SIMULATION DU CYCLE DE VIE DE Sardinella aurita AU SENEGAL:
COMMENT CONCILIER CROISSANCE RAPIDE, STABILITE DES TAILLES
MODALES ET ABSENCE D'UN MODE1
par
Pierre Fréon
ORSTOM, BP 5045, 34032 Montpellier cedex 1
Résumé
Les paramètres de l'équation de croissance de Sardinella aurita proposés par BOELY et al. (1982a) supposent une vitesse de croissance très rapide (k=1,206). En première analyse, celle-ci pouvait sembler contradictoire avec la stabilité des modes observée durant le second semestre dans la plupart des séries historiques de fréquences de taille. A l'aide d'un programme de simulation original, prenant en compte les variabilités inter-individuelles du schéma de croissance, de la mortalité et des dates de migration (en particulier vers la Mauritanie), on montre que cette incompatibilité n'est qu'apparente. La stabilité des modes, ainsi que l'absence de taille modale vers 25–26 cm, peuvent s'expliquer par : (1) l'existence d'au moins trois cohortes saisonnières assurant un recrutement quasi permanent; (2) une émigration des individus en fonction de leur taille plutôt que de leur âge; (3) l'immigration de ces mêmes individus quelques mois plus tard, alors qu'ils ont pratiquement terminé leur croissance. Ces hypothèses sont étayées par des travaux effectués par d'autres auteurs sur des espèces de poissons migrateurs.
Abstract
Simulation of Sardinella aurita life cycle in Senegal: how conciliate a fast growth, length frequency mode stability and lack of a mode
The parameters of the growth equation proposed by BOELY et al. (1982a) correspond to an unusually fast growth (k=1.206). At first, it seems in contradiction with the stability of the modal sizes observed during the second semester in most of the length frequency data series. Using an original simulation programme, which takes into account the inter-individual variability of the growth, mortality and dates of migration (specially to Mauritania), it is demonstrated that this contradiction is only apparent. The stability of the modal sizes and the lack of modal values around 25–26 cm can be explained by: (1) the presence of at least three seasonal cohorts providing a quasi continuous recruitment; (2) an emigration of the individuals according to their size more than their age; (3) an immigration of these individuals a few months later, when their growth is almost over. These hypotheses are reinforced by works done by other authors on migratory fish species.
INTRODUCTION
Le cycle vie et la croissance des Sardinella aurita du “stock sénégalo-mauritanienne” (fig. 1), dont l'aire de réparitition s'étendrait en fait du sud marocain (26° N) au nord de la Guinée (10°N), ont été décrits par plusieurs auteurs. Malgré l'accord général de ces auteurs sur l'unicité du stock2, on note certaines contradiction dans les schémas proposés, selon que les observations ont été faites au Sénégal uniquement (BOELY et al., 1982a ; 1982b; CONAND F., 1977, CAMARENA, 1986), ou également en Mauritanie (PHAM TUOC et SZYPULA, 1973; BIESTER et DINH CHUNG, 1975). Ces différences portent en particulier sur la vitesse de croissance qui peut être rapide pour les uns, ou relativement lente pour les autres, ceci par rapport à des travaux effectués sur cette même espèce dans d'autres régions (fig. 2) ou sur d'autres espèces de petits clupéidés.
Aucune étude de marquage n'a pu être réalisée : la seule technique utilisable pour ces espèces fragiles, consiste à employer des marques magnétiques internes, ce qui n'a pu être envisagé pour des raisons logistiques et financières. Les auteurs ont donc été contraints de travailler à partir de marques sur les pièces osseuses. La différence dans les résultats provient, non pas du nombre d'anneaux lus sur un poisson de longueur donnée, mais des differentes hypothèses quant au nombre d'anneaux qui se formerait chaque année: deux dans le cas d'une croissance rapide, un seul pour une croissance lente. Toutefois, les travaux de BOELY et al. (1982a), en faveur d'une croissance rapide, ont également utilisé les progressions de tailles modales de micro-cohortes dans les captures des sennes de plage de la baie de Dakar. De plus, des observations en élevage, portant sur des poissons capturés à 3,5 cm (longueur à la fourche) et maintenus en bassin durant huit mois, ont permis de vérifier que ces individus présentaient durant plus de trois mois une vitesse de croissance compatible avec celle rétro-calculée à partir des lectures d'écailles et des progressions modales d'individus plus âgés. Après quatre mois d'élevage, la croissance devient rapidement asymptotique et tend vers 13 cm, ce qui est attribué à l'inadéquation des conditions d'élevage pour des individus plus grands (taille du bassin, alimentation, température).
L'hypothèse d'une croissance rapide peut sembler en contradiction avec la stabilité des tailles modales (vers 22 cm) observée dans les débarquements des sardiniers dakarois et des pirogues de senne tournante opérant sur la Petite Côte du Sénégal au cours du second semestre (Annexe et fig. 3).
RAPPELS SUR LES HYPOTHESES DE MIGRATION ET CROISSANCE
Compte tenu du cycle de vie de cette espèce, on a adopté dans la suite du texte la terminologie suivante pour les divers groupes de taille exprimée en longueur à la fourche :
Répartition géographique et migrations
Les résultats qui suivent ont été obtenus principalement à partir de l'analyse des statistiques de pêche commerciale des diverses flottes opérant dans la région, et secondairement à partir des pêches exploratoires réalisées au cours de plusieurs campagnes d'écho-intégration (ANONYME, 1983) ou de pêches au lamparo.

Fig. 1 Cycle migratoire, périodes de ponte, nurseries et localisation mensuelle des principales concentrations d'adultes de Sardinella aurita dans la zone sénégalo-mauritanienne

Fig. 2 - COMPARAISON DES COURBES DE CROISSANCE DE SARDINELLA AURITA OBTENUES PAR DIFFERENTS AUTEURS [4]

