12. POPULATION DYNAMICS
Because of the shortage of data essential for the comprehensive analysis of Pacific bigeye tuna, studies done on this subject so far are almost exclusively based on the Japanese longline data.
Table 9. Annual catch (MT) of Pacific bigeye tuna by country.
| Year | Bermuda | Cuba | Ecuador | Fiji | Japan | Korea | Other Nei A (Taiwan) | Other Nei B | Solomon Islands | Venezuela | Pacific Total | |||
| Panama | Tonga | USA | ||||||||||||
| 1965 | 66,200 | 700 | 2,000 | 68,900 | ||||||||||
| 1966 | 70,700 | 2,900 | 3,500 | 77,100 | ||||||||||
| 1967 | 75,200 | 3,200 | 3,200 | 81,600 | ||||||||||
| 1968 | 62,400 | 600 | 4,000 | 67,000 | ||||||||||
| 1969 | 72,600 | 2,500 | 4,600 | 79,700 | ||||||||||
| 1970 | 71,000 | 5,000 | 0 | 76,000 | ||||||||||
| 1971 | 100 | 57,900 | 4,700 | 4,300 | 800 | 67,800 | ||||||||
| 1972 | 77,200 | 7,800 | 3,800 | 100 | 88,900 | |||||||||
| 1973 | 76,300 | 8,900 | 3,700 | 400 | 89,300 | |||||||||
| 1974 | 70,392 | 14,444 | 4,420 | 132 | 89,388 | |||||||||
| 1975 | 85 | 81,170 | 15,484 | 5,348 | 330 | 102,417 | ||||||||
| 1976 | 0 | 101,040 | 21,395 | 3,078 | 1,039 | 126,552 | ||||||||
| 1977 | 307 | 120,929 | 17,663 | 4,507 | 581 | 143,987 | ||||||||
| 1978 | 0 | 104,640 | 8,456 | 4,402 | 423 | 117,921 | ||||||||
| 1979 | 0 | 107,389 | 12,804 | 4,491 | 1,331 | 126,015 | ||||||||
| 1980 | 0 | 99,692 | 13,975 | 4,637 | 1,465 | 3,196 | 122,965 | |||||||
| 1981 | 0 | 83,721 | 10,608 | 3,849 | 770 | 40 | 2,113 | 101,101 | ||||||
| 1982 | 0 | 1,100 | 8 | 94,113 | 10,050 | 2,111 | 177 | 23 | 1,207 | 108,789 | ||||
| 1983 | 0 | 1,249 | 14 | 97,224 | 7,706 | 3,477 | 34 | 726 | 400 | 110,830 | ||||
| 1984 | 0 | 1,814 | 16 | 88,867 | 7,478 | 2,943 | 55 | 696 | 1680 | 103,549 | ||||
| 1985 | 0 | 2,410 | 133 | 106,486 | 10,898 | 3,031 | 46 | 62 | 820 | 123,886 | ||||
| 1986 | 0 | 1,116 | 94 | 125,570 | 15,927 | 2,879 | 0 | 101 | 1120 | 146,807 | ||||
| 1987 | 0 | 240 | 49 | 125,816 | 19,544 | 3,280 | 130 | 259 | 14 | 867 | 260 | 150,459 | ||
| 1988 | 0 | 240 | 27 | 87,959 | 13,681 | 3,610 | 130 | 1,085 | 7 | 1,956 | 260 | 108,955 |
Data source : FAO (1965–1988).
Table 10. Annual catch (MT) of Pacific bigeye tuna by fishing gear, 1955–1988. LL-longline, BB-baitboat, PS-purse seine.
