
Fig. 1 Nature des fonds du plateau contienetal de Côte d'Ivoire (d'après Martin, 1973) (1)

Fig. 2 Nature des fonds du plateau contienental de Côte d'Ivoire (d'après Martin, 1973) (2)

Fig. 3 Bathymétrie et sédimentologie du plateau continental du Ghana (Modifié d'après Villegas et Garcia, 1983)

Fig. 4 Bathymétrie et sédimentologie du plateau continental togolais sur la base des résultats de la campagne OMBANGO 1963–1964
(Modifié d'après Crosnier et Berrit, 1966)

Fig. 5 BAthymétrie et Sédimentologie du plateau continental du Bénin sur la base résultats de la campagne OMBANGO (modifiés d'après Crosnier et Berrit, 1966)

Fig. 6 Répartition bathymétrique des espèces en saison chaude au Togo (Campagnes 83.01 ; 83.02 ; 84.01 ; 84.02)
(in Lhomme, 1985)

Fig. 7 Répartition bathymétrique des espèces en saison froide (Campagnes 83.03 ; 83.04 ; 84.03) et déplacement apparent par rapport à la saison chaude
(in Lhomme, 1985)

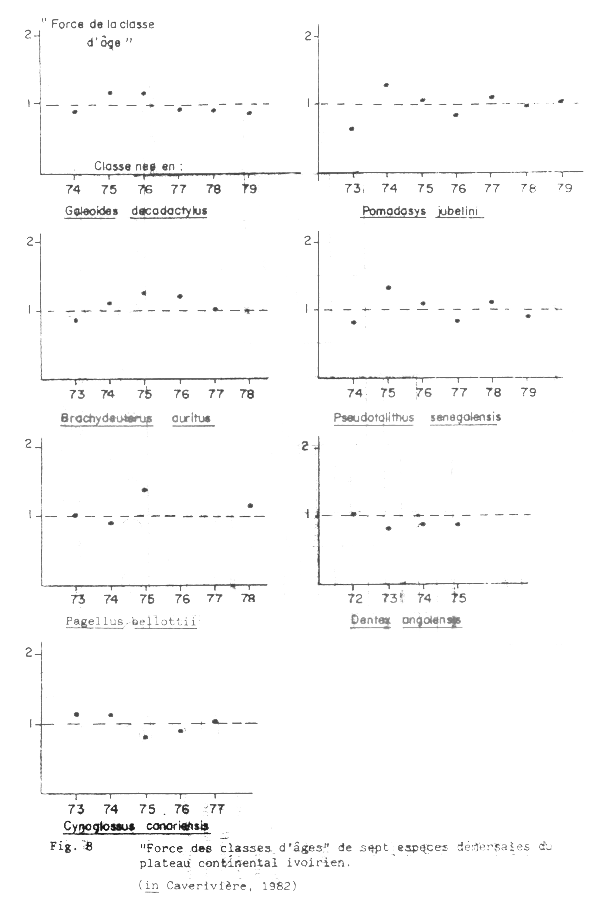
Fig. 8 “Force des calsses d'âge” de sept espèces démersales du plateau continental ivoirien. (in Caverivière, 1982)

Fig. 9 Captures et rendements (PUE) en fonction de l'effort de pêche (sorties) pour les chalutiers de pêche semi-industrielle au Ghana de 1972 à 1983