percent, although it has been suggested that it is possible to work an eight hour day in an atmosphere of 1.5 percent. Within the confines of a fishroom, special care would have to be taken to avoid dangerous concentrations. Because of this, and the limited benefits likely, carbon dioxide enriched RSW has not been widely adopted commercially.
Storage tanks. When designing the layout of the RSW tank system for a fishing vessel, consideration has to be given to the stability of the vessel and the storage conditions within the tanks at each stage of the operation. During filling, precooling, storage and unloading, the stability of the vessel must not be impaired to a critical degree. The operation of the system should also ensure that adequate quantities of prechilled water are available for the fish and that movement of water and fish within the tanks is minimal. Partly filled tanks not only affect the stability of the vessel but cause excessive movement of fish and water during storage which can result in damage to the fish.
The tank layouts shown in Fig. 18 are typical three tank and six tank systems used on small fishing vessels. With single and dual tank systems it would be difficult to achieve the safety and fish quality requirements noted above.
Fig 18 Refrigerated seawater tank arrangements for small fishing vessels
Storage tanks should be watertight, easily cleaned and should not contaminate the fish. Tanks of aluminium, glass reinforced plastic and steel have been used. Aluminium, however, requires special welding techniques which may not always be readily available and glass reinforced plastic tanks can be damaged by some mechanical unloading systems. Steel tanks, therefore, have the widest application and are usually coated with suitable anti-corrosive protective substances; zinc galvanizing (not suitable for direct contact with food), epoxy resins, thiocol rubber-based coatings and non-toxic bituminous paints have all been used. Tanks constructed from marine plywood have also been used, particularly in wooden fishing vessels; the tank is usually built from a double layer of plywood with all joints staggered and a suitable waterproof coating applied to the inner surface. Wooden tanks are not normally insulated and a space is left between the tank and the ship's side for good ventilation and drainage to discourage wood rot. Metal tanks are always insulated, because, where ice is carried and used as the cooling medium, a poorly insulated tank will require more ice. A tank welded directly to the ship's frames, and only insulated in the inter-frame space, can have a heat leak ten times higher than a tank with a complete layer of insulation between the tank surface and the fishroom framework (Fig. 19). Apart from the extra cost of ice required in the inadequately insulated tank, the extra ice, volume also means that less storage space is available for fish. Therefore, at least 50 mm of a good insulation should separate the tank from the fishroom framework.
Tank storage is usually divided into a number of compartments and the space between the water and the tank top kept to a minimum in order to prevent excessive movement of fish and water.
Fig. 19. Insulation for seawater tanks
Pumps and piping. Circulation of the water for cooling is effective even with a fish to ice-water mixture ratio as high as 4 to 1. To avoid damage to the fish the rate of circulation should not be high and need only be sufficient to ensure even temperature distribution throughout the tank. Circulation rates for systems using ice for cooling should only be sufficient to agitate the water to give an even temperature. Tanks with mechanical refrigeration systems, on the other hand, require the circulation rate to be sufficient to cool the fish quickly. Pumps for ice chilled systems are required to deliver about one change of water an hour, whereas with water chillers the pumping rate is about 5 times this value. The circulation arrangement within the tank is also important and delivery and suction should be designed to give an even flow throughout the tank. Circulation from bottom to top of the tank is usually preferred but top to bottom has been used since it allows circulation in partially filled tanks during the precooling process. One method that has given good results has a large suction screen installed in a vertical position on one side of the tank. The water is supplied to the tank through a distributor at the bottom arranged to give a gentle even flow throughout the tank. Another method is to spray the pumped water along the sides of the tank.
When the tank is partially loaded the fish block the vertical screen and the water is forced to flow through the mass and over the top to the open part of the screen. Separate pumps may be installed for each tank on a vessel or one pump may serve a number of tanks with a parallel flow arrangement. Centrifugal pumps are normally used, and care should be taken to match their characteristics to the design requirements. For instance, incorrect pump selection may give rise to separation of the circulating water resulting in excessive frothing.
Plastic pipework, normally a grade of polyethylene, has been successfully used with RSW systems. This type of pipe and associated fittings are corrosion-resistant and have smooth inner surfaces which are easily cleaned. Only in places where there is likely to be some physical damage will other pipework materials be required. The use of dissimilar metals however, should be avoided since electrolytic corrosion may be severe.
Refrigeration requirement for RSW systems. A total review of local commercial conditions is the only way to determine accurate figures for the refrigeration requirement. However, the method of calculation shown below will give figures which may be used with a high degree of confidence at the design stage. Subsequent substitution of data, obtained during commercial use, into the various equations will improve the accuracy of calculated values for other installations.
