Previous PageTable Of ContentsNext Page

Los sistemas de cultivos sostenibles en los Cerrados brasileños

C.R. Spehar y P.I.M. Souza
Centro de Pesquisa Agropecuaria dos Cerrados
CPAC/EMBRAPA, Brasil

RESUMEN

En el Brasil, la escasez de tierras con fertilidad natural para alimentar a una población creciente ha dado lugar a la expansión de la agricultura en las sabanas (Cerrados). Durante los últimos 20 años ha habido inversiones públicas masivas en apoyo de la investigación agrícola para incentivar el desarrollo del sector agrícola en esa región. Actualmente, los Cerrados son importantes tierras agrícolas, y también se obtienen productos ganaderos y forestales. El éxito de este esfuerzo de desarrollo abre nuevas posibilidades para la expansión agrícola sobre una base sostenible con fuertes insumos.

La expansión agrícola en los Cerrados se ha beneficiado de condiciones naturales como pluviosidad suficiente, temperaturas favorables, una topografía idónea para la mecanización, buen drenaje del suelo, así como precios bajos de la tierra. Factores limitadores de la producción eran las características negativas del suelo (altos niveles de acidez y aluminio [Al], baja fertilidad y poca capacidad de retención del agua), la distancia de los puertos de mar y de las principales ciudades y la falta de infraestructura. Agricultores experimentados del sur del Brasil llevaron sus dotes empresariales a los mal conocidos Cerrados. Adoptaron nuevas tecnologías para el éxito de la agricultura en la región, sobre todo el cultivo de la soja. La adaptación de la soja a estas bajas latitudes requirió el desarrollo de variedades con una larga fase juvenil. Este progreso abrió el camino para nuevas y variadas posibilidades de rotación de cultivos.
Otros cultivos explotados ahora son maíz, frijoles, yuca, café, frutales y pastos. Es de esperar que otros cultivos no tradicionales como algodón, quinua, sésamo, guar, garbanzo, achiote, ricino y caucho lleguen también a ser importantes en los sistemas de multicultivo y contribuyan a la estabilidad. En la diversificación de cultivos se incluyen nuevas especies y variedades de forraje para mejorar la producción de carne de vacuno y leche. Más adaptaciones de plantas al entorno de los Cerrados darán lugar a sistemas rotatorios de cultivos para evitar que plagas viejas y nuevas, enfermedades y cizañas depriman el rendimiento. Una mayor tolerancia al aluminio permitirá que las raíces penetren más profundamente para utilizar mejor los nutrientes y para tolerar los períodos secos.
Fue preciso tomar otras medidas para que la expansión agrícola fuese económicamente viable. Hubo que suscitar proveedores locales de cal y fertilizantes, y reunir información sobre tasas económicas aplicables a cultivos anuales y perennes. Una fertilización equilibrada, basada en las necesidades nutricionales de las plantas, elevó los rendimientos.
Se han identificado las principales prácticas erróneas de aprovechamiento y explotación de la tierra, frecuentes en los comienzos de las modernas ocupaciones de tierras y se han propuesto soluciones con miras a la protección del medio ambiente.
Una clave para la estabilidad de la producción en los Cerrados es la conservación y la gestión de los suelos. El mantenimiento y el acrecentamiento de la materia orgánica tiene una importancia capital. Las rotaciones de cultivos y los sistemas de labranza adecuados tendrán un efecto positivo sobre la composición del suelo en materia orgánica, favoreciendo la formación de suelos compuestos y formando así una base para una producción sostenible elevada. Las rotaciones de cultivos deben tener en cuenta la relación carbonio/azoto (C/N) de los residuos de las cosechas. Los residuos de soja tienen una baja proporción de C y se descomponen fácilmente; en consecuencia, deben evitarse los monocultivos de soja.
Ha aumentado el uso de métodos de laboreo mínimo o nulo, con las ventajas de conservación de la humedad, reducción de la erosión, conservación y mejoramiento de la materia orgánica y ahorro de maquinaria y energía. Sin embargo, es preciso ajustar los métodos a las rotaciones de cultivos locales para atender a las necesidades de reposición de nutrientes, escarda y mantenimiento de la cubierta orgánica.
A la expansión de la agricultura siguió la introducción y propagación de malas hierbas. Las especies de malezas que predominan en los Cerrados son las comunes en las zonas de agricultura tradicional del país. Se han adoptado ampliamente métodos químicos de eliminación de las malezas. Puede lucharse contra los principales insectos dañinos mediante plaguicidas, medios biológicos y gestión integrada de plagas. Las prácticas de lucha contra las plagas seguidas en la producción de soja son un buen ejemplo de este enfoque ambientalmente equilibrado.
Las enfermedades se han agravado al aumentar los cultivos, principalmente a consecuencia del monocultivo. La selección genética de especies resistentes ha sido un medio importante para reducir o eliminar procedimientos químicos, de lo que también es ejemplo el cultivo de la soja. La rotación de cultivos ha contribuido a disminuir los riesgos de enfermedades epifíticas. Sin embargo, algunas prácticas aconsejables de rotación que contribuyen a la lucha contra enfermedades y plagas y favorecen tal vez el mantenimiento de la materia orgánica no son económicamente viables sobre una base anual. Sería conveniente que el Gobierno ofrezca incentivos para promover esas prácticas por cuanto contribuyen a la sostenibilidad.
Los agricultores pioneros tropezaron con las desventajas de su desconocimiento de las condiciones locales y la falta de trabajadores especializados. La información sobre sistemas adecuados de labranza y cultivo era escasa, y la disponible no siempre era transmitida con eficiencia por el servicio de extensión. El mal tratamiento continuado del suelo en algunas zonas originó problemas como la esterilidad por falta de materia orgánica, la extinción de especies nativas de plantas y animales y la contaminación de ríos y lagos. Estas pérdidas podían haberse evitado utilizando sistemas modernos de producción.
El método más moderno para mantener un sistema ecológicamente equilibrado en el desarrollo agrícola consiste en la planificación integrada sobre la base de una microcuenca o una zona de captación de aguas. En este sistema, los agricultores cooperan en la utilización de sus recursos naturales comunes. Factores como la hidrología, el tipo de suelo, el clima, el relieve, la vegetación natural y la geología determinan los sistemas de cultivo para la producción agrícola permanente.
Es de esperar que inversiones adicionales en infraestructura seguirán favoreciendo la conversión de los Cerrados en una importante región agrícola mundial. Unas políticas agrícolas realistas desempeñarán un papel importante en la prosperidad permanente de la región, lo que servirá de ejemplo para tierras similares de otros países.

INTRODUCCION

Las sabanas del Brasil ocupan la cuarta parte de la superficie del país y se las conoce en la nación con el nombre de Cerrados. Los Cerrados están situados entre el Océano Atlántico y el río Amazonas y se extienden por unos 200 millones de hectáreas (Figura 1). Hasta hace poco, la región estaba al margen de la agricultura del país. Durante unos 150 años, las inmensas mesetas cortadas sólo por las pendientes en las márgenes de los ríos se dedicaron principalmente a la ganadería, con pocos insumos y una producción baja.

FIGURA 1
Brasil: situación de los Cerrados

V8941s02.GIF (28322 bytes)

Fuente: EMBRAPA, 1979.

El paisaje original del Cerrado ofrecía una gama de vegetación que iba desde pastizales abiertos hasta bosques densos, generalmente próximos a las orillas de los ríos. Se parecía en muchos aspectos a las sabanas africanas, salvo en la elevada acidez dominante. Los suelos originales del Cerrado eran ácidos y escasos en nutrientes, con niveles altos de Al y poca capacidad de conservación de la humedad.
La limitada fertilidad fue una rémora importante para la expansión de la agricultura moderna hasta tiempos recientes; sin embargo, gracias a los logros de la edafología, los aportes de cal y la fertilización masiva han contribuido a los progresos de la agricultura moderna en la región (EMBRAPA, 1980; 1981). Además, los mejoramientos en los cultivos extensivos, de forrajes, de frutales y de especies forestales han jugado un papel importante en el aprovechamiento agrícola moderno de estas tierras antes baldías.
Los Cerrado brasileños y los Llanos Orientales de Colombia son buenos ejemplos de regiones tropicales con graves limitaciones para el desarrollo de sistemas agrícolas sostenibles (Spehar, 1989). En el presente estudio se consideran los antecedentes históricos de los Cerrados y el desarrollo de las técnicas actuales de gestión. Se ponen de manifiesto los problemas derivados del rápido paso de los sistemas tradicionales de cultivo con bajos insumos al moderno enfoque empresarial de explotación, así como las formas en que se han resuelto los problemas relacionados con la ruptura de un sistema de cultivo de subsistencia en cierto modo ecológicamente equilibrado y su sustitución por una agricultura sostenible de elevados insumos.

ANTECEDENTES FISIOGRAFICOS

Clima

La región de los Cerrados tiene dos estaciones: húmeda y seca. La pluviosidad media anual varía entre 1 000 y 2 000 mm. En la mayor parte de la región, las lluvias se presentan de octubre a marzo. Sólo el 15 por ciento de las lluvias caen en la estación seca, lo que impone una severa limitación a los cultivos anuales durante esa estación. No obstante, gracias al exceso de lluvias durante la estación húmeda (Figura 2), el agua se infiltra en gran cantidad en el terreno y forma también arroyos y ríos afluentes de tres de las grandes cuencas fluviales de América del Sur. En tiempos recientes, estos ríos se han utilizado para regadíos con objeto de extender los cultivos a la estación seca.

FIGURA 2
Evapotranspiración, pluviosidad y temperatura en los Cerrados centrales

V8941s03.GIF (15469 bytes)

Los Cerrados tienen una isotermia notable. Las diferencias entre las temperaturas máximas y mínimas varían, a un máximo de 4 a 5 °C y disminuyen progresivamente al aproximarse al ecuador. En la región amazónica (Belém y Manaus), las diferencias son del orden de 1 a 2 °C. Las temperaturas máximas y mínimas se separan más en la estación seca que en la húmeda. La radiación solar diaria media en los Cerrados es de 475 a 500 Langleys (cal/cm2/día) (Adamoli, Macedo y Madeira Neto, 1985).
Hay cuatro zonas ecofiosiográficas que afectan a los Cerrados: la selva húmeda atlántica al este; el Pantanal al suroeste; la selva húmeda amazónica al oeste y noroeste; y la caatinga semiárida al nordeste (Figura 1). La parte central de los Cerrados se caracteriza por mesetas que se elevan a 1 000 m sobre el nivel del mar. Suele haber intervalos secos durante la estación lluviosa, especialmente en las partes limítrofes con la zona semiárida.Como puede verse en el registro pluviométrico a largo plazo (Cuadro 1) de Sete Lagoas, Minas Gerais, en la parte sudoriental de los Cerrados, el número de días lluviosos y su desviación típica revelan una frecuencia errática de intervalos secos durante la temporada de cultivos de secano.

CUADRO 1

Distribución de la pluviosidad en los Cerrados en Sete Lagoas, Minas Gerais, 1928-1986

Mes

Media (mm)

Desviación típica (mm)

Coeficiente de variación (%)

Núm. de días de lluvia

Enero

265,9

149,54

56,2

16,9

Febrero

174,4

110,56

63,4

12,4

Marzo

147,3

90,80

61,6

12,1

Abril

59,1

44,56

75,3

7,0

Mayo

21,7

23,30

107,0

3,4

Junio

7,1

13,89

195,6

1,8

Julio

9,7

16,65

172,1

1,6

Agosto

8,1

12,87

159,6

1,3

Septiembre

33,0

30,45

92,2

4,3

Octubre

109,4

59,25

54,5

10,3

Noviembre

208,9

95,45

45,7

13,1

Diciembre

299,7

126,73

42,0

19,7

Fuente: Assad y Castro, 1992,

Por término medio, hay intervalos secos de ocho, diez o trece días de duración tres veces, dos o una respectivamente por estación lluviosa. Períodos secos de 18 y 22 días se presentan respectivamente dos veces y una cada siete años, como promedio. Los intervalos secos de más de 15 días afectan al rendimiento de las cosechas anuales. Hay bastantes probabilidades de que éstos se presenten en enero y febrero, cuando la mayoría de los cultivos anuales están en la fase reproductiva de desarrollo. El descenso consiguiente del rendimiento dependerá de las características del cultivo. El arroz (Oryza sativa) y el maíz (Zea mays) son más vulnerables que la soja, que tiene un período de floración prolongado y puede escapar a los efectos de la escasez de humedad. La poca profundidad de las raíces de la mayoría de los cultivos anuales se considera la causa principal de la vulnerabilidad a los períodos secos. El problema se ve agravado por la concentración de fertilizantes y cal aplicados en la capa de tierra de labranza. Las raíces permanecen en esta capa superficial y quedan así expuestas a la escasez de humedad. Los beneficios de la mejora de la fertilidad pueden llegar a las capas más profundas del suelo mediante la lixiviación de nutrientes. Se mitiga así el problema de la escasez de agua, pero sólo varios años después de que las tierras vírgenes han sido objeto de explotación agrícola (Ritchey et al., 1980).

Suelos

Una característica común de los suelos en los Cerrados es su baja fertilidad natural, con pH escaso (entre 4,0 y 5,5) y, casi siempre, fuerte saturación de Al. Más del 95 por ciento de los suelos son distróficos. La intensa meteorización ha dado lugar a partículas finas compuestas básicamente de caolinita y de hidróxidos de hierro (Fe) y Al. Los hidróxidos de Fe y Al presentan una alta capacidad de absorción de fosfatos y sulfatos (Madeira Neto, Macedo y Azevedo, 1982). Así, la disponibilidad de fosfatos y nutrientes como potasio (K), calcio (Ca), magnesio (Mg) y cinc (Zn) es muy baja en las zonas vírgenes de los Cerrados. La desiliciación y la lixiviación de cationes ha dado lugar a muy bajas capacidades de cambio de cationes (CCC<13 meq/100g, con valores generalmente en torno a 4). Así pues, aunque el Al puede ocupar hasta el 80 por ciento de la saturación en bases, los valores absolutos de Al intercambiable no son muy elevados. El cultivo de estos suelos no puede ser provechoso sin una mejora adecuada de la fertilidad.