| Longline | Surface fishery | Grand Total | % of Japan LL | ||||||||||
| Year | Japan | Korea | Taiwan | Sub-Total | % of Japan LL | Japan | Solomon PS+BB | IATTC PS+BB | Sub-Total | ||||
| BB | Trop. PS | Others | |||||||||||
| 1955 | 39,200 | 800 | 40,000 | 98 | 4,009 | 342 | 117 | 4,468 | 44,468 | 88 | |||
| 1956 | 30,700 | 900 | 31,600 | 97 | 4,373 | 957 | 40 | 5,370 | 36,970 | 83 | |||
| 1957 | 64,400 | 900 | 65,300 | 99 | 5,198 | 435 | 68 | 5,701 | 71,001 | 91 | |||
| 1958 | 86,500 | 1,000 | 87,500 | 99 | 4,196 | 114 | 232 | 4,542 | 92,042 | 94 | |||
| 1959 | 79,300 | 800 | 80,100 | 99 | 1,729 | 74 | 150 | 1,953 | 82,053 | 97 | |||
| 1960 | 87,600 | 700 | 88,300 | 99 | 1,524 | 152 | 183 | 1,859 | 90,159 | 97 | |||
| 1961 | 132,200 | 1,500 | 133,700 | 99 | 1,837 | 111 | 213 | 2,161 | 135,861 | 97 | |||
| 1962 | 119,800 | 3,400 | 123,200 | 97 | 824 | 213 | 328 | 1,365 | 124,565 | 96 | |||
| 1963 | 144,400 | 3,600 | 148,000 | 98 | 1,822 | 39 | 75 | 1,936 | 149,936 | 96 | |||
| 1964 | 99,500 | 3,500 | 103,000 | 97 | 1,142 | 260 | 68 | 1,470 | 104,470 | 95 | |||
| 1965 | 73,500 | 700 | 2,000 | 76,200 | 96 | 1,254 | 231 | 118 | 1,603 | 77,803 | 94 | ||
| 1966 | 76,900 | 2,900 | 3,500 | 83,300 | 92 | 1,108 | 96 | 267 | 1,471 | 84,771 | 91 | ||
| 1967 | 77,700 | 3,200 | 3,200 | 84,100 | 92 | 2,803 | 314 | 1,663 | 4,780 | 88,880 | 87 | ||
| 1968 | 63,939 | 600 | 4,000 | 68,539 | 93 | 2,272 | 250 | 2,559 | 5,081 | 73,620 | 87 | ||
| 1969 | 91,885 | 2,500 | 4,600 | 98,985 | 93 | 1,679 | 158 | 576 | 2,413 | 101,398 | 91 | ||
| 1970 | 71,165 | 5,000 | 76,165 | 93 | 1,579 | 247 | 1,332 | 3,158 | 79,323 | 90 | |||
| 1971 | 65,059 | 4,700 | 4,300 | 74,059 | 88 | 931 | 218 | 2,567 | 3,716 | 77,775 | 84 | ||
| 1972 | 82,632 | 7,800 | 3,800 | 94,232 | 88 | 2,364 | 781 | 2,238 | 5,383 | 99,615 | 83 | ||
| 1973 | 90,313 | 8,900 | 3,700 | 102,913 | 88 | 852 | 251 | 1,978 | 3,081 | 105,994 | 85 | ||
| 1974 | 68,730 | 14,444 | 4,420 | 87,594 | 78 | 729 | 456 | 889 | 2,074 | 89,668 | 77 | ||
| 1975 | 76,913 | 15,484 | 5,348 | 97,745 | 79 | 3,522 | 743 | 3,722 | 7,987 | 105,732 | 73 | ||
| 1976 | 96,816 | 21,395 | 3,078 | 121,289 | 80 | 7,982 | 889 | 10,185 | 19,056 | 140,345 | 69 | ||
| 1977 | 115,833 | 17,663 | 4,507 | 138,003 | 84 | 5,096 | 970 | 7,054 | 13,120 | 151,123 | 77 | ||
| 1978 | 100,557 | 8,456 | 4,402 | 113,415 | 89 | 3,330 | 1,987 | 11,710 | 17,027 | 130,442 | 77 | ||
| 1979 | 104,776 | 12,804 | 4,491 | 122,071 | 86 | 1,967 | 1,239 | 7,530 | 10,736 | 132,807 | 79 | ||
| 1980 | 96,637 | 13,975 | 4,637 | 115,249 | 84 | 2,205 | 1,021 | 15,417 | 18,643 | 133,892 | 72 | ||
| 1981 | 78,630 | 10,608 | 3,849 | 93,087 | 84 | 2,357 | 1,733 | 40 | 10,089 | 14,219 | 107,306 | 73 | |
| 1982 | 87,571 | 10,050 | 2,111 | 99,732 | 88 | 4,057 | 2,516 | 23 | 4,103 | 10,699 | 110,431 | 79 | |
| 1983 | 91,200 | 7,706 | 3,477 | 102,383 | 89 | 3,847 | 1,559 | 645 | 34 | 3,260 | 9,345 | 111,728 | 82 |
| 1984 | 83,504 | 7,478 | 2,943 | 93,925 | 89 | 3,447 | 884 | 745 | 55 | 5,853 | 10,984 | 104,909 | 80 |
| 1985 | 104,208 | 10,898 | 3,031 | 118,137 | 88 | 2,895 | 1,163 | 1,382 | 46 | 4,531 | 10,017 | 128,154 | 81 |
| 1986 | 123,103 | 15,927 | 2,879 | 141,909 | 87 | 2,227 | 1,672 | 1,009 | 0 | 1,979 | 6,887 | 148,796 | 83 |
| 1987 | 121,386 | 19,544 | 3,280 | 144,210 | 84 | 1,834 | 1,765 | 1,002 | 259 | 771 | 5,631 | 149,841 | 81 |
| 1988 | 94,666 | 13,681 | 3,610 | 111,957 | 85 | 2,900 | 1,044 | 953 | 1,085 | 1,053 | 7,035 | 118,992 | 80 |
| 1989 | 103,326 | 2,472 | 1,741 | 1,317 | 1,807 | ||||||||
Data source :
Japan LL >20 GT for 1955–1973 : Kume (1979b) and FAO (1974–1988).