Fig. 3 - Tallus modales mensuellos de S. uurlia obsurvées dans les débarqiements des principales flotlles de la petile Côte du Sénégal, de 1966 à 1984.
On peut subdiviser le stock sénégalo-mauritanien en plusieurs composantes : des sous-stocks de jeunes individus (juvéniles et jeunes reproducteurs) n'effectuant que des migrations d'amplitude limitée à l'intérieur des nurseries, et un sous-stock commun d'adultes grands migrateurs, qui parcourent l'ensemble du secteur.
D'après BOELY et al. (1982a), la principale concentration d'adultes se trouve en janvier à 19°N au large du banc d'Arguin (fig. 1). Ces adultes, qui descendent en janvier ou février entre 12°N et 15°N (soit au sud du Sénégal) se retrouvent en mars concentrés entre 11°N et 13°N. La remontée vers le nord commence en avril, mais le maximum d'abondance est encore dans le sud du Sénégal à cette époque. Les sardinelles sont plus dispersées en mai, se répartissant entre 13°N et 18°N avec un maximum de 15°N à 17°N. Elles continuent leur remontée en juin et sont pêchées de 16° à 20°N avec un maximum au large du banc d'Arguin et au sud du cap Timiris. En juillet, des concentrations moins fortes sont présentes au large du banc d'Arguin. En août, le déplacement vers le nord se poursuit, la principale zone de pêche se situant entre 20°N et 22° N. Le maximum d'abondance se trouve de 21°N à 23°N en septembre. En octobre, elles sont plus dispersées, de 19°N à 24°N. En novembre-décembre, l'abondance apparente est faible, la répartition toujours étendue, les pêches les plus importantes se faisant au large du cap Blanc et du banc d'Arguin.
Ce cycle migratoire de Sardinella aurita adulte peut se résumer ainsi : d'octobre à décembre, phase de dispersion de la Mauritanie au Sahara; phase de descente rapide vers le sud en janvier ou février; phase de concentration de pré-ponte en mars-avril dans la partie sud de l'aire habitée (Guinée Bissau, sud Sénégal); phase de remontée vers le nord jusqu'à 24°N et 25°N, avec ponte, de mai à septembre.
Deux nurseries principales ont été clairement identifiées et font l'objet d'une exploitation. L'une en Mauritanie, au sud du cap Blanc, l'autre au Sénégal, au sud de la presquîle du Cap-Vert, le long de la Petite Côte (fig. 1). L'existence d'autres nurseries importantes reste incertaine, en particulier plus au sud, à hauteur de la Guinée Bissau, où l'on rencontre quelques jeunes individus. On ignore s'il s'agit de concentrations importantes, et dans l'affirmative si ces individus sont ou non à rattacher au stock principal. Ce point sera développé ultérieurement.
La nurserie de la Petite Côte du Sénégal est la mieux connue, et le sous-stock qu'elle abrite constitue l'objet principal de notre travail. L'analyse des statistiques de pêche des sardiniers indique deux périodes de départ des jeunes reproducteurs qui vont venir grossir le sous-stock d'adultes.
Le premier départ débute en juin et s'intensifie en juillet, lorsque les eaux tropicales chaudes et moins riches envahissent le plateau continental jusqu'au cap Timiris. II est probable que la majorité des jeunes sardinelles remontent alors vers le nord, où les conditions de vie sont plus favorables. Autrefois, l'étude des mouvements des flottes de pêche n'apportait aucune information sur ce déplacement, car elles suivaient la migration des adultes, légèrement plus précoce. Depuis le développement de la pêche artisanale à la senne tournante sur la côte nord du Sénégal au cours des dernières années, les données de fréquence de taille de cette région permettent de confirmer ce schéma (voir rapport du groupe).
Les données de fréquence de taille et de rendements obtenues à partir des flottes roumaines et est-allemandes (travaillant exclusivement au nord de la zone depuis ces dernières années) viennent confirmer ce cycle migratoire pour cette région (STAICU et al., 1975, 1976; HOLZLOHNER et KLOXIN, 1982, HOLZLOHNER et al., 1983; JOSSE et DOMALAIN, 1983). L'abondance de Sardinella aurita est en effet maximale de juillet à octobre (fig. 4), et les tailles modales sont comprises entre 26 et 30 cm (fig. 5), classes manquantes dans les captures sénégalaises au cours de cette saison (annexe). De plus, les figures 4 et 5 indiquent que la migration des adultes vers le sud ne concerne pas l'ensemble des individus et qu'une partie non négligable de ces adultes reste sédentaire (on ignore si, d'une année à l'autre, ce sont les mêmes poissons adultes qui deneurent en Mauritanie, constituant une sous-population individualisée).

Fig. 4: EVOLUTION DES PRISES UNITE D'EFFORT SUR LES CLUPEIDES DES CHALUTIERS DE 3000CV DANS LA Z.E.E MAURUTANIENNE DE 1981 DE 1983 (Données CNROP IN JOSSE ET DOMALAIN, 1983, medifile)

