NOUVELLE APPLICATION DU MODELE ANALYTIQUE DE RICKER AUX
PRINCIPALES ESPECES CAPTUREES PAR LES CHALUTIERS IVOIRIENS
par
CAVERIVIERE Alain Chargé de Recherches de l'ORSTOM
1. INTRODUCTION
L'exploitation par les chalutiers des espèces démersales du plateau continental ivoirien a fait l'objet d'études récentes et des modèles analytiques basés sur l'estimation des mortalités naturelles et par pêche ont été appliqués (Caverivière, 1982a et b) aux principales espèces et à leurs regroupements : par communaté et total.
La mortalité totale, notée Z, qui est la somme de la mortalité naturelle (M) et de la mortalité par pêche (F), a étè calculée par tranche d'àge à partir des structures demographiques des capatures. Les valeurs des mortalités par pêche (F = Z - M) sont donc sous la dépendance des valeurs de la mortalité naturelle qui sont généralement très difficiles à connaltre. Les mortalités naturelles utilisées lors de la première application du modèle peuvent paraltre faibles et nous allons utiliser dans ce travail des mortalités beaucoup plus élevées. Nous montrerons que ces valeurs obtenues à partir de l'équation de Pauly (1980) sont souvent excessives. La comparaison des résultats obtenus avec des faibles et des fortes valeurs de M permettra d'apprécier approximativement l'effet d'une augmentation de la taille des mailles des culs de chalut dans le cadre général d'un même sens d'évolution des àges à la première capture pour l'effort de pêche de la période de référence (1980).
Les pertes immédiates dues à toute augmentation de maille sont calculées et le temps mis pour les résorber, dans le cas d'une augmentation de la production au nouvel équilibre attendu à terme, est évalué approximativement.
2. ESTIMATIONS DES MORTALITES TOTALES “Z”
Sept des principales espèces débarquées par les chalutiers ont été étudiées. Il s'agit de Galeoides decadactylus (capitaine), Pomadasys jubelini (carpe blanche), Brachydeuterus auritus (friture), Pseudotolithus senegalensis (ombrine), Cynoglossus canariensis (sole langue), qui appartiennent à la communauté côtière des Scianidés et représentent en 1980, 89% des prises effectuées sur cette communauté, et de Dentex angolensis (pageot rouge), Pagellus bellottii (pageot blanc) qui appartiennent à la communauté plus profonde des Sparidés et représentent 62% des prises effectuées sur cette communauté.
Les débarquements de ces espèces ont fait l'objet de mensurations de 1975 à 1980 et la structure annuelle des captures par groupe d'àge a pu être établie (les structures 1977 et 1979 de Dentex angolensis et Pagellus bellottii n'on pu être établies pour des raisons liées à l'échantillonnage).
Les effectifs par classe d'àge et les coefficients de mortalité totale sont donnés dans les tableaux 1 à 7.
3. NOUVELLES VALEURS DES MORTALITES NATURELLES ET PAR PECHE ENTREES DANS LE MODELE
Les valeurs des mortalités naturelles que nous allons utiliser pour une nouvelle application du modèle de Ricker sont calculées par l'équation de Pauly à partir des paramètres K et Loo des équations de croissance de Von Bertalanffy et de la valeur moyenne de la température ambiante de milieu dans lequel vivent ces espèces, 22'C pour les espèces de la communauté des Scianidés et 18'C pour celles de la communauté des Sparidés. Ces paramètres sont donnés dans le tableau 8 avec les valeurs de M utilisées précédemment.
Les analyses des cohortes, qui fournissent les valeurs des mortalités par pêche (F) et des abondances en début d'année, ont été effectuées avec les nouvelles valeurs de M et des F d'initialisation des calculs égaux à Z - M pour le dernier àge. Les résultats pour l'année 1980, qui sera la seule traitée, sont donnés dans le tableau 9.
4. RESULTATS POUR LA NOUVELLE APPLICATION ET COMPARAISON AVEC CEUX OBTENUS POUR DE FAIBLES VALEURS DE M
Ils sont présentés sur les figures 1 à 7 en fonction de l'âge à la première capture et du multiplicateur de l'effort de pêche. Comme lors du travail antérieur, on a également porté en ordonnée l'âge moyen de sélection pour trois maillages des culs de chalut plus importants que celui de 40 mm (ouverture de maille) qui est à l'origine des structures de taille onservées. Les coefficients de sélectivité qui permettent d'estimer la taille, puis l'âge à la première capture, pour une maille donnée sont indiqués dans le tableau 10. Rappelons que Lc ñ L50 % = b.m, avec Lc = longueur moyenne de sélection (taille en cm pour laquelle 50 % des individus sont retenus dans la poche terminale), b = coefficient moyen de sélectivité, m = maillage (en cm). Des équations taille-poids ont été utilisées (cf. Tableau 8). Les mailles étudiées portent les numéros 0 (40 mm), 1 (52 mm), 2 (63 mm), 3 (77 mm).
4.1. Galeoides decadactylus
M = 0,43 : Une augmentation de la maille des culs pour l'effort actuel (1980) ferait gagner environ 6 % en production avec la maille de 63 mm, 17 % avec celle de 77 mm. L'augmentation de l'effort est défavorable, sa diminution n'entrainerait guère de gain.
M = 0,10 : Pour l'effort actuel, le passage à la maille n' 3 (77 mm) entrainerait un gain d'environ 50 %. Le passage aux mailles n' 1 (52 mm) et n' 2 (63 mm) n'accroit guère la production. La diminution de l'effort entrainerait une augmentation de la production.
4.2. Pomadasys jubelini
M = 0,40 : L'augmentation de la maille pour l'effort actuel n'aurait pas d'effet sensible. L'augmentation de l'effort est défavorable pour toutes les mailles, sa diminution (15 à 20 %) n'accroitrait que légèrement la production.
M = 0,10 : Les résultats peuvent étre considérés comme similaires.
4.3. Brachydeuterus auritus
M = 0,81 : Une augmentation de la maille, au niveau de l'effort 1980, n'aurait pas d'effet jusqu'à 63 mm (du fait de l'importance des rejets), il y aurait une diminution de la production avec la maille de 77 mm. L'augmentation de l'effort serait favorable (facteur multiplicateur de F de 2,7 à 3 pour les trois premières mailles) sauf pour la plus grande maille (77 mm).
M = 0,20 : Les gains deviennent sensibles au delà de 63 mm. Augmentation ou diminution de l'effort serait défavorable.
Il est à rappeler que les prises de Brachydeuterus auritus par les sardiniers sont nettement plus importantes que celles des chalutiers. Elles portent en outre sur des poissons génalement plus petits et les prises des chalutiers dépendent donc, en partie, du niveau d'exploitation de l'espèce par les sardiniers. Les modèles prévisionnels appliqués è partir des seules prises des chalutiers ne peuvent être valables que dans le cas d'une forte stabilité de la pêche sardinière sur cette espèce.
4.4. Pseudotolithus seneqalensis
M = 0,69 : L'accroissement de la taille des mailles n'aurait pas d'effet au niveau de l'effort 1980. Les gains les plus importants seraient obtenus avec l'emploi de la plus grande maille couplé avec une augmentation de l'effort qui pourrait être multipliè par 4 ou plus.
M = 0,15 : A l'effort actuel, d'assez faitbles gains de production correspondraient à une augmentation des mailles de 40 à 77 mm, l'augmentation de l'effort aurait un effet plutô défavorable.
4.5. Cynoglossus canariensis
M = 0,67 : L'augmentation de la maille, au niveau de l'effort 1980, entrainerait une augmentation de plus en plus grande de la production avec cependant un gain maximal assez faible (17 %). L'augmentation de l'effort aurait un effet défavorable pour les trois premières mailles, le gain serait de 25 % pour la plus grande avec un effort doublé.
M = 0,15 : A l'effort actuel (1980) l'augmentation de la taille à la première capture entrainerait des gains, surtout pour la maille de 77 mm. L'augmentation de l'effort serait plutôt défavorable.
4.6. Paqellus bellottii
M = 0,85 : Toute augmentation de maille n'aurait guère d'effet au niveau de l'effort 1980. Toute augmentation de l'effort conduirait à des gains similaires quelle que soit la maille, ces gains pourraient atteindre plus de 25 % de la production actuelle pour un effort doublé.
M = 0,20 : A l'effort actuel (1980) il y aurait un léger gain, jusqu'à 10 % pour toute augmentation du numéro de maille. L'augmentation de l'effort aurait un effet défavorable.
4.7. Dentex angolensis
M = 0,86 : Au niveau de l'effort 1980, une augmentation du numéro de la maille n'aurait pratiquement pas d'effet du fait de l'absence des juvé niles de l'aire de pêche (légère perte pour 77 mm). L'accroissement de l'effort entrainerait des gains relatifs de production qui seraient les plus importants pour la maille de 63 mm.
M = 0,20 : Les mailles 1 et 2 n'occasionneraient qu'un très faible accroissement de la production à l'effort actuel, cela serait un peu meilleur pour la maille de 77 mm. L'augmentation de l'effort aurait un effet défavorable.
4.8. Conclusion
A l'effort actuel (1980) et pour les nouvelles valeurs de M, l'utilisation de la maille de 63 mm n'entraine jamais de pertes de production, de légers gains sont obtenus pour Galeoides decadactylus et Cynoglossus canariensis. La maille de 77 mm peut générer des gains plus importants (Galeoides, Cynoglossus), mais aussi générer des pertes (Brachydeuterus, Dentex).
L'accroissement de l'effort de pêche couplé à une augmentation du maillage conduirait souvent à des gains (sauf pour Pomadasys jubelini), mais son intérêt est très fortement diminué par la baisse des rendements qui en résulterait.
Un autre point important à noter est qu'au niveau de l'effort actuel (1980) les résultats obtenus avec des valeurs élevées de la mortalité naturelle sont assez similaires à ceux qui furent obtenus avec des valeurs beaucoup plus faibles, surtout pour les mailles de 52 et 63 mm.
5. DISCUSSION SUR LES VALEURS DE LA MORTALITE NATURELLE “M”
Plusieurs informations semblent montrer que les valeurs de M estimées par l'équation de Pauly seraient trop élevées en ce qui concerne certaines espèces démersales de l'Atlantique Tropical Est. Ainsi, en ce qui concerne les stocks connus pour subir une exploitation assez intense comme c'est le cas en Côte d'Ivoire, au Ghana et au Congo, les valeurs de la mortalité totale “Z” ne peuvent être proches, et encore moins inférieures, aux valeurs de M. Nous allons passer en revue ces informations et donner, pour les espèces qui nous intéressent, une valeur de la mortalité naturelle M que nous retiendrons pour les stocks ivoiriens.
Pseudotolithus senegalensis (Scianeidae)
Les coefficients de mortalité totale calculés cinq années pour la Côte d'Ivoire (Tableau 4), en particulier les valeurs entre quatre et cinq ans qui varient de 0,47 à 0,77 (moyenne = 0,60), ne peuvent être compatibles avec un M de 0,69. Troadec (1971), par une méthode graphique faisant intervenir les variations de l'effort de pêche, estime à 0,3 la valeur de M.
Au Congo, Fontana (1979) utilise un M de 0,2 entre un et quatre ans, âges qui incluent la majorité de la phase exploitée.
