DEFINITION - RAPPELS PHYSIOLOGIQUES
La puberté est une période physiologique au cours de laquelle se met en place la fonction de reproduction. Elle correspond à l'apparition de la possibilité de la fécondation.
Le début de cette période est évalué soit par des critères comportementaux (âge au premier oestrus (SWENSON, 1984)), soit par des critères hormonaux (âge à la première augmentation significative de la concentration de progestérone plasmatique (SALISBURY et al., 1978)). La première définition n'est pas caractéristique de la puberté, puisque les caractères sexuels tertiaires peuvent se manifester avant la puberté, et ne font que se développer à partir de la puberté (LEVASSEUR et THIBAULT, 1980).
La puberté n'est pas un événement instantané, elle est au contraire un phénomène progressif. Les ovaires sont le siège, dès avant la puberté, de vagues de croissances de follicules à antrum qui régressent avant d'aboutir à une maturation finale et à une ovulation. Enfin, un follicule à antrum arrive à maturité et libère un ovule, mais il n'y a pas alors nécessairement formation de corps jaune. Les ovulations suivantes sont le plus souvent suivies de formations de corps jaunes, de moins en moins transitoires, pour aboutir au schéma du cycle de la femelle adulte. La puberté est donc un phénomène graduel, au terme duquel les phases folliculaires et lutéales se succèdent comme chez l'adulte
D'autres définitions de la puberté ont essayé d'intégrer cet étalement dans le temps de processus physiologiques. Il a été ainsi proposé de prendre comme référence l'âge à la première immobilisation suivie d'un oestrus 45 jours plus tard (LASTER et al., 1972), ou le moment où s'établit un cycle semblable à celui d'un adulte prêt à être fécondé. Ces deux définitions, si elles sont apparemment plus précises, impliquent des protocoles d'observations beaucoup plus lourds, et sont donc rarement appliquées.
Il faut néanmoins noter que la puberté, selon la définition choisie, n'est pas nécessairement synonyme d'aptitude à la reproduction, c'est à dire engendrer des produits.
PLACE DE LA PUBERTE DANS LA VIE DE L'ANIMAL
Les caractéristiques de la puberté relevées par divers auteurs concernant les races trypanotolérantes sont rapportées dans le tableau 1.
L'âge moyen à la puberté varie beaucoup selon les observations: de 353 jours (moins de 12 mois) à 899 jours (30 mois). Chacune de ces moyennes est accompagnée de grandes variations individuelles (coefficient de variation d'environ 20%), traduisant pour une même population étudiée une grande hétérogénéité.
Le poids vif des animaux à la puberté apparaît cependant pour une même race plus homogène. Il est de l'ordre de 120 kg pour les Baoulé et de 180 kg pour les N'dama.
Tableau 1. - Age et poids à la puberté des races trypanotolérantes.
| Race | Pays et système | N | Définition | Age (j) | Poids (kg) | Référence | |||
| x ± e.t. | x ± e.t. | ||||||||
| Baoulé | Burkina Faso | station | 15 | Premier oestrus | 414 | 66 | 120 | 21 | Chicoteau 1989 |
| Burkina Faso | station | 14 | Premier pic progestérone | 426 | 61 | 123 | 17 | Chicoteau 1989 | |
| Côte d'Ivoire | station | 6 | Premier pic progestérone | 732 | 103 | 134 | 17 | Meyer et Yesso 1991 | |
| Côte d'Ivoire | station | 5 | Premier pic progestérone | 782 | 128 | 120 | 18 | Meyer et Yesso 1991 | |
| N'dama | Ghana | station | 8 | Premier pic progestérone | 856 | 171 | 176 | 24 | Gyawu et al. 1989 |
| Ghana | station | 18 | premier pic progestérone | 781 | 158 | 182 | 14 | Osei et al. 1991 | |
| Côte d'Ivoire | station | 5 | premier oestrus | 353 | 73 | < 200 kg | Ralambofiringa 1975 | ||
| Côte d'Ivoire | station | 5 | Premier pic progestérone | 815 | 104 | 175 | 20 | Meyer et Yesso 1991 | |
| N'dama × Baoulé | Ghana | ferme | 50 | Premier pic progestérone | 899 | 132 | - | - | Osei et al. 1989 |
| Ghana | ferme | 50 | Premier pic progestérone | 949 | 79 | - | - | Osei et al. 1989 | |
FACTEURS INFLUENCANT LA PUBERTE
Influence de la vitesse de croissance
Au sein d'une même population, l'âge à la puberté est corrélé à la croissance. Ainsi, GYAWU et al. (1989) ont trouvé chez les génisses N'dama un coefficient de corrélation de -0,75 (n=15) entre l'âge à la puberté et le Gain Moyen Quotidien de ces animaux entre la naissance et la puberté (qui est de moins de 190 g en moyenne dans cette expérimentation). De même, THIOMBIANO (1989) a observé un coefficient de corrélation de -0,50 (n=15, p< 0,05) entre l'âge à la puberté et le GMQ de 0 à 1 an (qui est ici de plus de 260 grammes en moyenne) chez les génisses Baoulé.
Les animaux ayant une croissance plus rapide atteindront donc la puberté plus précocement que les autres.
Les corrélations entre croissance et âge à la puberté, ainsi que les chiffres du tableau 1 confirment que la puberté dépend en fait surtout du poids de l'animal. Plusieurs auteurs (BRONSON et al. (1986), HAFEZ (1987), KIRKWOOD (1987)) considèrent que la puberté se déclenche une fois que l'animal a atteint un certain pourcentage du poids adulte, pourcentage variant selon les races. CHICOTEAU et al. (1990) ont calculé que les génisses Baoulé deviennent pubères lorsqu'elles atteignent 57 % du poids adulte. MEYER et YESSO (1991) trouvent pour la même race une puberté à un poids équivalent à 64% du poids adulte. Pour les N'dama, les mêmes auteurs observent une puberté à 60% du poids adulte.
Les disparités concernant l'âge à la puberté observées dans le tableau 1 découleraient donc en fait des variations de la vitesse de croissance de ces animaux. Tous les facteurs influant la croissance (potentilité génétique, mais surtout ici alimentation et environnement) influenceront aussi l'âge à la puberté.
Influence de la race
Placées dans les mêmes conditions, les génisses N'dama ont une puberté plus tardive que les génisses Baoulé, comme le montre l'expérience de MEYER et YESSO (815 ± 104 vs 732 ± 104 jours). La différence du poids à la puberté chez les deux races dans cette expérience (134 kg pour les Baoulé contre 175 pour les N'dama) s'explique en grande partie par la différence de format entre les deux races, puisque ces poids correspondent à 64% du poids adulte chez les Baoulé, et 60% chez les N'dama.