Los ferralsoles (oxisols) son el principal grupo de suelos en los Cerrados (Cuadro 2) y los más utilizados para la agricultura. En los últimos cinco años, se han desbrozado para los cultivos extensiones considerables de arenosoles (inceptisols). Las propiedades físicas y químicas de éstos y otros suelos de los Cerrados han sido descritas con detalle por Madeira Neto, Macedo y Azevedo (1982).

CUADRO 2

Principales clases de suelos en los Cerrados

 

Sistema de clasificación

Superficie

FAO

Brasil

Estados Unidos

km2

Porcentaje

Ferralsoles

Latossolos

Oxisols

935 870

46,0

Arenosoles

Areias quartzosas

Inceptisols

309 715

15,2

Acrisoles/luvisoles

Podzólicos

Ultisols/alfisols

307 677

15,1

Litosoles

Litólicos

Entisols

148 134

7,3

Luvisoles/gleysoles

Plintossolos

Oxisols/inceptisols

122 664

6,0

Cambisoles

Cambissolos

Inceptisols

61 943

3,0

Acrisoles

Concrecionários

Ultisols/oxisols

57 460

2,8

Gleysoles

Gleis

Inceptisols

40 752

2,0

Nitosoles

Terras roxas

Alfisols

34 231

1,7

Otros

Outros

Other

19 154

0,9

Total

   

2 037 600

100,0

Fuente: Adamoli, Macedo y Madeira Neto, 1985.

Dos ferralsoles constituyen más del 90 por ciento de los suelos de esta clase: el latosol rojo oscuro, un haplustox típico caolinítico fino, isohipertérmico (Grove, Ritchey y Naderman, 1980); y el latosol rojo-amarillo, un acrustox típico oxídico, caolinítico, isotérmico (Ritchey, Silva y Costa, 1982) en el sistema de clasificación de los Estados Unidos. En el primero, las capas más profundas del suelo contienen grandes cantidades de Al; en el último, el contenido de calcio (Ca) es muy bajo, llegando casi a desaparecer al aumentar la profundidad del perfil. La saturación en bases es baja. Elevados niveles de Al y la escasez de Ca impiden que la mayoría de las plantas cultivadas echen raíces profundas
Las principales características físicas que suelen encontrarse en estos suelos son un drenaje de moderado a alto y una profundidad mayor de 2 m, con muy poca diferencia entre horizontes A y B. La estructura gra-nular de los suelos de los Cerrados es excelente, lo que permite la mecanización inmediatamente después de fuertes lluvias (Sánchez, 1976). La textura del suelo varía entre arcilloso y muy arenoso. Esta última predomina en amplias zonas de Mato Grosso septentrional, Bahía occidental, Río Tocantins y Piauí meridional. En estos suelos arenosos, la capacidad de retención de la humedad es todavía peor que en las zonas arenosas, lo que perjudica más a los cultivos anuales durante los intervalos secos. El tarquín es un componente menor en la mayoría de los suelos de los Cerrados.

Relieve

El relieve de los Cerrados varía según la litología de la zona. En las rocas cristalinas precambrianas aplanadas predominan las mesetas, tierras altas y cuencas entre montañas con montes aislados; en las áreas mesozoicas sedimentarias prevalecen llanuras de diversas dimensiones y pendientes. Ferrasoles, litosoles (entisols) y acrisoles (ultisols), así como luvisoles (alfisols) se encuentran en mesetas amplias y en pendientes en una secuencia geomórfica (Figura 3). Los latosoles rojo-amarillos (ferrasoles) suelen predominar en las llanuras. Su color es grisáceo, típico de la reducción del hierro como resultado de una prolongada saturación hídrica durante la estación húmeda. Su principal característica química es una baja CCC, que en el perfil más bajo carece casi de elementos minerales en especial Ca. Las pendientes suelen estar ocupadas por latosoles rojo oscuro saturados en Al. Por último, junto a los ríos hay suelos aluviales que pueden tener intensidades variables de minerales de Fe y contenido de materia orgánica.

FIGURA 3
Superficie geomórfica típica en los Cerrados

V8941s04.GIF (15366 bytes)

Fuente: Adamoli, Macedo y Madeira Neto, 1985

Por supuesto las superficies planas están menos expuestas a la escorrentía durante las lluvias torrenciales, y en ellas por consiguiente es menos grave la erosión del suelo cuando se inicia la labranza. Este relieve típico ha facilitado la expansión de sistemas de cultivo enteramente mecanizados, con cultivos anuales como soja y, más recientemente, maíz.

Vegetación

El paisaje de los Cerrados recuerda al de las sabanas africanas. No obstante, la frecuencia y la distribución de la flora varían considerablemente: hay plantas de larga vida y raíces profundas, especies efímeras cuyas raíces se quedan en las capas superficiales y hierbas que pueden pertenecer a uno u otro grupo y crecen sólo durante la estación lluviosa. Hay una gradación en la distribución de especies vegetales, desde las praderas abiertas hasta los bosques densos (Figura 4), que tiene estrecha relación con la fertilidad del suelo (Cuadro 3).

FIGURA 4
Principales tipos de vegetación en los Cerrados

V8941s05.GIF (42033 bytes)

 

CUADRO 3

Relación entre los tipos de vegetación nativa en el Brasil central y las características medias de la tierra cultivable

Propiedad de la tierra

Pradera

Pradera básica

Cerrado

Cerrado denso

Bosque

pH (H2O)

4,87a1

4,94ab

5,00b

5,14b

5,28c

pH (KCl)

4,16a

4,25b

4,25b

4,32b

4,35b

pH

-0,71a

-0,69a

-0,76bc

-0,82cd

-0,93d

Materia orgánica

2,21a

2,33a

2,35a

2,32a

3,14b

Cambio Ca (meq/100 cc)

0,20a

0,33ab

0,45b

0,69c

1,50d

Cambio Mg (meq/100 cc)

0,06a

0,13a

0,21b

0,38c

0,55b

Extr.K2 (meq/100 cc)

0,08a

0,10ab

0,11b

0,13b

0,17c

Cambio Al (meq/100 cc)

0,74a

0,63a

0,66a

0,61a

0,78a

CCC efect. (meq/100 cc)

1,08a

1,19a

1,43b

1,81c

3,00d

Saturación Al

66,00a

58,00b

54,00b

44,00c

40,00c

Extr, P2 (ppm)

0,5a

0,5a

0,9b

2,10c

1,4bc

Extr, Zn2 (ppm)

0,58a

0, 61a

0,66b

0,67b

1,11c

Extr, Mn2 (ppm)

5,4a

10, 3b

15,9c

22,90d

24,10c

Extr, Cu2 (ppm)

0,60a

0,79ab

0,94b

1,32c

0,95bd

Extr, Fe2 (ppm)

35,7a

33,9a

33,0a

27,10b

37,20c

Arcilla (%)

33,00a

36,00a

34,00a

32,00a

37, 00a

Tarquín (%)

20,00a

16,00b

15,00b

16,00b

16, 00b

Arena (%)

46,00a

48,00a

51,00a

53,00a

47, 00a

1 Las medias de cada línea no seguidas por la misma letra son bastante diferentes a nivel 0,05 de probabilidad.
2 Extraído por 0,05N HCl + 0,025N H2SO4.
Fuente: Lopes, 1974.

Las plantas perennes tienen una estructura foliar escleromórfica que les da el aspecto xerofítico distintivo. Esta característica se explica por economía de agua y como consecuencia de los niveles tóxicos de Al, aunque la luz y la temperatura han jugado un papel en la selección natural (Ferri, 1977). Los incendios naturales en la región también han seleccionado especies más resistentes al fuego que las procedentes de la selva húmeda.
La vegetación tiende a tolerar el Al. Tallos leñosos, hojas coriáceas con venas resaltadas, de color amarillo verdoso cuando están secas, y frutos azulados son algunas de las características observadas en las plantas que acumulan Al. Ejemplos de familias botánicas pertenecientes a esta categoría son: Vochysiaceae, Melastomataceae y Rubiacea (Ferri, 1977). Otras especies resisten al Al por exclusión y algunas eluden los efectos dañinos del Al colonizando sólo la capa superficial y superior de materia orgánica del suelo.
Se estableció una clave para la clasificación de los Cerrados sobre la base de parámetros cuantitativos, es decir la cantidad de cubierta vegetal, la altura y la estratificación, el grado de caducidad, la humedad del suelo y la presencia o ausencia de piedras (EMBRAPA, 1982). Se definieron los siguientes tipos fisionómicos: bosques mesofíticos (espacios boscosos en medio de los Cerrados); bosques galería (bosques a lo largo de los ríos); Cerrado denso («Cerradão»); Cerrado; Cerrado pradera; pradera básica; pradera; pradera de paso («vereda»); Cerrado rupestre; parque de Cerrado; y pradera ondulada. Algunos de los tipos principales de vegetación de los Cerrados se representan en la Figura 4. Esta clasificación ha contribuido a normalizar la información en los estudios sobre distribución y frecuencia de especies nativas, así como en la planificación para la explotación de la tierra.
Se han realizado estudios de campo para evaluar el potencial económico de las especies vegetales nativas para usos médicos, ornamentales, y producción de leña, madera, forraje y alimentos. Las poblaciones locales consideran que especies como Andira humilis, Anemopaegma arvensis y Tabebuia caraiba tienen propiedades medicinales. Especies frutales, algunas de ellas ya estudiadas, y especies madereras, por ejemplo Astronium urundeuva, A. fraxinifolium y Copaifera langsdorfii, podrían tener importancia económica. Aeschynomene brasiliana, Arachis glabrata, Galactia glaucescens, Solanum lypocarpum, Stylosanthes spp., Echinolaena inflexa y Paspalum spp. son especies alimentarias y pastos que son objeto de evaluación. En total, se han descrito más de 70 especies vegetales de las familias Anacardiaciae, Leguminosae, Annonaceae, Moraceae, Malpighiaceae, Vochysiaceae, Myrtaceae, Caryoca-raceae, Araliaceae, Icacinaceae, Apocynaceae, Guttiferae, Tiliaceae, Sapindaceae, Sapotaceae, Solanaceae, Loganiaceae, Symplocaceae, Melastoma-taceae, Rubiaceae, Bignoniaceae y Palmae, que pueden tener potencial económico pero que hay que seguir investigando (EMBRAPA, 1980).

UTILIZACION DE LA TIERRA

Hasta la primera mitad de este siglo, la población del Brasil se concentraba en zonas de fertilidad natural. Se cultivaban alimentos básicos como maíz, arroz y habichuelas (Phaseolus vulgaris) y especies comerciales como el café (Coffea arabica), la caña de azúcar (Saccharum officinarum) y el algodón (Gossypium hirsutum). Con el desarrollo industrial, numerosos migrantes del nordeste árido se asentaron en estas zonas. Hubo una rápida expansión demográfica y agrícola y pronto se utilizaron todas las tierras naturalmente fértiles.

La región de los Cerrados era un erial inexplotado que se utilizaba solamente para agricultura de subsistencia y cría de ganado vacuno. Los grandes terratenientes dominaban en la región y las poblaciones locales se limitaban a pequeñas aldeas que practicaban la agricultura de subsistencia en zonas de fertilidad natural y en las márgenes de los ríos. Antes de 1960, la población humana de la región era muy reducida, pero desde entonces ha aumentado notablemente (Cuadro 4).

CUADRO 4

Crecimiento de la población en los principales estados de la región de los Cerrados

Estado

1960

1970

1980

1990

 

(`000)

Mato Grosso do Sul

-

-

1 370

1 797

Mato Grosso

889

1 597

1 138

1 727

Goiás

1 913

2 940

3 860

4 943

Distrito Federal

140

537

1 180

1 864

Minas Gerais

9 960

11 645

13 635

15 831

Total

70 070

93 139

119 000

150 368

Fuente: datos de 1991 del IBGE.

En los años sesenta, empezaron a aumentar en los Cerrados los cultivos de arroz de secano en tierras altas y también los de los pastos artificiales. Ambos eran cultivos con insumos relativamente bajos, y se disponía de variedades con genes de tolerancia al Al (Fageria, Baligar y Wright, 1989). Estas variedades han resultado menos afectadas por los períodos de sequía porque sus raíces son más profundas. La tolerancia a las condiciones adversas del suelo se alcanzó probablemente en variedades locales como resultado de una selección indirecta.
En los primeros años sesenta la soja, cultivo comercial floreciente en el sur, se cultivaba en sólo 10 000 hectáreas en los Cerrados. Se necesitaron todavía contribuciones de especialistas en selección genética de la soja para que el cultivo tuviese éxito en la región (Spehar, Monteiro y Zuffo, 1992).
Los pioneros pudieron comprar extensas superficies de los Cerrados porque las tierras eran baratas. Los intentos de aprovechar estas grandes extensiones dieron lugar a prácticas agrícolas desaconsejables de las que se tratará más adelante. Los agricultores pioneros tuvieron también problemas por la falta de instalaciones de almacenaje y la ausencia virtual de infraestructura de transporte. Las haciendas mayores organizaron sus propias instalaciones de almacenaje, mientras que las menores se apoyaron en asociaciones cooperativas. Muchas de estas cooperativas tuvieron éxito y contribuyeron a reducir los costos de los insumos, entre los cuales el transporte ocupaba un lugar destacado.
El crédito a bajo interés y unos precios de los productos básicos superiores a los vigentes hoy estimularon el proceso de desarrollo. La combinación de precios bajos de la tierra, crédito subvencionado para el desarrollo y precios atractivos de los productos básicos contribuyó así al desarrollo agrícola de los Cerrados brasileños.
Como los agricultores pioneros en los Cerrados procedían principalmente del sur, tenían conocimientos tradicionales sobre las necesidades de nutrientes de cultivos como la soja y el maíz. Otros tenían experiencia de cría de ganado en pastizales ricos en nutrientes. Se trasladaron del sur del Brasil a la latitud 20°S variedades de soja, que crecieron bien con pocos cambios en las técnicas de cultivo. La superficie dedicada a este cultivo se extendió rápidamente a esta latitud, en buena medida a expensas del arroz de tierras altas (Fontoura, 1981), aunque la soja no resultó rentable en las zonas ecuatoriales más al norte, donde prevaleció el sistema limitado a arroz y pastos. Las variedades de soja disponibles eran demasiado cortas para cosecharlas mecánicamente y su rendimiento era menor en latitudes más bajas.

