B.D. Perry, R.L. Kruska and R.S. Reid
INTRODUCTION
Africa is experiencing a deepening crisis with regard to feeding its burgeoning human population. There is a current deficit of food across the continent and with population growth rates increasing at approximately 3.2 per cent annually, the highest continental rate in the world, this deficit is likely to increase unless effective remedial actions can be taken (Winrock International, 1992). Increasing food production involves increasing the geographical area over which food is produced in the continent, and improving the efficiency of food production per unit area of land in areas currently cultivated. The areas of food production requiring enhancement are broad, and encompass both crops and livestock. It is increasingly recognised that livestock production not only contributes to the provision of traditional animal protein products of meat and milk, but also to the optimal production of crop staples such as maize through their use in ploughing, providing organic fertiliser and transporting crop products to market.
Trypanosomiasis constrains both the intensification of livestock production in areas where it is currently practised (by constraining the use of more productive but disease-susceptible animals) and the expansion of livestock production into areas where their very survival is limited by the presence of the disease. Several control measures for trypanosomiasis exist, and have existed for several years, but at a continental scale they are apparently becoming less effective in relieving the trypanosomiasis constraint. Why is this?
Firstly, sub-optimal trypanosomiasis control depends on the innate limitations of some of the technologies themselves, and secondly on the inadequate delivery and adoption of these technologies. The available control technologies can be broadly classified into three: chemotherapy of trypanosome infections; control of the tsetse fly; and the use of animals with genetic resistance to the effects of trypanosome infections. All three of these methods have some technical constraints at present, and are the subject of research to try and overcome them. Chemotherapy is constrained by reliance on a severely restricted number of compounds, and there is increasing resistance to these products in different parts of the continent. Tsetse control through the widespread use of insecticides, is no longer environmentally acceptable, and although insecticide impregnated targets can be very effective under controlled conditions, they are not universally effective for different fly species in all environments. Genetic resistance of breeds such as the N'dama is possibly the most technically viable of the available control options, but it is poorly exploited due to inadequate dissemination and adoption of trypanotolerant animals. Available chemotherapeutics and tsetse control measures are also severely constrained by inadequate resource allocation to achieve and sustain their effective application in the field.
Thus resource allocation, at both national and international levels, is inadequate to improve technologies of trypanosomiasis control, and to effectively deliver those currently at our disposal. In many countries of Africa, the will to control trypanosomiasis is present, but the total financial resources available do not permit this area to receive an allocation consistent with its position in the priority listings. While this is also true at the international level, allocations in this arena are also influenced by concerns about the possible changes in land-use that may result from improved trypanosomiasis control, and their potential influence on land degradation and loss of biodiversity. Regrettably, this argument has received considerable international attention, usually without being put in the context of the other factors influencing changes in land-use, in particular population growth, and of the varying environments, both physical and economic, in which trypanosomiasis control is likely to occur in Africa. As a result, disproportionate attention has been paid to speculating on the adverse effect of improved tsetse control on cattle populations in the most susceptible environments, namely the marginal and semi-arid areas of the continent (Ormerod, 1976; 1986; 1990). This remains speculation, even in these drier areas, and even if valid, cannot be simply extrapolated to other climates and agroecological zones of the continent.
ILRAD is one of the research institutions working to improve the portfolio of trypanosomiasis control measures at the disposal of governments and farmers in Africa. As such, it is addressing issues relating to their future application in a structured, strategic manner, in order that they can be effectively used to improve agricultural production and human wellbeing in the continent. As part of this approach, ILRAD and its collaborators are attempting to define the effect of trypanosomiasis control on land-use and biodiversity in the continent, in order to enhance the quality of current and future decisions on the implementation of sustainable livestock development programmes through trypanosomiasis control.
Strategic continental-level studies are, by their nature, complex, requiring evaluation of many different independent variables which exert varying influence, both geographically and over time. For this reason, in the late 1980s ILRAD embarked on the development of computerised data management and analysis systems to accommodate these demands. The geographic information system (GIS) that has resulted provides a unique and powerful tool with which to address these broad research issues. Todate, the GIS has been used principally to predict the distribution and dynamics of tick-borne infections of livestock in the continent (Lessard et al., 1990; Perry et al., 1990; Perry et al., 1991; Norval et al., 1991; Norval et al., submitted), and numerous digital georeferenced databases have been developed to accomplish this.