Influence de l'environnement
Les facteurs environnementaux agissant sur la croissance des animaux auront une influence sur l'âge à la puberté.
Il à été rapporté, que ce soit chez les N'dama (OSEI et al., 1989) ou chez les Baoulé (THIOMBIANO, 1989), une influence de la saison de naissance sur l'âge à la puberté. Ainsi au Burkina Faso, en climat de type soudanien, les génisses Baoulé nées en saison sèche et chaude (fin de saison sèche) ont une puberté plus précoce que celles nées en saison sèche et fraîche (début de saison sèche) (350 vs 446 jours). Les génisses N'dama au Ghana (climat de type guinéen) nées en saison des pluies ont également une puberté plus précoce que celles nées en saison sèche (648 vs 797 jours). Les poids à la puberté des animaux de ces expériences ne sont pas disponibles.
Cette influence de la saison de naissance sur la puberté peut s'expliquer principalement par les variations du disponible alimentaire, que ce soit au cours des premiers mois de vie, ou au moment où les génisses approchent du poids auquel la puberté se déclenche. Cependant, dans la mesure où aucune expérience n'a montré le contraire, on ne peut a priori exclure l'influence directe des facteurs climatiques, l'inconfort apporté par la température, l'hygrométrie ou l'intensité lumineuse pouvant avoir une influence directe sur les animaux.
RELATIVISATION DE LA NOTION DE POIDS-SEUIL
On remarque dans le tableau 1. que les moyennes des poids à la puberté, pour chaque expérimentations, sont accompagnées de variations notables (± 10 à 20 %). Ceci signifie que, placés dans des conditions similaires, tous les animaux n'atteignent pas la puberté à un poids équivalent.
THIOMBIANO (1989), rapporte un coefficient de corrélation de 0,75 (n=15, p<0,01) entre le GMQ de 0 à 12 mois et le poids à la puberté chez les génisses Baoulé. Ce résultat, ajouté à la corrélation entre croissance et âge à la puberté (provenant de la même expérience), indique que placées dans les mêmes conditions, les génisses ayant une croissance plus rapide atteindront la puberté plus précocement, mais aussi à un poids plus élevé que les autres. Ceci peut être schématisé de la manière suivante (Figure 1):

Figure 1.- Croissance et puberté
Ainsi, selon la figure 1, on observe qu'une génisse à plus forte croissance aura une puberté (A) plus précoce (tA < tB) mais à un poids plus élevé (pA > pB) par rapport à une génisse à croissance moins élevée (B).
Un résultat semblable est rapporté par MEYER et YESSO (1991) avec deux lots de génisses Baoulé soumis à deux types de régime alimentaire (troisième et quatrième séries de résultats dans le tableau 1.). Le lot recevant un supplément alimentaire atteint la puberté plus tôt, mais aussi à un poids plus élevé.
La précision d'un poids-seuil déclenchant la puberté est difficile à apporter, il peut s'agir d'un critère approximatif, ou être un critère individuel phénotypique dépendant du poids adulte de l'individu en question. S'il donne une indication beaucoup plus précise du moment où la puberté va apparaître que l'âge, il ne peut en aucun cas servir de mesure prédictive sur une base individuelle. Ainsi, il existerait un autre facteur en plus du poids qui déterminerait le moment de la puberté.
RECHERCHES A EFFECTUER
Suite aux remarques effectuées ci-dessus, les axes de recherche suivants permettraient d'affiner les connaissances que l'on possède déjà sur la puberté des génisses trypanotolérantes:
Détermination du poids-seuil moyen pour chaque race (en % du poids adulte)
Influence sur le poids à la puberté de la saison de naissance, de régimes différents à certaines époques de la vie, etc…
Relation entre poids à la puberté et poids adulte.
D'une manière générale, il serait intéressant d'étudier de plus près les facteurs entraînant de si grandes variations dans l'âge à la puberté.
BIBLIOGRAPHIE
BRONSON (F.H.), RISSMAN (E.F.): “The biology of puberty.”, Biol. Rev., 1986, 61: 157–195.
CHICOTEAU (P.): “Adaptation physiologique de la fonction sexuelle des bovins Baoulé au milieu tropical sud-soudanien.”, Thèse de doctorat es sciences, Université de Paris XII, 1989, 174 p.
CHICOTEAU (P.), THIOMBIANO (D.), BOLY (H.), CLOE (C.): “Contribution à l'étude de la puberté chez les bovins de race Baoulé.”, Rev. Elev. Méd. vét. Pays trop., 1990, 43 (4): 535–539.
GYAWU (P.), OSEI (S.A.), KARIKARI (P.K.), KWARTENG (F.A.), ASARE (K.): “Use of radioimmunoassay to monitor reproductive performance of indigenous cattle in the humid forest zone of Ghana.”, IN: “Second workshop on the reproduction of trypanotolerant livestock in west and central Africa.”, Banjul (Gambie), FAO RAF/88/100, 1989: p 42.
HAFEZ (E.S.E.): “Reproduction in farm animals.”, Philadelphia, Lea & Febiger, 1987, 649p.
KIRKWOOD (R.N.), CUMMING (D.C.), AKERNE (F.X.): “Nutrition and puberty in the female.”, Proc. Nutr. Soc., 1987, 46: 177–192.
LASTER (D.B.), GLIMP (H.A.), GREGORY (K.E.): “Age and weight at puberty and conception in different breeds and breed-crosses of beef heifers.”, J. Anim. Sci., 1972, 34 (6): 1031–1036.
LEVASSEUR (M.C.), THIBAULT (C.): “De la puberté à la sénescence. - La fécondité chez l'homme et les autres mammifères.”, Paris, Masson, 1980, 120p.
MEYER (C.), YESSO (P.): Rapport annuel 1991. Programme de reproduction des animaux domestiques, Bouaké (Côte d'Ivoire), IDESSA, 6p.
OSEI (S.A.), KARIKARI (P.), GYAWU (P.), TUAH (A.K.), BUADU (M.K.), KESE (A.G.): “Seasonal effects on the reproductive performance of indigenous cattle breed in Ghana.”, IN: “Second workshop on the reproduction of trypanotolerant livestock in west and central Africa.”, Banjul (Gambie), FAO RAF/88/100, 1989: p 33.
OSEI (S.A.), KARIKARI (P.), TUAH (A.K.), GYAWU (P.), OPOKU (R.S.), ASIAMAH (M.), HEATHCOTE (D.C.): “The reproductive performance of indigenous beef cattle breeds raised on-farm in Ghana.”, IN: “Third workshop on the reproductive of trypanotolerant livestock in west and central Africa”, Banjul (Gambie), FAO RAF/88/100, 1991: 19–35.
