J. Morin, The Institute of Earth Sciences, The Hebrew University of Jerusalem
Approximately 500 million people live in the semi-arid regions of the world, and most of them depend on agriculture for their livelihood. By definition semi-arid regions have an insufficient water supply to support stable agriculture. Not only is there insufficient rain, but it is also highly erratic in occurrence between years, during the year, and spatially, during any single rainfall event. In general, the rainfall pattern becomes more variable as the annual rainfall decreases. Moisture storage as such is usually not a restriction, unless the soils are very sandy or very shallow. Many soils in semi-arid tropics have effective depths of approximately a metre, with a subsoil structure and clay mineral assemblage which guarantee an effective soil moisture storage capacity of the equivalent of at least 100 mm of rainfall. A critical factor, however, is the degree to which the surface allows rainwater to penetrate, at the very start of the rainy season. A significant part of the insufficient rainfall may not enter the soil even though the soil has sufficient water storage capacity to accept it. Runoff losses from a field can amount to 30-35% of storm rainfall (Hoogmoed and Stroosnijder 1984). Much of the rain in semi-arid zones falls at high intensities, causing runoff and severe erosion, even on moderate slopes.
In many localities infiltration is limited by surface crusting rather than by properties of the deeper soil. Improvement of infiltration reduces runoff, and thus increases available soil water. The main methods used to increase infiltration are: the use of soil amendments; soil management by tillage; and conservation farming. These methods may be used separately or together. In this paper only the first two methods will be discussed.
One way of reducing crusting is to improve soil structure and aggregate stability at the soil surface. Increasing electrolyte concentration by spreading phosphogypsum on the soil surface, results in a moderate increase in the infiltration rate and higher final values, compared with those in untreated soil (Agassi et al. 1981). Phosphogypsum at the soil surface dissolves readily during rainstorms and releases Ca++ and SO4- - ions into the soil solution giving concentrations high enough to prevent clay dispersion. Mined gypsum is much less effective than phosphogypsum in preventing crust and surface seal formation, as it dissolves less readily. Phosphogypsum improves the physical properties of the soils, by replacing Na+ with Ca++ on the soil colloids. Ca++-saturated soil is more stable and thus more permeable than Na+-saturated soil.
The use of organic polymers, especially PAM (Poly Acryl Amide), to improve soil structure and reduce crust formation has been under intensive investigation for many years. Although such amendments are currently too costly for most African farmers, the use of these methods in experiments often helps us to identify the main problems.
Figure 3 presents runoff percentages from the 1989 rainy season in northern Cameroon. Straw mulch and phosphgypsum plus PAM amendments were applied to plots representative of the three main soil types in the area (Luvisols, Vertisols, Planosols), to test the relative effectiveness of the two treatments in improving infiltration. The runoff from the bare control plots was very high, > 60% of the season's rainfall. Mulching the Luvisol, thus eliminating the surface seal, reduced the runoff to 10% of the total rainfall. On the Vertisol the mulch application reduced runoff from 65% to 25%. On the other hand, the hardsetting crust of a Planosol in Salak was less affected by mulching. Here runoff was reduced from 60 percent in the control area to 55 percent by the mulch treatment. The thick compact dense surface horizon was responsible for this. The gypsum and PAM was more effective than the mulch, and reduced the runoff to 45%. Figure 3 shows that raising the infiltration rate by complete mulching, is not sufficient alone to eliminate runoff under semi-tropical African conditions.
|
The main advantages of deep ploughing are weed control and the loosening of compacted soil layers. It also roughens the soil surface, enhancing infiltration, primarily by the retention of water in small surface holes and depressions. Stable, large aggregates, as are common in many clay soils, give high infiltration rates and engender storage through the rainy season. In weakly structured soils, however, like most of the soil types in northern Cameroon, the aggregates collapse quite fast leaving a smooth sealed surface. In such cases, special tillage methods can be used to encourage and control surface storage.
Basin tillage systems, with their tied-ridges and diked furrows, and large surface storage capacities, are a promising way to prevent runoff.
Basin tillage has grown in popularity in African research centres (Klaij and Serafini 1988; Rodriguez 1988). These papers record the success of the tied-ridges system in raising the yields of the ICRISAT Sahelian centre and in Burkina Faso. Recently Gotora (1991) and Vogel et al. (1991) have shown increased yields in Zimbabwe by combining the tied-ridge method with no-till management.
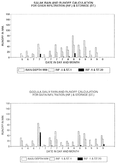
Morin and Benyamini (1988) have developed a method to calculate runoff for any basin volume and for any rainfall regime.
Figure 4 shows an example of their type of analysis for a storm of 66 mm in Mokyo, Cameroon. Infiltration parameters were taken from rainfall simulator experiments.
Figure 4a illustrates a runoff of 44 mm derived from a smooth, crusted surface with a surface storage of 0.5 mm. Figure 4b shows runoff of 25 mm for the same storm using the same infiltration equation, but for tied-ridges having a storage of 20 mm.
The monsoon type of rainfall, common in the sub-tropical regions of Africa, is characterized by short periods of high intensity rainfall. Such storms are common in northern Cameroon along the semi-arid belt south of the Sahara. Almost every year the monsoon provides one or more such storms. To trap the water from storms of this size, basin storage greater than 20-30 mm is required. This is bigger than animal traction or small tractors can achieve.
In the Marua region, rainfall patterns similar to those for the 1988 season, (Figure 5) occur almost every year.
As shown in Figure 5, two typical storms (16/07/88 and 28/07/88) in Mokyo would probably have caused overflow and destruction of the basins. During the 148 mm storm of 16/07/88, 80 mm fell at intensities greater than the holding capacity of the basins. The same overflow situation can be expected almost every year.
In developing countries mechanized agriculture, or even ox-drawn ploughs are uncommon. Hand-hoeing is dominant, so deep and stable small basins are not a solution.
|
One promising method is to use small basins (called areal basins or locally diguettes) to absorb all the rainfall in situ. Some farmers in Cameroon and Nigeria use plots of 20 x 20 m or even 40 x 40 m, raising long low ridges round the plots (Plate 1). They can only construct the ridges when the soil is moist, after the start of the rains. At this time farmers are also busy weeding and sowing, so the diguettes are often poorly made with broken ridges, which makes them ineffective.
The main concept is to divide the area into big basins, each in effect a small field. They are cultivated by the farmer, using whatever means he has available, usually by hand or using draft animals. The system has worked for generations in Asia, for example in northern Thailand. Rainfed rice fields are constructed in this manner. The Australians use a very similar system to reclaim pasture or establish new forest areas. In many countries establishment of permanent large basins of this kind needs to be supported by the state or other large organizations. Such basins should be regarded as part of the infrastructure for development. subsequent maintenance is essential and is the key to the sustainability of the system.
Basin size as well as surface drainage, for extra water, depend on local topography and soil conditions. As farming becomes more sophisticated in the future, agroforestry and branch mulching or ley farming could be incorporated into the system.
The possibility of effective management to overcome the restricting effects of crusting depends greatly on the local infrastructure, and a community's culture and means. Western agricultural management techniques cannot simply be copied in the African sub-tropics. Agricultural development to increase food production, is a slow process that must be handled wisely while preserving the local community life.
Developing effective management systems for specific conditions requires a quantitative, in-depth understanding of the local soil restrictions, in which crust formation and surface seal are dominant.
The author is confident that such restricting factors can be overcome to help give a significant increase in food production in African sub-tropical communities.
|
|