Nous retiendrons un M moyen de 0,3 pour les Pseudotolithus senegalensis de Côte d'Ivoire.
Galeoides decadactylus (Polynemidae)
Un Z3–4 de 0,59 en 1980 (Tableau 1) n'est guère compatible avec un M de 0,43 d'après ce que nous savons de la pêcherie.
Au Congo, Fontana (1979) indique que les valeurs de M qui seraient compatibles avec les mortalités totales et l'allure des vecteurs F de mortalités par pêche sont comprises entre 0,1 et 0,3 (0,2 de un à quatre ans).
Nous retiendrons un M de 0,25.
Brachydeuterus auritus (Pomadasyidae)
Les valeurs (Tableau 3) de Z3–4 en 1979 (0,65) et Z4–5 en 1980 (0,70) sont nettement inférieures à la valeur de M estimée par l'équation de Pauly (0,81).
Fontana sélectionne une valeur de M de 0,2 entre un et deux ans sur une base semestrielle (soit 0,4 annuel), elle augmenterait fortement ensuite.
Nous retiendrons un M de 0,4.
Cynoglossus canariensis (Cynoglossidae)
Des Z3–4 (Tableau 5) de 1,0 (1977) et 1,1 (1975) ne peuvent guère être associés à un M de 0,7 d'après ce que nous savons de la pêcherie.
Nous retiendrons un M mouen de 0,4.
Pomadasys jubelini (Pomadasyidae)
Pas d'information. Nous retiendrons un M moyen de 0,3.
Pagellus bellottii (Sparidae)
Des Z de 1,2 à 1,50 en 1980 (Tableau 7) s'accordent mal avec un M de 0,85 d'après ce que nous savons de l'exploitation.
Au Ghana, Koranteng et Pitcher (1987) trouvent des Z moyens compris entre 0,47 et 0,69 ; ces mortalités sont moins élevées que le M (0,60) obtenu par l'équation de Pauly à partir des paramètres de leur équation de croissance.
Au Sénégal, Franqueville (1983) estime que les valeurs de M doivent être comprises entre 0,2 et 0,5 d'après les structures de taille et l'évaluation de l'importance des recrutements. Il sélectionne une valeur moyenne de 0,3.
Nous retiendrons une valeur de M = 0,4 pour Côte d'Ivoire.
Dentex angolensis (Sparidae)
Un M de 0,86 ne peut être associé à des Z4–5 de 0,51 en 1980 et 0,65 en 1976 (Tableau 6).
Nous retiendrons comme valeur M = 0,4.
Pseudotolithus elongatus (Sciaenidae)
Le Guen (1971) estime pour le stock vierge du fleuve Congo que la mortalité naturelle varie selon les àges entre 0,25 et 0,44. Ces valeurs sont nettement plus faibles que celles obtenues par la méthode de Pauly à partir de l'équation de croissance de Le Guen (0,64 à 22'C et 0,68 à 25'C).
6. CONSEQUENCE A COURT TERME D'UNE AUGMENTATION DU MAILLAGE
Une augmentation de la taille des mailles des culs de chalut peut conduire, au bout d'un certain temps, à une amélioration quantitative des rendements - les petits poissons pris auparavant l'étant par la suite à un poids supérieur - si la somme des gains de poids par croissance est supérieure à la perte due à la mortailité dite naturelle. L'augmentation de la taille à la premiére capture entralnera cependant toujours, dans l'immédiat, une diminution des prises pendant au moins une partie du temps nécessaire aux poissons pour passer de la taille actuelle à la première capture à la nouvelle taille envisagée. L'estimation de cette déperdition et de sa durèe est d'une grande importance pour les armements, elle doit étre prise en considération avant de proposer une modification du maillage. Nous allons l'évaluer pour des culs de chalut en maille n'1 (52 mm de vide de maille), n' 2 (63 mm) ou n'3 (77 mm).
Les diminutions immédiates des captures sont calculées en pourcentage du poids par rapport à celui de 100 individus représentation la moyenne des distributions annuelles (1975–1980) des prises des chalutiers. Ces distributions sont visibles sur les figures 8à 14, avec celles obtenues à partir des radiales Grand Bassam (1966–1980) par des navires océanographiques. Les poids moyens par classe de taille nécessaires aux évaluations sont issus des équations longueur/poids calculées par différents auteurs (Caverivière, 1982). Les estimations ne sont qu'approximatives du fait que nous considérons qu'aucun poisson n'est capture avant la taille moyenne de sélection et qu'ils le sont tous après. De plus cette simplifiction entraine un biasis dans la mesure où, à nombre égal, le poids des puissons considérés comme non capturés et qui le sont en réalité (partie de la courbe de sélection inférieure à L50) et le poids des poissons considérés comme pris alors qu'ils ne le sont pas (partie symétrique à la précédente au-delà de L50) ne doivent pas être équivalents, le premier poids étant plus faible. Ce biais sera d'autant moins prononcé que la pente de la courbe de sélectivité est forte; il ne doit pas minorer grandement nos diminutions de captures. Le coefficient de sélectivité utilisé pour calculer L50 dans le cas où nous disposons de deux valeurs (Congo et Sénégal) a été pris comme leur moyenne (cf. Tableau 10).
Les résultats sont donnés dans le tableau 11 et commentés ci-dessous:
Galeoides decadactylus : Les distributions de fréquence obtenues à partir des chalutiers opérant au Congo (Fontana, 1979) et en Côte d'Ivoire, ainsi que celles issues des prises sur la radiale de Grand Bassam, sont très similaires, particulièrement dans la partie antérieure au sommet de l'histogramme.
La courbe de sélectivité pour un maillage de 40 mm (L50 = 10,2 cm) précède la courbe observée dans les prises, alors que les distributions au port et lors de la radiale Grand Bassam montrent qu'il n'y a que peu de rejets. La différence entre les deux courbes est donc due, en accord avec Fontana, à ce que les juvéniles entrent dans la zone de pêche à une taille telle que la sélectivité des chaluts à culs de 40 mm n'est pas la seule à agir sur le recrutement de ces engins. A 52 mm la sélectivité agit pratiquement seule sur le recrutement d'après Fontana. La perte pondérale est insignifiante pour une maille de 52 mm, de l'ordre de 10 % à 63 mm, et élevée (46 %) à 77 mm.
Pomadasys jubelini : L' observation des distributions obtenues au port et lors des radiales Grand Bassam, ainsi que les valeurs L50 des courbes de sélectivité, conduisent aux mêmes conclusions que pour l'espèce précédente. Le recrutement dans l'aire de pêche se fait cependant à des tailles telles que la sélectivité ne doit pratiquement pas intervenic dans la courbe d'entrée dans les prises, avant une maille de 63 mm des culs de chalut. Du fait de ce recrutement, les pertes à court terms sont négligeables de 52 à 77 mm.
Brachydeuterus auritus : La comparaison des mensurations effectuées au port avec celles des radiales Grand Bassam et des campagnes CHALCI indique que les rejets ne sont pas négligeables. Quand il n'y a pas de rejets, et d'après la courbe d'entrée dans la pêcherie donnée par Fontana (1979), le recrutement dans les prises pour une maille de 40 mm ne dépend pratiquement que de la courbe de sélectivité. Les pertes immédiates sont très importantes pour une maille de 77 mm (69 %).
Pseudotolithus senegalensis : Les différentes distributions de fréquence (port et radiales Grand Bassam) montrent qu'il n'y a pas (ou peu) de rejets par les chalutiers. La courbe d'entrée dans les prises est peut-être un peu supérieure à celle de sélectivité pour une maille de 40 mm (elles se chevauchent au Congo d'après Fontana). Les pertes sont faibles pour les mailles n'l et 2, elles atteignent près de 30% du poids de captures pour celle de 77 mm.
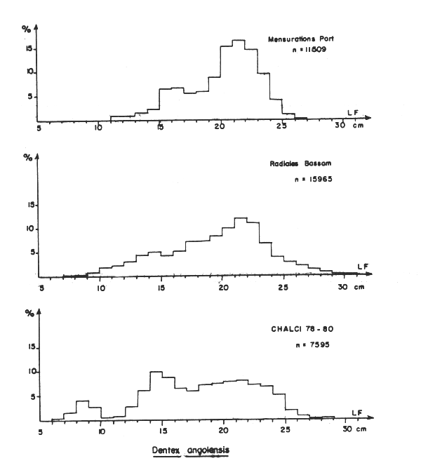
Dentex angolensis : D'après les mensurations au port, celles des radiales Grand Bassam et, plus particulièrement, celles de la campagne CHALCI 80.01 qui a eu lieu en saison froide, les chalutiers commerciaux - qui ne pêchent le Dentex angolensis que pendant cette saisonn'effectuent que peu de rejets. En saison froide il n'y a pas de juvéniles dans l'aire de pêche et l'effet immédiat d'une augmentation du maillage ne se fera guère sentir avant un maillage de 63 mm, les pertes pondérales sont encore faibles à 77 mm (6,2 %).
Pagellus bellottii : Les distributions de fréquence des radiales Grand Bassam et des campagnes CHALCI montrent, par comparaison avec les mensurations effectuées au port, que les rejets des chalutiers sont importants. Le recrutement dans l'aire de pêche n'est pas terminé avant une taille relativement élevée (100 % vers 15 cm LF). Cela est peut-être do à la préférence des juvéniles, comme signalé par Franqueville (1980), pour les zones rocheuses, qui ne sont pas chalutées. Le recrutement ne conjuguerait qu'assez peu ses effets avec la sélectivité pour une maille de 63 mm. Du fait des rejets et du recrutement dans l'aire de pêche, la perte à court terme ne sera sensible que pour un maillage élevé (30 % à 77 mm).
Cynoglossus canariensis : L'examen de la figure 14 montre que les rejets sont nuls ou faibles. Le recrutement dans l'aire de pêche est progressif et n'est pleinement réalisé qu'à une taille relativement élevée (entre 27 et 33 cm). Les pertes immédiates seront très faibles avec une maille de 52 mm. Pour celle de 63 mm, la courbe de recrutement et celle de sélectivité agiraient ensemble dans la détermination de la courbe d'entrée dans les prises; nous avons estimé les pertes résultantes pour ce maillage au double des pertes qui seraient dues à la seule sélectivité (10, 3 %). A 77 mm la baisse pondérale attendue des prises est proche de 60 %.
La diminution pondérale à court terme sur les prises totales, due à une augmentation du maillage, peut être estimée en considérant que les résultats pour l'ensemble des sept espèces du tableau 11 peuvent être extrapolés à l'ensemble des captures ; ces espèces représentent en effet 72 % des mises à terre des chalutiers pour la période 1976–1980. L'effet global d'un changement du maillage est évalué en pondérant les résultats pour chacune des sept espèces en fonction de leur importance dans les prises au cours des cinq dernières années (Tableau 12). Dentex angolensis et Pagellus bellottii sont tous deux supposésenter la moitié des captures de “pageots”. La diminution est insignifiante pour une maille de 52 mm, faible pour celle de 63 mm et un peu supérieure au tiers pour 77 mm (Tableau 11 ). Les résultats trouvés par Fontana (1974, 1979) au Congo sont du même ordre de grandeur pour la seule communauté des Sciaenidés.
Notons que la perte financière subie par les armements sera encore plus faible que la baisse pondérale des prises. En effet, le prix de vente des poissons actuellement capturés, mais susceptibles de passer au travers de mailles plus grandes que celles utilisées de nos jours, est plus faible que celui des poissons qui n'échapperaient pas à une augmentation du maillage.
Le temps approximatif au bout duquel les pertes dues à une augmentation du maillage seront complètement absorbées (ou stabilisées) peut être estimé à partir des paramètres des équations de croissance du tableau 8 , en calculant le temps nécessaire pour passer d'une taille à la première capture à autre d'après la formule:

En fait, ce temps sera surestimé si la modification du maillage doit amener, à l'équilibre, une augmentation des prises. D'autre part, la taille prise comme origine doit être celle de l'entrée effective dans les captures (valeur prise comme correspondante à la moitié du sommet de l'histogramme, soit la longueur à l'àge t du tableau 13, la différence avec le point L50 de la courbe de sélectivié pour le maillage 40 mm étant d'autant plus grande que les rejets sont importants ou que la taille moyenne au recrutement dans l'aire de pêche est élevée. Les résultats sont donnés dans le tableau 13. La perte globale est résorbée avant quatre mois pour la taille de 63 mm ; il faudra près de deux ans pour celle de 77 mm à cause de la friture Brachydeuterus auritus, mais au total la récupération sera considérable au bout d'un an. Rappelons qu'il s'agit là de maxima.
7. CONCLUSION
Le modèle analytique de Ricker employé avec des valeurs très faibles, et très élevées de la mortalité naturelle M donne, bien évidemment, des résultats différents. Cependant, à l'effort actuel (1980) et pour une maille de 63 mm, qui sont les conditions que nous avions déjà préconisées (Cavarivière, 1982a et b),les résultats sont assez similaires espèce par espèce et conduisent à une modeste augmentation de la production.
Les valeurs fortes de la mortalité naturelle ont été obtenues à partir de l'équation de Pauly et nous avons montré qu'elles étaient trop élevées pour beaucoup d'espèces du Golfe de Guinée, don't la plupart de celles que nous avons étudiés. Nous avons estimé des valeurs plus probables qui sont égales ou très proches des M minima doublés que nous avons testées lors de notre précédente étude. Ainsi, les résultats que nous avions obtenus dans ces conditions pour la communauté des Sciaenidés (ensemble de cinq espèces côtières), pour la communauté des Sparidés (ensemble de deux espèces profondes) et pour l'ensemble des sept espèces, nous paraissent toujours valables.
Communauté des Sciaenidés (Figures 15 et 16) Par rapport à l'effort de 1980 et pour la maille actuelle de 40 mm, seule une réduction de l'effort de 30% entratne un gain relativement modeste de la production. L'augmentation du maillage donne lès meilleurs résulatats avec l'effort de 1980 : augmentation d'environ 14% avec la maille de 63 mm, d'environ 19% avec la maille de 77 mm.
Communauté des sparidés (Figures 17 et 18)
Avec la maille de 40 mm l'effort 1980 serait proche de l'optimum. L'augmentation du maillage n'entrainerait que des gains modestes. Avec la maille de 77 mm l'effort peut être accru de 45% pour une légère augmentataion du potentiel de pêche d'environ 14%.
Ensemble du plateau continental (Figures 19 et 20)
Avec la maille de 40 mm, l'effort 1980 est légèrement supérieur à l'optimum. Cet effort donne les meilleurs résultats pour les mailles de 63 mm et 77 mm : 10% environ de gain de production pour la première et 16% pour la seconde.
L'utilisation de la maille de 63 mm que nous préconisons dans un premier temps n'entratnera qu'une perte immediate de 7,8% alors que cette perte monte à près de 36% avec la maille de 77 mm. La perte est résorbée de quatre mois pour la maille de 63 mm alors qu'il faudrait au moin un an pour la pour la maille de 77 mm.
BIBLIOGRAPHIE
BAPRO,M.,1976 : Biologie et dynamique de Brachydeuterusauritusen Cole d'Ivoine, Thèse d'Université Biol, animale, Université de Paris VI : 200p.
CAVEPIVIERE,A.,1982a : Les espèces démersales du plateau continental ivoinen, Biologie et exploitation. Thèse Doct. Etat Sri, Univers. Aix-Marseille II : 2 vol., 415 et 159p.
CAVERIVIERE, A., 1982h : Exploitation des espèces capturées par les chalutiers sun le plateau continental ivoirien : Modèles analytiques et conséquences en matière d'aménagement. Doc. Sci. Centre Océanogr. Abidjan, vol.XIII,, n'1 : 1–51.
CHAUVET, C., 1970 :Etude de Cynoglossus canariensis(STEIN)du plateau continental de la CÔte d'Ivoire : lecture d'age, étude de la croissance en longueur et en poids - observations sun leur biologie et leur dynamique. Thèse 3 cycle, Fac. Scien. Aix-Marseille, 102p.
CHAUVET, C.,1972 : Croissance et détermination de l'age par lecture d'écailles d'un poisson plat de Côte d'Ivoire (Cynoglossus canariensis). Centre Rech. Océanogr. Abidjan, Doc. Scien. Prov., vol.III,n"1 : 1–18.
FONTANA, A., 1970 : Plan d'exploitation du stock de poissons démersaus au Congo. Deuxiéme partie : conséquences à court terme et à long terme d'une réàlementation de maillage des culs de chalut. Centre Rech. Océanogr. Pointe-Noire, Doc. Scien. N.S., 36 : 28p.
FONTANA, A.,1979 : Etude de stock mémersa cótier congolais. Biologie et dynamique des principales espéces exploiées. Propositions d'aménagement de la pécherie. Thése Doc. Etat Scient. Nat., Univer. Perne et Manie Curie - Panis VI : 300p.
FONTANA, A., et M'FINA, P., 1974 : Plan d'exploitation du stock de poissons démersaux au Congo. Première partie : étude de la sélectivité des culs de chalut pour quatre maillages différents. Centre Rech. Océanogr. Pointe-Noire, Doc. Scient., N.S.,34 :12p.
FRANQUEVILLE, C., 1980 : Etude des nurseries de daurades Pagellus coupei le long de la côte ouest-africaine de 10o à 20 oN. Centre Rech. Océanogn. Dakar-Thiaroye, Doc, Scient.,76 : 15p.
FRANQUEVILLE, C. et FREON, P., 1976 : Relations poids-longueurs des principales espèces de poissons marins au Sénégal. Centre Rech. Océanogr. Dakar-Thiaroye, Doc. Scient., n"60 : 37p.
FRANQUEVILLE, C. et LHOMME, F., 1979 : Etude de la sélectivité des chaluts pour différentes espèces de poissons démersaux au Sénégal. Centre Rech. Océanogr. Dakar-Thiaroye, Doc. Scient., p" : 33p.
FRANQUEVILIE, C., 1983 : Biologie et dynamique de population des deurades (Pagellus bellottii, Steindachner 1882), le long des côtes sénégalaises. Thèse Doc. Etat Scien. Nat., Univer, Alx-Marseille II :276p.
KONAN, J., 1977 : Biologie et dynamique de Dentex angolensis (Poll et Maul 1953) du plateau continental ivoirien. Thèse Doct. 3" cycle Océanogr, biol., Université Pierre et Marie Curie, Paris, 87p.
KORANTENG, K.A. and PITCHER, T.I., 1987 : Population parameters, biannual cohorts, and assessment in the Pagellus belottii (Sparidae) fishery off Ghana. J. Cons. Int. Explor. Mer, 43 : 10p.
LE GUEN, J.C., 1971 : Dynamique des populations de Pseudotolithus (Foncticulus) elongatus (Bowd, 1825). Poissons-Sciaenidae. Cah, ORSTOM, vol. IX, n"1 : 3–84.
LONGHURST, A.R., 1962 : The bionomics of the fishery resources of the eastern tropical Atlantic, Fish. Publ. London; n"20 : 65p.
PAULY, D., 1980 : On the interrelationships between natural mortality, growth parameters, and mean environmental temperature in 175 fish stocks. J. Cons, Inter. Explor. Mer, ol 39, n'2: 175–192.
RIJAVEC, L., 1973 : Biology and dynamics of Paqellus coupel (Dieuz, 1960), Paqrus ehrenbergi (Val. 1830) and Dentex canariensis (poll, 1954) in Ghana waters, Centre Rech. Océanogr. Abidjan, Doc. Sci., vol. 4, n"3 : 43–97.
SAMBA, G., 1974 : Contribution à l'étude de la biologie et de la dynamique d'un Polynemidae ouest-africain, Galeoides decadactylus (Bloch 1793). Thèse 3" cycle Univer. Bordeaux I, n" d'ordre 1141 : 122p.
TROADEC, J.P., 1971 : Biologie et dynamique d'un Sciaenidae ouest-africain, Pseudotolithus seneqalensis (V.). Centre Rech. Océanogr. Abidjan, Doc. Scient., vol. II, n"3 : 225p.
| ANNEE DE CAPTURE | 1975 | 1976 | 1977 | 1979 | 1980 | MOYENNE | |
|---|---|---|---|---|---|---|---|
| Effectif | 0+ | 1643 | 1270 | 451 | 299 | 868 | |
| 1+ | 2134 | 2524 | 2227 | 1957 | 2038 | ||
| par groupe | 2+ | 361 | 491 | 449 | 663 | 409 | |
| 3+ | 126 | 169 | 182 | 182 | 109 | ||
| d'àge | 4+ | 50 | 63 | 90 | 90 | 60 | |
| 5++ | 16 | 10 | 39 | 42 | 6 | ||
| Coefficient | Z1+-2+ | 1,78 | 1,64 | (1,60) | - | 1,61 | 1,66 |