RALAMBOFIRINGA (A.): “Contribution à l'étude de la physiologie de la reproduction, la méthodologie de la détection de l'oestrus et la technologie de l'insémination artificielle de la race N'dama en République de Côte d'Ivoire.”, Thèse vétérinaire, 1975, ENV, Lyon, no 74.
SALISBURY (G.W.), VANDEMARK (N.L.), LODGE (J.R.): “Physiology of reproduction and artificial insemination of cattle.”, San Francisco (USA), W.H. Freeman & co, 1978, 798p.
SHORT (R.E.), BELLOWS (R.A.): “Relationships among weight gains, age at puberty and reproductive performance in heifers.”, J. of Anim. Sci., 32(1): 127–131.
SWENSON (M.E.) (ed): “Dukes' physiology of domestic animals.” Ithaca and London, Cornell University Press, tenth edition, 1984, 922p.
THIOMBIANO (D.): “Contribution à l'étude de la puberté chez les bovins de race Baoulé (Bos taurus).” Mémoire de fin d'études, IDR, Ouagadougou (Burkin Faso), Juin 1989. 77p.
Le cycle sexuel peut s'apprécier selon trois composantes (THIBIER, 1976): comportementale (cycle sexuel), ovarienne (phases folliculaire et lutéale) et hormonale (phase oestrogénique et progestéronique).
COMPOSANTE COMPORTEMENTALE: LE CYCLE OESTRAL
DUREE DU CYCLE
Valeurs moyennes et dispersion
La durée du cycle oestral, défini comme le délai entre deux oestrus consécutifs, a été étudiée par de nombreux auteurs. Le tableau 2.1. résume les résultats de ces études.
Les résultats sont homogènes, la durée du cycle oestral est environ de 21 jours pour les N'dama comme pour les Baoulé.
Tableau 2.1.- Durée du cycle oestral chez les vaches trypanotolérantes.
| Race | Pays | Nb animaux | Nb cycles | durée cycle | Référence | |
| x | e.t. | |||||
| Baoulé | Burkina Faso | - | 112 | 21,0 | 2,1 | Chicoteau, 1990 |
| Côte d'Ivoire | 12 | 27 | 21,4 | 1,8 | Meyer et Yesso, 1989 | |
| Burkina Faso | 25 | 25 | 20,2 | 2,1 | Coulibaly, 1988 | |
| N'dama | Côte d'Ivoire | 12 | 28 | 20,4 | 1,1 | Meyer et Yesso, 1989 |
| Côte d'Ivoire | 25 | 250 | 21,3 | 2,7 | Meyer et Yesso, 1987 | |
| Côte d'Ivoire | - | 73 | 22,1 | 0,6 | Ralambofiringa, 1975 | |
| Côte d'Ivoire | - | 18 | 21,1 | 0,6 | Ralambofiringa, 1978 | |
| Sénégal | 8 | 16 | 19,8 | 1,0 | Mbaye et al., 1989 | |
| Kenya | 5 | 40 | 20,3 | 2,2 | Lorenzini et al., 1987 | |
| Ghana | 12 | 12 | 20,6 | 1,0 | Gyawu et al., 1991 | |
| N'dama vaches génisses | Mali | 50 | - | 21,4 | 1,5 | Traoré et Bako, 1984 |
| 11 | - | 20,2 | 1,1 | |||
x = moyenne;
e.t. = écart type.
Facteurs de variation
Age
L'âge semble être un facteur de variation de la durée du cycle. RALAMBOFIRINGA (1975) note une tendance à l'allongement du cycle avec l'âge chez les N'dama, tendance confirmée par les résultats de TRAORE et BAKO (1984). Ce facteur demande cependant à être confirmé CHICOTEAU et al. (1990) ne trouvent pas de variations dans la durée du cycle entre vaches et génisses Baoulé.
Saison
CHICOTEAU et al. (1990) ne notent pas de variation de la durée du cycle selon la saison chez les Baoulé au Burkina Faso.
Cette absence de variation serait un témoin de l'adaptation de ces races à leur environnement (THIMONIER et CHEMINEAU, 1988).
LE COMPORTEMENT SEXUEL: L'OESTRUS
L'oestrus est la période du cycle où la femelle est réceptive au mâle. Cette période d'activité sexuelle est donc caractérisée par un comportement particulier, accompagné de modifications anatomiques et physiologiques. Cette période correspond à la fin de la phase folliculaire chez la vache.
Le signe physiologique de l'oestrus est l'acceptation du chevauchement (THIBIER, 1976).
Signes de l'oestrus
D'autres manifestations comportementales dites secondaires, et que l'on rattache classiquement à l'oestrus, ont ésé rapportés chez les N'dama (BIERSCHENKL, 1984; DJABAKOU et al., 1992; MEYER et YESSO, 1987; MEYER et YESSO, 1992) et chez les Baoulé (CHICOTEAU et al., 1989b; DJABAKOU et al., 1992; MAMBOUE, 1987; MEYER et YESSO, 1987; MEYER et YESSO, 1992). Il s'agit de:
Ces signes accompagnateurs ne sont toutefois pas toujours présents ou évidents, et le comportement le plus représentatif de l'oestrus reste l'acceptation du chevauchement.
Durée de l'oestrus
La durée de l'oestrus (durée de l'acceptation du chevauchement) rapportée par différents auteurs est présentée tableau 2.2..
La durée de l'oestrus est courte, que ce soit pour les Baoulé ou pour les N'dama. Elle est pour les deux races de l'ordre de 10 à 12 heures, avec parfois de grandes variations. Comme il est rapporté pour d'autres races (PLASSE et al., 1970), la durée de l'oestrus naturel ou induit par l'injection de prostaglandines est équivalente.
Tableau 2.2. - Durée de l'oestrus chez les vaches trypanotolérantes
| Race | Pays | Nb animaux | Nb observations | durée oestrus | Référence | |
| x | e.t. | |||||
| OESTRUS NATUREL | ||||||
| N'dama | Côte d'Ivoire | 24 | 24 | 11h50 | 1h30 | Ralambofiringa, 1975 |
| Mali | 61 | 61 | 9h30 | 1h30 | Traoré et Bako, 1984 | |
| OESTRUS INDUIT (prostaglandines) | ||||||
| N'dama | Ghana | 12 | 12 | 11h40 | 1h25 | Gyawu et al., 1991 |
| Côte d'Ivoire | 8 | 8 | 12h00 | 2h00 | Meyer et Yesso, 1990 | |
| Baoulé | Côte d'Ivoire | 8 | 8 | 9h20 | 2h15 | Meyer et Yesso, 1990 |
| Baoulé vaches génisses | Burkina Faso | 13 | 13 | 11h50 | 5h30 | Mamboué, 1987 |
| 7 | 7 | 10h00 | 5h00 | |||
x = moyenne;
e.t. = écart type.