Fig. 5 - Distribution dos fréquences de tailles (%) des Sardinells aurit capturée au large de la Mauritanie et du Sahara par les chalutiers de R.D.A. (a: Holzlönner et Kloxin, 1982; b : Holzalönner et al., 1983, après conversion des longueurs totales en longueur à la fourche) et de Roumenie (c : Staicu et al., 1975) NB. Voir Fig.12 pour les abondances relativews au cours des différents trisestres.
Vers le début d'octobre, d'importantes concentrations se forment au large de la Gambie puis remontent progressivement vers le nord. Cette apparition dans le sud du Sénégal, suivie d'un déplacement vers le nord, avait fail envisager dans un premier temps l'existence possible d'une population guinéo-sénégalaise migrant avec les eaux guinéennes (BOELY et al., 1969). Après la ponte, ces sardinelles se dispersent et pendant les mois de janvier et février suivent les adultes dans leur migration vers le sud : c'est le deuxième départ. Elles se retrouvent alors dans les prises des senneurs commerciaux effectuées au large de la Guinée Bissau, mélangées aux grandes saidinelles (BOELY et OSTVEDT, 1976).
Reproduction
Des campagnes de prospection des larves ont été réalisées entre la Guinée Bissau et la Mauritanie de 1967 à 1978 (CONAND F. 1977). L'étude des gonades -stades sexuels, ou rapports gonado-somadques (R.G.S.)- a été effectuée réguliérement de 1968 à 1972 (BOELY, 1980) puis en 1975 et 1976 (CONAND C. 1977). L'échantillonnage est resté régulier jusqu'en 1979 pour s'espacer ensuite (CAMARENA, 1986).
Ces études montrent que l'activité sexuelle est très étalée au cours de l'année si l'on considère l'ensemble de la région. Elle passe par des pics, séparés par des périodes de repos plus ou moins marquées, et présente une forte variabilité inter-annuelle liée aux conditions climatiques. Les pontes ont deux origines bien distinctes : d'un côté les individus adultes qui se reproduisent au cours de leur migration vers le nord entre fin février et août, de la Guinée Bissau à la Mauritanie, d'un autre côté les jeunes reproducteurs des différentes nurseries. Un repos sexuel relatif est observé sur l'ensemble de la région en décembreet janvier.
Au niveau du Sénégal, qui a été plus largement étudié, on observe deux périodes de reproduction intense : d'une part de février à juin, avec plusieurs maxima (dont le plus important s'observe en mai–juin), d'autre part de septembre à novembre. L'étude du R.G.S. par taille montre que les adultes se reproduisent les premiers, de février à mai principalement (ou mars à juin selon les auteurs). Les jeunes reproducteurs ne se joignent à eux qu'à la fin de cette première période, en mai–juin. Ils sont en revanche les seuls à assurer la deuxième ponte, de septembre à novembre, les adultes étant absents du Sénégal.
On relèvera une contradicdon apparente entre le schéma de migration de BOELY et al. (1982b) et les résultats de campagnes larvaires publiés par CONAND F. (1977). Ce dernier montre que, sur la Petite Côte, la reproduction principale est centrée sur les mois de mai–juin, et ce, régulièrement de 1971 à 1976; les dernièies campagnes réalisées en 77 et 78 confirment ces dates. Or, d'après ce meme auteur, cette ponte serait assurée en majorité par les individus adultes, lesquels disparaissent régulièement des captures de la Petite Côte à partir de la fin mai, aussi bien pour la pêche artisanale que pour la pêche semi-industrielle. On ne les trouve qu'en quantité réduite dans les captures des chalutiers et sennes industrielles (CHABANNE et ELWERTOWSKI, 1973). Si l'on ne remet pas en cause les données qui paraissent représentatives, la seule explication envisagée pour soutenir la thèse de CONAND est une diminution d'accessibilité, et/ou de vulnérabilité, de ces individus au cours de leur phase de ponte. En effet, les oeufs et larves pélagiques sont abondants au dessus des fonds de 30 à 150 m au sud du Cap-Vert où ne pêchent pratiquement pas les pirogues ni les sardiniers. Par ailleurs, il semble que lors du frai, les bancs se dissocient et les poissons se répartissent en très petits bancs (PROBATOV et PUPYSHEV, 1969) et de ce fait seraient peu capturables.
BOELY (1980) pense au contraire que les Jeunes reproducteurs seraient responsables de l'essentiel de la ponte en fin de saison principale (juin). Ceci nous semble plus difficile à jusdfier compte tenu de la faible fécondité individuelle des jeunes reproducteurs par rapport aux adultes (rapport de 1 à 3, d'après CONAND C. (1977)).
L'importance relative des deux pontes a été chiffrée d'après les abondances des larves (CONAND P., 1977). Elle est de 10 à 1 à l'avantage de la première ponte, mais on ignore actuellement leur contribution respective en terme de recrutement, du fait que les conditions survie larvaire et de développement peuvent êtrès différentes pour les deux cohortes qui en résultent.
ESTIMATION DE LA VARIABILITE DES TAILLES INDIVIDUELLES DANS UNE COHORTE
Afin de décrire l'espérance de la taille moyenne et sa variance au cours du temps, on a eu recours à des programmes de simulation considérant une cohorte fictive de N individus. On doit définir la croissance de ces individus non seulement par les valeurs moyennes des paramètres de l'équation de von BERTALANFFY to, K et L∞, mais aussi par les écarts-type σto, σK et σL∞ de ces paramètres (distributions supposées normales). Par souci de simplificadon, σto est ici assimilé à la variabilité des dates de naissance des individus appartenant à une même cohorte.
Méthode d'approche
On ne cherche pas ici à identifier les facteurs susceptibles d'agir sur la variabilité de la croissance. Seule est entreprise une étude globale des observations, dans le milieu naturel ou en élevage, afin d'obtenir des couples de valeurs moyenne-écart-type de la distribution des fréquences de tailles d'une cohorte. Afin d'obtenir une image pratiquement instantanée de la structure taille-âge de la population, non faussée par la croissance dans l'intervalle d'échantillonnage, on a cumulé les échantillons issus d'une même cohorte sur des périodes d'autant plus brèves que la croissance est rapide, i.e. que les individus sont jeunes.
Un autre obstacle méthodologique réside dans la détermination exacte de l'appartenance a une cohorte. Chez les individus suffisamment âgés pour présenter des marques saisonnières dans les structures des pièces osseuses, le problème peut être résolu si l'on connait les périodes de reproduction. Pour les jeunes individus, c'est seulement avant le chevauchement des tailles individuelles extrêmes de deux cohortes successives que l'on pourra déterminer avec certitude l'appartenance à une cohorte donnée, par simple analyse des distributions de fréquences de taille. Cependant, il reste illusoire de vouloir estimer avec précision I'écart-type des distributions de fréquences de taille des très jeunes cohortes, car on se heurte alors aux problémes de capturabilité et de sélectivité, qui font que les abondances relatives des divers groupes de tailles (de la larve au juvénile) sont très difficiles à estimer.
Afin d'estimer la variabilté des tailles dans les cohortes de juvéniles, on a utilisé les données regroupées de 5 jours de captures des sennes de plage, 3 mois après la fin de chacune des deux saisons annuelles de reproduction, déterminée chaque année à partir des R.G.S. et/ou des campagnes de pêche expéimentale des oeufs et larves. Ensuite, les migrations de l'espèce, parallèlement ou perpendiculairement à la côte, ne rendent possible le suivi d'une cohorte dans son ensemble qu'à deux stades du développement : d'abord lors du recrutement des jeunes reproducteurs dans la péchede des senneurs, à une taille moyenne de 21 à 24 cm, ensuite lors du passage des adultes migrateurs devant le Sénégal. A ces deux stades, les chevauchemets entre les deux cohortes sont importants et seul l'examen des écailles peut permettre leur discrimination. On a regroupé dans une même cohorte les seuls individus présentant de façon distincte les mêmes structures annulaires (sans que l'on soit pour autant toujours capable de déterminer leur êge avec précision).