Japan LL <20 GT for all years : MAFFJ (1955–1990).
Japan surface catch : MAFFJ (1955–1990).
Korea LL : FAO (1965–1988). All are assumed by LL.
Taiwan LL : FAO (1965–1988). other nei A. All are assumed by LL. Before 1965 data are taken from Kume (1979b).
Solomon : FAO (1981–1988).
IATTC : IATTC (1989).
12.1 Production Model Analysis
It may not be appropriate to apply the method of production model analysis if the assumptions that (a) the rate of natural increase of the stock responds immediately to changes in population density, and (b) the rate of natural increase of the stock at a given level of biomass is independent of the age (or size) composition of the stock, are not satisfied. In the case of Pacific bigeye tuna it is considered that it takes 4 years for the fish to recruit into the longline fishery (Suda, 1970b) so that the first assumption is not matched satisfactorily. Furthermore, the second assumption also appears seldom satisfied for long-lived species such as tunas. On the other hand, the fact that the fishing condition and the fishery have been stable, and that the changes in the age (or size) composition of the catch seem to be smaller than for other tunas, may provide a basis for the application of this method. Irrespective of the above-mentioned drawbacks, production model analysis might give a general picture of stock status, MSY, etc., for the species under consideration, especially since there is a lack of complete and detailed data for more sophisticated analysis such as cohort analysis.

Fig. 14. Relationship between estimated Japanese longline catch and effort for bigeye tuna in the eastern tropical Pacific for 1957–1980. The fine lines and figures in two digits denote hook rates in numbers of fish per 100 hooks and year, respectively. After Miyabe and Bayliff (1987).
Production model analysis requires catch and fishing effort or CPUE. Since complete fishing effort data are not available, Kume (1979b) and Miyabe (1989; 1991) used the Japanese longline effort as basic data. The effective fishing effort, standardized by the Honma method (Honma 1974) of the Japanese longline fishery, was raised to the total effective effort using the proportion of the Japanese longline catch relative to the total catch. As stated above, the proportion of the Japanese longline catch has been very high (70–90%). The programme “PRODFIT” of Fox (1975) is used, applying the number of year classes that contributes significantly in the catch set at four. The results are shown in Figure 17 and Table 11. Kume (1979b) estimated the MSY between 100,000–106,000 mt with best fit at shape parameter m = 0.0. Miyabe (1991) estimated the MSY between 130,000–167,000 mt with best fit at m = 0.0. Although the shape of the production curve is not known, and the current level of fishing effort is the highest recorded to date, the fishing effort does not appear to exceed considerably the level that gives the MSY.

Fig. 15. Annual trend in the Japanese longline CPUE standardized by Honma method. After Miyabe (1991).
12.2 Virtual Population Analysis (VPA)
Kume (1979b) estimated the catch-at-age for fish caught by the Japanese longline fishery for 1957–1975 using the length-frequency samples and the growth equation by Suda and Kume (1967). Then, assuming that the Taiwanese and Korean longline fleets caught the same size of fish in a given area, catch-at-age was prorated to include the catch by Taiwan and Korea. Minimum stock size analysis (Honma 1978), which is one of the variety of VPA analyses, was applied in order to estimate the recruitment. Natural mortality rate (0.361) was employed from Suda and Kume (1967). The estimated recruitment (age 1 fish) was about 9 millions for 1956–57 cohorts and 6 to 6.5 millions for 1964–66 cohorts. The recruitment at age 1 was also estimated assuming the constant recruitment number using the relationship between fishing effort and reciprocal of CPUE (Suda 1970a). The estimate was 7.4 million and very close to Kume's (1979b) results.