En climat tempéré, la durée de l'oestrus chez les bovins est de l'ordre de 18 à 24 heures (avec des coefficients de variations de l'ordre de 20%) (THIBIER, 1976). La différence observée ici serait sans doute à rattacher aux facteurs climatiques. En effet, des races européennes mises en climat tropical présentent une nette diminution de la durée de l'oestrus (GWAZDAUSKAS, 1985). L'importance du facteur race (facteur génétique) n'a cependant pas été évaluée.
Facteurs de variation
Poids et âge
Au sein d'un même groupe, le poids des animaux apparaît être corrélé positivement à la durée de l'oestrus (CHICOTEAU et al., 1989b), sans qu'il soit rapporté que ces variations de poids sont dues à une variation de l'état général des animaux ou de leur format.
La différence entre génisses et vaches (MAMBOUE, 1987) a aussi été trouvée significative, les génisses présentant une dúrée d'oestrus plus courte, comme le montre le tableau 2.2.
Saison
CHICOTEAU et al. (1990) ne notent pas de variations saisonnières de la durée de l'oestrus, en conditions d'élevage de station. Ce caractère montre une adaptation de ces races aux conditions climatiques (THIMONIER et CHEMINEAU, 1988).
Intensité de l'oestrus
Définition et résultats
L'intensité des chaleurs peut être représentée par le nombre de chevauchements acceptés par la femelle. Ce nombre peut être très variable: ainsi, chez les vaches Baoulé, il est rapporté des variations de 1 à 145 montes acceptées pendant l'oestrus (CHICOTEAU et al., 1989b). Ce nombre dépend de la durée des chaleurs, et pour estimer leur intensité propre, on calcule généralement le nombre de chevauchement par heure.
Le nombre de chevauchements par heure rapporté généralement chez les bovins en climat tempéré varie de 4 à 6 (PACCARD, 1985). Les bovins trypanotolérants dans leur milieu présentent donc une intensité des chaleurs comparable, ou un peu réduite par rapport à cette norme. L'intensité supérieure trouvée par demi-heure d'observation peut provenir du fait que l'observation des animaux est partielle (2 à 4 périodes d'observation de 30 mn par jour).
Tableau 2.3.- Intensité de l'oestrus des races trypanotolérantes.
| Race | Pays | N | Intensité de l'oestrus | Référence | |||
| par heure x ± e.t | par demi-heure x ± e.t. | ||||||
| N'dama | Ghana | 2,7 | 0,5 | Gyawu et al., 1991 | |||
| 12 | |||||||
| Côte d'Ivoire | 3,7 | Meyer et Yesso, 1991 | |||||
| 11 | |||||||
| Baoulé | Côte d'Ivoire | 3,6 | Meyer et Yesso, 1991 | ||||
| 19 | |||||||
| *sans taureau | Burkina | |80 | 4,3 | 2,8 | Chicoteau et al., 1990 | ||
| *avec taureau | Faso | | | 5,1 | 2,7 | |||
vaches | Burkina | |78 | 4,3 | 2,7 | Coulibaly, 1988 | ||
génisses | Faso | | | 5,2 | 2,8 | |||
Facteurs de variation
Poids et âge
CHICOTEAU et al. (1990) ne notent pas de variations de cette intensité avec l'âge des vaches. Par contre, COULIBALY (1988) trouve une intensité significativement plus importante pour les génisses. L'intensité a aussi été trouvée corrélée au poids (CHICOTEAU et al., 1989b) et à l'hématocrite (MAMBOUE, 1987): elle est liée à l'état de l'animal.
Présence de taureau
CHICOTEAU (1989) note que la présence d'un taureau augmente de manière significative l'intensité de l'oestrus(5,2 vs 4,3 chevauchements par demi-heure).
Saison
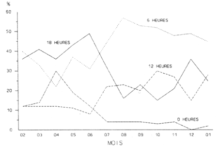
Plusieurs auteurs rapportent une variation de l'intensité de l'oestrus selon la saison. YESSO et MEYER (1991) en Côte d'ivoire et TRAORE et BAKO (1984) au Mali rapportent une plus grande intensité des chaleurs pendant la saison des pluies. De même CHICOTEAU (1989) trouve une corrélation entre la fréquence des chevauchements et le mois ou la saison (cf fig.2.1.).

Fig. 2.1. - Variations saisonnières de la fréquence des chevauchements acceptés au cours de l'oestrus par les vaches Baoulé au Burkina Faso (d'après CHICOTEAU, 1989).
Répartition nycthémérale
L'intensité de l'oestrus varie au cours de la journée.
RALAMBOFIRINGA (1975) en Côte d'Ivoire chez les N'dama, et MAMBOUE (1987) au Burkina Faso chez les Baoulé, notent une répartition bimodale de l'intensité des chaleurs, avec deux pics, dont le plus important se situe entre 7 et 9 heures du matin. L'autre pic se situait entre 1 et 2 heures du matin chez les Baoulé (cf. fig.2.2.). Les N'dama, attachées la nuit, n'ont pu être observées pendant cette période; le second pic se situait entre 15 heures et 17 heures.

Fig. 2.2.- Répartition nycthémérale de l'intensité de l'oestrus chez les vaches Baoulé au Burkina Faso (MAMBOUE, 1987).
Cette répartition nycthémérale de l'activité sexuelle chez les Baoulé est corrélée négativement à la température et au comportement alimentaire (CHICOTEAU, 1989). Les vaches extériorisent un comportement sexuel pendant les heures fraîches, et se contentent de pâturer pendant les heures chaudes.

Fig. 2.3.- Répartition des comportements d'oestrus sur quatre périodes d'observation selon les mois, chez les vaches Baoulé au Burkina Faso (d'après CHICOTEAU et al., 1990).
Selon CHICOTEAU et al. (1990), la répartition des chevauchements varie en fonction du mois et de la saison. Si le principal pic se situe toujours le matin, on observe plus de chevauchements à la mijournée en saison fraîche et plus de chevauchements nocturnes en période chaude. (cf fig.2.3.). Le facteur de variation semble être la température extérieure.
Détection de l'oestrus
L'oestrus est couramment décelé soit par observation directe, soit à l'aide d'un animal marqueur (taureau vasectomisé, à pénis dévié, ou femelle androgénisée) muni de harnais marqueur.