Adaptación de la soja a los Cerrados

La soja se considera ahora la piedra angular de los sistemas agrícolas modernos en los Cerrados, por su papel económico como cultivo pionero y por su capacidad para fijar el nitrógeno. La mayor fertilidad del suelo tras el cultivo de la soja beneficia a otras plantas necesitadas de nutrientes como el maíz, cuya producción ha aumentado recientemente. Un factor importante que ha contribuido a la expansión de la soja en los Cerrados fue la creación de la Empresa Brasileña de Investigación Agropecuaria (EMBRAPA). Se organizaron centros de investigación de EMBRAPA para los productos básicos y los recursos naturales. El equipo del Centro Nacional de Investigación para los Cerrados (CPAC) centró sus esfuerzos en la solución del problema de los sistemas de producción restringidos y vulnerables de los Cerrados. En colaboración con investigadores del Centro Nacional de Investigación sobre la Soja (CNPS) de EMBRAPA, se organizaron programas de selección genética dirigidos a las necesidades específicas de adaptación de la soja a la región. Mediante cruzamientos entre tipos de maduración tardía y variedades norteamericanas adaptadas al Brasil meridional se formó el germoplasma básico. La mayoría de estos cruzamientos se hicieron en el CNPS y las plantas se distribuyeron entre las estaciones regionales para la selección de líneas con características agronómicas convenientes. También programas locales introdujeron germoplasma y realizaron hibridaciones.

La soja es originaria de Manchuria, China, de donde se propagó a otras partes de Asia. Manchuria se encuentra en la zona templada a una latitud en torno a 40 °N, con inviernos fríos y días largos en verano. Como la floración de la soja se retrasa en general con los días largos y se apresura con los cortos, las diferencias en la duración del día regulan de hecho la floración y la madurez en latitudes templadas. No obstante, la variación estacional de la duración del día disminuye con la latitud, de manera que la duración del día en las zonas tropicales de los Cerrados varía poco y nunca llega a 14 horas. En estos días cortos, todo el germoplasma norteño florece y madura pronto, con lo que las plantas son cortas y de bajo rendimiento, aunque hay alguna variabilidad genética de tardías (Miyakasa et al., 1970). La selección genética se inició en los años setenta para obtener variedades de soja mejor adaptadas a los Cerrados.
Los cruzamientos hechos en el sur de los Estados Unidos entre variedades adaptadas a las zonas templadas y las fuentes de genes para la maduración tardía, como las plantas introducidas (PI) 240664 de Filipinas (Hinson, 1989; Kiihl y García, 1989) proporcionaron algún material genético inicial. Además de ser tardía, la línea PI 240664 contiene genes juveniles que prolongan la fase de prefloración aun cuando la línea crezca en fotoperíodos normalmente inductivos (Summerfield, Shanmugasundaram y Roberts, 1985). También se hicieron cruzamientos en el Instituto de Investigación Agronómica de Campinas (IAC) de Brasil utilizando las mismas fuentes de germoplasma. El material genético siguió siendo seleccionado por investigadores de EMBRAPA una vez constituida esta empresa. Las líneas nuevamente seleccionadas tenían la ventaja de una floración tardía, pero eran de bajo rendimiento, encamadas y quebradas. Las variedades Jupiter (Hinson, 1972) e IAC-2, de los programas estadounidense y brasileño respectivamente, fueron los primeros resultados con propiedades agronómicas satisfactorias, entre ellas altura adecuada en los trópicos para la cosechadora mecánica. Ulteriores ciclos de selección han incluido la selección para resistencia a las enfermedades y el mayor rendimiento de grano.
Varios factores adicionales contribuyeron al éxito de los programas de selección genética. La suma de esfuerzos dio paso a una red de experimentos de campo. Gracias a esta red, la tolerancia al alto nivel de Al y al Ca bajo se incorporaron al germoplasma obtenido (Spehar, 1989). Se han elaborado nuevas técnicas de laboratorio para seguir mejorando la tolerancia al Al obteniendo un rendimiento mayor y más estable (Spehar, Monteiro y Zuffo, 1992). Además, la ausencia de escarcha en la región ha permitido producir dos generaciones anuales, acelerando así el desarrollo de variedades.
El CPAC y el CNPS han cooperado desde 1976 para facilitar dos ciclos de selección cada año: uno en la estación húmeda (día largo) y otro en la seca (día corto).
La variedad Doko se originó en este procedimento de selección. Se obtuvo de una población con cruzamientos múltiples, con inclusión de fuentes de maduración tardía, insensibilidad al fotoperíodo y germoplasma estadounidense. Doko tiene buena altura de planta y buen rendimiento en plantaciones de verano y de invierno, gracias a su largo período juvenil. Esta variedad estaba a disposición de los agricultores dos años después de haber sido obtenida y fue un paso decisivo para el establecimiento de la agricultura moderna en los Cerrados. Su tolerancia a las condiciones adversas de fertilidad del suelo permitió una expansión de la superficie dedicada al cultivo de la soja. Como leguminosa, aportó N al suelo, produjo rendimientos más estables y permitió enriquecerse a los agricultores, en contraste con lo que había sido posible con el arroz de tierras altas. Más tarde, organismos estatales y federales y compañías del sector privado desarrollaron otras variedades de soja, que se obtuvieron por selección masiva y métodos de linaje modificado. Muchas de ellas por ejemplo, Cristalina requerían más nutrientes y pudieron cultivarse con éxito gracias a los mejoramientos del suelo resultantes de los primeros cultivos de soja. Se posibilitó también la diversificación del sistema de cultivos con especies como el maíz.
En 20 años, la producción de soja en los Cerrados aumentó desde muy pequeñas cantidades hasta el 45 por ciento de la producción nacional total (Cuadro 5). Muchos años, los rendimientos de la soja por hectárea en los Cerrados han sobrepasado los alcanzados en la zona templada del Brasil.

CUADRO 5

Contribución de los Cerrados a la producción brasileña de soja

Año

Producción

Contribución de los Cerrados

Rendimiento

 

Brasil

Cerrados

Superficie

Producción

Brasil

Cerrados

 

(miles de toneladas)

(porcentaje)

(kg/ha)

1975

9 893

223

3

2

1 690

1 304

1980

15 127

1 573

11

10

1 728

1 717

1985

15 540

4 161

26

27

1 650

1 693

1989

23 049

10 311

42

45

1 894

2 026

1990

19 988

6 802

38

34

1 732

1 553

Fuente: Datos de 1991 del IBGE

Los programas de selección genética están en expansión para incluir variedades con diferencias de maduración y características como calidad de la semilla, eficiencia en la utilización de nutrientes y resistencia a enfermedades e insectos (Spehar, Monteiro y Zuffo, 1992). Las contribuciones de la investigación sobre desarrollo de variedades pueden evaluarse comparando los rendimientos de las nuevas y las viejas variedades (Crocomo y Spehar, 1981). Las variedades nuevas dan por lo menos 400 kg/ha más que las viejas. Esta ventaja supone una ganancia de 1,7 millones de toneladas y aporta 300 millones de dólares EE.UU. adicionales al año a la economía nacional. Si se consideran otras características agronómicas como altura de la planta y de la primera vaina, las contribuciones de las nuevas variedades serán de una magnitud todavía mayor. Asimismo, estirpes nuevas y más eficientes de Bradyrhizobium japonicum han eliminado completamente la fertilización nitrogenada de la soja (Peres, Vargas y Suhet, 1984), con efecto benéficos para cultivos ulteriores y una repercusión positiva sobre el rendimiento, sólo sobrepasado por la adopción de nuevas variedades.
Se prevé que se llegará a transferir por medio biotecnológicos genes específicos para la resistencia a las plagas y a los herbicidas y la tolerancia a las adversidades del medio ambiente, con lo que se conseguirá una mayor estabilidad del rendimiento y se reducirán los costos de producción. También la calidad del producto cocinado puede elevarse por los mismos métodos, lo que hará que la soja sea más atractiva para el consumo humano directo y para ser producida por pequeños agricultores.

Adaptación de otros cultivos a los Cerrados

A los esfuerzos para adaptar la soja a la región de los Cerrados han seguido otros para adaptar otras especies vegetales a los sistemas económicos de cultivo de la región. Algunas de estas plantas, como maíz y frijoles, procedían de esta parte del mundo. Otras, como el trigo y el arroz, fueron introducidas. La superficie cultivada, la producción y el rendimiento medio de arroz, frijoles, maíz, soja y trigo en 1990 se indican en el Cuadro 6. Fruto de las investigaciones ha sido la adaptación de especies perennes exóticas como café, cítricos (Citrus spp. e híbridos), mango (Mangifera indica), aguacate o palta (Persea americana), Pinus spp. y Eucalyptus spp. Más recientemente, el caucho (Hevea brasiliensis), originario de la región amazónica, se ha introducido con éxito en los Cerrados. En todos los casos, ha habido una colaboración entre investigadores del sistema cooperativo sobre los muy complejos problemas que limitan la adaptación de cultivos a los Cerrados.

CUADRO 6

Superficie cultivada, producción y rendimiento medio de los principales cultivos anuales en los Cerrados, 1990

Cultivo

Superficie

Producción

Rendimiento medio

 

Brasil

Cerrados

Brasil

Cerrados

Brasil

Cerrados

 

(miles de ha)

(miles de toneladas)

(kg/ha)

Arroz

3 945

1 640

7 419

1 550

1 881

945

Frijoles

4 678

802

2 230

432

477

538

Maíz

11 391

2 730

21 341

4 500

1 874

1 648

Soja

11 481

4 381

19 988

6 802

1 732

1 553

Trigo

2 681

157

3 093

184

1 154

1 175

Total

34 176

9 710

53 971

13 469

-

-

Fuente: Datos de EMBRAPA/CPAC.

Café. Alrededor de mil millones de cafetos se cultivan en aproximadamente un millón de hectáreas en los Cerrados. Están concentrados sobre todo en el estado de Minas Gerais (MG en la Figura 1) y les corresponde el 32 por ciento de la superficie cultivada y el 40 por ciento de la producción total de café del Brasil. Estas cifras incluyen campos establecidos en los últimos tres años. Como la producción de café requiere un considerable trabajo manual, 200 000 familias se han trasladado a la zona para aportar la mano de obra necesaria. Las variedades utilizadas hasta ahora son las seleccionadas para la producción en las regiones del sur y el sudeste del país (Carvalho, 1983). La ausencia de heladas y el bajo precio de las tierras fueron factores importantes para atraer a los Cerrados a agricultores cafeteros de zonas tradicionales brasileñas de producción.

El café ha tenido éxito en los Cerrados, y actualmente continúa la tendencia expansiva del cultivo en la región. Se prevé que con esta expansión aumentarán enfermedades como las causadas por Cercospora spp., Phoma spp. y Colletotrichum spp. Plagas antiguas de las zonas cafeteras tradicionales, como Perileucoptera cofeela, podrán también aumentar y causar daños al café de los Cerrados. Los rendimientos han fluctuado en los últimos diez años entre 360 y 1 440 kg/ha. La resistencia a la enfermedad puede contribuir a rendimientos mayores y más estables. Las líneas últimamente seleccionadas, resistentes a la roya del café, han tenido éxito, con rendimientos entre 2 700 y 3 300 kg/ha, es decir un 50 por ciento más que los mayores rendimientos de las variedades antiguas (Sampaio, 1991).
Además de la amenaza de enfermedades, hay problemas de fertilidad del suelo determinantes de una nutrición mineral desequilibrada que acentúa los efectos de la estación seca prolongada. Esto puede paliarse con riego suplementario y fertilización con yeso. Para mejorar la calidad del producto final se precisa más información sobre el tratamiento del café durante y después de la cosecha.

Maíz. El maíz es originario de las Américas y las poblaciones indígenas del Brasil lo utilizaron como cultivo alimentario en tiempos precolombinos. No obstante, sólo recientemente ha aumentado la producción del maíz en los Cerrados, pasando del 17 por ciento sobre todo en las regiones de fertilidad natural a alrededor de un tercio de la producción nacional. Se cultiva en rotación con la soja y produce rendimientos comparables a los obtenidos en zonas de cultivo tradicional. En zonas de pluviosidad prolongada, se sigue para el maíz el sistema de doble cultivo después de la soja.

El maíz, como la soja, es ya un cultivo comercial plenamente mecanizado en los Cerrados. No obstante se pratica todavía el cultivo de subsistencia en algunas zonas, con el resultado de que el rendimiento medio en los Cerrados está por debajo del nacional (Cuadro 6). Las excepciones a los bajos rendimientos en las condiciones anteriores se localizaban en suelos muy fértiles de los Cerrados en los estados de Minas Gerais y Goiás, donde se practicaba antes de la rápida expansión de los años ochenta un cultivo mecanizado extensivo.
La principal expansión de los maizales se debió a los agricultores que tenían la infraestructura para la producción de soja. Factores que limitan la expansión son la necesidad de 60 a 120 kg/ha de N y un mayor cuidado en el almacenaje, ya que el maíz es más vulnerable que la soja a los daños causados por insectos. Aun cuando estos factores eleven el costo de producción, actualmente se observa una preferencia por el maíz frente a la soja, por los precios más atractivos de aquél y el elevado rendimiento de sus nuevos híbridos y variedades (EMBRAPA, 1992). Los híbridos, obtenidos por organizaciones privadas y públicas, se utilizan sobre todo en los cultivos en gran escala. Variedades de polinización abierta se utilizan en las pequeñas explotaciones, donde el apartado de una parte de las semillas de una cosecha para la siembra siguiente da una ventaja económica importante. Además, las variedades son más estables aunque menos productivas que los híbridos en suelos bien fertilizados. El maíz diversifica las fuentes de ingresos para los agricultores y disminuye los riesgos del monocultivo de la soja.

Arroz. El arroz era un cultivo menor pionero utilizado en rotación con otros en los Cerrados. Una antigua práctica para la creación de pastizales consistía en sembrar juntamente semillas de arroz y pastos. Una vez cosechado el arroz, se dejaba que las hierbas forrajeras colonizaran la zona. Las antiguas variedades seleccionadas en el Instituto de Investigación Agronómica de Campinas (IAC) tenía tolerancia al Al; pero la baja fertilidad del suelo, las técnicas inadecuadas de cultivo, el añublo del arroz causado por la Pyricularia oryzae y los frecuentes períodos secos eran causa de rendimientos bajos. Se han adoptado ahora nuevas variedades de alto rendimiento y resistentes a la enfermedad y tecnologías que permiten la obtención de rendimientos mayores y más estables.