Similarly, Miyabe (1989) constructed the catch-at-age for 1965–1987 but solely for the fish caught by the Japanese longline fishery. Miyabe (1989) tuned the VPA with standardized CPUE from the Japanese longline fishery in a way described by Parrack (1986). A value of 0.4 was used for M. The objective function to be minimized is:
SSQ = ∑ (CPUEcal - CPUEobs)2
where SSQ = sum of squares, CPUEcal = calculated CPUE by VPA, and CPUEobs = observed CPUE. CPUEcal can be calculated by regressing population number (N) from the VPA to observed CPUE applying the equation CPUEcal = q.N. Here q is catchability coefficient.
The estimated population number at age 1 ranges between 11 to 13 million with smaller fluctuations (10–20%) among years. This is similar to the findings of Kume (1979b) although the level of recruitment is different.
It should be noted that data, in particular length samples, are often less than the desired level, and the assumptions used may not be appropriate since they cannot be proved practically. Because of this, the results should be interpreted with caution.

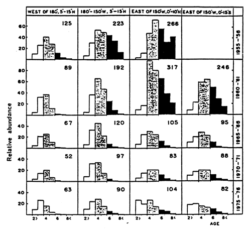
Fig. 16. Changes in CPUE by age of bigeye tuna in the equatorial Pacific, shown by 5-year intervals. Numbers in the panels are total CPUE. After Kume (1979a).

Fig. 17. Annual catch against annual fishing effort and estimated production curves for Pacific bigeye tuna. After Miyabe (1991).
Table 11. Results of production model analysis on Pacific bigeye tuna. After Miyabe (1991).
| m (shape parameter) | MSY (1,000 MT) | Fopt (million hooks) |
| 0.0 | 167 | ∞ |
| 1.001 | 130 | 500 |
| 2.0 | 130 | 550 |
12.3 Yield-per-Recruit (Y/R) Analysis
Suda (1970b) presented the results of Y/R analysis incorporating the Ricker-type stock-recruitment relationship, which was estimated from the spawning potential. Effective fishing effort and M (0.361) were taken from Suda and Kume (1967) for 1957 1964. The estimated equilibrium yield curve is shown in Figure 18. The MSY is about 90,000 mt when F is 0.5–0.6 assuming the knife-edge-type recruitment at age 4. He also presented the results of several combinations of input parameters, such as recruitment age and F.
Thompson-and-Bell-type Y/R analysis was done by Miyabe (1991). The inputs are M, weight-at-age and selectivity-at-age. Ages 1 through 7 are included in the calculation. Selectivity-at-age in the most recent year was estimated by the Pope and Shepherd's (1982) separable VPA applying the recent catch-at-age for the Japanese longline catch. The estimated Y/R, which is shown in Figure 19, increases to about 8 kg as F becomes larger up until approximately 0.8 and then levels off thereafter. Judging from the current information on the average size of bigeye (40–45 kg) caught by longline gear, it appears F is in moderate range (0.2–0.4) for fully-recruited ages.

Fig. 18. The estimated equilibrium curve for Pacific bigeye tuna. After Suda and Kume 1967.

Fig. 19. Thompson and Bell type Y/R curve estimated for the Pacific bigeye tuna. After Miyabe (1991).
13. INTERACTIONS
Among tunas, bigeye seems to be one of the species with the lowest level of gear interaction. There are several fishing gears which harvest bigeye tuna, such as longline, purse seine, baitboat and other miscellaneous gears (trolling, hand-lining, ring net, gill net, etc.). In Table 10, the catch was shown divided into surface and longline catch, which consists of smaller to medium and medium to large fish, respectively. It indicated that the longline catch accounted for more than 85% of the total catch. This means there is less within-generation interaction between fisheries. In addition to this, the major distributional pattern of catch by two gear categories differs geographically. The greater catch occurs in coastal or island areas for the surface fishery but in high seas for the longline fishery.
14. REFERENCES CITED
Calkins, T., 1980. Synopsis of biological data on the bigeye tuna, Thunnus obesus (Lowe, 1839), in the Pacific Ocean. Spec.Rep.I-ATTC, (2):213–59.
Calkins, T., M. Yamaguchi, and N. Miyabe. 1988. Some observations of bigeye tuna (Thunnus obesus) caught by the surface and longline fisheries for tunas in the eastern Pacific Ocean. I-ATTC,, 48 p. (Unpubl.).