Chaque méthode a ses avantages et inconvénients, et peut être jugée par sa sensibilité (pourcentage de détection des vaches en chaleurs) et par sa spécificité (pourcentage de vaches détectées qui sont effectivement en chaleurs).
Le tableau 2.4. présente les résultats rapportés pour les différentes méthodes.
On constate d'une manière générale que la détection des chaleurs à l'aide d'un animal marqueur (taureau vasectomisé ou à pénis dévié) est plus spécifique que celle par observation. Cependant, la sensibilité des détections faites avec une vache androgénisée ne semble pas satisfaisante.
Enfin, la sensibilité de la méthode par observation ou la sensibilité relative des deux méthodes est variable, et dépend en fait beaucoup du temps d'observation et de la qualité de celle-ci. Ceci explique pourquoi dans certains cas, la méthode de détection avec des animaux auxiliaires est plus sensible que l'observation (RALAMBOFIRINGA, 1975), alors que l'on obtient l'inverse dans d'autres cas (MEYER et YESSO, 1987).
CHICOTEAU et al. (1989b), lors d'une observation continuelle des chaleurs pendant 48 heures, en présence d'un taureau à pénis dévié, ont montré que le pourcentage de montes effectuées par le taureau pouvait être très variable. Ainsi, 38% des vaches étaient montées que par d'autres vaches, alors que 17% n'étaient pratiquement montées que par le taureau. Ceci montre que les deux méthodes sont complémentaires.
Tableau 2.4.- Sensibilité (sens.) et spécificité (spéc.) de différents moyens de détection de l'oestrus chez les vaches trypanotolérantes.
| Race | Pays | N | observation | Animal marqueur | Référence | |||
| sens. | spéc. | sens. | spéc. | moyen | ||||
| N'dama | Ghana | 42 | /64% | 86% | - | 100% | Taureau vasectomisé | Ralambofiringa, 1978 |
| Côte d'Ivoire | 25 | /87% | Taureau vasectomisé | Meyer et Yesso, 1987 | ||||
| Côte d'Ivoire | 11 | 89% | 60% | 62% | Vache androgénisée | Meyer et Yesso, 1991 | ||
| Mali | 60 | /82% | 93% | 96% | Taureau pénis dévié | Traoré et Bako, 1984 | ||
| Baoulé | Côte d'Ivoire | 24 | /93% | Taureau vasectomisé | Meyer et Yesso, 1987 | |||
| Côte d'Ivoire | 19 | 84% | 57% | 48% | Vache androgénisée | Meyer et Yesso, 1991 | ||
| Lagune | Bénin | 122 | /19% | Vache androgénisée | N'diaye et al., 1991 | |||
(les pourcentages précédés d'un / sont calculés par rapport à l'autre méthode)
Ces données sont cependant à relativiser: en effet, une seule monte par l'animal auxiliaire permet de dépister une vache en oestrus, alors que par observation, plusieurs montes sont nécessaires. En effet, MEYER et YESSO (1989) notent qu'en retenant toutes les vaches ayant accepté au moins une fois la monte, on obtient des résultats peu spécifiques. Ils obtiennent par contre une sensibilité de la méthode de 64% en ne retenant que les vaches ayant accepté au moins deux montes, avec une spécificité voisine de 100% pour les deux races.
LA COMPOSANTE MORPHOLOGIQUE OVARIENNE
Le cycle sexuel s'articule autour de variations morphologiques ovariennes. Celles-ci se caractérisent par la succession d'une phase folliculaire (croissance brutale, terminale et permissive d'un ou plusieurs follicules) conduisant à l'ovulation, et d'une phase lutéale (croissance, développement et régression du corps jaune) (THIBIER, 1976).
Ces modifications ovariennes retentissent, par les sécrétions hormonales qui en découlent (cf. ci-dessous), sur le tractus génital extragonadique: sur l'utérus (contractilité de l'utérus pendant l'oestrus), sur le col (ouverture pendant l'oestrus), le vagin (présence de mucus pendant l'oestrus) et la vulve (congestionnée pendant l'oestrus). Ces variations cycliques se retrouvent aussi bien chez les Baoulé (CHICOTEAU, 1989) que chez les N'dama (MEYER et YESSO, 1987).
Les modifications au niveau du col, de l'utérus et des ovaires sont notées par palpation. Une étude de l'appareil génital de la femelle Baoulé (MAMBOUE, 1987) a montré que:
il existe une activité ovarienne plus importante sur l'ovaire droit; ces ovaires sont de petite taille (3,0 ± 1,9 cm pour l'ovaire droit et 2,4 ± 1,3 cm pour l'ovaire gauche).
les dimensions de l'appareil génital sont réduites (longueur des cornes de 18,7 ± 6,8 cm)
La congestion de la vulve et l'écoulement de mucus provenant du vagin sont notables par simple observation de l'animal.
Ces signes peuvent aider dans la détection de l'oestrus. Ils ne sont cependant pas toujours présents.
MAMBOUE (1987) note la présence d'écoulements vulvaires chez 60 % des femelles Baoulé observées. MEYER et YESSO (1991) ne notent d'écoulement spontané de mucus que chez 8 à 9 % des vaches Baoulé et N'dama, ces taux montant à 31 et 24% pour ces deux races après pression de l'appareil génital. La congestion de la vulve n'est pas non plus un signe constant: ainsi, MEYER et YESSO ne l'observent que chez 50 à 75 % des cas (cf. fig.2.4.).

fig.2.4.- Présence de congestion de la vulve chez les vaches N'dama et Baoulé aux alentours de l'oestrus. (d'après MEYER et YESSO, 1991).
Un tel examen ne permet pas de détecter les vaches en oestrus avec fiabilité (35% de taux d'exactitude chez les Baoulé (MAMBOUE, 1987)); il ne peut être utilisé que comme un moyen sémiologique de confirmation.
LA COMPOSANTE HORMONALE
Les principales hormones ímpliquées dans le cycle oestral sont les suivantes:
Hormones d'origine ovarienne:
Les oestrogènes (principalement le 17β oestradiol), produits par le follicule en croissance terminale.
La progestérone, produite par le corps jaune de l'ovaire pendant la phase lutéale.
Hormones d'origine hypophysaire
La FSH, produite par l'hypophyse, stimulant principalement la folliculogénèse et la croissance folliculaire terminalé;
La LH, produite par l'hypophyse, entraînant la reprise de la division meïotique, l'ovulation, la formation du corps jaune (lutéinisation) et son maintien (lutéotropisme).
Ces deux dernières hormones, de demi-vie courte (10 minutes environ), sont libérées de manière pulsatile, sous l'influence de la décharge, elle-même pulsatile, de GnRH, d'origine hypothalamique. La sécrétion de ces deux hormones se caractérise aussi par un niveau de base très faible pendant la plus grande partie du cycle, et par un pic de grande amplitude au cours de la phase folliculaire.