Résultats
On dispose â la fois d'observations en élevage et en milieu naturel, qui ne sont pas juxtaposables pour autant. Les 110 individus placés en bassin durant 7 mois étaient issus d'un seul bane capturé en mer. Leur taille moyenne était de 3,5 cm et l'âge moyen estimé à 1,5 mois. bien inférieur à celui de la période de reproduction. On observe que I'écart-type des distributions de taille croît en même temps que la taille moyenne, ce qui doit étre attribué essentiellement à la variabilité des taux de croissance individuels. C'est ce que confirme l'ajustement des résultats à ceux d'une simulation où l'on a utilisé les valeurs des paramètres de croissance calculés pour cette espèce, auxquels on a associé les écarts-type : σt0=0,0027 an (individus supposés nés dans un intervalle de 4 jours), σKK=0,135 et σL∞=l,2 cm (FREON, 1984 p. 461, fig. 3).
Du fait des conditions artificielles d'élevage (température et alimentation en particulier) et de la non-représentativité de notre échantillon par rapport à une cohorte, ces résultats n'ont qu'une valeur indicative. En mer, on observe une diminution de la variabilité des tailles de S. aurita en fonction de la taille moyenne des cohortes dont l'âge moyen est de plus de 5 mois environ (fig. 6). Nous avons vu qu'il n'était pas raisonnable d'espérer mesurer I'écart-type dans les cohortes avant cet âge. Des simulations ont été effectuées en retenant les valeurs moyennes des paramètres de croissance déjà mentionnées et σt0=0,09 à 0,11 ans, ce qui décrit une période de reproduction de durée moyenne. Les diverses valeurs de σK et de σL∞, permettant à la fois l'ajustement aux données et la figuration d'hypothèses réalistes pour la phase juvénile, varient dans des limites reladvement étroites. Néanmoins, on retiendra ici essentiellement l'allure générale de la courbe obtenue qui présente un maximum accentué, car on ne peut accorder qu'une confiance limitée à la repésentativité des valeurs absolues retenues. De plus, il est certain que le modéle présente des solutions multiples compte tenu du grand nombre de variables explicatives et de leur non-indépendance.
La décroissance précoce des variabilités avec la taille s'explique done par le fait qu'il s'agit de poissons tropicaux dont la période de reproducdon est étalée et le taux de croissance élevé, et/ou très variable. De ce fait, on atteindra rapidement la phase de variabilité maximale peu de temps aprés la fin de la période de reproducdon, aprés quoi les tailles auront tendance à s'uniformiser, la variabilité des tailles maximales individuelles (σL∞) semblant jouer un rôle minime.
SIMULATION DU CYCLE DE VIE
Caractéristiques des structures de tailles
Les histogrammes de fréquences de taille obtenus par un éhantillonnage intensif et stratifié des captures des sardiniers dakarois depuis 1966, et de celles des pirogues des artisans depuis 1977, présentent quelques caractéristiques remarquables dont nous rappellerons l'essentiel. Hormis quelques tendances à long terme sur l'importance relative des différentes classes d'âge, on retiendra la reladve stabilité du schéma général et une certaine similitude des deux pêcheries à la senne tournante.
Les juvéniles constituent rarement la cible dés pécheries à la senne tournante, si ce n'est parfois en début d'année lorsque les individus plus êgés ne sont pas disponibles ou pas détectés. Leur présence dans les captures n'est done pas représentative de leur abondance réeile (annexe; fig. 3 et 7).
Les jeunes reproducteurs sont présents toute l'année sur la Petite Côte, même s'ils disparaissent parfois des captures des sardiniers lorsque, en saison froide, abondent les individus adultes. Au cours de cette saison, leur taille modale dans les captures présente une certaine variabilité intra-saisonnière et surtout inter-annuelle : selon les années, elle oscille entre 19 et 24 cm, les plus petits modes étant observé dans les débarquements de la pêche artisanale, opérant plus au sud que les sardiniers. Mais c'est au cours de la saison chaude que l'on observe le premier phénoméne très caractéristique et paradoxal dans cette pêcherie : les jeunes reproducteurs repésentent alors l'unique classe d'êge capturée et leur taille modale, qui selon les années se situe entre 21 et 23 cm est remarquablement stable durant 5 à 6 mois au cour d'une même saison, ne présentant pas plus d'un centimètre de variation. Les exceptions sont rares mais on observe alors, soit une légère progression modale (1971) soit, au contraire, une légère régression (1972, 1978), qui de surcroît ne concerne que 3 ou 4 mois. Cette stagnation modale paraiî en contradiction flagrante avec ie schéma de croissance rapide retenu (22 cm à un an, 28 cm à deux ans).
La deuxième caractéristique est la quasi absence d'individus de taille modale intermédiaire entre les jeunes reproducteurs et les adultes, soit 25 à 27 cm (fig. 3 et 7). Ils ne sont présents qu'en faible quandtité vers le mois de février au cours des années 1972 à 1975, en 1977 durant quelques mois, et en juin 1980. Cette constatation a été déterminante dans le choix de l'hypothèe d'une croissance rapide avec deux annuli par an; BOELY (1980) suppose que les modes absents de la pêcherie sénégalaise se trouvaient en Mauritanie au cours de la saison chaude, hypothèse qui est maintenant pleinement vérifiée à partir des statistiques de pêche des pays de l'est A l'opposé, une telle absence de taille modale pent parfois tenir à des variations de capturabilité, comme dans le cas de l'ethmalose (Etmalosa fimbriata) en lagune Ebrié (GERLOTTO, 1979).
Rappelons enfin que les adultes sont présents dans les prises de saison froide uniquement (tabi- 1). Leurs dates d'apparition et de disparition sont variables d'une année à l'autre, en fonction des conditions hydrologiques et de leur capturabilité. Celle-ci diminue très probablement lors de la ponte principale de mai–juin. Leur taille modale est très stable au cours d'une saison et aussi d'une année à l'autre, se situant entre 29 et 30 cm.
| Mois | I | II | III | IV | V | VI | VII | VIII | IX | X | XI | XII | Moyenne pondérée |
|---|---|---|---|---|---|---|---|---|---|---|---|---|---|
| % nombre | 34 | 63 | 52 | 56 | 36 | 14 | 1 | 1 | 1 | 1 | 5 | 21 | 21 |
| % poids | 49 | 76 | 64 | 64 | 47 | 23 | 2 | 2 | 1 | 2 | 7 | 32 | 37 |
Programme de simulation des structures de taille
On a cherché à vérifier si les distributions de fréquence observées dans les captures mensuelles étaient compatibles avec les schémas de reproduction, de croissance et de migration proposés jusqu'à présent par les chercheurs du C.R.O.D.T. Pour cela, nous avions d'abord utilise un modèle de simulation simple (SIMVAR) prenant en compte les divers paramètres estimés précédemment (FREON, 1984). L'évolution de cette cohorte en fonction du temps montre que la dispersion des tailles autour de la moyenne est essentiellement due : au début de la croissance à la différence entre les dates de naissance des poissons, au milieu du développement aux variations individuelles de K, et en fin de croissance à l'existence de différentes valeurs individuelles de L∞ (fig. 6 et fig. 1 in FREON, 1984).
Le programme SIMVAR ne prenait pas en compte la mortalité qui n'affecte pas toujours de la même façon les individus de taille différente, ni le taux de survie qui peut être lié à la vitesse de croissance au niveau individuel (RICKER, 1969). De même, ce modèle supposait l'indépendance entre les K et les K∞, bien qu'elle soil peu probable du fait de leur mode d'estimation (KNIGHT, 1968). Ces couples de paramètres s'inscrivent en réalité dans une ellipse dont l'axe principale présente une pente négative (GROS, 1980) dont on peut calculer les limites de confiance (CONAN, 1978). Le second programme de simulation (SIMFREQ) ici présenté offre la possibilité de faire varier tous ces éléments (fig. 8). Bien que des données aussi précises soient rarement disponibles, le modèle permet de tester quelle serait leur incidence sur les structures démographiques.

