Appendix B Linear programming model (B3)
Back to contents - Previous file - Next file
B.3 FORMULATION OF THE SPATIAL OPTIMAL RESOURCE USE MODEL
The mathematical formulation of the Optimal Spatial Resource Allocation Model reflects the study objectives presented in Chapter 5 utilizing the framework of AEZ Land Productivity methodology. The model accepts user specifiable scenario parameters from a control file, reads crop, grassland and fuelwood production potentials by agro-ecological cells as determined in the AEZ assessment, reads livestock system related data derived from herd structure models, and determines simultaneously land use by agro-ecological cell as well as supported levels of different livestock systems, feed supplies and utilization by livestock zone and season. The model provides a framework for specifying different types of objective functions and kinds of constraints. The latter relate to preferred demand baskets, crop specific production targets, risk aversion, economic constraints, land use by individual crop or crop group, crop mix, input use, quality of human diet, environmental limitations, seasonal feed demand-supply balances, feed quality, and distribution of livestock systems.
B3.1: Derived Variables:
The decision variables in the Optimal Spatial Resource Allocation Model relate to optimal land use, livestock numbers supported and optimal allocation of potential feed supplies to different livestock systems. Hence, there are three groups of decision variables:
(a) the land use shares, i.e., the share Xkj of agro-ecological cell j allocated to cropping activity k,
(b) the number of units Lsz of livestock system s kept in zone z, and
(c) the feed ration filtsz of feed item I from crop i allocated to livestock system s in period t in zone z.
These variables form the columns of the LP matrix, the LP activity set. For notational convenience we define a number of derived variables that are used in the model description:
Akj = Xkj*Ej
area in cell j allocated to cropping activity k (including fallow requirements).
aikj = Akj * cfkj / 100
area harvested of crop i as part of cropping activity k in cell j.
qikj = yikj * aikj
production of crop i from activity k in cell j.

total production of crop i, in season t; summation is over all activities in cell j

![]()
production of livestock commodity i, zone z
![]()
utilizable production, feed item 1, from crop i, in season t, in livestock zone z
![]()
digestible crude protein in feed diet supplied to livestock systems in season t, livestock
zone z
![]()
metabolizable energy in feed diet supplied to livestock system s, in season t, livestock zone z
B3.2: Objective Function:
Three kinds of objective functions, depending on the scenario focus, have been employed in the study:
(a) maximize net weighted output:

(b) maximize level of self-sufficiency by commodity group:

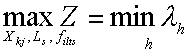
(c) minimize use of arable land to achieve district self-sufficiency in food and livestock products: min Z ICE,

B3.3 Demand Targets by Aggregate Commodity Group:
Lower and/or upper bounds or equality constraints on food availability by broad crop commodity groups (e.g. cereals, pulses, roots, etc.) can be used to enforce fulfillment of food demand targets from domestic production (rainfed or irrigated) and imports. Since irrigated production and imports, in the present version, are specified exogenously, these constraints imply rainfed production targets by broad commodity groups.

he{crop commodity group]

he{crop commodity group}
B3.4 Production Targets by Crop:
In addition to specifying production targets by commodity group, the model implementation optionally provides for setting crop-specific production targets by region.
i= 1,. . .,N; r= 1,. . . ,R
i=1,...,N; r=l,...,R
B3.5 Limits on Harvested Area by Aggregate Commodity Group:
The regional levels of harvested area by commodity group can be controlled by means of a set of acreage target constraints.

h= 1,. . .,H; r= 1,. . .,R

h= 1, . . . ,H; r= 1, . . . ,R
B3.6 Total Arable Land Use Constraint:
Lower/upper bounds or equality constraints on total arable land use by region and/or district total serve to reflect considerations regarding land use other than for agricultural production purposes, e.g. forest areas, specific non-agricultural uses, etc. Unless these constraints are imposed, and depending on the chosen form of objective function, all potentially suitable land in all zones is assumed to be available for agricultural purposes, except for non-agricultural land use requirements, forest areas and game parks. k

r=1,...,R
B3.7 Crop-Mix Constraints by Crop Commodity Group:
While the previous set of constraints helps specifying absolute levels, the crop-mix constraints are used to specify the distribution of land to different crop groups.

he {crop group}; r = 1, . . . ,R

he{crop group}; r=1, ,R
B3.8 Demand Targets by Livestock Commodity Group:
Lower/upper bound or equality constraints on food availability by livestock commodity groups (e.g. meats, milk, etc.) can be used to enforce fulfillment of food demand targets from domestic production (rainfed or irrigated) and imports. Since imports, in the present version, are specified exogenously, these constraints imply production targets.

he{livestock commodity group}

he{livestock commodity group}
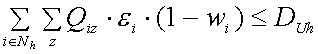
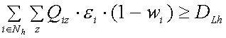
B3.9 Human Calorie/Protein Ratio Requirements Constraint:
These constraints ensure that, by broad climatic zones, the crop production plan is such that the ratio of calories to protein obtained from food products stays within acceptable ranges.