Les oestrogènes
MEYER et YESSO (1992) rapportent un niveau de base de l'oestradiol de 5,1 à 5,8 pg/ml chez les vaches Baoulé et N'dama, et des niveau maximum en moyenne de 10,9 à 10,8 chez ces deux races.
DIOUF (1991) rapporte un niveau de base de l'oestradiol chez la N'dama de 6,9 pg/ml. Ce niveau s'élève jusqu'à 15,5 pg/ml 4 jours avant l'oestrus, mais cet auteur ne trouve qu'une concentration de 7,1 pg/ml le jour de l'oestrus chez les mêmes animaux au cours du même cycle.
Progestérone
L'allure de la courbe de progestéronémie au cours du cycle sexuel est désormais bien précisée, aussi bien chez les N'dama (DIOUF, 1991, MBAYE et al., 1989, MEYER et YESSO, 1989) que chez les Baoulé (CHICOTEAU et al., 1989a, BASSINGA et al., 1989, MEYER et YESSO, 1989).
Tableau 2.5. - Etudes sur la progestéronémie au cours du cycle oestral.
| Race | Pays | N animaux | N cycles | Référence |
| N'dama | Sénégal | 5 | 10 | Diouf, 1991 |
| N'dama | Sénégal | 7 | 14 | Mbaye et al., 1989 |
| N'dama | Côte d'Ivoire | 12 | 24 | Meyer et Yesso, 1989 |
| Baoulé | Côte d'Ivoire | 12 | 24 | Meyer et Yesso, 1989 |
| Baoulé | Burkina Faso | 11 | 11 | Chicoteau et al., 1989a |
Ces études, faites dans des sites différents, donnent des résultats comparables. Une étude comparée des courbes de progestéronémie des N'dama et Baoulé sur un même site a même permis de montrer la similitude des profils chez les deux races (cf. fig.2.5). Elles ont été obtenues soit chez des femelles ayant reçu initialement un traitement de maîtrise des cycles (CHICOTEAU et al., 1989a; DIOUF, 1991; MBAYE et al., 1989), soit chez des femelles en activité cyclique spontanée (DIOUF, 1991; MEYER et YESSO, 1989).
En considérant JO, jour de l'oestrus, comme premier jour du cycle, on note dans les différentes études répertoriées dans le tableau 2.5., l'évolution suivante:
Un progestéronémie très faible les 3 à 4 premiers jours (moins de 1 ng/ml jusqu'à J2/J3)
Puis une augmentation jusqu' à J8/J9 (de 1 à 1,4 ng/ml/j)
Un “plateau” jusqu'à J17, où la progestéronémie est élevée (moyenne de 9,5 ± 0,4 ng/ml; des valeurs ont été trouvées variant de 7 à 14 ng/ml). Les jours où la concentration est la plus élevée varient selon les auteurs (J12 (DIOUF, 1991); J12 à J14 (CHICOTEAU et al., 1989a); J15 (MEYER et YESSO, 1989); J16/J17 (MBAYE et al., 1989); ce critère n'a donc rien de caractéristique.
Une diminution en 3 jours en moyenne (de J17 à J20) pour revenir à des valeurs > 1 ng/ml (lutéolyse).
Les variations dans la durée du cycle semblent porter essentiellement sur des variations de la phase lutéale (CHICOTEAU et al., 1989a; MEYER et YESSO, 1989). Chicoteau rapporte une durée de la phase lutéale de 15,8 ± 1,7 jours.
La concentration maximale de la progestéronémie au cours du cycle, pendant la phase lutéale est en moyenne de 9,3 à 9,6 ng/ml (MEYER et YESSO (1989)), voire de 12 ng/ml (CHICOTEAU et al. (1989a))à 15,1 ng/ml (DIOUF (1991)). Ces valeurs sont plus élevées que ce qui est généralement observé ailleurs pour d'autres races en milieu tempéré (7,5 ng/ml (THIBIER, 1976)).
En outre, une étude des courbes hormonales de femelles zébus et de vaches d'origine européenne, élevées au Nigeria (ADEYEMO, 1984), montre que les taux de progestérone ne dépassent jamais les 5 ng/ml. De même, MBAYE et al. (1989) notent des valeurs maximales de la progestéronémie variant entre 7,3 et 13,2 ng/ml chez les N'dama, alors qu'elles ne varient que de 5,6 à 10,2 ng/ml chez les zébus Gobra.
Il est donc possible que la progestéronémie élevée en phase lutéale chez ces races trypanotolérantes soit un caractère spécifique de ces races.
Le seuil discriminant entre valeurs hautes et valeurs basses a été déterminé par MEYER et YESSO (1989) comme étant de 2 ng/ml, ce seuil permettant de séparer les 5 jours (J-1 à J3) autour de l'oestrus des autres jours. Ce seuil ne semble cependant pas être parfaitement applicable aux autres expérimentations; ce seuil est fixé par CHICOTEAU et al. (1989a) à 1,5 ng/ml.
L'utilité d'un tel seuil peut être soit de vérifier qu'une vache extériorisant un comportement d'oestrus n'est pas en phase lutéale, soit d'établir un diagnostic précoce de gestation à 21/24 jours après saillie ou insémination. Dans ce deuxième cas, la précision de la détermination du seuil n'est pas très importante, vue les hautes valeurs de la progestéronémie chez ces races lors de phase lutéale établie.
La précision de la détermination de ce seuil n'est pas très importante, au regard des hautes valeurs de la progestéronémie chez ces races lors de la phase lutéale établie.
Ce seuil doit être déterminé sur chaque site et pour chaque méthode de dosage, comme toute analyse biochimique il dépend aussi du matériel et des conditions techniques dans lesquelles ce matériel est utilisé.

Fig.2.5.: Courbes de progestérone au cours du cycle oestral en races bovines N'dama (———) et Baoulé (-------). (Meyer et Yesso, 1991).
L'hormone gonadotrope LH
Le suivi de la concentration de LH dans le sang au cours du cycle chez 8 vaches Baoulé (CHICOTEAU, 1989) montre que:
Les niveaux de base au milieu de la phase lutéale et lors de la lutéolyse sont équivalents (1,4 ng/ml), mais la pulsatilité est bien plus importante, en fréquence et en amplitude, lors de la lutéolyse et du début de la phase folliculaire
Le niveau de base autour de l'oestrus est plus élevé (1,8 ± 0,5 ng/ml)
Le pic préovulatoire de LH est synchrone du début de l'oestrus; la phase ascendante dure 2–3 heures, et la durée du pic est d'environ 6/7 heures; son amplitude est de 50 à 100 ng/ml.