Fig. 6
Relation ente la taille moyenne des individus et l'ócart type des
tailles dans les cohortes de Sardinella aurita au Sénégal, et trois
simulations de cohortes où N = 500;
e = 0 an; K = 1.206;
∞
= 30.63 cm (voir exte):
S1 : σ ∞ = .11 an; σ K.11; σ L∞ = 1 cm;
S2 : σ ∞ = .10 an; σ K.10; σ L∞ = .9 cm;
S3 : σ ∞ = .09 an; σ K.09; σ L∞ = .8 cm;

Fig. 7 - HISTOGRAMME DE DISTRIBUTION DES FREQUENCES DE TAILLES DES CAPTURES TOTALES DE S. AURITA PAR LES SARDINIERSDAKAROIS DE 1966 A 1984.

On indique d'abord à SIMFREQ le nombre de cohortes saisonnières et le nombre d'individus N d'une cohorte-type dont on tirera au hasard les paramètres de croissance Ki, L∞i et toi de chaque individu en fonction de leurs moyennes respectives K, L∞, to, et de leurs écarts-type rcspectifs σK, σL et σto précédemment définis et estimés par le programme SIMVAR. On supposera que ces paramètres suivent une distribution normale, mais on pourra sur opdon décider que K et L∞ sont indépendants ou au contraire inversement proportionnels, et dans ce dernier cas imposer un coefficient de corrélation entre ces deux variables.
Afin de limiter les temps de calcul, il est préférable de choisir N inférieur à 500 individus. Si l'on veut obtenir, en fin de croissance, un nombre suffisant de survivants, on peut recourir à l'artifice qui consiste à employer un facteur d'extension commun Fc à chaque individu (de l'ordre de 105). Ceci revient a considérer que chacun des N individus tirés au hasard possède Fc “jumeaux homozygotes” qui auront potentiellement le même cycle de vie, mais qui subiront au hasard les lois de mortalité.
La matrice des mortalités mensuelles par âge et par classe de taille centimètrique est calculée à partir d'un vecteur de mortalité totale indiqué pour le début de chaque semestre. De plus, afin de prendre en compte les variations de mortalité naturelle en fonction de la vitesse de croissance individuelle (RICKER, 1969), un vecteur semestriel de pourcentage de variation de cette mortalité par centimètre d'écart à la taille moyenne est utilisé : a chaque taille moyenne mensuelle calculée selon l'équation de von Bertalanffy, correspond une mortalité moyenne mensuelle calculée par interpolation linéaire, après quoi les mortalités des individus de taille supérieure puis inférieure à cette moyenne sont calculées par retrait ou addition d'un certain pourcentage. On n'a pas séparé ici la mortalité naturelle M de la mortalité par pêche F.
Nous avons vu que, pour des raisons pragmatiques, σto correspondait à la variabilité des dates de naissance, variabilité qui est ici estmée à panir de l'étalement de la période de ponte. Afin de simuler les entrées et sorties de la nurserie, qui-on le sait-ne s'effectuent pas en un jour pour l'ensemble des individus d'une cohorte, on avail le choix entre imposer un êge fixe ou une date fixe de migration ou d'immigration, associée à une variance. Nous avons retenu la première solution qui est probablement la plus proche d'une réalité sans aucun doute complexe. En effet, s'il est certain que les migrations d'une cohorte sont largement liées aux conditions hydrologiques et trophiques, et done à une période, il est néanmoins probable que l'étalement des dates de migration individuelles, au sein de cette période, dépendra plutôt d'un stade de développement ou d'un état physiologique qui a toutes les chances d'être lui-même lié a l'âge individuel. Grâce à des marquages magnétiques, KROGER et GUTHRIE (1973) ont montré qu'à l'intérieur d'une même cohorte de menhaden (Brevoortia tyrarmus), les individus les plus grands migraient le plus tôt et le plus loin.
Cette hypothèe nous permet d'éviter l'introduction d'un paramètre de variabilité de la migration en considérant que cette variabilité est identique à celle des dates de naissance. Dans notre modèle, tout se passe done comme si une horloge physiologique interne déterminait la date d'émigration à un âge fixe, pour une année aux conditions hydrologiques typiques.
Une fois connus tous ces paramètres, le programme demande, pour chaque cohorte saisonnière : la date de naissance moyenne, l'importance relative de cette cohorte par rapport à une cohorte standard et propose d'éventuelles modifications des paramètres de croissance par rapport à cette dernière. Après tirage au hasard de N individus ayant des caractéristiques précises (Ki, L∞i, toi), le programme calculera, pour chaque mois de la vie de chacun des N individus, leur taille, le nombre de “jumeaux” survivants en fonction de la matrice de mortalité, puis il répartira ces individus en deux groupes géographiques : l'intérieur de la nurserie principale (la Petite Côte dans notre exemple) et l'extérieur de cette nurserie, ceci en fonction du schéma de migration.

