| CÔTE D'IVOIRE | ||
| KONAN, Jacques | Centre de Recherches Océanographiques | |
| B.P. V18 | ||
| Abidjan | ||
| GHANA | ||
| KORANTENG, Kwame A. | Fisheries Department | |
| Research and Utilization Branch | ||
| P.O. Box B-62 | ||
| Tema | ||
| NIGERIA | ||
| AJAYI, Thomas Olatunde | Nigerian Institute for Oceanography | |
| and Marine Research | ||
| P.M. Box 12729 | ||
| Lagos | ||
| SIERRA LEONE | ||
| SHOWERS, Percival Arthur | Fisheries Department | |
| Research Laboratory | ||
| P.O. Box 435 | ||
| Youyi Building | ||
| Freetown | ||
| SPAIN | ||
| FERNANDEZ PERALTA, Lourdes | ) | Instituto Español de Oceanografía |
| ) | Centro Oceanográfico de Fuengirola | |
| RAMOS MARTOS, Ana | ) | Puerto Pesquero s/n |
| ) | 29640 Fuengirola | |
| SOBRINO YRAOLA, Ignacio | ) | Malaga |
| SECRETARIAT | ||
| FAO HEADQUARTERS | ||
| ANSA-EMMIM, Mike | FAO, Fisheries Department | |
| Secretary of CECAF, FIPL | Via delle Terme di Caracalla | |
| Rome, Italy | ||
| BRAVO DE LAGUNA, Jeronimo | Ministerio de Agricultura, | |
| (FAO Consultant) | Pesca y Alimentación | |
| Marine 26, 11 | ||
| Santa Cruz de Tenerife, Spain | ||
| FIELD | PROJECT GCP/RAF/265/FRA | |
| TACONET, Marc | C/O FAO Representation | |
| B.P. 154 | ||
| Dakar, Senegal |
Opening
Review of Surveys Undertaken in the Area Since 1966
Execution and Main Results of the Survey of the Continental Shelf and Slope Areas off Côte d'Ivoire, Ghana,Liberia and Sierra Leone - GUINEA 90
Updating of Information on the Fisheries Especially the Major Changes From 1985 to Date
Updating of Data on Catches, Effort and Catch Per Unit Effort, Upwelling Indices and Length Frequency Distributions
Stock Assessment
National surveys
GUINEA 90 estimation of biomass
Comparison of biomass estimates of GUINEA 90 and other surveys
Production models
finfishes
shrimps
Analytical models
Recommendations
management
research
Adoption of the Report
| VESSEL | AREA | LATITUDE | PERIOD | NAME SURVEY | AC | TR | OT | REFERENCES |
|---|---|---|---|---|---|---|---|---|
| BIRKUT | GUI.SL.LIB.IC.GHA | 1961 | + | Chrzan, 1961 | ||||
| CAPE ST. MARY | GHA | MAY-JUN 56 | + | Salzen, 1957 | ||||
| CAPRICORNE | GHA.IC | MAY-JUN 73 | CAP 7309 | + | Marchal e.a., 1977 | |||
| CAPRICORNE | GHA.IC | JAN 74 | CAP 7401 | + | Marchal e.a., 1977 | |||
| CAPRICORNE | GHA.IC | JUN-JUL, 77 | ECHOPREG | + | Anonynous e.a., 1977 | |||
| COLUMBIA | SLLIBICGHATOSTPCONBEN | 08 005-06 00N | 1959–1960 | + | Bane, 1960 | |||
| FIOLENT | GHATO NIGCAMGABCONZAI | JUL-DEC 76 | FIOLENT | + | + | Robertson, 1977 | ||
| FRIDTJOF NANSEN | GUI.SL.LIB.IC.GHA | 04 20N-10 00N | JUN 81 | NANSEN | + | + | Stronne e.a., 1982 | |
| KAKADIAMAA | GHA | 1981–1982 | FRUT3D | + | Koranteng, 1984 | |||
| KAKADIAMAA | GHA | 1979–1980 | FRUT2D | + | Koranteng, 1981 | |||
| LA RAFALE | GB GUI SL LIB IC GHA | 04 00N-12 30N | FEB-JUN 64 | GUINEAN II | + | Willians, 1968; 1969 | ||
| LA RAFALE | GB GUI SL LIB IC GHA | 04 00N-12 30N | SEP-DEC 63 | GUINEAN I | + | Willians, 1968; 1969 | ||
| PRES. KENNEDY | IC, GHA | JUL-AUG 71 | + | Villegas, 1972 | ||||
| PRES. KENNEDY | IC SL GHA | 1970–1971 | + | |||||
| PRES. KENNEDY | GHA IC | JUL 71 | PK 0571 | + | ||||
| PRES. KENNEDY | GHA | SEP 71 | PK 1071 | + | ||||
| RESEARCH | GHA | 04 30N-05 00N | 1969–1970 | FRUT1D | + | Rijavec, 1980 | ||
| RESEARCH | GHA TO BEN | 1969–1970 | G.A.S. | + | Dijkhuizen, 1972 | |||
| THIERRY | GHATOBENIGCAMEQGGABCDNZAI | 06 00S-04 00N | FEB-JUN 64 | GUINEAN II | + | Willians, 1968; 1969 | ||
| THIERRY | GHATOBENIGCAMEQGGABCONZAI | 06 00S-04 00N | SEP-DEC 63 | GUINEAN I | + | Willians, 1968; 1969 | ||
| THUE JR | GHA | 1969–1970 | G.A.S. | + | Dijkhuizen, 1972 | |||
| THUE JR | IC SL GHA | DEC 69 | + | Anonymous, 1969 | ||||
| THUE JR | ICGHATOBENNIGCAMGABCON | 06 00S-05 00N | FEB-MAR 69 | + | Schnidt 1971 | |||
| KAKADIAMAA | GHA | 1987–88 | FRUT4D | + | Koranteng (UNPL) | |||
| KAKADIAMAA | GHA | 1989–90 | FRUT5D | + | Koranteng (UNPL) | |||
| LAGOAPESCA | SL GHA | APR 90 | GUINEA-90 | + | Spain/CECAF, 1990 | |||
| DR FRIDTJOF NANSEN | CI GHA | OCT 89 | NANSEN | + | + | Norway, 1989 | ||
| C. DE SAAVEDRA | LIB TOGO | AUG 86 | CS | + | + | Oliver et al., 1986 |
SOURCE: van der Knaap (1985) and updated by Working Group
| VESSEL | AREA | LATITUDE | PERIOD | NAME SURVEY | AC | TR | OT | REFERENCES |
|---|---|---|---|---|---|---|---|---|
| AHEFU | SL | APR-NOV 69 | + | + | Corten, 1970 | |||
| AHEFU | SL LIB | 05 00N-07 00N | JUL 69 | + | Anonymous, 1969 | |||
| BELOGCRSK | SL | JUL-AUG 81 | ||||||
| BELOGCRSK | SL | 01 40N-09 00N | FEB 82 | --- | + | Overko e.a.. 1982 | ||
| BIRKUT | GUI.SL.LIB.IC.GHA | 1961 | + | Chrzan, 1961 | ||||
| CALYPSO | SENGBGUISLSTPIONSCANGHB | MAY-JUL 50 | + | + | Forest, 1959 | |||
| CAPE ST. MARY | SEN.GB.GUI.SL.LIB \?\ | 1952–1957 | + | Longhurst, 1963 | ||||
| CAPRICORNE | GUI.SL.GB | 07 30N-11 00N | NOV-DEC 78 | GUINEE 1 | + | Marchal e.a., 1979 | ||
| CAPRICORNE | GUI.SL.GB | 06 30N-11 30N | MAR 79 | GUINEE 2 | + | Marchal e.a., 1980 | ||
| COLUMBIA | SLLIBICGHATOSTPCONBEN | 08 005-06 00N | 1953–1960 | + | Bane, 1960 | |||
| CORNIDE DE SAAVEORA | SL.GUI.GB.SEN | 06 50N-13 03N | JUL-SEP 60 | PELAGOS 7909 | + | + | Bravo de Laguna, 1981 | |
| EURIKA | SL | 07 00N-09 00N | DEC 78 | + | Ivanov e.a.. 1983 | |||
| FRIDTJOF NANSEN | GUI.SL.LIB.IC.GHA | 04 30N-10 00N | JUN 81 | NANSEN | + | + | Stronne e.a.. 1982 | |
| FRIDTJOF NANSEN | GUI.SL.LIB.GHA.MAU | 07 40N-20 40N | FEB-MAR 32 | NANSEN | + | + | Stronne e.a.. 1982 | |
| LA RAFALE | GB GUI SL LIB IC GHA | 04 00N-12 30N | FEB-JUN 64 | GUINEAN II | + | Williams, 1968; 1969 | ||
| LA RAFALE | GB GUI SL LIB IC GHA | 04 00N-12 30N | SEP-DEC 63 | GUINEAN I | + | Williams, 1968; 1969 | ||
| LANGUST | SL | JUN-JUL 79 | ||||||
| MONOCRYSTAL | SL | 07 00N-09 00N | FEB-MAR 82 | + | Chaytor e.a.. 1983 | |||
| PRES, KENNEDY | IC SL GHA | 1970–1971 | + | |||||
| PROGNOZ | SL | SEP 76 | Brainerd, 1980 | |||||
| PROGNOZ | SL | JUN 77 | + | Chaytor e.a., 1977 | ||||
| PROGNOZ | SL | FEB 60 | ||||||
| THUE JR | IC SL GHA | DEC 68 | + | Anonynous, 1969 | ||||
| THUE JR | MAU SEN GUI SL GB LIB IC | 05 00N-21 00N | JAN 69 | CRUISE 4 | + | Schnidt, 1971 | ||
| THUE JR | SEN GB GUI SL LIB IC | 05 00N-14 45N | JUL-AUG 69 | CRUISE 10B | + | Anonymous, 1969 | ||
| THUE JR | MAU SEN GB GUI SL LIB IC | 05 00N-21 00N | OCT-NOV 69 | CRUISE 12 | + | Anonymous, 1969 | ||
| THUE JR | SL | SEP 78 | CRUISE 22 | + | Losse e.a., 1971 | |||
| THUE JR | SL | DEC 70 | CRUISE 26 | + | Losse e.a., 1971 | |||
| VYKHMA | SL | FEB-MAR 78 | + | |||||
| VYKHMA | SL | JUN 60 | + | |||||
| YOLANDA BERTIN | SL GUI | 07 50N-10 00N | FEB-APR 55 | + | Anonyme, 1955 | |||
| BAKCHISARI | SL | 07 00N-09 00N | FEB 85 | CRUISE 23 | + | + | SL FISH.DEPT | |
| BAKCHISARAI | SL | AUG 85 | CRUISE 24 | + | + | |||
| BAKCHISARAI | SL | MAR 86 | CRUISE 25 | + | + | |||
| BAKCHISARAI | SL | OCT 86 | CRUISE 26 | + | + | |||
| ATLANTIDA | SL | MAY-JUN 87 | CRUISE 1 | + | + | |||
| ATLANTIDA | SL | OCT-NOV 88 | CRUISE 3 | + | + | |||
| MONOCRYSTAL | SL | APR 88 | + | + | ||||
| ATLANTIDA | SL | APR 89 | CRUISE 4 | + | + | |||
| ATLANTIDA | SL | NOV-DEC 89 | CRUISE 5 | + | + | |||
| ATLANTIDA | SL | JUL 90 | CRUISE 6 | + | + | |||
| LAGOAPESCA | SL LIB IC GHA | 09 00N-06 00N | APR 90 | GUINEA 90 | + | Spain/CECAF, 1990 | ||
| FRIDTJOF NANSEN | SL GUI GB | 04 00N-07 00N | AUG 86 | NANSEN | + | + | Norway | |
| OCHER | 07 00N-09 00N | NOV 86 | + | SL FISP.DEPT | ||||
| MONOCRYSTAL | DEC 89 | + | ||||||
| EVRIKA | SL | JUN 84 | + | + | ||||
| QUANT | SL | JUL 81 | + | |||||
| VYKMA | SL | MAR 78 | + | |||||
| SATURN | SL | JAN 78 | + | + |
SOURCE: van der Knaap (1985) and updated by Working Group
| VESSEL | AREA | LATITUDE | PERIOD | NAME SURVEY | AC | TR | OT | REFERENCES |
|---|---|---|---|---|---|---|---|---|
| ANDRE NIZERY | IC | JAN-FEB 78 | CHALCI 7801 | + | Caveriviere e.a., 1978 | |||
| ANDRE NIZERY | IC | MAR 79 | CHALCI 7901 | + | Caveriviere e.a., 1979 | |||
| ANDRE NIZERY | IC | AUG-SEP 80 | CHALCI 8001 | + | Caveriviere e.a., 1980 | |||
| ANDRE NIZERY | IC | 1978 | CHALCI 7802 | + | Anonyme, 1978 | |||
| ANDRE NIZERY | IC | MAY 80 | RYTHCIC | + | Caveriviere e.a., 1980 | |||
| ANDRE NIZERY | CON GAB EQG IC | 05 00S-05 00N | AUG 80 | LISTAO IC 001 | + | Bard, 1980 | ||
| ANDRE NIZERY | CON GAB EQG IC | 05 00S-05 00N | JUN 91 | LISTAO IC 011 | + | Adrien e.a., 1981 | ||
| ANDRE NIZERY | CON GAB EQG IC | 05 00S-05 00N | JUL 81 | LISTAO IC 012 | + | Bard e.a., 1981 | ||
| ANDRE NIZERY | CON GAB EQG IC | 05 00S-05 00N | SEP 80 | LISTAO IC 002 | + | Bard, 1980 | ||
| BIRKUT | GUI.SL.LIB.IC.GHA | 1961 | + | Chrzan, 1961 | ||||
| CALYPSO | SENGBGUISLSTPICNIGCAMGAB | MAY-JUL 56 | + | + | Forest, 1959 | |||
| CAPRICORNE | IC | AUG 80 | ECHOBAL J | |||||
| CAPRICORNE | GHA, IC | MAY-JUN 73 | CAP 7309 | + | Marchal e.a., 1977 | |||
| CAPRICORNE | IC | APR 76 | CAP 7604 | Marchal e.a., 1977 | ||||
| CAPRICORNE | GHA.IC | JAN 74 | CAP 7401 | + | Marchal e.a., 1977 | |||
| CAPRICORNE | GHA.IC | JUN-JUL 77 | ECHOPREG I | + | Anonymous, 1977 | |||
| CAPRICORNE | IC | 02 00S-04 30N | JUL-AUG 74 | + | Gerlotto, 1975 | |||
| CAPRICORNE | IC | JAN 83 | CHALCI 8301 | + | Lhonne, 1983 | |||
| CAPRICORNE | IC | MAR 83 | CHALCI 8302 | + | ||||
| CAPRICORNE | IC | MAR 84 | CHALCI 8401 | + | Lhonne, 1984 | |||
| CAPRICORNE | IC | JUN 84 | CHALCI 8402 | + | Lhonne, 1984 | |||
| CAPRICORNE | IC | JAN 83 | BAPOM I | + | ||||
| CAPRICORNE | IC | FEB 83 | BAPOM II | + | ||||
| CAPRICORNE | IC | JUL 83 | BAPOM III | + | Konan, 1984 | |||
| CAPRICORNE | IC | OCT 83 | BAPOM IV | + | ||||
| CAPRICORNE | IC | JAN 84 | BAPOM V | + | ||||
| CAPRICORNE | IC | MAR 84 | SEDI-BAPOM | + | ||||
| CAPRICORNE | IC | JUN 84 | SEDI-BAPOM | + | ||||
| CAPRICORNE | IC | JUL 83 | CREVETTE 8301 | + | ||||
| CAPRICORNE | IC | MAR 84 | CREVETTE 8401 | + | ||||
| CAPRICORNE | IC | JUN 84 | CREVETTE 8402 | + | ||||
| COLLMBIA | SLLIBICGHATOSTPCONBEN | 09 00S-06 00N | 1959–1960 | + | Bane, 1960 | |||
| FIKI | IC | 1975–1976 | + | Intes e.a., 1976 | ||||
| FRIDTJOF NANSEN | GUI.SL.LIB.IC.GHA | 04 20N-10 00N | JUN 81 | NANSEN | + | + | Stronne e.a., 1982 | |
| LA RAFALE | GB GUI SL LIB IC GHA | 04 00N-12 30N | FEB-JUN 64 | GUINEAN II | + | Williams, 1968; 1969 | ||
| LA RAFALE | GB GUI SL LIB IC GHA | 04 00N-12 30N | SEP-DEC 63 | GUINEAN I | + | Williams, 1968; 1969 | ||
| PRES. KENNEDY | IC.GHA | JUL-AUG 71 | + | Villegas, 1972 | ||||
| PRES. KENNEDY | IC | JUL 69 | + | Anonymous, 1969 | ||||
| PRES. KENNEDY | IC | 1969–1971 | PK 2-PK 21 | + | Fagetti e.a., 1971 | |||
| PRES. KENNEDY | IC SL GHA | 1970–1971 | + | |||||
| PRES. KENNEDY | GHA IC | \?\ | + | |||||
| PRES. KENNEDY | IC | AUG 71 | PK 0871 | + | ||||
| REINE POKOU | IC | 1966–1967 | + | Troadec e.a., 1969 | ||||
| THUE JR | IC SL GHA | DEC 68 | + | Anonymous, 1969 | ||||
| THUE JR | MAU SEN GUI SL GB LIB IC | 05 00N-21 00N | JAN 69 | CRUISE 4 | + | Schmidt, 1971 | ||
| THUE JR | ICGHATOBENNIGCAMGABCON | 06 00S-05 00N | FEB-MAR 69 | + | Schmidt, 1971 | |||
| THUE JR | SEN GB GUI SL LIB IC | 05 00N-14 45N | JUL-AUG 69 | CRUISE 108 | + | Anonymous, 1969 | ||
| THUE JR | MAU SEN GB GUI SL LIB IC | 05 00N-21 00N | OCT-NOV 69 | CRUISE 12 | + | Anonymous, 1969 | ||
| FRIDTJOF NANSEN | CI GHA | OCT 89 | + | Norwav, 1989 | ||||
| CORNIDE DE SAAVEDRA | LIB GHA CI TO | AUG 86 | + | Spain, 1986 | ||||
| ANDRE NIZERY | CI | FEB 85 | CHALCI 8501 | + | Vendeville, 1988 | |||
| ANDRE NIZERY | CI | JUL 85 | CHALCI 8502 | + | Vendeville, 1988 | |||
| ANDRE NIZERY | CI | FEB 86 | CHALCI 8601 | + | Vendeville & Yves | |||
| Bernard | ||||||||
| ANDRE NIZERY | CI | JUL 86 | CHALCI 8603 | + | Yves Bernard, 1989 | |||
| LAGOAPESCA | LIB SL CI GHA | APR 90 | GUINEA 90 | Ramos et al., 1990 |
SOURCE: van der Knaap (1985) and updated by Working Group
| VESSEL | AREA | LATITUDE | PERIOD | NAME SURVEY | AC | TR | OT | REFERENCES |
|---|---|---|---|---|---|---|---|---|
| AWEFU | SL LIB | 05 00N-07 00N | JUL 69 | + | Anonymous, 1969 | |||
| BELOGORSK | LIB | 04 12N-06 48N | JAN-FEB 81 | + | + | Dixon e.a., 1981 | ||
| BIRKUT | GUI.SL.LIB.IC.GHA | 1961 | + | Chrzan, 1961 | ||||
| BISTRITA | LIB | JUN 78 | + | |||||
| BISTRITA | LIB | JAN-MAR 78 | + | Anonymous, 1978 | ||||
| CAPE ST. MARY | SEN.GB.GUI.SL.LIB GAM | 1952–1957 | + | Longhurst, 1963 | ||||
| COLUMBIA | SLLJBICGHATOSTPCONBEN | 08 00S-06 00N | 1959–1960 | + | Bane, 1960 | |||
| FRIDTJOF NANSEN | GUI.SL.LIB.IC.GHA | 04 20N-10 00N | JUN 81 | NANSEN | + | + | Stronne e.a. 1982 | |
| GERARD TRECA | LIB | 1964–1965 | + | |||||
| LA RAFALE | GB GUI SL LIB IC GHA | 04 00N-12 30N | FEB-JUN 64 | GUINEAN II | + | Williams, 1968; 1969 | ||
| LA RAFALE | GB GUI SL LIB IC GHA | 04 00N-12 30N | SEP-DEC 63 | GUINEAN I | + | Williams, 1968; 1969 | ||
| RAZELM | LIB | JUN 78 | + | |||||
| RAZELM | LIB | JAN-MAR 78 | + | Anonymous, 1978 | ||||
| THUE JR | MAU SEN GUI SL GB LIB IC | 05 00N-21 00N | JAN 69 | CRUISE 4 | + | Schmidt, 1971 | ||
| THUE JR | SEN GB GUI SL LIB IC | 05 00N-14 45N | JUL-AUG 69 | CRUISE 10B | + | Anonymous, 1969 | ||
| THUE JR | MAU SEN GB GUI SL LIB IC | 05 00N-21 00N | OCT-NOV 69 | CRUISE 12 | + | Anonymous, 1969 | ||
| LAGOAPESCA | SL LIB IC GHA | 09 00N-06 00N | APR. 90 | GUINEA 90 | + | Spain/CECAF, 1990 |
SOURCE: van der Knaap (1985) and updated by Working Group
Total marine fishery production in tons
for the period 1971–82; (based on records
of the Fisheries Division, Freetown)
| National Fishery | Fishery with foreign vessels | |||||||
|---|---|---|---|---|---|---|---|---|
| Purse | Shrimp | |||||||
| Year | Total | S/total | Ind'l | Art'l | S/total | Trawl | Seine | Trawl |
| 1971 | 29 600 | 24 938 | 2 174 | 22 764 | 4 662 | 2 320 | 1 607 | 735 |
| 1972 | 50 100 | 46 047 | 2 918 | 44 129 | 4 053 | 3 159 | n.a. | 894 |
| 1973 | 65 700 | 55 533 | 2 864 | 52 669 | 10 167 | 2 862 | 6 691 | 614 |
| 1974 | 66 739 | 62 521 | 3 065 | 59 456 | 4 218 | 255 | 3 140 | 823 |
| 1975 | 67 497 | 63 696 | 1 751 | 61 945 | 3 801 | 1 223 | 2 410 | 168 |
| 1976 | 68 197 | 52 692 | 2 417 | 50 275 | 15 505 | 12 970 | 2 070 | 465 |
| 1977 | 78 933 | 51 452 | 4 680 | 46 772 | 27 481 | 26 130 | 941 | 410 |
| 1978 | 115 246 | 47 580 | 5 699 | 41 881 | 67 666 | 62 499 | 4 561 | 606 |
| 1979 | 145 979 | 46 237 | 1 071 | 45 166 | 99 742 | 75 794 | 23 635 | 313 |
| 1980 | 139 424 | 33 222 | 1 663 | 31 554 | 106 212 | 105 | 570 | 642 |
| 1981 | 139 434 | 33 222 | 1 668 | 31 554 | 106 212 | 105 | 570 | 642 |
| 1982 | 118 956 | 36 554 | 1 938 | 34 616 | 82 402 | 81 | 522 | 880 |
Total annual catch and species composition of artisanal and industrial marine fisheries of Liberia (based on records of the Bureau of Fisheries, Monrovia and and FAO, Rome)
| Fish Species Groups | 1981 | 1982 | 1983 | 1984 | 1985 |
|---|---|---|---|---|---|
| Ilisha africana | 46 | 43 | 55 | 93 | 95 |
| Solea vulgaris | 185 | 164 | 347 | 281 | 186 |
| M. merluccius | 3 | 3 | 4 | 5 | - |
| Ariidae | 328 | 298 | 462 | 403 | 167 |
| Serranidae | 51 | 49 | 203 | 72 | 190 |
| Pseodotolithus | 884 | 1 239 | 1 588 | 1 084 | 507 |
| Scieanidae n.e.i. | 419 | 376 | 413 | 444 | 303 |
| Dentex spp | 809 | 820 | 1 103 | 1 167 | 653 |
| S. cantharus | 34 | 36 | 3 | 8 | - |
| Sparidae | 26 | 37 | 72 | 404 | 143 |
| Mullus spp | 68 | 62 | 41 | 50 | 65 |
| Sphyraena spp | 801 | 723 | 824 | 677 | 440 |
| G. decadactylus | 149 | 266 | 378 | 176 | 75 |
| Pentanemus | - | 65 | 33 | 611 | 197 |
| Trachurus spp | 1 | 1 | 246 | 27 | 18 |
| Caranx spp | 523 | 472 | 175 | 492 | 430 |
| Stromateus | - | - | - | 298 | 110 |
| Sardinella spp | 1 553 | 1 399 | 1 375 | 1 109 | 687 |
| Clupeidei | 488 | 441 | 227 | 345 | 583 |
| Marlins/Sailfish | - | - | - | 129 | 78 |
| Swordfish | 38 | 34 | 53 | 0 | 24 |
| Scombridae | 441 | 395 | 396 | 284 | 235 |
| T. lepturus | 29 | 28 | 17 | 4 | - |
| Scomber japonicus | 55 | 50 | 151 | 159 | 164 |
| Rajiformes | 44 | 55 | 81 | 77 | 92 |
| Sharks/Rays/Skates | 107 | 96 | 359 | 268 | 279 |
| Marine fish n.e.i. | 1 744 | 2 230 | 2 463 | 1 628 | 1 509 |
| Marine crabs n.e.i. | 46 | 42 | 87 | 39 | 157 |
| Palinurus (lobster) | 24 | 22 | 66 | 15 | 14 |
| Crustacea (shrimp) | - | 9 | 7 | 191 | 12 |
| Cuttlefish/squid | 15 | 14 | 2 | 4 | - |
| TOTAL (all species) | 9 004 | 9 553 | 11 277 | 10 650 | 7 478 |
LOS ESPARIDOS DE LA CAMPAÑA “GUINEA 90”: ABUNDANCIA Y DISTRIBUCION
por
Ana RAMOS MARTOS*
Lourdes FERNANDEZ PERALTA*
* Centro Oceanográfico de Fuengirola. Puerto Pesquero s/n 29640 Fuengirola. MALAGA (ESPAÑA)
Durante la Campaña “Guinea 90” se capturaron un total de 20.8 tm de peces, crustáceos y cefalópodos (Ramos et al. 1990). Entre los peces fueron sin duda los Espáridos los que presentaron una mayor abundancia, con una captura de 4429.4 kg, que supuso el 21.2% del total de la pesca.
La familia Sparidae estuvo representada por 8 especies, 7 de ellas demersales, incluidas por su ecología en las comunidades de Espáridos, costeros y profundos, del Golfo de Guinea (Longhurst, 1969), y una especie nerítica-semipelágica (Boops boops). Todas ellas constituyen el recurso fundamental de pesquerías estacionales que se desarrollan en las épocas de upwelling.
La comunidad de Espáridos supuso un elevado porcentaje de la captura, sobre todo entre 50 y 200 metros de profundidad. En estos dos estratos (50–100 m y 100–200 m), dicha comunidad constituyó, en algunos sectores, el 80% del peso capturado en el estrato, lo que da idea de su enorme abundancia (Tabla I).
Las especies de Sparidae encontradas se enumeran a continuación:
Boops boops (Linnaeus, 1758)
Dentex angolensis Poll & Maul, 1953
Dentex canariensis Steindachner, 1881
Dentex congoensis Poll, 1954
Dentex gibbosus (Rafinesque, 1810)
Pagellus bellottii bellottii Steindachner, 1882
Pagrus caeruleostictus (Valenciennes, 1830)
Sparus pagrus africanus Akazaki, 1962
En la Tabla II se reflejan las capturas totales por sector, así como la frecuencia, en número absoluto de lances y porcentajes sobre el total de arrastres válidos, para las 8 especies consideradas.
Destacan las altas capturas de D. angolensis y P. bellottii bellottii, que juntas supusieron el 76% del peso total de Espáridos. Estas dos especies se encontraron tambien con mayor frecuencia. D. angolensis apareció en la mitad de los arrastres de la campaña, alcanzando P. bellottii bellottii una frecuencia solo algo inferior (45.0%).
Las captures de P. bellottii correspondieron casi en exclusiva a Costa de Marfil, mientras que las de D. angolensis se distribuyeron principalmente entre Costa de Marfil y Liberia.
Otras especies, P. caeruleostictus, D. canariensis y D. gibbosus, aunque se pescaron en mucha menor proporción, se encontraron casi exclusivamente en aguas ghaneanas, todas ellas asociadas a fondos duros.
A continuación se analizan de forma más detallada la abundancia y frecuencia de las diferentes especies de Sparidae encontradas a lo largo de la Campaña, además de su distribución geográfica y batimétrica.
1. Dentex angolensis
La captura global de este espárido ascendió a casi 2 tm (1749.5 kg), siendo la más elevada entre todas las especies comerciales de la campaña. Fué, asímismo la que presentó la mayor frecuencia entre los Espáridos, apareciendo en el 50.8% de los arrastres válidos.
En la Tabla III se aprecia como, tanto la frecuencia como la captura relativa más elevada de D. angolensis correspondieron a Liberia, si bien en valor absoluto la mayor cantidad se obtuvo en Costa de Marfil. En Ghana solo se pescaron 85.7 kg en 11 lances, lo que indicaría una concentración muy inferior en las aguas de este país.
La especie se encontró más frecuentemente entre 50 y 200 m, en el segundo y tercer estrato, en donde se realizaron las pescas más copiosas. A mayor profundidad solo aparecieron de manera aislada en la zona este de Sierra Leona y Liberia, ejemplares grandes, de talla superior a 23 cm.
La distribución geográfica de D. angolensis, como puede observarse en la figura 1, se extendió a toda el área prospectada, dentro del rango batimétrico que hemos citado. En el mapa se aprecia la existencia de varias zonas de mayor concentración, en las que se obtuvieron capturas superiores a 50 kg (50–224 kg). Estas áreas se localizarían, de oeste a este, frente a la frontera de Sierra Leona-Liberia, entre Grand Bassa y Punta Cestos, en Liberia, y a lo largo de la plataforma de Costa de Marfil, entre San Pedro y Grand Bassam.
2. Pagellus bellottii bellottii
Las capturas de esta especie fueron algo inferiores a las de D. angolensis. Se pescaron un total de 1614.9 kg en 54 arrastres. El 85% de ellos se obtuvieron en Costa de Marfil, en cuyos fondos P. bellottii parece existir en mayores concentraciones (Tabla IV). En el resto de los países las cantidades conseguidas (entre 42.0 y 129.0 kg) en un número de lances relativamente elevado (entre 8 y 16), serían indicativas de la escasez de la especie, a la vez que de una distribución geográfica amplia (Figura 2).
Se pescó entre 20 y 100 m, repartiéndose las capturas en proporción semejante entre los dos estratos más superficiales (20–50 m y 50–100 m). A mayores profundidades las capturas fueron practicamente nulas.
3. Dentex congoensis
Este espárido fué mucho más escaso. A lo largo de la campaña se recogió en 26 de los arrastres efectuados (21.7% sobre el total de lances válidos), pescándose solamente 590.3 kg, casi la tercera parte de la captura de las dos especies anteriores (Tabla IV).
Por sector su abundancia parece mayor en la zona oeste de Sierra Leona (180.2 kg), seguida de Costa de Marfil y Ghana, mientras que por estrato las mayores cantidades se pescaron en el tercero, entre 100 y 200 m, si bien a estas profundidades su frecuencia fué menor.
En la figura 3 se aprecia como la distribución geográfica de D. congoensis no es tan amplia como la de D. angolensis y P. bellottii, correspondiendo las zonas de máximas concentraciones al oeste de Sierra Leona, a Costa de Marfil y a Ghana, en donde se consiguieron capturas comprendidas entre 50 y 129 kg.
4. Dentex canariensis
Sus capturas en la Campaña “Guinea 90”, solo 162.2 kg, estuvieron limitadas al sector este del área de estudio (Costa de Marfil-Ghana), no encontrándose en el resto más que de forma aislada, tal y como puede apreciarse en la figura 4.
Esta especie, ligada por su hábitat a los fondos duros, fué muy frecuente en Ghana, país en donde se recogió en 17 arrastres (59.0% de los lances válidos de este país), presentando una zona de mayor concentración entre Takoradi y Accra coincidiendo con el área de substratos duros de su plataforma, entre 20 y 100 m de profundidad (Tabla VI).
5. Pagrus caeruleostictus
Sólo merecieron destacarse las pescas efectuadas en Ghana. En esta zona se cogieron 146.2 kg de este espárido en 13 arrastres.
Como en el caso de D. canariensis la especie parece estar concentrada en la misma área geográfica, entre Takoradi y Accra, entre 20 y 100 m de profundidad, coincidiendo con los fondos duros (Figura 5).
6. Dentex gibbosus
Su captura total no fué muy elevada, 113 kg y estuvo limitada a tres arrastres en la plataforma ghaneana, no apareciendo en el resto del área de estudio.
7. Sparus pagrus africanus
Esta especie no se encontró más que en un lance en aguas de Costa de Marfil, en el estrato de 50–100 m de profundidad, frente a en donde se pescaron 20.7 kg.
8. Boops boops
Las capturas de “boga” fueron escasas, solo 13.9 kg a lo largo de la campaña. Se encontró en 13 lances siempre en pequeña cantidad (Tabla VIII)
BIBLIOGRAFIA
BERNACSEK, G.M. (1986). Profile of the marine resources of Ghana. CECAF/TECH/86/71.
FAGER, E. W. & A.R. LONGHURST. (1968). Recurrent group analysis of species assemblages of demersal fish in the Gulf of Guinea. J. Fish. Res. Board Can. 25(7): 1405–21
FISCHER, W., G. BIANCHI & W. B. SCOTT (Eds.) FAO species identification sheets for fishery purposes. Eastern Central Atlantic Fishing Areas 34, 47 (in part) Vol. I-VI, FAO, Ottawa.
RAMOS, A., I. SOBRINO, L. FERNANDEZ Y J. F. GONZALEZ (1990). Informe de la Campaña “Guinea 90”. Inst. Esp. Oceanog. Doc. Int. 403 p.
| TOTAL | |||||
|---|---|---|---|---|---|
| 20–50 | 50–100 | 100–200 | 200–400 | (kg) | |
| S. Leona W | 52.3% | 64.0% | 65.1% | - | 1091 |
| S. Leona E | 28.8% | 79.6% | 60.1% | - | 773 |
| Liberia | 38.7% | 41.1% | 45.2% | 47.8% | 3875 |
| C. Marfil | 41.8% | 82.4% | 79.1% | - | 11248 |
| Ghana | 47.4% | 62.7% | 17.5% | - | 3904 |
Tabla I. Comunidad de Espáridos. Porcentajes de la captura total por estrato de profundidad Y sector. Campaña “Guinea 90”
| No | % | |||||||
|---|---|---|---|---|---|---|---|---|
| S.L.W. | S.L.E. | Liberia | C. Marfil | Ghana | TOTAL | lances | lances | |
| D. angolensis | 112.4 | 197.3 | 426.2 | 927.9 | 85.7 | 1749.5 | 61 | 50.8 |
| P. bellottii | 42.2 | - | 38.5 | 1404.7 | 129.5 | 1614.9 | 54 | 45.0 |
| D. congoensis | 180.2 | 60.8 | 78.2 | 162.8 | 108.3 | 590.3 | 26 | 21.7 |
| P. caeruleostictus | 6.2 | 0.3 | 0.5 | 11.0 | 146.2 | 164.2 | 22 | 18.3 |
| D. canariensis | 2.6 | 0.4 | 7.2 | 66.4 | 84.5 | 162.2 | 30 | 25.0 |
| D. gibbosus | - | - | - | - | 113.6 | 113.6 | 3 | 2.5 |
| S. pagrus | - | - | - | 20.8 | - | 20.8 | 1 | 0.8 |
| B. boops | 1.5 | - | 2.5 | 7.7 | 2.2 | 13.9 | 13 | 10.8 |
| TOTAL | 345.1 | 258.8 | 553.1 | 2601.3 | 670.0 | 4429.4 |
Tabla II. Sparidae. Capturas (kg) y número de lances por especie y sector. Campaña “Guinea 90”
| 20–50 | 50–100 | 100–200 | 200–400 | TOTAL | |
|---|---|---|---|---|---|
| S. Leona W | - | 42.3(2) | 70.1(3) | - | 112.4(5) |
| S. Leona E | - | 127.4(3) | 68.5(3) | 1.4(1) | 197.3(7) |
| Liberia | 5.7(4) | 151.8(8) | 206.2(8) | 62.5(3) | 426.2(23) |
| C. Marfil | 168.9(3) | 751.3(9) | 7.7(3) | - | 927.9(15) |
| 54.1* | 240.8* | 2.5* | 294.9* | ||
| Ghana | 0.1(1) | 42.6(6) | 43.0(4) | - | 85.7(11) |
| TOTAL | 174.7(8) | 1115.4(28) | 395.5(21) | 63.9(4) | 1749.5(61) |
| 59.9* | 604.9* | 1116.4* |
Tabla III. Dentex angolensis. Capturas (kg) y número de lances por estrato de profundidad y sector. Campaña “Guinea 90”
| 20–50 | 50–100 | 100–200 | TOTAL | |
|---|---|---|---|---|
| S. Leona W | 37.9(4) | 4.3(4) | - | 42.2(8) |
| Liberia | 3.9(4) | 32.8(5) | 1.8(2) | 38.5(11) |
| C. Marfil | 883.7(10) | 521.0(9) | - | 1404.7(19) |
| 283.2* | 167.0* | 450.2* | ||
| Ghana | 17.4(5) | 112.1(11) | - | 129.5(16) |
| TOTAL | 942.9(23) | 670.2(29) | 1.8(2) | 1614.9(54) |
| 349.4* | 316.2* | 667.4* |
Tabla IV. Pagellus bellottii bellottii. Capturas (kg) y número de lances por estrato de profundidad y sector. Campaña “Guinea 90”
| 50–100 | 100–200 | TOTAL | |
|---|---|---|---|
| S. Leona W | 0.2(1) | 180.0(3) | 180.2(4) |
| S. Leona E | 10.7(2) | 50.0(2) | 60.8(4) |
| Liberia | 27.4(5) | 50.8(3) | 78.2(8) |
| C. Marfil | 162.8(3) | - | 162.8(3) |
| 52.2* | 52.2* | ||
| Ghana | 16.1(6) | 92.2(1) | 108.3(7) |
| TOTAL | 217.3(17) | 373.0(9) | 590.3(26) |
| 106.7* | 479.7* |
Tabla V. Dentex congoensis. Capturas (kg) por estrato de profundidad y sector. Campaña “Guinea 90”
| 20–50 | 50–100 | >100 | TOTAL | |
|---|---|---|---|---|
| S. Leona W. | 0.5(2) | 2.1(1) | - | 2.6(3) |
| S. Leona E. | 0.4(1) | - | - | 0.4(1) |
| Liberia | - | 7.2(1) | - | 7.2(1) |
| C. Marfil | 27.7(6) | 38.7(2) | - | 66.4(8) |
| 8.9* | 12.4* | 21.3* | ||
| Ghana | 24.0(7) | 60.5(9) | 1.1(1) | 84.5(17) |
| TOTAL | 52.6(16) | 108.5(13) | 1.1(1) | 162.2(30) |
| 33.8* | 82.2* | 116.0* |
Tabla VI. Dentex canariensis. Capturas (kg) y número de lances por estrato de profundidad y sector. Campaña “Guinea 90”
| 20–50 | 50–100 | TOTAL | |
|---|---|---|---|
| S. Leona W | 6.2(3) | - | 6.2(3) |
| S. Leona E | 0.3(1) | - | 0.3(1) |
| Liberia | - | 0.5(1) | 0.5(1) |
| C. Marfil | 3.7(3) | 7.3(1) | 11.0(4) |
| Ghana | 108.0(6) | 38.2(7) | 146.2(13) |
| TOTAL | 118.2(13) | 46.0(9) | 164.2(22) |
Tabla VII. Pagrus caeruleostictus. Capturas (kg) y número de lances por estrato de profundidad y sector. Campaña “Guinea 90”
| 20–50 | 50–100 | >100 | TOTAL | |
|---|---|---|---|---|
| S. Leona W | 1.5(2) | - | - | 1.5(2) |
| Liberia | 0.3(1) | 2.2(3) | - | 2.5(4) |
| C. Marfil | - | 7.7(4) | - | 7.7(4) |
| Ghana | 0.1(1) | 0.5(1) | 1.6(1) | 2.2(3) |
| TOTAL | 1.9(4) | 10.4(8) | 1.6(1) | 13.9(13) |
Tabla VIII. Boops boops. Capturas (kg) y número de lances por estrato de profundidad y sector. Campaña “Guinea 90”