| de | Z2+-3 | 1,05 | 1,07 | (0,90) | 1,29 | 1,32 | 1,13 |
| Z3+-4+ | 0,93 | 0,98 | 0,70 | 0,70 | 0,59 | 0,78 | |
| Mortalité | Z4+-5++ | 1,11 | 1,89 | 0,84 | 0,77 | 2,27 | (1,38) |
| ANNEE DE CAPTURE | 1975 | 1976 | 1977 | 1979 | 1980 | MOYENNE | |
|---|---|---|---|---|---|---|---|
| Effectifs | (0+) | 6 | 2 | 2 | 0 | 1 | |
| (1+) | 592 | 316 | 354 | 366 | 319 | ||
| par groupe | (2+) | 261 | 509 | 726 | 681 | 441 | |
| (3+) | 40 | 66 | 65 | 79 | 39 | ||
| d'àge | (4++) | 30 | 19 | 11 | 17 | 1 | |
| Coef. Mort | (Z2+-3+) | 1,87 | 2,04 | 2,42 | 2,15 | 2,42 | 2,18 |
| ANNEE DE CAPTURE | 1975 | 1976 | 1977 | 1979 | 1980 | MOYENNE | |
|---|---|---|---|---|---|---|---|
| Effectifs | 0+ | 315 | 164 | 61 | 0 | ||
| 1+ | 3514 | 4135 | 3713 | 1055 | 2071 | ||
| par groupe | 2+ | 3582 | 4663 | 5323 | 9176 | 8116 | |
| 3+ | 1230 | 1963 | 2601 | 5918 | 2844 | ||
| d'àge | 4+ | 368 | 765 | 853 | 3084 | 106 | |
| 5++ | 189 | 293 | 382 | 1376 | 103 | ||
| Coefficient | Z2+-3+ | 1,07 | 0,86 | 0,72 | - | (1,05) | 0,92 |
| de | Z3+-4+ | 1,21 | 0,94 | 1,12 | 0,65 | 0,98 | 0,92 |
| Mortalité | Z4+-5++ | 0,70 | 0,96 | 0,80 | 0,81 | 2,30 | 1,11 |
| ANNEE DE CAPTURE | 1975 | 1976 | 1977 | 1979 | 1980 | MOYENNE | |
|---|---|---|---|---|---|---|---|
| Effectifs | 0+ | 5498 | 2125 | 1434 | 1669 | 1889 | |
| 1+ | 2823 | 3093 | 3236 | 3043 | 2757 | ||
| par groupe | 2+ | 464 | 788 | 707 | 801 | 714 | |
| 3+ | 86 | 231 | 274 | 263 | 249 | ||
| d'àge | 4+ | 50 | 87 | 139 | 114 | 118 | |
| 5+ | 26 | 54 | 86 | 53 | 64 | ||
| 6++ | 15 | 46 | 51 | 58 | 35 | ||
| Z1+-2+ | 1,80 | 1,1,37 | (1,52) | 1,33 | 1,35 | 1,48 | |
| Coefficient | Z2+-3+ | 1,69 | 1,03 | 0,95 | 1,11 | 1,05 | 1,17 |
| de | Z3+-4+ | 0,54 | 0,98 | 0,68 | 0,83 | 0,74 | 0,75 |
| Mortalité | Z4+-5++ | 0,64 | 0,47 | 0,49 | 0,77 | 0,62 | 0,60 |
| ANNEE DE CAPTURE | 1975 | 1976 | 1977 | 1979 | 1980 | |
|---|---|---|---|---|---|---|
| Effectifs | 0+ | 235 | 122 | 85 | 157 | 716 |
| 1+ | 1874 | 994 | 715 | 1321 | 1177 | |
| par groupe | 2+ | 608 | 555 | 687 | 685 | 407 |
| 3+ | 80 | 62 | 131 | 139 | 58 | |
| d'age | 4+ | 27 | 12 | 47 | 26 | 2 |
| 5++ | 17 | 4 | 6 | 5 | - | |
| Coefficient | Z2+-3+ | 2,02 | 2,19 | 1,66 | 1,60 | 2,05 |
| Mortalité | Z3+-4+ | 1,09 | 1,67 | 1,03 | 1,69 | (3,48) |
| ANNEE DE CAPTURE | 1975 | 1976 | 1980 | |
|---|---|---|---|---|
| Effectifs | 0+ | 2 | 155 | 185 |
| 1+ | 171 | 339 | 2515 | |
| par groupe | 2+ | 871 | 531 | 975 |
| 3+ | 674 | 886 | 291 | |
| d'àge | 4+ | 133 | 260 | 62 |
| 5+ | 36 | 136 | 37 | |
| 6++ | 1 | 44 | 8 | |
| Coefficient | Z2+-3+ | - | - | 1,21 |
| de | Z3+-4+ | 1,62 | 1,22 | 1,55 |
| Mortalité | Z4+-5+ | 1,31 | 0,65 | 0,51 |
| Z5+-6++ | 4,22 | 1,12 | 1,59 | |
| ANNEE DE CAPTURE | 1975 | 1976 | 1980 | |
|---|---|---|---|---|
| Effectifs | 1+ | 1513 | 3592 | 824 |
| 2+ | 2212 | 1970 | 2206 | |
| par groupe | 3+ | 166 | 148 | 583 |
| 4+ | 14 | 7 | 130 | |
| d'àge | 5+ | 1 | - | 37 |
| 6++ | 3 | - | 47 | |
| Coefficient | Z2+-3+ | (2,59) | 2,59 | 1,33 |
| de | Z3+-4+ | 2,49 | 2,99 | 1,50 |
| Mortalité | Z4+-5+ | 3,08 | - | 1,24 |
| ESPECE | MESURE | CROISSANCE | AUTEURS | TAILLE-POIDS | MORTALITE NATURELLE | ||||
|---|---|---|---|---|---|---|---|---|---|
| L 00 (cm) | K 10-3 | to | a | b | M1 | M2 | |||
| Galeoides decadactylus | LF | 47,0 | 13,4 | -19,6 | D'après Samba (1974) | 0,01408 | 3,053 | 0,10 | 0,43 |
| Pomadasys jubelini | LF | 40,0 | 384 | 0→ | Caverivière, d'après des don- nées de Longhurst (1976) Franqueville et Fréon (1976)→ | 0.01886 | 2,964* | 0,10 | 0,40 |
| Brachydeuterus auritus | LT | 25,8 | 27,7 | -13,2 | Barro (1976) | 0,083 | 3,18 | 0,20 | 0,81 |
| Pseuotolithus senegalensis | LT | 52,7 | 29,2 | -7,8 | Troadec (1971) | 0,0036 | 3,24 | 0,15 | 0,69 |
| Dentex congoensis | LF | 26,4 | 35,5 | -8,4 | Konan (1977) | 0,0191 | 3,027* | 0,20 | 0,86 |
| Pagellus coupei | LT | 30,8 | 36,7 | 0 | Rijavec (1973) | 0,01336 | 3,00 | 0,20 | 0,85 |
| Caranx canariensis | LT | 53,5 | 28,3 | -12,0→ | Chauvet (1972) Chauvet (1970)→ | 0,0105 | 2,77* | 0,15 | 0,67 |
| Groupe d'àge | Galeoides decadactylus | Pomadasys jubelini | Brachydeuterus auritus | |||
|---|---|---|---|---|---|---|
| M = 0,10 0,43 | M = 0,10 0,40 | M = 0,20 0,81 | ||||
| Fi | Ni/1000 | Fi | Ni/1000 | Fi | Ni/1000 | |
| 0+ | 0,26 | 4 029 | 0,00 | 987 | 0,00 | 24 457 |
| 0,17 | 6 872 | 0,00 | 1 838 | 0,00 | 156 666 | |
| 1+ | 1,39 | 2 822 | 0,47 | 892 | 0,12 | 20 024 |
| 1,02 | 3 780 | 0,37 | 1 231 | 0,04 | 69 693 | |
| 2+ | 1,10 | 637 | 2,32 | 505 | 0,93 | 14 527 |
| 0,80 | 885 | 2,13 | 569 | 0,49 | 29 663 | |
| 3+ | 0,90 | 191 | 2,30 | 45 | 1,08 | 4 673 |
| 0,71 | 257 | 3,14 | 45 | 0,67 | 8 095 | |
| 4+ | 2,16 | 71 | - | - | 2,10 | 1 301 |
| 1,86 | 82 | 2,00 | 1 | 1,49 | 1 835 | |
| 5+ | 2,10 | 7 | 2,10 | 131 | ||
| 1,80 | 8 | 1,50 | 185 | |||
| -6+ | ||||||
| Groupe d'àge | Pseudotolithus senegalensis | Dentex angolensis | Pagellus bellottii | Cynoglossus canariensis | ||||
|---|---|---|---|---|---|---|---|---|
| M = 0,15 0,69 | M = 0,20 0,86 | M = 0,20 0,85 | M = 0,15 0,67 | |||||
| Fi | Ni/1000 | Fi | Ni/1000 | Fi | Ni/1000 | Fi | Ni/1000 | |
| 0+ | 0,32 | 7 478 | 0,03 | 5 992 | 0,00 | 6 307 | 0,31 | 2 888 |
| 0,05 | 53 921 | 0,01 | 33 031 | 0,00 | 160 685 | 0,16 | 6 477 | |
| 1+ | 0,98 | 4 692 | 0,86 | 4 739 | 0,19 | 5 164 | 1,16 | 1 825 |
| 0,16 | 25 737 | 0,31 | 13 861 | 0,02 | 68 678 | 0,80 | 2 816 | |
| 2+ | 0,70 | 1 513 | 1,04 | 1 641 | 1,16 | 3 486 | 2,01 | 494 |
| 0,09 | 11 012 | 0,40 | 4 313 | 0,12 | 28 832 | 1,57 | 650 | |
| 3+ | 0,53 | 647 | 1,08 | 477 | 1,21 | 898 | 3,33 | 57 |
| 0,07 | 5 030 | 0,42 | 1 227 | 0,08 | 10 935 | 2,63 | 69 | |
| 4+ | 0,49 | 328 | 0,71 | 132 | 1,03 | 219 | 3,30 | 2 |
| 0,07 | 2 351 | 0,31 | 341 | 0,05 | 4 396 | 2,80 | 3 | |
| 5+ | 0,50 | 173 | 1,40 | 53 | 1,00 | 64 | ||
| 0,08 | 1 098 | 0,69 | 106 | 0,03 | 1 758 | |||
| 6+ | 1,40 | 11 | ||||||
| 0,10 | 506 | 0,70 | 23 | 0,10 | 728 | |||
| E S P E C E S | SENEGAL | CONGO | MOYENNE |
|---|---|---|---|
| Galeoides decadactylus | 2,44 | 2,68 | 2,56 (LF) |
| Pomadasys jubelini | (2,2) (LF) | ||
| Brachydeuterus auritus | 2,26 | 2,50 | 2,38 (LF) |
| Pseudotolithus senegalensis | (3,13) | 3,72 | 3,43 (LT) |
| Dentex angolensis | 2,16 | 2,16 (LF) | |
| Pagellus bellottii | 2,17 | 2,17 (LF) | |
| Cynoglossus spp. | 4,41 | 4,60 | 4,51 (LT) |
| MAILLE ESPECE | 40 mm | 52 mm | 63 mm | 77 mm |
|---|---|---|---|---|
| Galeoides decadactylus | 10,2 cm | 13,3 cm 0,6 % | 16,1 cm 10,6 % | 19,7 cm 46,2 % |
| Pomadasys jubelini (*) | 3,4 cm | 11,5 cm 0,0 % | 13,9 cm 0,1 % | 16,9 cm 2,1% |
| Brachydeuterus auritus | 9,5 cm | 12,4 cm 0,3 % | 15,0 cm 13,7 % | 18,3 cm 69,4 % |
| Pseudotollthus senegalensis | 13,7 cm | 17,8 cm 0,7 % | 21,6 cm 7,6 % | 26,4 cm 28,7 % |
| Dentex angolensis | 8,6 cm | 11,8 cm 0,0 % | 13,6 cm 0,6 % | 16,6 cm 6,2 % |
| Pagellus belottii | 8,7 cm | 11,3 cm 0,1 % | 13,7 cm 3,0 % | 16,7 cm 30,0 % |
| Cynoglossus canariensis | 18,0 cm | 23,5 cm 1,3 % | 28,4 cm (20,6 %) | 34,7 cm 58,4 % |
| Diminutien pondérale sur les prises totales | 0,5 % | 7,8% | 35,6 % |
| E S P E C E S | POURCENTAGE |
|---|---|
| Capitaines (Galecides) | 7,1 % |
| Carpes (Pomadasys) | 5,1 % |
| Friture (Brachydeuterus) | 14,2 % |
| Ombrines (Pseudotolithus) | 16,5 % |
| Pageots (Dentex + Pagellus) | 20,9 % |
| Soles (Cynogloseus) | 5,2 % |
| Ensemble | 72,0 % |
| E S P E C E S | Longueur à l'àge t1 | t2 - t1 (mois) pour un maillage de : | ||
|---|---|---|---|---|
| 52 mm | 63 mm | 77 mm | ||
| Galeoides decadactylus | 15 cm | - | 2,6 | 11,9 |
| Pomadasys jubelini | 17 cm | - | - | - |
| Brachydeuterus auritus | 14 cm | - | 4,0 | 21,7 |
| Pseudotolithus senegalensis | 19 cm | - | 2,7 | 8,5 |
| Dentex angolensis | 18 cm | - | - | - |
| Pagellus bellettii | 14 cm | - | - | 6,0 |
| Cynoglossus canariensis | 27 cm | - | 1,9 | 11,8 |

