Exercício 2.1 Valor médio e variância
Folha de exercícios 2.1
| j | L(j) -L(j) +dL | F(j) | L(j) | F(j) *L(j) | L(j) -x | F(j)*(L(j) -x)2 |
| 1 | 23.0–23.5 | 1 | 23.25 | 23.25 | -2.968 | 8.809 |
| 2 | 23.5–24.0 | 1 | 23.75 | 23.75 | -2.468 | 6.091 |
| 3 | 24.0–24.5 | 1 | 24.25 | 24.25 | -1.968 | 3.873 |
| 4 | 24.5–25.0 | 2 | 24.75 | 49.50 | -1.468 | 4.310 |
| 5 | 25.0–25.5 | 2 | 25.25 | 50.50 | -0.968 | 1.874 |
| 6 | 25.5–26.0 | 6 | 25.75 | 154.50 | -0.468 | 1.314 |
| 7 | 26.0–26.5 | 5 | 26.25 | 131.25 | 0.032 | 0.005 |
| 8 | 26.5–27.0 | 6 | 26.75 | 160.50 | 0.532 | 1.698 |
| 9 | 27.0–27.5 | 2 | 27.25 | 54.50 | 1.032 | 2.130 |
| 10 | 27.5–28.0 | 2 | 27.75 | 55.50 | 1.532 | 4.694 |
| 11 | 28.0–28.5 | 2 | 28.25 | 56.50 | 2.032 | 8.258 |
| 12 | 28.5–29.0 | 1 | 28.75 | 28.75 | 2.532 | 6.441 |
| somas | 31 | 812.75 | 49.467 | |||
| x = 26.218 s2 = 1.6489 s = 1.2841 | ||||||
Exercício 2.2 A distribuição normal
x = 26.22
Folha de exercícios 2.2
| x | Fc(x) | x | Fc(x) |
| 22.0 | 0.02 | 26.0 | 4.75 |
| 22.5 | 0.07 | 26.5 | 4.70 |
| 23.0 | 0.21 | 27.0 | 4.00 |
| 23.5 | 0.51 | 27.5 | 2.93 |
| 24.0 | 1.08 | 28.0 | 1.84 |
| 24.5 | 1.97 | 28.5 | 0.99 |
| 25.0 | 3.07 | 29.0 | 0.46 |
| 25.5 | 4.12 | 29.5 | 0.18 |
Exercício 2.3 Limites de confiança
L-t30*s/√ n = 26.22-2.04*1.284/√ 31 = 25.75
L+t30*s/√ n = 26.22+2.04*1.284/√ 31 = 26.69

Fig. 18.2.2 Curva em forma de sino determinada para a amostra de frequências de comprimento da Fig. 17.2.1