Carey, F.G., and K.D. Lawson. 1973. Temperature regulation in free-swimming bluefin tuna. Comp.Biochem.Physiol., 44(2A):375–92
Collette, B.B., and C.E. Nauen. 1983. FAO species catalog. Vol. 2. Scombrids of the world. FAO Fish.Synop., (125) Vol.2:137 p.
Fishery Agency of Japan. 1989. Statistics on tuna fisheries. Internal data, Fishery Agency of Japan.
Food and Agriculture Organization of the United Nations. 1965–1988. Catches and landings, 1965–1988, FAO Yearb.Fish.Statist., Vol.26–66:(varying pagination).
Federation of Japan Tuna Fisheries Cooperative Association. 1959. Average year's fishing condition of tuna longline fisheries, 1958 edition, edited by Nankai Regional Fisheries Research Laboratory. Fed.Jap.Tuna Fish.Coop.Assoc., 414 p.
Fox, W.W. Jr. 1975. Fitting the generalized stock production model by least squares and equilibrium approximation. Fish.Bull.NOAA-NMFS, 73(1):23–36.
Far Seas Fishery Research Laboratory. 1988. Report of tagging activity on tuna and skipjack for the fiscal year 1984–1986, released by Japan Marine Resources Research Center. [In Japanese] Far Seas Fish.Res.Lab.
Fujino, K., and T. Kang. 1968. Serum esterase groups of Pacific and Atlantic tunas. Copeia, (1):56–63.
Gibbs, R.H. Jr., and B.B. Collette. 1967. Comparative anatomy and systematics of the tunas, genus Thunnus. Fish.Bull.U.S.Fish Wild.Serv., 66(1):65–130.
Graves, J.E., M.A. Simovich, and K.M. Schaefer. 1988. Electrophoretic identification of early juvenile yellowfin tuna, Thunnus albacares. Fish.Bull.NOAA-NMFS, 86(4):835–38.
Hanamoto, E. 1976. The swimming layer of bigeye tuna. Bull.Jap.Soc.Fish.Oceanogr., (29):41–4.
Hanamoto, E. 1987. Effect of oceanographic environment on bigeye tuna distribution. Bull.Jap.Soc.Fish.Oceanogr., 51(3):203–16.
Hisada, K. 1973. Investigation on tuna hand-line fishing ground and some biological observations on yellowfin and bigeye tunas in the northwestern Coral Sea. Bull.Far Seas Fish.Res.Lab., (8):35–69.
Holland, K.N., R.W. Brill, and R.K.C. Chang. 1990. Horizontal and vertical movements of yellowfin and bigeye tuna associated with fish aggregating devices. Fish.Bull.NOAA-NMFS, 88(3):493–507.
Honma, M. 1974. Estimation of overall effective fishing intensity of tuna longline fishery - Yellowfin tuna in the Atlantic Ocean as an example of seasonally fluctuating stocks. Bull.Far Seas Fish.Res.Lab., (10):63–86.
Honma, M. 1978. Calculation of minimum stock size. In Collective volume of computer programs for fisheries stock analysis. Fish.Agency Japan, 19:193–97.
Honma, M., and T. Kamimura. 1955. Biology of the big-eyed tuna, Parthunnus mebachi (Kishinouye) - II. A consideration on the size composition of the big-eyed tuna caught by pole and line. Bull.Jap.Soc.Sci.Fish., 20(10):863–69.
Inter-American Tropical Tuna Commission. 1970. Annual report of the Inter-American Tropical Tuna Commission, 1969. Annu.Rep.IATTC, (1969):117 p.
Inter-American Tropical Tuna Commission. 1989. Annual report of the Inter-American Tropical Tuna Commission, 1988. Annu.Rep.IATTC, (1988):288 p.
Iversen, E.S. 1955. Size frequencies and growth of central and western Pacific bigeye tuna. Spec.Sci.Rep.U.S.Fish Wildl.Serv. (Fish.), (162):1–40.
Iwai, T., I. Nakamura, and K. Matsubara. 1965. Taxonomic study of the tunas. Spec.Rep.Misaki Mar.Biol.Inst.Kyoto Univ., (2):51 p.
Kamimura, T., and M. Honma. 1953. Biology of the big-eyed tuna, Parathunnus mebachi (Kishincuye) - I. Length frequency of the big-eyed tuna caught in the North Pacific with special reference to biennial frequency. Contr.Nankai Reg.Fish.Res.Lab., (1):18 p.
Kawasaki, T. 1958. Biological comparison between the Pacific tunas. Part I. Bull.Tohoku Reg.Fish.Res.Lab., (12):46–79.