Fig. 1 Galeoides decadactylus : Isoplèthes de production (tonnes) en fonction de l'âge à la premiére capture et de l'effort de pêche

Fig. 2 Pomadasys jubelini : Isoplèces de production (tonnes) en fonction de l'âge à la première capture et de l'effort de pêche

Fig. 3 Brachyeuteurs auritus : Isoplèthes de production (tonnes) en fonction de l'âge à la première capture et de l'effort de pêche

Fig. 4 Pesudotolithus senegalensis : Isoplèthes de production (tonnes) en fonction de l'âge à la première capture et de l'effet de pêche

Fig. 5 Pagellus bellottii : Isoplèthes de production (tonnes) en fonction de l'âge à la première capture et de l'effort de pêche

Fig. 6 Dentex angolensis : Isoplèthes de production (tonnes) en fonction de lâge à la première capture et de l'effort de pêche

Fig. 7 Cynoglossus canariensis : Ispolèthes de production (tonnes) en fonction de l'âge à la première capture et de l'effort de pêche

Fig. 8 Distributions (moyenne annuelle) observées à partir des mensurations effectuées au port (période 1975–80), pendant les radiales Grand-Bassam (1966–67) et les campagnes CHALCI (1978–80, échantillonnage stratifié)

Pomadasys jubelini
Fig. 9 Distributions (moyenne annuelle) observées à partir des mensurations effectuées au port (période 1975–80), pendant les radiales Grand-Bassam (1966–67) et les campagnes CHALCI (1978–80, échantillonnage stratifié)

Brachydeuterus auritus
Fig. 10 Distributions (moyenne annuelle) observées à partir des mensurations effectuées au port (période 1975–80), pendant les radiales Grand-Bassam (1966–67) et les campagnes CHALCI (1978–80, échantillonnage stratifié)
Pseudotolithus senegolensis

Fig. 11 Distributions (moyenne annuelle) observées à partir des mensu rations effectuées au port (période 1975–80), pendant les radiales Grand-Bassam (1966–67) et les campagnes CHALCI (1978– 80, échantillonnage stratifié)

Dentex angolensis
Fig. 12 Distributions (moyenne annuelle) observées à partir des mensurations effectuées au port (période 1975– 80), pendant les radiales Grand-Bassam (1966–67) et les campagnes CHALCI (1978–80, échantillonnage stratifié)

Pagellus bellottii
Fig. 13 Distributions (moyenne annuelle) observées à partir des mensurations effectuées au port (période 1975–80), pendant les radiales Grand-Bassam (1966–67) et les campagnes CHALCI (1978–80, échantillonnage stratifié)

Cynoglossus canariensis
Fig. 14 Distributions (moyenne annuelle) observées à partir des mensurations effectuées au port (période 1975–80), pendant les radiales Grand-Bassam (1966–67) et les campagnes CHALCI (1978–80, échantillonnage stratifié)

Fig. 15 Communauté des Sciaenidés. Isopléthes de production (tonnes) en fonction du maillage et de l'effort de pêche (10–50 m) pour l'ensemble des cinq espéces principales. L'effort actuel (1980) est souligné.

Fig. 16 Communauté des Sciaenidés. Isopléthes de rendement (kg/h) en fonction du maillage et de l'effort de pêche (10–50 m) pour l'ensemble des cinq espéces principales. L'effort actuel (1980) est souligné.

Fig. 17 Communauté des Sparidés. Isoplèthes de production (tonnes) en fonction du maillage et de l'effort de pêche (50–120 m) par l'ensemble des deux espéces principales. L'effort actuel (1980) est fléché.

Fig. 18 Communauté des Sparidés. Isoplèthes de rendement (kg/h) en fonction du maillage et de l'effort de pêche (50–120 m) pour l'ensemble des deux espéces principales. L'effort actuel (1980) est fléché

Fig.19 Isopléthes de production (tonnes) en fonction du maillage et de l'effort de pêche (10–120 m) pour l'ensemble des sept espèces principales. L'effort actuel (1980) est fléché.

