The purpose of zoning, as carried out for rural land-use planning, is to separate areas with similar sets of potentials and constraints for development. Specific programmes can then be formulated to provide the most effective support to each zone..
Agro-ecalogical zoning (AEZ), as applied in FAO studies, defines zones on the basis of combinations of soil, landform and climatic characteristics. The particu- lar parameters used in the definition focus attention on the climatic and edaphic requirements of crops and on the management systems under which the crops are grown. Each zone has a similar combination of constraints and potentials for land use, and serves as a focus for the targeting of recommendations designed to improve the existing land-use situation, either through increasing production or by limiting land degradation.
When combined with an inventory of land use, expressed as land utilization types and their specific ecological requirements, zoning can then be used as the basis of a methodology for land resource appraisal. The addition of further layers of information, on such factors as land tenure, land availability, nutritional requirements of human and livestock populations, infrastructure and costs and prices, has enabled the development of more advanced applications in natural resource analysis and land-use planning.
AEZ can be regarded as a set of core applications, leading to an assessment of land suitability and potential productivity, and a further set of advanced or peripheral applications, which can be built on the inventories and results of the core AEZ studies (Figure 1). Outputs of core applications include maps showing agro-ecological zones and land suitability, and quantitative estimates on potential crop areas, yields and production. Such information provides the basis for advanced applications such as land degradation assessment, livestock productivity modelling, population support capacity assessment and land-use optimization modelling.
Before applying the procedures of AEZ, the potential user should have a good appreciation of the underlying concepts, so that the potential uses and limita- tions of the methodology are understood. The essential elements of the core applications of AEZ comprise:
� land resource inventory
� inventory of land utilization types and crop requirements
� land suitability evaluation, including:
� potential maximum yield calculation
� matching of constraints and requirements
The methodology and the input variables of AEZ are scale-independent. However, the level of detail to wich such factors as soils, climate and land utilization types are defined may vary according to the map scale and the objectives of the study.
Zoning divides the area into smaller units based on distribution of soil, land surface and climate. The level of detail to which a zone is defined depends on the scale of the study, and sometimes on the power of the data processing facilities. The Kenya AEZ study (FAO, 1993a) distinguishes agro-ecological cells (AECs), which are the basic units for land evaluation and data processing, from agro-ecological zones, which are spatial units related to a soil map. While each AEC has a unique combination of soil and climatic characteristics, related to a particular soil type, agro-ecological zones may contain a number of sets of characteristics, relating to different soil types within the same mapping unit. Sometimes, still broader definitions are applied to agro-ecological zones, to encompass several soil mapping units or climatic zones with similar, but not identical, properties. Box 1 gives definitions of terms related to agro-ecological zoning.
BOX 1. KEYWORDS IN AEZ Agro ecological Zoning Zone and Cell Agro-ecological Zoning (AEZ)refers to the division of an area of lend into smaller unitis, which have similar characteristics related to land su1tability, potential production and environmental impact. An Agro-ecological Zone is a land resource mapping unit, defined in terms of climate, landform and soils, and/or land cover, and having a specific range of potentials and constraints for land use. An Agro-ecological Cell (AEC) is defined by a unique combination of landform, soil and climatic characterist. The AEC is the basic processing unit for physical analysis in an AEZ study. The essential elements in defining an agro-ecological zone (or cell) are the growing period, temperature regime and soil mapping unit. |
The concept of the growing period is essential to AEZ, and provides a way of including seasonality in land resource appraisal. In many tropical areas, conditions are too dry during part of the year for crop growth to occur without irrigation, while in temperate climatic regimes crop production in winter is limited by cold temperatures. The growing period defines the period of the year when both moisture and temperature conditions are suitable for crop production.
The growing period provides a framework for summarizing temporally variable elements of climate, which can then be compared with the requirements and estimated responses of the plant. Such parameters as temperature regime, total rainfall and evapotranspiration and the incidence of climatic hazards are more relevant when calculated for the growing period, when they may influence crop growth, rather than averaged over the whole year.