Figura 1

Figura 2

Figura 3

Figura 4

Figura 5
ANALISIS DE LAS CAPTURAS Y DISTRIBUCION DE LOS CEFALOPODOS DE LA CAMPAÑA “GUINEA 90”
por
Ana RAMOS MARTOSA*
José F. GONZALEZ JIMENEZ**
* Centro Oceanográfico de Fuengirola. Puerto Pesquero s/n. 29640 Fuengirola. MALAGA (ESPANA)
Entre los Moluscos recogidos en la campaña “Guinea 90” se cuentan 12 especies de Cefalópodos, pertenecientes a cinco familias, cuya relación se presenta a continuación:
Fam. Loliginidae
Alloteuthis africana Adam, 1950
Fam. Octopodidae
Eledone sp.
Octopus sp.
Octopus vulgaris Cuvier, 1797
Fam. Ommastrephidae
Illex coindetii (Verany, 1837) Todaropsis eblanae (Ball, 1841)
Fam. Sepiidae
Sepia bertheloti Orbigng, 1838
Sepia elegans Blainville, 1827
Sepia officinalis hierredda Rang, 1837
Sepia sp.
Sepiella ornata Rang, 1837
Fam. Sepiolidae
Rossia macrosoma (Delle Chiage, 1829)
La información referente a la metodología utilizada en la campaña (tipos de artes, situación de los arrastres, etc) está detallada en Ramos et al. (1990). En este apartado solo haremos mención al hecho del empleo de un diferente aparejo en la prospección de los fondos de Costa de Marfil. Con el fin de hacer comparables los datos con los del resto de países, las capturas obtenidas en Costa de Marfil se han dividido por 3.12, coeficiente estimado durante la campaña “Guinea 90” por arrastres comparativos con los dos tipos de artes.
En la tabla I se resume la información sobre las capturas y frecuencias por sector, expresadas estas últimas como el número absoluto de lances en los que la especie apareció y como porcentajes sobre el total de arrastres válidos (120). Las cifras marcadas con un asterisco (*) hacen referencia a los valores estimados para Costa de Marfil después de aplicar el coeficiente de 3.12.
La captura total de Cefalópodos pescados durante la campaña ascendió a 1043.1 kg. El análisis de la tabla I muestra como la especie más capturada, con diferencia, fué S. officinalis (459 kg). A esta siguieron S. bertheloti (138.7 kg) y O. vulgaris (131.7 kg), además de T. eblanae (85.4 kg) e I. coindetii (61.2 kg)
La frecuencia mayor, tal y como tambien puede observarse en la tabla I correspondió a S. bertheloti, que se capturó en el 35% de los arrastres. Le siguieron I. coindetii (28.3%), S. officinalis (26.7%) y T. eblanae (25.8%). Las especies que se encontraron más raramente fueron R. macrosoma, que solo apareció en el 2.5% de los lances y Eledone sp., en el 5%.
A continuación se analizan la abundancia y la distribución, geográfica y batimétrica, en cada una de las zonas, de las especies de mayor interés comercial. Los mapas de distribución se presentan en las figuras 1–8.
1. S. officinalis hierrodda
El “choco” constituye una especie objetivo de importante valor comercial para gran parte de la flota española de arrastre que faena actualmente en las costas de Africa Noroccidental.
Su captura total durante la campaña ascendió a 459 kg, siendo entre los Cefalópodos la especie que se pescó en mayor cantidad. En la tabla II se presentan las capturas en kg y el número de lances, en los dos estratos más superficiales (de 20–50 m y de 50–100 m), en los cúales apareció la especie (zona oeste de Sierra Leona, Liberia, Costa de Marfil y Ghana).
Las mayores capturas se obtuvieron en Ghana, país en el que S. officinalis se pescó en 20 de los 29 arrastres válidos realizados (69%). Esta información confirmaría la abundancia de la especie en aguas ghaneanas y los resultados obtenidos en prospecciones anteriores en dicho país (Rijavec, 1980).
En Costa de Marfil la captura, si bien elevada (115.8 kg) fué bastante inferior a la de Ghana aunque comparativamente muy superior a la del resto de los paises. Si se aplica el coeficiente de 3.12 a esta captura, el valor resultante, 37.1 kg, no sería indicativo de una gran abundancia de la especie, tal y como parece ocurrir en Ghana.
La distribución batimétrica de S. officinalis presentó un rango muy marcado, apareciendo sólo en aguas superficiales, entre 22 y 96 m, y en mayor abundancia en el estrato de 50 – 100 m, mientras que el rango batimétrico definido para la especie se extiende hasta los 200 m. Su presencia en la zona más interna de la plataforma, exclusivamente, durante la campaña podría estar relacionada con la migración reproductora. Es conocido su acercamiento a la costa para la puesta, que se produce durante todo el año, en fondos inferiores a 40 m y a temperaturas comprendidas entre 13 y 15 C (Fisher & oth., 1981).
La distribución geográfica que presentó S. officinalis durante la campaña “Guinea 90” puede verse en la figura 1. Es significativa su presencia en las zonas extremas del área de estudio, en el sector Ghana-Costa de Marfil y en el sector oeste de Sierra Leona, mientras que en la zona central, tal y como se observa en el mapa, fué practicamente inexistente. En Costa de Marfil las capturas estuvieron restringidas a la mitad este de su plataforma, entre Presco y la frontera ghaneana. En este área se cogieron entre 10 y 50 kg por arrastre (Ramos et al., 1990).
La zona de máxima densidad parece corresponder al extremo oriental de Ghana, frente al Cabo Saint Paul, en donde se capturaron hasta 160 kg de “choco” en un solo arrastre.
2. Sepia bertheloti
Fué el cefalópodo que se capturó con mayor frecuencia, apareciendo en el 35% de los arrastres válidos (Tabla III). Su captura total fué de 138.7 kg, notablemente inferior a la de S. officinalis, especie junto con la cual se pescó en numerosos arrastres.
En la tabla III se muestran las capturas en kg y el número de arrastres en el que la especie fué recogida, para cada estrato de profundidad y sector. Las capturas mayores se obtuvieron en Liberia (44.6 kg) a profundidades comprendidas entre 50 y 100 m.
El rango batimétrico de su distribución durante la campaña estuvo comprendido entre 23 y 157 m, coincidiendo con el de la distribución general de la especie, 20 – 160 m (Fisher & oth., 1981).
Geograficamente, la distribución más amplia se presentó en Ghana, tal y como ocurría para S. officinalis, y en Sierra Leona (Figura 2). En Ghana se capturó en el 50% de los arrastres, mientras que en Liberia y Costa de Marfil S. bertheloti presentó una distribución menos homogénea, si bien fué siempre más abundante en el estrato de 50 a 100 m.
3. Octopus vulgaris
El “pulpo” constituye, junto con S. officinalis, una de las especies objetivo de parte de la flota española que faena en aguas del Atlántico Centro Oriental, entre el Sahara y Senegal.
Durante la campaña “Guinea 90” sólo se capturaron 132 kg de esta especie en 24 de los lances efectuados, correspondiendo el mayor porcentaje a Costa de Marfil. En este país la especie fué pescada en el 40% de los arrastres, lo que sugeriría una abundancia superior a la existente en el resto de las zonas (Tabla IV).
Los porcentajes de capturas se repartieron entre el primero y segundo estrato, siendo muy rara su pesca por debajo de los 100 m. El rango de profundidad en el que se pescó durante la campaña osciló entre 24 y 211 m, preferentemente entre 30 y 70 m. Si bien, las pescas de pulpo se realizan entre 0 y 400 m, ocurriendo las capturas máximas alrededor de los 200 m (Fisher & oth., 1981), la escasez de la especie en el área de estudio podría deberse, más que al tipo de arte empleado, a la estrechez de la plataforma, cuya rotura de pendiente se produce en esta zona entre 200 y 75 m.
Su distribución geográfica presentó dos áreas muy localizadas: una amplia, desde la Península de Freetown, en Sierra Leona, hasta Punta Cestos, en Liberia, y otra en Costa de Marfil, desde Sassandra hasta las proximidades de la frontera con Ghana (Figura 3). Es en esta segunda zona donde su densidad podría ser más elevada.
4. Todaropsis eblanae
Es una especie nerítica, perteneciente a la familia Ommastrephidae, cuya distribución presenta un rango batimétrico amplio (20–650 m). En el Banco Sahariano las capturas mayores se realizan en el talud, entre 100 y 400 m (Fisher & oth., 1981).
Su frecuencia durante la campaña “Guinea 90” fué similar a la de S. officinalis e I. coindetii (25.8% de los arrastres válidos), pescándose un total de 85.4 kg (Tabla V).
Se pescó principalmente en Costa de Marfil, Ghana y Liberia, siendo las capturas en Sierra Leona bastante inferiores, sobre todo en su zona oeste.
Las capturas se realizaron entre 58 y 684 m, preferentemente entre 50 y 200 m, no encontrándose nunca en el estrato más superficial.
En la figura 4 se puede ver como la distribución geográfica de T. eblanae durante la Campaña “Guinea 90” fué bastante amplia, con zonas de más abundancia en Costa de Marfil, Ghana y Liberia.
5. Illex coindetii
Es otra especie nerítica de Ommastrephidae, que se asocia al fondo durante el día. Su rango de distribución batimétrica es más amplio que el de T. elbanae, encontrándose en profundidades comprendidas entre unos pocos metros y 1000 m. Las máximas capturas se obtienen entre 90 y 250 m (Fisher & oth., 1981).
A lo largo de la campaña “Guinea 90” se pescaron solamente 61 kg de este cefalópodo, si bien fué la especie que apareció con mayor frecuencia (28% de arrastres válidos) después de S. bertheloti.
Las capturas más altas se realizaron entre 50 y 200 m, aunque su rango de distribución fué más general, entre 35 y 692 m. Por país las capturas y las frecuencias más altas fueron las de Costa de Marfil y Liberia (Tabla VI).
El área en donde su abundancia parece mayor, tal y como puede observarse en la figura 5, fué la comprendida entre Sassandra y la frontera ghaneana. En esta misma figura se observa como las capturas fueron nulas en Ghana y estuvieron reducidas a áreas puntuales en Liberia.
6. Otras especies
Del resto de las especies de cefalópodos capturados, habría que destacar las siguientes:
Sepiella ornata.
La captura de esta especie fué de 28 kg, correspondiendo casi toda ella a Costa de Marfil (Tabla VII), país en el que su frecuencia fué tambien más elevada. No se encontró más que en un arrastre por debajo de los 100 m de profundidad, estando limitada su captura a profundidades comprendidas entre 29 y 69 m, y tal y como puede observarse en la figura 6, a pequeñas áreas muy localizadas.
Sepia elegans.
Este Sepiidae, del que sólo se recogieron 9 kg en la campaña, apareció no obstante, en el 17% de los arrastres y siempre a profundidades superiores a los 115 m. La cantidad mayor se obtuvo en Liberia (Tabla VIII). En la figura 7 se presenta su distribución geográfica.
Alloteuthis africana.
Los ejemplares recogidos fueron siempre juveniles, con un peso medio que en ningún caso superó los 20 gramos (1.6 – 20.0 gr). La captura fué sólo de 2.1 kg en toda la campaña, con una frecuencia del 11.6% sobre el total de arrastres válidos. Fué más frecuente en Costa de Marfil (24% de los arrastres). Apareció casi exclusivamente entre 20 y 50 m (Tabla IX), en la zona este de Sierra Leona, en Costa de Marfil y en Ghana (Figura 8).
BIBLIOGRAFIA
FISCHER, W., G. BIANCHI & W.B. SCOTT (Eds.) (1981) FAO species identification sheets for fishery purposes. Eastern Central Atlantic Fishing Areas 34, 47 (in part). Vol. I-VI. FAO, Otawa.
RAMOS, A., I. SOBRINO, L. FERNANDEZ Y J.F. GONZALEZ (1990) Informe de la Campaña “Guinea 90”. Inst. Esp. Oceanog., Doc. Int. 403 p.
RIJAVEC, L. (1980) A survey of the demersal fish resources of Ghana. CECAF/TECH/80/45.
| N | % | |||||||
|---|---|---|---|---|---|---|---|---|
| S.L.W | S.L.E | Liberia | C.Marfil | Ghana | Total | lances | lances | |
| A.africana | - | 0.4 | 0.1 | 1.2 | 0.4 | 2.1 | 14 | 11.7 |
| Eledone sp. | 1.4 | 0.7 | 1.9 | 11.6 | - | 15.6 | 6 | 5.0 |
| Octopus sp. | - | - | 0.2 | - | - | 0.2 | 1 | 0.8 |
| O. vulgaris | 11.7 | 9.7 | 5.6 | 100.7 | 4.0 | 131.7 | 24 | 20.0 |
| I. coindetil | 3.1 | 0.5 | 15.8 | 39.4 | 2.4 | 61.2 | 34 | 28.3 |
| T. eblanae | 1.1 | 4.7 | 17.7 | 43.8 | 18.1 | 85.4 | 31 | 25.8 |
| S. bertheloti | 10.9 | 18.5 | 44.6 | 36.9 | 27.8 | 138.7 | 42 | 35.0 |
| S. elegans | 1.1 | 0.2 | 2.8 | 1.0 | 4.0 | 9.1 | 20 | 16.7 |
| S. officinalis | 31.8 | - | 2.3 | 115.8 | 309.2 | 459.1 | 32 | 26.7 |
| Sepia sp. | 19.6 | 2.6 | 21.5 | 67.6 | 0.3 | 111.4 | 22 | 18.3 |
| S. ornata | 2.7 | 0.3 | 0.2 | 24.5 | 0.3 | 28.0 | 13 | 10.8 |
| R. macrosoma | 0.1 | 0.1 | - | 0.4 | - | 0.6 | 3 | 2.5 |
| TOTAL | 83.5 | 37.7 | 100.9 | 443.0 | 366.5 | 1043.1 | ||
| 142.0* | 730.6* |
Tabla I. Cefalópodos. Capturas (kg) y número de lances por especie y sector. Campaña “Guinea 90”
| 20–50 m | 50–100 m | TOTAL | |
|---|---|---|---|
| Ghana | 94.6 (9) | 214.6 (11) | 309.2 (20) |
| C. Marfil | 89.6 (6) | 26.1 (2) | 115.8 (8) |
| 28.7* | 8.4* | 37.1* | |
| Liberia | 2.3 (1) | - | 2.3 (1) |
| S. Leona W. | 6.6 (2) | 25.2 (1) | 31.8 (3) |
| TOTAL | 193.1 (18) | 265.9 (14) | 459.1 (32) |
| 132.2* | 248.2* | 380.4* |
Tabla II. Sepia officinalis hierredda. Capturas (kg) y número de lances por estrato de profundidad y sector. Campaña “Guinea 90”
| 20–50 m | 50–100 | 100–200 | TOTAL | |
|---|---|---|---|---|
| Ghana | 2.6 (4) | 17.8 (10) | 7.4 (1) | 27.8 (15) |
| C. Marfil | 20.0 (2) | 16.9 (4) | - | 36.9 (6) |
| 6.4* | 5.4* | - | 11.8* | |
| Liberia | 13.9 (4) | 25.5 (6) | 5.2 (1) | 44.6 (11) |
| S. Leona E. | 1.1 (2) | 17.4 (3) | - | 18.5 (5) |
| S. Leona W. | 2.9 (1) | 5.9 (3) | 2.1 (1) | 10.9 (5) |
| TOTAL | 40.5 (13) | 83.5 (26) | 14.7 (3) | 138.7 (42) |
| 26.9* | 72.0* | 113.6* |
Tabla III. Sepia bertheloti. Capturas (kg) y número de lances por estrato de profundidad y sector. Campaña “Guinea 90”
| 0–50 m | 50–100 | 100–200 | TOTAL | |
|---|---|---|---|---|
| Ghana | 2.0 (1) | 2.0 (1) | - | 4.0 (2) |
| C. Marfil | 58.4 (6) | 40.6 (3) | 1.7 (1) | 100.7 (10) |
| 18.7* | 13.0* | 0.5* | 32.3* | |
| Liberia | 0.5 (1) | 3.8 (2) | 1.3 (1) | 5.6 (4) |
| S. Leona W. | 3.9 (2) | 7.8 (2) | - | 11.7 (4) |
| S. Leona E. | - | 7.4 (3) | 2.3 (1) | 9.7 (4) |
| TOTAL | 64.8(10) | 61.6(11) | 5.3(3) | 131.7(24) |
| 25.1* | 34.0* | 4.1* | 63.3* |
Tabla IV. Octopus vulgaris. Capturas (kg) y número de lances por estrato de profundidad y sector. Campaña “Guinea 90”
| 50–100 | 100–200 | 200–400 | 400–700 | TOTAL | |
|---|---|---|---|---|---|
| Ghana | - | 18.1(6) | - | - | 18.1(6) |
| C. Marfil | 21.8(3) | 22.0(5) | - | - | 43.8(8) |
| 7.0* | 7.0* | - | - | 14.0* | |
| Liberia | 0.9(1) | - | 11.8(4) | 5.0(3) | 17.7(8) |
| S. Leona E. | 0.4(1) | 0.8(2) | 2.9(2) | 1.1(1) | 4.7(6) |
| S. Leona W. | - | - | 1.0(2) | 0.1(1) | 1.1(3) |
| TOTAL | 23.1(5) | 40.9(13) | 15.2(8) | 6.2(5) | 85.4(31) |
| 8.3* | 25.9* | 55.6* |
Tabla V. Todaropsis eblanae. Capturas (kg) y número de lances por estrato de profundidad y sector. Campaña “Guinea 90”
| 20–50 | 50–100 | 100–200 | 200–400 | 400–700 | TOTAL | |
|---|---|---|---|---|---|---|
| Ghana | - | - | 2.4(3) | - | - | 2.4(3) |
| C. Marfil | 0.8(1) | 18.7(5) | 19.9(6) | - | - | 39.4(12) |
| 0.3* | 6.0* | 6.4* | - | - | 12.7* | |
| Liberia | - | 1.8(1) | - | 9.8(6) | 4.2(3) | 15.8(10) |
| S. Leona E. | - | 0.2(2) | 0.1(1) | 0.2(1) | - | 0.5(4) |
| S. Leona W. | - | - | - | 2.9(3) | 0.2(2) | 3.1(5) |
| TOTAL | 0.8(1) | 20.7(8) | 22.4(10) | 12.9(10.9) | 4.4(5) | 61.2(34) |
| 0.3* | 9.0* | 8.9* | 34.5 |
Tabla VI. Illex coindettii. Capturas (kg) y número de lances por estrato de profundidad y sector. Campaña “Guinea 90”
| 20–50 | 50–100 | TOTAL | |
|---|---|---|---|
| S. Leona W. | 2.7(2) | - | 2.7(2) |
| S. Leona E. | 0.3(1) | - | 0.3(1) |
| Liberia | 0.2(2) | - | 0.2(2) |
| C. Marfil | 19.2(3) | 5.3(2) | 24.5(5) |
| Ghana | 0.1(1) | 0.2(1) | 0.3(2) |
| TOTAL | 22.5(9) | 5.5(3) | 28.0(12) |
Tabla VII. Sepiella ornata. Capturas (kg) y número de lances por estrato de profundidad y sector. Campaña “Guinea 90”
| >100 | ||||
|---|---|---|---|---|
| 100–200 | 200–400 | 400–700 | TOTAL | |
| Ghana | 4.0(4) | - | - | 4.0(4) |
| C. Marfil | 1.0(4) | - | - | 1.0(4) |
| Liberia | 0.1(2) | 2.4(6) | 0.3(1) | 2.8(7) |
| S. Leona E. | **(1) | 0.2(1) | - | 0.2(2) |
| S. Leona W. | - | 1.1(1) | - | 1.1(1) |
| TOTAL | 5.1(11) | 3.7(8) | 0.3(1) | 9.1(20) |
Tabla VIII. Sepia elegans. Capturas (kg) y número de lances por estrato de profundidad y sector. Campaña “Guinea 90”
| 20–50 | 50–100 | TOTAL | |
|---|---|---|---|
| Ghana | 0.4(4) | - | 0.4(4) |
| C. Marfil | 1.0(5) | 0.2(1) | 1.2(6) |
| Liberia | 0.1(2) | - | 0.1(2) |
| S. Leona E. | 0.4(1) | **(1) | 0.4(2) |
| TOTAL | 1.9(12) | 0.2(2) | 2.1(14) |
Tabla IX. Alloteuthis africana. Capturas (kg) y número de lances por estrato de profundidad y sector. Campaña “Guinea 90”
| Especie | Profund (m) |
|---|---|
| S. officinalis | 22–96 |
| S. bertheloti | 23–157 |
| O. vulgaris | 24–211 |
| T. eblanae | 58–684 |
| I. coindetii | 35–692 |
| S. ornata | 320–69 |
| S. elegans | 115–728 |
| A. africane | 27–63 |
Tabla X. Cefalópodos. Rango de profundidad de las pescas. Campaña “Guinea 90”