Three stages of the operation have to be taken into account when considering the refrigeration requirement: the precooling stage when the water and tank are cooled prior to loading the fish; the fish chilling stage when the fish are reduced in temperature; the storage stage when the temperature of the fish and water mixture is maintained at the final chill temperature. The refrigeration rating during the fish cooling period usually exceeds the rating during the precooling and storage periods, and it is therefore on this condition that the refrigeration requirement is based.
In many cases limitations imposed by power availability, space requirements and cost may mean that the refrigeration rating has to be reduced to give a longer fish cooling time than desirable, especially when particularly large quantities of fish are likely to be caught at one time.
Calculation of the refrigeration requirement for cooling the fish is straightforward using the expression in equation (13) below.
h= [(Mf x Cp) x (ts - te)] (13)
where:
h= heat to be removed during cooling (kcal)
Mf= mass of fish (kg)
Cp= specific heat of fish (0.8 kcal/kg °C)
ts= starting temperature of fish (°C)
te= final temperature of fish (°C)
A similar expression can be used to calculate the precooling refrigeration requirement. The calculation of the refrigeration requirement for the storage period is more complicated and a detailed knowledge of the tank structure is required. The following example indicates the information required for this calculation and Table 13 shows the calculated heat leak into a storage tank with and without insulation.
The calculation is based on the following assumptions:
1. Storage in a tank with three separate compartments each
with storage capacity for 25 tonnes of fish.
2. Tank insulated throughout with 100 mm of polyurethane foam.
3. Ship's side of 6 mm and internal tank lining of 5 mm mild
steel plate.
4. No frames or hangers penetrating through the insulation.
| 5. Temperatures as follows: | Air | 30°C |
| Sea water | 25°C | |
| Engine room | 35°C | |
| Forward fish room | 5°C | |
| Tank | 0°C |
6. As a simplification, the tank is considered to be a rectangular parallelepiped 7.80 m wide x 3.80 m long x 2.44 m high.
7. The water line taken as reaching half the tank depth.
| 8. Surface areas: | Deckhead | 29.64 m² |
| Tank floor | 29.64 m² | |
| Engine room bulkhead | 19.03 m² | |
| Forward bulkhead | 19.03 m² | |
| Ship's sides: above waterline | 9.28 m² | |
| below waterline | 9.28 m² | |
| 9. Heat transfer coefficients: | kcal/m² h °C | |
| Deckhead moving air outside | 29.3 | |
| Tank floor still air under | 8.0 | |
| Engine room bulkhead: air on engine room side | 7.1 | |
| Forward bulkhead: air on fish room side | 7.1 | |
| Ship's sides above water: moving air outside | 29.3 | |
| Ship's sides below water: moving water outside | 1720 | |
| Inside the tanks: gently agitated water | 515 | |
| 10. Conductivities: | kcal/m h °C | |
| Steel | 38.9 | |
| Polyurethane foam | 0.0211 | |
| 11. Material thicknesses (from 2 & 3 above): | ||
| Insulation | 100 mm | |
| Steel plates: ship's side | 6 mm | |
| tank lining | 5 mm | |
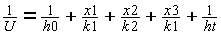
12. Overall heat transfer coefficients:
Overall heat transfer coefficients are derived from the following equation:
(14)
where:
U = overall heat transfer coefficient (kcal/m² h °C)
ho = outside heat transfer coefficient (kcal/m² h °C)
x1 = thickness of steel plate, ship's side (m)
k1 = conductivity of steel (kcal/m h °C)
x2 = thickness of polyurethane (m)
k2 = conductivity of polyurethane (kcal/m h °C)
x3 = thickness of tank lining (m)
ht = inside heat transfer coefficient (kcal/m² h °C)
If the overall heat transfer coefficients are calculated using the relationship in equation (14) above the heat ingress through each surface area can then be determined using the following relationship:
q = U x A x (to-tt) (15)
where:
q= heat leak (kcal/h)
U= overall heat transfer (kcal/m² h °C)
A= area (m²)
to= outside temperature (°C)
tt= inside temperature {°C)
The results of these individual calculations are summarized in Table 13.
Table 13 shows the importance of insulation in order to reduce the refrigeration requirement for maintaining the tank contents at 0°C. In many installations however, the effectiveness of the insulation is far less than ideal since it is sometimes difficult to build a tank system without structural members penetrating the insulation. For the example given in Table 13, tanks insulated to a commercial standard may have a heat leak far greater than the ideal of about 10,000 kcal/h which is still no more than about 7% of the uninsulated value.