Fig. 18.2.4 Análise de regressão simples, recta de regressão e diagrama de dispersão (ver Folha de exercícios 2.4)
Exercício 2.4 Análise de regressão linear simples
Folha de exercícios 2.4
| ano | i | número barcos x(i) | x(i)2 | captura por barco/ano y(i) | y(i)2 | x(i)*y(i) |
| 1971 | 1 | 456 | 207936 | 43.5 | 1892.25 | 19836.0 |
| 1972 | 2 | 536 | 287296 | 44.6 | 1989.16 | 23905.6 |
| 1973 | 3 | 554 | 306916 | 38.4 | 1474.56 | 21273.6 |
| 1974 | 4 | 675 | 455625 | 23.8 | 566.44 | 16065.0 |
| 1975 | 5 | 702 | 492804 | 25.2 | 635.04 | 17690.4 |
| 1976 | 6 | 730 | 532900 | 30.5 | 930.25 | 22265.0 |
| 1977 | 7 | 750 | 562500 | 27.4 | 750.76 | 20550.0 |
| 1978 | 8 | 918 | 842724 | 21.1 | 445.21 | 19369.8 |
| 1979 | 9 | 928 | 861184 | 26.1 | 681.21 | 24220.8 |
| 1980 | 10 | 897 | 804609 | 28.9 | 835.21 | 25923.3 |
| Total | 7146 | 5354494 | 309.5 | 10200.09 | 211099.5 | |
| x = 714.6 | y = 30.95 | |||||
declive: b = sxy/sx2 = -0.0406 intersecção: a = y-b*x = 59.96
variância de b:
variância de a:
distribuição de Student: tn-2 = 2.31
limites de confiança:
b-sb*tn-2, b+sb*tn-2 = [ -0.0645, -0.0167 ]
a-sa*tn-2, a+sa*tn-2 = [ 42.5 , 77.4 ]
Exercício 2.5 O coeficiente de correlação
Em princípio o número de barcos pode ser medido sem qualquer precisão e, portanto, é a variável independente. O coeficiente de correlação não é considerado útil nesse contexto. Apesar disso, a título de exercício, calculamos os limites de confiança usando a Eq. 2.5.3 nas secções chamadas A e B:
A = 0.5*ln[(1+r)/(1-r)] = 0.5*ln[(1-0.811)/(1+0.811)] = -1.130
r1 = tanh(A-B) = -0.95, r2 = tanh(A+B) = -0.37
Exercício 2.6 Transformações lineares, o diagrama de Bhattacharya
Folha de exercícios 2.6a
| x | F(x) | ln F(x) | Δln F(z)(y) | x+dL/2 (z) | observações |
| 4.5 | 2 | 0.693 | |||
| 0.916 | 5 | não usado | |||
| 5.5 | 5 | 1.609 | |||
| 0.875 | 6 | ||||
| 6.5 | 12 | 2.485 | |||
| 0.693 | 7 | ||||
| 7.5 | 24 | 3.178 | |||
| 0.377 | 8 | ||||
| 8.5 | 35 | 3.555 | |||
| 0.182 | 9 | ||||
| 9.5 | 42 | 3.737 | |||
| 0.000 | 10 | não usado contaminado | |||
| 10.5 | 42 | 3.737 | |||
| 0.091 | 11 | ||||
| 11.5 | 46 | 3.829 | |||
| 0.197 | 12 | ||||
| 12.5 | 56 | 4.025 | |||
| 0.035 | 13 | ||||
| 13.5 | 58 | 4.060 | |||
| -0.254 | 14 | não usado | |||
| 14.5 | 45 | 3.807 | |||
| -0.716 | 15 | ||||
| 15.5 | 22 | 3.091 | |||
| -1.145 | 16 | ||||
| 16.5 | 7 | 1.946 | |||
| -1.253 | 17 | ||||
| 17.5 | 2 | 0.693 | |||
| Primeira componente | Segunda componente (ver Fig. 18.2.6A) | ||
| intersecção | (a) | 2.328 | 5.978 |
| declive | (b) | -0.240 | -0.446 |
| x = -a/b | 9.7 | 13.4 | |
| s2 = -1/b | 4.18 | 2.24 | |
| s | 2.04 | 1.50 |
Folha de exercícios 2.6b
| Primeira componente | Segunda componente |
![]() | ![]() |
| B = -1/(2*2.042) = -0.120 | B = -1/(2*1.502) = -0.222 |
| x = -a/b = 9.7 | x = 13.4 |
Fc(x) = A*exp[B*(x-x)2]
| x | Fc(x)primeira | Fc(x)segunda |
| 1.5 | 0.0 | |
| 2.5 | 0.1 | |
| 3.5 | 0.4 | |
| 4.5 | 1.5 | |
| 5.5 | 4.7 | |
| 6.5 | 11.4 | |
| 7.5 | 21.8 | 0.0 |
| 8.5 | 32.7 | 0.3 |
| 9.5 | 38.7 | 1.8 |
| 10.5 | 36.0 | 8.2 |
| 11.5 | 26.4 | 23.7 |
| 12.5 | 15.2 | 44.2 |
| 13.5 | 6.9 | 52.8 |
| 14.5 | 2.4 | 40.4 |
| 15.5 | 0.7 | 19.9 |
| 16.5 | 0.2 | 6.3 |
| 17.5 | 0.0 | 1.3 |
| 18.5 | 0.2 | |
| 19.5 | 0.0 | |
| 20.5 |

Fig. 18.2.6A Diagramas de Bhattacharya (transformações lineares) (ver Folha de exercícios 2.6a)