Figura 1

Figura 2

Figura 3

Figura 4

Figura 5

Figura 6

Figura 7

Figura 8
Resultados obtenidos para la gamba (Parapenaeus longirostris, Lucas 1846) en la campaña “Guinea 90”
por
I. Sobrino y L. Fernández
Centro Oceanográfico de Fuengirola. Apdo. 285. 29640 Fuengirola (Málaga)
RESUMEN
Durante el mes de Abril de 1990 se efectuó a bordo del B/C Lagoapesca una campaña de prospección pesquera en el Golfo de Guinea. La zona de trabajo comprendió la plataforma y talud de Sierra Leona, Liberia, Costa de Marfil y Ghana, trabajándose entre las isóbatas de 20 a 800 m de profundidad.
En el presente trabajo analizamos los resultados obtenidos tanto de las capturas como de los datos de tallas y biológicos, correspondientes a la gamba blanca (Parapenaeus longirostris, Lucas 1846).
Se presentan las relaciones talla-peso, long total - longitud cefalotorax, talla de primera madurez, sex-ratio y distribución de tallas por sexo para los diferentes sectores y estratos de profundidad.
ABSTRACT
During the month of Abril, 1990, a fishing survey on board the F/V Lagoapesca was carried out in the Gulf of Guinea. The sampled area corresponds to shelf and slope waters off the coasts of Sierra Leona, Liberia, Ivory Coast and Ghana, from depths of 20 to 800 mts.
The present document analyzes the results in relation to the catches, size distribution data and biological information of Deepwater roseshrimp P. longirostris.
The relationships between length-weight, total length to cephalothoracic length are presented, as well as, size at first maturity, sex ratio and size distribution by sex for the different sectors and depth strata sampled.
1. Introducción
La gamba blanca (P. longirostris), cuya área de distribución se encuentra comprendida tanto en el Mediterráneo como en el Atlántico Centro Oriental desde Portugal hasta Angola constituye un recurso importante en numerosos caladeros (Mediterráneo, Marruecos, Mauritania, Senegal, Angola). Su rango batimétrico es de escasos metros (10 a 15) hasta profundidades de 600 m, situándose su máxima abundancia entre los 200 y 300 metros (FAO, 1986).
No existen series de capturas para la zona en estudio, considerándose como un posible recurso (Sseutongo 1986, 1987) siendo la bibliografía para la especie en la zona bastante escasa.
2. Material y Métodos
2.1. Capturas
A lo largo de toda la prospección, se realizó el triado del total de la captura en lo referente a esta especie.
La gamba fue capturada en un total de 26 lances de los 120 lances válidos realizados; oscilando las capturas desde un máximo de 1950 gr hasta sólo 10 gr.
Atendiendonos al plan de campaña Guinea-90 (Ramos et al., 1990) y en función de las capturas realizadas; distinguimos dos sectores cada uno con diferentes estratos batimétricos:
Sector A Costa Marfil - Ghana
Sector B Liberia - Sierra Leona E
En el sector A sólo se pescó en el estrato de más de 100 m. Sin embargo en el sector B se capturó en los 4 estratos comprendidos entre 20 y 400 m.
2.2 Datos biológicos
Una vez los ejemplares a bordo y triados se anotaban los siguientes parámetros:
- Longitud cefalotorax (0.1 mm)
- Longitud total (mm)
- Peso (0.5 gr)
- Sexo
- Madurez sexual (hembras)
Para la madurez sexual se ha empleado una escala de tres grados (Sobrino y Cervantes, 1990) en función del grado de desarrollo (tamaño y coloración) de los lóbulos posteriores de las gónadas. Dicha escala es:
I Inmaduro-Reposo
II Desarrollo
III Puesta
Mediante el tratamiento de esta información se ha procedido a establecer las siguientes ecuaciones:
2.2.1. Ecuación talla-peso
A partir de los pares de valores del peso (gr) y la longitud del cefalotorax (mm) se han ajustado a una expresión de tipo exponencial:
Peso = A * L. CefB
2.2.2. Ecuación Longitud total - Longitud del Cefalotorax
Dichos pares de valores se han ajustado a la siguiente recta:
L. total = A + B * L. cef
2.2.3. Sex-Ratio
Se calculó en primer lugar el porcentaje total de machos y hembras por sector y estrato. Posteriormente se obtuvieron los porcentajes de machos y hembras por intérvalo de talla de 1 mm de L. cef para cada uno de los siguientes estratos.
| Sector | Estrato |
| A | 100–400 |
| B | 20–50 |
| B | 50–200 |
| B | 200–400 |
Los estratos 50–100 y 100–200 se unieron dada su similitud.
2.2.4. Talla de primera madurez
Se han calculado los porcentajes de inmaduro-reposo frente a los en desarrollo-puesta, ajustando la probabilidad de ser madruro a una logística:

El ajuste se realiza por regresión lineal mediante la transformación:

También se realiza el ajuste teniendo en cuenta el número de ejemplares, mediante factores ponderales w1 (Paloheimo y Cadima, 1984):
w1 = n * p * (1 - p)
De dicha logística definimos la talla de primera madurez como el valor del 50% de maduros.
Así mismo se realiza un seguimiento de los porcentajes de los diferentes grados de madurez en función de la profundidad.
2.3.5. Distribuciones de tallas
Se han obtenido las distribuciones de tallas de machos y hembras para cada sector y estrato de profundidad. También se ha realizado un seguimiento de las tallas medias en función de la profundidad.
3. RESULTADOS Y DISCUSION
3.1. Capturas y Rendimientos
Capturas
De los 26 lances en los que se pescaron gambas, 7 fueron en el sector A siempre por fuera de los 100 m. Los restantes están realizados en el sector B principalmente en la zona de Liberia y Sierra Leona este. En la tabla I puede verse la relación de lances por sector y estrato.
Cabe resaltar las casi nulas capturas por debajo de los 100 m en el sector A, cosa que no ocurre en el sector B.
Del total de la captura (6018 gr), 3820 gr corresponden a dos lances, lo que nos da una idea de los bajísimos valores.
Rendimientos
En la tabla II exponemos los rendimientos en gr/1/2 h.a. por 0.5 hora de arrastre en función del país y estrato de profundidad (Ramos et al., 1990). Hay que tener en cuenta que en Costa de Marfil se usó un arte diferente; más marisquero. Parece existir una disminución en los extremos de la zona prospectada (Ghana, Sierra Leona W) con mayores concentraciones en Liberia y Costa de Marfil.
En la tabla III se exponen los rendimientos también en gr/0.5 hora de arrastre obtenidos en diferentes campañas de prospección en Senegal, Gambia, Gabón y Angola.
Aunque dichas campañas fueron realizadas por diferentes barcos, artes, épocas… queda claro por su comparación la poca importancia que desde el punto de vista pesquero, presenta esta especie en el área estudiada.
3.2. Datos Biológicos
3.2.1. Ecuación Talla-Peso
En la Tabla IV se presentan los resultados del ajuste a la ecuación para machos y hembras por separado.
En la figura 1 representamos dichas ecuaciones, observándose la similitud entre ambas curvas. Esto, en principio nos da idea de no encontrarnos en un pico de puesta, aunque sin duda tampoco éste es un dato muy resolutivo.
3.2.2. Ecuación Longitud Total — Longitud del cefalotorax
En la tabla V figuran los parámetros resultantes de dicho ajuste para machos, hembras y total.
En la figura 2 se representa dicha ecuación para el total de machos y hembras.
3.2.3. Sex-Ratio
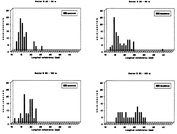
En la figura 3 representamos los porcentajes de machos y hembras por estrato de profundidad en el sector B. Podemos observar una mayoría de hembras en el estrato costero así como en el profundo. En los dos estratos intermedios existe una gran similitud en sus porcentajes, por lo que son considerados a nivel de sex ratio como un sólo estrato de (50–200 m).
En la figura 4 dibujamos las sex-ratio por intervalo de tallas para los estratos 20–50, 50–200 y 200–400 m del sector B. Podemos observar en el estrato costero una mayor dominancia de hembras casi a lo largo de todo el rango de tallas, desapareciendo los machos a partir de los 25 mm. Para la profundidad de 50–200 no se puede hablar de dominancia para ningún sexo en función de la talla, si bien no se encuentran machos mayores de 24 mm.
En el estrato profundo del sector B podemos distinguir una primera zona de alternancia, debido a los pocos ejemplares muestreados. A partir de los 21 mm encontramos una dominancia de machos, invirtiéndose esos valores a los 25 mm, siendo entonces las hembras dominantes.
Analizando la gráfica del sector A (Fig. 5) se ven unos resultados similares al del estrato profundo siendo el valor de 26 mm el punto de cruce.
3.2.4. Madurez
En la tabla VI y la figura 6 se puede seguir la evolución de individuos en los porcentajes de los diferentes grados de madurez para cada uno de los estratos de profundidad. Se observa una gran diferencia entre el estrato 200–400 m, donde existe un mayor porcentaje de ejemplares en grado II y el resto.
En la figura 7 se representan los histogramas de tallas para los diferentes grados de madurez.
Para el grado I, tiene una moda de 14 mm, en 29 mm para el II y entre 26–29 para el grado III. Resulta interesante ver como en el rango de talla de 20 a 25 mm los porcentajes el grado III son superiores a los del grado II, indicando quizás una maduración anterior en el tiempo, de los ejemplares más pequeños, para seguirle posteriormente los de 26–34, no obstante son pocos datos para sacar dicha conclusión. Hay que tener en cuenta que dichas tallas (20–25) son las que menos se han capturado, dentro del rango de 15 a 32 mm (Ramos, 1990).
Por todo lo anterior podemos decir que nos encontramos en una época próxima a un pico de puesta. Hay que tener en cuenta que dicha especie en otros caladeros presenta una puesta contínua en el tiempo con determinados picos máximos (Sobrino y Cervantes, 1990).
Realizando un ajuste a la logística del grado I frente al grado II y III, obtenemos una talla de primera madurez de 25.5 mm. En la tabla VII figura 8 se representan los resultados de dicho ajuste.
3.2.5. Distribuciones de tallas
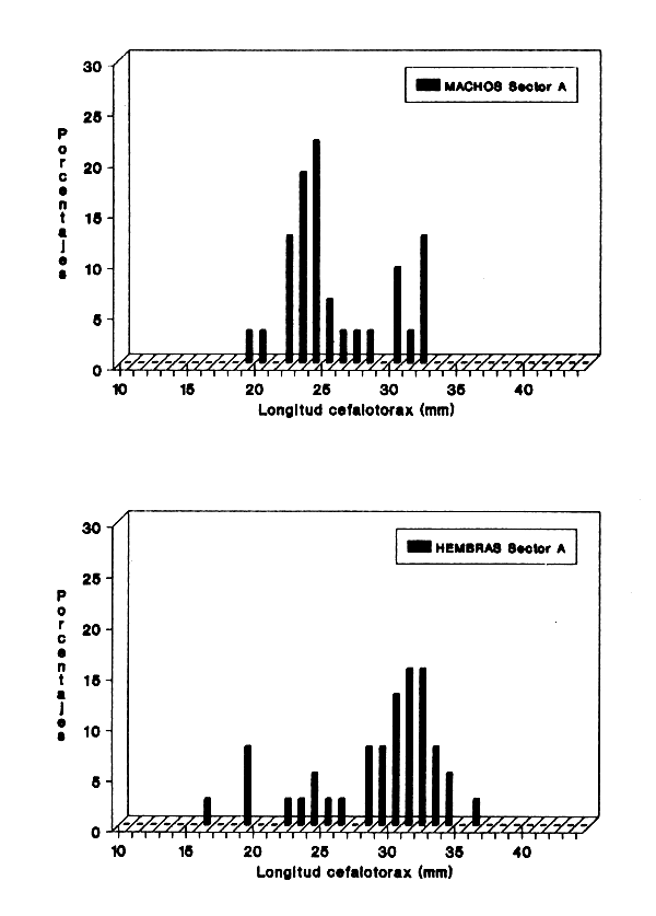
En las figuras 9–11 se presentan los histogramas de frecuencia en función de la longitud del cefalotorax para ambos sectores, por sexo.
Si representamos las medias de dichas distribuciones en función de la profundidad (Fig. 12) observamos un aumento de talla, si bien dicho aumento no es muy significativo desde los 20 a los 200 metros. Este aumento de talla en función de la profundidad es similar al observado en otras campañas en Senegal y Angola.
En la tabla VIII se presenta el rango de talla de los ejemplares capturados en esta campaña, con los de otras zonas. Puede verse que en ninguna aparecen individuos de 40 mm (19.5 cm Lt) sintoma sin duda del estado virgen en que se encuentra el stock en la zona estudiada.
Resulta tambien interesante la presencia de individuos muy grandes en estratos poco profundos. Así tenemos individuos con talla de 39 mm en el estrato 20–50 m, o de 33 mm en el estrato 100–200.
4. Agradecimientos
Queremcs expresar nuestro agradecimiento a todo el personal participante en la campaña “Guinea - 90”, así como a Antonio Cervantes por su participación en todos los preparativos.
5. BIBLIOGRAFIA
Atlantniro, 1981. Report on the results of investigations of biological resources in the economic zone of the Republic of Liberia in January - February 1981.
Caverivière, A. et G.A. Rabarison Andriamirado, 1988. Captures secundaires et rejets de la pêche crevettière à Penaeus notialis du Sénégal. Centre Rech. Oceanogr. Dakar - Thiaroye, Doc. scient. No. 111: 113 p.
Chaytor, D.E.B. and W. Okera, 1977. Survey of the shrimp stocks of the Sierra Leone inshore shelf a summary report outlining objectives, observations and recommendations on the status of the Sierra Leone Shrimp fishery. Bull. Inst. Mar. Bio & Ocean of Univer. of Sierra Leone 1977: 10–14.
Delgado A. y J.C. Santana, 1985. Estudios de los recursos demersales de la plataforma continental de la República de Gabón. Inf. Tec. Inst. Esp. Oceanogr. No. 31, 1985.
Fischer, W., G. Bianchi and W.B. Scott, 1981. FAO species identification sheets for fishery purposes. Eastern Central Atlantic; fishing area 34, 47 (in part). Canada Fund-in-Trust. Ottawa. Department of fisheries and Ocean Canada by arrangement with the FAO VOL.VI.
Lopez Abellan, L.J. & E. de Cardenas, 1990. Resultado de la campaña de prospección pesquera de los stocks de crustáceos en aguas de la República de Angola “Angola 8903” Doc. Int. del Inst. Esp. Oceanogr.
Paloheimo, J.E. and E. Cadima, 1964. Excerpts from “On statistics of mesh selection”. ICNAF. Ann. Meet. June 1964. Doc. 98.
Pope, J.A. et al., 1983. Manual de Métodos para la evaluación de las poblaciones de peces. Parte 3. Selectividad del arte de pesca. FAO Doc. Tec. Pesca, (41) Rev. 1.
Ramos, A. et al., 1990. Informe de la campaña de prospección pesquera “Guinea - 90” (En prensa).
Sobrino, I. & A. Cervantes, 1990. Contribución al conocimiento de los parámetros biológicos de la gamba blanca (Parapenaeus longirostris Lucas, 1846) de la división 34.1.1. de COPACE. Rapp del Working Group of Hake and Shrimp de CECAF. January, 1990 (En prensa).
Ssentongo, G.W.; M. Ansa - Emmin, 1986. Marine fishery resources of Sierra Leone: A review of exploited fish stocks. CECAF/ECAF SERIES 86/34, 76 p.
Ssentongo, G.W., 1987. Marine fisheries resources of Liberia: A review of exploited fish stocks. CECAF / ECAF SERIES 87/45. 79 p.
Troadec, J. et S. Garcia, 1979. Les ressources halieutiques de l'Atlantique centre-est première partie: Les ressources du Golfe de Guinée de l'Angola à la Mauritanie. FAO Doc. Tecn. Pêche 186.1: 167 p.
| Estratos | Sectores (lances) | Sectores (captura gr.) | ||
|---|---|---|---|---|
| A | B | A | B | |
| 20–50 | 3 | 310 | ||
| 50–100 | 1 | 5 | 6 | 320 |
| + 100 | 7 | 3075 | ||
| 100–200 | 3 | 380 | ||
| 200–400 | 7 | 2927 | ||
| Total | 8 | 18 | 3081 | 3937 |
Tabla I Relación de lances y capturas por sectores y estratos.
| Ghana | Costa de Marfil | Liberia | Sierra Leona E. | Sierra Leona W. | |
|---|---|---|---|---|---|
| 20–50 | 44 | 20 | |||
| 50–100 | 29 | 23 | 5 | ||
| + 100 | 34 | 456 | |||
| 100–200 | 26 | 50 | |||
| 200–400 | 350 | 11 |
Tabla II Rendimiento gr/0.5 h. arrastre obtenido en la campaña Guinea-90
| 0–50 | 50–100 | 100–200 | 150–200 | 200–300 | 300–400 | 400–500 | |
|---|---|---|---|---|---|---|---|
| Senegal 8210 | 5850 | 3350 | 1900 | ||||
| Senegal 8304 | 11650 | 30900 | 7950 | 150 | |||
| Senegal 8306 | 27850 | 32950 | 14250 | 1150 | |||
| Senegal 8402 | 3400 | 17250 | 1450 | 20 | |||
| Gambia 8611 | 2615 | ||||||
| Gabón 8402 | 480 | 35 | |||||
| Angola 8903 N | 762 | 7840 | 20280 | 2109 | |||
| Angola 8903 S | 76730 | 33580 | 11957 | ||||
| Angola 8911 N | 1479 | 17698 | 12615 | 15300 | |||
| Angola 8911 S | 11260 | 66944 | 39187 | 33413 |
Tabla III Rendimiento en gr. por 0.5 h. arrastre obtenidos en distintas campañas de prospección para diferentes estratos de profundidad.
| a | b | r | n | |
|---|---|---|---|---|
| Machos | 0.0014 | 2.704 | 0.98 | 101 |
| Hembras | 0.0014 | 2.708 | 0.99 | 132 |
Tabla IV Ajuste a la ecuación Peso-Longitud cefalotorax.
| a | b | r | n | |
|---|---|---|---|---|
| Machos | 7.613 | 4.64 | 0.99 | 42 |
| Hembras | 15.050 | 4.28 | 0.98 | 47 |
| Total | 12.428 | 4.39 | 0.98 | 89 |
Tabla V Ajuste a la ecuación Longitud total-Longitud cefalotorax.
| I | II | III | |
|---|---|---|---|
| 20 – 50 | 75–68 | 8.11 | 16.22 |
| 50 –100 | 76.0 | 12.0 | 12.0 |
| 100 –200 | 90.91 | 9.09 | -- |
| 200 –400 | 35.55 | 45.56 | 18.89 |
Tabla VI Evolución de los porcentajes de grado de madurez por estratos de profundidad.
| a | b | r | L25 | L50 | L75 | |
|---|---|---|---|---|---|---|
| Lineal | -5.46 | 0.21 | 0.85 | 20.4 | 25.5 | 30.6 |
| Paloheimo | -5.04 | 0.20 | 0.81 | 19.3 | 24.7 | 30.1 |
Tabla VII Ajuste a la logística
| Talla | Talla | |
|---|---|---|
| mínima. | máxima. | |
| Angola | 5.0 | 32.5 |
| Gabón | 15.8 | 28.0 |
| Senegal | 10.8 | 33.6 |
| Marruecos (Lc) | 12.0 | 36.0 |
| Guinea 90 (Lc) | 10.0 | 40.0 |
Tabla VIII Intervalos de tallas (Long. cefalotoracica en mm) en diferentes Campañas o caladeros.

Fig. 1.- Ecuación Talla-Peso de P. longirostris para machos y hembras.

Fig. 2.- Ecuación Longitud total - Longitud cefalotorax de P. longirostris.

Fig. 3.- Porcentajes de machos y hembras de P. longirostris en cada estrato de profundidad (Sector B).

Fig. 4.- Sex-ratio de P. longirostris por intervalo de 1 mm de longitud de cefalotorax, en el Sector B. Estratos de 20 – 50 m, 50 – 200 m y 200 – 400 m.

Fig. 5.- Sex-ratio de P. longirostris por intervalo de 1 mm de longitud de cefalotorax, en el Sector A.

Fig. 6.- Porcentajes de los grados de madurez de las hembras de P. longirostris por estratos de profundidad (m).