Table 13. Summary of RSW tank heat transfer calculations
| Surface | Surface
area (m²) |
Temperature difference ( °C) |
Overall
heat transfer coefficient (kcal/m²°C) |
Heat lead (kcal/h) | ||
| Ideal insulation |
Uninsulated | Ideal insulation |
Uninsulated | |||
| Deckhead | 29.64 | 30 | 0.209 | 27.6 | 186 | 24 542 |
| Tank floor | 29.64 | 25 | 0.205 | 7.83 | 152 | 5 802 |
| Engine room bulkhead | 19.03 | 35 | 0.205 | 7.03 | 137 | 4 682 |
| Forward bulkhead | 19.03 | 5 | 0.205 | 7.03 | 20 | 669 |
| Ship's sides above water line | 9.28 | 30 | 0.209 | 27.6 | 58 | 7 684 |
| Ship's sides below water line | 9.28 | 25 | 0.211 | 374.0 | 49 | 86 768 |
| Total | 602 | 130 093 | ||||
Ice cooling. Ice can be used to supply a proportion of the high cooling load. The ice should be added directly to the tank with the fish. Normal pump circulation will be adequate to maintain a uniform distribution of water to give an even temperature. A small particle ice, like flake ice, should be used. Its large surface area to volume ratio will ensure quick cooling of the mixture and
its small particle size will reduce the possibility of the pump being blocked. The addition of freshwater ice to seawater will result in a reduction of salinity which is an advantage where salt penetration of the fish is a problem. However, the freezing point of the water will be higher. This may not always be acceptable since it will result in shorter storage life. The addition of ice also reduces the storage capacity of the tanks since high fish to water ratios will not be possible.
Ice alone is used in many RSW installations, eliminating the need for a mechanical refrigeration system and thus avoiding the problem of operation and maintenance of this equipment. Ice may be used with pump circulation. It is possible to pump mixtures of flake ice and water with the water content as low as 10 percent. Agitators are also used to ensure an even temperature distribution throughout the tank. Usually, once the fish have been cooled and the fish-ice-water mixture is at a uniform temperature, very little or infrequent agitation is required to maintain uniformity, provided the ice is evenly distributed throughout the tank. As in normal icing practice, a major problem is anticipating the ice requirement for a trip and catering for unforeseen delays due to bad weather, poor fishing and other reasons. Adequate quantities of ice have therefore, to be carried for these eventualities and if necessary, ice should be added to the tank periodically.
The ice required for cooling the fish-ice mixture can be calculated using the following heat balance equation:
(Mi x L) = h (16)
Hence we have the weight of ice required =Mi=h/L (17)
Where:
h = the heat removed during cooling [from equation (13)1
Mi = mass of ice (kg)
L = latent heat of fusion of ice (taken as 80 kcal/kg)
The ice required during storage is calculated from the sum of the heat leaks listed in Table 13 using a heat balance equation as follows:
(Mi x L) = qt (18)
Thus we have the ice required = Mi = qt/L (19)
Where:
Mi = mass of ice (kg/h)
L = latent heat of fusion of ice (taken as 80 kcal/kg)
qt = sum of the heat leaks from Table 13 (kcal/h)
Other heat sources, such as the energy input from the circulation pumps and the heat removed when cooling the tank structure, may have to be taken into account when calculating the refrigeration requirement. In these cases the heat load in health should be added to the above mechanical refrigeration requirement or converted to an ice requirement using the relationships in equations (4) or (6) above.
Cleaning of RSW systems. The RSW system must be kept scrupulously clean; lack of attention to this important requirement has been the main reason for the failure of some installations to operate successfully.
The initial charge of seawater should be as clean as possible therefore, tanks should not be refilled in harbour or inshore near river estuaries. Cleaning should begin as soon as the fish have been landed, while the system is still wet, otherwise slime and other material will dry hard and be difficult to remove. The tanks should be cleaned, using clean water from a hose, brushing if necessary to remove any material adhering to surfaces. The piping system, including pumps and heat exchangers, should be flushed out thoroughly then cleaned by circulating hot water or an approved cleaning solution. Sometimes a weak solution of disinfectant is left in the piping system until the tanks are required again, then the entire system is thoroughly flushed with clean seawater before being refilled.
Chilling packaged fish
The temperature of the contents of prepackaged fish products can rise to the prevailing ambient temperature during processing. Thus, when they are finally packed in cartons and stacked during chilled storage, the recooling time can be prolonged resulting in a loss of potential shelf life.
This type of product is usually prepared using a continuous process, therefore recooling must be quick; in most cases, ice or iced water cannot be used. Air chilling however, can be used in this situation without drying the product since the product is packaged. In order to achieve a short recooling time, the air temperature requires to be a good deal colder than the temperature used with other forms of chilling.