Fig. 18.2.6B As duas distribuições normais determinadas pelo método de Bhattacharya estabelecidas na Fig. 17.2.6B (ver Folha de exercícios 2.6b)
Exercise 3.1 A equação de crescimento de von Bertalanffy
Folha de exercícios 3.1
| idade anos | comprimento padrão cm | comprimento total cm | peso do corpo g |
| 0.5 | 1.0 | 1.4 | 0.04 |
| 1.0 | 6.6 | 8.0 | 9 |
| 1.5 | 11.8 | 14.1 | 45 |
| 2 | 16.5 | 19.7 | 118 |
| 3 | 24.9 | 29.6 | 380 |
| 4 | 32.0 | 37.9 | 775 |
| 5 | 38.0 | 45.0 | 1262 |
| 6 | 43.0 | 51.0 | 1802 |
| 7 | 47.3 | 56.0 | 2359 |
| 8 | 50.9 | 60.3 | 2909 |
| 9 | 54.0 | 63.9 | 3434 |
| 10 | 56.6 | 67.0 | 3922 |
| 12 | 60.6 | 71.7 | 4770 |
| 14 | 63.5 | 75.1 | 5444 |
| 16 | 65.5 | 77.5 | 5961 |
| 20 | 68.1 | 80.5 | 6637 |
| 50 | 70.7 | 83.6 | 7388 |

Fig. 18.3.1 Curvas de crescimento
Exercício 3.1.2 A equação de crescimento de von Bertalanffy baseada em peso
Folha de exercícios 3.1.2
| t | L(t) | w(t) |
| 0 | 2.54 | 0.38 |
| 0.1 | 3.63 | 1.11 |
| 0.2 | 4.62 | 2.29 |
| 0.3 | 5.51 | 3.90 |
| 0.4 | 6.32 | 5.88 |
| 0.5 | 7.05 | 8.16 |
| 0.6 | 7.71 | 10.69 |
| 0.7 | 8.31 | 13.37 |
| 0.8 | 8.85 | 16.16 |
| 0.9 | 9.34 | 19.00 |
| 1.0 | 9.78 | 21.83 |
| 1.2 | 10.55 | 27.36 |
| 1.4 | 11.17 | 32.53 |
| 1.6 | 11.69 | 37.21 |
| 1.8 | 12.11 | 41.37 |
| 2.0 | 12.45 | 44.99 |
| 2.5 | 13.06 | 51.93 |
| 3.0 | 13.43 | 56.47 |

Fig. 18.3.1.2 Curvas de crescimento de peixe-pónei
Exercício 3.2.1 Dados de leitura de idade e composição de comprimentos (chave idade/comprimento)
Folha de exercícios 3.2.1
| coorte | 1982 | 1981 | 1981 | 1980 | número na amostra de comprim. | 1982 | 1981 | 1981 | 1980 |
| P | O | P | O | P | O | P | O | ||
| classe comprim. | chave | números por coorte | |||||||
| 35–36 | 0.800 | 0.200 | 0 | 0 | 53 | 42.4 | 10.6 | 0 | 0 |
| 36–37 | 0.636 | 0.273 | 0.091 | 0 | 61 | 38.8 | 16.7 | 5.6 | 0 |
| 37–38 | 0.600 | 0.300 | 0.100 | 0 | 49 | 29.4 | 14.7 | 4.9 | 0 |
| 38–39 | 0.500 | 0.400 | 0.100 | 0 | 52 | 26.0 | 20.8 | 5.2 | 0 |
| 39–40 | 0.364 | 0.364 | 0.182 | 0.091 | 70 | 25.5 | 25.5 | 12.7 | 6.4 |
| 40–41 | 0.273 | 0.455 | 0.182 | 0.091 | 52 | 14.2 | 23.7 | 9.5 | 4.7 |
| 41–42 | 0.222 | 0.444 | 0.222 | 0.111 | 49 | 10.9 | 21.8 | 10.9 | 5.4 |
| total | 386 | 187.2 | 133.8 | 48.8 | 16.5 | ||||
Exercício 3.3.1 O diagrama de Gulland e Holt
Folha de exercícios 3.3.1
| A | B | C | D | E | F |
| número do peixe | L(t) cm | L(t+Δt) cm | Δt dias | ![]() cm/ano (y) | ![]() cm (x) |
| 1 | 9.7 | 10.2 | 53 | 3.44 | 9.95 |
| 2 | 10.5 | 10.9 | 33 | 4.42 | 10.70 |
| 3 | 10.9 | 11.8 | 108 | 3.04 | 11.35 |
| 4 | 11.1 | 12.0 | 102 | 3.22 | 11.55 |
| 5 | 12.4 | 15.5 | 272 | 4.16 | 13.95 |
| 6 | 12.8 | 13.6 | 48 | 6.08 | 13.20 |
| 7 | 14.0 | 14.3 | 53 | 2.07 | 14.15 |
| 8 | 16.1 | 16.4 | 73 | 1.50 | 16.25 |
| 9 | 16.3 | 16.5 | 63 | 1.16 | 16.40 |
| 10 | 17.0 | 17.2 | 106 | 0.69 | 17.10 |
| 11 | 17.7 | 18.0 | 111 | 0.99 | 17.85 |
| a (intersecção) = 8.77 | b (declive) = -0.431 | ||||
| K = -b = 0.43 por ano | L∞ = -a/b = 20.3 cm | ||||
![]() | |||||
| sb = 0.145 | t(9) = 2.26 | ||||
| intervalo de confiança de K = [ 0.10 , 0.76 ] | |||||