Fig. 7.- Histogramas de tallas de las hembras P. longirostris para los distintos grados de madurez (I, II y III).

Fig. 8.- Ajuste a la logistica de la curva de maduración de las hembras de P. longirostris. Se consideran inmaduros los ejemplares de grado I.

Fig. 9.- Distribuciones de tallas de machos y hembras de P. longirostris en el Sector A. (Profundidad > 100 m)

Fig. 10.- Distribuciones de tallas de machos y hembras de P. longirostris en el Sector B. Estratos de 20–25 m y de 50–100 m.

Fig. 11.- Distributiones de tallas de machos y hembras de P. longirostris en el Sector B. Estratos de 100–200 m y de 200–400 m.

Fig. 11.- Distributiones de tallas de machos y hembras de P. longirostris en el Sector B. Estratos de 100–200 m y de 200–400 m.
Análisis de los resultados obtenidos para la gamba guineana (Parapenaeopsis atlantica Balss, 1914) en las pescas efectuadas durante la campaña “Guinea 90”
por
I. Sobrino Yraola*
J. F. González Jiménez**
* Centro Oceanográfico de Fuengirola. Apdo. 285. 29640 Fuengirola. Málaga.
** Centro Oceanográfico de Canarias. Carretera de San Andrés, s/n. 38120 Santa Cruz de Tenerife.
RESUMEN
Durante el mes de Abril de 1990 se efectuó a bordo del B/C Lagoapesca una campaña de prospección pesquera en el Golfo de Guinea, trabajando la plataforma y talud de Sierra Leona, Liberia, Costa de Marfil y Ghana, entre las isóbatas de los 20 a 800 m de profundidad.
Para las estaciones donde se capturó dicha especie se realizaron muestreos tanto de talla como biológicos.
En el presente trabajo se analizan dichos datos obteniéndose las relaciones talla-peso, longitud total - longitud del cefalotorax, así como la talla de primera madurez y época de puesta.
ABSTRACT
During the month of April 1990 a fishing survey on board the F/V Lagoapesca was carried out in the Gulf of Guinea. The sampled area corresponds to shelf and slope water off the coasts of Sierra Leona, Liberia, Ivory Coast and Ghana, from depths of 20 to 700 mts.
Trawls at which this species was captured, we measured size and a biological sampling.
The document analyzes this information and presents the results on relationships between length-weight, total length to cephalothoracic length, as well as, size at first maturity and spawning season.
1. INTRODUCCION
La gamba guineana (Guinea shrimp), Parapenaeopsis atlantica, Balss 1914, es un crustáceo decápodo de la familia de los Penaeidae, cuya área de distribución se encuentra comprendida entre Senegal y Angola en un rango batimétrico de 10 a 40 metros de profundidad. Su rango de talla varía según el sexo, siendo la talla máxima para los machos de 12 cm y de 17 cm de longitud total para las hembras (FAO, 1981).
No existen datos de capturas, al no ser especie objetivo de ninguna flota, formando parte de los descartes o de las capturas secundarias de las flotas marisqueras que se dedican al langostino (Penaeus spp.). Se han estimado las capturas globales en torno a las 2000 Tm para 1977, aunque existe una clara tendencia a incrementar su explotación (FAO, 1981).
2. MATERIAL Y METODOS
2.1. Capturas
Debido al rango tan estrecho de profundidad, así como a su inactividad en las horas de luz, solamente está presente en tres de los lances costeros (45, 51 y 91) (Fig. 1), siendo el total de la captura de 4045 gr con 1107 individuos.
2.2. Datos biológicos
Una vez que los ejemplares se encontraban a bordo se anotaban los siguientes parámetros:
- longitud de cefalotorax (0.1 mm)
- Longitud total (mm)
- Peso (gr)
- Sexo
- Madurez sexual (hembras)
Se ha empleado una escala de tres grados (Sobrino y Cervantes, 1990) en función del grado de desarrollo de los lóbulos posteriores de las gónadas.
I Inmaduro - Reposo
II Desarrollo
III Puesta
Mediante el tratamiento de esta información se ha procedido a establecer las siguientes ecuaciones:
2.2.1. Ecuación talla-peso
A partir de los pares de valores de longitud del cefalotorax y peso se ha ajustado una expresión del tipo exponencial.
Peso= A * L.cefB
2.2.2. Ecuación longitud total - longitud cefalotorax
Dichos pares de valores se han ajustado a la siguiente recta
L. total = A + B * L. cef.
2.2.3. Sex-Ratio
A partir de los ejemplares muestreados se ha calculado el porcentaje de machos y hembras por intervalo de 1 mm de longitud del cefalotorax.
2.2.4. Talla primera madurez
Se han calculado los porcentajes de inmaduro-reposo frente a los en desarrollo-puesta, ajustando dicha probabilidad de ser maduro a una logística:

El ajuste se realiza por regresión lineal mediante la transformación:

También se realiza el ajuste teniendo en cuenta el número de ejemplares, mediante factores ponderales W1 (Paloheimo y Cadima, 1964).
W1 = n * p * (1 - p)
De dicha logística definimos la talla de primera madurez como el valor del 50% de maduros.
3. RESULTADOS Y DISCUSION
3.1. Capturas
Cabe destacar que solamente aparece en el sector este de Sierra Leonay en Liberia en tres lances realizados en el estrato de 20 a 50. El rendimiento obtenido para media hora de arrastre es de 537 gr (Ramos et al., 1990). Este bajo rendimiento, si lo comparamos con los dados por Chaytor (1977) de 2 a 5 kgr por media hora, puede estar motivado por haber realizado la pesca de día, siendo una especie de hábitat nocturna así como el arte empleado en la prospección (Ramos 1990) no siendo éste el más idóneo.
Estas dos condiciones son sin duda las que motivan su no presencia en Liberia y Costa de Marfil donde tambien se capturan (Ssentongo 1986, 1987), incluso con grandes rendimientos (2 Tm diarias en Costa de Marfil, Troadec et García 1974).
3.2. Datos Biológicos
3.2.1. Ecuación Longitud Cefalotorax - Peso
En la Tabla I se recogen los valores de los parámetros de esta ecuación para machos y hembras por separado.
En la figura 2 se representan gráficamente ambas expresiones. En dicha gráfica puede observarse como a partir de la talla de 20 mm empieza a haber una diferencia entre el peso de un macho y una hembra. Dicha diferencia viene motivada por el factor de condición y nos indica encontrarnos en una época de puesta o bien cercana a ella. Siendo esa talla un valor aproximativo de la talla de primera madurez, normalmente algo superior.
3.2.2. Ecuación Longitud total - Longitud cefalotorax
En la Tabla II figuran los parámetros resultantes de dicho ajuste para machos, hembras y total, no teniendo que haber diferencias entre ambos sexos, por lo que es más significativa la total.
En la figura 3 se representa la ecuación longitud total - longitud cefalotorax para el total de machos y hembras.
3.2.3. Sex - Ratio
En la Table III se muestra la sex-ratio para el total de la captura por intervalo de 1 mm de longitud de cefalotorax.
En la figura 4 se hace la representación gráfica de dichos valores, pudiendo observarse cuatro zonas diferentes: una primera entre los 12 y 14 mm (6 y 7 cm
de L. total) con porcentajes próximos al 50%; otra entre 14 y 17 mm (7 y 8 cm de L. total donde existe un predominio de machos entorno al 70%. A partir de los 17 mm existe un decrecimiento hasta los 19 mm (9 cm L. total) donde desaparecen los machos y un último tramo, todo de hembra, hasta los 29 mm (13.5 cm de L. total).
3.2.4. Talla de primera madurez y época de puesta
En la tabla IV se exponen los valores obtenidos en los diferentes ajustes a la logística, obteniendo para ambos métodos una talla de primera madurez de 18 mm de cefalotorax, lo que corresponde con 8.5 cm de L. total.
Ahora bien si tenemos en cuenta el mayor porcentaje de ejemplares en grado II o de desarrollo (Fig. 5) podremos decir que dicha talla de primera madurez será algo superior (más cerca de 20mm) así como que la época de puesta se encuentra algo más adelantada en el tiempo (Final de Abril - principio de Mayo).
Hay que tener en cuenta que en Enero - Febrero se encuentra una época de reposo biológico (Atlantniro, 1981).
En la figura 6 se representa la teórica ecuación de madurez con los puntos reales utilizados.
3.2.5. Distribuciones de tallas de la captura
En la figura 7 se presentan los histogramas de las distribuciones de talla de la captura para machos y hembras por separado.
En los machos se observa una moda en los 15 mm (7.5 cm de L. total) mientras que en las hembras aparecen dos picos; uno en 17 mm y otro en 23 mm (8 y 9.3 cm de longitud total respectivamente).
Estos resultados difieren algo de los dados por Caveriviere para Senegal (1988) que habla para la estación cálida de 20 – 22 mm, siendo nuestros valores algo inferiores. No obstante la época de la prospección es intermedia entre las por él denominada estación fría y estación cálida. Asímismo Delgado (1985) obtiene en Gabón una distribución muy similar para los machos, siendo diferente para las hembras, donde alcanzan tallas superiores (34 mm)
4. AGRADECIMIENTOS
Queremos expresar nuestro agradecimiento al patrón de Pesca “Canducho” del buque Lagoapesca, así como a toda su tripulación y personal científico participante en la campaña Guinea - 90.
5. BIBLIOGRAFIA
Atlantniro, 1981. Report on the results of investigations of biological resources in the economic zone of the Republic of Liberia in January - February 1981.
Caverivière, A. et G.A. Rabarison Andriamirado, 1988. Captures secandaires et rejets de la pêche crevettière à Penaeus notialis du Sénégal. Centre Rech. Océanogr. Dakar - Thiaroye, Doc. scient. No. 111: 113 p.
Chaytor, D.E.B. and W. Okera, 1977. Survey of the shrimp stocks of the Sierra Leone inshore shelf, a summary report outlining objectives, observations and recommendations on the status of the Sierra Leone Shrimp fishery. Bull. Inst. Mar. Bio & Ocean of Univer. of Sierra Leone 1977: 10–14.
Delgado A. y J.C. Santana, 1985. Estudios de los recursos demersales de la plataforma continental de la República de Gabón. Inf. Tec. Inst. Esp. Oceanogr. No. 31, 1985.
Sseutongo, G.W. and M. Ansa-Emmin 1986. Marine fishery resources of Sierra Leone: A review of exploited fish stocks. CECAF/ECAF SERIE 86/34, 76 p.
Fischer, W., G. Bianchi and W.B. Scott, 1981. FAO species identification sheets for fishery purposes. Eastern Central Atlantic; fishing area 34, 47 (in part). Canada Fund-in-Trust. Ottawa. Department of fisheries and Ocean Canada by arrangement with the FAO VOLVI.
Lopez Abellan, L.J. & E. de Cardena, 1990. Resultado de la campaña de prospección pesquera de los stocks de crustáceos en aguas de la República de Angola “Angola 8903” Doc. Int. del Inst. Esp. Oceanogr.
Paloheimo, J.E. and E. Cadima, 1964. Excerpts from “On statistics of mesh selection”. ICNAF. Ann. Meet. June 1964. Doc. 98.
Pope, J.A. et al., 1983. Manual de Métodos para la evaluación de las poblaciones de peces. Parte 3. Selectividad del arte de pesca. FAO Doc. Tec. Pesca, (41) Rev. 1.
Ramos, A. et al., 1990. Informe de la campaña de prospección pesquera “Guinea - 90” (En prensa).
Sobrino, I. & A. Cervantes, 1990. Contribución al conocimiento de los parámetros biológicos de la gamba blanca (Parapenaeus longirostris Lucas, 1846) de la división 34.1.1. de COPACE. Rapp del Working Group of Hake and Shrimp de CECAF. January, 1990 (En prensa).
Ssentongo, G.W., 1987. Marine fisheries resources of Liberia: A review of exploited fish stocks. CECAF / ECAF SERIE S87/45. 79 p.
Troadec, J. et S. Garcia, 1979. Les ressources halieutiques de l'Atlantique centre-est première partie: Les ressources du golfe de Guinée de l' Angola à la Mauritanie. FAO Doc. Tecn. Peche 186.1: 167 p.
| A | B | R | N | |
|---|---|---|---|---|
| ♂ | 0.0030 | 2.42 | 0.92 | 47 |
| ♀ | 0.0018 | 2.60 | 0.96 | 54 |
Tabla I Ajuste a la ecuación talla—peso.
| A | B | R | N | |
|---|---|---|---|---|
| ♂ | 9.230 | 4.247 | 0.92 | 49 |
| ♀ | 11.359 | 4.023 | 0.95 | 55 |
| Total | 13.19 | 3.95 | 0.96 | 104 |
Tabla II Ajuste a la ecuación long. total-long. cefalotorax.
| Talla | ♂ | ♀ |
|---|---|---|
| 10 | -- | -- |
| 11 | 92.53 | 7.47 |
| 12 | 38.91 | 61.09 |
| 13 | 53.81 | 46.19 |
| 14 | 57.39 | 42.61 |
| 15 | 83.45 | 16.55 |
| 16 | 73.83 | 26.17 |
| 17 | 34.53 | 65.47 |
| 18 | 9.06 | 90.94 |
| 19 | 0.00 | 100.00 |
| 20 | 0.00 | 100.00 |
| 21 | 0.00 | 100.00 |
| 22 | 0.00 | 100.00 |
| 23 | 0.00 | 100.00 |
| 24 | 0.00 | 100.00 |
| 25 | 0.00 | 100.00 |
| 26 | 0.00 | 100.00 |
| 27 | 0.00 | 100.00 |
| 28 | 0.00 | 100.00 |
| 29 | 0.00 | 100.00 |
| 30 | 0.00 | 100.00 |
Tabla III Sex—ratio por intervalo de 1 mm. de long. cefalotorax obtenido para P. atlantica.
| L (25) | L (50) | L (75) | A | B | R | |
|---|---|---|---|---|---|---|
| Linealización | 14.95 | 18.12 | 21.30 | -6.27 | 0.35 | 0.95 |
| Método Paloheimo | 15.03 | 18.14 | 21.25 | -6.40 | 0.35 | 0.94 |
Tabla IV Ajuste a la logística.

Fig. 1.- Estaciones de captura de P. atlantica.

Fig. 2.- Ecuación Talla-Peso de P. atlantica para machos y hembras.

Fig. 3.- Ecuación Longitud total - Longitud cefalotorax de P. atlantica.

Fig. 4.- Sex-ratio de P. atlantica por intervalo de 1 mm de longitud de cefalotorax.

Fig. 5.- Porcetajes de los diferentes grados de madurez de las hembras de P. atlantica.

Fig. 6.- Ajuste a la logística de la curva de maduración de las hembras de P. atlantica. Se consideran inmaduros los ejemplares de grado I.