Kawasaki, T. 1960. Biological comparison between the Pacific tunas. Part II. Bull.Tohoku Reg.Fish.Res.Lab., (16):1–40.
Kikawa, S. 1953. Observation on the spawning of the big-eyed tuna (Parathunnus mebachi, Kishinouye) near the southern Marshall Islands. Contr.Nankai Reg.Fish.Res.Lab., 1(42):10 p.
Kikawa, S. 1957. The concentrated spawning area of bigeye tuna in the western Pacific. Rep.Nankai Reg.Fish.Res.Lab., (5):145–57.
Kikawa, S. 1961. The group maturity of bigeye tuna Parathunnus mebachi (Kishinouye) in the spawning areas of the Pacific. Rep.Nankai Reg.Fish.Res.Lab., (13):35–46.
Kikawa, S. 1962. Studies on the spawning activity of the Pacific tunas, Parathunnus mebachi and Neothunnus macropterus, by the gonad index examination. Occas.Rep.Nankai Reg.Fish.Res.Lab., (1):43–56.
Kikawa, S. 1966. The distribution of maturing bigeye and yellowfin and an evaluation of their spawning potential in different areas in the tuna longline grounds in the Pacific. Rep.Nankai Reg.Fish.Res.Lab., (23):131–208.
Kiyota, M., T. Koido, N. Miyabe, K. Mizuno, Y. Nishikawa, Z. Suzuki, Y. Warashina, and M. Yukinawa (in alphabetical order). 1988. Report of Juten-Kiso-Kenkyuu. Jap.Sci.Tech.Agency, (59):13 p.
Koido, T., and N. Miyabe. 1990. II. Field observation, 5. Tunas. Application of Telemetry to Aquatic Animal Behavior, edited by H. Soeda. Suisangaku Ser.Kouseisha-kouseikaku, Tokyo, (80):55–66.
Kume, S. 1967. Distribution and migration of bigeye tuna in the Pacific Ocean. Rep.Nankai Reg.Fish.Res.Lab., (25):75–80.
Kume, S. 1969a. Ecological studies on bigeye tuna - V. A critical review on distribution, size composition and stock structure of bigeye tuna in the North Pacific Ocean (north of 16°N). Bull.Far Seas Fish.Res.Lab., (1):57–75.
Kume, S. 1969b. Ecological studies on bigeye tuna - VI. A review on distribution and size composition of bigeye tuna in the equatorial and South Pacific Ocean. Bull.Far Seas Fish.Res.Lab., (1):77–98.
Kume, S. 1979a. Fishery biology of the bigeye tuna resources in the Pacific Ocean. Jap.Fish.Res.Cons.Assoc. Suisan Kendyuu Sousho, (32):54 p.
Kume, S. 1979b. Bigeye tuna resource in the Pacific Ocean, its fishery biology and a status of the stock. Paper presented at the Tuna and Billfish Stock Assessment Workshop, Shimizu, Japan, June 1979, Working Paper:28 p.
Kume, S., and J. Joseph. 1966. Size composition, growth and sexual maturity of bigeye tuna, Thunnus obesus (Lowe), from the Japanese longline fishery in the eastern Pacific Ocean. Bull.I-ATTC, 11(2):45–99.
Kume, S., and J. Joseph. 1969. The Japanese longline fishery for tunas and billfish in the eastern Pacific Ocean east of 130°W, 1964–1966. Bull.I-ATTC, 13(2):275–418.
Kume, S., and N. Miyabe. 1987. On the relation of El Niño with the formation of bigeye tuna fishing grounds in the eastern equatorial Pacific. The 22nd Symposium on the Tuna Fisheries. Bull.Jap.Soc.Fish.Oceanogr., 51(1):62–8.
Kume, S., and Y. Morita. 1967. Ecological studies on bigeye tuna - IV. Size composition of bigeye tuna Thunnus obesus (Lowe), caught by pole-and-line fishery in the northwestern Pacific Ocean. Rep.Nankai Reg.Fish.Res.Lab., (25):81–90.
Kume, S., and M.B. Schaefer. 1966. Studies on the Japanese long-line fishery for tuna and marlin in the eastern tropical Pacific Ocean during 1963. Bull.I-ATTC, 11(3):103–170.
Kume, S., and T. Shiohama. 1964. On the conversion between length and weight of bigeye tuna landings in the Pacific Ocean (Preliminary report). Rep.Nankai Reg. Fish.Res.Lab., 20:59–67.