Une autre étude des variations de concentrations sanguines de LH autour des chaleurs chez 7 vaches N'dama et 6 vaches Baoulé (MEYER et YESSO, 1992) donne les résultats suivants (tableau 2.6.):
Tableau 2.6.- Evolution du taux plasmatique de LH au cours du cycle oestral chez des vaches trypanotolérantes en Côte d'Ivoire (MEYER et YESSO, 1992).
| Race | Niveau de base de LH | Amplitude du pic de LH | Début oestrus/début du pic de LH (h) | Durée du pic de LH (h) | ||||
| (ng/ml) | (ng/ml) | |||||||
| x ± e.t. | x ± e.t. | x ± e.t. | x ± e.t. | |||||
| N'dama | 1,5 | 0,5 | 37,3 | 32,0 | 6,3 | 2,5 | 6,0 | 1,6 |
| Baoulé | 1,2 | 0,1 | 39,2 | 21,0 | 9,9 | 0,5 | 8,6 | 1,9 |
Ces résultats sont concordants avec ce qui est rapporté pour d'autres races; la grande variation observée dans le délai entre le début de l'oestrus et le début du pic de LH est liée à la variation dans les profils de LH: il est rapporté par ces auteurs que les pics les plus précoces sont aussi les moins prononcés.
Enfin, chez les N'dama au Sénégal, une étude des variations de LH au cours du cycle (DIOUF, 1991) ont donné les résultats suivants:
Niveau de base au cours de la phase lutéale: 1,1 ng/ml
Niveau de base autour de l'oestrus (J-4): 2,2 ng/ml
Amplitude du pic de LH: 13,9 ng/ml
La différence d'amplitude du pic de LH entre ces trois études peut s'expliquer par la fréquence des prélèvements: toutes les heures dans la première étude, toutes les deux heures dans la seconde, et toutes les quatre heures dans la troisième. La relative courte durée du pic, la nature pulsatile de la sécrétion de LH et sa faible demi-vie expliquent que plus les prélèvements sont fréquents, plus on a de chances de trouver des taux élevés de LH.
INTERRUPTION DU CYCLE SEXUEL
En milieu traditionnel, la répartition des vêlages n'est pas régulière, et se dessine souvent un pic de vêlages à certains mois de l'année.
Cette observation indique de manière indirecte une période plus favorable pour la conception. Cet effet peut avoir plusieurs origines:
Influence directe de la saison sur la cyclicité (température, hygrométrie, ensoleillement…)
Influence du disponible alimentaire sur la cyclicité
Influence de la conduite du troupeau
Influence de la pathologie
Ces éléments peuvent influencer non seulement le taux de femelles cyclées, mais aussi le délai de la reprise de l'activité ovarienne post-partum et la fertilité des taureaux.
Un suivi pendant un an de la cyclicité d'un troupeau Baoulé en station a permis à CHICOTEAU et al. (1990) de montrer la variation du taux de femelles cyclées; 76% des femelles étaient cyclées en saison sèche fraîche, contre moins de 50 % en saison prépluvieuse. Néanmoins, certaines vaches n'ont pas présenté d'interruption de la cyclicité tout au long de l'année.
Dans la mesure où une corrélation a été trouvée entre le poids des animaux et leur statut cyclique (les femelles cyclées pesaient 210 ± 40 kg (n=223), les femelles acycliques 176 ± 39 kg (n=89)), les auteurs concluent que cet effet saisonnier est en fait la conséquence du facteur nutritionnel, soit que la ration alimentaire soit de moins bonne qualité, soit que l'ingestion alimentaire diminue afin d'assurer l'homéostasie.
AXES DE RECHERCHE
Si les données caractérisant le cycle des bovins trypanotolérants commencent à être bien connus, différents travaux portant sur les influences de plusieurs facteurs permettraient de mieux cerner les variations observées.
Le poids des animaux, leur état général jouent sur l'intensité de l'oestrus. Il a été montré que au fur et à mesure que les animaux maigrissent, l'oestrus perd en durée et en intensité, puis les animaux entrent en anoestrus.
Si ce facteur alimentaire semble prépondérant dans l'influence des saisons sur les caractéristiques du cycle oestral, d'autres facteurs mériteraient une étude caractéristique: influence de la température, de l'hygrométrie, de la lumière; influence de la conduite du troupeau,…
D'autres axes de recherche permettraient de mieux préciser certains aspects du cycle sexuel:
Moment de l'ovulation
Corrélation entre l'heure d'apparition de l'oestrus et sa durée, ou tout autre facteur pouvant expliquer les grandes variations individuelles observées sur ce dernier paramètre;
Corrélation entre comportement sexuel et taux d'oestrogènes;
Autres méthodes de détection des chaleurs (changement de résistivité électrique de l'utérus, analyses de raclages vaginaux, …).
BIBLIOGRAPHIE
ADEYEMO (O.): “Plasma concentration of progesterone during normal oestrus cycle and following prostaglandine PgF2 alpha treatment Bos indicus and tropic adapted Bos taurus.”, Theriogenology, 1987, 27: 759–768.
BASSINGA (A.), CHICOTEAU (P.), CLOE (L.), COULIBALY (M.), THIOMBIANO (D.): “Dosages radioimmunologiques en reproduction animale.” In: “Deuxième atelier de travail sur la reproduction du bétail trypanotolérant en Afrique occidentale et centrale.”, Banjul (Gambie), FAO RAF/88/100, 1989, 39–41.
BIERSCHENKL (F.): “Research on the sexual behavior of the N'dama.”, Trypanotolerance and animal Production, Avetonou (Togo), 1984, 3, 31–39
CHICOTEAU (P.): “Adaptation physiologique de la fonction sexuelle des bovins Baoulé au milieu tropical sud-soudanien.”, Thèse de doctorat es sciences, Université de Paris XII, 1989, 174 p.
CHICOTEAU (P.): “La reproduction des bovins tropicaux.”, Rec. Méd. vét. 1991, 167 (3/4): 241–247.
CHICOTEAU (P.), HUMBLOT (P.), CLOE (C.), BASSINGA (A.), THIBIER (M.): “Physiological and pathological plasma profiles of progesterone and LH in indigenous West African Shorthorn cows (Bos taurus taurus)”, Zuchthygiene, 1989, 24: 193–200.
CHICOTEAU (P.), MAMBOUE (E.), CLOE (C.), BASSINGA (A.): “Oestrus behaviour of Baoule cows (Bos taurus) in Burkina Faso.”, Anim. Repr. Sci., 1989, 21: 153–159.