Fig. 7.- Histograma de tallas de la captura de P. atlantica para machos y hembras.
| Length | Power | |||||||||
|---|---|---|---|---|---|---|---|---|---|---|
| Type of fleet | mean | hp | 1980 | 1981 | 1982 | 1983 | 1984 | 1985 | 1986 | 1989 |
| (m) | ||||||||||
| A. ARTISANAL | ||||||||||
| (canoe with or without | ||||||||||
| outboard motor) | ||||||||||
| Ali/Poli/watsa | 13,5 | 25–40 | 3005 | 3359 | 3969 | 3684 | ||||
| Beach Seine | 11,0 | 25–40 | 761 | 833 | 797 | 852 | ||||
| Set net | 7,6 | 25–40 | 3532 | 1734 | 1852 | 1874 | ||||
| Line | 8,5 | 25–40 | 1174 | 661 | 1004 | 1114 | ||||
| Drifting gillnet | 10,0 | 25–40 | - | 351 | 450 | 366 | ||||
| One-man canoe | 4,8 | - | - | - | 142 | 162 | ||||
| TOTAL | 8472 | 6938 | 8214 | 8052 | ||||||
| B. INSHORE VESSELS | ||||||||||
| -9,9 | 90 | 115 | 120 | 123 | 126 | 132 | 114 | |||
| 10,0–18,3 | 120–300 | 90 | 85 | 90 | 94 | 97 | 98 | |||
| 18,4–30,5 | 250–650 | 33 | 27 | 30 | 25 | 23 | 27 | |||
| C. INDUSTRIAL BOATS | ||||||||||
| 30,6 | 800 | 10 | 14 | 12 | 12 | 10 | 17 | 24 | 26 |
Table 2: Evolution of trawl fleet in Côte d'Ivoire from 1950 to 1989 - CRO DATA
| Year | 1950 | 1951 | 1952 | 1953 | 1954 | 1955 | 1956 | 1957 | 1958 | 1959 | 1960 | 1961 | 1962 |
|---|---|---|---|---|---|---|---|---|---|---|---|---|---|
| Power | |||||||||||||
| (HP) | |||||||||||||
| < 300 | 2 | 3 | 5 | 8 | 12 | 14 | 14 | 14 | 16 | 22 | 21 | 28 | 28 |
| 300 to 600 | - | - | - | - | - | - | - | - | - | - | 1 | 1 | 1 |
| > 600 | - | - | - | - | - | - | - | - | - | - | - | - | - |
| Nb. TOTAL | 2 | 3 | 5 | 8 | 12 | 14 | 14 | 14 | 16 | 22 | 22 | 29 | 29 |
| Year | 1963 | 1964 | 1965 | 1966 | 1967 | 1968 | 1969 | 1970 | 1971 | 1972 | 1973 | 1974 | 1975 |
|---|---|---|---|---|---|---|---|---|---|---|---|---|---|
| Power | |||||||||||||
| (HP) | |||||||||||||
| < 300 | 24 | 24 | 25 | 26 | 24 | 20 | 21 | 13 | 8 | 9 | 11 | 6 | 4 |
| 300 to 600 | 5 | 5 | 5 | 12 | 10 | 10 | 12 | 9 | 6 | 7 | 8 | 7 | 6 |
| > 600 | - | - | 1 | 2 | 4 | 5 | 7 | 7 | 6 | 9 | 9 | 9 | 9 |
| Nb. TOTAL | 29 | 29 | 31 | 40 | 38 | 35 | 40 | 29 | 20 | 25 | 28 | 22 | 19 |
| Year | 1976 | 1977 | 1978 | 1979 | 1980 | 1981 | 1982 | 1983 | 1984 | 1985 | 1986 | 1987 | 1988 | 1989 |
|---|---|---|---|---|---|---|---|---|---|---|---|---|---|---|
| Power | ||||||||||||||
| (HP) | ||||||||||||||
| < 300 | 5 | 6 | 5 | 7 | 6 | 6 | 8 | 12 | 12 | 13 | 14 | 13 | 11 | 9 |
| 300 to 600 | 4 | 5 | 7 | 6 | 5 | 3 | 3 | 5 | 4 | 5 | 7 | 7 | 6 | 3 |
| > 600 | 10 | 10 | 11 | 11 | 8 | 2 | 3 | 5 | 2 | 2 | 2 | 2 | 2 | 1 |
| Nb. TOTAL | 19 | 21 | 23 | 24 | 19 | 11 | 14 | 22 | 18 | 20 | 23 | 22 | 19 | 13 |
| SPECIES | 1972 | 1973 | 1974 | 1975 | 1976 | 1977 | 1978 | 1979 | 1980 | 1981 | 1982 | 1983 | 1984 | 1985 | 1986 | 1987 | 1988 | 1989 |
|---|---|---|---|---|---|---|---|---|---|---|---|---|---|---|---|---|---|---|
| P. bellottii | 3333.6 | 2540.5 | 1145.0 | 5943.7 | 2515.7 | 5847.9 | 9074.9 | 9916.1 | 6473.9 | 10016.7 | 8194.7 | 3287.4 | 6287.5 | 3788.9 | 4622.6 | 7417.8 | 8164.5 | 7695.2 |
| Sparus caer/D. canariensis | 595.4 | 569.1 | 603.2 | 1253.3 | 586.0 | 652.8 | 1766.5 | 591.9 | 570.0 | 583.8 | 1168.6 | 1269.2 | ||||||
| Dentex gibbosus | 1322.9 | 1617.5 | 1931.2 | 1953.6 | 1774.2 | 431.7 | 947.0 | 1136.9 | 1373.0 | 1132.1 | 3204.2 | 1377.8 | ||||||
| D. angolensis | 25.7 | 254.6 | 51.7 | 111.9 | 153.2 | 70.8 | 43.0 | 705.7 | 492.8 | 559.6 | 421.0 | 58.0 | ||||||
| D. congoensis | 9.3 | 17.9 | 4.2 | 34.7 | 11.5 | 44.3 | 71.9 | 31.8 | ||||||||||
| Sparidae (unspecified) | ||||||||||||||||||
| Balistes capriscus | 34.8 | 31.6 | 122.5 | 60.0 | 730.3 | 2221.8 | 2777.7 | 2577.2 | 2154.5 | 112.4 | 2365.7 | 1504.1 | 2708.8 | 2275.9 | 10741.1 | 12602.2 | 550.8 | 564.5 |
| Serranidae | 75.2 | 32.2 | 27.5 | 26.6 | 47.6 | 2088.0 | 537.4 | 1062.3 | 1437.7 | 1212.4 | 1249.8 | 267.6 | 409.9 | 763.2 | 813.4 | 669.4 | 2004.5 | 1459.8 |
| Sepia spp. | 500.3 | 320.6 | 757.6 | 277.5 | 709.8 | 338.3 | 413.4 | 92.0 | 599.2 | 243.3 | 345.5 | 69.5 | 68.0 | 83.4 | 152.7 | 44.7 | 42.2 | 28.8 |
| Pseudupeneus prayersis | 133.2 | 237.2 | 198.0 | 37.4 | 1.2 | 934.4 | 627.2 | 385.6 | 345.7 | 506.5 | 48.4 | 274.6 | 208.0 | 718.1 | 236.2 | 167.6 | 51.4 | |
| Brachydeuterus auritus | 7502.0 | 8981.9 | 1425.1 | 11107.6 | 9644.5 | 8485.2 | 11593.8 | 13329.8 | 8057.4 | 4350.9 | 10693.6 | 8411.3 | 15898.9 | 12369.0 | 19234.1 | 13516.4 | 8434.2 | 7611.8 |
| Cynoglossidae & Pothidae | 774.4 | 502.3 | 1278.4 | 1732.6 | 36.4 | 460.0 | 182.9 | 370.6 | 111.3 | 55.0 | 341.3 | 319.2 | 287.8 | 101.7 | 249.4 | 256.6 | 161.0 | 123.8 |
| Pseudotolithus spp. | 3399.5 | 2305.3 | 1441.7 | 1596.9 | 863.6 | 1486.5 | 1166.9 | 2052.1 | 1351.4 | 788.9 | 1701.7 | 688.6 | 836.7 | 556.6 | 1217.9 | 1822.8 | 1881.1 | 979.2 |
| Polynemedae | 2467.1 | 1623.3 | 1205.8 | 407.3 | 219.7 | 3108.6 | 3255.8 | 4833.8 | 3042.6 | 1487.1 | 3938.8 | 1163.9 | 1439.1 | 1234.7 | 3538.4 | 2978.8 | 1696.3 | 1698.2 |
| Trichiurus lepturus | 1937.2 | 1013.4 | 1987.1 | 384.4 | 2170.0 | 6952.6 | 1600.1 | 2460.8 | 3268.4 | 1540.3 | 2864.7 | 3697.0 | 808.7 | 2543.7 | 2203.7 | 2073.3 | 1449.2 | 1597.6 |
| Rajifornes | 1094.1 | 931.9 | 366.6 | 4894.4 | 1662.9 | 282.7 | 636.5 | 500.4 | 345.5 | 243.3 | 497.3 | 707.0 | 567.6 | 247.3 | 168.9 | 660.0 | 274.8 | 233.1 |
| Priacanthus arenatus | 166.5 | 6.0 | 121.2 | 587.7 | 353.7 | 55.8 | 564.7 | 28.8 | 82.8 | 296.9 | 1.3 | 34.5 | 75.0 | 413.0 | 105.9 | 141.9 | ||
| Lutjanidae | 315.3 | 108.2 | 41.4 | 16.5 | 99.7 | 57.6 | 139.9 | 305.1 | 64.3 | 451.4 | 184.8 | 128.9 | 261.7 | 37.2 | 139.6 | 272.6 | 1233.1 | 1238.3 |
| Others | 5531.9 | 5059.2 | 24021.3 | 317.4 | 12515.7 | 16870.5 | 7031.9 | 7198.8 | 6233.6 | 6724.1 | 6216.6 | 7761.1 | 6473.0 | 6264.2 | 14225.1 | 29718.6 | 17888.2 | 15261.6 |
| TOTAL | 27265.0 | 23693.6 | 34139.2 | 27390.0 | 31570.8 | 48199.7 | 41353.6 | 48332.1 | 36140.3 | 30991.0 | 41911.5 | 29210.4 | 39113.3 | 32943.0 | 60547.3 | 75002.2 | 48919.1 | 41422.0 |
| SPECIES | 1974 | 1975 | 1976 | 1977 | 1978 | 1979 | 1980 | 1981 | 1982 | 1983 | 1984 | 1985 | 1986 | 1987 | 1988 | 1989 |
|---|---|---|---|---|---|---|---|---|---|---|---|---|---|---|---|---|
| P. bellottii | ||||||||||||||||
| Sparus caer/D. caneriensis | ||||||||||||||||
| Dentex gibbosus | ||||||||||||||||
| D. angolensis | ||||||||||||||||
| D. congoensis | ||||||||||||||||
| Sparidae (unspecified) | 667.4 | 282.5 | 171.1 | 1531.0 | 2463.7 | 2092.6 | 1249.9 | 1816.1 | 2703.9 | 3088.5 | 1123.5 | 2660.6 | 2073.3 | 1071.9 | 498.6 | 1703.8 |
| Balistes capriscus | 11.9 | 211.5 | 103.8 | 371.5 | 359.6 | 360.8 | 185.7 | 485.8 | 230.2 | 19.8 | 96.5 | 284.7 | 28.0 | 213.2 | 36.3 | 4.9 |
| Serranidae | 3.0 | 102.6 | 79.0 | 6.6 | 0.6 | 44.4 | 145.9 | 89.2 | 0.3 | 11.2 | ||||||
| Sepia spp. | 6.5 | 1.5 | 0.6 | 26.9 | 16.6 | 14.9 | 0.6 | 113.3 | 908.3 | 1411.9 | 1701.9 | 1827.9 | 1135.6 | 1688.1 | 1580.7 | 2674.0 |
| Pseudupeneus prayensis | 27.1 | 0.8 | 77.3 | 33.3 | 15.0 | 7.2 | 314.2 | 392.3 | 208.9 | 603.6 | ||||||
| Brachydeuterus auritus | 12.6 | 7.8 | 1.2 | 214.8 | 719.7 | 625.0 | 276.0 | 643.3 | 912.7 | 531.9 | 101.8 | 1207.7 | 1638.5 | 1753.5 | 767.7 | |
| Cynoglossidae & Bothidae | 33.7 | 144.6 | 0.4 | 122.2 | ||||||||||||
| Pseudotolithus spp. | 6.7 | 173.9 | 93.6 | 165.7 | 48.7 | 90.4 | 15.8 | 63.3 | 314.5 | 873.0 | 171.3 | 244.2 | 156.5 | |||
| Polynemedae | 5.8 | 0.9 | 24.9 | 6.1 | 163.8 | 1171.2 | 50.3 | 53.2 | 0.4 | 19.5 | ||||||
| Trichiurus lepturus | 11.2 | 112.5 | 8.9 | 18.0 | 2.9 | 1.8 | 6.9 | 0.4 | ||||||||
| Rajiformes | 5.7 | 0.9 | 65.9 | 18.2 | 17.1 | 2.9 | 1.2 | 0.6 | ||||||||
| Priacanthus arenatus | 103.0 | 18.2 | 1.8 | 82.4 | 10.1 | 25.6 | 205.3 | 327.2 | 146.8 | 93.2 | ||||||
| Lutjanidae | 0.2 | 71.1 | 548.9 | 308.4 | 600.2 | 245.0 | 15.8 | |||||||||
| Others | 2806.4 | 238.0 | 208.4 | 617.4 | 590.7 | 698.8 | 662.0 | 264.1 | 2236.9 | 3960.0 | 3576.3 | 3096.9 | 1969.1 | 1270.1 | 180.3 | 1214.8 |
| TOTAL | 3504.8 | 895.1 | 665.5 | 2972.5 | 4561.8 | 3998.4 | 2382.6 | 3473.6 | 7077.3 | 9107.8 | 6933.4 | 9904.7 | 8351.4 | 7659.8 | 4895.4 | 7387.6 |
| SPECIES | 1972 | 1973 | 1974 | 1975 | 1976 | 1977 | 1978 | 1979 | 1980 | 1981 | 1982 | 1983 | 1984 | 1985 | 1986 | 1987 | 1988 | 1989 |
|---|---|---|---|---|---|---|---|---|---|---|---|---|---|---|---|---|---|---|
| P. bellottii | 1854.3 | 1596.6 | 925.8 | 1392.9 | 1122.6 | 1612.0 | 1059.3 | 765.3 | 667.5 | 574.6 | 575.8 | 567.1 | 815.9 | 497.1 | 567.5 | 371.3 | 368.4 | 275.6 |
| Sparus caer/D. canariensis | 66.6 | 351.8 | 228.4 | 184.3 | 195.8 | 213.4 | 82.0 | 175.2 | 337.5 | 234.6 | 151.8 | 133.8 | 70.3 | 82.9 | ||||
| Dentex gibbosus | 3.1 | 17.4 | 20.1 | 5.4 | 11.4 | 6.6 | 5.4 | 4.9 | 8.0 | 6.9 | 4.7 | 2.1 | 0.3 | 3.6 | ||||
| D. angolensis | 5.8 | 6.2 | 10.6 | 16.3 | 68.3 | 15.6 | 3.9 | 15.8 | 1.1 | 0.7 | 1.2 | 1.1 | ||||||
| D. congoensis | 42.8 | 48.9 | 175.4 | 292.4 | 235.8 | 152.0 | 99.6 | 139.6 | 70.7 | 6.7 | 39.0 | 4.4 | ||||||
| Sparidae (unspecified) | ||||||||||||||||||
| Balistes capriscus | 2996.4 | 4846.0 | 7548.6 | 8561.9 | 8105.7 | 7092.4 | 5727.0 | 10159.4 | 5667.5 | 5371.5 | 4558.3 | 3695.6 | 3923.4 | 3310.5 | 7840.7 | 5467.2 | 2446.4 | 42.9 |
| Serranidae | 75.7 | 80.6 | 88.6 | 109.1 | 82.6 | 84.6 | 59.6 | 44.7 | 71.7 | 62.6 | 61.9 | 46.2 | 53.5 | 50.9 | 42.4 | 41.0 | 24.9 | 25.0 |
| Sepia spp. | 525.2 | 355.7 | 447.9 | 306.7 | 85.2 | 319.6 | 266.0 | 143.4 | 97.1 | 189.0 | 101.2 | 161.0 | 73.7 | 103.0 | 66.4 | 134.4 | 102.7 | 73.1 |
| Pseudupeneus prayensis | 293.7 | 179.0 | 200.3 | 299.6 | 209.0 | 408.3 | 384.6 | 322.1 | 348.0 | 362.5 | 291.8 | 280.6 | 217.1 | 152.1 | 119.5 | 108.6 | 64.8 | 110.1 |
| Brachydeuterus auritus | 2180.0 | 1425.3 | 1046.9 | 829.8 | 867.5 | 1075.5 | 904.6 | 1030.9 | 990.0 | 987.2 | 918.2 | 1155.8 | 1269.0 | 1517.1 | 1590.1 | 1472.2 | 925.9 | 1347.1 |
| Cynoglossidae & Bothidae | 135.1 | 83.4 | 77.0 | 72.5 | 60.4 | 70.8 | 51.6 | 37.3 | 29.2 | 32.1 | 64.3 | 89.1 | 62.2 | 95.6 | 117.1 | 155.6 | 103.4 | 63.1 |
| Pseudotolithus spp. | 381.8 | 396.0 | 494.0 | 465.7 | 383.8 | 535.9 | 351.6 | 357.6 | 337.0 | 265.2 | 254.1 | 335.1 | 171.8 | 300.7 | 278.7 | 384.7 | 243.2 | 277.9 |
| Polynemedae | 200.5 | 224.9 | 236.2 | 319.4 | 160.5 | 360.8 | 268.7 | 145.5 | 118.5 | 182.7 | 155.1 | 191.7 | 168.2 | 175.8 | 190.7 | 281.1 | 84.6 | 98.9 |
| Trichiurus lepturus | 115.8 | 161.6 | 143.3 | 181.9 | 98.7 | 155.8 | 123.5 | 176.4 | 167.2 | 123.9 | 76.5 | 128.6 | 19.2 | 54.2 | 44.3 | 83.9 | 53.8 | 141.0 |
| Rajiformes | 121.1 | 86.0 | 110.9 | 107.9 | 68.2 | 89.7 | 75.4 | 83.7 | 109.2 | 104.7 | 80.3 | 63.7 | 63.6 | 58.8 | 49.9 | 53.0 | 66.7 | 47.3 |
| Priacanthus arenatus | 30.1 | 41.4 | 191.6 | 96.6 | 74.6 | 136.7 | 98.7 | 61.8 | 62.2 | 123.5 | 68.1 | 81.9 | 143.7 | 116.8 | 54.7 | 108.2 | ||
| Lutjanidae | 104.9 | 93.0 | 153.8 | 165.1 | 101.4 | 138.9 | 72.2 | 55.5 | 80.5 | 74.2 | 99.6 | 64.8 | 40.5 | 58.2 | 40.1 | 74.7 | 29.1 | 44.0 |
| Others | 2137.0 | 1343.7 | 1164.9 | 1152.0 | 849.4 | 986.3 | 933.5 | 1425.8 | 1592.5 | 1118.5 | 1790.0 | 1330.2 | 1046.9 | 1170.0 | 62.4 | 1288.6 | 797.4 | 9878.2 |
| TOTAL | 11121.5 | 10901.9 | 12679.6 | 14156.1 | 12361.3 | 13299.8 | 10649.3 | 15129.1 | 10767.8 | 10039.2 | 9480.8 | 8580.7 | 8442.1 | 8022.8 | 11381.8 | 10176.4 | 5476.8 | 12624.4 |
| Adjusted Effort | 1717 | 1532 | 1903 | 2094 | 2017 | 2124 | 2158 | 3943 | 2970 | 2437 | 2536 | 1911 | - | - | - | - | - | - |
| CPUE (t/trip) | 6.477 | 7.116 | 6.663 | 6.76 | 6.129 | 6.262 | 4.935 | 3.837 | 3.626 | 4.119 | 3.738 | 4.490 |
| SPECIES | 1977 | 1978 | 1979 | 1980 | 1981 | 1982 | 1983 | 1984 | 1985 | 1986 | 1987 | 1988 | 1989 |
|---|---|---|---|---|---|---|---|---|---|---|---|---|---|
| P. bellottii | 7459.9 | 10134.2 | 10681.4 | 7141.4 | 10591.3 | 8770.5 | 3854.5 | 7103.4 | 4286.0 | 5190.1 | 7789.1 | 8532.9 | 7970.8 |
| Sparus caer/D. canariensis | 351.8 | 823.8 | 753.4 | 799.0 | 1466.7 | 668.0 | 827.8 | 2104.0 | 826.5 | 721.8 | 717.6 | 1238.9 | 1352.1 |
| Dentex gibbosus | 17.4 | 1343.0 | 1622.9 | 1942.6 | 1960.2 | 1779.6 | 436.6 | 955.0 | 1143.8 | 1377.7 | 1134.2 | 3204.5 | 1381.4 |
| D. angolensis | 0.0 | 31.5 | 260.8 | 62.3 | 128.2 | 221.5 | 86.4 | 46.9 | 721.5 | 493.9 | 560.3 | 422.2 | 59.1 |
| D. congoensis | 0.0 | 51.1 | 48.9 | 175.4 | 310.3 | 240.0 | 152.0 | 99.6 | 174.3 | 82.2 | 51.0 | 110.9 | 36.2 |
| Sparidae (unspecified) | 1531.0 | 2463.7 | 2092.6 | 1249.9 | 1816.1 | 2703.9 | 3088.5 | 1123.5 | 2660.6 | 2073.3 | 1071.9 | 498.6 | 1703.8 |
| Balistes capriscus | 9685.7 | 8864.3 | 13097.4 | 8007.7 | 5969.7 | 7154.2 | 5219.5 | 6728.7 | 5871.1 | 18609.8 | 18282.6 | 3033.5 | 612.3 |
| Serranidae | 2175.6 | 699.6 | 1186.0 | 1516.0 | 1275.6 | 1311.7 | 358.2 | 463.4 | 814.1 | 1001.7 | 799.6 | 2029.7 | 1496.0 |
| Sepia spp. | 684.8 | 696.0 | 250.3 | 696.9 | 545.6 | 1355.0 | 1642.4 | 1843.6 | 2014.3 | 1354.7 | 1867.2 | 1725.6 | 2775.9 |
| Pseudupeneus prayensis | 408.3 | 1396.3 | 982.6 | 733.6 | 708.2 | 798.3 | 344.0 | 498.9 | 360.1 | 1151.8 | 737.1 | 441.3 | 765.1 |
| Brachydeuterus auritus | 9775.5 | 13218.1 | 14985.7 | 9323.4 | 5981.4 | 12524.5 | 10099.0 | 17269.7 | 13886.1 | 22031.9 | 16627.1 | 11113.6 | 9726.6 |
| Cynoglossidae & Bothidae | 530.8 | 234.4 | 407.9 | 140.5 | 87.1 | 405.6 | 408.3 | 350.0 | 197.3 | 400.2 | 556.8 | 264.8 | 309.1 |
| Pseudotolithus spp. | 2116.0 | 1684.2 | 2458.4 | 1688.4 | 1144.5 | 1955.8 | 1039.5 | 1071.8 | 1171.8 | 2369.6 | 2378.8 | 2368.5 | 1413.6 |
| Polynemedae | 3470.3 | 3524.5 | 4979.3 | 3161.1 | 1694.7 | 4093.9 | 1361.7 | 1771.1 | 2581.7 | 3779.4 | 3313.1 | 1781.3 | 1816.6 |
| Trichiurus lepturus | 7220.9 | 1723.6 | 2646.1 | 3435.6 | 1682.2 | 2941.2 | 3828.5 | 829.7 | 2597.9 | 2254.9 | 2157.2 | 1503.0 | 1739.0 |
| Rajiformes | 373.3 | 777.8 | 602.3 | 454.7 | 365.1 | 580.5 | 771.9 | 631.8 | 306.1 | 218.8 | 713.0 | 341.5 | 280.4 |
| Priacanthus arenatus | 0.0 | 130.4 | 719.6 | 129.3 | 144.6 | 441.5 | 134.9 | 128.2 | 81.9 | 424.0 | 857.0 | 307.4 | 343.3 |
| Lutjanidae | 196.5 | 212.1 | 360.6 | 144.8 | 525.6 | 284.4 | 193.9 | 373.3 | 644.3 | 488.1 | 947.5 | 1507.2 | 1298.1 |
| Others | 18474.2 | 8556.1 | 9323.4 | 8488.1 | 8106.7 | 10239.5 | 13051.3 | 11096.2 | 10531.1 | 16256.6 | 32277.3 | 18865.9 | 26354.6 |
| TOTAL | 64472.0 | 56564.7 | 67459.6 | 49290.7 | 44503.8 | 58469.6 | 46898.9 | 54488.8 | 50870.5 | 80280.5 | 92838.4 | 59291.3 | 61434.0 |
| Year | Total | Catches made in | |
|---|---|---|---|
| Côte d'Ivoire | |||
| catches in t | t % of total | ||
| 1955 | 4 000 | 4 000 | 100 |
| 1956 | 5 000 | 5 000 | 100 |
| 1957 | 6 000 | 5 500 | 85–92 |
| 1958 | 6 000 | 5 500 | 92 |
| 1959 | 9 400 | 8 000 | 85 |
| 1960 | 10 000 | 8 500 | 85 |
| 1961 | 12 800 | 10 200 | 80 |
| 1962 | 16 500 | 11 500 | 70 |
| 1963 | 16 000 | 9 600 | 60 |
| 1964 | 12 100 | 6 600 | 55 |
| 1965 | 16 500 | 8 300 | 50 |
| 1966 | 17 800 | 8 890 | 50 |
| 1967 | 15 500 | 7 730 | 50 |
| 1968 | 17 000 | 8 350 | 49 |
| 1969 | 17 800 | 7 650 | 43 |
| 1970 | 15 600 | 7 060 | 45 |
| 1971 | 12 500 | 5 560 | 45 |
| 1972 | 13 300 | 6 430 | 48 |
| 1973 | 14 200 | 5 530 | 39 |
| 1974 | 14 600 | 5 550 | 38 |
| 1975 | 14 900 | 5 320 | 36 |
| 1976 | 17 100 | 5 090 | 30 |
| 1977 | 16 900 | 6 110 | 36 |
| 1978 | 20 300 | 8 900 | 44 |
| 1979 | 21 000 | 8 210 | 39 |
| 1980 | 13 000 | 6 330 | 49 |
| 1981 | 7 400 | 6 060 | 82 |
| 1982 | 6 500 | 5 220 | 80 |
| 1983 | 8 800 | 6 000 | 68 |
| 1984 | 8 100 | 5 900 | 73 |
| 1985 | 7 100 | 5 320 | 75 |
| 1986 | 10 120 | 5 420 | 53 |
| 1987 | 7 780 | 4 320 | 55 |
| 1988 | 5 540 | 4 600 | 83 |
| 1989 | 4 535 | 4 535 | 100 |
Table 8: Catches by species (t) made by Ivorian trawlers/shrimpers on the continental shelf
| Species | 1955 | 1956 | 1960 | 1962 | 1966 | 1968 | 1969 | 1970 | 1971 | 1972 | 1973 | 1974 |
|---|---|---|---|---|---|---|---|---|---|---|---|---|
| Capitaines | 540 | 710 | 430 | 690 | 940 | 840 | 580 | 580 | 540 | 530 | 510 | 420 |
| Carps | * | 100 | 260 | 660 | 250 | 340 | 270 | 250 | 210 | 260 | 270 | 270 |
| Ceintures | * | * | * | * | 350 | 450 | 320 | 340 | 310 | 260 | 160 | 210 |
| Fritures | 1400 | 1760 | 2550 | 2880 | 2890 | 1990 | 1640 | 1440 | 1090 | 1000 | 720 | 840 |
| Ombrines | 610 | 1070 | 680 | 1840 | 1580 | 1610 | 1290 | 1390 | 1000 | 1070 | 960 | 1070 |
| Pageot-dorade | 100 | 110 | 600 | 1030 | 340 | 460 | 1040 | 710 | 570 | 1050 | 1030 | 880 |
| Carangidés | * | 20 | 260 | 460 | 50 | 60 | 60 | 50 | 40 | 40 | 60 | 40 |
| Raies-requins | 130 | 390 | 770 | 920 | 530 | 580 | 450 | 350 | 260 | 330 | 290 | 330 |
| Rasoirs | * | * | * | * | 350 | 300 | 490 | 420 | 360 | 100 | 50 | 16 |
| Saint-Pierres | 170 | 150 | 170 | 230 | 30 | 50 | 30 | 30 | 30 | 40 | 30 | 30 |
| Soles-Turbots | 300 | 450 | 600 | 1030 | 770 | 670 | 510 | 540 | 260 | 480 | 330 | 330 |
| Others | 750 | 240 | 2180 | 1960 | 810 | 1000 | 970 | 990 | 900 | 1270 | 1120 | 1110 |
| TOTAL | 4000 | 5000 | 8500 | 11500 | 8890 | 8350 | 7650 | 7060 | 5560 | 6430 | 5530 | 5550 |
* Included in others; totals have been rounded to the nearest 10 (except for 1989)
| Species | 1975 | 1976 | 1977 | 1978 | 1979 | 1980 | 1981 | 1982 | 1983 | 1984 | 1985 | 1986 | 1987 | 1988 | 1989 |
|---|---|---|---|---|---|---|---|---|---|---|---|---|---|---|---|
| Capitaines | 430 | 410 | 390 | 540 | 470 | 580 | 600 | 535 | 500 | 580 | 520 | 461 | 428 | 377 | 338 |
| Carps | 240 | 260 | 360 | 480 | 400 | 270 | 200 | 110 | 160 | 150 | 210 | 113 | 130 | 138 | 132 |
| Ceintures | 230 | 140 | 310 | 390 | 300 | 220 | 360 | 220 | 270 | 160 | 120 | 95 | 125 | 115 | 115 |
| Fritures | 550 | 650 | 760 | 1270 | 1400 | 920 | 1580 | 1080 | 950 | 1130 | 1110 | 1030 | 998 | 570 | 478 |
| Ombrines | 1140 | 1190 | 1270 | 1670 | 1280 | 1190 | 1320 | 1180 | 1100 | 830 | 890 | 851 | 946 | 653 | 930 |
| Pageot-dorade | 790 | 830 | 1430 | 2110 | 2280 | 870 | 660 | 620 | 1140 | 910 | 940 | 904 | 488 | 607 | 503 |
| Carangidés | 30 | 30 | 30 | 60 | 90 | 80 | 50 | 50 | 80 | 260 | 140 | 172 | 181 | 175 | 89 |
| Raies-requins | 280 | 250 | 280 | 460 | 370 | 530 | 290 | 330 | 320 | 340 | 270 | 239 | 263 | 276 | 236 |
| Rasoirs | 5 | 3 | 2 | 3 | 4 | 2 | 7 | 6 | 10 | 30 | 2 | * | * | * | * |
| Saint-Pierres | 30 | 30 | 20 | 50 | 30 | 20 | 30 | 10 | 20 | 10 | 40 | 22 | 21 | 14 | 19 |
| Soles-Turbots | 500 | 330 | 310 | 440 | 380 | 310 | 250 | 310 | 450 | 410 | 330 | 280 | 225 | 184 | 178 |
| Others | 1100 | 970 | 950 | 1430 | 1210 | 1340 | 710 | 780 | 1010 | 1080 | 750 | 1253 | 515 | 1515 | 1515 |
| TOTAL | 5320 | 5090 | 6110 | 8900 | 8210 | 6330 | 6060 | 5220 | 6000 | 5900 | 5320 | 5420 | 4320 | 4600 | 4535 |
* Included in others; totals have been rounded to the nearest 10 (except for 1989)
Capitaines = Galeoides decadactylus; Carps = Pomadasys spp.; Ceintures = Trichiurus lepturus; Fritures = Brachydeuterus auritus; Ombrines = Pseudotolithus spp.; Pageots-dorades = Pagellus bellotti and Dentex spp.; Rasoirs = Ilisha africana; Saint-Pierres = Drepane africana; Soles = Cynoglossus spp.
In 1988 and 1989, data for the shrimpers were included in others
(a) 10–50 m Trawlers and shrimpers
| 1966 | 1967 | 1968 | 1969 | 1970 | 1971 | 1972 | 1973 | 1974 | 1975 | 1976 | |
|---|---|---|---|---|---|---|---|---|---|---|---|
| Catch | 8340 | - | 7310 | 5810 | 5720 | 4680 | 5070 | 3380 | 4050 | 4130 | 4390 |
| Effort | 56760 | (47130) | 45150 | 45360 | 36420 | 28540 | 39940 | 32310 | 28130 | 26490 | 28342 |
| CPUE | 147 | - | 162 | 128 | 157 | 164 | 127 | 120 | 144 | 156 | 155 |
| 1977 | 1978 | 1979 | 1980 | 1981 | 1982 | 1983 | 1984 | 1985 | 1986 | 1987 | 1988 | |
|---|---|---|---|---|---|---|---|---|---|---|---|---|
| Catch | 4370 | 6300 | 5760 | 5000 | 5270 | 4580 | 4830 | 5344 | 4548 | 4342 | 3717 | 3740 |
| Effort | 29150 | 37500 | 34150 | 29240 | 32420 | 24190 | 28720 | 86894 | 82686 | 65385 | 65678 | 73474 |
| CPUE | 150 | 168 | 169 | 171 | 163 | 189 | 168 | 62 | 55 | 66 | 57 | 51 |
(b) 50–120 m Trawlers and Shrimpers
| 1966 | 1967 | 1968 | 1969 | 1970 | 1971 | 1972 | 1973 | 1974 | 1975 | 1976 | |
|---|---|---|---|---|---|---|---|---|---|---|---|
| Catch | 540 | - | 1060 | 1810 | 1280 | 880 | 1370 | 1690 | 1470 | 1170 | 680 |
| Effort | 5410 | (5820) | 6390 | 13940 | 8540 | 4960 | 8770 | 13390 | 9630 | 7830 | 4500 |
| CPUE | 100 | - | 166 | 130 | 150 | 177 | 156 | 126 | 153 | 149 | 152 |
| 1977 | 1978 | 1979 | 1980 | 1981 | 1982 | 1983 | 1984 | 1985 | 1986 | 1987 | 1988 | |
|---|---|---|---|---|---|---|---|---|---|---|---|---|
| Catch | 1740 | 2600 | 2460 | 1370 | 790 | 650 | 1170 | 1157 | 873 | 1577 | 875 | 1218 |
| Effort | 10400 | 16880 | 13760 | 8560 | 4760 | 3550 | 6680 | 17171 | 15399 | 21190 | 12417 | 21947 |
| CPUE | 167 | 154 | 179 | 160 | 165 | 182 | 175 | 67 | 57 | 74 | 70 | 56 |
Note: From 1984 to 1988 data were standardized using 160 Hp vessel operating in the Tabou area
| Year | ETRAN | NATION | NB | EFFORT 1 | EFFORT 2 | EFFORT 3 | PUE2 |
|---|---|---|---|---|---|---|---|
| 1959 | 1400 | 8000 | 49700 | 141789 | 56.4 | ||
| 1960 | 1500 | 8500 | 18 | 52800 | 150633 | 56.4 | |
| 1961 | 2600 | 10200 | 0 | 54600 | 155768 | 65.5 | |
| 1962 | 5000 | 11500 | 74200 | 211685 | 54.3 | ||
| 1963 | 6400 | 9600 | 84200 | 200214 | 40.0 | ||
| 1964 | 5500 | 6600 | 43700 | 124671 | 52.9 | ||
| 1965 | 8200 | 8300 | 33 | 53900 | 153771 | 54.0 | |
| 1966 | 8910 | 8890 | 62200 | 177450 | 50.1 | ||
| 1967 | 7770 | 7730 | 53000 | 151203 | 51.1 | ||
| 1968 | 8650 | 8350 | 31 | 51500 | 146924 | 56.8 | |
| 1969 | 10150 | 7650 | 42 | 59300 | 146924 | 0 | 52.1 |
| 1970 | 8540 | 7060 | 34 | 45000 | 128380 | 55.0 | |
| 1971 | 6940 | 5560 | 27 | 33500 | 98872 | 56.2 | |
| 1972 | 6870 | 6430 | 30 | 48700 | 138936 | 46.3 | |
| 1973 | 8670 | 5530 | 28 | 45700 | 130377 | 42.4 | |
| 1974 | 9050 | 5550 | 26 | 37800 | 107839 | 51.5 | |
| 1975 | 9580 | 5320 | 24 | 34300 | 97854 | 54.4 | |
| 1976 | 12010 | 5090 | 25 | 32800 | 93575 | 54.4 | |
| 1977 | 10790 | 6110 | 24 | 39600 | 112975 | 0 | 54.1 |
| 1978 | 12600 | 8900 | 52500 | 149777 | 59.4 | ||
| 1979 | 12800 | 8200 | 0 | 48000 | 136939 | 59.9 | |
| 1980 | 6700 | 6400 | 0 | 37700 | 107554 | 59.5 | |
| 1981 | 1340 | 6060 | 10 | 0 | 79811 | 92761 | 55.0 |
| 1982 | 1280 | 5220 | 12 | 0 | 52282 | 86403 | 43.1 |
| 1983 | 2800 | 6000 | 16 | 0 | 99631 | 136731 | 56.0 |
| 1984 | 2200 | 5900 | 17 | 0 | 104065 | 168243 | 59.7 |
| 1985 | 1820 | 5320 | 16 | 98085 | 164095 | 53.1 | |
| 1986 | 4700 | 5422 | 17 | 86488 | 122492 | 62.7 | |
| 1987 | 3460 | 4318 | 16 | 78095 | 110910 | 55.3 | |
| 1988 | 940 | 4599 | 15 | 0 | 95421 | 126732 | 48.2 |
| 1989 | 3 | 4532 | 11 | 93248 | 83306 | 48.6 |
| Species | 1979 | 1988 |
|---|---|---|
| Brochets (Sphyraena spp.) | 8.3 | 6.7 |
| Capitaines (Galeoides decadactylus) | 10.2 | 3.0 |
| Carpes blanches (Pomadasys spp.) | 16.8 | 2.2 |
| Carpes rouges (Lutjanus spp.) | 21.9 | 98.5 |
| Ceintures (Trichiurus lepturus) | 24.9 | 10.0 |
| Dorades (Dentex spp., Sparus spp.) | 211.5 | 326.0 |
| Mérous (Epinephelus aeneus, E. guaza) | 219.8 | 252.0 |
| Pageots (Pagellus bellottii) | 285.4 | 49.0 |
| TOTAL | 798.8 | 747.4 |
| Size | |||||
|---|---|---|---|---|---|
| Dentex angolensis | a | b | r | N | Ranges (cm) |
| Males | 0.183 | 2.604206 | 0.895415 | 90 | 13.0–29.0 |
| Females | 0.031 | 2.927918 | 0.991978 | 91 | 9.7–29.5 |
| TOTAL | 0.037 | 2.900912 | 0.983730 | 212 | 5.2–29.5 |
| Size | |||||
|---|---|---|---|---|---|
| Pagellus bellottii | a | b | r | N | Ranges (cm) |
| Males | 0.010709 | 3.242962 | 0.962656 | 173 | 11.0–21.6 |
| Females | 0.014062 | 3.142034 | 0.951758 | 119 | 10.0–19.8 |
| TOTAL | 0.010886 | 3.236784 | 0.960985 | 302 | 10.0–21.6 |
| Size | |||||
|---|---|---|---|---|---|
| Dentex congoensis | a | b | r | N | Ranges (cm) |
| Males | 0.026573 | 2.878643 | 0.981716 | 102 | 8.5–21.0 |
| Females | 0.040699 | 2.724074 | 0.925838 | 115 | 9.4–20.0 |
| TOTAL | 0.032544 | 2.806653 | 0.960001 | 217 | 8.5–21.0 |
| Size | |||||
|---|---|---|---|---|---|
| Pagrus caeruleostictus | a | b | r | N | Ranges (cm) |