Fig. 18.3.3.1 O diagrama de Gulland e Holt (ver Folha de exercícios 3.3.1)
Exercício 3.3.2 O diagrama de Ford-Walford e o método de Chapman
Folha de exercícios 3.3.2
| Método | FORD-WALFORD | CHAPMAN | |
| t | L(t+Δt) (y) | L(t) (x) | L(t+Δt)-L(t) (Y) |
| 1 | 55 | 35 | 20 |
| 2 | 75 | 55 | 20 |
| 3 | 90 | 75 | 15 |
| 4 | 105 | 90 | 15 |
| 5 | 115 | 105 | 10 |
| a (intersecção) | 26.2 | 26.2 |
| b (declive) | 0.86 | -0.14 |
![]() | 0.0009268 | 0.0009271 |
| sb = | 0.030 | 0.030 |
| tn-2 = t3 = | 3.18 | 3.18 |
| limite de confiança de b: | [0.76 , 0.96] | [-0.24 , -0.04] |
| K | -ln b/Δt = 0.15 | -(1/1)*ln(1+b) = 0.15 |
| L∞ | a/(1-b) = 185 cm | -a/b = 185 cm |
![]() | ![]() |
Fig. 18.3.3.2 Diagramas de Ford-Walford e Chapman para o atum albacora do
Senegal.
Fonte de dados: Postel, 1955, (ver Folha de exercícios 3.3.2)
Exercício 3.3.3 O diagrama de von Bertalanffy
Escolhemos como estimação de L∞, 11 polegadas (porque existem muito pouco esparídeos maiores que 11 polegadas).
Assumimos arbitrariamente as idades 1,2,3 e 4 para os quatro grupos de idade.
| idade | L | -ln(1-L/L∞) | |
| 1 | 3.22 | 0.35 | b (declive) = K = 0.60 por ano |
| 2 | 5.33 | 0.66 | |
| 3 | 7.62 | 1.18 | |
| 4 | 9.74 | 2.17 |
Pelo menos agora K tem o sinal correcto.
sb2 = 0.0119, sb = 0.109, t(2) = 4.3
intervalo de confiança de K: [0.13 , 1.07]
to não pode ser estimado devido à idade absoluta não ser conhecida.

Fig. 18.3.3.3 Diagramas de von Bertalanffy e Gulland e Holt para os esparídeos. Fonte de dados: Cassie, 1954
Exercício 3.4.1 Método de Bhattacharya
Não há solução “correcta” para este exercício. Sugere-se apenas uma das soluções possíveis. Não apresenta o mesmo resultado encontrado por Weber e Jothy (1977) usando o método Cassie.