At an early stage ILRAD recognised that the database requirements for such research extend beyond the capacity of ILRAD itself, to domains of the other International Agricultural Research Centres (IARCs) of the Consultative Group on International Agricultural Research (CGIAR), of the Food and Agriculture Organisation (FAO) of the United Nations, and of the United Nations Environment Programme (UNEP). To this end, ILRAD has contributed to recent attempts to define the digital data requirements for GIS activities in the CGIAR, and identify institutes outside the CGIAR specialised in particular subject areas (such as climate, soils and terrain, socioeconomics) which might contribute to this coordinated database development process.
STRATEGIC RESEARCH ISSUES
The possible effects of trypanosomiasis control have been recognised and discussed for over a century, but they have yet to be quantified in epidemiological, ecological and economic terms in the differing areas affected by the disease. Where effects have been assessed in some detail, this has generally been carried out ex post in small areas and regions following tsetse fly control programmes. The lack of quantitative multidisciplinary data constrains ex ante evaluations of trypanosomiasis control at a continental level, and thus the appropriate allocation of resources to trypanosomiasis control, and the effective development of trypanosomiasis control and land-use policies for the continent.
Among the many reasons why quantitative data are not yet available are the complexity of the multidisciplinary analyses required, and the difficulty in extrapolating data from the few sites at which such work has been done to national, regional and continental scales. However, the advent of computerised data storage, analysis and display systems in the form of GIS now make extrapolation possible and cost-effective.
Under the auspices of a project funded by the Rockefeller Foundation, ILRAD has initiated a research programme to quantify the future of trypanosomiasis control, with the following objectives:
To determine how trypanosomiasis control, economic, environmental, demographic and socio-cultural factors influence land-use decisions in Africa. This information will be used to put disease control in context with other pressures on land-use change, and to build a broad-scale model of the processes involved.
To quantify the impact of land-use change associated with trypanosomiasis control on ecological and socio-economic properties at different levels of resolution (local, national and continental).
RESEARCH APPROACH
GIS analysis is one of three approaches being used to attain these objectives. Continental level GIS activities are integrated with a high resolution case study in eastern Africa in which the processes behind land-use change and the impacts of that change are identified and quantified in an ex post setting. Case-studies will also be carried out in western and southern Africa. In addition, GIS analyses and data derived from the case-studies will eventually be integrated into computer models that drive decision support systems to assess the impacts of trypanosomiasis control.
GIS data layer development and the analysis of the interactions between layers are being conducted at four scales: continental, regional, national and local. The analysis is nested intentionally so that results at one level can be put into context at the next higher level. In this way, a better understanding is anticipated of which variables and processes remain the same and which do not when assessing impacts at different scales of resolution.
CONCEPTUAL MODEL
GIS activities are purposely interdisciplinary in nature, although data development has proceeded first along epidemiological, climatological and ecological lines. In order to clarify the linkages among ecological, epidemiological, social and economic impacts, a conceptual model was constructed (Fig. 1, from Reid et al. 1993).
The conceptual model is built around the interaction of trypanosomiasis and land-use, nested between the environmental and socioeconomic influences. The physical environment consists of a set of initial conditions and external driving variables that constitute the potential natural capital (e.g., climate, biodiversity, soil fertility, vegetation structure) and determine the range of land-use systems that are viable at a given site. Similarly, a set of external socioeconomic driving variables determine the characteristic structure of property rights, available production technology and human population in a particular area. Operating within this socioeconomic environment, people make decisions about migration, labour allocation, livestock production and agricultural practices that in turn determine the actual land-use system. The actual land-use system modifies the potential natural capital which in turn can limit the types of land-use that are possible.
The importance of different variables in this conceptual model will change as the focus of study moves from the local to the national and the continental scales. As the scale expands, local level phenomena will become aggregate and some previously large-scale, external variables will become internal to the model.