CHICOTEAU (P.), COULIBALY (M.), BASSINGA (A.), CLOE (C.): “Variations saisonnières de la fonction sexuelle des vaches Baoulé au Burkina Faso.”, Rev. Elev. Méd. vét. Pays trop., 1990, 43 (3): 387–393.
COULIBALY (M.): “Recherche d'une base physiologique au saisonnement de la reproduction des Baoulé (Bos taurus).”, Mémoire de fin d'études, Institut de Développement Rural, Ouagadougou, 1988, 76p.
DIOUF (M.N.): “Endocrinologie sexuelle chez la femelle N'dama au Sénégal.” Thèse Médecine vétérinaire, 1991, EISVM Dakar, 121p.
DJABAKOU (K.), GRUNDLER (G.), LARE (K.), KOUGBENA (L.): “Involution utérine et reprise de cyclicité post-partum chez les femelles bovines trypanotolérantes: N'dama et Baoulé.” Rev. Elev. Méd. vét. Pays trop., 1991, 44 (3): 319–324.
GWAZDAUSKAS (F.C.): “Effects of climate on reproduction in cattle.”, J. Dairy Sci., 1985, 68: 1568–1578.
GYAWU (P.), KABUGA (J.D.), ASARE (K.), KARIKARI (P.K.), APPIAH (P.), KWARTENG (P.K.), AWUNYO (P.K.): “Oestrus response of N'dama cows after treatment with prostaglandin F2α analogue (cloprostenol) in the humid forest zone of Ghana.”, In: “Third workshop on the reproduction of trypanotolerant livestock in west and central Africa.”, Banjul (Gambie), FAO RAF/88/100, 1991, 54–62.
HARESIGN (W.): “Underfeeding and reproduction: physiological mechanisms.”, Reproduction des Ruminants en Zone Tropicale, Les colloques de l'INRA, 1983, 20, 339–365.
LORENZINI (E.), SCOTT (J.R.), PALING (R.W.), JORDT (T.): “Effets de l'infection trypanosomienne sur le cycle de reproduction des génisses N'dama et Boran.”, In: Production animale dans les régions d'Afrique infestées par les glossines.”, Nairobi (Kenya), CIPEA, 1987, p 189–195.
MAMBOUE (D.): “Quelques aspects de la reproduction chez la femelle Baoulé (Bos taurus): - Comportement d'oestrus; - Etude postpartum.”, Mémoire de fin d'études IDR, Ouagadougou (Burkina Faso), Juin 1987, 89 p.
MBAYE (M.), DIOP (P.E.H.), NDIAYE (M.): “Analyse des caractéristiques de la reproduction chez les ruminants: étude du cycle sexuel chez les vaches de race sénégalaise.”, In: “Deuxième atelier de travail sur la reproduction du bétail trypanotolérant en Afrique occidentale et centrale.”, Banjul (Gambie), FAO RAF/88/100, 1989, 52–53.
MEYER (C.), YESSO (P.): “Etude de la reproduction des bovins trypanotolérants Baoulé et N'dama au centre élevage de l'IDESSA à Bouaké (Côte d'Ivoire). I. - Manifestation des chaleurs.” Note technique No 01/87/CE-ZOOT, IDESSA Bouaké, Janvier 1987, 13p.
MEYER (C.), YESSO (P.): “Etablissement des courbes de progestérone au cours du cycle oestral en races bovines (trypanotolérantes) N'dama et Baoulé.”, IIeme séminaire FAO-IAEA, Harare (Zimbabwe), 4–8 sept. 1989.
MEYER (C.), YESSO (P.): “Maîtrise de l'oestrus chez les bovins (trypanotolérants) N'dama et Baoulé.”, In: “La reproduction des ruminants en zone tropicale.”, réunion IEMVT Septembre 1989, IEMVT ed., Maisons-Alfort (France), 1990, 37–38.
MEYER (C.), YESSO (P.): “Etude des chaleurs des vaches (trypanotolérantes) N'dama et Baoulé en Côte d'Ivoire. I -Particularités des composantes comportementales et organiques.” -Rev. Elev. Med. vét. Pays trop., 1991, 2: 199–206.
MEYER (C.), YESSO (P.): “Etude des chaleurs des vaches (trypanotolérantes) N'dama et Baoulé en Côte d'Ivoire. II -Composante hormonale (LH et oestradiol).”, Rev. Elev. Méd. vét. Pays trop., 1992, accepté pour publication.
PACCARD (P.): “La détection des chaleurs.” In: “Connaître, comprendre et mieux maîtriser la fécondité bovine.”, Société française de buiatrie (ed.), Paris (France), 1985, pp. 195–204.
PLASSE (D.), WARNICK (A.C.), KOGER (M.): “Reproductive behavior of Bos indicus female in sub-tropical environment. IV. Length of oestrous cycle, duration of oestrus, time of ovulation, fertilization and embryo survival in grade Brahman heifers.”, J. Anim. Sci., 1970, 30 (1): 63–72.
RALAMBOFIRINGA (A.): “Contribution à l'étude de la physiologie de la reproduction, la méthodologie de la détection de l'oestrus et la technologie de l'insémination artificielle de la race N'dama en République de Côte d'Ivoire.”, Thèse vétérinaire, 1975, ENV, Lyon, no 74.
RALAMBOFIRINGA (A.): “Notes sur les manifestations du cycle oestral et sur la reproduction des femelles N'dama.”, Rev. Elev. Méd. vét. Pays trop., 1978, 31 (1), 91–94.
THIBIER (M.): “Le cycle sexuel de mammifères domestiques.”, Economie et Médecine Animales, 1976, 17 (3): 117–177.
THIMONIER (J.), CHEMINEAU (P.): “seasonality of reproduction in female farm animals under a tropical environment (cattle, sheep and goats.” In: “11th International Congress on Animal Reproduction and Artificial Insemination. Dublin (Ireland), 26–30 June 1988, University College Dublin, 1988 5: 229–237.
TRAORE (A.), BAKO (G.): “Etude du cycle sexuel chez les vaches et les génisses N'dama élevées au CRZ de Sotuba (Mali).I - Incidence de l'utilisation d'un taureau boute-en-train sur le taux de détection des chaleurs. II - Caractéristiques du cycle oestral et de l'oestrus.”, Rev. Elev. Méd. vét. Pays trop., 1984, 37 (4): 482–487.
YESSO (P.), MEYER (C.): “Reprise post-partum et cyclicité des vaches trypanotolérantes en fonction de la variation saisonnière en région centre de Côte d'Ivoire.”, In “Troisième atelier de travail sur la reproduction du bétail trypanotolérant en Afrique de l'ouest et centrale.”, FAO RAF/88/100 ed., Banjul (Gambie), 22.