Fig. 18.3.4.1A Diagrama de Bhattacharya para o falso besugo.
(Ver Folhas de exercícios 3.4.1a, b e c)
Folha de exercícios 3.4.1a
| A | B | C | D | E | F | G | H | I |
| intervalo | N1+ | ln N1+ | Δln N1+ | L | Δln N1 | ln N1 | N1 | N2+ |
| 5.75– 6.75 | 1 | 0 | - | - | - | - | 1 | - |
| 6.75– 7.75 | 26 | 3.258 | (3.258) | 6.75 | 1.262 | - | 26 | 0 |
| 7.75– 8.75 | 42# | 3.738# | 0.480* | 7.75 | 0.354 | 3.738# | 42# | 0 |
| 8.75– 9.75 | 19 | 2.944 | -0.793* | 8.75 | -0.554 | 3.183 | 19 | 0 |
| 9.75–10.75 | 5 | 1.609 | -1.335* | 9.75 | -1.462 | 1.722 | 5 | 0 |
| 10.75–11.75 | 15 | 2.708 | 1.099 | 10.75 | -2.370 | -0.648 | 0.5 | 14.5 |
| 11.75–12.75 | 41 | 3.714 | 1.006 | 11.75 | -3.278 | -3.926 | 0.0 | 41.0 |
| 12.75–13.75 | 125 | 4.828 | 1.115 | 12.75 | - | - | - | 125 |
| 13.75–14.75 | 135 | 4.905 | 0.077 | 13.75 | - | - | - | 135 |
| Total | 1069 | 93.5 | ||||||
| a (intersecção) = 7.391 | b (declive) = -0.908 | |||||||
| L (N1) = -a/b = 8.14 | ![]() | |||||||
Folha de exercícios 3.4.1b
| A | B | C | D | E | F | G | H | I |
| intervalo | N2+ | ln N2+ | Δln N2+ | L | Δln N2 | ln N2 | N2 | N3+ |
| 10.75–11.75 | 14.5 | 2.674 | - | 10.75 | - | - | 14.5 | 0 |
| 11.75–12.75 | 41 | 3.714 | 1.039* | 11.75 | - | - | 41 | 0 |
| 12.75–13.75 | 125# | 4.828# | 1.115* | 12.75 | - | 4.828# | 125# | 0 |
| 13.75–14.75 | 135 | 4.905 | 0.077* | 13.75 | 0.238 | 5.066 | 135 | 0 |
| 14.75–15.75 | 102 | 4.625 | -0.280* | 14.75 | -0.262 | 4.804 | 102 | 0 |
| 15.75–16.75 | 131 | 4.875 | 0.250 | 15.75 | -0.761 | 4.043 | 57.0 | 74.0 |
| 16.75–17.75 | 106 | 4.663 | -0.212 | 16.75 | -1.261 | 2.782 | 16.2 | 89.8 |
| 17.75–18.75 | 86 | 4.454 | -0.209 | 17.75 | -1.760 | 1.022 | 2.8 | 83.2 |
| 18.75–19.75 | 59 | 4.078 | -0.377 | 18.75 | -2.260 | -1.038 | 0.3 | 58.7 |
| 19.75–20.75 | 43 | 3.761 | -0.316 | 19.75 | -2.759 | -3.997 | 0.0 | 43 |
| 20.75–21.75 | 45 | 3.807 | 0.045 | 20.75 | - | - | - | 45 |
| 21.75–22.75 | 56 | 4.025 | 0.219 | 21.75 | - | - | - | 56 |
| Total | 493.8 |
| a (intersecção) = 7.11 | b (declive) = -0.500 |
| L (N2) = -a/b = 14.2 | ![]() |
Folha de exercícios 3.4.1c
| A | B | C | D | E | F | G | H | I |
| intervalo | N3+ | ln N3+ | Δln N3+ | L | Δln N3 | ln N3 | N3 | N4+ |
| 15.75–16.75 | 74.0 | - | - | 15.75 | - | - | 74 | 0 |
| 16.75–17.75 | 89.8 | 4.498 | 0.194* | 16.75 | - | - | 89.9 | 0 |
| 17.75–18.75 | 83.2# | 4.421# | -0.076* | 17.75 | - | 4.421# | 83.2# | 0 |
| 18.75–19.75 | 58.7 | 4.072 | -0.348* | 18.75 | -0.225 | 4.196 | 58.7 | 0 |
| 19.75–20.75 | 43 | 3.761 | -0.312* | 19.75 | -0.404 | 3.792 | 43.0 | 0 |
| 20.75–21.75 | 45 | 3.807 | 0.046 | 20.75 | -0.583 | 3.209 | 24.8 | 20.2 |
| 21.75–22.75 | 56 | 4.025 | 0.219 | 21.75 | -0.762 | 2.447 | 11.6 | 44.4 |
| 22.75–23.75 | 20 | 2.996 | -1.030 | 22.75 | -0.941 | 1.506 | 4.5 | 15.5 |
| 23.75–24.75 | 8 | 2.079 | -0.916 | 23.75 | -1.120 | 0.386 | 1.5 | 6.5 |
| 24.75–25.75 | 3 | 1.099 | -0.981 | 24.75 | -1.299 | -0.913 | 0.4 | 2.6 |
| 25.75–26.75 | 1 | 0 | -1.099 | 25.75 | - | - | -391.5 | 1 |
| Total | ||||||||
| a (intersecção) = 3.13 | b (declive) = -0.179 | |||||||
| L (N3) = -a/b = 17.5 | ![]() | |||||||
* pontos usados na análise de regressão
Folha de exercícios 3.4.1d
| A | B | C | D | E | F | G | H | I |
| intervalo | N4+ | ln N4+ | Δln N4+ | L | Δln N4 | ln N4 | N4 | N5+ |
| 20.75–21.75 | 20.2 | 3.006 | - | 20.75 | ? | muito poucas observações | ||
| 21.75–22.75 | 44.4 | 3.793 | 0.787 | 21.75 | ? | |||
| 22.75–23.75 | 15.5 | 2.741 | -1.052 | 22.75 | ? | |||
| 23.75–24.75 | 6.5 | 1.892 | -0.869 | 23.75 | ? | |||
| 24.75–25.75 | 2.6 | 0.956 | -0.916 | 24.75 | ? | |||
| 25.75–26.75 | 1 | 0 | -0.956 | 25.75 | ? | |||
| Diagrama de Gulland e Holt: | idade | L(Ni) | ΔL/Δt | L |
| 1 | 8.1 | |||
| 6.1 | 11.15 | |||
| 2 | 14.2 | |||
| 3.3 | 15.85 | |||
| 3 | 17.5 |
| a (intersecção) = 12.7 | b (declive) = -0.60 |
| K = -b = 0.60 por ano | L∞ = -a/b = 21.4 cm |