The conceptual model will be used to link the intended scales of study (local, national, regional, continental) with the three methodologies of study (GIS, field case studies and modelling). It will also be used as a conceptual link to current and proposed research on the adoption, delivery and sustainability of disease control technologies.
GIS DATABASE ACQUISITION AND DEVELOPMENT
Quality digital georeferenced databases covering study variables at an appropriate level of resolution are essential to this study, and ILRAD has developed a wide network of collaborating institutions for GIS database development and acquisition. Database development requires collection of secondary data at as fine a resolution as possible followed by their digitisation into new GIS layers or their linking to existing spatial databases. Whenever possible, existing data layers developed elsewhere are acquired and only those that are unavailable are developed at ILRAD. The data layers developed at ILRAD have attracted many new collaborations and hopefully give incentive to other institutions to share their databases. Table 1 illustrates some recent acquisitions of databases used in this analysis, and their sources.

Figure 1. A conceptual model of the environmental, social and economic impacts of trypanosomiasis control (from Reid et al., 1993).
Table 1
| Data Layer | Collaborator |
Continental
| Cattle Density | ILRAD |
| Human Population Density | UNEP/GRID |
| Vegetation | UNEP/GRID |
| Vegetation/Landuse | UNEP/GRID |
| Digital Chart of the World--Africa | UNEP/GRID |
| Protected Areas | WCMC |
| Wetlands | WCMC |
| Endangered Species List | WCMC |
| Soils | FAO |
| Administrative Boundaries | FAO |
National
| Cattle Population GIS Layer--Ethiopia | ILRAD |
| Human Population--Kenya, 1979–89 | ILRAD |
| Soils--Kenya | UNEP/GRID |
| Crop-use Intensity--Mali | FEWS |
| Crop-use Intensity--Burkina Faso | FEWS |
| Crop-use Intensity--Zambia | FEWS |
| Crop-use Intensity--Zimbabwe | FEWS |
| Administrative boundaries--Ethiopia | IFPRI, FEWS, USGS |
| Elevation--Ethiopia | IFPRI |
| Land Suitability--Kenya | FAO |
| Cattle Population Data List--Ethiopia | FAO |
Local
| Digital Elevation Model--Ghibe | ILRAD |
| Transportation Network--Ghibe | ILRAD |
| River/Stream Network--Ghibe | ILRAD |
| Landuse, 1972 Aerial Photo Interpretation, Ghibe | ILRAD |
| Landuse, 1993 TM Landsat Interpretation, Ghibe | ILRAD |
| Satellite Landuse Change Analysis--Ghibe Valley, Ethiopia | USGS |
These new databases document the distribution and magnitude of environmental and demographic variables at three scales: local, national and continental. Datasets that were acquired by developing or continuing collaborative relationships involved several organizations. First, collaboration has continued with UNEP/GRID with the acquisition of continent-wide data layers of human population density and three different data layers covering the distribution of vegetation. A new collaboration was established with FEWS (Famine Early Warning System) and data on land-use intensity, developed from satellite imagery, was acquired for four countries. Another new collaboration was developed with WCMC (World Conservation Monitoring Centre), the data depository of World Wide Fund for Nature (WWF) and the International Union for Conservation of Nature (IUCN)). WCMC provided ILRAD with continental digital data of the distribution and status of protected areas, the distribution and type of wetlands and lists of endangered species for selected African countries. These data will be used to determine the association of tsetse with conservation areas, and what areas might be under threat of development if tsetse are successfully controlled.
IFPRI (International Food Policy Research Institute) provided ILRAD with a digital elevation model of Ethiopia, which will be used to put the eastern African case-study site in that country into a national context.
FAO has provided land suitability data layers for Kenya; environmental, tsetse and land-use data layers for Togo; non-digital cattle population data for Ethiopia; administrative boundaries for Africa; and soils for Africa.
USGS (US Geological Survey) is attempting to use low resolution satellite imagery to conduct an historical analysis of land-use change at the Ethiopian case-study site in exchange for a reclassified version of a new satellite image we have recently acquired. At ILRAD, three major GIS databases layers are being developed for this study: a cattle population data layer for Africa, a human population data layer for Kenya, and high resolution elevation, roads, towns and rivers data layers for Ghibe Valley, Ethiopia. When completed, these data layers will be used in analyses of the environmental, social and economic impacts of disease control.
