
Figure 1. Vitesse moyenne (m/s) de vent à Dakar (m/s). Observations réalisées de 1964 à 1988

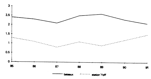
Figure 2a. Indice d'upwelling côtier de saison froide (novembre à mai) calculé à partir de deux sources de vent (bateaux et station météorologique de Dakar-Yoff)

Figure 2b. Température de surface de la mer (TSM) calculée à partir de l'information satellitaire et des relevés “bateux” (sone Sénégal).

Figure 3. Température de surface de la mer en Mauritanie et au Sénégal (intensité de l'upwelling côtier)

Figure 4. Durée de l'upwelling côtier en Mauritanie et au Sénégal

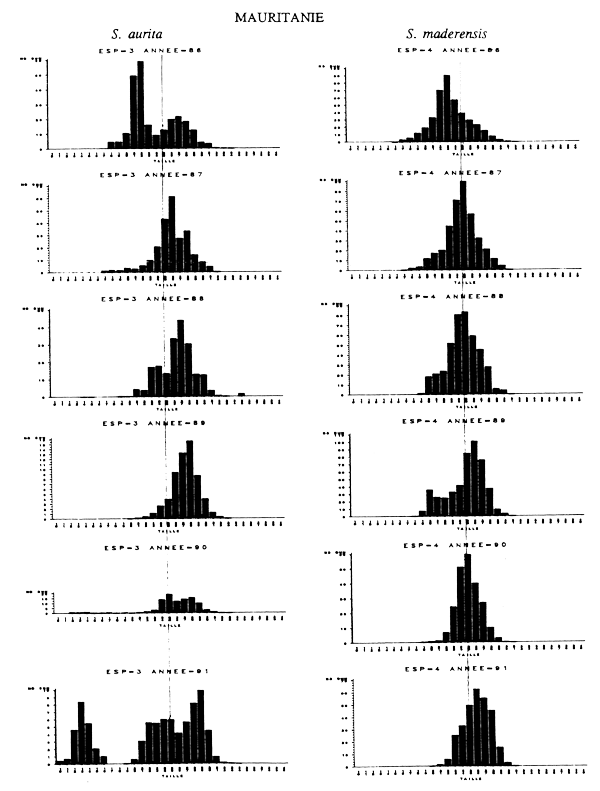
Figure 5. Distributions de fréquences de taille de Sardinella aurita et S. maderensis par pays/flottille et par strate spatio-temporelle

Figures 6. Distributions de fréquences de taille de Sardinella aurita et S. maderensis par pays/flottille et par strate spatio-temporelle

Figure 7. Distrobutions de fréquences de taille de taille de Sardinella aurita et S. maderensis par pays/flottille et par strate spatio-temporelle

Figure 8. Distributions de fréquences de taille de Sardinella aurita et S. maderemsis par pays/flottille et par strate spatio-temporelle

Figure 9. Distributions de fréquences de taille de Sardinella aurita et S. maderensis par pays/flottille et par strate spatio-temporelle

Figures 10. Distributions de fréquences de taille de Sardinella aurita et S. maderensis par pays/flottille et par strate spatio-temporelle

Figures 11. Distributions de fréquences de taille de Sardinella aurita et S. maderensis par pays/flottille et par strate spatio-temporelle

Figures 12. Distributions de fréquences de taille de Sardinella aurita et S. maderensis par pays/flottille et par strate spatio-temporelle

Figures 13. Distributions de fréquences de taille de Sardinella aurita et S. maderensis par pays/flottille et par strate spatio-temporelle

Figures 14. Distributions de fréquences de taille de Sardinella aurita et S. maderensis par pays/flottille et par strate spatio-temporelle

Figures 15. Distributions de fréquences de taille de Sardinella aurita et S. maderensis par pays/flottille et par strate spatio-temporelle

Figures 16. Distributions de fréquences de taille de Sardinella aurita et S. maderensis par pays/flottille et par strate spatio-temporelle

Figures 17. Distributions de fréquences de taille de Sardinella aurita et S. maderensis par pays/flottille et par strate spatio-temporelle

Figures 18. Distributions de fréquences de taille de Sardinella aurita et S. maderensis par pays/flottille et par strate spatio-temporelle
A: Adultes LF ≥ 25 cm
a: jeunes adultes 15 < LF < 25 cm
j: juvéniles LF < 15 cm
| S. maderensis | S. aurita | |||
|---|---|---|---|---|
| Zones géographiques | saison chaude/ warm season | saison froide/ cool season | saison chaude/ warm season | saison froide/ cool season |
| 20° 44' Cap Blanc | ||||
| Aaj | Aaj | Aj | Aaj | |
| 19° 21' Cap Timiris | ||||
| Aa | Aaj | A | Aaj | |
| Aa | Aa | A | A | |
| 16° 01' Saint-Louis | ||||
| A | Aa | a | A | |
| 14° 43' Cap Vert | ||||
| aj | Aaj | aj | aj | |
| a | Aaj | aj | A | |
| 12° 20' Cap Roxo | ||||
| a | a | aj | Aa | |

Figure 20. Evolution des prises de Sardinella aurita dans la zone 34.3.1 et 34.1.3, de 1966 à 1992

Figure 21. Evolution des prises de Sardinella maderensis dans la zone 34.3.1 et 34.1.3 de 1966 à 1992