Fig. 8 - Organigramme simplifié du programme SIMFREQ de simulation des fréquences de tallie en fenction de divere paramètres de crolssanos, mortallté et migrations pour plueleurs cohorles saleonniéres.
Tout comme dans SIMVAR, la relation entre tailles moyennes et écarts-type de la cohorte est calculée et présentée sous forme graphique et l'on peut vérifier l'importance de la mortalité sur l'ajustement aux données de terrain et donc, si nécessaire, modifier à ce niveau certains paramètres.
Reprenant la solution simplificatrice classique de l'analyse des populations virtuelles (VPA), nous avons considéré que le cycle de vie d'une cohorte sur n années donne une image représentative de la juxtaposition de n cohortes vivant au cours de la même année. Les fréquences de tailles mensuelles des différentes années de vie de chaque cohorte saisonnière sont donc cumulées dans un tableau D à quatre dimensions: C cohortes saisonnières, 2 lieux, 13 mois et Cmax classes de taille, (le “treizième mois” résultant du cumul des douze précédants).
Les résultats sont présentés sous forme de graphiques mensuels pour l'intérieur et l'extérieur de la nurserie principale (fig. 9), suivis des paramètres de la simulation et de commentaires éventuels. On remarquera que ce programme n'effectue aucun ajustement par rapport aux données de terrain ; les paramètres à maîtriser étant ici trop nombreux et interdépendants. Par ailleurs, il est certain que dans la plupart des cas le pêcheur, ou son engin, sélectionne des cohortes en période d'abondance, même au-delà de la taille de recrutement. De ce fait, les simulations indiquent toujours des gammes de fréquences plus larges que celles relevées aux débarquements.
L'objectif de ce modèle ne saurait être en aucun cas de prouver la validité des paramètres d'un cycle de vie, mais peut permettre de vérifier leur cohérence. Ainsi, on peut invalider certaines combinaisons de paramètres ne permettant pas de simuler au cours d'un mois de l'année, les tailles modales capturées, mais non valider celles qui procurent les résultats escomptés. Un autre intérêt non négligeable du modèle, en cas d'échec des simulations, est de rechercher empiriquement des schémas de cycle de vie reproduisant la réalité et d'orienter les recherches vers de nouvelles strates spatio-temporelles de reproduction ou de concentration, ou encore de remettre en cause le schéma de croissance. FONTENEAU (1974) avait déjà utilisé ce genre d'approche, mais uniquement pour l'étude des clés âge-longueur de l'albacore. Par rapport à son programme, l'originalité de SIMFREQ est d'inclure le schéma de migration, de travailler sur une base mensuelle, de prendre en compte plusieurs cohortes saisonnières et d'être conversationnel. Il pourrait être arné amelioré par la prise en compte d'une éventuelle saisonnalité de la croissance et/ou une variabilité de celle-ci non pas aléatoire mais fonction de l'écart des dates de naissance individuelles à des dates optimales. On manquerait hélas d'éléments pour paramétrer un tel modèle. GROS (1992) propose un modèle à temps continu, structuré selon la taille, qu'il ajuste à des données de fréquences de tailles d'un stock exploité de coques (Cerastoderma edule).
D'un point de vue plus théorique, SIMFREQ confirme que, hormis les phénomènes d'agrégations déjà soulignés chez les pélagiques côtiers, les chevauchements de taille des individus appartenant à différentes cohortes sont très importants. D'où la difficulté, en particulier en milieu tropical, d'utiliser l'approche proposée par PAULY et TSUKAYAMA (1983), qui tentent d'estimer en même temps tous les principaux paramètres biologiques et dynamiques d'une population à partir des seules données de fréquence de tailles.
Résultats et discussion
Généralités
Les temps de calcul étant relativement longs (une heure par cohorte simulée en utilisant un ordinateur de bureau), on n'a pu effectuer des essais exhaustifs correspondant à toutes les combinaisons souhaitables des divers paramètres. Cependant, les résultats obtenus montrent que le vecteur de mortalité influence peu la position des tailles modales, même lorsque l'on utilise une mortalité différentielle selon la vitesse de croissance. Ce vecteur influence surtout l'importance relative des effectifs des différents groupes de tailles et leur symétrie par rapport à la valeur modale. De même l'utilisation ou non d'une relation entre L∞i, et Ki ne produit pas de différences notables.
Dans un premier temps, on n'a considéré que les individus issus des deux pontes principales dans la nurserie de la Petite Côte (ler juin et ler octobre), dans le but de vérifier si les distributions de fréquence de taille des jeunes reproducteurs pouvaient être générées uniquement à partir d'individus autochtones -nés sur la Petite Côte- comme le suppose le schéma du cycle de vie précédemment décrit. On a ensuite introduit deux cohortes supplémentaires : l'une correspondant à la nurserie mauritanienne, l'autre, plus théorique, étant née en saison froide, sur la Petite Côte ou plus au sud.
Divers essais nous ont permis de constater que l'influence de la valeur du coefficient de corrélation liant les Ki et les L∞i reste toujours très faible sur les structures de taille globales simulées, et qu'elle est négligeable au niveau de la relation moyenne-écart-type.
Juvéniles (<18 cm)
On ne dispose pas d'indices d'abondance représentatifs pour les juvéniles. Cependant, les fréquences de tailles obtenues à partir des sennes de plage de 1967 à 1972, ainsi qu'en 1977 (BOELY, 1980; BOELY et al., 1982a), indiquent la présence permanente de juvéniles de 5 à 12 cm sur la Petite Côte. Si l'on se limite à deux cohortes, le programme SIMFREQ ne permet pas d'obtenir ces juvéniles en fin de saison froide (fig. 9a). On doit donc supposer qu'il existe une période de reproduction vers le mois de janvier-février, si l'on retient la courbe de croissance déjà décrite. Nous avons vu que les larves sont peu abondantes dans les échantillons prélevés sur la Petite Côte durant cette période, sauf certaines années (CONAND et FAGETTI, 1971). SEDLETSKAIA (1979) indique également de fortes abondances larvaires de part et d'autre de la presqu'île du Cap-Vert en janvier, mais on ignore sur quelle(s) année(s) porte(nt) ses observations. Par ailleurs, BOELY (1980) observe également des RGS élevés à cette saison, certaines années, et pense qu'une ponte peut alors avoir lieu sur le rebord du plateau continental. Cette ponte serait suivie de recrutement lorsqu'elle a lieu près de la presqu'île du Cap-Vert où des courants rapprocheraient les larves de la côte.
Jeunes reproducteurs (18 à 25 cm)
Les simulations réalisées en utilisant deux cohortes seulement donnent des résultats relativement satisfaisants pour la saison chaude où l'on arrive à reproduire des modes stationnaires par le jeu des deux recrutements associés à des émigrations (fig. 9a). Toutefois, on relèvera que dans les données simulées, les deux cohortes saisonnières de jeunes reproducteurs ne fusionnent pas parfaitement au début de la saison chaude, mais forment un groupe de tailles bimodal, alors que les débarquements présentent généralement des structures unimodales. Rappelons que cette taille modale unique se situe vers 22–23 cm pour les sardiniers, et correspondrait donc en majorité aux individus nés en juin (1ère cohorte), mais on observe également des tailles modales situées vers 18–19 cm en début de saison chaude dans les débarquements des pêcheries artisanales de Mbour et Joal, situées plus au sud (fig. 3 et annexe). Ces individus proviendraient donc en majorité de la 2ème cohorte. Si des structures de tailles bimodales de jeunes reproducteurs apparaissent parfois dans les histogrammes mensuels correspondant aux débarquements de la pêcherie artisanale, voire dans ceux des sardiniers certaines années, on observe qu'au niveau des coups de filet pris individuellement, les structures restent unimodales. Bien que les bancs correspondants soient probablement constitués d'un mélange d'individus appartenant à différentes cohortes, il semblerait que ce mélange soit relativement faible en début de saison chaude (si l'on retient les hypothèses de croissance et de migrations précédentes). Les individus de la 2ème cohorte seraient donc situés préférentiellement dans le secteur sud de la Petite Côte à cette époque. On les trouvera également dans les quelques captures des chalutiers polonais réalisées dans ce secteur (fig. 3). La limitation à 12 milles des côtes qui leur était imposée leur interdisait l'accès às la partie nord de la Petite Côte où opèrent en majorité les sardiniers dakarois.