GEOGRAPHIC INFORMATION SYSTEMS HARDWARE AND SOFTWARE
Four geographic information systems are being used for database development and analysis: ARC/INFO version 6.1.11 and GRASS 4.02 running on SUN Sparc workstations, and pcARC/INFO version 3.4D Plus1 and IDRISI version 4.03 running on 486 IBM-compatible computers. Both versions of ARC/INFO form the basis of database development because the data formats used have become a worldwide standard for database exchange. ARC/INFO's vector-based format can be converted easily to a variety of other formats, including IDRISI and GRASS. Almost all of the databases in this study have been analysed using the raster-based system GRID (a module of ARC/INFO) and IDRISI. Many of the detailed databases, such as the crop-use intensity layers, are of such high resolution that they must be kept in a raster format. In addition, when incorporating a wide variety of databases from diverse sources, many data compatibility problems arise such as differences in map projections, scale, resolution and spatial integrity. All of these problems can be resolved easily by using the GRID software. Some of GRID's powerful capabilities include:
IDRISI, which runs on virtually any PC system, provides a low-cost medium for various collaborators to access, process and analyze existing databases. IDRISI and GRASS also provide satellite image processing modules that are not part of ARC/INFO software. Both packages will be used in the analysis of land-use change detection in the Ethiopia case-study.
1 Environmental Systems Research Institute, Redlands, California, USA
2 US Army Construction Engineering Research Laboratory, Champaign, IL, USA
3 Clark University, Worcester, MA, USA
DATA ANALYSIS
It has been said that more effective control of tsetse-transmitted trypanosomiasis may open vast areas of Africa to livestock production, both increasing food production potential and endangering reservoirs of biodiversity on the continent. Removal of the constraint of trypanosomiasis is predicted to allow the expansion of agriculture through increased use of animal traction. If these statement reflects reality, there should be a strong inverse relationship between the distribution of tsetse and the distribution of cultivated land or agricultural land-use in Africa. The first objective of the GIS analysis in this project was to determine whether such a relationship exists between the distributions of tsetse and agricultural land-use for Africa. If such a relationship exists, the second objective was to determine the strength of the link between tsetse and agricultural production relative to other factors that might influence land-use (i.e., human population, rainfall, elevation).

Figure 2. A continental comparison of human population density in tsetse-infested and tsetse-uninfested areas of the continent, stratified by rainfall zone.
However, no continental, geo-referenced database exists that adequately shows the distribution of land-use; so two alternative approaches were used. First, tsetse distribution was related to human population density at a continental level, using the latter variable as a surrogate for the land-use data. Second, agricultural land-use data was obtained for three countries from the Famine Early Warning System (FEWS) and these data were related to tsetse distribution. These geo-referenced data on land-use intensity were developed from country-wide coverages of Landsat satellite imagery (MSS) for Burkina Faso, Mali and Zambia. To link these two approaches, the hypothesis that human population density is a surrogate for land-use intensity was tested for the three countries. The analysis was conducted by overlaying the data layers of interest (tsetse distribution, human population, rainfall and elevation) and then conducting multivariate statistical analyses (discriminant analysis and categorical modelling) to quantify the relationships.
RESULTS
The results of preliminary analyses of these data have recently been reported (Reid et al., in press), and these are summarised here. For the continental analysis, the presence of tsetse was a marginally better discriminator (73% correct) of human population density than rainfall (67% correct) or elevation (65% correct) (Fig. 2). Even when the effect of rainfall was removed from the analysis, results revealed that for the most part, fewer people live in tsetse-infested than tsetse-free zones. This does not demonstrate a cause and effect relationship, but it suggests that tsetse may be an important constraint to human use.
As anticipated, there was a strong positive relationship between land-use intensity and human population density for Burkina Faso, Zambia and Mali. The possibility of a threshold of human population density below which little or no human land-use occurred was considered. This threshold could then be used so that human population density could predict human land-use. This lower threshold of human population density below which there was little to no cultivation varied between 7–25 people/km2 for three countries studied.