Fig. 18.3.4.1B Diagrama de Gulland e Holt de comprimentos médios das coortes obtidos pelo método de Bhattacharya (ver Folhas de exercícios 3.4.1a, b e c, e Fig. 18.3.4.1A)
Exercício 3.4.2 Análise de progressão modal
A. Leiognathus splendens:
Folha de exercícios 3.4.2
| DIAGRAMA GULLAND E HOLT | DIAGRAMA VON BERTALANFFY PLOT | ||||
| período de amostragem | L(t) | ΔL/Δt | L | t | -ln(1-L/L∞) |
| 1 Junho | 2.8 | 0.42 | 0.325 | ||
| 6.8 | 3.65 | ||||
| 1 Setemb. | 4.5 | 0.67 | 0.590 | ||
| 5.2 | 5.15 | ||||
| 1 Dezemb. | 5.8 | 0.92 | 0.854 | ||
| 4.0 | 6.30 | ||||
| 1 Março | 6.8 | 1.17 | 1.119 | ||
| a (intersecção) | 10.65 | -0.12 | |||
| b (declive, -K ou K) | -1.06 | 1.06 | |||
| -a/b | L∞ = 10.1 | to = 0.11 | |||
L(t) = 10.1*[1-exp(-1.1*(t-0.11))]

Fig. 18.3.4.2A Progressão modal em séries temporais de frequências de
comprimentos do peixe-pónei.
(Ver Folhas de exercícios 3.4.2)
B. Rastrelliger kanagurta:
| DIAGRAMA GULLAND E HOLT | DIAGRAMA VON BERTALANFFY | ||||
| data da amostragem | L(t) | ΔL/Δt | L | t | -ln(1-L/L∞) |
| 1 Fever. | 13.3 | 0.08 | 0.648 | ||
| 21.6 | 14.20 | ||||
| 1 Março | 15.1 | 0.17 | 0.779 | ||
| 17.4 | 16.55 | ||||
| 1 Maio | 18.0 | 0.33 | 1.036 | ||
| 16.8 | 18.70 | ||||
| 1 Junho | 19.4 | 0.42 | 1.189 | ||
| 13.2 | 19.95 | ||||
| 1 Julho | 20.5 | 0.50 | 1.327 | ||
| 9.6 | 20.9 | ||||
| 1 Agosto | 21.3 | 0.58 | 1.442 | ||
| a (intersecção) | 44.57 | 0.512 | |||
| b (declive, -K or K) | -1.60 | 1.61 | |||
| -a/b | L∞ = 27.9 | to = -0.32 | |||
L(t) = 27.9*[1-exp(-1.6*(t+0.32))]