Fig. 9a(début)

Fig. 9a (suite) : Histogrammes de fréquences de tailles de S. aurita sur la petite Côte: simulations par le programme SIMFREQ et paramètres utilisés pour cet essai (2 cohortes saisonnières)
Au coeur de la saison froide, durant le premier trimestre, les simulations ne procurent qu'une taille modale progressant de 17 à 19 cm pour les jeunes reproducteurs. Cette taille est communément observée dans les débarquements des pêches artisanales à cette saison, et une année sur deux en moyenne pour la pêche semi-industrielle. En revanche, la taille modale 22– 23 cm, très bien représentée dans les débarquements des deux types de pêche, est totalement absente des histogrammes résultant des simulations. Ceci milite encore en faveur de l'existence d'une 3ème cohorte, née en saison froide de l'année précédente, qui procurerait certaines années les classes de tailles manquantes dans les simulations. On est donc contraint d'envisager que cette cohorte proviendrait d'une autre nurserie et arriverait sur la Petite Côte vers l'âge d'un an. Si l'on se réfère aux campagnes de prospection larvaire (CONAND F., 1977; SEDLETSKAIA, 1979) et au schéma de migration des adultes, on peut supposer qu'une nurserie pourrait exister au sud du cap Roxo, en Guinée Bissau ou en Guinée. Les campagnes de chalutage réalisées en octobre 1985 indiquent la présence de jeunes individus, bien que le chalut de fond utilisé ne permette pas d'évaluer correctement leur abondance (DOMAIN, comm. pers.). La présence, sur la Petite Côte, de jeunes reproducteurs en provenance du sud, si elle était démontrée, nous ramènerait à l'ancienne hypothèse de la population guinéosénégalaise (BOELY et al., 1969) et remettrait en cause le schéma de migration des jeunes reproducteurs ainsi que les modèles de production que nous utilisons sur le sous-stock d'adulte de la Petite Côte (FREON, 1988). On peut difficilement rejeter cette hypothèse compte tenu de l'insuffisance de nos connaissances actuelles, même s'il est plus rassurant de supposer que cette troisième cohorte ne provient que de la ponte de janvier-février au niveau de la presqu'île du Cap- Vert, ce qui a le mérite d'expliquer du même coup la présence des juvéniles sur la Petite Côte en fin de saison froide.
Si l'on utilise, pour cette 3ème cohorte, les mêmes paramètres de croissance et de durée de reproduction que pour les précédentes, on doit alors supposer qu'elle quitte la Petite Côte dès le mois d'avril à l'âge de 14 mois (fig. 9b), faute de quoi le programme génèrerait des tailles modales de 24–25 cm, ce qui demeure exceptionnel dans la réalité. Cette hypothèse rejoint l'idée, déjà exposée, d'une date de migration liée à un état physiologique autant qu'à l'environnement. Une autre solution consisterait à attribuer uniquement à ces individus une croissance plus lente, et une date de naissance plus précoce, mais cette hypothèse ne serait soutenue par aucune observation.
Adultes (>25 cm)
Concernant les individus adultes, les simulations sont proches des données de terrain, constatation en partie triviale car ces individus ont alors une vitesse de croissance faible; le modèle maîtrise leur présence/absence essentiellement à partir des entrées des dates d'émigration/d'immigration. On a supposé ici un départ de ces adultes après la ponte, centré en moyenne sur le début juin, ce qui entraîne leur présence dans les histogrammes simulés jusqu'en juillet, alors qu'ils sont absents des débarquements au cours de ce mois. Nous avons vu que ceci pourrait être expliqué par une capturabilité pratiquement nulle à ce stade sexuel, ce qui aurait en même temps le mérite de concilier les observations de BOELY et al. (1982b) et CONAND F. (1977). Les classes d'âge annuelles des différentes cohortes sont alors confondues dans un seul groupe de tailles unimodal (fig. 9).

Fig. 9b (début)

Fig. 9b(suite): Histogrammes de fréquences de tailles S. aurita sur la Petite Côte du Sénégal: simulations par le programme SIMFREQ et paramètres utilisés pour cet essai (4 cohortes saisonnières)
Toutefois, on notera que l'étalement des fréquences de taille de ces individus est légèrement plus important dans les observations de terrain. On peut réduire cette différence en faisant revenir sur la Petite Côte les plus jeunes de ces adultes plus tardivement que leurs congénères qui ont pratiquement terminé leur croissance. On retrouve ici la nécessité d'une migration différentielle selon l'âge. Les expériences de marquage réalisées sur d'autres espèces de clupéidés démontrent que de tels schémas sont courants. Ainsi, CLARK et JANSSEN (1945) ont montré que chez Sardinops caerculea les individus les plus grands migrent les premiers et le plus loin. NICHOLSON (1971) arrive à des conclusions similaires pour B. tyrannus.
Une 4ème cohorte a été rajoutée, correspondant aux individus nés dans la nurserie mauritanienne début juillet et qui n'apparaîtraient sur la Petite Côte que de façon éphémère en décembre-janvier lors de sa migration vers le sud, expliquant ainsi la présence de tailles modales de 26–27 cm sur la petite côte certaines années, comme le note BOELY (1980). Ces individus réapparaîtraient sur la Petite Côte en Avril, lors de leur remontée vers le Nord, où leur taille se confond avec celle des adultes (fig. 9b). Les données rescentes de fréquences de tailles des débarquements de la pêche artisanale sur la Côte Nord du Sénégal confirment l'existence de cette cohorte (voir rapport du groupe).
Par ailleurs, on note que les figures de simulation obtenues pour l'extérieur de la nurserie correspondent bien aux observations réalisées au large de la Mauritanie et du Sahara, aussi bien en ce qui conceme les adultes proprement dits (tailles modales 25–27 cm) qu'en ce qui concerne les individus de taille intermédiaire entre les adultes et les jeunes reproducteurs (taille modale 25 cm). Ces derniers, absents de la Petite Côte, se trouvent ici en abondance, en particulier au cours des deux derniers trimestres (saison chaude) (fig. 9c).
CONCLUSION
Les diverses données déjà publiées sur le cycle de vie de S. aurita (croissance, migration, reproduction) ne permettent de simuler les fréquences de tailles observées qu'au prix de certaines hypothèses, venant préciser ou confirmer certaines de celles déjà émises par différents auteurs.
Une poussée de reproduction doit avoir lieu en début de saison froide (1er février dans nos simulations), certaines années pour le moins (BOELY, 1980).
Bien qu'il existe dans les captures un certain taux de mélange des différentes cohortes saisonnières de jeunes reproducteurs, selon le secteur de pêche et les années, l'une ou l'autre de ces cohortes prédomine largement, assurant une certaine homogénéité des histogrammes de fréquence de tailles mensuels (classes unimodales réparties sur 4 ou 5 cm).
Il existe probablement un processus continu d'émigration/immigration au niveau de la Petite Côte. Les dates de ces déplacements seraient conditionnées par trois facteurs, agissant à un niveau temporel de plus en plus précis et dont l'ordre serait le suivant :
la saison déterminerait le schéma général,
la classe d'âge serait responsable de décalages dans les départs, les individus adultes migrant avant les jeunes reproducteurs,
enfin, au sein d'une même classe d'âge, il semble exister une migration différentielle selon la taille (liée uniquement à la date de naissance dans notre programme de simulation, mais, selon toute vraisemblance, liée également à la vitesse de croissance dans la réalité).