Some results achieved when re-cooling fish fillets, which were packaged in polystyrene trays with an overwrap, are given in Table 14. It can be seen that acceptable recooling times were only achieved with very low air temperatures and this results in partial freezing of the product. However, this freezing is very quick; only a thin layer at the surface is frozen for a relatively short time during the early stages of the temperature equalisation period. A taste panel assessment of fish subjected to this partial freezing effect showed that quality was virtually unaffected. Application of this technique will depend on the market intended and the food legislation in the country of sale.
Table 14. Results of pre-storage chilling tests
| Product | Chilling method |
Initial temperature |
Final temperature |
Cooling
time (mins) |
| Unwrapped fillets |
Air at - 1°C | 19°C | 2°C | 38 |
| 0 m/s | ||||
| Unwrapped fillets |
Air at - 1°C | 19°C | 2°C | 20 |
| 1 m/s | ||||
| Unwrapped fillets |
Air at - 1°C | 19°C | 2°C | 21 |
| 3 m/s | ||||
| Unwrapped fillets |
Air at -35°C | 21°C | 2°C | 3.5 |
| 3 m/s | ||||
| Unwrapped fillets |
Air at -35°C | 21°C | 2°C | 2.3 |
| 8 m/s | ||||
| Wrapped fillets |
Air at -35°C | 20°C | 2°C | 15 |
| 3 m/s | ||||
| Wrapped fillets |
Air at -35°C | 20°C | 2°C | 5.8 |
| 8 m/s | ||||
| Individual fillets |
Immersion in iced water |
19°C | 2°C | 8.2 |
The above methods of quick recooling extended the potential shelf life of the product by 1.5 days, which is a significant improvement when the potential storage life of this product using current practice may only be 4 to 5 days at 0 °C. It would seem however, that shelf life extension can be best achieved by ensuring that the temperature rise is always kept to a minimum during processing. One suggestion is that water for washing the fish after separation from ice should always be prechilled since, even in temperate countries water temperature can be 15 to 20°C during the summer months.
Superchilling
Superchilling (also termed "partial freezing " or "deep chilling") means reducing the temperature of fish uniformly to a point slightly below that obtained in melting ice, thereby extending the storage life of the fish.
When fish is kept in melting ice, the temperature of the fish falls to about -0.5 C. This is because salt, blood and other substances in the mixture of fish and ice depress the temperature below 0°C, the natural melting point of freshwater ice. White fish consists of about 80 percent water, and all of this water remains unfrozen at -0.5°C.
When the mass of fish and ice is further refrigerated, some of the water in the fish begins to freeze and the temperature falls. In present practice, superchilling means reducing the fish to a temperature of -2.2°C, at which point half the water is frozen (Fig. 20.). At this temperature bacterial activity is slowed down, the rate of spoilage reduced and the fish remain edible longer. In deep chilling the temperature may be reduced to -3°C or lower.
Slow freezing of fish flesh is undesirable because large ice crystals form which can damage the structure of the muscle and other changes, due to chemical and biochemical reactions, reduce the eating quality. At the recommended superchilling temperature of -2.2°C only half the water in the fish is frozen and the number of large ice crystals and other factors are not critical, but at -2.8°C three quarters of the water is slowly frozen and damage to the fish may be excessive. Hence, very close control of superchilling temperature is essential if the damaging effects of slow freezing are not to offset the benefits of storage at a lower temperature.
White fish in crushed ice remains edible for about 15 days, whereas at -2.2°C the fish will remain edible for about 26 days. At -2.8°C shelf life may be as long as 35 days, but damage due to ice formation makes the fish unsuitable for a number of end uses. With superchilling, the temperature of cod for instance should not be lower than -2.2°C and at this temperature, the extension of storage time over conventional iced storage can be as much as 11 days under ideal conditions, and at least 6 days using commercial practices. Other fish however, may not have the same extension of storage life as cod, particularly oily species and fish from warmer waters. Trial experiments should therefore be made before commencing a full-scale commercial enterprise. Fig. 21 shows the typical cooling pattern for boxed fish in an air temperature of -3°C.
Fig. 20. Freezing of fish muscle
Because of the longer potential storage life, superchilling can be used when fishing trips are extended beyond the normal keeping time in ice. Also, if the box system described later is used, superchilling allows transport and storage ashore when distances and time make ordinary icing unsuitable.
This type of storage has only had a limited commercial use since it requires precise control of the fish temperature to achieve optimum results. Marketing can also be difficult, since the product cannot be classified and handled as either chilled or frozen.
Fig. 21 Temperature history of superchilled fish