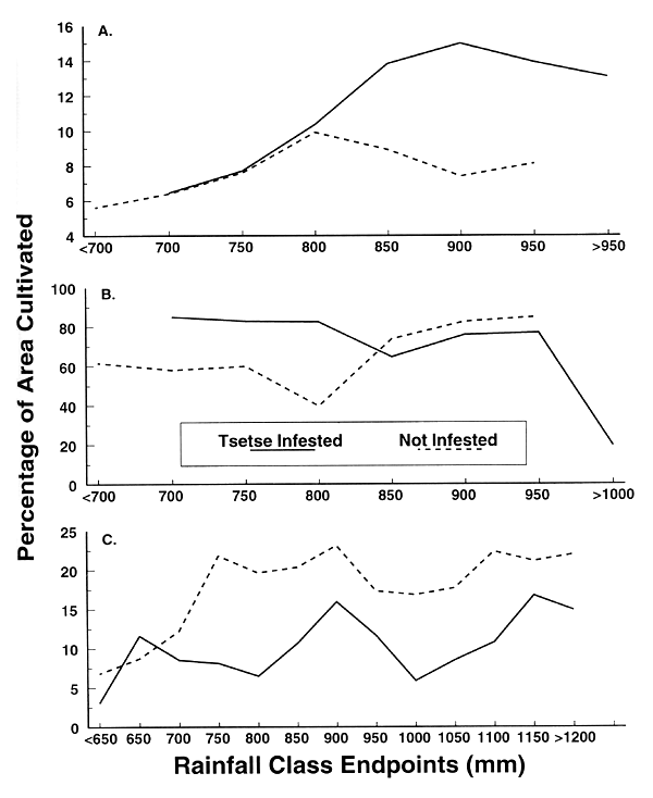
For the country analysis, it was expected that land-use would be low in the presence of tsetse. This is clearly the case for Zambia where the tsetse zones coincide with bands of low agricultural land-use (Figs. 3 and 4). These same belts contain most of the conservation areas in Zambia (including Kafue and Luangwa National Parks). By contrast, in Mali, tsetse presence was associated with both high and low land-use intensity, depending on the rainfall zone (Fig. 5). It is likely that areas with high land-use intensity that also have tsetse in Mali are areas where groundwater is particularly high along the Niger River. Unexpectedly, in Burkina Faso, tsetse presence was associated consistently with more intensive land-use. In this case, agricultural land-use may be strongly associated with soil type and fertility, irrespective of the presence or absence of tsetse. Areas where tsetse and high intensity agricultural land-use overlap may be zones where soils are particularly fertile (such as south west Burkina Faso). By contrast, areas with no tsetse and low intensity agricultural land-use may be zones of low rainfall and low soil fertility.

Figure 3. Mean land-use intensity (percent cultivated) in areas with and without tsetse, Stratified by rainfall zone in Burkina Faso (a) Mali (b) and Zambia (c)

Figure 4. Overlay of the maps showing agricultural land-use intensity, tsetse distribution and conservation areas for Zambia.

Figure 5. Overlay of the maps showing agricultural land-use intensity, tsetse distribution, and rainfall isohyets for Mali.

Figure 6. Overlay of the maps showing agricultural land-use intensity, tsetse distribution, and rainfall isohyets for Burkina Faso.
Another possible explanation for the results in Burkina Faso is that the tsetse distribution data sets are no longer correct and thus high land-use intensity no longer overlaps with tsetse. To test this hypothesis, up to date high resolution tsetse distribution data are required. However, with the rapid improvement in the quality of predictive models of tsetse distribution (Rogers and Randolph, 1993), ex ante assessments of vector distributions are likely to play an increasing role in such analyses.
Statistical analysis showed that tsetse distribution is an important discriminator of the distribution of agricultural land-use (Table 2). In Burkina Faso and Zambia, tsetse was more important in discriminating the distribution of land-use than either human population density or rainfall. As seen in Fig. 3, however, the direction of this relationship was positive in Burkina Faso and negative in Zambia. In the results of the categorical log-linear model, both rainfall and human population were more alternately important than tsetse in explaining variation in the land-use distribution variable.