El arroz es uno de los principales cultivos básicos, y su demanda aumentará al crecer la población. No obstante, la superficie de arrozales en los Cerrados, que contribuía antaño con el 25 por ciento de la producción nacional, ha disminuido por la expansión de la soja y el maíz. El cultivo puede aumentar en el futuro sobre tierras de regadío.

Frijoles. Esta leguminosa, que sigue al arroz en importancia como cultivo alimentario, se cultivaba en los Cerrados a nivel de subsistencia con bajos rendimientos. Gran parte de la producción tenía lugar en suelos naturalmente fértiles cerca de núcleos de población en los estados de Minas Gerais y Goiás, donde hay una fuerte demanda de frijoles secos (habichuelas). El cultivo moderno de frijoles mediante riego con pivote central contrasta fuertemente con los bajos rendimientos obtenidos por los agricultores de subsistencia. En 1992, se obtuvieron cosechas récord de 4 000 kg/ha. Este nivel de rendimiento es muy superior al promedio nacional de 700 kg/ha (J.A. Azevedo, EMBRAPA-CPAC, comunicación personal).

Nuevas variedades de alto rendimiento resistentes a las enfermedades, la erradicación de determinadas enfermedades y plagas y unas técnicas adecuadas de fertilización y cultivo son algunos de los factores que han contribuido a aumentar la producción de frijoles en los Cerrados. La región aporta actualmente alrededor del 25 por ciento de la cosecha nacional.

Cereales de grano pequeño. El trigo y la cebada cervecera (Hordeum vulgare) se han cultivado principalmente en los Cerrados del sur de Mato Grosso como doble cultivo tras la soja. Lo mismo se ha hecho en menor escala en las tierras altas de Minas Gerais. La región aporta solamente el 10 por ciento de la producción nacional de trigo y no parece haber muchas posibilidades de expansión para este sistema de cultivo de secano. Sin embargo, hay una tendencia a cultivar trigo mediante riego con pivote central, generalmente después de la soja. Este sistema tiene un costo elevado en energía, pero ofrece al Brasil la oportunidad de ser autosuficiente en la producción de trigo.

La investigación se ha orientado hacia la selección de nuevas líneas tolerantes al Al, resistentes a la roya del tallo y las hojas y con rendimientos superiores a los 1 000 a 1 500 kg/ha de la producción normal en la estación húmeda. Para el cultivo de regadío, se han seleccionado nuevas líneas derivadas de variedades mexicanas muy productivas que se están distribuyendo a los agricultores (Andrade et al., 1991). La identificación de más tierras idóneas para el doble cultivo, la selección de líneas de trigo resistentes a los hongos Bipolaris sorokiniana y Erysiphe blumeria f. sp. tritici y a las enfermedades bacterianas, la selección de líneas de cebada con alto rendimiento y bajo contenido proteínico y el mejoramiento de los sistemas generales de cultivo son factores que podrían contribuir a la expansión de la producción de cereales de grano pequeño en los Cerrados. También la sustitución de motores diesel por energía hidroeléctrica puede reducir el costo de bombeo del agua y aumentar la viabilidad económica del cultivo de estos cereales con el sistema de pivotes centrales de riego.

Yuca. La yuca o mandioca (Manihot esculenta) se cultiva en 2 millones de hectáreas en el Brasil, pero en los Cerrados es sólo alrededor del 8 por ciento de la superficie y de la producción nacional. La yuca es el cultivo que produce más calorías por unidad de superficie y de tiempo, pero generalmente se cultiva en pequeña escala por lo limitado de la demanda local y la necesidad de elaboración inmediatamente después de la recolección. No obstante, requiere pocos fertilizantes y es relativamente poco sensible a enfermedades y plagas. La bacteria Xanthomonas manihotis origina la principal enfermedad de la yuca en los Cerrados, pero todas las variedades actualmente cultivadas en la región son resistentes. Se obtuvieron en un programa en el que participaron equipos de investigadores del CPAC y de la Universidad de Brasilia.

La yuca se ha adaptado bien a los Cerrados, con riesgos menores que los cereales y una época de recolección muy flexible. El futuro de esta planta depende de la selección de cultivares de alto rendimiento con resistencia a la Xanthomonas manihotis, a los gusanos (Erinnyis ello), la arañuela roja, la chinche hedionda (Vatiga spp.), tolerancia al Al y extracción eficiente de nutrientes de suelos pobres. Se está estudiando la manera de utilizar la yuca como alimento o pienso para estimular su demanda. También es necesario mejorar la conservación de la calidad después de la recolección. Hay que mejorar el plan de producción de simiente para estimular la adopción rápida de nuevas variedades por los agricultores.

Frutales. Las condiciones climáticas en los Cerrados son excepcionalmente idóneas para la producción de frutas exóticas y frutos de nuez que, no obstante, ocupan sólo el 12 por ciento de la superficie cultivada, correspondiendo la mayor extensión a la banana (Musa spp. e híbridos), seguida por el acajú (Anacardium occidentale) y los cítricos. En superficies menores se cultivan la piña tropical (Ananas comosus), el mango, el aguacate y frutas de clima templado cuando lo permite la temperatura. Hay también frutas nativas cultivables, como Eugenia spp. y Hancornia speciosa («mangaba») de las familias Myrtaceae y Apocynaceae respectivamente. Sus jugos son apropiados para la producción de helados por su aroma exquisito. Se están estudiando especies nativas de otras varias familias por su aptitud para el cultivo económico (Silva et al., 1992), que podrán utilizarse por su jugo, para hacer helados, conservas, aceites, o como nueces.

En la fruticultura de los Cerrados la tarea principal es la selección de especies y variedades de alto rendimiento y resistentes a plagas y enfermedades. La introducción de plantas de cítricos, aguacate, mango, guanábano (Annona muricata), granadilla (Passiflora spp.), acerola (Malpighia glabra) y las frutas nativas pueden contribuir al auge de la producción frutícola en la región. Se está investigando la solución de los problemas del desequilibrio de nutrientes sobre todo en relación con P, K, Mg, Zn, manganeso (Mn) y cobre (Cu) en las especies exóticas. El riego suplementario combinado con la fertilización con yeso consigue mitigar los efectos de los largos períodos secos y puede ayudar a la profundización de las raíces y a la estabilidad del rendimiento (Genú, Pinto y Ferreira, 1991). Las variedades de mango ampliamente cultivadas son productivas, pero fibrosas y expuestas a enfermedades. Pocas variedades adaptadas producen altos rendimientos de fruta de buena calidad. La variedad popular Haden Americana produce una fruta de alta calidad, pero su rendimiento es bajo. Hay híbridos seleccionados localmente que por su alta calidad y su rendimiento tienen potencial para incrementar la producción de mango (Ramos et al., 1991). Para toda la producción frutícola potencial, se precisan proveedores fiables de plántulas de alta calidad para la formación de huertos frutales.

Silvicultura. Hasta mediados de los años sesenta, se obtenía una producción de madera de 30 a 130 m3/ha de la vegetación natural. Se extraía madera para uso doméstico y para proporcionar carbón vegetal a la siderurgia. No obstante, la vegetación natural era incapaz de cubrir la demanda creciente de carbón vegetal, celulosa y madera. De ahí que, hacia el final del decenio, el Gobierno del Brasil ofreciese incentivos para la reforestación de los Cerrados. Se introdujeron especies exóticas como Eucalyptus spp. tras haber sido cultivadas en otras partes del país. Los resultados de las investigaciones han concluido que estas especies producen más madera que la vegetación nativa. Para seleccionar las especies más eficientes para las diversas condiciones edafoclimáticas, se emprendieron estudios sobre especies originarias de Australia, Indo-nesia, Papua Nueva Guinea y Filipinas. También se introdujeron con éxito Pinus spp., pero éstas requieren un período más prolongado que Eucalyptus spp. antes de la cosecha. Estas especies exóticas se cultivan en grandes extensiones, con rendimientos anuales de madera de 15 a 75 m3/ha. En general, las procedencias principales eran zonas edafológicas y climáticas similares en Australia para Eucalyptus spp. y en el Caribe y Centroamérica para Pinus spp. El éxito de estas especies exóticas en los suelos pobres de los Cerrados se debe a su asociación con hongos ectomycorrhizales que infectan las raíces y aumentan de hecho la superficie de absorción de elementos minerales y agua.

También se han evaluado especies leguminosas nativas y exóticas para la producción de madera y el mejoramiento de la fertilidad del suelo mediante la fijación del nitrógeno. Las especies exóticas suelen ser mejores que las nativas. Están en curso otros estudios en el CPAC (Guimarães, 1991). Para aumentar la producción de madera, es preciso proseguir la selección de árboles dentro de las procedencias más adaptadas, como base para un programa de selección genética y producción de semillas de alta calidad (Moura, 1991).
Ha sido necesario dar a los agricultores incentivos para que adopten planteamientos agroforestales. Se ha intentado combinar la ganadería con la producción de madera. Existen otros estudios en curso para identificar especies madereras perennes que puedan contribuir a una de las siguientes finalidades agrícolas: producción de abono verde; prevención de la erosión; forraje para el ganado; producción de miel, fruta y madera; y cortavientos.

Cultivos potenciales. Se están evaluando especies alternativas por su potencial para diversificar más los sistemas de producción de la región. Aunque muchos cultivos alternativos podrían seguramente aumentar los beneficios de los agricultores y disminuir sus riesgos, los esfuerzos se han concentrado en el caucho, el algodón, el ricino (Ricinus communis), el sésamo (Sesamum indicum), el achiote o anato (Bixa orellana), la quinua (Chenopodium quinoa), el garbanzo (Cicer arietinum) y el guar (Cyamopsis tetragonolobus).

El cultivo del árbol del caucho se ha extendido rápidamente en los Cerrados del estado de Mato Grosso. Una ventaja de esa zona es la ausencia de una enfermedad de las hojas causada por la Dothidella ulei que es común en la región amazónica, donde las condiciones de humedad favorecen su crecimiento. También la producción de algodón ha progresado, en rotación con la soja. Anteriormente, se practicaba el cultivo extensivo de algodón en suelos de origen basáltico en el estado de Goiás. Recientemente se tiende a cultivarlo en sistemas de regadío, pero se precisan más estudios antes de que pase a integrarse plenamente en el sistema de producción de los Cerrados. La quinua, de origen andino, parece tener buenas posibilidades en los Cerrados (Spehar y Souza, 1993). Los granos de este pseudocereal tienen una proteína de alta calidad que podría convertirse en una fuente importante de alimentación humana y de pienso para aves de corral y ganado porcino.

Plantas forrajeras y ganado vacuno. Desde que se colonizó hace más de 200 años, la región de los Cerrados se ha dedicado tradicionalmente a la producción de ganado vacuno. Las propiedades eran extensas, ya que los pastos naturales sólo podían sustentar a una cabeza de ganado por 5 hectáreas. Una práctica corriente era quemar la hierba en años alternos para mejorar su calidad. Con la expansión de la agricultura moderna, los pastos se fueron mejorando y adquiriendo más capacidad de sustentación. El resultado es que la región tiene ahora el 45 por ciento de la cabaña nacional. Esto ha sido posible gracias a los progresos en la adaptación de especies forrajeras y en la selección genética y el cuidado de los animales.

La especie básica de pasto pertenece al género Brachiaria. Es vulnerable a la chinche salivera y constituye un forraje de baja calidad en la estación seca. Sus características determinan un desequilibrio nutricional en los animales, causando pérdida de apetito y de peso. Las consecuencias son abortos de las vacas y pérdidas de terneros y de animales adultos en los casos graves de malnutrición. Para remediar la escasez de forraje de buena calidad, se han introducido nuevas especies de hierbas exóticas. Alternativas prometedoras son Andropogon gayanus, Panicum maximum y Paspalum spp.; los dos primeros son originarios de Africa, mientras que el último es nativo de los Cerrados y de la zona límite entre los Cerrados y el Pantanal. Entre las leguminosas, variedades de la Stylosanthes guianensis nativa han mostrado gran potencial para mejorar la calidad de los pastos. Arachis spp. son también potencialmente buenas leguminosas forrajeras, procediendo probablemente de los confines nororientales de los Cerrados con la selva húmeda atlántica. Se han realizado con especies forrajeras de nueva selección estudios sobre las necesidades de elementos minerales para una producción forrajera adecuada (Vilela et al., 1991).
Se han hecho investigaciones sobre la persistencia de los pastos mixtos de hierbas y leguminosas y sobre el uso exclusivo de leguminosas como fuentes de proteínas. Otros estudios de ordenación de pastos se orientan hacia el tipo de hierbas utilizadas y el tiempo en que hay que trasladar a los animales para conseguir una alta calidad del forraje disponible al final de la estación seca. Un problema importante en la ordenación de pastos es el descenso de la calidad proteínica en la estación seca. Se han elaborado técnicas para completar las dietas animales con mezclas saladas. Los resultados indican que es posible superar las pérdidas de peso y las muertes resultantes de la malnutrición en la estación seca (Lopes y Pereira. 1992).

PREPARACION DE LA TIERRA

La moderna colonización de los Cerrados vírgenes se inició por lo general con el desbroce de la tierra realizado por contrato con empresas privadas y públicas. Varios métodos facilitaron relativamente la eliminación de la vegetación nativa. Uno de ellos es el método de bola y cadena. Se sujeta una pesada cadena de hierro (hasta 60 kg/m) por cada extremo a grandes tractores de oruga o explanadores. La cadena forma una amplia curva entre y detrás de los tractores. Al avanzar éstos paralelamente, a velocidad constante, la cadena derriba la vegetación. Para elevar la cadena con objeto de nivelarla mejor, se la sujeta en su punto medio a una gran bola de hierro (Hudson, 1975). La operación puede repetirse dos veces en caso de vegetación más densa: hacia adelante y hacia atrás, para quebrar todos los arbustos. Otro método consiste en utilizar una explanadora de cuchilla frontal elevada para arrollar los arbustos. En ambos casos, se retiran las partes aéreas de la vegetación nativa, pero partes de las raíces quedan en el terreno. Las plantas leñosas arrancadas se amontonan formando cortavientos y algunos agricultores queman los restos; otros incluyen la producción de carbón vegetal en el contrato de desbroce del terreno. De este modo resulta posible reducir el costo del desbroce en zonas cercanas a grandes mercados de carbón vegetal. Una vez desbrozado, el terreno está listo para la labranza.