Fig.20 Isopléthes de rendement (kg/h) en fonction du maillage et de l'effort de pêche (10–120 m) pour l'ensemble des sept espèces principales. L'effort actuel (1980) est fléché
LISTE DES RAPPORTS COPACE/PACE - LIST OF CECAF/ECAF REPORTS
FAO. 1975 A bibliography of West African marine fisheries and fishery oceanography. Rome, FAO,CECAF/ECAF Series 75/1,145 p., Supplement 1, 73 p.
FAO. 1975 Bibliographie sur les pêches maritimes et l'océanographie appliquée aux pêches en Afrique de l'Ouest. Rome, FAO, COPACE/PACE Séries 75/1, 145 p., Supplément 1,73 p.
Ansa-Emmim, 1975 M. and D.Levi. Biostatistical data for stock assessment purposes: Present situation and suggestions for improvement. Rome, FAO, CECAF/ECAF Series 75/2, 16 p.
Ansa-Emmim, M.et D.Levi. 1975 Données biostatistiques requises aux fins d'évaluation des stocks: Situation présente et suggestions pour leur amélioration. Rome, FAO, COPACE/PACE Séries 75/2, 17 p.
Hamlisch, R. and G.K.F. Moore. 1975 Joint ventures in fishery development in the CECAF area. Rome, FAO, CECAF/ECAF Series 75/3, 25 p.
Hamlisch, R. et G.K.F. Moore. 1975 Les armements communs et le développement des pêches dans la zone du COPACE. Rome, FAO, COPACE/PACE Séries 75/3, 26 p.
Everett, G.V. 1976 An overview of the state of fishery development planning in the CECAF region. Rome, FAO, CECAF/ECAF Series 75/4, 67 p.
Everett, G.V. 1976 Développement et planification halieutique dans la région du COPACE: Vue d'ensemble. Rome, FAO, COPACE/PACE Séries 75/4, 71 p.
FAO. 1977 Rapport du groupe de travail ad hoc sur l'exploitation de la crevette (Penaeus duorarum notialis) du secteur Mauritanie-Libéria. Rome, FAO, COPACE/PACE Séries 77/5, 85 p.
FAO. 1977 Rapport du groupe de travail ad hoc sur l'évaluation des stocks de crevette (Penaeus duorarum notialis) du secteur Côte d'Ivoire-Congo. Rome, FAO, COPACE/PACE Séries 78/6, 57 p.
FAO. 1979 Report of the ad hoc working group on the evaluation of the shrimp stocks (Penaeus duorarum notialis) of the Ivory Coast-Congo sector. Rome, FAO, CECAF/ECAF Series 78/6, 59 p.
FAO. 1978 Report of the ad hoc working group on sardine (Sardina pilchardus Walb.). Rome, FAO, CECAF/ECAF Series 78/7, 35 p.
FAO. 1978 Rapport du groupe de travail ad hoc sur la sardine (Sardina pilchardus walb.). Rome, FAO, COPACE/PACE Séries 78/7, 35 p.
FAO. 1979 Rapport of the ad hoc working group on coastal demersal fish stocks from Mauritania to Liberia. Rome, FAO, CECAF/ECAF Series 78/8. 98 p.
FAO. 1979 Rapport du groupe de travail ad hoc sur les stocks côtiers démersaux vivant entre le sud de la Mauritanie et le Libéria. Rome, FAO, COPACE/PACE Séries 78/8, 99 p.
FAO. 1979 Report of the ad hoc working group on hakes (Merluccius merluccius (linnaeus), Merluccius senegalensis (Cadenat) and Merluccius cadenati (Doutre), in the northern zone of CECAF. Rome, FAO, CECAF/ECAF Series 78/9, 93 p.
FAO. 1979 Rapport du groupe de travail ad hoc sur les merlus Merluccius merluccius (Linné), Merluccius senegalensis (cadenati) et Merluccius cadenati (Doutre), dans la zone nord du COPACE. Rome, FAO, COPACE/PACE Séries 78/9, 93 p.
FAO. 1979 Report of the ad hoc working group on coastal pelagic fish in West Africa from Mauritania to Liberia (26°N to 5°N). Rome, FAO, CECAF/ECAF Series 78/10, 161 p.
FAO. 1979 Rapport du groupe de travail ad hoc sur les poissons pélagiques côtiers ouest-africains de la Mauritanie au Libéria (26°N à 5°N). Rome, FAO, COPACE/PACE Séries 78/10, 165 p.
FAO. 1979 Rapport du groupe de travail ad hoc l'évaluation des stocks de céphalopodes. Rome, COPACE/PACE Séries 78/11, 135 p.
FAO. 1979 Report of the ad hoc working group on cephalopod stocks in the northern zone of CECAF. Rome, FAO, CECAF/ECAF Series 78/11, 149 p.
Gulland, J.A. 1979 Towards the management of the resources of the CECAF region. Rome, FAO, CECAF/ECAF Series 79/12, 19 p.
Gulland, J.A. 1979 Vers la gestion des ressources de la région du COPACE, Rome, FAO COPACE/PACE Séries 79/12, 25 p.
Gulland, J.A. 1979 Problems of managing the CECAF hake and seabream stocks. Rome, FAO CECAF/ECAF Series 79/13, 7 p.
Gulland, J.A. 1979 La gestion des stocks de merlus et de sparidés dans la région du COPACE. Rome, FAO, COPACE/PACE Séries 79/13, 10 p.
FAO. 1979 Rapport du groupe de travail spécial sur l'évaluation des stocks démersaux du secteur Côte d'Ivoire-Zaïre. Rome, FAO, COPACE/PACE Séries 79/14, 74 p.
FAO. 1979 Report of the special ad hoc working group on the evaluation of demersal stocks of the Ivory Coast-Zaire sector. Rome, FAO, CECAF/ECAF Series 79/14, 74 p.
FAO. 1980 Report of the second meeting of the working group on sardine (Sardina pilchardus Walb.). Rome, FAO, CECAF/ECAF Series 79/15, 37 p. + appendixes
FAO. 1980 Rapport de la deuxième réunion du groupe de travail sur la sardine (Sardina pilchardus Walb). Rome, FAO, COPACE/PACE Séries 79/15, 40 p. + annexes
FAO. 1979 Catalogue des engins de pêche artisanale du Sénégal. Rome, FAO, COPACE/PACE Séries 79/16, 111 p.
FAO. 1981 A Manual on Acoustic Surveys: Sampling methods for acoustic surveys. Rome, FAO, CECAF/ECAF Series 80/17, 137 p.
Pereiro, J.A. y J. Bravo de Laguna. 1980 Dinámica de la población y evaluación de los recursos del pulpo del Atlántico Centro-oriental. Rome, FAO, CPACO/PACO Serie 80/18, 53p.
Pereiro, J.A. et J. Bravo de Laguna. 1981 Dynamique des populations et évaluation des stocks de poulpe de l'Atlantique Centre-Est. Rome, FAO, COPACE/PACE Séries 80/18, 57p.
Christy, F.T. 1979 Economic benefits and arrangements with foreign fishing countries in the northern sub-region of CECAF: A preliminary assessment. Rome, FAO, CECAF/ECAF Series 79/19, 39 p.
Christy, F.T. 1979 Bénéfices économiques et accords avec la pêche étrangère dans la sous-région septentrionale du COPACE: Evaluation préliminaire. Rome, FAO, COPACE/PACE Séries 79/19, 41 p.
FAO. 1980 Report of the ad hoc working group on Sardinella stocks from Congo to southern Angola. Rome, FAO, CECAF/ECAF Series 80/20, 56 p.
FAO. 1980 Rapport du groupe de travail ad hoc sur les sardinelles du Congo au sud de l'Angola. Rome, FAO, COPACE/PACE Séries 80/20, 59 p.
FAO. 1980 Report of the ad hoc working group on Sardinella off the coast of Ivory Coast-Ghana-Togo. Rome, FAO, CECAF/ECAF Series 80/21, 72 p.
FAO. 1980 Rapport du groupe de travail ad hoc sur les sardinelles des côtes de Côte d'Ivoire-Ghana-Togo. Rome, FAO, COPACE/PACE Séries 80/21, 73 p.
Grosslein, M.D. and A. Laurec. 1982 Bottom trawl surveys: Design, operation and analysis. Rome, FAO, CECAF/ECAF Series 81/22, 25 p.
Grosslein, M.D. et A. Laurec. 1982 Etudes par chalutage démersal: Planification, conduite des opérations et analyse des résultats. Rome, FAO, COPACE/PACE Séries 81/22, 27 p.
FAO. 1980 Report of the second ad hoc working group on coastal demersal stocks from southern Mauritania to Liberia. Rome, FAO, CECAF/ECAF Series 80/23, 11 p.
FAO. 1980 Rapport du deuxième groupe de travail ad hoc sur les stocks démersaux côtiers du sud de la Mauritanie au Libéria. Rome, FAO, COPACE/PACE Séries 80/23, 11 p.
FAO. 1982 Rapport du groupe de travail spécial sur les stocks de céphalopodes de la région nord du COPACE. Rome, FAO, COPACE/PACE Séries 82/24, 180 p.
FAO. 1982 Report of the special working group on cephalopod stocks in the northern region of CECAF. Rome, FAO, CECAF/ECAF Series 82/24, 178 p.
Garcia, S. 1982 Distribution, migration and spawning of the main fish resources in the northern CECAF area. Rome, CECAF/ECAF Series 82/25, 9 p. + 11 charts
Garcia, S. and L. Villegas. 1983 Demersal fish assemblages in Liberia, Ghana, Togo, Benin and Cameroon. Rome, FAO, CECAF/ECAF Series 83/26, 16 p. + 7 charts
FAO. 1984 Rapport du groupe de travail ad hoc sur les chinchards et les maquereaux de la zone nord du COPACE. Rome, FAO, COPACE/PACE Séries 83/27, 188 p.
Garcia, S. 1984 The problems of unstable resources management. Rome, FAO, CECAF/ECAF Series 84/28, 39 p.
Garcia, S. 1984 Les problèmes posés par l'aménagement des ressources instables. Rome, FAO, COPACE/PACE Séries 84/28, 30 p.
FAO. 1984 Report on the R/V DR FRIDTJOF NANSEN fish resource surveys of West Africa: Morocco to Ghana, and Cape Verde, May 1981–March 1982. Rome, FAO, CECAF/ECAF Series 84/29, 190 p.
Roullot, J. et A. Fahfouhi. 1984 Catalogue des engins de pêche du Maroc. Rome, FAO, COPACE/PACE Séries 84/30, 281 p.
Anum Doyi, B. 1984 Catalogue of small-scale fishing gear of Ghana. Rome, FAO, CECAF/ECAF Series 84/31, 62 p.
Poinsard, F. et S. Garcia. 1984 L'évaluation des ressources et l'aménagement des pêches dans la région du COPACE: Analyse perspective. Rome, FAO, COPACE/PACE Séries 84/32, 36 p.
Poinsard, F. and S. Garcia. 1984 Stock assessment and fisheries management in the CECAF region: A perspective view. Rome, FAO, CECAF/ECAF Series 84/32, 34 p.
FAO. 1986 Rapport du premier groupe de travail spécial sur les pêcheries de merlus et de crevettes profondes dans la zone nord du COPACE. Rome, FAO, COPACE/PACE Séries 86/33, 295 p.
Ssentongo, G.W. and M. Ansa-Emmim. 1986 Marine fishery resources of Sierra Leone: A review of exploited fish stocks. Rome, FAO, CECAF/ECAF Series 86/34, 76 p.
FAO. 1986 Rapport du groupe de travail ad hoc sur les ressources démersales et les crevettes du secteur Gabon-Congo. Rome, FAO, COPACE/PACE Séries 86/35, 100 p.
FAO. 1986 Report of the CECAF ad hoc working group on the demersal and shrimp resources of the Central Gulf of Guinea Division (34.3.5). Rome, FAO, CECAF/ECAF Series 86/36, 108 p.
Josse, E. et S. Garcia. 1986 Description et évaluation des ressources halieutiques de la ZEE mauritanienne. Rome, FAO, COPACE/PACE Séries 86/37, 310 p.
FAO. 1987 Report of the first ad hoc working group on sea bream (Sparidae) stocks in the northern CECAF Zone. Rome, FAO, CECAF/ECAF Series 86/38, 445 p.
FAO. 1986 Rapport de la troisième réunion du groupe de travail ad hoc sur la sardine Sardina pilchardus (Walb.). Rome, FAO, COPACE/PACE Séries 86/39, 157 p.