| Males | 0.025992 | 2.960633 | 0.974265 | 42 | 12.6–36.6 |
| Females | 0.019028 | 3.049927 | 0.987698 | 82 | 12.2–38.4 |
| TOTAL | 0.071505 | 2.572080 | 0.919620 | 220 | 7.7–36.6 |
| Size | |||||
|---|---|---|---|---|---|
| Dentex canariensis | a | b | r | N | Ranges (cm) |
| Males | 0.015429 | 3.061301 | 0.986859 | 38 | 16.4–40.4 |
| Females | 0.008386 | 3.250639 | 0.910684 | 65 | 14.8–35.0 |
| TOTAL | 0.016335 | 3.044473 | 0.956984 | 143 | 8.5–40.4 |
Table 12: “Guinea 90”. Length-Weight relationships for Sparidae.
| BROTULA BARBATA | a | b | r | N | SIZE RANGES (cm) |
|---|---|---|---|---|---|
| Males | 0.002157 | 3.317592 | 0.98 | 18 | 34.0–65.0 |
| Females | 0.005071 | 3.096620 | 0.99 | 11 | 37.0–65.0 |
| TOTAL | 0.002359 | 3.295510 | 0.98 | 29 | 20.0–65.0 |
| CHLOROSCOMBRUS CHRYSURUS | |||||
| TL-W | 0.071087 | 2.307338 | 0.83 | 217 | 16.7–29.3 |
| FL-W | 0.00413 | 2.339724 | 0.85 | 217 | |
| SELENE DORSALIS | |||||
| TL-W | 0.009368 | 3.055513 | 0.97 | 60 | 14.7–31.3 |
| FL-W | 0.012233 | 3.158500 | 0.98 | 60 | |
| ZENOPSIS CONCHIFER | |||||
| Males | 0.054359 | 2.627 | 0.99 | 24 | |
| Females | 0.011763 | 3.051626 | 0.99 | 33 | |
| TOTAL | 0.023642 | 2.860321 | 0.98 | 57 | 26.0–60.0 |
| MERLUCCIUS POLLI | |||||
| TOTAL | 0.019425 | 2.724571 | 0.97 | 38 | 29.0–46.0 |
| EPINEPHELUS AENEUS | |||||
| Males | 0.123944 | 3.112907 | 0.98 | 29 | |
| Females | 0.137101 | 3.062881 | 0.99 | 34 | |
| TOTAL | 0.009580 | 3.076887 | 0.99 | 89 | 26.0–98.0 |
Table 14: GUINEA-90 survey- Total length-fork length (cm) relationships for various species
| a | b | r | N | SIZE RANGES (cm) | |
|---|---|---|---|---|---|
| CHLOROSCOMBRUS CHRYSURUS | |||||
| 7.093986 | 1.114971 | 0.97 | 217 | 14.5–25.0 | |
| ILISHA AFRICANA | |||||
| 0.081111 | 1.134536 | 0.99 | 149 | 9.0–22.0 | |
| SELENE DORSALIS | |||||
| -0.48472 | 1.181268 | 0.99 | 60 | 14.7–31.3 |
| PARAPENAEUS LONGIROSTRIS | a | b | r | N |
|---|---|---|---|---|
| CL-W | ||||
| Males | 0.0014 | 2.704 | 0.98 | 101 |
| Females | 0.0014 | 2.708 | 0.99 | 132 |
| TL-CL | ||||
| Males | 7.613 | 4.64 | 0.99 | 42 |
| Females | 15.050 | 4.28 | 0.98 | 47 |
| TOTAL | 12.428 | 4.39 | 0.98 | 89 |
| PARAPENAEOPSIS ATLANTICA | ||||
| CL-W | ||||
| Males | 0.0030 | 2.42 | 0.92 | 47 |
| Females | 0.0018 | 2.60 | 0.96 | 54 |
| TL-CL | ||||
| Males | 9.230 | 4.247 | 0.92 | 49 |
| Females | 11.359 | 4.023 | 0.95 | 55 |
| TOTAL | 13.19 | 3.95 | 0.96 | 104 |
| B. auritus | P.bellottii | D. angolensis | |||||||
|---|---|---|---|---|---|---|---|---|---|
| SECTOR | min | max | mode | min | max | mode | min | max | mode |
| S/ LEONE EAST | 6 | 18 | 7 | 9 | 27 | 18 | |||
| S/ LEONE WEST | 6 | 13 | 8 | 7 | 22 | 11 | 7 | 25 | 10 |
| LIBERIA | 7 | 18 | 9 | 10 | 21 | 16 | 4 | 29 | 14 |
| COTE D'IVOIRE | 7 | 22 | 13 | 9 | 25 | 12 | 8 | 26 | 11 |
| GHANA | 6 | 18 | 7 | 8 | 24 | 10 | 7 | 24 | 10 |
| ABIDJAN 04/89 | 10 | 21 | 14 | 11 | 33 | 16 | 15 | 27 | 17 |
| ABIDJAN 04/90 | 13 | 22 | 16 | ||||||
Table 17: Upwelling index and duration at Tema (1963–89) FRU Data
| Number of | ||
|---|---|---|
| Upwelling | ||
| Year | forthnights | |
| Index | ||
| (T < 26°C) | ||
| 1963 | 24.3 | 9 |
| 1964 | 32.5 | 13 |
| 1965 | 19.8 | 11 |
| 1966 | 20.2 | 9 |
| 1967 | 38.9 | 10 |
| 1968 | 6.0 | 6 |
| 1969 | 24.8 | 10 |
| 1970 | 19.6 | 7 |
| 1971 | 27.3 | 8 |
| 1972 | 23.9 | 7 |
| 1973 | 19.3 | 7 |
| 1974 | 25.1 | 8 |
| 1975 | 32.0 | 9 |
| 1976 | 37.9 | 10 |
| 1977 | 28.4 | 10 |
| 1978 | 29.3 | 9 |
| 1979 | 11.0 | 6 |
| 1980 | 18.6 | 8 |
| 1981 | 19.1 | 7 |
| 1982 | 30.8 | 7 |
| 1983 | 25.7 | 7 |
| 1984 | 26.0 | 7 |
| 1985 | 30.2 | 8 |
| 1986 | 36.1 | 8.5 |
| 1987 | 8.3 | |
| 1988 | 20.7 | |
| 1989 | 23.0 |
Method used in calculating the upwelling index is found in the report of the previous Working Group (FAO 1990) COPACE/PACE SERIES/89/48
| CHALCI | CHALCI | CHALCI | CHALCI | CHALCI | CHALCI | CHALCI | CHALCI | CHALCI | CHALCI | CHALCI | ||
|---|---|---|---|---|---|---|---|---|---|---|---|---|
| 78.01 | 79.01 | 80.01 | 83.01 | 83.02 | 84.01 | 84.02 | 85.01 | 85.02 | 86.01 | 86.03 | ||
| Fev.78 | Mars79 | Acût- | Jan.83 | Mars83 | Jan.84 | Juil.84 | Fev.85 | Juil.85 | Fev.- | Juil.86 | ||
| Sep.80 | Mars86 | |||||||||||
| ni | 27 | 26 | 43 | 43 | 43 | 37 | 26 | 26 | 25 | 25 | 26 | |
| 10–50 m | Xi | 450 | 458 | 301 | 1735 | 434 | 945 | 302 | 711 | 451 | 500 | 391 |
| s(xi) | 74.7 | 78.6 | 62.5 | 322.3 | 47.2 | 136.6 | 66.8 | 127.9 | 85.6 | 84.2 | 114.7 | |
| C.V. | 16.6% | 17.2% | 20.8% | 18.6% | 10.9% | 14.5% | 22.1% | 18.0% | 19.0% | 16.8% | 29.3% | |
| ni | 25 | 40 | 41 | 32 | 39 | 40 | 26 | 41 | -28 | 36 | 38 | |
| 50–120 m | Xi | 366 | 287 | 266 | 428 | 220 | 263 | 413 | 349 | 362 | 281 | 300 |
| s(xi) | 90.4 | 51.9 | 24.1 | 89.9 | 24.0 | 29.1 | 73.9 | 42.8 | 57.5 | 26.0 | 28.7 | |
| C.V. | 24.7% | 18.1% | 9.1% | 21.0% | 10.9% | 11.1% | 17.9% | 12.3% | 15.9% | 9.3% | 9.6% | |
| ni | 52 | 66 | 84 | 75 | 82 | 77 | 52 | 67 | 53 | 61 | 64 | |
| 10–120 m | xi | 399 | 354 | 280 | 941 | 304 | 531 | 369 | 491 | 397 | 367 | 335 |
| s(xi) | 61.4 | 44.1 | 28.6 | 137.7 | 23.6 | 56.4 | 52.0 | 56.5 | 48.5 | 36.6 | 48.3 | |
| C.V. | 15.4% | 12.5% | 10.2% | 14.6% | 7.8% | 10.6% | 14.1% | 11.5% | 11.2% | 10.0% | 14.4% |
Table 18: Mean yield (kg/h) all species combined and variances obtained from the main CHALCI surveys
FINFISHES
| GH | CI | LIB | SLE | SLW | TOTAL | |
|---|---|---|---|---|---|---|
| 20–50 | 15574 | 11108 | 9538 | 1065 | 19015 | 56300 |
| 50–100 | 16605 | 15311 | 19503 | 3937 | 5872 | 61228 |
| >100 | 8886 | 8662 | 17548 | |||
| 100–200 | 5162 | 1227 | 2594 | 8982 | ||
| 200–400 | 7734 | 436 | 360 | 8529 | ||
| 400–700 | 1525 | 852 | 103 | 2479 | ||
| TOTAL | 41065 | 35081 | 43461 | 7516 | 27943 | 155067 |
CRUSTACEANS
| GH | CI | LIB | SLE | SLW | TOTAL | |
|---|---|---|---|---|---|---|
| 20–50 | 135 | 11 | 164 | 96 | 40 | 445 |
| 50–100 | 11 | 8 | 51 | 14 | 16 | 101 |
| >100 | 43 | 82 | 124 | |||
| 100–200 | 3 | 1 | 0 | 3 | ||
| 200–400 | 122 | 26 | 9 | 157 | ||
| 400–700 | 193 | 37 | 6 | 236 | ||
| TOTAL | 189 | 101 | 532 | 173 | 71 | 1066 |
CEPHALOPODS
| GH | CI | LIB | SLE | SLW | TOTAL | |
|---|---|---|---|---|---|---|
| 20–50 | 2438 | 866 | 366 | 63 | 1983 | 5716 |
| 50–100 | 4818 | 712 | 1438 | 361 | 1202 | 8531 |
| >100 | 141 | 132 | 273 | |||
| 100–200 | 85 | 27 | 12 | 124 | ||
| 200–400 | 162 | 24 | 30 | 216 | ||
| 400–700 | 142 | 13 | 2 | 158 | ||
| TOTAL | 7397 | 1710 | 2193 | 488 | 3229 | 15017 |
TOTAL DEMERSAL
| GH | CI | LIB | SLE | SLW | TOTAL | |
|---|---|---|---|---|---|---|
| 20–50 | 18147 | 11985 | 10067 | 1224 | 21038 | 62461 |
| 50–100 | 21434 | 16031 | 20992 | 4311 | 7091 | 69860 |
| >100 | 9070 | 8876 | 17946 | |||
| 100–200 | 5249 | 1255 | 2605 | 9109 | ||
| 200–400 | 8018 | 485 | 398 | 8902 | ||
| 400–700 | 1860 | 901 | 111 | 2873 | ||
| TOTAL | 48651 | 36892 | 46187 | 8177 | 31243 | 171150 |
Table 19: “Guinea 90”. Biomass (t) by depth strata and sector
| DEPTH | GHANA | COTE D' | LIBERIA | S/ LEONE | S/ LEONE | TOTAL |
|---|---|---|---|---|---|---|
| STRATUM | IVOIRE | EAST | WEST | |||
| 20 – 50 | 21.5 | 39.6 | 26.1 | 5.5 | 25.5 | 23.4 |
| 50 – 10 | 24.3 | 29.6 | 20.2 | 26.4 | 17.8 | 23.6 |
| > 100 | 62.4 | 42.8 | 52.6 | |||
| 100 – 200 | 21.0 | 22.5 | 39.0 | 27.5 | ||
| 200 – 400 | 38.0 | 8.8 | 6.0 | 17.6 | ||
| 400 – 700 | 4.6 | 11.2 | 2.5 | 6.1 | ||
| TOTAL | 36.1 | 37.3 | 22.0 | 14.9 | 18.0 | 25.7 |
| DEPTH RANGE (m) | 20 – 50 | 50 – 100 | > 100 | |||
|---|---|---|---|---|---|---|
| NET TYPE | NET 1 | NET 2 | NET 1 | NET 2 | NET 1 | NET 2 |
| Lutjanidae COMMUNITY | 7,6 | 3,2 | 3,3 | - | ||
| \?\enidae COMMUNITY | - | 6,6 | ||||
| \?\chiostegus semifasciatus | - | 11,0 | 1,6 | - | ||
| \?\tylopterus volitans | 5,6 | - | 41,5 | 0,5 | ||
| Dentex angolensis | - | 4,1 | 5,8 | 5,1 | ||
| Dentex canariensis | 4,9 | - | 3,2 | 3,5 | ||
| Dentex congoensis | - | 2,5 | 20,8 | 70,9 | ||
| Epinephelus aeneus | 6,5 | - | 8 | - | ||
| Fistularia petimba | - | 17,7 | - | 3,3 | ||
| Lagocephalus laevigatus | 1,6 | 9,9 | 8,0 | 9,6 | ||
| Pegellus bellottii | - | - | 6,3 | 0,6 | ||
| Pegrus coeruleostictus | 8,1 | 33,3 | 7,6 | 3,5 | ||
| Peeudupenaeus prayensis | - | 4,2 | ||||
| Fniacanthus arenatus | - | 8,8 | ||||
| Byscium micrurum | 7,6 | 1,4 | ||||
| Epsridae COMMUNITY | 34,9 | 62,3 | 66,6 | 50,7 | 89,1 | 91,5 |
| Raja miraletus | 32,1 | 4 | 6,5 | 2,0 | ||
| Rhinobatos albomaculatus | 4,7 | 8,4 | - | 0,8 | ||
| CONDROICTIA | 45,3 | 12,4 | 6,5 | 5,0 | 6,5 | 0,7 |
| Sepia officinalis | 1,9 | 4,4 | 17,2 | 33,9 | ||
| Octopus vulgaris | - | 6,7 | - | 1,3 | ||
| CEPHALOPODS | 4,5 | 11,6 | 18,1 | 35,2 | 1,0 | 2,9 |
| DEEP SHELF COMMUNITY | 3,6 | 1,2 | ||||
| SLOPE COMMUNITY | 83,6 | 92.0 | ||||
TABLE 22: Estimated Biomass (tons) by strata and sector in GTS and GUINEA-90 SURVEYS
| G.T.S. | GUINEA-90 | G.T.S. | GUINEA-90 | |
|---|---|---|---|---|
| AREA | 15–50 m | 20–50 m | 50–200 m | 50–200 m |
| GUINEA + | ||||
| S. LEONE WEST | 155 000 | - | 37 000 | - |
| S. LEONE EAST | ||||
| + LIBERIA | 11 000 | 11 291 | 33 000 | 31 807 |
TABLE 23: Estimated Densities (kg/ha) by strata and sector in GTS and GUINEA—90 SURVEYS
| G.T.S. | GUINEA—90 | G.T.S. | GUINEA—90 | |
|---|---|---|---|---|
| AREA | 15–50 m | 20–50 m | 50–200 m | 50–200 m |
| GUINEA + | ||||
| S.LEONE WEST | 43.0 | - | 37.1 | - |
| S.LEONE EAST | ||||
| + LIBERIA | 13.6 | 15.8 | 20.1 | 22.5 |
| GH | CI | LIB | SLE | SLW | TOTAL | ||
|---|---|---|---|---|---|---|---|
| 20–50 | 0 | 419 | 101 | 0 | 0 | 520 | |
| Dentex | 50–100 | 857 | 3751 | 4665 | 1509 | 1071 | 11853 |
| angolensis | >100 | 154 | 0 | 154 | |||
| 100–200 | 1396 | 414 | 393 | 2204 | |||
| 200–400 | 417 | 0 | 0 | 417 | |||
| 400–700 | 0 | 0 | 0 | 0 | |||
| TOTAL | 1012 | 4171 | 6579 | 1923 | 1464 | 15148 | |
| 20–50 | 0 | 0 | 0 | 0 | 0 | 0 | |
| Dentex | 50–100 | 322 | 818 | 804 | 125 | 0 | 2068 |
| congoensis | >100 | 317 | 0 | 317 | |||
| 100–200 | 341 | 275 | 1008 | 1624 | |||
| 200–400 | 0 | 0 | 0 | 0 | |||
| 400–700 | 0 | 0 | 0 | 0 | |||
| TOTAL | 639 | 818 | 1145 | 400 | 1008 | 4010 | |
| 20–50 | 417 | 2205 | 0 | 0 | 9 | 2632 | |
| 50–100 | 2293 | 2597 | 1005 | 0 | 2 | 5897 | |
| Pagellus | >100 | 0 | 0 | 0 | |||
| bellottii | 100–200 | 0 | 0 | 0 | 0 | ||
| 200–400 | 0 | 0 | 0 | 0 | |||
| 400–700 | 0 | 0 | 0 | 0 | |||
| TOTAL | 2711 | 4802 | 1005 | 0 | 11 | 8529 | |
| 20–50 | 254 | 0 | 0 | 0 | 3503 | 3757 | |
| Eginephelus | 50–100 | 1243 | 449 | 3297 | 655 | 851 | 6495 |
| aeneus | >100 | 0 | 0 | 0 | |||
| 100–200 | 52 | 0 | 0 | 52 | |||
| 200–400 | 0 | 0 | 0 | 0 | |||
| 400–700 | 0 | 0 | 0 | 0 | |||
| TOTAL | 1497 | 449 | 3330 | 633 | 4354 | 10305 | |
| 20–50 | 436 | 1870 | 1319 | 421 | 485 | 4530 | |
| Brechydeuterus | 50–100 | 0 | 689 | 0 | 0 | 0 | 689 |
| auritus | >100 | 0 | 0 | 0 | |||
| 100–200 | 0 | 0 | 0 | 0 | |||
| 200–400 | 0 | 0 | 0 | 0 | |||
| 400–700 | 0 | 0 | 0 | 0 | |||
| TOTAL | 436 | 2559 | 1319 | 421 | 485 | 5219 | |
| 20–50 | 2305 | 348 | 70 | 0 | 0 | 2723 | |
| Sepia | 50–100 | 4415 | 112 | 0 | 0 | 9 | 4537 |
| officinelis | >100 | 0 | 0 | 0 | |||
| 100–200 | 0 | 0 | 0 | 0 | |||
| 200–400 | 0 | 0 | 0 | 0 | |||
| 400–700 | 0 | 0 | 0 | 0 | |||
| TOTAL | 6720 | 460 | 70 | 0 | 9 | 7259 |
Table 24: GUINEA-90 Survey — Estimated biomass (t) of different species by depth and sector
| CATCH RATES (kg/half hour) | |||||||
|---|---|---|---|---|---|---|---|
| GTS | FRUT1D | FRUT2D | FRUT3D | FRUT4D | FRUT5D | GUINEA—90 | |
| SPECIES | 1963–64 | 1969–70 | 1979–80 | 1981–82 | 1987–88 | 1989–90 | 1990 |
| B. auritus | 12 – 17.5 | 13.8 | 32.5 | 19.9 | 0.9 | ||
| C. lineatus | * | 10.1 | 3.5 | 5.1 | |||
| P. bellottii | 6 – 51.5 | 9.2 | 19.2 | 7.9 | 5.6 | ||
| D. canariensis | 0.5 – 7.5 | 7.4 | 8.6 | 5.1 | 3.8 | ||
| Sepia spp. | 0.5 – 6.0 | 6.9 | 4.7 | 3.4 | 14.9 | ||
| S. caeruleostictus | 2 – 19.5 | 5.7 | 10.6 | 6.2 | 7.1 | ||
| D. volitans | 0.5 – 43 | 5.4 | 0.8 | 3.4 | 9.8 | ||
| P. prayensis | 4.5 – 13. | 3.8 | 10.6 | 6.8 | 2.6 | ||
| B. capriscus | * | 3.4 | 224.2 | 109.9 | 1.7 | 0.1 | |
| E. aeneus | 0.5 – 12 | 3.2 | 8.3 | 4.0 | 3.2 | ||
| TOTAL DEMERSAL | - | 103.7 | 365.7 | 243.6 | 138.2 | 110.2 | 88.7 |
| TOTAL (excl. | |||||||
| Balistes) | - | 100.3 | 141.5 | 133.7 | 108.5 | 88.6 | |
| DENSITIES (kg/ha) | |||||||
|---|---|---|---|---|---|---|---|
| GTS | FRUT1D | FRUT2D | FRUT3D | FRUT4D | FRUT5D | GUINEA | |
| SPECIES | 1963–64 | 1969–70 | 1979–80 | 1981–82 | 1987–88 | 1989–90 | 1990 |
| B. auritus | 2.4 | 8.3 | 3.5 | 0.2 | |||
| C. lineatus | 1.8 | 0.8 | 0.9 | - | |||
| P. bellottii | 1.6 | 4.9 | 1.4 | 1.4 | |||
| D. canariensis | 1.3 | 2.2 | 0.9 | 1.0 | |||
| Sepia spp. | 1.2 | 1.2 | 0.6 | 3.8 | |||
| S. caeruleostictus | 1.0 | 2.7 | 1.1 | 1.8 | |||
| D. volitans | 0.9 | 0.2 | 0.6 | 2.5 | |||
| P. prayensis | 0.7 | 2.7 | 1.2 | 0.7 | |||
| B. capriscus | 0.6 | 57.2 | 28.1 | 0.3 | 0.1 | ||
| E. aeneus | 0.5 | 2.1 | 0.7 | 0.8 | |||
| TOTAL DEMERSAL | 23.5 | 36.0 | 93.9 | 62.1 | 24.3 | 19.4 | 22.8 |
| TOTAL (excl. | |||||||
| Balistes) | 23.5 | 34.8 | 36.1 | 34.0 | 19.1 | 22.9 | |
Notes: * considered with “The Rest” FRUT4D and FRUT5D results are provisional
| SECTOR | 20—50 M | >100 M | TOTAL |
|---|---|---|---|
| SIERRA LEONE | 0.6(1) | 2.3(3) | 2.6(4) |
| COTE D'IVOIRE | 14.2(27) | — | 14.2(27) |
| GHANA | 0.8(2) | — | 0.8(2) |
| TOTAL | 15.6(30) | 2.0(3) | 17.6(33) |
Table 27: Lagocephalus laevigatus,catches (kg) by strata and sector during GUINEA-90
| SECTOR | 20 – 50 | 50 – 100 | TOTAL |
|---|---|---|---|
| SIERRA LEONE W | 5.9 | 1.0 | 6.9 |
| SIERRA LEONE E | 3.6 | - | 3.6 |
| LIBERIA | 0.9 | 0.4 | 1.3 |
| COTE D'IVOIRE | 9.5 | 19.1 | 28.6 |
| GHANA | 4.9 | 14.1 | 19.0 |
| TOTAL | 24.8 | 34.6 | 59.4 |
Table 28: L. laevigatus, average weight (g) bv depth strata and sector during GUINEA—90
| SECTOR | 20–50 M | 50–100 M |
|---|---|---|
| SIERRA LEONE W | 538 | 84 |
| SIERRA LEONE E | 415 | – |
| LIBERIA | 82 | 100 |
| COTE D'IVOIRE | 244 | 176 |
| GHANA | 448 | 254 |
Table 29: Biomass (t) and density (kg/ha) of Lagocephalus laevigatus off Côte d'Ivoire and Ghana
| BIOMASS (t) | DENSITY (kg/ha) | |||||
|---|---|---|---|---|---|---|
| 20–50 | 50–100 | Total | 20–50 | 50–100 | Total | |
| C.d'Ivoire | 74 | 293 | 367 | 0.25 | 0.54 | 0.43 |
| Ghana | 117 | 290 | 407 | 0.14 | 0.33 | 0.24 |
Table 30: Catch of crustaceans (kg) by depth and sector, GUINEA-90
| Depth strata | 20–50 | 50–100 | >100 100–200 | 200–400 | 400–700 | Total |
|---|---|---|---|---|---|---|
| Sierra Leone W. | 0.7 | 0.6 | - | 1.5 | 1.0 | 3.9 |
| Sierra Leone E. | 5.0 | 0.9 | 0.2 | 3.7 | 3.5 | 13.3 |
| Liberia | 8.3 | 1.5 | 0.3 | 18.0 | 13.0 | 41.1 |
| Côte d'Ivoire | 1.4 | 0.8 | 9.3 | 11.3 | ||
| Ghana | 5.6 | 0.6 | 10.4 | 16.6 | ||
| Total | 21.0 | 4.4 | 20.2 | 23.2 | 17.5 | 86.2 |
TABLE 31: PERCENTAGE OF BIOMASS OF MAIN FISH GROUPS IN VARIOUS SURVEYS IN COTE D'IVOIRE
| SURVEY | SCIAN | SPARID | BALIST | CONDR | AUTRES | CEPHAL | CRUST | LAGOC | ||
|---|---|---|---|---|---|---|---|---|---|---|
| CHALCI | 78.02 | Ì | 40 | 28 | 14 | 6 | 10 | 1 | 0 | 1 |
| CHALCI | 79.03 | Ì | 44 | 30 | 10 | 4 | 10 | 1 | 0 | 1 |
| CHALCI | 83.01 | Ì | 15 | 10 | 72 | 1 | 3 | 0 | 0 | 0 |
| CHALCI | 83.03 | Ì | 30 | 34 | 24 | 4 | 7 | 1 | 0 | 0 |
| CHALCI | 84.01 | Ì | 32 | 28 | 31 | 2 | 6 | 1 | 0 | 0 |
| CHALCI | 85.02 | Ì | 32 | 27 | 32 | 3 | 5 | 1 | 0 | 0 |
| CHALCI | 86.02 | Ì | 28 | 32 | 31 | 2 | 6 | 1 | 0 | 0 |
| GUINEA | 90.04 | Ì | 17 | 65 | 0 | 6 | 9 | 4 | 0 | 2 |
| CHALCI | 78.02 | * | 29 | 42 | 14 | 6 | 8 | 1 | 0 | 1 |
| CHALCI | 79.03 | * | 34 | 44 | 8 | 4 | 8 | 1 | 0 | 0 |
| CHALCI | 83.01 | * | 13 | 19 | 61 | 2 | 6 | 0 | 0 | 0 |
| CHALCI | 83.03 | * | 20 | 49 | 17 | 4 | 8 | 1 | 0 | 0 |
| CHALCI | 84.01 | * | 25 | 39 | 25 | 3 | 8 | 1 | 0 | 0 |
| CHALCI | 85.02 | * | 22 | 40 | 26 | 4 | 7 | 1 | 0 | 0 |
| CHALCI | 86.02 | * | 20 | 45 | 23 | 2 | 9 | 1 | 0 | 0 |
| GUINEA | 90.04 | * | 13 | 65 | 0 | 5 | 12 | 4 | 0 | 1 |
Ì SURVEYS treated through CHALCI methodology
* SURVEYS treated through GUINEA methodology
TABLE 32 : BIOMASS (in t) OF MAIN FISH GROUPS IN VARIOUS SURVEYS IN COTE D'IVOIRE - WARM SEASONS
| SURVEY | SCIAN | SPARID | BALIST | CONDR | OTHERS | CEPHAL | CRUST | LAGOC | TOTAL | |
|---|---|---|---|---|---|---|---|---|---|---|
| CHALCI78.02 | Ì | 13097 | 9288 | 4420 | 1913 | 3245 | 324 | 23 | 388 | 32698 |
| CHALCI79.03 | Ì | 19591 | 13219 | 4200 | 1847 | 4459 | 439 | 6 | 301 | 44062 |
| 1980 | - | - | - | - | - | - | - | - | - | |
| 1981 | - | - | - | - | - | - | - | - | - | |
| 1982 | - | - | - | - | - | - | - | - | - | |
| CHALCI83.01 | Ì | 17941 | 11819 | 87762 | 1459 | 3224 | 180 | 83 | 50 | 122519 |
| CHALCI83.03 | Ì | 10986 | 12283 | 8791 | 1508 | 2617 | 262 | 58 | 31 | 36537 |
| CHALCI84.01 | Ì | 23871 | 20931 | 22984 | 1342 | 4314 | 459 | 8 | 13 | 73921 |
| CHALCI85.02 | Ì | 19356 | 15991 | 19328 | 1551 | 3225 | 746 | 51 | 54 | 60303 |
| CHALCI86.02 | Ì | 12710 | 14624 | 13762 | 953 | 2550 | 335 | 19 | 50 | 45004 |
| 1987 | - | - | - | - | - | - | - | - | - | |
| 1988 | - | - | - | - | - | - | - | - | - | |
| 1989 | - | - | - | - | - | - | - | - | - | |
| GUINEA90.04 | Ì | 8479 | 32875 | 0 | 2772 | 4514 | 2008 | 184 | 760 | 50300 |
| CHALCI78.02 | * | 7452 | 10840 | 3647 | 1483 | 2061 | 263 | 14 | 174 | 25934 |
| CHALCI79.03 | * | 12140 | 15707 | 3051 | 1614 | 3029 | 313 | 4 | 114 | 35972 |
| 1980 | - | - | - | - | - | - | - | - | - | |
| 1981 | - | - | - | - | - | - | - | - | - | |
| 1982 | - | - | - | - | - | - | - | - | - | |
| CHALCI83.01 | * | 10171 | 14486 | 47319 | 1323 | 4311 | 192 | 58 | 32 | 77892 |
| CHALCI83.03 | * | 5652 | 14004 | 4872 | 1238 | 2303 | 223 | 26 | 14 | 28332 |
| CHALCI84.01 | * | 11993 | 18590 | 11790 | 1262 | 3822 | 350 | 4 | 6 | 47818 |
| CHALCI85.02 | * | 9944 | 17998 | 11972 | 1603 | 3378 | 608 | 23 | 37 | 45563 |
| CHALCI86.02 | * | 7241 | 16271 | 8458 | 875 | 3093 | 294 | 9 | 21 | 36263 |
| 1987 | - | - | - | - | - | - | - | - | - | |
| 1988 | - | - | - | - | - | - | - | - | - | |
| 1989 | - | - | - | - | - | - | - | - | - | |
| GUINEA90.04 | * | 4659 | 24112 | 0 | 2033 | 4514 | 1473 | 101 | 367 | 37259 |
Ì - SURVEYS treated through CHALCI methodology
* - SURVEYS treated through GUINEA methodology
TABLE 33 : BIOMASS (in t) OF MAIN FISH GROUPS IN VARIOUS SURVEYS IN COTE D'IVOIRE - COLD SEASONS
| SURVEY | SCIAN | SPARID | BALIST | CONDR | OTHERS | CEPHAL | CRUST | LAGOC | TOTAL | ||
|---|---|---|---|---|---|---|---|---|---|---|---|
| 1978 | - | - | - | - | - | - | - | - | - | ||
| 1979 | - | - | - | - | - | - | - | - | - | ||
| CHALCI | 80.08 | Ì | 10893 | 14353 | 1862 | 2726 | 3002 | 823 | 2 | 20 | 33681 |
| 1981 | - | - | - | - | - | - | - | - | - | ||
| 1982 | - | - | - | - | - | - | - | - | - | ||
| 1983 | - | - | - | - | - | - | - | - | - | ||
| 1984 | - | - | - | - | - | - | - | - | - | ||
| CHALCI | 84.07 | Ì | 11808 | 16733 | 248 | 1916 | 4925 | 492 | 135 | 8 | 36265 |
| CHALCI | 85.07 | Ì | 12242 | 18748 | 2045 | 1092 | 6509 | 893 | 106 | 33 | 41669 |
| CHALCI | 86.07 | Ì | 14706 | 8731 | 728 | 1484 | 6047 | 358 | 170 | 5 | 32231 |
| 1987 | - | - | - | - | - | - | - | - | - | ||
| 1988 | - | - | - | - | - | - | - | - | - | ||
| 1989 | - | - | - | - | - | - | - | - | - | ||
| GUINEA | 90.04 | Ì | 8479 | 24112 | 0 | 2033 | 4514 | 1473 | 184 | 760 | 50300 |
| 1978 | |||||||||||
| 1979 | |||||||||||
| CHALCI | 80.08 | * | 5447 | 18527 | 971 | 2060 | 1987 | 465 | 2 | 8 | 29467 |
| 1981 | - | - | - | - | - | - | - | - | - | ||
| 1982 | - | - | - | - | - | - | - | - | - | ||
| 1983 | - | - | - | - | - | - | - | - | - | ||
| 1984 | - | - | - | - | - | - | - | - | - | ||
| CHALCI | 84.07 | * | 7359 | 27254 | 285 | 1584 | 5292 | 682 | 68 | 8 | 42533 |
| CHALCI | 85.07 | * | 6142 | 15907 | 1010 | 1152 | 6550 | 624 | 51 | 18 | 31455 |
| CHALCI | 86.07 | * | 7958 | 13999 | 856 | 1578 | 5702 | 395 | 119 | 0 | 30605 |
| 1987 | - | - | - | - | - | - | - | - | - | ||
| 1988 | - | - | - | - | - | - | - | - | - | ||
| 1989 | - | - | - | - | - | - | - | - | - | ||
| GUINEA | 90.04 | * | 4659 | 24112 | 0 | 2033 | 4514 | 1473 | 101 | 367 | 36892 |
| D E N S I T Y | |||
|---|---|---|---|
| SURVEY | TYPE | TOTAL | EXCL.TRIGGERFISH |
| CHALCI 78.02 | Ì | 30 | 26 |
| CHALCI 79.03 | Ì | 40 | 36 |
| 1980 | - | - | |
| 1981 | - | - | |
| 1982 | - | - | |
| CHALCI 83.01 | Ì | 111 | 32 |
| CHALCI 83.03 | Ì | 33 | 25 |
| CHALCI 84.01 | Ì | 67 | 46 |
| CHALCI 85.02 | Ì | 55 | 37 |
| CHALCI 86.02 | Ì | 41 | 28 |
| 1987 | - | - | |
| 1988 | - | - | |
| 1989 | - | - | |
| GUINEA 90.04 | Ì | 48 | 48 |
| CHALCI 78.0 | * | 25 | 21 |
| CHALCI 79.03 | * | 34 | 31 |
| 1980 | - | - | |
| 1981 | - | - | |
| 1982 | - | - | |
| CHALCI 83.01 | * | 74 | 29 |
| CHALCI 83.03 | * | 27 | 22 |
| CHALCI 84.01 | * | 45 | 34 |
| CHALCI 85.02 | * | 43 | 32 |
| CHALCI 86.02 | * | 34 | 26 |
| 1987 | - | - | |
| 1988 | - | - | |
| 1989 | - | - | |
| GUINEA 90.04 | * | 35 | 35 |
| SURVEY | TYPE | DENSITY | |
|---|---|---|---|
| TOTAL | EXCL.TRIGGERFISH | ||
| 1978 | - | - | |
| 1979 | - | - | |
| CHALCI 80.08 | Ì | 31 | 29 |
| 1981 | - | - | |
| 1982 | - | - | |
| 1983 | - | - | |
| 1984 | - | - | |
| CHALCI 84.07 | Ì | 33 | 33 |
| CHALCI 85.07 | Ì | 38 | 36 |
| CHALCI 86.07 | Ì | 29 | 29 |
| 1987 | - | - | |
| 1988 | - | - | |
| 1989 | - | - | |
| GUINEA 90.04 | Ì | 48 | 48 |
| 1978 | |||
| 1979 | |||
| CHALCI 80.08 | * | 28 | 27 |
| 1981 | - | - | |
| 1982 | - | - | |
| 1983 | - | - | |
| 1984 | - | - | |
| CHALCI 84.07 | * | 40 | 40 |
| CHALCI 85.07 | * | 30 | 29 |
| CHALCI 86.07 | * | 29 | 28 |
| 1987 | - | - | |
| 1988 | - | - | |
| 1989 | - | - | |
| GUINEA 90.04 | * | 35 | 35 |
| BIOMASS ESTIMATES | ||||||
|---|---|---|---|---|---|---|
| ACOUSTIC | TRAWL | % OF | ||||
| TRIGGERFISH | ||||||
| SURVEY | PERIOD | WARM | COLD | WARM | COLD | IN TOTAL |
| CHALCI | 78.02 | 4420 | 14 % | |||
| CHALCI | 79.03 | 4200 | 10 % | |||
| CHALCI | 80.08 | 1861 | 6 % | |||
| FRITJOFF NANSEN | 81.06 | 188000 | 82 % | |||
| ECHOBAL 2 | 81.1 | 46000 | 25 % | |||
| CHALCI | 83.01 | 87762 | 72 % | |||
| CHALCI | 83.03 | 8791 | 24 % | |||
| CHALCI | 84.01 | 22984 | 31 % | |||
| CHALCI | 84.07 | 248 | .5 % | |||
| CHALCI | 85.02 | 19328 | 32 % | |||
| CHALCI | 85.07 | 2045 | 5 % | |||
| CHALCI | 86.02 | 13762 | 31 % | |||
| CHALCI | 86.07 | 728 | 2 % | |||
| CORNIDE SAAVEDRA | 86.08 | 36000 | 18 % | |||
| CORNIDE SAAVEDRA | 87.06 | 125000 | 63 % | |||
| FRIDTJOFF NANSEN | 89.1 | 0 | 0 % | |||
| GUINEA | 90.04 | 0 | 0 % | |||
| TABOU | SAN PEDRO | SASSANDR | FRESCO | ABIDJAN | ASSINIE | |
|---|---|---|---|---|---|---|
| JAN 1 | 32.8 | 21.9 | 22.8 | 6.1 | 25.1 | 5.2 |
| JAN 2 | 45.7 | 44.5 | 37.0 | 38.1 | 35.8 | 16.0 |
| FEB 1 | 44.2 | 37.5 | 30.9 | 23.4 | 33.5 | 27.3 |
| FEB 2 | 26.5 | 16.1 | 9.9 | 15.3 | 13.0 | 3.3 |
| MARCH 1 | 1.0 | -6.5 | -6.6 | -19.1 | -20.8 | |
| MARCH 2 | -0.5 | -8.2 | -14.2 | -23.9 | -30.5 | |
| APRIL 1 | 13.5 | 5.5 | 0.6 | -10.6 | -20.4 | -27.2 |
| APRIL 2 | 12.6 | -11.2 | -7.1 | -6.2 | -18.1 | -23.2 |
| MAY 1 | -21.7 | -25.6 | -20.9 | -25.9 | -29.5 | |
| MAY 2 | -12.3 | -12.7 | -13.0 | -16.3 | -26.5 | |
| JUNE 1 | -14.4 | -1.5 | -12.1 | -17.3 | -26.9 | |
| JUNE 2 | 16.9 | 23.3 | 14.8 | -3.4 | 18.8 | |
| JULY 1 | 2.7 | 13.1 | 15.8 | -0.7 | 29.6 | |
| JULY 2 | 38.4 | 71.9 | 43.9 | 73.8 | 74.5 | |
| AUGUST 1 | 68.8 | 103.0 | 90.3 | 95.4 | 77.7 | |
| AUGUST 2 | 61.7 | 92.8 | 103.5 | 82.4 | 95.8 |
Note: A high positive figure indicates good upwelling
| S. officinalis | O. vulgaris | |||
|---|---|---|---|---|
| DENSITY | % | DENSITY | % | |
| CHALCI 78.02 | 0.21 | 73 | 0.08 | 27 |
| CHALCI 79.03 | 0.23 | 60 | 0.08 | 21 |
| CHALCI 83.01 | 0.08 | 52 | 0.04 | 24 |
| CHALCI 83.03 | 0.21 | 91 | 0.01 | 5 |
| CHALCI 84.01 | 0.08 | 20 | 0.19 | 46 |
| CHALCI 85.02 | 0.53 | 80 | 0.13 | 19 |
| CHALCI 86.02 | 0.18 | 60 | 0.07 | 25 |
| AVERAGE 86–90 | 0.22 | 62 | 0.06 | 24 |
| GUINEA 90.04 | 1.33 | 40 | 0.4 | 21 |