Los investigadores recomiendan que las aplicaciones de cal se hagan en dos veces para su distribución más uniforme en el suelo: una mitad antes de pasar el arado de discos, otra antes del trabajo con la grada. En la práctica, los agricultores aplican toda la cal de una sola vez y la incorporan con un arado de discos porque disponen de poca maquinaria agrícola. Sin embargo, la distribución de la cal resulta así desigual y los campos no son uniformes, por lo que el rendimiento de la primera cosecha resulta bajo.
Las raíces pueden recogerse entre estas operaciones y en las primeras temporadas de recolección. Para ello se requiere mano de obra adicional, aunque pueden utilizarse instrumentos especiales, como un rastrillo tirado por un tractor. La preparación convencional para la siembra consiste en la labranza con arado de discos o grada de discos y la nivelación del terreno. Esta operación ha resultado económicamente provechosa para los agricultores, aun cuando haya dado lugar a problemas importantes de compactación del suelo. La falta de maquinaria adecuada se ha traducido en prácticas inadecuadas de labranza.
En general, los suelos de los Cerrados están muy bien drenados y toleran las operaciones mecánicas relativamente pronto después de las lluvias. Sin embargo, la mecanización agrícola absorbe un elevado porcentaje de los insumos en los sistemas de cultivo. Alrededor del 30 por ciento de los costos de producción de frijoles, maíz y soja se deben al uso de maquinaria (Folle et al., 1992).
Según las investigaciones, estos costos pueden reducirse conociendo mejor la potencia, la fuerza de arrastre, el consumo de combustible y la velocidad de los tractores que se necesitan para cada aplicación y cada suelo. Los datos sobre operaciones en el campo han ayudado a analizar el rendimiento de los tractores. Los resultados preliminares muestran que la energía necesaria para tirar de un arado de discos se reducía en un 18 por ciento cuando la humedad del suelo aumentaba en el 7 por ciento. Así pues, con combinaciones adecuadas de humedad del suelo, tractores y aperos pueden reducirse los costos.

GESTION Y CONSERVACION DEL SUELO

El conocimiento de las diversas propiedades del suelo facilita una adecuada gestión y conservación del mismo. La fracción arcillosa es un componente de máxima importancia desde el punto de vista químico de los ferralsoles, que varían en textura. Algunas de las partículas arcillosas tienen poca o ninguna actividad química. Aunque los ferralsoles predominan en las zonas cultivadas, también se han dedicado a la agricultura arenosoles. Unos y otros tienen poca capacidad de retención del agua, siendo la menos la de las tierras arenosas. Su actividad química está relacionada directamente con su contenido en materia orgánica.

Mantenimiento de la estructura del suelo

La estructura del suelo es un factor importante, pues condiciona la preparación de los surcos, el movimiento del agua, la resistencia a la erosión y la aireación. Sobre el mantenimiento de la estructura del terreno influyen prácticas como el arado, los aportes de materia orgánica y el drenaje. El arado, cuando el suelo está seco o excesivamente húmedo, destruye su estructura; su recuperación puede requerir varios años de tratamiento adecuado (Cardoso, 1992). El empleo repetido de la grada de discos es una práctica común y es la causa principal de deterioro de la estructura del suelo.

La estructura del suelo depende también de la estabilidad de los elementos minerales. La arcilla contribuye positivamente al mantenimiento de elementos minerales. Los suelos arenosos, que tienen poca arcilla, suelen tener pocos elementos minerales y una estructura deficiente. Para mantener la estructura del suelo, es importante adoptar prácticas que ayuden a conservar el nivel original de estabilidad de elementos minerales. El mantenimiento de la materia orgánica es importante a este respecto.
El arado influye directamente sobre la porosidad del suelo, que se reduce rápidamente con la preparación tradicional de los surcos para los cultivos anuales.
Al aumentar la compactación del suelo, el movimiento horizontal del agua transporta más partículas y nutrientes, aun en campos llanos. Las tierras con pendiente del 2 por ciento o más requieren prácticas de conservación del suelo como formación de bancales o cultivo por curvas de nivel para reducir la erosión.
La distribución de la pluviosidad afecta directamente a la erosión del suelo. En algunas partes de los Cerrados, el 70 por ciento de las precipitaciones anuales tienen lugar entre noviembre y marzo (Figura 2, p.4), con un máximo en diciembre cuando cultivos anuales como la soja todavía no han cubierto totalmente el terreno. Durante este período, tanto el cultivo como las prácticas de laboreo influyen sobre la erosión del suelo (Cuadro 7). Las prácticas que reducen la porosidad del suelo, como las que disminuyen la materia orgánica o aumentan la compactación, reducirán la infiltración vertical de agua, incrementando la escorrentía y la erosión del suelo. Un aspecto negativo importante de la erosión es que el suelo perdido contiene la mayoría de los fertilizantes aplicados por los agricultores. Igualmente importante es la pérdida de materia orgánica, que escasea en los suelos de los Cerrados.

CUADRO 7

Efectos del cultivo sobre pérdidas del suelo y composición de sedimentos recogidos después de dos lluvias en la misma zona en 1977 y 1984

Tratamiento pérdida de suelos

pH

Al 3

Ca+

Mg

K

P

Materia orgánica en el suelo

 

(t/ha)

(H2O 1:1)

(meq/100 g)

(ppm)

(porcentaje)

 

16 mayo 1977 - Lluvia 45,8 mm

               

Suelo descubierto

1,4

5,3

0,1

2,9

50

4

2,0

Maíz, convencional

0,3

5,3

0

3,6

37

3

1,7

Arroz, convencional

0,2

5,7

0

3,8

49

5

1,9

Soja, convencional

0,5

5,5

0

3,4

58

5

1,8

Soja, sin residuos

0,3

5,8

0

3,3

42

4

1,5

Soja, sin laboreo

0,5

5,4

0

3,7

44

5

2,0

               
 

27 diciembre 1984 - Lluvia 30,5 mm

               

Suelo descubierto

3,8

5,7

0,5

2,1

7

2

2,0

Maíz, convencional

1,1

5,7

0,5

2,6

27

5

2,4

Arroz, convencional

0,6

5,7

0,4

2,5

29

6

2,2

Soja, convencional

0,6

5,7

0,4

2,4

27

6

2,1

Soja, sin residuos

0,5

5,7

0,4

2,4

24

4

2,1

Soja, sin laboreo

0,1

6,0

0,0

4,0

71

11

3,1

Fuente: Dedecek, 1986,

La agricultura en los Cerrados se inició de manera muy desordenada. La mayoría de las características ambientales de la región fueron desdeñadas por los colonos, con el resultado de que la erosión era frecuente. Los problemas de la erosión pueden reducirse mucho si los agricultores tienen en cuenta el tipo de suelo, la topografía, la distribución de la vegetación y las corrientes de agua antes de empezar a desbrozar el terreno. Se ha aconsejado a los agricultores que desbrocen sólo extensiones que puedan ser trabajadas a su debido tiempo con la maquinaria disponible, de manera que el suelo no quede innecesariamente expuesto a los agentes erosivos (Cardoso, 1992).
El paso de la grada de discos tras la recolección y durante la estación seca es una práctica desaconsejable porque expone el suelo a una fuerte erosión eólica, sobre todo en las mesetas. Además se forma una capa compacta bajo la capa de tierra suelta por la acción del instrumento utilizado. La capa compactada aumenta el riesgo de sequía y falta de nutrientes, ya que dificulta la penetración de las raíces. El arado a profundidades diferentes es eficaz para reducir la formación de una capa compactada que limita el crecimiento de las raíces y la infiltración del agua.
La profundidad de las capas de compactación puede determinarse cavando pequeñas zanjas. Durante este proceso, es posible determinar la morfología del suelo y la resistencia a la penetración de instrumentos afilados. Las capas de compactación rara vez tienen más de 30 cm de profundidad. La compactación del suelo puede vencerse mediante instrumentos adecuados como el arado convencional, el escarificador o el arado de subsuelo. El éxito de la operación depende de los siguientes factores: ajuste adecuado del instrumento para que alcance justo debajo de la capa compactada; nivel de humedad del suelo adecuado para el instrumento (para un arado de disco el suelo debe ser friable, y para un arado de subsuelo debe estar seco); y separación horizontal entre las hojas cortadoras entre un 20 y un 30 por ciento superior a la profundidad de penetración.

Laboreo reducido. El laboreo mínimo o nulo está ganando popularidad como práctica de conservación del suelo en los Cerrados. La ventaja inmediata de este método no convencional es la reducción del tiempo necesario para las operaciones agrícolas. También puede facilitar un uso más eficiente del agua y paliar los efectos de los períodos de sequía, así como contribuir a conservar y mejorar las características físicas y químicas del suelo. Estos factores pueden tener una gran importancia para los suelos arenosos, que son más frágiles y se empezaron a cultivar con la ayuda de subvenciones oficiales, y siguen siendo cultivados pese a la reducción de las subvenciones. Las prácticas de conservación del suelo son esenciales para que estas tierras puedan seguir cultivándose con éxito. Suele practicarse un laboreo mínimo cuando hay problemas con las malezas o la superficie del terreno es desigual, lo que dificultaría el establecimiento de rodales uniformes para los agricultores que deseen pasar del cultivo convencional a métodos de cultivo sin laboreo.

Una ligera operación con discos, al final de la estación seca, destruirá las malezas subsistentes y permitirá que crezcan nuevas hierbas. Las hierbas nuevas pueden combatirse fácilmente al empezar la estación lluviosa y constituirán una cierta cobertura del terreno. Este método es de bajo costo y permite el uso de sem-bradoras convencionales. La persistencia del pajuzo formado por las hierbas arrancadas dependerá de las especies: las de hoja ancha se descompondrán más pronto que los pastos con una razón C/N más elevada, que son preferibles por su descomposición más lenta.
En las zonas en que la estación húmeda es bastante prolongada para admitir dos cultivos seguidos, el segundo puede sembrarse en los restos del primero sin laboreo. El suelo tendrá así una cubierta vegetal y se aprovecharán las últimas lluvias y la humedad residual. Al comienzo de la siguiente estación húmeda, el suelo se prepara de nuevo pasando ligeramente la grada de discos antes de la siembra.
En la siembra sin laboreo no se remueve la tierra. Las semillas se colocan en surcos o montículos con suficiente densidad y profundidad para asegurar su cobertura adecuada y el contacto con el suelo. Mientras que el laboreo convencional rompe la estructura del suelo, puede producir compactación, expone la materia orgánica a la oxidación y la descomposición microbiana más rápidas y reduce la humedad del suelo, el cultivo sin laboreo ayuda a mantener la estructura del suelo, disminuye la pérdida de materia orgánica y mantiene la humedad del suelo. Estos factores son particularmente importantes en suelos arenosos, cuya estructura puede destruirse por completo con el laboreo convencional. Otras ventajas del cultivo sin laboreo son que pueden conseguirse con más rapidez y eficiencia dos cosechas y rotación de cultivos al año; que se requiere menos instrumental ya que se reduce la necesidad de labrar la tierra; y la mayoría de las operaciones pueden hacerse con tractores menores y menos consumo de combustible.
Para que el sistema de cultivo sin laboreo tenga éxito se precisa un buen control de la maleza, una cubierta orgánica de pajuzo o rastrojo sobre el terreno y la adaptación de la maquinaria y las operaciones agrícolas. Deberá promoverse al máximo la fertilidad del suelo antes de adoptar el sistema, y las capas compactadas del suelo deberán ser destruidas por escarificación. Los rendimientos de la soja y el maíz logrados sin laboreo pueden competir con los del sistema convencional. Es interesante notar que Cardoso (1992), en un estudio a largo plazo, concluyó que el laboreo después de un período sin haberlo practicado eleva los rendimientos de la soja y del maíz (Cuadro 8).

CUADRO 8

Efecto de los métodos de labranza sobre el rendimiento de la soja y del maíz

Labranza

Rendimiento

Rendimiento

1979-1983

1985-1986

(kg/ha)

(kg/ha)

   

Soja (1985)

Maíz (1986)

       

Sin laboreo

Arado de discos

3 585

5 195

 

Arado de vertedera

3 581

5 174

 

Sin laboreo

3 385

4 648

       

Convencional

Arado de discos

3 307

4 515

 

Arado de vertedera

3 055

4 416

 

Sin laboreo

3 027

4 403

Fuente: Cardoso, 1992.

El cultivo sin laboreo tiene particular interés en los planes de cultivos intensivos que incluyen el regadío. El riego, cuando es posible, permite producir tres cosechas al año. Ejemplos de secuencias de tres cosechas anuales son: maíz, soja o frijol y trigo; y soja, maíz y guisantes. La selección de cultivos dependerá de los precios de los productos y de los objetivos del agricultor. El maíz, por ejemplo, puede utilizarse pasa el consumo o ser ensilado. Hay que tener en cuenta que una cubierta vegetal del suelo ayuda a reducir el costo del control de la maleza, conserva el suelo y el agua y mejora las propiedades físicas y químicas del suelo.
Entre los diversos métodos de labranza utilizados en los Cerrados (Cuadro 9), algunos se emplean para usos muy específicos. Es importante que los agricultores anoten los datos desde el principio de la explotación, lo que les ayudará a seleccionar métodos eficientes y que conserven el suelo en su situación particular.

CUADRO 9

Métodos de labranza utilizados en los Cerrados

Instrumentos

Profundidad (cm)

Restos de cosecha

Maleza

Utilización

Observaciones

Grada de discos y disco nivelador

10-15

Ligeramente incorporados

Control reducido

-

Forma una capa compactada y pulveriza las partículas del suelo

           

Arado de discos y disco nivelador

20-30

Incorporados

Control parcial

Cuando hay tocones, raíces y guijarros

Forma una capa compactada

           

Arado de vertedera y disco nivelador

20-40

Incorporados

Enterrada con el arado

En suelos sin obstáculos

-

           

Arado de rejas

20-25

Dejados en la superficie

No controlada

En suelos compactados

-

           

Disco nivelador

10-15

Ligeramente incorporados

Control parcial

Para impedir la reproducción de malezas

-

           

Sin laboreo

-

Dejados en la superficie

No controlada

Cuando se ha perdido la cubierta vegetal en el 70 %

Factible sólo con gestión integrada

Fuente: Cardoso, 1992.