Fig. 18.3.4.2B Progressão modal em séries temporais de frequências de
comprimentos da cavala do índico.
(Ver Folha de exercícios 3.4.2)
Exercício 3.5.1 ELEFAN I
Folha de exercícios 3.5.1
| REESTRUTURAÇÃO DA AMOSTRA DE DISTRIBUIÇÃO DE FREQUÊNCIAS | ||||||||
| comp. médio L | freq. orig. FRQ(L) | PASSO 1 MA(L) | PASSO 2 FRQ/MA | PASSO 3 ![]() | PASSO 4a zeros | PASSO 4b desacentuado | PASSO 5 pontos | PASSO 6 pontos pos.mais altos |
| 5 | 4 | 4.6 | 0.870 | -0.197 | 2 | -0.197 | -0.109 | |
| 10 | 13 | 4.6 | 2.826 | 1.610 | 2 | 0.966 | 0.966 | 0.966 |
| 15 | 6 | 4.8 | 1.250 | 0.154 | 1 | 0.123 | 0.123 | |
| 20 | 0 | 4.0 | 0 | -1.000 | 1 | -1.000 | 0 | |
| 25 | 1 | 1.4 | 0.714 | -0.341 | 3 | -0.340 | -0.188 | |
| 30 | 0 | 0.4 | 0 | -1.000 | 2 | -1.000 | 0 | |
| 35 | 0 | 1.0 | 0 | -1.000 | 1 | -1.000 | 0 | |
| 40 | 1 | 1.0 | 1.000 | -0.077 | 2 | -0.077 | -0.043 | |
| 45 | 3 | 1.0 | 3.000 | 1.770 | 2 | 1.062 | 1.062 | 1.062 |
| 50 | 1 | 1.2 | 0.833 | -0.231 | 1 | -0.230 | -0.127 | |
| 55 | 0 | 1.0 | 0 | -1.000 | 1 | -1.000 | 0 | |
| 60 | 1 | 0.4 | 2.500 | 1.308 | 3 | 0.524 | 0.524 | 0.524 |
| ∑ = 12.993 | SP = 2.674 | |||||||
| (∑/12) = M = 1.083 | SN = -4.845 | ASP' = 2.552 | ||||||
| -SP/SN = R = 0.552 | ||||||||

Fig. 18.3.5.1 ELEFAN I, dados reestruturados e pontos positivos mais altos (ver Folha de exercícios 3.5.1, passo 5)
Exercício 3.5.la ELEFAN I, continuação
Folha de exercícios 3.5.la
| comp médi L | freq. orig. FRQ (L) | PASSO 1 MA (L) | PASSO 2 FRQ/MA | PASSO 3 ![]() | PASSO 4a zeros | PASSO 4b desacentuados | PASSO 5 pontos | PASSO 6 pontos pos. mais altos |
| 20 | 14 | 18.2 | 0.769 | -0.194 | 2 | -0.194 | -0.159 | |
| 24 | 32 | 40.0 | 0.800 | -0.162 | 1 | -0.162 | -0.133 | |
| 28 | 45 | 63.0 | 0.714 | -0.252 | 0 | -0.252 | -0.206 | |
| 32 | 109 | 75.8 | 1.438 | 0.506 | 0 | 0.506 | 0.506 | |
| 36 | 115 | 78.4 | 1.467 | 0.537 | 0 | 0.537 | 0.537 | 0.537 |
| 40 | 78 | 75.2 | 1.037 | 0.086 | 0 | 0.086 | 0.086 | |
| 44 | 45 | 58.0 | 0.776 | -0.187 | 0 | -0.187 | -0.153 | |
| 48 | 29 | 37.2 | 0.780 | -0.183 | 0 | -0.183 | -0.150 | |
| 52 | 23 | 24.0 | 0.958 | 0.003 | 0 | 0.003 | 0.003 | 0.003 |
| 56 | 11 | 16.0 | 0.688 | -0.279 | 0 | -0.279 | -0.228 | |
| 60 | 12 | 10.6 | 1.132 | 0.186 | 0 | 0.186 | 0.186 | 0.186 |
| 64 | 5 | 6.2 | 0.806 | -0.156 | 0 | -0.156 | -0.128 | |
| 68 | 2 | 4.4 | 0.455 | -0.523 | 0 | -0.523 | -0.428 | |
| 72 | 1 | 2.0 | 0.500 | -0.476 | 1 | -0.476 | -0.390 | |
| 76 | 2 | 1.0 | 2.000 | 1.095 | 2 | 0.657 | 0.657 | 0.657 |
| ∑ = 14.320 | SP = 1.975 | |||||||
| (∑/15) = M = 0.9547 | SN = -2.413 | ASP = 1.383 | ||||||
| -SP/SN = R = 0.818 | ||||||||