Fig. 9c: Histogramme de fréquences de tailles de S. aurita à l'extérieur de la nurserie de la Petite Côte (Mauritanie essentiellement): simulations par le programme SIMFREQ. Paramètres : idem Fig. 51c.
Le déterminisme précis de la migration reste mal connu. Cependant, de façon schématique on peut supposer que la migration saisonnière a une causalité trophique et/ou génésique, tandis qu'aux différentes classes d'âge correspondraient des capacités migratrices différentes, en particulier au niveau de la résistance à la nage (les jeunes reproducteurs attendraient la “date limite” du signal saisonnier afin d'atteindre un développement maximal et d'accumuler suffisamment de réserves avant le départ). Enfin, les migrations différentielles selon la taille ou la date de naissance au sein d'une même cohorte pourraient être liées à un stade physiologique que devrait atteindre le poisson avant le départ : émission de gamètes ou, ici encore, stade d'engraissement.
Ce schéma est bien sûr simpliste, et seules des expériences de marquage permettront de cerner une réalité sans aucun doute complexe et changeante selon les années. Il est certain, par exemple, que tous les individus adultes ne migrent pas et qu'une partie de la population se sédentarise, ou effectue des migrations de faible amplitude. On en a la preuve directe pour les sardinelles adultes qui sont observées toute l'année, y compris en saison froide, au large de la Mauritanie et du Sahara (fig. 5) (en revanche l'équivalent ne semble pas se produire au Sénégal). Le déterminisme trophique de la migration n'est pas évident : si l'on s'explique bien le départ du Sénégal en début de saison chaude, au moment où les eaux s'appauvrissent en plancton, on comprend mal pourquoi les poissons quittent le nord de la zone en début de saison froide : s'il est vrai que l'upwelling s'y affaiblit, le transport d'Ekman reste cependant toujours plus fort qu'au Sénégal. Les sardines S. pilchardus “ne s'y trompent pas” puisqu'elles présentent alors leur maximum d'abondance en saison froide dans cette zone (stock C). L'effet de preferendum thermique a parfois été évoqué, mais l'argument ne tient pas plus car, en saison froide, les eaux sont pratiquement aussi froides au Sénégal que dans le nord de la région. Il est en fait probable que ces migrations relève de la génétique des populations et s'inscrivent dans la stratégie démographique de type r des populations de clupéidés (COLE, 1954; MAC ARTHUR et WILSON, 1967). Ceux-ci ont en effet tendance à coloniser au maximum l'habitat disponible en occupant toutes les strates spatio-temporelles où elles peuvent survivre, et en se reproduisant quasiment en permanence. Il est reconnu que les probabilités les plus fortes de survie des larves se situent dans les strates où l'advection vers le large est faible et la turbulence modérée (PARRISH et al. 1983), et c'est bien là que les maxima de reproduction sont observés (ROY et al., 19xx). Toutefois, leur forte fécondité leur permet de pouvoir “gaspiller” des gamètes dans des strates non favorables au développement des larves ou des juvéniles certaines années, mais qui pourront le devenir l'année suivante. Les fortes mortalités directement observées sous forme d'échouages massifs de juvéniles (plusieurs dizaines de tonnes) certaines années sur les plages de la presquîle du Cap- Vert, en saison froide, relèvent sans doute de cette stratégie.
On voit donc que, sous réserve de l'acceptation des hypothèses précédentes, le schéma de croissance très rapide prosé par BOELY et al. (1982a) n'est pas incompatible avec la stabilité des tailles modales observée durant plusieurs mois vers 22 cm dans les débarquements des pêcheries de la Petite Côte. L'approche par simulation multi-agents que nous avons retenue peut s'appliquer à d'autres espèces et peut contribuer à valider ou invalider diverses hypothèses sur la durée de la période de reproduction ou l'identité des stocks, ou encore le schéma de migration, comme nous l'avons vu dans le cas de Sardinella aurita.
BIBLIOGRAPHIE
ANONYME, 1983.- Synthèse des données hydro-acoustiques de la région Sénégal-Mauritanie. Centre Rech. Océanogr. Dakar-Thiaroye, Centre National de Recherches Océanographiques et des pêches de Mauritanie.
BOELY (T.), FREON (P.) et STEQUERT (B.), 1982a - La croissance de Sardinella aurita (Val. 1847) au Sénégal. Océanogr. trop. 17(2) : 103–119.
BOELY (T.), CHABANNE (J.), FREON (P.) et STEQUERT (B.), 1982b. - Cycle sexuel et migrations de Sardinella aurita sur le plateau continental ouest-africain des îles Bissagos à la Mauritanie. Rapp.P. v.Réun. Cons. int. Explor. Mer, 180 : 350–355.
BIESTER (E.) et DIN CHUNG (B.).- Age and growth of Sardinella aurita off N.W. Africa. Int. Cons Explor. Mer C.M. 1975/J. 17 Pelagic Fish Committee : 6 p.
BOELY (T.), 1980.- Biologie des deux espèces de Sardinelles : Sardinella aurita (Valenciennes 1847) et Sardinella maderensis (Lowe 184)1 des côtes sénégalaises. Thèse Doc. d'étal. Université de Paris VI : 286 p.
BOELY (T.), CHAMPAGNAT (Ch.) et CONAND (F.), 1969.- Reproduction et cycle biologique de Sardinella aurita (C. et V.) des côtes sénégalaises. Doc. Sci. Prov., Centre Rech. Océanogr. Dakar-Thiaroye, 21:13 p.
BOELY (T.) et Ostvedt (O.), 1976.- Les poissons pélagiques côtiers au Sénégal;observations faites à bord du navire usine “Astra” de la Mauritanie aux Iles Bissagos. Bull. Inst. Fond. Afr. Noire (A), 38 (3) : 677–702.
CAMARENA LUHRS (T.), 1986.- Les principales espèces de poissons pélagiques côtiers au Sénégal : biologie et évaluation des ressources. Thèse Univ. Bretagne Occ. : 187 p.
CHABANNE (J.) et ELWERTOWSKI (J.), 1973.- Cartes des rendements de la pêches des poissons pélagiques sur le plateau continental nord-ouest africain de 11° à 26°N. Doc. Sci. Centre Rech. Océanogr. Dakar-Thiaroye, 49 : 8 pp., 88 cartes.
CLARK (F.N.) and JANSEN (J.F.), 1945.- Movements and abundance of the sardine as measured by tag returns. Fish. Bull., 61 : 1–42
COLE (L.C.), 1954.- The population consequences of life history phenomenons. Quart. Rev. Biol., 29 : 103– 137.
CONAN (G.), 1978.- Comparison between growths at molt of the European and American lobsters in different geographic locations, according to their sex and strate of maturity. Cons. int. Explor. Mer, Shellfish and Benthos Committee, CM 1978/K, 18 : 32 p.
CONAND (F.) et FAGETTI (E.), 1971.- Description et distribution saisonnière des larves de sardinelles des côtes du Sénégal et de la Gambie en 1968 et 1969. Cah. ORSTOM, Sér. Océanogr., 9 (3) : 292–318.
CONAND (F.), 1977.- Oeufs et larves de la sardinelle ronde (Sardinella aurita) au Sénégal : distribution, croissance, mortalité, variations d'abondance de 1971 à 1976. Cah. ORSTOM, Sér. Océanogr., 15 (3): 201–214.
CONAND (C.), 1977.- Contribution à l'étude du cycle sexuel et de la fécondité de la sardinelle ronde, Sardinella aurita : pêche sardinière dakaroise en 1975 et premier semestre 1976. Cah. ORSTOM, Sér. Océanogr., 15 (4): 301–312.
FONTENEAU (A.), 1974.- Simulation stochastique des structures démographiques. Application aux populations d'Albacores, Thunnus Albacares. Doc. Sci. Centre Rech. Océanogr. Abidjan, 5 (3–4) : 53–62.
FREON (P.), 1984. - La variabilité des tailles individuelles à l'intérieur des cohortes et des bancs de poissons; I : Observations et interprétation. Océanol. Acta, 7 (4) : 457–468.
FREON (P.), 1988 .- Réponses et adaptations des stocks de Clupéidés d'Afrique de l'Ouest à la variabilité du milieu et de l'exploitation. Etudes et Thèses. ORSTOM Editions: 287 p.
GERLOTTO (F.), 1979 .- Biologie de Ethmalosa fimbriata (Bowdich) en Côte d'Ivoire: III - Etude des migrations en lagune Ebrié. Doc. Scient. Centre Rech. Océanogr. Abidjan. 10: 3–49.
GROS (PH.), 1980.- Description mathématique de la croissance de Lesueurigobius griesii (Teleostei, Gobiidae). Essai de synthèse. Oceanologica Acta, 3 (2) : 161–168.
GROS (PH.), 1992.- Prévision à moyen terme des fluctuations des ressources halieutiques: modèles tautologiques ou autorégénérants? Ann. Inst. Océanogr. 68 (1–2): 211–225.
HOLZLOHNER (S.) and KLOXIN (G.), 1982.- On the species composition and the length age structure of the important pelagic fishes off North West Africa 1981. Cons. Int. Explor.Mer, CM 1982/H55 : 27 p.
HOLZLONER (S.), KLOXIN (G.), PINGEL (Ch.) and HOFFMANN (U.), 1983.- On the species composition and length/age structure of the most important pelagic fish species off Mauritania in 1982. Cons. int. Explor.Mer, 1983/H53 : 44 p.
JOSSE (E.) et DOMALAIN (G.), 1983.- Captures et prises par unité d'effort des flotilles pélagiques dans la Z.E.E. mauritanienne en 1981 et 1982. Arch. Centre National de Recherches Océanographiques et des pêches de Maurita- nie, 3 : 13 p.
KNIGHT (W.), 1968.- Asymptomatic growth : an example of non sense disguised as mathematics. J. Fish. Res. Board Can., 25 (6) : 1303–1307.
KROGER (R.L.) et GUTHRIE (J. F.), 1983.- Migrations of tagged juvenile Atlantic Menhaden. Trans. Amer. Fish. Soc., 102 (2) : 417–422.
MAC ARTHUR (A.H.) and WILSON (E.O.), 1967.- The theory of island biogeography. Princeton Univ. Press, Princeton, N.J. : 203 p.
NICHOLSON (W.R.), 1978 .-Movements and population struture of Atlantic menhaden indicated by tag returns. Estuaries (USA) 1:141–150.
PAULY (D.) and TSUKAYAMA (I.), 1983.- On the seasonal growth, monthly recruitement and monthly biomass ofperuvian anchoveta (Engraulis ringens) from 1961 to 1979, in : Proceedings of the expert consultation to examine changes in abundance and species composition of neritic fish resources; FIRM R 291, 3 : 987–1009.
PHAM TUOC and SZYPULA (J.), 1973).- Biological characteristics of gilt sardine, Sardinella aurita Cuv. et Val. 1847, from northwest African coast. Act. Ichth. Pisc., 3 (1) : 19–37.
PROBATOV (A.M.)and PUPYSHEV (V.A.), 1969.- Behavior of Sardinella aurita (Val.) near the west coast of Africa. Atlant. Niro. Trudy, 22 : 221–234.
RICKER (W.E.), 1969.- Effects of size-selective mortality and sampling bias on estimate of growth, mortality, production and yield. J. Fish. Res. Board Can., 26 (3) : 479–541.
ROY (C.), CURY (PH.), FONTANA (A.) et BELVEZE (H.), 1989 .-Stratégies spatio-temporelles de la reproduction des Clupéidés des zones d'upwelling.de l'Afrique de l'Ouest. Aquat. Living Resourc. 2 : 21–29.
SEDLETSKAIA (V.A.), 1979.- Aires et périodes de reproduction de la sardinelle (Sardinella aurita) et des principales autres espèces de poissons pélagiques côtiers de l'Atlantique centre-est, in : Rapport du groupe de travail ad hoc sur les poissons pélagiques côtiers ouest-africains de la Mauritanie au Libéria (26°N à 5°N). COPACE/PACE Series 78 (10) : 109–118.
STAICU (I.), MAXIM (C.) et PANAIT (I.), 1975.- Recherches ichtyologiques roumaines dans la zone de l'Océan Atlantique est-central en 1974. Cercetari marine I.R.C.M., 8 : 119–135.
STAICU (I.), MAXIM (C.) et PANAIT (I.), 1976.- Recherches roumaines sur l'ichtyofaune de l'Atlantique en face du Sahara espagnol pendant la période 1973–1975. Cercetari marine I.R.C.M., 9 : 191–204.

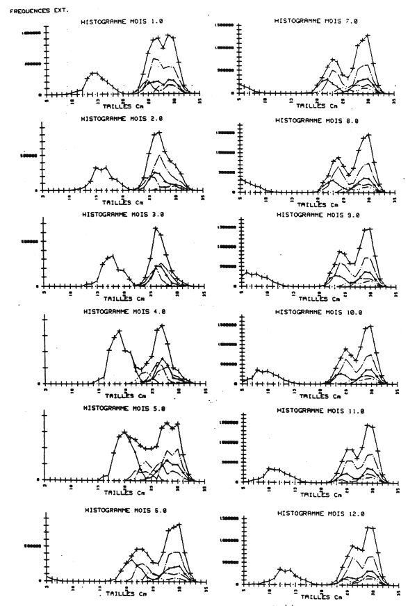
ANNEXE I : Histogrammes mensuels des fréquences de tailles de Sardinella aurita de 1966 à pour les sardiniers dakarois et les pirogues de Mbour et Joal.