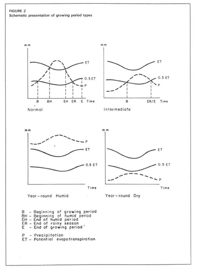
Terminology related to the definition of growing periods and their various components is given in Box 2. The estimation of growing period is based on a water balance model which compares rainfall (P) with potential evapo- transpiration (PET). If the growing period is not limited by temperature, the ratio of P/PET determines the start, end and type of growing period. Figure 2 shows plots of P against PET for the four generalized types of growing period.
The determination of the beginning of the growing period is based on the start of the rainy season. The first rains fall on soil which is generally dry at the surface and which has a large soil moisture deficit in the soil profile. In the absence of soil moisture reserves, seedbed preparation, seed germination and the initial growth of crops are therefore entirely dependent on the amount and frequency distribution of these early rains.
Experimental work indicates that the effectiveness of early rains increases considerably once P is equal to, or exceeds, half ET. The growing period continues beyond the rainy season, when crops often mature on moisture reserves stored in the soil profile. Soil moisture storage must therefore be considered in defining the length of the growing period.
In some areas, particularly those where rainfall does not follow a unimodal pattern, P may exceed ET or ET/2 for two or more distinct periods in the year, resulting in more than one LGP per year. The pattern of the growing period describes the proportional representation of each group of years in the total historical series. Different numbers of growing periods are illustrated in Figure 3. There are obvious differences in plant response depending on whether the growing period is continuous, or whether it is broken into shorter periods of moisture availability separated by dry periods. The number of LGPs is therefore an important consideration in agro-ecological zone definition.
By compiling an inventory of LGPs over a historical sequence of years, the frequency distribution of different annual numbers of LGP can be assessed. Table 2, based on the Kenya AEZ study, identifies 22 occurring LGP patterns..
Most AEZ studies use reference growing periods, which are calculated from Penman ET for a reference grass crop. These provide a generalized basis for zonation but do not account for the differing abilities of crops to extract soil moisture. Following on from the broad scale studies of the original FAO AEZ project, there has also been a tendency to assume standard figures for soil moisture reserves stored towards the end of the growing period, rather than to base calculations on the actual moisture holding capacities of specific soil types. The national study in Bangladesh, however, where soil moisture reserves are particularly important for residual moisture cropping, allows moisture storage to be adjusted in the range 0-250 mm according to soil type. Based on data from Botswana, Table 3 illustrates the comparative duration of the soil moisture reserve period for three mature crops grown on different soil types .
While standardization among crops may be permissible in a regional study where a number of crops are considered, information on soil available water holding capacity (AWC) can usually be inferred from the soil inventory, and its inclusion in the moisture balance would improve the accuracy of LGP prediction. Table 3 clearly shows how stored soil moisture affects the overall LGP. The moisture reserve period on the Vertisol (VRe) is sufficiently long for the growth of a short residual moisture crop and, in wetter environments, such soils are often used for this purpose after the rains have ceased. Residual moisture cropping in Bangladesh and Ethiopia takes place on soils with similarly high AWCs.
LGP analysis is based either on average climatic data, or on historic data for individual years. Most early AEZ studies calculated LGP based on average monthly rainfall and PET. While this approach may be acceptable for broad scale regional studies, it fails to capture the temporal variation in LGP, which is determined mainly by inter-annual variations in rainfall distribution. Assessment of LGP for individual years, based on the use of historical rainfall data, enables quantification of the level of risk as well as the potential production under average climatic conditions. Such an approach greatly improves the utility of the assessment, particularly in areas subject to periodic drought. AEZ national studies in Kenya and Bangladesh (FAO, 1993a; Karim, 1994) have used the LGP pattern, as described above, as a means of capturing inter-annual variation in LGP and consequent land suitability and potential yield. The most recent adaptation of the Kenya study evaluates individual LGPs and land suitability over a historical series of years, enabling the results to be expressed in terms of probabilities.
The thermal regime is the other basic climatic parameter used to define the agro-ecological zones. The thermal regime refers to the amount of heat available for plant growth and development during the growing period. It is usually defined by the mean daily temperature during the growing period. In regional and national AEZ assessments, thermal zones may be defined based on temperature intervals of 5�C or 2.5�C. A more detailed treatment of thermal regimes is often required in temperate or subtropical areas (Table 10, p. 31).