Fig. 1.1 Length-frequency histogram: Brachydeuterus auritus April 1989, Côte d'Ivoire

Fig. 1.2 Length-frequency histogram: Dentex angolensis April 1989, Côte d'Ivoire
Fig. 1.3 Length-frequency histogram: Pagellus bellottii April 1989, Côte d'Ivoire

Fig. 1.4 Length-frequency histogram: Pagellus bellottii April 1990, Côte d'Ivoire









Fig. 5 FRUT Surveys Trawling Stations, 1969–1970 and 1979–80

Fig. 6 FRUT Surveys Sampling Design, 1981–90

Fig. 7 GUINEA-90 Densities (kg/ha) for total demersal species by sector

FIGURE 8: TREND OF DENSITIES ESTIMATED


Fig. 9 Geographical distribution of Balistes capriscus GUINEA-90

Fig. 10 Lagocephalus laevigatus: Catches by stratum and sector GUINEAN-90

Fig. 11 Geographical distribution of Lagocephalus laevigatus GUINEA-90

Fig. 12 Lagocephalus laevigatus: average weight by depth stratum and sector GUINEA-90
FIGURE 13.1 DEMERSAL SURVEYS (1978–1990) COTE IVOIRE Min.DENSITY (with & without Balistes)

FIGURE 13.2 DEMERSAL SURVEYS (1978–1990) COTE IVOIRE Min.DENSITY (with & without Balistes)