Mantenimiento del rendimiento

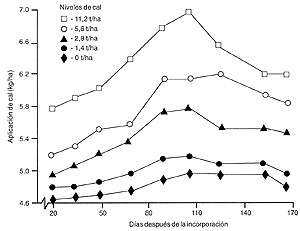
Mejoramiento de la fertilidad del suelo. La actividad económica primaria de los primeros colonos era la producción ganadera en pastizales nativos. Los cultivos eran limitados por la baja fertilidad del suelo y la falta de especies vegetales económicas. La información conseguida por los investigadores sobre la manera de mejorar los suelos se puso a disposición de los agricultores a través de EMBRAPA-CPAC y de organizaciones estatales de investigación. Al principio, la necesidad de importar cal de otras regiones elevó considerablemente los costos de producción. Más adelante se superó esta dificultad utilizando los abundantes depósitos locales de cal, lo que constituyó uno de los insumos más baratos para el desarrollo agrícola de la región. Actualmente, el exceso de cal ha originado a veces problemas de deficiencia en micronutrientes, siendo las más evidentes las deficiencias en Zn y Mn en los ferralsoles y la deficiencia en Cu en los arenosoles. Por su baja CCC, los valores de pH de estos suelos pueden cambiarse fácilmente por la adición de cal. Antes de abonar con cal un terreno, deben determinarse las necesidades mediante un análisis del suelo, calculándose la cantidad en equivalente de carbonato de calcio. La capacidad neutralizadora efectiva de la cal dependerá de su composición y del tamaño de las partículas una vez molida la cal. Las partículas mayores reaccionan más lentamente que las menores, pero a la larga elevarán el pH del suelo y, si la aplicación es excesiva, producirán deficiencias de micronutrientes (Ritchey, Urben Filho y Spehar, 1982). Para asegurar que el pH alcance el nivel deseado antes de la siembra, la cal debe aplicarse con bastante anticipación (Figura 5). Se requieren unos tres meses para alcanzar el máximo pH obtenible con una determinada aplicación de cal.

FIGURA 5
Cambios en el pH del suelo tras la aplicación de cal a un suelo ácido de Cerrado

V8941s06.GIF (10627 bytes)

Fuente: EMBRAPA, 1981.

La porción arcillosa del suelo de los Cerrados fija el fósforo. Las plantas cultivadas pueden responder notablemente a la aplicación de P (Figura 6). Es preciso analizar el suelo para determinar la tasa de aplicación que producirá el rendimiento mejor y más económico (Cuadro 10). Aplicaciones de P2O2 de hasta 240 kg/ha (0,5 t/ha de superfosfato simple) pueden ser provechosas en suelos con contenido bajo de P y muy alto de arcilla (Sousa, Miranda y Lobato, 1987). El fosfato era muy caro inicialmente por los costos de transporte. Ahora existen fábricas en el estado de Minas Gerais que producen fertilizantes de fosfato a partir de minerales locales. No obstante, sigue siendo un insumo caro porque hay que importar el azufre y transformarlo en ácido sulfúrico, que se utiliza para disolver la fosforita con la que se produce el fertilizante comercial de fosfato. Hasta tiempos recientes, los agricultores recibían subvenciones del Gobierno para mantener niveles adecuados de P para los cultivos.

FIGURA 6
Efecto sobre el rendimiento de la soja, variedad Cristalina, de la aplicación de fósforo en un latosol rojo oscuro

V8941s07.GIF (4835 bytes)

Fuente: Sousa, Miranda y Lobato, 1987.

CUADRO 10

Análisis de la presencia de fósforo en el suelo y fertilización con P2O2 necesaria para la producción económica de soja, en función del contenido de arcilla

Contenido de arcilla

Análisis del suelo

Fertilización

   

Correctiva1

Gradual2

 

Muy bajo

Bajo

Medio

Adecuato

P muy bajo

P bajo

P muy bajo

P bajo

 

(porcentaje)

(ppm)

(kg/ha)

>80

-

-

-

-

300

-

-

-

61-80

0-1.0

1.1-2.0

2.1-3.0

3.0

240

120

120

90

41-60

0-3.0

3.1-6.0

6.1-8.0

8.0

180

90

90

80

21-40

0-5.0

5.1-10.0

10.1-14.0

14.0

120

60

80

70

<20

0-6.0

6.1-12.0

12.1-18.0

18.0

100

50

70

60

1 Correctiva: suficiente para alcanzar un nivel adecuado de P disponible para la soja.
2 Gradual: fertilización de mantenimiento para el cultivo y exceso para que haya P disponible en el suelo.
Fuente: Sousa, Miranda y Lobato, 1987.

El potasio es otro nutriente importante que se ha importado principalmente para fertilización con K esencial. Actualmente, se produce cloruro potásico en el nordeste del país, pero sólo hasta el 30 por ciento de las necesidades del Brasil. Las dinámicas del K se relacionan con la baja CCC de los suelos. La aplicación de cal aumenta la saturación de Ca y Mg en la capa arada y mejora la retención de K (Figura 7). Las cargas negativas en materia orgánica constituyen también lugares importantes para la absorción de K e impiden la lixiviación en el suelo. Por lo tanto, las operaciones que reducen la materia orgánica disminuyen la disponibilidad de K. Este problema es mayor en unas 500 000 hectáreas de suelos arenosos en los que pueden precisarse aplicaciones divididas para atender a las necesidades de los cultivos anuales. La aplicación de la mitad de la cantidad requerida en el surco con la siembra y el resto a voleo antes de la floración ha mejorado los rendimientos de la soja y el maíz (Vilela et al., 1985).

FIGURA 7
Influencia de la cal sobre la lixiviación de potasio en un latosol rojo oscuro (ferralsol)

V8941s08.GIF (6752 bytes)

Fuente: Vilela et al., 1985.

Los subsuelos de los Cerrados tendrán características no deseables aun cuando la capa superficial esté debidamente abonada con cal. Agregar cal a nivel profundo para elevar los bajos niveles de pH, Ca y Mg y reducir el Al tóxico no es práctico para los agricultores, aunque se obtengan rendimientos superiores y más estables. Se ha recomendado el uso de yeso (sulfato de calcio) para incrementar tanto el suministro de azufre (S) como el movimiento vertical de Ca. El anión del sulfato es muy móvil en los suelos y llevará los cationes de Ca y otros a un nivel más bajo, mejorando así las condiciones del suelo para el crecimiento más profundo de las raíces. La tasa de aplicación del yeso dependerá de la composición química y la textura del suelo y de la necesidad de S de las plantas. En suelos con saturación de Al mayor del 30 por ciento en profundidades de 35 cm o más y Ca inferior a 0,2 meq/100 g, se recomiendan aplicaciones de yeso de 500, 1 000 y 1 500 kg/ha respectivamente para suelos arenosos, de textura media y arcillosos. No obstante, desde un punto de vista práctico, se recomienda una aplicación de 200 kg/ha por temporada. Lo que limita el uso del yeso es la distancia desde las fábricas de fosfatos, que lo producen como subproducto.
Hay diferencias notables entre los rendimientos potenciales y actuales de los cultivos en los Cerrados (Cuadro 11). Ello se debe sobre todo al uso reducido o inadecuado de fertilizantes. Las aplicaciones de fósforo se reducen cuando los costos de los fertilizantes son elevados y los precios de los productos son bajos. Esto ha sido frecuente desde que se han reducido las subvenciones. Las bajas tasas de aplicación de K, técnicas de cultivo inadecuadas (fechas de siembra, especies y variedades de plantas) y unos medios inadecuados de lucha contra enfermedades, plagas y malezas explican también los bajos rendimientos. Está claro, pues, que se dispone de tecnología para producir altos rendimientos, pero éstos no son siempre económicamente factibles si se consideran los actuales costos de los insumos y los precios de los productos.

CUADRO 11

Productividad actual y potencial en la región de los Cerrados, 1990

Cultivo

Brasil (promedio)

Cerrados

Investigación (potencial)

   

Promedio

Buenas prácticas de cultivo

 
   

(toneladas/ha)

 

Arroz de montaña

1,9

0,9

3,1

4,8

Frijoles

0,5

0,5

2,0

4,5

Maíz

1,9

1,6

7,6

14,0

Soja

1,7

1,5

4,0

6,0

Trigo de regadío

1,7

3,8

5,5

8,0

Trigo de secano

1,2

1,2

2,7

3,5

Fuente: Souza y Goedert, 1989.

Mantenimiento de la materia orgánica del suelo. La materia orgánica tiene una CCC aparente de 280 meq/100 g, mientras que la CCC de la arcilla suele ser inferior a 10 meq/100 g. Todo aumento en materia orgánica mejorará las características físicas y químicas del suelo. El contenido en materia orgánica de un latosol rojo oscuro aumentó tras el desbroce de una zona virgen (Figura 8). El aumento durante los primeros años de monocultivo de soja se debió probablemente a la incorporación de la vegetación nativa. La materia orgánica decrece paulatinamente, alcanzando tras 11 años niveles de 1,8 a 2,6 por ciento (Resck, Pereira y Silva, 1991).

FIGURA 8
Cambios en el contenido de materia orgánica del suelo (ferralsol) con monocultivo de soja

V8941s09.GIF (11022 bytes)

Fuente: Resck, Pereira y Silva, 1991

Después del desbroce, el encalado y la fertilización, puede preverse un descenso del contenido en materia orgánica por obra de la mayor actividad micro-biológica. No obstante, la cantidad de residuos producidos en suelos más fértiles aumentará y aportará materia orgánica. La quema de rastrojos reduce las semillas de malas hierbas y facilita la preparación del terreno pero reduce la materia orgánica y aumenta el riesgo de erosión del suelo. La mayoría de los nutrientes pueden perderse por volatilización, lixiviación o erosión. En la recolección, la paja debe repartirse uniformemente sobre el terreno ajustando debidamente la cosechadora o, en el caso del maíz y otros cultivos abundantes en rastrojos, con otro instrumento desmenuzador. Los rastrojos pueden entonces incorporarse o dejarse como cobertura del terreno en el sistema de cultivo sin laboreo.
El tratamiento adecuado de los rastrojos es la clave para el mantenimiento de la materia orgánica del suelo. Un monocultivo de soja reducirá la materia orgánica por el bajo cociente C/N de sus rastrojos. Si el N es abundante, habrá una descomposición rápida de los residuos por obra de los microorganismos (Resck, Pereira y Silva, 1991). La rotación de cultivos puede ayudar a mantener la materia orgánica del suelo por los mayores cocientes C/N de otras plantas; cultivos como el maíz producen además más rastrojos. Otros aspectos positivos de la rotación son los mayores rendimientos potenciales, la reducción de riesgos del mercado, la conservación del medio ambiente y la reducción de enfermedades y plagas. Las leguminosas de grano o para abono verde pueden ser importantes en las rotaciones por su capacidad de fijación de N2. El abono verde es una buena fuente de materia orgánica activa. Las hierbas, por el alto cociente C/N de su materia seca, tardan más que las leguminosas en convertirse en humus. Es conveniente un equilibrio entre cultivos con diferentes cocientes C/N para mantener la materia orgánica del suelo.

Protección de cultivos

Escarda. Las especies nativas de los Cerrados no son hierbas nocivas en las zonas recién roturadas. Las cizañas o malezas se importan y transportan con las semillas y los aperos. Gradualmente se multiplican y llegan a ser un problema, haciendo necesaria la escarda tras tres o cuatro años de cultivos. Si se utilizan semillas de alta calidad y se cuida de erradicar las primeras malezas que aparezcan en los campos, puede alargarse ese período.

Las malezas son una de las amenazas contra los altos rendimientos de los cultivos, ya que roban a éstos el agua, la luz y los nutrientes, y pueden causar problemas en la recolección, reduciendo el rendimiento y la calidad de los productos finales. Además, algunas malezas producen sustancias alelopáticas.
En los Cerrados se usa métodos mecánicos, químicos, biológicos y de selección de cultivos para limitar la proliferación de malezas. Se utilizan instrumentos mecánicos de escarda de tracción animal o mecánica para reducir las malezas en los campos. El trabajo manual con la azada es el método más sencillo y eficiente, aunque no siempre se dispone de la necesaria mano de obra. Puede recurrirse a la escarda con la azada como complemento de otros métodos. La escarda con la azada tiene más efectividad con clima cálido y seco. Se hace antes de la floración de los cultivos anuales y debe ser superficial para no dañar las raíces de los cultivos. Dos o tres operaciones suelen ser suficientes para mantener a raya la maleza.
Los medios químicos se han extendido, sobre todo porque requieren menos mano de obra y pueden aplicarse rápidamente. La práctica es cara, pero produce resultados económicos si la fertilización del suelo, las fechas de siembra y las variedades de cultivo son adecuadas. Como con otros factores de la producción, hay que comparar los costos con las ganancias potenciales. Es cada vez más frecuente combinar varios métodos, según los tipos y cantidad de hierbas nocivas. Antes de recurrir a los procedimientos químicos, los agricultores deben entender las características de los herbicidas disponibles y la manera de ajustar el equipo de aplicación. Los medios químicos son selectivos, y su éxito depende de las especies de hierbas y de su edad.
Además de sus beneficios para la conservación del suelo, el cultivo sin laboreo ayuda a limitar las malezas. Sin embargo, es preciso usar herbicidas, y hay que tener especial cuidado al seleccionar los productos. Puede ser preciso aplicar herbicidas foliares contra campos de césped o para reducir las hierbas entre los rastrojos antes de la siembra. Pueden necesitarse después herbicidas selectivos en aplicaciones antes de la siembra, preventivas o a posteriori.
En zonas muy húmedas, los cultivos de invierno pueden producir una biomasa que sirve de cubierta orgánica en la estación seca, protegiendo el suelo e impidiendo la infestación con malezas, con lo que se reduce la necesidad de herbicidas foliares.
En los últimos años ha habido una infestación de especies nocivas muy agresivas como Cassia tora, Desmodium purpureum, Hyptis suaveolens, Pennisetum setosum y Nicandra physalores. Algunas de éstas son difíciles de eliminar, o se precisan para ello productos químicos específicos. Se aconseja a los agricultores evitar la infestación utilizando semillas limpias de cizaña, limpiando cuidadosamente toda la maquinaria y los aperos antes de pasar de un campo a otro y eliminando las malas hierbas antes de que constituyan un problema.