CONCLUSIONS
The results presented here are of a preliminary nature, but clearly demonstrate the capacity of geographic information systems to make significant contributions to continental-level analyses of factors affecting tsetse distribution, human population density and land-use intensity. It is considered that such analyses will play an increasing role in the future in the process of resource allocation to improved food production in the continent through more effective disease control.
ACKNOWLEDGEMENTS
We would like to thank Dr Jack Doyle for his constructive comments on earlier drafts of the manuscript.
Table 2. Discriminant analysis and categorical log-linear models results showing the importance of tsetse, human population and rainfall as in explaining the distribution of agricultural land-use.
| Model elements | Discriminant Analysis | Categorical Log-Linear Models | |||
| Dependent Variable | Independent Variables | % Correctly Predicted | Significant Effects | Chi-square | P-value |
| Burkina Faso (n=32906 cells) | |||||
| Land-use Presence/Absence (+/-) | 1. Tsetse +/- | 66% | 1. Human pop | 1171.3 | <.0001 |
| 2. Human pop | 62% | 2. Tsetse +/- | 287.7 | <.0001 | |
| 3. Rainfall | 60% | 3. Rainfall | 251.9 | <.0001 | |
| 4. All variables | 68% | ||||
| Mali (n=72538 cells) | |||||
| Land-use Presence/Absence (+/-) | 1. Rainfall | 80% | 1. Rainfall | 12604.2 | <.0001 |
| 2. Tsetse +/- | 68% | 2. Tsetse +/- | 2430.7 | <.0001 | |
| 3. Human pop | 58% | 3. Human pop | 2053.4 | <.0001 | |
| 4. All variables | 81% | ||||
| Zambia (n=45888 cells) | |||||
| Land-use Presence/Absence (+/-) | 1. Tsetse +/- | 61% | 1. Human pop | 1479.2 | <.0001 |
| 2. Human pop | 59% | 2. Tsetse +/- | 949.9 | <.0001 | |
| 3. Rainfall | 56% | 3. Rainfall | 802.2 | <.0001 | |
| 4. All variables | 63% | ||||
Note: Land-use presence/absence is land-use intensity (figures above) classed into 2 cultivation classes (<10%=cultivation absent, >10%=cultivation present).
REFERENCES
Lessard, P., L'Eplattenier, R., Norval, R.A.I., Kundert, K., Dolan, T.T., Croze, H., Walker, J.B., Irvin, A.D. and Perry, B.D. (1990). Geographic information systems for studying the epidemiology of cattle diseases caused by Theileria parva. Veterinary Record, 126 255–262.
Norval, R.A.I., Perry, B.D., Kruska, R.L. and Kundert, K. (1991). The use of climate data interpolation in estimating the distribution of Amblyomma variegatum in Africa. Preventive Veterinary Medicine, 11, 365–366.
Norval, R.A.I., Perry, B.D., Meltzer, M.I., Kruska, R.L. and Booth, T.H. (submitted). Factors affecting the distributions of the ticks Amblyomma hebraeum and A. variegatum in Zimbabwe: implications of reduced acaricide use. Experimental and Applied Acarology.
Perry, B.D., Lessard, P., Norval, R.A.I., Kundert, K. and Kruska, R.L. (1990). Climate, vegetation and the distribution of Rhipicephalus appendiculatus in Africa. Parasitology Today, 6, 100–104.
Perry, B.D., kruska, R.L., Lessard, P., Norval, R.A.I. and Kundert, K. (1991). Estimating the distribution and abundance of Rhipicephalus appendiculatus in Africa. Preventive Veterinary Medicine, 11, 261–268.
Reid, R.S., J.J. Curry, B.M. Swallow, A.W. Mukhebi, B.D. Perry, and J.E. Ellis. 1993. Ecological, social and economic impacts of trypanotolerance: Collaborative research in Central and West Africa. Proceedings of the workshop entitled “Towards increased utilisation and adoption of trypanotolerance-current status of research and future directions. ILRAD, Nairobi, Kenya, 26–29 April, 1993.
Reid, R.S., Perry, B.D., Kruska, R.L., and Ellis, J.E. (in press). Preliminary analysis of the environmental impacts of trypanosomiasis control in Africa. ILRAD Annual Scientific Report.