FIGURE 16. COTE D'IVOIRE, DEMERSAL FISH SURVEY FROM 1978 TO 1990

FIGURE 17. COTE D'IVOIRE, DEMERSAL FISH SURVEY FROM 1978 TO 1990



Fig. 19. Production isopleths for seven species of economic importance landed by Ivorian trawlers
LISTE DES RAPPORTS COPACE/PACE - LIST OF CECAF/ECAF REPORTS
FAO. 1975 A bibliography of West African marine fisheries and fishery oceanography. Rome, FAO, CECAF/ECAF Series 75/1, 145 p., Supplement 1, 73 p.
FAO. 1975 Bibliographie sur les pêches maritimes et l'océanographie appliquée aux pêches en Afrique de l'Ouest. Rome, FAO, COPACE/PACE Séries 75/1, 145 p., Supplément 1, 73 p.
Ansa-Emmim, M. and D. Levi. 1975 Biostatistical data for stock assessment purposes: Present situation and suggestions for improvement. Rome, FAO, CECAF/ECAF Series 75/2, 16 p.
Ansa-Emmim, M. et D. Levi. 1975 Données biostatistiques requises aux fins d'évaluation des stocks: Situation présente et suggestions pour leur amélioration. Rome, FAO, COPACE/PACE Séries 75/2, 17 p.
Hamlisch, R. and G.K.F. Moore. 1975 Joint ventures in fishery development in the CECAF area. Rome, FAO, CECAF/ECAF Series 75/3, 25 p.
Hamlisch,1975 R. et G.K.F. Moore. Les armements communs et le développement des pêches dans la zone du COPACE. Rome, FAO, COPACE/PACE Séries 75/3, 26 p.
Everett, 1976 G.V. An overview of the state of fishery development planning in the CECAF region. Rome, FAO, CECAF/ECAF Series 75/4, 67 p.
Everett 1976, G.V. Développement et planification halieutique dans la région du COPACE: Vue d'ensemble. Rome, FAO, COPACE/PACE Séries 75/4, 71 p.
FAO. 1977 Rapport du groupe de travail ad hoc sur l'exploitation de la crevette (Penaeus duorarum notialis) du secteur Mauritanie-Libéria. Rome, FAO, COPACE/PACE Séries 77/5, 85 p.
FAO. 1977 Rapport du groupe de travail ad hoc sur l'évaluation des stocks de crevette (Penaeus duorarum notialis) du secteur Côte d'Ivoire-Congo. Rome, FAO, COPACE/PACE Séries 78/6, 57 p.
FAO. 1979 Report of the ad hoc working group on the evaluation of the shrimp stocks (Penaeus duorarum notialis) of the Ivory Coast-Congo sector. Rome, FAO, CECAF/ECAF Series 78/6, 59 p.
FAO. 1978 Report of the ad hoc working group on sardine (Sardina pilchardus Walb.). Rome, FAO, CECAF/ECAF Series 78/7, 35 p.
FAO. 1978 Rapport du groupe de travail ad hoc sur la sardine (Sardina pilchardus Walb.). Rome, FAO, COPACE/PACE Séries 78/7, 35 p.
FAO. 1979 Report of the ad hoc working group on coastal demersal fish stocks from Mauritania to Liberia. Rome, FAO, CECAF/ECAF Series 78/8, 98 p.
FAO. 1979 Rapport du groupe de travail ad hoc sur les stocks côtiers démersaux vivant entre le sud de la Mauritanie et le Libéria. Rome, FAO, COPACE/PACE Séries 78/8, 99 p.
FAO. 1979 Report of the ad hoc working group on hakes (Merluccius merluccius (Linnaeus), Merluccius senegalensis (Cadenat) and Merluccius cadenati (Doutre), in the northern zone of CECAF. Rome, FAO, CECAF/ECAF Series 78/9, 93 p.
FAO. 1979 Rapport du groupe de travail ad hoc sur les merlus Merluccius merluccius (Linné), Merluccius senegalensis (Cadenat) et Merluccius cadenati (Doutre), dans la zone nord du COPACE. Rome, FAO, COPACE/PACE Séries 78/9, 93 p.
FAO. 1979 Report of the ad hoc working group on coastal pelagic fish in West Africa from Mauritania to Liberia (26°N to 5°N). Rome, FAO, CECAF/ECAF Series 78/10, 161 p.
FAO. 1979 Rapport du groupe de travail ad hoc sur les poissons pélagiques côtiers ouest-africains de la Mauritanie au Libéria (26°N à 5°N). Rome, FAO, COPACE/PACE Séries 78/10, 165 p.
FAO. 1979 Report du groupe de travail ad hoc sur l'évaluation des stocks de céphalopodes. Rome, COPACE/PACE Séries 78/11, 135 p.
FAO. 1979 Report of the ad hoc working group on cephalopod stocks in the northern zone of CECAF. Rome, FAO, CECAF/ECAF Series 78/11, 149 p.
Gulland, 1979 J.A. Towards the management of the resources of the CECAF region. Rome, FAO, CECAF/ECAF Series 79/12, 19 p.
Gulland, 1979 J.A. Vers la gestion des ressources de la région du COPACE, Rome, FAO COPACE/PACE Séries 79/12, 25 p.
Gulland, J.A. 1979 Problems of managing the CECAF hake and seabream stocks. Rome, FAO CECAF/ECAF Series 79/13, 7 p.
Gulland, J.A. 1979 La gestion des stocks de merlus et de sparidés dans la région du COPACE. Rome, FAO, COPACE/PACE Séries 79/13, 10 p.
FAO. 1979 Rapport du groupe de travail spécial sur l'évaluation des stocks démersaux du secteur Côte d'Ivoire-Zaïre. Rome, FAO, COPACE/PACE Séries 79/14, 74 p.
FAO. 1979 Report of the special ad hoc working group on the evaluation of demersal stocks of the Ivory Coast-Zaire sector. Rome, FAO, CECAF/ECAF Series 79/14, 74 p.
FAO. 1980 Report of the second meeting of the working group on sardine (Sardina pilchardus Walb.). Rome, FAO, CECAF/ECAF Series 79/15, 37 p. + appendixes
FAO. 1980 Rapport de la deuxième réunion du groupe de travail sur la sardine (Sardina pilchardus Walb). Rome, FAO, COPACE/PACE Séries 79/15, 40 p. + annexes
FAO. 1979 Catalogue des engins de pêche artisanale du Sénégal. Rome, FAO, COPACE/PACE Séries 79/16, 111 p.
FAO. 1981 A Manual on Acoustic Surveys: Sampling methods for acoustic surveys. Rome, FAO, CECAF/ECAF Series 80/17, 137 p.
Pereiro, 1980 J.A. y J. Bravo de Laguna. Dinámica de la población y evaluación de los recursos del pulpo del Atlántico Centro-oriental. Rome, FAO, CPACO/PACO Serie 80/18, 53 p.
Pereiro, 1981 J.A. et J. Bravo de Laguna. Dynamique des populations et évaluation des stocks de poulpe de l'Atlantique Centre-Est. Rome, FAO, COPACE/PACE Séries 80/18, 57 p.
Christy,1979 F.T. Economic benefits and arrangements with foreign fishing countries in the northern sub-region of CECAF: A preliminary assessment. Rome, FAO, CECAF/ECAF Series 79/19, 39 p.
Christy, 1979 F.T. Bénéfices économiques et accords avec la pêche étrangère dans la sous-région septentrionale du COPACE: Evaluation préliminaire. Rome, FAO, COPACE/PACE Séries 79/19, 41 p.
FAO. 1980 Report of the ad hoc working group on Sardinella stocks from Congo to southern Angola. Rome, FAO, CECAF/ECAF Series 80/20, 56 p.
FAO. 1980 Rapport du groupe de travail ad hoc sur les sardinelles du Congo au sud de l'Angola. Rome, FAO, COPACE/PACE Séries 80/20, 59 p.
FAO. 1980 Report of the ad hoc working group on Sardinella off the coast of Ivory Coast-Ghana-Togo. Rome, FAO, CECAF/ECAF Series 80/21, 72 p.
FAO. 1980 Rapport du groupe de travail ad hoc sur les sardinelles des côtes de Côte d'Ivoire-Ghana-Togo. Rome, FAO, COPACE/PACE Séries 80/21, 73 p.
Grosslein, M.D. and A. Laurec. 1982 Bottom trawl surveys: Design, operation and analysis. Rome, FAO, CECAF/ECAF Series 81/22, 25 p.
Grosslein, M.D. et A. Laurec. 1982 Etudes par chalutage démersal: Planification, conduite des opérations et analyse des résultats. Rome, FAO, COPACE/PACE Séries 81/22, 27 p.
FAO. 1980 Report of the second ad hoc working group on coastal demersal stocks from southern Mauritania to Liberia. Rome, FAO, CECAF/ECAF Series 80/23, 11 p.
FAO. 1980 Rapport du deuxième groupe de travail ad hoc sur les stocks démersaux côtiers du sud de la Mauritanie au Libéria. Rome, FAO, COPACE/PACE Séries 80/23,11 p.
FAO. 1982 Rapport du groupe de travail spécial sur les stocks de céphalopodes de la région nord du COPACE. Rome, FAO, COPACE/PACE Séries 82/24, 180 p.
FAO. 1982 Report of the special working group on cephalopod stocks in the northern region of CECAF. Rome, FAO, CECAF/ECAF Series 82/24, 178 p.
Garcia, S. 1982 Distribution, migration and spawning of the main fish resources in the northern CECAF area. Rome, CECAF/ECAF Series 82/25, 9 p. + 11 charts
Garcia, S. and L. Villegas. 1983 Demersal fish assemblages in Liberia, Ghana, Togo, Benin and Cameroon. Rome, FAO, CECAF/ECAF Series 83/26, 16 p. + 7 charts
FAO. 1984 Rapport du groupe de travail ad hoc sur les chinchards et les maquereaux de la zone nord du COPACE. Rome, FAO, COPACE/PACE Séries 83/27, 188 p.
Garcia, 1984 S. The problems of unstable resources management. Rome, FAO, CECAF/ECAF Series 84/28, 39 p.
Garcia, 1984 S. Les problèmes posés par l'aménagement des ressources instables. Rome, FAO, COPACE/PACE Séries 84/28, 30 p.
FAO. 1984 Report on the R/V DR FRIDTJOF NANSEN fish resource surveys of West Africa: Morocco to Ghana, and Cape Verde, May 1981-March 1982. Rome, FAO, CECAF/ECAF Series 84/29, 190 p.
Roullot, J. et A. Fahfouhi. 1984 Catalogue des engins de pêche du Maroc. Rome, FAO, COPACE/PACE Séries 84/30, 281 p.
Anum Doyi, B. 1984 Catalogue of small-scale fishing gear of Ghana. Rome , FAO, CECAF/ECAF Series 84/31, 62 p.
Poinsard, F. et S. Garcia. 1984 L'évaluation des ressources et l'aménagement des pêches dans la région du COPACE: Analyse perspective. Rome, FAO, COPACE/PACE Séries 84/32, 36 p.
Poinsard, F. and S. Garcia. 1984 Stock assessment and fisheries management in the CECAF region: A perspective view. Rome, FAO, CECAF/ECAF Series 84/32, 34 p.
FAO. 1986 Rapport du premier groupe de travail spécial sur les pêcheries de merlus et de crevettes profondes dans la zone nord du COPACE. Rome, FAO, COPACE/PACE Séries 86/33, 295 p.
Ssentongo, G.W. and M. Ansa-Emmim. 1986 Marine fishery resources of Sierra Leone: A review of exploited fish stocks. Rome, FAO, CECAF/ECAF Series 86/34, 76 p.
FAO. 1986 Rapport du groupe de travail ad hoc sur les ressources démersales et les crevettes du secteur Gabon-Congo. Rome, FAO, COPACE/PACE Séries 86/35, 100 p.
FAO. 1986 Report of the CECAF ad hoc working group on the demersal and shrimp resources of the Central Gulf of Guinea Division (34.3.5). Rome, FAO, CECAF/ECAF Series 86/36, 108 p.
Josse, E. et S. Garcia. 1986 Description et évaluation des ressources halieutiques de la ZEE mauritanienne. Rome, FAO, COPACE/PACE Séries 86/37, 310 p.
FAO. 1987 Report of the first ad hoc working group on sea bream (Sparidae) stocks in the northern CECAF Zone. Rome, FAO, CECAF/ECAF Series 86/38, 445 p.
FAO. 1986 Rapport de la troisième réunion du groupe de travail ad hoc sur la sardine Sardina pilchardus (Walb.). Rome, FAO, COPACE/PACE Séries 86/39, 157 p.
Ssentongo, G.W., E.T. Ukpe and T.O. Ajayi. 1986 Marine fishery resources of Nigeria: A review of exploited fish stocks. Rome, FAO, CECAF/ECAF Series 86/40, 62 p.
FAO. 1987 Rapport du troisième groupe de travail ad hoc sur l'évaluation des stocks de céphalopodes dans la région nord du COPACE. Rome, FAO, COPACE/PACE Séries 86/41, 88 p.
FAO. 1987 Catalogue des engins de pêche du Gabon. Rome, FAO, COPACE/PACE Séries 87/42, 65 p.
FAO. Catalogue des engins de pêche du Cameroun. Rome, FAO, COPACE/PACE Séries 87/43, 65 p.
Ssentongo, G.W. and J. C. Njock. 1987 Marine fishery resources of Cameroon: A review of exploited fish stocks. Rome, FAO, CECAF/ECAF Series 87/44, 57 p.
Ssentogo, G.W. 1987 Marine fishery resources of Liberia: a review of exploited fish stocks. Rome, FAO, CECAF/ECAF Series 87/45, 64 p.
FAO. 1987 Rapport du deuxième groupe de travail ad hoc sur les chinchards et les maquereaux de la zone nord du COPACE. Rome, FAO, COPACE/PACE Séries 87/46, 190 p.
FAO. 1989 Rapport de la consultation technique sur les petits pélagiques côtiers de la Division Statistique Golfe de Guinée ouest. Rome, FAO, COPACE/PACE Séries 89/47, 91 p.
FAO. 1989 Report of the Technical consultation on small pelagics species in statistical division: Western Gulf of Guinea. Rome, FAO, CECAF/ECAF Series 89/47 (in press)
FAO. 1989 Report of the ad hoc Working Group on demersal stocks in the western Gulf of Guinea Statistical Division of CECAF (Côte d'Ivoire, Ghana, Togo, Benin), Tenerife, 23–27 March 1987. Rome, FAO, CECAF/ECAF Series 89/48 (in press)
FAO. 1989 Rapport du groupe de travail ad hoc sur les stocks démersaux du Golfe de Guinée ouest (Division statistique 34.3.4). Rome, FAO, COPACE/PACE Séries 89/48, 317 p.
FAO. 1989 Les ressources halieutiques de la ZEE mauritanienne: description, évaluation et aménagement. Rapport du deuxième Groupe de travail CNROP/FAO/ORSTOM Nouadhibou, Mauritanie, 12–22 novembre 1988. Rome, FAO, COPACE/PACE Séries 89/49, 237 p.
FAO. 1990 Rapport des groupes de travail ad hoc sur la sardine et sur les chinchards et les maquereaux dans la région nord du COPACE, Centre océanographique Santa Cruz de Tenerife, Espagne, 18–24 mars 1989. Rome, FAO, COPACE/PACE Séries 90/50, 371 p.
FAO. 1990 Report of the ad hoc Working Groups on sardine and on horse-mackerel and mackerel in the northern region of CECAF. Oceanographic Centre, Santa Cruz de Tenerife, Spain, 18–24 March 1989. Rome, FAO, CECAF/ECAF Series 90/50 (in press)
FAO. 1990 Rapport du groupe de travail sur les merlus et les crevettes d'eaux profondes dans la zone nord du COPACE. Centre océanographique, Santa Cruz de Tenerife, Espagne, 22–27 janvier 1990. Rome, FAO, COPACE/PACE Séries 90/51, 249 p.
FAO. Report of the ‘Guinea 90’ Survey. Rome, FAO, CECAF/ECAF Series 91/52 (in preparation)
[translated from the original Spanish issued as “Informe de la Campaña Guinea 90” by the Instituto Español de Oceanografía (1990), 403 p.]
Mabawonku, A.F. 1990 The role and effect of subsidies on fisheries development in West Africa (Nigeria, Côte d'Ivoire, The Gambia and Senegal). Rome, FAO, CECAF/ECAF Series 90/53, 48 p.
Mabawonku, A.F. 1991 Rôle et effet du subventionnement sur le développement des pêches en Afrique de l'Ouest (Nigéria, Côte d'Ivoire, Gambie et Sénégal). Rome, FAO, COPACE/PACE Séries 91/53, 51 p.
FAO. 1991 Rapport du groupe de travail sur les ressources démersales du plateau et du talus continental de la Guinée-Bissau, de la Guinée et de la Sierra Léone. Conakry, 4–9 février 1991. Rome, FAO, COPACE/PACE Séries 91/54 (en préparation)
FAO. 1991 Report of the Working Group on the Demersal Fishery Resources in the Western Gulf of Guinea and Sherbro Statistical Division. Centre de Recherches océanographiques, Abidjan, Côte d'Ivoire, 24–28 September 1990, Rome, FAO, CECAF/ECAF Series 91/55,
LISTE DES RAPPORTS TECHNIQUES DU COPACE - LIST OF CECAF TECHNICAL REPORTS
Everett, G.V. 1976 Quelques observations et recommandations sur le développement de la pêche maritime en République du Togo. Dakar, Project COPACE, COPACE/TECH/76/1, 46 p.
Robertson, I.J.B. 1977 Summary report: FIOLENT 1976 Eastern Central Atlantic coastal fishery resource survey, southern sector. Rome, FAO, CECAF/TECH/77/2, 115 p.
Robertson, I.J.B. 1978 Compte-rendu sommaire: FIOLENT 1976. Prospections des ressources ichtyologiques côtières de l'Atlantique Centre-Est, secteur sud. Rome, FAO, COPACE/TECH/77/2, 117 p.
Talarczak, K. and I. Mizuishi. 1976 Industrial marine fisheries in the CECAF area. PartI: Morocco to Liberia. Dakar, CECAF Project, CECAF/TECH/76/3, 65 p.
Talarczak, K. et I. Mizuishi. 1976 Pêches maritimes industrielles dans la région COPACE. Première Partie: du Maroc au Libéria. Dakar, Projet COPACE, COPACE/TECH/76/3, 75 p.
Everett, G.V. 1977 A preliminary analysis of the Ghanian marine fishery sector with particular reference to future development. Dakar, CECAF Project, CECAF/TECH/77/4, 60 p.
Talarczak, K. and I. Mizuishi. 1977 Industrial marine fisheries in the CECAF area. Part II: Ivory Coast to Zaire. Dakar, CECAF Project, CECAF/TECH/77/5, 71 p.
Talarczak, K. et I. Mizuishi. 1977 Pêches maritimes dans la région COPACE, deuxième partie: la Côte-d'Ivoire au Zaire. Dakar, Projet COPACE, COPACE/TECH/77/5, 75 p.
Everett, G.V. 1978 The Northwest African Fishery : problems of management and development. Dakar, CECAF Project, CECAF/TECH/78/6, 43 p.
Everett, G.V. 1978 Les pêches africaines du nord-ouest: problèmes d'aménagement et de développement. Dakar, Projet COPACE, COPACE/TECH/78/6, 55 p.
Haywood, K.H. 1978 A model for planning fishery development in the CECAF region. Dakar, CECAF Project, CECAF/TECH/78/7, 35 p.
FAO. 1978 Report of the working group on standardization of age determination of the sardine (Sardina pilchardus W.). Dakar, CECAF Project, CECAF/TECH/78/8, 12 p.
FAO. 1978 Rapport du groupe de travail sur l'unification de la détermination de l'âge de la sardine (Sardina pilchardus W.). Dakar, Projet COPACE, COPACE/TECH/78/8, 13 p.
Talarczak, K. and L. Haling. 1978 Planning of fish handling facilities for a rural fishery centre. Dakar, CECAF Project, CECAF/TECH/78/9, 19 p.
Everett, G.V. 1978 The fisheries of Guinea, Sierra Leone and Liberia: observations on their management and development. Dakar, CECAF Project, CECAF/TECH/78/10, 33 p.
Everett, G.V. 1978 Les pêches en Guinée, Sierra Leone et Libéria: Commentaires sur leur gestion et leur développement. Dakar, Projet COPACE, COPACE/TECH/78/10, 32 p.
Fidell, E.R. 1978 Legal and institutional aspects of fisheries management in the Republic of Liberia. Dakar, CECAF Project, CECAF/TECH/78/11, 38 p.
Fidell, E.R. 1978 Legal and institutional aspects of fisheries management in the Republic of Sierra Leone. Dakar, CECAF Project, CECAF/TECH/78/12, 39 p. + appendixes
FAO. 1979 Etude préliminaire sur les relations entre investissements et emplois dans le domaine de la pêche. Dakar, Projet COPACE, COPACE/TECH/79/13, 31 p.
FAO. 1979 Report of the ad hoc working group on fishery planning. Dakar, CECAF Project, CECAF/TECH/79/14, 63 p.
Yamamoto, T. and M. Ansa-Emmim. 1979 CECAF Project statistical survey of Las Palmas based international trawlers. February 1978 - February 1979. Dakar, CECAF Project, CECAF/TECH/79/15, 40 p.
Griffin, W.L., J.P. Warren and W.E. Grant. 1979 A bioeconomic model for fish stock management: the cephalopod fishery of Northwest Africa. Dakar, CECAF Project, CECAF/TECH/79/16, 42 p.
Griffin, W.L., J.P. Warren et W.E. Grant. 1979 Modèle bioéconomique de gestion des stocks halieutiques: la pêche des céphalopodes de l'Afrique de l'Ouest. Dakar, Projet COPACE, COPACE/TECH/79/16, 42 p.
Lamming, G.N. and M. Hotta. 1979 Fisheries cooperatives in West Africa. Dakar, CECAF Project, CECAF/TECH/79/17, 18 p.
Lamming, G.N. et M. Hotta. 1980 Les coopératives de pêcheurs en Afrique de l'Ouest. Dakar, Projet COPACE, COPACE/TECH/79/17, 18 p.
FAO. 1979 Report of the workshop on the standardization of age reading techniques for Sardina pilchardus (W.). Dakar, CECAF Project, CECAF/TECH/79/18, 25 p.
FAO. 1979 Rapport du séminaire pour l'unification des techniques de lecture d'âge et d'interprétation de Sardina pilchardus (W.). Dakar, Projet COPACE, COPACE/TECH/79/18, 26 p.
FAO. 1980 Rapport de la réunion spéciale sur la mesure de l'effort de pêche appliquée aux petites espèces pélagiques dans la zone nord du COPACE. Dakar, Projet COPACE, COPACE/TECH/80/19, 64 p.
Evans, E. Sierra Leone: 1980 An Act to provide for the management and development of fisheries. Dakar, CECAF Project, CECAF/TECH/80/20, 54 p.
Everett, G.V., M. Ansa-Emmim and I. Mizuishi. 1980 A summary overview of fisheries in the CECAF region. Dakar, CECAF Project, CECAF/TECH/80/21, 62 p.
Everett, G.V., M. Ansa-Emmim et I. Mizuishi. 1980 Résumé de la situation générale des pêches dans la région du COPACE. Dakar, Projet COPACE, COPACE/TECH/80/21, 60 p.
Jennings, M.G. 1980 The enforcement of fishery regulations. Dakar, CECAF Project, CECAF/TECH/80/22, 23 p.
Jennings, M.G. 1980 Mise en oeuvre de la réglementation des pêches. Dakar, Projet COPACE, COPACE/TECH/80/22, 26 p.
Jones, R. 1980 Tagging possibilities in the northern sub-region of CECAF. Dakar, CECAF Project, CECAF/TECH/80/23, 65 p.
Evans, E. Liberia: 1980 Fisheries Law (second interim report). Dakar, CECAF Project, CECAF/TECH/80/24, 9 p.
Rijavec, L. 1980 A summary of the demersal fish resources of Ghana. Dakar, CECAF Project, CECAF/TECH/80/25, 28 p. + tables, figures and appendixes
Shimura, T. 1980 CECAF statistical survey of Las Palmas based international trawlers. Dakar, CECAF Project, CECAF/TECH/80/26, 40 p.
Shimura, T. 1980 Etude statistique sur les chalutiers internationaux basés à Las Palmas. Dakar, Projet COPACE, COPACE/TECH/80/26, 41 p.
FAO. 1980 Report on the Joint ICCAT/CECAF working group on juvenile tropical tunas. Dakar, CECAF Project, CECAF/TECH/80/27, 42 p.
FAO. 1980 Report on the ad hoc working group on artisanal fisheries. Dakar, CECAF Project, CECAF/TECH/80/28, 26 p.
FAO. 1980 Rapport du groupe de travail ad hoc sur les pêches artisanales. Dakar, Projet COPACE, COPACE/TECH/80/28, 33 p.
ISPM. 1981 Report of the Evaluation Meeting of the 1980 Cooperative Acoustic survey and the planning meeting for the 1981 Dr. Fridtjof Nansen survey in the CECAF area. Dakar, CECAF Project, CECAF/TECH/81/29, 44 p.
FAO. 1981 Preliminary reports of the Cooperative Acoustic Survey. Dakar, CECAF Project, CECAF/TECH/81/30, 166 p.
FAO. 1981 Contributions soviétiques à l'évaluation des ressources dans la région du COPACE. Dakar, Projet COPACE, COPACE/TECH/81/31, 84 p.
Watanabe, K. 1981 Fish landings and trade in the Republic of Cape Verde. Dakar, CECAF Project, CECAF/TECH/81/32, 35 p.
Nyanteng, V.K. 1981 Trends in fish prices and implications for the development of the Ghanaian industry. Dakar, CECAF Project, CECAF/TECH/81/33, 25 p.
Shimura, T. 1981 Statistical survey of Las Palmas based international trawlers for 1980. Dakar, CECAF Project, CECAF/TECH/81/34, 59 p.
Shimura, T. 1982 Etude statistique, pour l'année 1980, sur les chalutiers internationaux basés à Las Palmas. Dakar, Projet COPACE, COPACE/TECH/81/34, 58 p.
FAO. 1981 Report on the Consultation on monitoring, control and surveillance. Freetown, 30 June-3 July 1981. Dakar, CECAF Project, CECAF/TECH/81/35, 30 p.
FAO. 1981 Rapport de la Consultation sur le suivi, le contrôle et la surveillance. Freetown, 30 juin-3 juillet 1981. Dakar, Projet COPACE, COPACE/TECH/81/35, 31 p.
Kapetsky, J.M. 1981 The artisanal fisheries of coastal lagoons and estuaries in the CECAF region: their importance relative to other fisheries and someconsiderations for their management and development. Dakar, CECAF Project, CECAF/TECH/81/36, 35 p.
Kapetsky, J.M. 1981 Pêche artisanale en lagunes côtières et estuaires dans la région COPACE: sa place dans le secteur des pêches et quelques réflexions sur son aménagement et son développement. Dakar, Projet COPACE, COPACE/TECH/81/36, 32 p.
Caddy, J.F. 1981 Some factors relevant to management of cephalopod resources off West Africa. Dakar, CECAF Project, CECAF/TECH/81/37, 46 p.
Caddy, J.F. 1981 Quelques caractéristiques de l'aménagement des stocks de céphalopodes au large de l'Afrique de l'Ouest. Dakar, Projet COPACE, COPACE/TECH/81/37, 33 p.
Jarrold, R.M. and G.V. Everett. 1981 Some observations on formulation of alternative strategies for development of marine fisheries. Dakar, CECAF Project, CECAF/TECH/81/38, 53 p.
Jarrold, R.M. et G.V. Everett. 1982 Quelques observations sur la formation des stratégies alternatives pour le développement des pêches maritimes. Dakar, Projet COPACE, COPACE/TECH/81/38, 56 p.
FAO. 1982 Report of the Consultation on artisanal fisheries in the CECAF region. Dakar, 1–4 December 1981. Dakar, CECAF Project, CECAF/TECH/82/39, 29 p.
FAO. 1982 Rapport de la consultation sur la pêche artisanale dans la région du COPACE. Dakar, Projet COPACE, COPACE/TECH/82/39, 26 p.
FAO. 1982 Report of the ad hoc Working Group on Sardinella off the coast of Ivory Coast/Ghana/Togo. Dakar, CECAF Project, CECAF/TECH/82/40, 72 p.
FAO. 1982 Rapport du Groupe de travail ad hoc sur la sardinella des côtes de Côte-d'Ivoire/Ghana/Togo. Dakar, Projet COPACE, COPACE/TECH/82/40, 75 p.
Griffin, W.L., W.E. Grant and R. Shotton. 1982 A bioeconomic analysis of a CECAF shrimp fishery, and operations and background data. Dakar, CECAF Project, CECAF/TECH/82/41, 78 p.
Griffin, W.L., W.E. Grant et R. Shotton. 1982 Une analyse bio-économique de la pêche à la crevette dans le COPACE, et les données d'exploitation et historiques. Dakar, Projet COPACE, COPACE/TECH/82/41, 90 p.
Everett, 1982 G.V., M. Ansa-Emmim, M.A. Robinson and F.C. Roest. Recent trends in CECAF fisheries. Dakar, CECAF Projet, CECAF/TECH/82/42, 95 p.
Everett, 1982 G.V., M. Ansa-Emmim, M.A. Robinson et F.C. Roest. Les tendances récentes des pêches du COPACE. Dakar, Projet COPACE, COPACE/TECH/82/42, 75 p.
Shimura, T. 1982 Statistical survey of Las Palmas based international trawlers for 1981. Dakar, CECAF Projet, CECAF/TECH/82/43, 46 p.
Bellemans, M. 1982 Common names of West African marine animals/Noms usuels des animaux marins de l'Ouest Africain. Dakar, CECAF Project, CECAF/TECH/82/44, pag. var.
Gréboval, D. 1982 Analyse bioéconomique des principales pêcheries démersales dans la région nord COPACE. Dakar, Projet COPACE, COPACE/TECH/82/45, 118 p.
Gréboval, D. 1982 Bioeconomic analysis of the principal demersal fisheries in the northern zone of CECAF. Dakar, CECAF Project, CECAF/TECH/82/45, 108 p.
Allain, 1982 R.J. Study of aerial fisheries surveillance as part of MCS system in certain CECAF Coastal States. Dakar, CECAF Project, CECAF/TECH/82/46, 54 p.
Allain, R.J. 1982 Etude de la surveillance aérienne des pêches comme élément du système SCS dans certains états côtiers de l'Afrique occidentale de la région du COPACE. Dakar, Projet COPACE, COPACE/TECH/82/46, 86 p.
Lawson, R. and M.A. Robinson. 1983 The needs and possibilities for the management of canoe fisheries in the CECAF Region. Dakar, CECAF Project, CECAF/TECH/83/47, 23 p.
FAO. 1983 Report of the ad hoc working group on pelagic stocks of the Sherbro Statistical Division (34.3.3). Dakar, CECAF Project, CECAF/TECH/83/48, 162 p.
Shimura, T. 1983 Statistical survey of Las Palmas based international trawlers for 1982. Dakar, CECAF Project, CECAF/TECH/83/49, 46 p.
FAO. 1983 Report of the Workshop on fishing vessels and gear/Rapport de l'atelier de travail sur les bateaux et engins de pêche. Dakar, CECAF Project/Projet COPACE, CECAF/TECH/83/50, 16 p. and/et Supplement to the report of the Workshop on fishing vessels and gear/Supplément au rapport de l'atelier sur les bateaux et engins de pêche, 183 p.
FAO. 1983 Rapport du Groupe de travail sur les statistiques de prises et d'effort de la pêche artisanale. Dakar, 24–27 mai 1983. Dakar, Projet COPACE, COPACE/TECH/83/51, 56 p.
FAO. 1984 Report of the seminar on frame and catch assessment surveys for CECAF coastal countries. Dakar, CECAF Project, CECAF/TECH/84/52, 144 p.
Shimura T. 1984 Statistical survey of Las Palmas based international trawlers for 1983. Dakar, CECAF project, CECAF/TECH/84/53, 44 p.
FAO. 1984 Report of the FAO/UNCTC/CECAF Regional Training Workshop on joint ventures and other commercial arrangements in fisheries. Rapport de l'atelier régional FAO/UNCTC/COPACE de formation sur les armements communs et autres contrats d'association de pêche commerciale. Dakar, CECAF Project, CECAF/TECH/84/54, 28 p.
Robinson, 1984 M.A. and A. Crispoldi. Estimated trade and consumption of fish and fishery products in the CECAF area. Dakar, CECAF Project, CECAF/TECH/84/55, 22 p.
Robinson, 1984 M.A. et A. Crispoldi. Estimation de commercialisation et consommation de poissons et produits de la pêche dans la région du COPACE. Dakar, Projet COPACE, COPACE/TECH/84/55, 23 p.
Shotton, R. 1984 Preliminary assessment of the Northwest African small pelagics fishery. Dakar, CECAF Project, CECAF/TECH/84/56, 118 p.
Epler, B. 1984 Les pêches de la Guinée- Bissau. Dakar, Projet COPACE, COPACE/TECH/84/57, 59 p.
Everett, G.V. 1984 An overview of current development trends in the CECAF Region. Dakar, CECAF Project, CECAF/TECH/84/58, 53 p.
Everett, G.V. 1984 Tendances actuelles du développement dans la région du COPACE. Dakar, Project COPACE, COPACE/TECH/84/58, 62 p.
FAO. 1984 Recherches soviétiques sur les chinchards et les maquereaux de la zone nord du COPACE. Dakar, Projet COPACE, COPACE/TECH/84/59, 111 p.
FAO. 1984 Ethmalosa fimbriata en Afrique Occidentale. Dakar, Projet COPACE, COPACE/TECH/84/60, 89 p.
FAO. 1984 National management and research reports. Dakar, CECAF Project, COPACE/TECH/84/61, 302 p.
FAO. 1984 Assessments of the stocks of Sparidae and Trachurus trachurus off Morocco. Dakar, CECAF Project, CECAF/TECH/84/62, 170 p.
Koranteng, K.A. 1984 A trawling survey off Ghana. Dakar, CECAF Project, CECAF/TECH/84/63, 72 p.
Van der Knaap, M. 1985 Preliminary annotated inventory of the scientific expeditions and resources surveys carried out in the CECAF Area/Inventaire préliminaire annoté des expéditions scientifiques et campagnes de prospection effectuées dans la zone du COPACE. Dakar, Projet COPACE, COPACE/TECH/85/64, 145 p.
FAO. 1985 Report of the second ad hoc Working Group on pelagic stocks of the Sherbro Statistical Division (34.3.3). Dakar, CECAF Project, CECAF/TECH/85/65, 85 p.
Roest, 1985 F.C and A.B. Frielink. Statistical survey of Las Palmas based international trawlers for 1984. Dakar, CECAF Project, CECAF/TECH/85/66, 26 p.
FAO. 1986 Report of the training course on fisheries management and development planning for the CECAF region. Dakar, CECAF Programme, CECAF/TECH/86/67, 13 p.
FAO. 1986 FAO/CECAF/IDAF Workshop on Small-scale fisheries development and management. Dakar, CECAF Programme, CECAF/TECH/86/68, 25 p.
FAO. 1986 Rapport du groupe de travail ad hoc sur les stocks démersaux côtiers (Mauritanie, Sénégal, Gambie). Dakar, Programme COPACE, COPACE/TECH/86/69, 181 p.
Roest,1986 F.C. and A.B. Frielink. Las Palmas survey, 1985. Landings of cephalopods and fish from West African waters. Dakar, CECAF Project, CECAF/TECH/86/70, 32 p.
Bernacsek, G.M. 1986 Profile of the Marine Resources of Ghana. Dakar, CECAF Programme, CECAF/TECH/86/71, 118 p.
Bernacsek, 1986 G.M. et A. Aziablé. Profil des ressources halieutiques du Bénin. Dakar, Programme COPACE, COPACE/TECH/86/72, 70 p.
El-Gharbi, 1986 R. et A. Idelhadj. Caractéristiques bio-économiques et évolution récente de la pêcherie marocaine aux céphalopodes. Dakar, Programme COPACE, COPACE/TECH/86/73, 63 p.
Gréboval, D. 1986 Aménagement des principales pêcheries de la ZEE mauritanienne (résultats préliminaires). Dakar, Programme COPACE, COPACE/TECH/86/74 (en préparation)
Oliver,1986 P., S. Pastor et D. De Armas. Résultats de la Campagne sur l'évaluation des ressources côtières du Gabon (Mission “Gabon-8305”, mai-juin 83). Dakar, Programme COPACE, COPACE/TECH/86/75, 72 p.
Van der Knaap,1986 M., C. Fapina, S. Quaatey, A.N.A. Baddoo and O. Nmashie. The Ghana Sardinella aurita fishery. Dakar, CECAF Programme, CECAF/TECH/86/76, 50 p.
Samba, A. 1986 Collecte et traitement des statistiques de pêche artisanale au Gabon, au Cameroun et au Togo. Dakar, Programme COPACE, COPACE/TECH/86/77, 68 p.
Van der Knaap, M. and A. Lloyd-Evans. 1986 Profile of the Marine Resources of the Gambia. Dakar, CECAF Programme, CECAF/TECH/86/78, 70 p.
Bernacsek, 1987 G.M., D.J. Faggianelli, G.K. Amegavie et F. Lhomme. Profil des ressources halieutiques du Togo. Dakar, Programme COPACE, COPACE/TECH/87/82, 91 p.
FAO. 1987 CECAF Programme, Workshop on gear and vessel technology. Dakar, CECAF Programme, CECAF/TECH/87/83, 214 p.
Diouf, 1987 N.S. Les techniques artisanales de traitement et conservation du poisson au Sénégal, au Ghana, au Bénin et au Cameroun. Dakar, Programme COPACE, COPACE/TECH/87/84, 119 p.
Brainerd, 1987 T.R., A review of seafood trade in the CECAF area. Dakar, Programme COPACE, CECAF/TECH/87/85, 46 p.
Brainerd, 1987 T.R. and /et D.J. Faggianelli. Las Palmas survey 1986. Landings of cephalopods and fish from west African waters. Enquête Las Palmas 1986 sur les débarquements de cephalopodes et poissons pêchés dans les eaux ouest africaines. Dakar, CECAF Programme, CECAF/TECH/87/86, 58 p.
Lopez Abellán, 1987 L.J., A. Cervantes and J.M. de la Serna. Exploratory fishing cruise for demersal stocks in waters of the Republic of The Gambia “Gambia 8611”. Dakar, CECAF Programme, CECAF/TECH/87/87, 187 p.
FAO. CECAF/TECH/90/88 (en préparation)
FAO. CECAF/TECH/90/89 (en préparation)
Taconet, 1988 M., et W.S. Scheffers. Les statistiques de pêche artisanale au Gabon et au Cameroun: Enquête-cadre et propositions pour un système de collecte et de traitement des données d'effort et de capture. Dakar, Programme COPACE, COPACE/TECH/88/90, 101 p.
FAO. 1988 Report on the expert consultation on the conduct and utility of socio-economic studies on the fisheries of the CECAF Area, Dakar, Senegal, 27–29 April 1987. Dakar, CECAF Programme, CECAF/TECH/88/91, 48 p.
Taconet, 1989 M., et D. J. Faggianelli. Enquête Las Palmas 1987 sur les débarquements de céphalopodes et poissons pêchés dans les eaux ouest africaines. Dakar, Programme COPACE, COPACE/TECH/89/92 (bilingual En + Fr), 67 p.
Taconet, 1990 M., et D.J. Faggianelli. Enquête Las Palmas 1988 sur les débarquements de céphalopodes et poissons pêchés dans les eaux ouest africaines. Dakar, Programme COPACE, COPACE/TECH/90/93 (bilingual En + Fr) , 74 p.