r=1,...,R
B3.10 Feed Availability Constraints:
The feed availability constraints ensure that feed consumption of a particular feed item from a given crop in a given period does not exceed available feed supply. The aggregate feed availability constraints are imposed for every feed item in each livestock zone z, z= 1,...,Z.

i = 1, . . .,N; I = 1,. . .,L; t=1,...,T

i= 1,....N; l=1, ....,L; t=1,...T
B3.11 Seasonal Feed Requirement Constraints:
The seasonal feed requirement constraints ensure that seasonal feed intake lies within the prescribed tolerance band and that the annual feed intake does not fall below average annual requirements. This set of constraints refers to dry matter intake of feed. The constraints are imposed by livestock system, feeding period and zone.

s=1,...,S; t=1,...,T; z=1,...,Z

s=1,...,S; t=1,...,T; z=1,...,Z

s=1,...,S; z=1,...,Z
B3.12 Seasonal Crude Protein Feed Quality Constraints:
The seasonal CP feed quality constraints ensure that the digestible crude protein (pop) contents of the livestock system specific seasonal feed intake lies within the prescribed tolerance band and that the annual average pop contents of the feed intake does not fall below average annual requirements.
![]()
s=1,...,S; t=1,...,T; z=1,...,Z
![]()
s = 1,. . .,S; t= 1,. . .,T; z= 1,. ..,Z

s=1,...,S; z=1,...,Z
B3.13 Seasonal Metabolizable Energy Feed Quality Constraints:
The seasonal metabolizable energy (ME) feed quality constraints ensure that the ME contents of the seasonal feed intake lies within the prescribed tolerance band and that the annual average ME contents of the feed intake does not fall below average annual requirements. For example, improved animals with higher productivity also require higher energy concentration in the diet.
![]()
s=1,....,S; t=1,....,T; z=1,...,Z
![]()
s=1,...,S; t=1,...,T; z=1,...,Z

s=1,...,S; z=1,...,Z
B3.14 Distribution of Livestock over Regions:
The livestock systems distribution constraints allow to impose lower and upper bounds on the distribution of livestock over broad regions. The shares refer to representation in terms of reference livestock system units (RLSU). The information on number of animals per livestock type and region contained in the AEZ database was used to set bounds on the distribution of livestock systems. This limits the flexibility of the model taking into account the historical situation. Both lower and upper bounds can be specified to describe an acceptable bandwidth.

s=1,...,S; r=1,...,R

s=1,...,S; r=1,...,R
B3.15 Distribution of Livestock Systems within Zone:
The relative distribution of livestock systems within individual livestock zones is controlled with this set of constraints. Again, the shares refer to representation in terms of reference livestock system units (RLSU). The information on number of animals per livestock type and region contained in the AEZ database was used to set bounds on the distribution of livestock systems.

s=1,...,S; z=1,...,Z

s=1,...,S; z=1,...,Z
B3.16 Production Input Requirement Constraints:
This set of constraints provides a means of ensuring that production input requirements and resource use for crop and livestock production stay within the limits of the resource endowment in terms of relevant input categories, e.g. labour capital, fertilizer, power, etc.
Negative input-output coefficients are used in case of activities which generate resources, e.g. draught power from animals.

m=1,...,M; r=1,...,R
B3.17 Cell Use Constraints:
While the number of constraints described so far is independent of the number of records in the land resources inventory, cell use constraints are implemented for each agroecological cell that allows for more than one cropping activity. The constraint states that the sum of shares of the cell allocated to different activities cannot exceed one.

j = 1,. . .,J
B3.18 Cell Level Production Risk Constraints:
The cell level risk constraints are implemented to ensure that the resulting land allocation emphasizes the stability of the production plan also in 'bad' years. The constraint is specified such that land use option, selected in the optimal solution on the basis of production levels attainable on average, should provide output levels also in 'bad' years which do not fall below a user specified threshold level in comparison to the best possible output obtainable in 'bad' years among all viable cropping options.
B3.19 Mono-cropping Restrictions:
Mono-cropping restrictions are imposed in the way of simple upper bounds on the maximum share of each cell that can be allocated to a particular cropping activity. No restrictions are imposed for perennial crops, environmentally compatible cropping activities, e.g. beans, forage legumes or grasses, and in cells with only one suitable activity.
![]()
j=1,...,J; k=1,...,K
B3.20 Livestock Systems Activity Constraints:
To cater for situations when the information in the land resources inventory does not provide sufficient information regarding the appropriate livestock systems to select, lower and upper bounds on the number of RLSU by livestock system and zone can be specified.
![]()
s = 1, . . . ,S; z = 1,. . .,Z
B3.21 Environmental Impact Constraints:
Environmental impact constraints have been considered to ensure that the optimal production plans are also environmentally compatible, stipulating that the environmental impacts in each cell must not exceed tolerable limits.

j=1,...,J; g=1,...,G