The soil mapping unit is the basic unit taken from the soil map. On small-scale maps, soil mapping units rarely comprise single soils, but usually consist of a combination of a dominant soil with minor associated soils. When the various soils of a soil mapping unit occur in a recognizable geographical pattern in defined proportions, they constitute a soil association. If such a pattern is absent, they form a soil complex. An example of the composition of a soil association forming a soil mapping unit is given in Figure 4.
Each soil type occurring in each soil mapping unit is characterized in terms of its land characteristics and qualities (Box 3), which relate to the edaphic requirements of plants or to land-use requirements for management or conservation.
In the publications of FAO describing land evaluation and AEZ the use of the terms soil unit and land unit is not always consistent. Land, according to the FAO definition (Box 3) includes climate, but soil includes properties of the land surface but excludes climate. A soil or land mapping unit is a spatial entity, which is not necessarily uniform in terms of land characteristics. As a soil unit can easily be confused with a soil mapping unit, the term soil type is suggested to refer to a unit with a specific set of soil characteristics.
The land resource inventory is essentially an overlay of climatic and soil information. The resulting units are the agro-ecological zones, which have a unique combination, or a specified range, of soil mapping units, growing period regimes, and thermal regimes; and agro-ecological cells, with unique combina- tions of growing period and thermal regimes and soil types. The relevant land characteristics of each AEC are listed under headings related to agro-climatic constraints and soil or land constraints.
Information on land administration, land tenure and present land use, related to potential land availability, may be incorporated in the land resource inventory. Multiple overlay techniques are particularly applicable when GIS is used, and the resulting AECs and zones are more effective planning units when such information is included. Figure 8 (p. 35) presents an example based on the combination of ten layers of information in the Kenya AEZ study.
Assessment of land suitability and potential productivity is made in relation to a specific type of land use under certain production conditions. Following the FAO Framework for Land Evaluation (FAO,1976), land use is classified into Land Utilization Types (Box 3). Relevant land utilization types (LUTs), based on existing and potential land use, have to be clearly identified and described before land suitability evaluation.
The reasons for describing land utilization types are:
� to guide the selection of important agro-ecological characteristics to be included in the land inventory which may influence either output level or environmental impact;
� to support the process of defining algorithms and setting thresholds relating agro-ecological characteristics and potential production level, taking intoaccount:
� the impact of "fixed", unmodifiable constraints;
� the extent to which a defined LUT is assumed to be able to modify "non-fixed" constraints, e.g., what level of nutrient application, land improvement and plant care can be assumed?
Quantification of the land use requirements of LUTs provides the basis for estimation of potential yields and for land suitability evaluation. Land-use requirements are grouped according to crop climatic and edaphic adaptability, and requirements for management and conservation. The crop climatic inventory lists requirements, for both photosynthesis and phenology, which bear a relationship to yield in quantity and, where necessary, to yield in quality. The rate of crop photosynthesis, growth and yield are directly related to the assimilation pathway and its response to temperature and radiation. However, the phenological climatic requirements, which must be met, are not specific to a photosynthesis pathway. Edaphic requirements describe crop responses to soil factors, such as nutrient availability or the presence of toxic substances. Requirements for management and conservation include such factors as soil workability and susceptibility to erosion. Procedures for listing and quantifying the requirements of LUTs are given in the adaptability inventories in Chapter 3.
For estimation of potential productivity, AEZ uses the concept of a maximum attainable total biomass and yield. For a specified LUT, the potential maximum yield is determined by the radiation and temperature characteristics of a particular location, by the photosynthetic efficiency of the crop, and by the fraction of net biomass that the crop can convert to economically useful yield. This potential maximum yield is used as an input to the process of matching of agro-climatic and edaphic requirements with the qualities and characteristics of the land units defined in the inventory.
Potential maximum biomass and yield of crop components of the LUTs are usually calculated using a simple simulation model (FAO, 1978). Correction factors, based on expert knowledge, are used to quantify the yield reductions due to constraints, taking account of levels of management and inputs. The results are a series of estimated agronomically attainable yields for each LUT on each land unit. These estimates are then related to land suitability classes.
The following chapter describes the procedures required to apply the AEZ methodology for land resource appraisal.