Lowe, R.T. 1839. A supplement to a synopsis of the fishes of Madeira.Proc.Zool. Soc.Lond., (7:)76–92.
Ministry of Agriculture, Forestry, and Fishery of Japan. 1955–1990. Annual report of statistics on fishery and aquaculture. Statistics and Information Division. Ministry of Agriculture, Forestry and Fishery of Japan, (1955–1990):(varying pagination).
Meehan, J.M. 1965. First occurrence of bigeye tuna on the Oregon coast. Res.Briefs Oregon Fish Comm., 11(1):53–4.
Miyabe, N. 1989. Preliminary stock assessment of Pacific bigeye tuna. Rept. The 3rd Southeast Asian tuna conference. Indo-Pacific Tuna Development and Management Programme, FAO, 122–130.
Miyabe, N. 1991. Stock status of Pacific bigeye tuna. The 24th Symposium on Skipjack and Tuna. Bull.Jap.Soc.Fish.Oceanogr. 55(2):141–44.
Miyabe, N., and W.H. Bayliff. 1987. A review of the Japanese longline fishery for tunas and billfishes in the eastern Pacific Ocean, 1971–1980. Bull.I-ATTC, 19(1):1–163.
Morita, Y. 1973. Conversion factors for estimating live weight from gilled-and-gutted weight of bigeye and yellowfin tunas. Bull.Far Seas Fish.Res.Lab., (9):109–21.
Nakamura, E.L. and J.H. Uchiyama. 1966. Length-weight relations of Pacific tunas. In Proceedings of Governor's Conference on Central Pacific Fishery Resources, edited by T.A. Manar. Hawaii, pp. 197–201.
Nakamura, H., and H. Yamanaka. 1959. Relation between the distribution of tunas and the ocean structure. J. Oceanogr.Soc.Jap., 15(3):1–7.
Nelson, J.S. 1976. Fishes of the world. New York, Wiley-Interscience, John Wiley and Sons, 416 p.
National Fisheries Research and Development Agency. 1986. Annual report of catch and effort statistics and fishing grounds for the Korean tuna longline fishery, 1981–1982. Nat.Fish.Res.Dev.Agency, 523 p.
Nikaido, H., N. Miyabe, and S. Ueyanagi. 1991. Spawning time and frequency of bigeye tuna, Thunnus obesus. Bull.Nat.Res.Inst.Far Seas Fish., 28:47–73.
Nishikawa, Y., and D.R. Rimmer. 1987. Identification of larval tunas, billfishes, and other scombroid fishes (Suborder Scombroidei): an illustrated guide. Rep.CSIRO Mar.Lab., 186:20 p.
Nishikawa, Y., M. Honma, S. Ueyanagi, and S. Kikawa. 1985. Average distribution of Larvae of oceanic species of scombroid fishes, 1956–1981. S Ser.Far Seas Fish.Res.Lab., (12):99 p.
Otsu, T., and R.N. Uchida. 1956. Tagged bigeye tuna recovered. Pac.Sci., 10(2):236.
Paloheimo, J.E. 1961. Studies on estimation of mortalities. I. Comparison of a method described by Bevertor and Holt and a new linear formula. J.Fish.Res.Board Can., 18(5):645–62.
Parrack, M.L. 1986. A method of analyzing catches and abundance indices from a fishery. Collect.Vol.Sci.Pap.ICCAT, 24:209–21.
Pope, J.G., and J.G. Shepherd. 1982. A simple method for the consistent interpretation of catch-at-age data. J.Cons. CIEM, 40:176–184.
Radovich, J. 1961. Relationships of some marine organisms of the northeast Pacific to water temperatures particularly during 1957 through 1959. Fish.Bull.Calif.Dep.Fish Game, (112):62 p.
Saito, S. 1975. On the depth of capture of bigeye tuna by further improved vertical long-line in the tropical Pacific. Bull.Jap.Soc.Sci.Fish., 41(8):831–41.
Saito, S., and S. Sasaki. 1974. Swimming depth of large sized albacore in the south Pacific Ocean - II. Vertical distribution of albacore catch by an improved vertical long-line. Bull.Jap.Soc.Sci.Fish., 40(7):643–49.
Sharp, G.D. 1978. Behavioral and physiological properties of tuna and their effects on vulnerability to fishing gear. In The physiological ecology of tunas, edited by G.D. Sharp and A.E. Dizon. New York, Academic Press, pp. 397–449.