Lucha contra insectos. Los principales cultivos anuales en los Cerrados son soja y maíz, seguidos por frijoles, arroz y trigo. Insectos comunes como Agrotis ipsilon y Elasmopalpus lignosellus pueden atacar a todos estos cultivos. Se recomienda el tratamiento de semillas contra el Elasmopalpus lignosellus, que puede llegar a ser un problema grave.

Antaño tendía a recurrirse preventivamente a medios químicos, lo que era caro, contaminaba el ambiente y dejaba restos de plaguicidas en los productos. Actualmente, así para cultivos comerciales como para los de primera necesidad, el control integrado de las plagas es una práctica común entre los agricultores. Se practica todavía la pulverización intensiva con algunos productos hortícolas como tomates (Lycopersicon esculentum) y papas (Solanum tuberosum). No obstante, se tiende a buscar métodos de control biológico de los insectos que no perjudiquen el medio ambiente ni dejen residuos químicos que dañen la calidad del producto. Buenos ejemplos de control biológico efectivo de los insectos en el maíz y la soja son el uso de un virus (Baculovirus anticarsia), un hongo (Nomuraea rileyi) y una bacteria (Bacillus thuringiensis).

Lucha contra enfermedades. En los Cerrados, las enfermedades se han combatido principalmente mediante la selección genética de variedades resistentes, sobre todo en los cultivos de soja y maíz que no son objeto de pulverizaciones. También se ha prestado atención a la resistencia al añublo del arroz y a una combinación de enfermedades causadas por hongos, bacterias y virus en los frijoles y el trigo. Arroz, frijoles y trigo son todavía pulverizados para protegerlos contra las enfermedades, lo que afecta a la economía de los cultivos. Hay plagas transmitidas por los suelos como Rhizoctonia solani, Fusarium spp., Sclerotinia scleriotorum, Meloidogyne javanica y, más recientemente, Heterodera glycines que afectan a varios cultivos. Se han limitado los daños gracias a variedades resistentes y a la rotación con cultivos no atacados por los agentes patógenos.

En los cultivos perennes de frutales y café, hay varias enfermedades de las hojas y los tallos que se han erradicado mediante pulverizaciones. No obstante, la selección de variedades resistentes también ha contribuido a este resultado.

CONSECUENCIAS DE LA ROTACION DE CULTIVOS

Cultivos anuales

La soja era un monocultivo en muchas zonas de los Cerrados, lo que hacía aumentar las enfermedades y plagas. El tratamiento inadecuado del suelo produjo desórdenes minerales causados por la erosión y la pérdida de fertilidad. La rotación de cultivos y las cosechas dobles han contribuido a paliar algunos de estos problemas.

El maíz cultivado después de la soja dio mayores rendimientos con las mismas tasas de N, llegando a aumentar los rendimientos en un 33 por ciento (Cuadro 12). El nitrógeno dejado en los residuos de la soja tiene un efecto benéfico sobre el maíz. Otros beneficios de la rotación soja-maíz son la interrupción de ciclos de plagas y enfermedades, el mejor control de las malezas y el mantenimiento de materia orgánica.

CUADRO 12

Efectos del nitrógeno sobre el rendimiento del maíz en monocultivo y en rotación con soja en un suelo de los Cerrados

 

Rendimiento

Nitrógeno

Monocultivo de maíz

Maíz tras soja

Aumento del rendimiento

(kg/ha)

(kg/ha)

(porcentaje)

0

2 880(62)1

3 124(67)1

8

40

3 229(69)

4 276(92)

32

60

3 671(79)

4 263(92)

16

80

3 922(84)

4 438(95)

13

100

3 511(75)

4 659(100)

33

1 Los números entre paréntesis son porcentajes del rendimiento más alto.
Fuente: Vasconcelos, Marriel y Pinto, 1989.

La soja también se beneficia con la rotación. Tanto maíz como soja producen más en rotación que en monocultivo: los aumentos medios del rendimiento en un quinquenio fueron respectivamente 700 y 174 kg/ha (Cuadro 13).

CUADRO 13

Rendimientos de maíz y soja como monocultivos y en rotación

Temporada

Maíz

Soja

 

Monocultivo

Rotación

Ganancia

Monocultivo

Rotación

Ganancia/pérdida

 

(kg/ha)

1983/84

5 069

5 513

+444

1 452

1 870

+418

1984/85

4 860

5 833

+973

2 229

2 120

-109

1985/86

6 636

7 772

+1 136

2 307

2 413

+106

1986/87

3 666

4 246

+580

1 102

1 392

+290

1987/88

2 916

3 286

+370

838

1 005

+167

Mean

4 630

5 330

+700

1 586

1 760

+174

   

(115)1

   

(111)1

 

1 Rendimiento de la rotación en porcentaje del monocultivo.
Fuente: Araujo et al., 1989.

Cultivos anuales y cultivos para abono verde

El uso de cultivos para abono verde en rotación con cultivos anuales ha contribuido a mantener y reponer la materia orgánica del suelo. Además se reciclan los nutrientes (Cuadro 14).

CUADRO 14

Rastrojos (materiales secos) y nutrientes devueltos al suelo en los diferentes sistemas de cultivo

Sistema de cultivo

Temporada

Materiales secos

N

P

K

Ca

Mg

Zn

 

(kg/ha)

(g/ha)

Leguminosas

1983/84

4 400

101

7

57

38

8

95

(abono verde)

1984/85

11 085

320

25

205

77

19

193

                 

Soja

1983/84

3 290

29

2

17

19

9

-

 

1984/85

3 450

42

2

27

26

10

71

                 

Maíz

1983/84

3 600

20

2

14

12

6

-

 

1984/85

3 060

27

1

22

6

5

104

                 

Cultivo mixto maíz

1983/84

4 880

53

3

16

25

9

-

+ leguminosas

1984/85

7 650

124

8

50

38

11

350

Fuente: Vasconcelos, Marriel y Pinto, 1089.

Es interesante señalar que Vasconcelos, Marriel y Pinto (1989) comprobaron que el maíz después de la soja tenía mayores rendimientos que después de un cultivo de abono verde, pese al reciclaje de nutrientes. Otros autores (Pereira, Burle y Resck, 1992) han establecido que los cultivos de cereales después de la incorporación de abono verde tenían un rendimiento superior en el 46,6 por ciento al de los monocultivos durante estaciones húmedas normales. Se han observado además diferencias en favor del abono verde cuando las condiciones climáticas eran menos favorables (Martin, Santos y Assumpção, 1987). Resck y Pereira (1979) comprobaron que un cultivo anterior de abono verde producía un efecto notable sobre el rendimiento de la soja.
Hay distintas maneras de utilizar cultivos de abono verde, aunque la más corriente es sembrar una leguminosa una vez cosechado el cultivo principal. También se ha utilizado el cultivo intercalado cuando el ciclo del cultivo es largo. Esta práctica permite que ambos cultivos se beneficien en parte de la estación lluviosa, aliviando el efecto de la estación seca en el período intermedio. Pereira, Burle y Resck (1992) proponen los siguientes planes para abono verde:

Cultivos anuales y pastos

Se han practicado con éxito rotaciones de cultivos anuales y pastos. Esta alternancia de monocultivo anual y plantas perennes contribuye a mejorar la estructura del suelo aumentando su materia orgánica y reduciendo la erosión. Las rotaciones modernas que incluyen un cereal con fuerte demanda de nutrientes han sucedido a los tradicionales cultivos intercalados de arroz y pasto, que aportaban poco a la tierra y producían bajos rendimientos de arroz y pastos de baja calidad. Según Spain (J.M. Spain, EMBRAPA-CPAC, comunicación personal), una asociación hierbas-leguminosas en rotación con cultivos anuales tiene las siguientes ventajas: mejoramiento de la fertilidad del suelo, con mayor actividad biológica en el subsuelo gracias al crecimiento en profundidad de las raíces de plantas perennes tolerantes de la acidez; reciclaje eficiente de nutrientes por plantas y animales; mejoramiento de las condiciones físicas del suelo como resultado del mejor aprovechamiento de la materia orgánica y, en consecuencia, reducción de la erosión; mejoramiento de la actividad microbiológica del suelo que produce un «laboreo biológico»; reducción de malezas, plagas y problemas de enfermedades; y eliminación de algunas hierbas nocivas en los pastos al ararlos para los cultivos anuales.

Para mantener la productividad del suelo a largo plazo, es necesario establecer sistemas de producción que mantengan o incluso mejoren la estructura del suelo. Los pastos y la rotación anual cultivo-pasto pueden mantener la estructura del suelo- medida por el tamaño de las partículas minerales del suelo- a nivel del suelo virgen (Figura 9), aumentando así doblemente la capacidad de soportar ganado (Ayarza, Vilela y Rauscher, 1993). Se precisan estudios adicionales para una mejor información en beneficio de los agricultores. Es de esperar que, con la diversificación de los sistemas de cultivo, los suelos mal fertilizados y ácidos dedicados ahora a pastos extensivos se incorporen a sistemas de producción ganadera más intensivos y estables.

FIGURA 9
Efectos del sistema de cultivo sobre la distribución por tamaño de las partículas minerales del suelo en un oxisol (ferralsol) arenoso amarillo rojizo en Uberlândia, MG

V8941s10.GIF (25579 bytes)

Fuente: Ayarza, Vilela y Rauscher, 1993.

Los diversos climas, tipos de suelos, relieves y tamaños de las explotaciones y las perspectivas de comercialización deben tenerse en cuenta al escoger los sistemas de cultivo más adecuados. Las rotaciones diversificarán las actividades y aumentarán la complejidad de las labores agrícolas.

CONCLUSIONES Y RECOMENDACIONES

Si se desarrolla plenamente, la producción potencial anual de los Cerrados, con la tecnología disponible, se calcula en 240 millones de toneladas de cultivos de grano, 8 millones de toneladas de carne de vacuno y 300 millones de m3 de madera (Cuadro 15). Estas estimaciones se basan en niveles modestos de productividad (véase Cuadro 6) y no consideran el potencial creciente de las zonas de regadío. Está claro que reflejan la transformación de una extensión agrícola marginal en un granero del país en poco más de dos decenios.

CUADRO 15

Producción anual potencial de secano de los Cerrados, en el supuesto de uso de toda la tierra cultivable con tecnología mejorada

Actividad

Superficie (106 ha)

Productividad media

Producción (106/año)

Cultivos de grano

80

2,5 t/haa

240 toneladas

Carne de vacuno

80

100 kg/hab

8 toneladas

Madera

10

30 m3/ha

300 m3

Arroz (1,2 toneladas/ha, 15 por ciento); Frijoles (1,0 toneladas/ha, 4 por ciento); Maíz (4,0 toneladas/ha, 20 por ciento); Soja (2,5 toneladas/ha, 35 por ciento); Sorgo (4,0 toneladas/ha, 4 por ciento); Otros (18 por ciento).
b 60 por ciento en pastizales mejorados a razón de 250 kg/cabeza/ha y una edad de sacrificio de 2,5 años.

La mayoría de los problemas que eran consecuencia de la explotación irregular se han identificado y resuelto, aunque deberán dedicarse más investigaciones a la protección de los recursos genéticos y la conservación del suelo. Varias plantas indígenas se han extinguido durante el proceso de limpieza del terreno. Las leyes actuales especifican procedimientos para desbrozar el terreno para mantener los bosques a lo largo de las márgenes de los ríos, lagos y acumulaciones naturales o artificiales de agua, en las cuencas colectoras, en lo alto de las montañas y en los bordes de las mesetas y las pendientes. En las fincas puestas en explotación, hay que dejar intacto el 20 por ciento de la superficie virgen. La aplicación de leyes protectoras de los recursos genéticos debe ser una prioridad.
Los progresos en la productividad de los Cerrados se han logrado experimentando con la fertilidad del suelo y la adaptación de plantas. El encalado y la fertilización son ya una rutina, habiendo establecido la investigación sus tasas para la producción económica de los cultivos. Hay que prestar más atención al genotipo por interacción ambiental para superar las limitaciones locales hasta llegar a rendimientos económicos máximos. Se promoverán así los beneficios de manera sostenible. Se precisa una mayor integración de investigadores con diversas especializaciones para determinar sistemas sostenibles resolviendo problemas complejos relativos a la tolerancia al Al, el uso eficiente de nutrientes, el equilibrio de minerales, las rotaciones de cultivos y el reciclaje de nutrientes, y la resistencia a enfermedades y plagas y el control integrado de éstas. Habrá que trabajar en equipo para diseñar sistemas de cultivo que produzcan los máximos ingresos compatibles con las mínimas perturbaciones ambientales.
El desarrollo de los Cerrados tuvo un comienzo inquietante. Disponiendo de dinero, los agricultores podían permitirse pagar errores. A través del sistema de impuestos, el conjunto de la sociedad soportó la carga de transferencia de recursos de un sector a otro. Los más beneficiados fueron los productores de maquinaria agrícola, cal y fertilizantes, y los intermediarios en el comercio y expedición de productos agrícolas, mientras que los agricultores asumían los riesgos. Estos incentivos pueden haber sido necesarios para estimular el desarrollo que tuvo lugar. Los planificadores futuros deberán mejorar la eficiencia en el uso de los fondos públicos para tales fines.
Hubo inicialmente incentivos oficiales masivos para poner en cultivo las zonas vírgenes de los Cerrados. Las deficientes prácticas de cultivo ocasionaron graves destrucciones ambientales. No obstante, en la actualidad las condiciones económicas nacionales no permiten un apoyo artificial a la producción agrícola. Con unos precios más bajos de los productos básicos, menor apoyo del gobierno y costos de insumos más elevados, será necesario un nivel más alto de conocimientos y prácticas de gestión que no se había tenido hasta ahora para que el agricultor sobreviva. En condiciones económicas favorables, la tendencia actual es aplicar el principio universal del éxito sostenible: la gestión óptima de unos recursos limitados. Es de esperar que sólo queden en activo los buenos gestores con una vocación real para la explotación agrícola.
Los grandes propietarios se han beneficiado más de los logros de la investigación por su alto nivel de instrucción. También los pequeños agricultores se han beneficiado, pero, gracias a cooperativas cuyos miembros comparten información, insumos, maquinaria y servicios de comercialización ha sido más lento. En las nuevas iniciativas de desarrollo, el gobierno deberá dar prioridad al establecimiento de cooperativas para que todos los agricultores queden incluidos en el proceso de desarrollo.
Recientemente, el equilibrio medioambiental de los sistemas agrícolas se relaciona con la planificación integrada sobre la base de una microcuenca o zona de captación de aguas. En estos sistemas, los agricultores cooperan en el uso de sus recursos naturales comunes. Hay cuatro grandes cuencas fluviales en los Cerrados: Tocantins-Araguaia, Paraná-Plata, Amazonas y São Francisco. Estas cuencas son complejas, pero deben ser la base de los planes para el aprovechamiento de la tierra (Resck, Pereira y Silva, 1991). Las superficies desde los ríos principales hasta las divisorias de aguas deben caracterizarse según el tipo de suelo, clima, relieve, vegetación natural, hidrología y geología. Estos factores determinarán las modalidades de cultivo que podrán contribuir al éxito de los sistemas agrícolas.
Los conocimientos sobre los factores mencionados son ya suficientes para planificar el uso de la tierra en algunas microcuencas de los Cerrados, y se han iniciado proyectos experimentales. Se prevé que organizaciones de investigación, servicios estatales de extensión, cooperativas y comunidades cooperarán en su ejecución. Los estudios de estos proyectos determinarán sistemáticamente la modalidad de desarrollo que mantendrá el medio ambiente y servirá al mismo tiempo a las necesidades de las crecientes poblaciones regionales. Es de esperar que unas políticas gubernamentales adecuadas den prioridad a incentivos para la planificación integrada, de manera que las comunidades adopten rápidamente planes para la utilización racional de la naturaleza. Se trata sobre todo de conseguir un sistema estable y ambientalmente equilibrado que sirva de base a las generaciones venideras y ofrezca al mismo tiempo soluciones a los planificadores en contextos similares en todo el mundo.