Ssentongo, G.W., E.T. Ukpe and T.O. Ajayi. 1986 Marine fishery resources of Nigeria: A review of exploited fish stocks. Rome, FAO, CECAF/ECAF Series 86/40, 62 p.
FAO. 1987 Rapport du troisième groupe de travail ad hoc sur l'évaluation des stocks de céphalopodes dans la région nord du COPACE. Rome, FAO, COPACE/PACE Séries 86/41, 88 p.
FAO. 1987 Catalogue des engins de pêche du Gabon. Rome, FAO, COPACE/PACE Séries 87/42, 65 p.
FAO. 1987 Catalogue des engins de pêche du Cameroun. Rome, FAO, COPACE/PACE Séries 87/43, 65 p.
Ssentongo, G.W. and J.C. Njock. 1987 Marine fishery resources of Cameroon: A review of exploited fish stocks. Rome, FAO, CECAF/ECAF Series 87/44, 57 p.
Ssentongo, G.W. 1987 Marine fishery resources of Liberia: a review of exploited fish stocks. Rome, FAO, CECAF/ECAF Series 87/45, 64 p.
FAO. 1987 Rapport du deuxième groupe de travail ad hoc sur les chinchards et les maquereaux de la zone nord du COPACE. Rome, FAO, COPACE/PACE Séries 87/46, 190 p.
FAO. 1989 Rapport de la consultation technique sur les petits pélagiques côtiers de la Division Statistique Golfe de Guinée ouest, Rome, FAO, COPACE/PACE Séries 89/47, 91 p.
FAO. 1989 Report of the Technical consultation on small pelagics species in statistical division: Gulf of Guinea West. Rome, FAO, CECAF/ECAF Series 89/47 (in preparation)
FAO. 1989 Report of the ad hoc Working Group on demersal stocks in the western Gulf of Guinea Statistical Division of CECAF (Côte d'Ivoire, Ghana, Togo, Benin), Tenerife, 23–27 March 1987, Rome, FAO, CECAF/ECAF Series 89/48 (in preparation)
FAO. 1989 Rapport du groupe de travail ad hoc sur les stocks démersaux du Golfe de Guinée ouest (Division statistique 34.3.4), Rome, FAO, COPACE/PACE Séries 89/48 (en préparation)
FAO. 1989 Les ressources halieutiques de la ZEE mauritanienne: description, évaluation et aménagement. Rome, FAO, COPACE/PACE Séries 89/49, 237 p.
LISTE DES RAPPORTS TECHNIQUES DU COPACE - LIST OF CECAF TECHNICAL REPORTS
Everett, G.V. 1976 Quelques observations et recommandations sur le. développement de la pêche maritime en République du Togo. Dakar, Project COPACE, COPACE/TECH/76/1, 46 p.
Robertson, I.J.B. 1977 Summary report: FIOLENT 1976 Eastern Central Atlantic coastal fishery resource survey, southern sector. Rome, FAO, CECAF/TECH/77/2, 115 p.
Robertson, I.J.B. 1978 Compte-rendu sommaire: FIOLENT 1976. Prospections des ressources ichtyologiques côtières de l'Atlantique Centre-Est, secteur sud. Rome, FAO, COPACE/TECH/77/2, 117 p.
Talarczak, K. and I. Mizuishi. 1976 Industrial marine fisheries in the CECAF area. Part I: Morocco to Liberia. Dakar, CECAF Project, CECAF/TECH/76/3, 65 p.
Talarczak, K. et I. Mizuishi. 1976 Pêches maritimes industrielles dans la région COPACE. Première Partie: du Maroc au Libéria. Dakar, Projet COPACE, COPACE/TECH/76/3, 75 p.
Everett, G.V. 1977 A preliminary analysis of the Ghanaian marine fishery sector with particular reference to future development. Dakar, CECAF Project, CECAF/TECH/77/4, 60 p.
Talarczak, K. and I. Mizuishi. 1977 Industrial marine fisheries in the CECAF area. Part II: Ivory Coast to Zaire. Dakar, CECAF Project, CECAF/TECH/77/5, 71 p.
Talarczak, K. et I. Mizuishi. 1977 Pêches maritimes dans la région COPACE, deuxième partie: la Côte-d'Ivoire au Zaire. Dakar, Projet COPACE, COPACE/TECH/77/5, 75 p.
Everett, G.V. 1978 The Northwest AfricanFishery: problems of management and development. Dakar, CECAF Project, CECAF/TECH/78/6, 43 p.
Everett, G.V. 1978 Les pêches africaines du nord-ouest: problèmes d'aménagement et de dévelopment. Dakar, Projet COPACE, COPACE/TECH/78/6, 55 p.
Haywood, K.H. 1978 A model for planning fishery development in the CECAF region. Dakar, CECAF Project, CECAF/TECH/78/7, 35 p.
FAO. 1978 Report of the working group on standardization of age determination of the sardine (Sardina pilchardus W.). Dakar, CECAF Project, CECAF/TECH/78/8, 12 p.
FAO. 1978 Rapport du groupe de travail sur l' unification de la détermination de l'âge de la sardine (Sardina pilchardusW.). Dakar, Projet COPACE,COPACE/TECH/78/8, 13 p.
Talarczak, 1978 K. and L. Haling. Planning of fish handling facilities for a rural fishery centre. Dakar, CECAF Project, CECAF/TECH/78/9, 19 p.
Everett, 1978 G.V. The fisheries of Guinea, Sierra Leone and Liberia: observations on their management and development. Dakar, CECAF Project, CECAF/TECH/78/10, 33 p.
Everett, G.V. 1978Les pêches en Guinée, Sierra Leone et Libéria: Commentaires sur leur gestion et leur développement. Dakar, Project COPACE, COPACE/TECH/78/10, 32 p.
Fidell, 1978 E.R. Legal and institutional aspects of fisheries management in the Republic of Liberia. Dakar, CECAF Project, CECAF/TECH/78/11, 38 p.
Fidell, E.R. 1978 Legal and institutional aspects of fisheries management in the Republic of Sierra Leone. Dakar, CECAF Project, CECAF/TECH/78/12, 39 p. + appendixes
FAO. 1979 Etude préliminaire sur les relations entre investissements et emplois dans le domaine de la pêche. Dakar, Project COPACE, COPACE/TECH/79/13, 31 p.
FAO. 1979 Report of the ad hoc working group on fishery planning. Dakar, CECAF Project, CECAF/TECH/79/14, 63 p.
Yamamoto, T. and M. Ansa-Emmim. 1979 CECAF Project statistical survey of Las Palmas based international trawlers. February 1978 - February 1979. Dakar, CECAF Project, CECAF/TECH/79/15, 40 p.
Griffin, W.L., J.P. Warren and W.E. Grant. 1979 A bioeconomic model for fish stock management: the cephalopod fishery of Northwest Africa. Dakar, CECAF Project, CECAF/TECH/79/16, 42 p.
Griffin, W.L., J.P. Warren et W.E. Grant. 1979 Modèle bioéconomique de gestion des stocks halieutiques: la pêche des céphalopodes de l ' A frique de l'Ouest. Dakar, Project COPACE, COPACE/TECH/79/16, 42 p.
Lamming, G.N. and M. Hotta. 1979 Fisheries cooperatives in West Africa. Dakar, CECAF Project, CECAF/TECH/79/17, 18 p.
Lamming, G.N. et M. Hotta. 1980 Les coopératives de pêcheurs en Afrique de l ' Ouest. Dakar, Project COPACE, COPACE/TECH/79/17, 18 p.
FAO. 1979 Report of the workshop on the standardization of age reading techniques for Sardina pilchardus (W.). Dakar, CECAF Project, CECAF/TECH/79/18, 25 p.
FAO. 1979 Rapport du séminaire pour l'unification des techniques de lecture d'âge et d'interprétation de Sardina pilchardus (W.). Dakar, Projet COPACE, COPACE/TECH/79/18, 26 p.
FAO. 1980 Rapport de la réunion spéciale sur la mesure de l'effort de pêche appliquée aux petites espèces pélagiques dans la zone nord du COPACE. Dakar, Project COPACE, COPACE/TECH/80/19, 64 p.
Evans, E. Sierra Leone :1980 An Act to provide for the management and development of fisheries. Dakar, CECAF Project, CECAF/TECH/80/20, 54 p.
Everett, G.V., M. Ansa-Emmim and I. Mizuishi. 1980 A summary overview of fisheries in the CECAF region. Dakar, CECAF Project,CECAF/TECH/80/21,62 p.
Everett, G.V,M. Ansa-Emmim et I.Mizuishi. 1980 Résumé de la situation générale des pêches dans la région du COPACE. Dakar, Projet COPACE, COPACE/TECH/80/21, 60 p.
Jennings, M.G. 1980 The enforcement of fishery regulations. Dakar, CECAF Project, CECAF/TECH/80/22, 23 p.
Jennings, M.G. 1980 Mise en oeuvre de la réglementation des pêches. Dakar, Project COPACE, COPACE/TECH/80/22, 26 p.
Jones, R. 1980 Tagging possibilities in the northern sub-region of CECAF. Dakar, CECAF Project, CECAF/TECH/80/23, 65 p.
Evans, E. Liberia: 1980 Fisheries Law (second interim report). Dakar, CECAF Project, CECAF/TECH/80/24, 9 p.
Rijavec, L. 1980 A summary of the demersal fish resources of Ghana. Dakar, CECAF Project, CECAF/TECH/80/25, 28 p. + tables, figures and appendixes
Shimura, T. 1980 CECAF statistical survey of Las Palmas based international trawlers. Dakar, CECAF Project, CECAF/TECH/80/26, 40 p.
Shimura, T. 1980 Etude statistique sur les chalutiers internationaux basés à Las Palmas. Dakar, Projet COPACE, COPACE/TECH/80/26, 41 p.
FAO. 1980 Raport on the Joint ICCAT/CECAF working group on juvenile tropical tunas. Dakar, CECAF Project, CECAF/TECH/80/27, 42 p.
FAO. 1980 Report on the ad hoc working group on artisanal fisheries. Dakar, CECAF Project, CECAF/TECH/80/28, 26 p.
FAO. 1980 Rapport du groupe de travail ad hoc sur les pêches artisanales. Dakar, Projet COPACE, COPACE/TECH/80/28, 33 p.
ISPM. 1981 Report of the Evaluation Meeting of the 1980 Cooperative Acoustic survey and the planning meeting for the 1981 Dr. Fridtjof Nansen survey in the CECAF area. Dakar, CECAF Project, CECAF/TECH/81/29, 44 p.
FAO. 1981 Preliminary reports of the Cooperative Acoustic Survey. Dakar, CECAF Project, CECAF/TECH/81/30, 166 p.
FAO. 1981 Contributions soviétiques à l'évaluation des ressources dans la région du COPACE. Dakar, Project COPACE, COPACE/TECH/81/31, 84 p.
Watanabe, K. 1981 Fish landings and trade in the Republic of Cape Verde. Dakar, CECAF Project, CECAF/TECH/81/32, 35 p.
Nyanteng, V.K. 1981 Trends in fish prices and implications for the development of the Ghanaian industry. Dakar, CECAF Project, CECAF/TECH/81/33, 25 p.
Shimura, T. 1981 Statistical survey of Las Palmas based international trawlers for 1980. Dakar, CECAF Project, CECAF/TECH/81/34, 59 p.
Shimura, T. 1982 Etude statistique, pour l'année1980, sur les chalutiers internationaux basés à Las Palmas. Dakar, Projet COPACE, COPACE/TECH/81/34, 58 p.
FAO. 1981 Report on the Consultation on monitoring, control and surveillance. Freetown, 30 June-3 July 1981. Dakar, CECAF Project, CECAF/TECH/81/35, 30 p.
FAO. 1981 Rapport de la Consultation sur le suivi, le contrôle et la surveillance. Freetown, 30 juin-3 juillet 1981. Dakar, Project COPACE, COPACE/TECH/81/35, 31 p.
Kapetsky, J.M. 1981 The artisanal fisheries of coastal lagoons and estuaries in the CECAF region : their importance relative to other fisheries and some considerations for their management and development. Dakar,CECAF Project, CECAF/TECH/81/36, 35 p.