Figure 22a. Prise par jour de mer (PUE) de S. aurita des flottes de l'ex URSS et de la Roumanie, par type de navire et par zone: Nord Mauritanie, de 1985 à 1991

Figure 22b. Prise par jour de mer (PUE) de S. aurita des flottes de l'ex URSS et de la Roumanie, par type de navire et par zone: Sud Mauritanie, de 1985 à 1991

Figure 23a. Prise par jour de mer (PUE) de S. aurita des flottes de l'ex URSS et de la Roumanie, par type de navire et par zone: Nord Mauritanie, de 1985 à 1991

Figure 23b. Prise par jour de mer (PUE) de S. maderensis des flottes de l'ex URSS et de la Roumanie, par type de navire et par zone: Sud Mauritanie, de 1985 à 1991

Figure 24. Calcul des indices d'abondance pour la Mauritanie

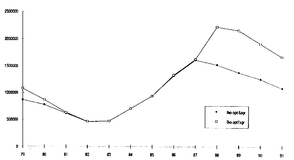
Figure 25a. Prise par unité d'effort (PUE) de Sardinella aurita sur la Petite Côte du Sénégal de 1968 à 1991 pour les flottiles semi-industrielles (SAPIS) et artisanales (SAPASx10). Les PUE de ces dernières ont été multipliées par 10 (voir parag. 8.1.2)

Figure 25b. Prise par unité d'effort (PUE) de Sardinella spp. sur la Petite Côte du Sénégal de 1968 à 1991 pour les flottiles semi-industrielles (SAPIS) et artisanales (SAPASx10). Les PUE de ces dernières ont été multipliées par 10 (voir parag. 8.1.2)

Figure 26. Résiltats de l'application des modèles globaux intégrant l'effet des changements environnementaux

Figure 27. Résultats de l'application des modèles globaux intégrant l'effet des changements environnementaux

Figure 28. Résultats de l'application des modèles globaux intégrant l'effet des changements environnementaux

Figure 29. Résultats de l'application des modèles globaux intégrant l'effet des changements environnementaux

Figure 30. Résultats de l'application des modèles globaux intégrant l'effet des changements environnementaux

Figure 31. Résultats de l'application des modèles globaux intégrant l'effet des changements environnementaux

Figure 32. Résultats de l'application des modèles globaux intégrant l'effet des changements environnementaux

Figure 33. Prises/taille (image moyenne de la pêcheire) de Sardinella aurita

Figure 34. Captures/taille de Sardinella aurita pour les périodes 1979–1981, 1989–1991 et 1979–1991

Figure 35. Résultats ASP (F par âge) appliquées à Sardinella aurita (loi de croissance rapide et deux valeurs de Fterm. différents)

Figure 36. Résultats ASP (F par âge) appliquées (population) à Sardinella aurita (loi de croissance lente)

Figure 37. Evolution des biomasses de S. aurita observée par application de ADAPT aux âges l à 6+ et 1 à 7

Figure 38. Résultats ASP (population en nombre) appliquées à Sardinella aurita (croissance rapide)

Figure 39. Résultats ASP (F par âge) appliquées à Sardinella aurita (croissance lente)

Figure 40. Résultats ASP (population en nombre) appliquées à Sardinella aurita (croissance lente)

Figure 41. Evolution de la biomasse et du recrutement (en tonnes) de S. aurita (méthode de Jones)

Figure 42. Evolution du coefficient pondéral moyen de F

Figure 43. Analyse de la production par recrue (modèle de Ricker)

Figure 44. Evaluations acoustiques. Evolution des densités obtenues par le N/O LOUIS SAUGER

Figure 45. Evaluations acoustiques. Evolution des densités obtenues par le N/O N'DIAGO

Figure 46. Evaluations acoustiques. Biomasses estimées par le N/O Dr. F. NANSEN

Figure 47. Biomasse totale pour la région Sénégal + Mauritanie en saisons chaude et froide
| Zones géographiques | Saison chaude | Saison froide |
|---|---|---|
| Nord Mauritanie (du Cap Blanc au Cap Timiris) | 21% | 28% |
| Sud Mauritanie (du Cap Timiris à Saint Louis) plus Nord Sénégal (de Saint Louis au Cap-Vert) | 51% | 45% |
| Sud Sénégal (du Cap-Vert au Cap Roxo, Gambie comprise) | 28% | 27% |
| Bissagos (du Cap Roxo au Cap Verga) | - | - |

Figure 48. Répartition par zone de la biomasse totale

Figure 49. Sardinella aurita et S. maderensis. Structure de taille des échantillons observés lors de la campagne de férier 1992 du N/O Dr. F. NANSEN
A: Adultes LF ≥ 25 cm a: jeunes adultes 15 < LF < 25 cm j: juvéniles LF < 15 cm
| Zones géographiques | S. maderensis | S. aurita |
|---|---|---|
| MAURITANIE | A = 671 | A = 3778 |
| a = 1372 | a = 510 | |
| j = 1249 | j = 1637 | |
| SENEGAL | A = 92 | A = 652 |
| a = 3305 | a = 690 | |
| j = 15 | j = 36 | |
| GUINÉE-BISSAU | A = 3 | A = 1025 |
| a = 467 | a = 981 | |
| j = 1 | j = 8 |