BIBLIOGRAFIA

Adamoli, J., Macedo, J. y Madeira Neto, J. 1985. Caracterização da região dos Cerrados. En W.J. Goedert, ed. Solos dos Cerrados: tecnologias e estratégias de manejo, p. 33-74. São Paulo, SP, Brasil, Nobel y EMBRAPA-CPAC.
Andrade, J.M.V., Dotto, S.R., Iorczeski, E.J. y Leite, J.C. 1991. Competição de cultivares e linhagens de trigo para a região dos Cerrados. En Relatório Técnico Anual do Centro de Pesquisa Agropecuária dos Cerrados, 1985-1987, p. 182-186. Planaltina, DF, Brasil, EMBRAPA-CPAC.
Araujo, N.B., Rushell, R., Eleuterio, A., Silva, N.C. y Santos, G. 1989. Rotação anual das culturas de milho e soja. Goiânia, Go., Brasil, EMGOPA-DDT (Boletim de Pesquisa 15). 12 p.
Assad, E. y Castro, L.H.R. 1992. Análise frequencial da pluviometria para a Estação de Sete Lagoas, MG. En Relatório Técnico Anual do Centro de Pesquisa Agropecuária dos Cerrados 1985-1987, p. 26-30. Planaltina, DF, Brasil, EMBRAPA-CPAC.
Ayarza, M., Vilela, L. y Rauscher, F. 1993. Rotação de culturas e pastagens em um solo de Cerrados: estudo de caso. Congresso Brasileiro de Ciência do Solo, 1993. Goiânia, Go., Brasil.
Cardoso, A.N. 1992. Soil management and conservation in the soybean crop. En Proc. Simpósio Sobre a Cultura da Soja nos Cerrados, 1992. Uberaba, MG, Brasil, EMBRAPA-CNPS/CPAC.
Carvalho, A. 1983. Pesquisas sobre o melhoramento do cafeeiro. En E. Malavolta, T. Yamada and J.A. Guidolin, eds. Nutrição e adubação do cafeeiro, p. 11-20. Piracicaba, SP, Brasil, Instituto da Potassa e Fosfato: Instituto Internacional da Potassa.
Crocomo, C. y Spehar, C.R. 1981. Nova variedade de soja para os Cerrados. Planaltina, DF, Brasil, EMBRAPA-CPAC (Communicado Técnico 16). 5 p.
Dedecek, R.A. 1986. Erosão e práticas conservacionistas nos Cerrados. Planaltina, DF, Brasil, EMBRAPA-CPAC (Circular Técnica 22).
EMBRAPA. 1979. Relatório Técnico Anual. Brasília, DF, Brasil, EMBRAPA-CPAC. 195 p.
EMBRAPA. 1980. Relatório Técnico Anual. Brasília, DF, Brasil, EMBRAPA-CPAC. 170 p.
EMBRAPA. 1981. Relatório Técnico Anual. Brasília, DF, Brasil, EMBRAPA-CPAC. 190 p.
EMBRAPA. 1982. Relatório Técnico Anual. Brasília, DF, Brasil, EMBRAPA-CPAC. 163 p.
EMBRAPA. 1992. Relatório Técnico Anual, 1988-1991. Sete Lagoas, MG, Brasil, EMBRAPA-CNPMS. 247 p.
Fageria, N.K., Baligar, V.C. y Wright, R.J. 1989. The effects of aluminum on growth and uptake of Al and P by rice. Pesq. Agropec. Bras., 24: 677-682.
Ferri, M.G. 1977. Ecologia dos Cerrados. En M.G. Ferri, ed. Simpósio sobre o Cerrado: bases para a utilização agropecuária, p. 15-36. Belo Horizonte, MG, Brasil, University of São Paulo.
Folle, S.M., Franz, C.A.B., Taniwaki, K. y Inamasua, R. 1992. Development of data acquisition systems for agricultural machines. En Proc. Seminar on Agricultural Research Progress in the Cerrado Region, p. 91-95. Planaltina, DF, Brasil, EMBRAPA-CPAC/EMPA/JICA.
Fontoura, J.U.G. 1981. No Estado do Mato Grosso do Sul. En S. Miyasaka and J.C. Medina, eds. A soja no Brasil, p. 40. Campinas, SP, Brasil, IAC.
Genú, P.J.C., Pinto, A.C.Q. y Ferreira, F.R. 1991. Estabelecimento da cultura de citros no região dos Cerrados. En Relatório Técnico Anual do Centro de Pesquisa Agropecuária dos Cerrados 1985-1987, p. 215-219. Planaltina, DF, Brasil, EMBRAPA-CPAC.
Grove, T.L., Ritchey, K.D. y Naderman Jr, G.C. 1980. Nitrogen fertilization of maize on an oxisol of the Cerrado of Brasil. Agron. J., 72: 261-265.
Guimarães, D.P. 1991. Comportamento de espécies florestais fixadoras de nitrogênio em solos de Cerrado de baixa fertilidade. En Relatório Técnico Anual do Centro de Pesquisa Agropecuária dos Cerrados 1985-1987, p. 223-225. Planaltina, DF, Brasil, EMBRAPA-CPAC.
Hinson, K. 1972. Jupiter - A new soybean cultivar for tropical latitudes. Gainesville, FL, Estados Unidos, University of Florida (Circular S-217). 12 p.
Hinson, K. 1989. Use of a long juvenile trait in cultivar development. En Proc. World Soybean Research Conference IV, p. 983-987. Buenos Aires, AASOJA.
Hudson, N.W. 1975. Field engineering for agricultural development. Oxford, Reino Unido, Clarendon Press. 225 p.
Kiihl, R.A.S. y García, A. 1989. The use of the long-juvenile trait in breeding soybean cultivars. En Proc. World Soybean Research Conference IV, p. 994-1000. Buenos Aires, AASOJA.
Lopes, A.S. 1974. A survey of the fertility status of soils under Cerrado vegetation in Brasil. North Carolina State University, Raleigh, NC, Estados Unidos. 138 p. (tésis en ciencias)
Lopes, H.O.S. y Pereira, E.A. 1992. Sal mineral com uréia para bovinos na época seca. Planaltina, DF, Brasil, EMBRAPA-CPAC (Communicado Técnico 37). 5 p.
Madeira Neto, J.S., Macedo, J. y Azevedo, L.G. 1982. Brasilian problem soils: distribution, characteristics and utilization. En Proc. International Symposium on Distribution, Characteristics and Utilization of Problem Soils, p. 1-20. Tsukuba, Japón, TARC-MAFF.
Martin, N.B., Santos, Z.A.P.S. y Assumpção, R. 1987. Análise econômica da utilização de adubação verde nas culturas de algodão em rotação com milho e amendoim na região de Ribeirão Preto, SP. Campinas, SP, Brasil. 32 p. (mimeografiado)
Miyasaka, S., Guimarães, G., Kiihl, R.A.S., Lovadini, L.A.C. y Dematte, J.D. 1970. Variedades de soja indiferentes ao fotoperiodismo e tolerantes à baixas temperaturas. Bragantia, 29: 169-173.
Moura, V. 1991. Seleção de espécies e procedências de essências florestais nativas e exóticas no região dos Cerrados. En Relatório Técnico Anual do Centro de Pesquisa Agropecuária dos Cerrados 1985-1987, p. 226-229. Planaltina, DF, Brasil, EMBRAPA-CPAC.
Pereira, J., Burle, M.L. y Resck. D.V.S. 1992. Adubos verdes e sua utilização nos Cerrados. En Proc. Simpósio sobre o Manejo e Conservação do Solo no Cerrado, p. 140-154. Campinas, SP, Brasil, Fundação Cargill.
Peres, J.R.R., Vargas, M.A.T. y Suhet, A.R. 1984. Variabilidade na eficiência em fixar nitrogênio entre isolados de uma mesma estripe de Rhizobium japonicum. Rev. Bras. Ci. Solo, 8: 193-196.
Ramos, V.H.V., Pinto, A.C.Q., Genú, P.J.C. y Ogata, T. 1991. Estabelecimento da cultura da mangueira nos Cerrados Brasileiros. En Relatório Técnico Anual do Centro de Pesquisa Agropecuária dos Cerrados 1985-1987, p. 207-211. Planaltina, DF, Brasil, EMBRAPA-CPAC.
Resck, D.V.S. y Pereira, J. 1979. Efeito da incorporação de restos culturais e adubo verde nas propriedades físicas de um latossolo vermelho amarelo, fase Cerrado. En Proc. Congresso Brasileiro de Ciência do Solo, 17. Manaus, AM, Brasil, SBCS. (separata)
Resck, D.V., Pereira, J. y Silva, J.E. 1991. Dinâmica da matéria orgânica na região dos Cerrados. Planaltina, DF, Brasil, EMBRAPA-CPAC (Documento 36). 22 p.
Ritchey, K.D., Silva, J.E. y Costa, A.U.F. 1982. Calcium deficiency in the clayey B horizon of savannah oxisols. Soil Sci., 133: 378-382.
Ritchey, K.D., Urben Filho, G. y Spehar, C.R. 1982. Manganese deficiency induced by excessive liming in a latossolo vermelho-escuro Cerrado soil. En Proc. National Soybean Research Seminar II, p. 541-544. Brasilia, DF, y Londrina, PR, Brasil, EMBRAPA-CNPS.
Ritchey, K.D., Sousa, D.M.G., Lobato, E. y Correa, O. 1980. Calcium leaching to increase rooting depth in a Brasilian savannah oxisol. Agron. J., 72: 40-43.
Sampaio, J.B.R. 1991. Competição de cultivares e linhagens de café visando obter material tolerante à ferrugem. En Relatório Técnico Anual do Centro de Pesquisa Agropecuária dos Cerrados 1985-1987, p. 201. Planaltina, DF, Brasil, EMBRAPA-CPAC.
Sanchez, P.A. 1976. Properties and management of soils in the tropics. New York, Wiley. 618 p.
Silva, J.A., Silva, D.B., Junqueira, N.T.V. y Andrade, L.R.M. 1992. Coleta de sementes, produção de mudas e plantio de espécies frutíferas nativas dos cerrados: Informações exploratórias. Planaltina, DF, Brasil, EMBRAPA-CPAC. 23 p.
Sousa, D.M.G., Miranda, L.N. y Lobato, E. 1987. Interpretação de análise de terra e recomendação de adubos fosfatados para culturas anuais. Planaltina, DF, Brasil, EMBRAPA-CPAC (Comunicado Técnico 49). 7 p.
Souza, P.I.M. y Goedert, W.J. 1989. Soybeans in the Brasilian Cerrados: soil fertility and management. En Proceedings of the World Soybean Research Conference IV, p. 2231-2244. Buenos Aires, AASOJA.
Spehar, C.R. 1989. The genetics of aluminum tolerance in soya beans, Glycine max (L.) Merrill. University of Cambridge, United Kingdom. (tésis de doctorado)
Spehar, C.R. y Souza, P.I.M. 1993. Adapting the quinoa (Chenopodium quinoa Willd) to cultivation in the Brasilian highlands: preliminary results. Pesq. Agropec. Bras., 28.
Spehar, C.R., Monteiro, P.M.F.O. y Zuffo, N.L. 1992. Soybean breeding in central Brasil. En Proc. Simpósio Sobre a Cultura da Soja nos Cerrados, Uberaba, MG, Brasil, EMBRAPA-CNPS/CPAC.
Summerfield, R.J., Shanmugasundaram, S. y Roberts, E.H. 1985. Soybean adaptation to photo-thermal environments and implications for screening germplasm. En S. Shanmugasundaram and E.W. Sulzberger, eds. Soybean in tropical and subtropical cropping systems, p. 333-352. Tsukuba, Japón y Taiwan Provincia de China, AVRDC.
Vasconcelos, C.A., Marriel, I.E. y Pinto, N.F.J.A. 1989. Rotação de culturas e produtividade do milho em solo sob vegetação de Cerrado. Sete Lagoas, MG, Brasil, EMBRAPA-CNPMS (Comunicado Técnico 5). 5 p.
Vilela, L., Silva, J.E., Ritchey, K.D. y Sousa, D.M.G. 1985. Potássio. En W.J. Goedert, ed. Solos dos Cerrados: technologias e estratégias de manejo, p. 203-222. Planaltina, DF, EMBRAPA-CPAC y São Paulo, SP, Brasil, Nobel.
Vilela, L., Barcellos, A.O., Sanzonowicz, C. y Spain, J.M. 1991. Recuperação de pastagem de Brachiaria ruziziensis através do uso de grade aradora, nitrogênio e introdução de leguminosas. En Relatório Técnico Anual do Centro de Pesquisa Agropecuária dos Cerrados 1985-1987, p. 239-241. Planaltina, DF, Brasil, EMBRAPA-CPAC.

Previous PageTable Of ContentsNext Page