Kapetsky, J.M. 1981 Pêche artisanale en lagunes côtières et estuaires dans la région COPACE: sa place dans le secteur des pêches et quelques réflexions sur son aménagement et son développement. Dakar, Project COPACE, COPACE/TECH/81/36, 32 p.
Caddy, J.F.1981 Some factors relevant to management of cephalopod resources off West Africa. Dakar, CECAF Project, CECAF/TECH/81/37, 46 p.
Caddy, J.F. 1981 Quelques caractéristiques de l'aménagement des stocks de céphalopodes au large de l'Afrique de l'Ouest. Dakar, Projet COPACE, COPACE/TECH/81/37, 33 p.
Jarrold, R.M. and G.V. Everett. 1981 Some observations on formulation of alternative strategies for development of marine fisheries. Dakar, CECAF Project, CECAF/TECH/81/38, 53 p.
Jarrold, R.M. et G.V. Everett. 1982 Quelques observations sur la formation des stratégies alternatives pour le développement des pêches maritimes. Dakar, Project COPACE, COPACE/TECH/81/38, 56 p.
FAO. 1982 Report of the Consultation on artisanal fisheries in the CECAF region. Dakar, 1–4 December 1981. Dakar, CECAF Project, CECAF/TECH/82/39, 29 p.
FAO. 1982 Rapport de la consultation sur la pêche artisanale dans la région du COPACE. Dakar, Project COPACE, COPACE/TECH/82/39, 26 p.
FAO. 1982 Report of the ad hoc Working Group onSardinella off the coast of Ivory Coast/Ghana/Togo. Dakar, CECAF Project, CECAF/TECH/82/40, 72 p.
FAO. 1982 Rapport du Groupe de travail ad hoc sur la sardinella des côtes de Côre-d'Ivoire/Ghana/Togo. Dakar, Projet COPACE, COPACE/TECH/82/40, 75 p.
Griffin, W.L., W.E. Grant and R. Shotton. 1982 A bioeconomic analysis of a CECAF shrimp fishery, and operations and background data. Dakar, CECAF Project, CECAF/TECH/82/41, 78 p.
Griffin,W.L., W.E. Grant et R. Shotton. 1982 Une analyse bio-économique de la pêche à la crevette dans le COPACE, et les données d'exploitation et historiques. Dakar, Project COPACE, COPACE/TECH/82/41, 90 p.
Everett, G.V., M. Ansa-Emmim, M.A. 1982 Robinson and F.C.Roest. Recent trends in CECAF fisheries. Dakar, CECAF Project, CECAF/TECH/82/42, 95 p.
Everett, G.V., M. Ansa-Emmim, M.A. 1982 Robinson et F.C. Roest. Les tendances récentes des pêches du COPACE. Dakar, Project COPACE, COPACE/TECH/82/42, 75 p.
Shimura, T. 1982 Statistical survey of Las Palmas based international trawlers for 1981. Dakar, CECAF Project, CECAF/TECH/82/43, 46 p.
Bellemans, M. 1982 Common names of West African marine animals/ Noms usuels des animaux marins de l'Ouest Africain. Dakar, CECAF Project, CECAF/TECH/82/44, pag. var.
Gréboval, D. 1982 Analyse bioéconomique des principales pêcheries démersales dans la région nord COPACE. Dakar, Project COPACE, COPACE/TECH/82/45, 118 p.
Gréboval, D. 1982 Bioeconomique analysis of the principal demersal fisheries in the northern zone of CECAF. Dakar, CECAF Project, CECAF/TECH/82/45, 108 p.
Allain, R.J. 1982 Study of aerial fisheries surveillance as part of MCS system in certain CECAF Coastal States. Dakar, CECAF Project, CECAF/TECH/82/46, 54 p.
Allain, R.J. 1982 Etude de la surveillance aérienne des pêches comme élément du système SCS dans certains états côtiers de l'Afrique occidentale de la région du COPACE. Dakar, Project COPACE, COPACE/TECH/82/46, 86 p.
Lawson, R. and M.A. Robinson. 1983 The needs and possibilities for the management of canoe fisheries in the CECAF Region. Dakar, CECAF Project, CECAF/TECH/83/47, 23 p.
FAO. 1983 Report of the ad hocworking group on pelagic stocks of the Sherbro Statistical Division (34.3.3). Dakar, CECAF Project, CECAF/TECH/83/48, 162p.
Shimura, T. 1983 Statistical survey of Las Palmas based international trawlers for 1982. Dakar, CECAF Project, CECAF/TECH/83/49, 46 p.
FAO. 1983 Report of the Workshop on fishing vessels and gear/Rapport de l'atelier de travail sur les bateaux et engins de pêche. Dakar, CECAF Project/Project COPACE, CECAF/TECH/83/50, 16 p. and/et Supplement to the report of the Workshop on fishing vessels and gear/Supplément au repport de l'atelier sur les bateaux et engins de pêche, 183 p.
FAO. 1983 Rapport du Groupe de travail sur les statistiques de prises et d'effort de la pêche artisanale. Dakar, 24–27 mai 1983. Dakar, Project COPACE, COPACE/TECH/83/51, 56 p.
FAO. 1984 Report of the seminar on frame and catch assessment surveys for CECAF coastal countries. Dakar, CECAF Project, CECAF/TECH/84/52, 144 p.
Shimura T. 1984 Statistical survey of Las Palmas based international trawlers for 1983. Dakar, CECAF project, CECAF/TECH/84/53, 44 p.
FAO. 1984 Report of the FAO/UNCTC/CECAF Regional Training Workshop on joint ventures and other commercial arrangements in fisheries. Rapport de l'atelier régional FAO/UNCTC/COPACE de formation sur les armements communs et autres contrats d'association de pêche commerciale. Dakar, CECAF Project, CECAF/TECH/84/54, 28 p.
Robinson, M.A. and A. Crispoldi.1984 Estimated trade and consumption of fish and fishery products in the CECAF area. Dakar, CECAF Project, CECAF/TECH/84/55, 22 p.
Robinson, M.A. et A. Crispoldi. 1984 Estimation de commercialisation et consommation de poissons et produits de la pêche dans la région du COPACE. Dakar, Projet COPACE, COPACE/TECH/84/55, 23 p.
Shotton, R. 1984 Preliminary assessment of the Northwest African small pelagics fishery. Dakar, CECAF Project, CECAF/TECH/84/56, 118 p.
Epler, B. 1984 Les pêches de la Guinée-Bissau. Dakar, Projet COPACE, COPACE/TECH/84/57, 59 p.
Everett, G.V. 1984 An overview of current development trends in the CECAF Region. Dakar, CECAF Project, CECAF/TECH/84/58, 53 p.
Everett, 1984 G.V. Tendances actuelles du développement dans la région du COPACE. Dakar, Project COPACE, COPACE/TECH/84/58, 62 p.
FAO. 1984 Recherches soviétiques sur les chinchards et les maquereaux de la zone nord du COPACE. Dakar, Projet COPACE, COPACE/TECH/84/59, 111 p.
FAO. 1984 Ethmalosa fimbriata en Afrique Occidentale. Dakar, Projet COPACE, COPACE/TECH/84/60, 89 p.
FAO. 1984 National management and research reports. Dakar, CECAF Project, COPACE/TECH/84/61, 302 p.
FAO. 1984 Assessments of the stocks of Sparidae and Trachurus trachurus off Morocco. Dakar, CECAF Project, CECAF/TECH/84/62, 170 p.
Koranteng, K.A. 1984 A trawling survey off Ghana. Dakar, CECAF Project, CECAF/TECH/84/63, 72 p.
Van der Knaap, M. 1985 Preliminary annotated inventory of the scientific expeditions and resources surveys carried out in the CECAF Area/Inventaire préliminaire annoté des expéditions scientifiques et campagnes de prospection effectuées dans la zone du COPACE. Dakar, Projet COPACE, COPACE/TECH/85/64, 145 p.
FAO. 1985 Report of the second ad hoc Working Group on pelagic stocks of the Sherbro Statistical Division (34.3.3). Dakar, CECAF Project, CECAF/TECH/85/65, 85 p.
Roest, F.C and A.B. Frielink. 1985 Statistical survey of Las Palmas based international trawlers for 1984. Dakar, CECAF Project, CECAF/TECH/85/66, 26 p.
FAO. 1986 Report of the training course on fisheries management and development planning for the CECAF region. Dakar, CECAF Programme, CECAF/TECH/86/67, 13 p.
FAO. 1986 FAO/CECAF/IDAF Workshop on Small-scale fisheries development and management. Dakar, CECAF Programme, CECAF/TECH/86/68, 25 p.
FAO. 1986 Rapport du groupe de travail ad hoc sur les stocks démersaux côtiers (Mauritanie, Sénégal, Gambie). Dakar, Programme COPACE, COPACE/TECH/86/69, 181 p.
Roest, F.C. and A.B. Frielink. 1986 Las Palmas survey, 1985. Landings of cephalopods and fish from West African waters. Dakar, CECAF Project, CECAF/TECH/86/70, 32 p.
Bernacsek, G.M. 1986 Profile of the Marine Resources of Ghana. Dakar, CECAF Programme, CECAF/TECH/86/71, 118 p.
Bernacsek, G.M. et A.1986 Aziablé. Profil des ressources halieutiques du Bénin. Dakar, Programme COPACE, COPACE/TECH/86/72, 70 p.
El-Gharbi, R. et A. Idelhadj. 1986 Caractéristiques bio-économiques et évolution récente de la pêcherie marocaine aux céphalopodes. Dakar, Programme COPACE, COPACE/TECH/86/73, 63 p.
Gréboval, D. 1986 Aménagement des principales pêcheries de la ZEE mauritanienne (résultats préliminaires). Dakar, Programme COPACE, COPACE/TECH/86/74 (en préparation)
Oliver,P.,S. 1986 Pastor et D. De Armas. Résultats de la Campagne sur l'évaluation des ressources côtières du Gabon (Mission “Gabon-8305”, mai-juin 83). Dakar, Programme COPACE, COPACE/TECH/86/75, 72 p.
Van der Knaap, M., C. 1986 Fapina, S. Quaatey, A.N.A. Baddoo and O. Nmashie. The Ghana Sardinella aurita fishery. Dakar, CECAF Programme, CECAF/TECH/86/76, 50 p.
Samba, A. 1986 Collecte et traitement des statistiques de pêche artisanale au Gabon, au Cameroun et au Togo. Dakar, Programme COPACE, COPACE/TECH/86/77, 68 p.
Van der Knaap, M. and A. Lloyd-Evans. 1986 Profile of the Marine Resources of the Gambia. Dakar, CECAF Programme, CECAF/TECH/86/78, 70 p.
Bernacsek, G.M., D.J. 1987 Faggianelli, G. K. Amegavie et F. Lhomme. Profil des ressources halieutiques du Togo. Dakar, Programme COPACE, COPACE/TECH/87/82, 91 p.
FAO. 1987 CECAF Programme, Workshop on gear and vessel technology. Dakar, CECAF Programme, CECAF/TECH/87/83, 214 p.
Diouf, N.S. 1987 Les techniques artisanales de traitement et conservation du poisson au Sénégal, au Ghana, au Bénin et au Cameroun. Dakar, Programme COPACE, COPACE/TECH/87/84, 119 p.
Brainerd, T.R., 1987 A review of seafood trade in the CECAF area. Dakar, Programme COPACE, CECAF/TECH/87/85, 46 p.
Brainerd, T.R. and/et D.J. Faggianelli. 1987 Las Palmas survey 1986. Landings of cephalopods and fish from west African waters./ Enquête Las Palmas 1986 sur les débarquements de cephalopodes et poissons pêchés dans les eaux ouest africaines. Dakar, CECAF Programme, CECAF/TECH/87/86, 58 p.
Lopez Abellán L.J., A. Cervantes and J.M. de la Serna. 1987 Exploratory fishing cruise for demersal stocks in waters of the Republic of The Gambia “Gambia 8611”. Dakar, CECAF Programme, CECAF/TECH/87/87, 187 p.