Sharp, G.D., and S. Pirages. 1978. The distribution of red and white swimming muscles, their biochemistry, and the biochemical phylogeny of selected scombrid fishes, edited by G.D. Sharp and A.E. Dizon. New York, Academic Press, pp. 41–78.
Shingu, C., P.K. Tomlinson, and C.L. Peterson. 1974. A review of the Japanese longline fishery for tunas and billfishes in the eastern Pacific Ocean, 1967–1970. Bull. I-ATTC, 16(2):65–230.
Shomura, R.S., and B.A. Keala. 1963. Growth and sexual dimorphism in growth of bigeye tuna (Thunnus obesus), a preliminary report. Proc. of the World Scientific Meeting on Biology of Tunas and Related Species. FAO Fish.Rep., 6(3):1409–17.
South Pacific Commission. 1990a. Catches of tuna in the western tropical Pacific, 1965–1988. Paper presented at Third Standing Committee on Tuna and Billfish, S.Pac.Comm., Noumea, New Caledonia, WP/7:29 p.
South Pacific Commission. 1990b. Regional Tuna Bulletin, First quarter, 1990. Reg.Tuna Bull.Tuna Billfish Assess.Programme, S.Pac. Comm., 49 p.
Suda, A. 1970a. Approximate estimation of parameters in dynamics of fish population utilizing effort and catch statistics with little informations on biological features. Bull.Far Seas Fish.Res.Lab., (3):1–14.
Suda, A. 1970b. Methods of dealing with sustainable yields for fish species with marked differentiations of living pattern on a course of life history-I. Basic considerations on the conditions to realize a sustainable yield and applications of techniques to calculate amounts of sustainable yield from fish populations which are exploited in simple ways. Bull.Far Seas Fish.Res.Lab., (3):115–46.
Suda, A., and S. Kume. 1967. Survival and recruit of bigeye tuna in the Pacific Ocean, estimated by the data of tuna longline catch. Rep.Nankai Reg.Fish.Res.Lab., (25):91–104.
Suda, A., and M.B. Schaefer. 1965. General review of the Japanese tuna long-line fishery in the eastern Pacific Ocean 1956–1962. Bull.I-ATTC, 9(6):307–462.
Suda, A., S. Kume. and T. Shiohama. 1969. An indicative note on a role of permanent thermocline as a factor controlling the longline fishery for bigeye tuna. Bull.Far Seas Fish.Res.Lab., (1):99–114.
Sund, P.N., M. Blackburn, and F. Williams. 1980. Tunas and their environment in the Pacific Ocean: a review. Oceanogr.Mar.Biol.Ann.Rev., (18):443–512.
Suzuki, Z., and S. Kume. 1981. Fishing efficiency of deep longline for bigeye tuna in the Atlantic as inferred from the operations in the Pacific and Indian Oceans. Collect.Vol.Sci.Pap.ICCAT, 17(2):471–86.
Suzuki, Z., Y. Warashina, and M. Kishida. 1977. The comparison of catches by regular and deep tuna longline gears in the western and central equatorial Pacific. Bull.Far Seas Fish.Res.Lab., 15:51–73.
Tanaka, T. 1989. Shift of the fishing ground and features of shoals caught by purse seine fishery in the tropical seas of the western Pacific Ocean. Bull.Tohoku Reg.Fish.Res.Lab., 51:75–88.
Tuna Research Center. 1983. Annual catch statistics of Taiwan's tuna longline fishery, 1982. Tuna Res.Cent.
Uda, M. 1957. A consideration on the long years trend of the fisheries fluctuation in relation to sea conditions. Bull.Jap.Soc.Sci.Fish., 23(7–8):368–72.
Yamanaka, H., and N. Anraku. 1962. Relation between the distribution of tunas and water masses of the North and South Pacific Oceans west of 160°W. Occas.Rep.Nankai Reg.Fish.Res.Lab., (1):23–34.
Yasutake, H., G. Nishi, and K. Mori. 1973. Artificial fertilization and rearing of bigeye tuna (Thunnus obesus) on board, with morphological observations on embryonic through to early post-larval stage. Bull.Far Seas Fish.Res.Lab., (8):71–8.
Yuen, H.S.H. 1955. Maturity and fecundity of bigeye tuna in the Pacific. Spec.Sci.Rep.U.S.Fish Wild.Serv. (Fish.), (150):30 p.
Yukinawa, M., and Y. Yabuta. 1963. Age and growth of bigeye tuna, Parathunnus mebachi (Kishinouye). Rep.Nankai Reg.Fish.Res.Lab., (19):103–18.