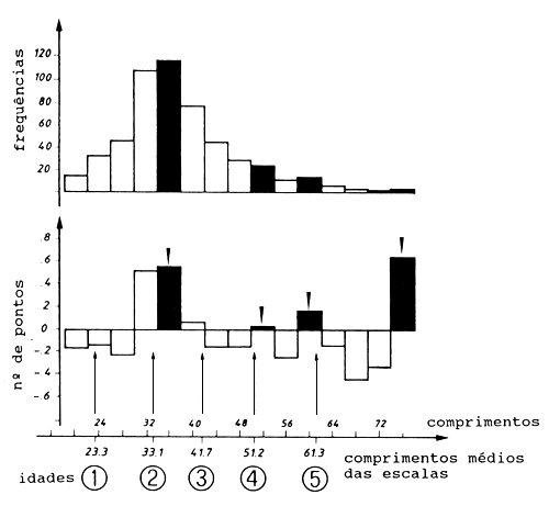
Fig. 18.3.5. 1A Dados reagrupados das frequências de comprimento de 523 lúcios (classes de comprimento de 4 cm), dados reestruturados do ELEFAN I e pontos positivos mais altos, e comprimentos médios determinados a partir da leitura de idades (seta longa). (Ver Folha de exercícios 3.5.1a, cf. Fig. 17.3.5.1C)
Exercício 4.2 A dinâmica de uma coorte (modelo exponencial decrescente com Z variável)
Folha de exercícios 4.2
| gr.idade t1–t2 | M | F | Z | e-0.5Z | N(t1) | N(t2) | N(t1)–N(t2) | F/Z | C(t1,t2) |
| 0.0–0.5 | 2.0 | 0.0 | 2.0 | 0.3679 | 10000 | 3679 | 6321 | 0 | 0 |
| 0.5–1.0 | 1.5 | 0.0 | 1.5 | 0.4724 | 3679 | 1738 | 1941 | 0 | 0 |
| 1.0–1.5 | 0.5 | 0.2 | 0.7 | 0.7047 | 1738 | 1225 | 513 | 0.286 | 147 |
| 1.5–2.0 | 0.3 | 0.4 | 0.7 | 0.7047 | 1225 | 863 | 362 | 0.571 | 207 |
| 2.0–2.5 | 0.3 | 0.6 | 0.9 | 0.6376 | 863 | 550 | 313 | 0.667 | 209 |
| 2.5–3.0 | 0.3 | 0.6 | 0.9 | 0.6376 | 550 | 351 | 199 | 0.667 | 133 |
| 3.0–3.5 | 0.3 | 0.6 | 0.9 | 0.6376 | 351 | 224 | 127 | 0.667 | 85 |
| 3.5–4.0 | 0.3 | 0.6 | 0.9 | 0.6376 | 224 | 143 | 81 | 0.667 | 54 |
| 4.0–4.5 | 0.3 | 0.6 | 0.9 | 0.6376 | 143 | 91 | 52 | 0.667 | 35 |
| 4.5–5.0 | 0.3 | 0.6 | 0.9 | 0.6376 | 91 | 58 | 33 | 0.667 | 22 |

Fig. 18.4.2 Decrescimento exponencial de uma coorte com Z variável
Exercício 4.2a A dinâmica de uma coorte (fórmula para o número médio de sobreviventes, Eq. 4.2.9)
Fórmula para o número médio de sobreviventes (Eq. 4.2.9).
Valor exacto:
Aproximação:
N(2.0,5.0) = (863+550+351+224+143+91+58) /7 = 326
Exercício 4.3 Estimação de Z a partir de dados da CPUE
Folha de exercícios 4.3
| coorte idade t2 CPUE | 1982 O 1.14 111 | 1982 P 1.64 67 | 1981 O 2.14 40 | 1981 P 2.64 24 | 1980 O 3.14 15 | ||
| coorte | idade t1 | CPUE | |||||
| 1983 S | 0.64 | 182 | 0.99 | 1.00 | 1.01 | 1.01 | 1.00 |
| 1982 A | 1.14 | 111 | - | 1.01 | 1.02 | 1.02 | 1.00 |
| 1982 S | 1.64 | 67 | - | - | 1.03 | 1.03 | 1.00 |
| 1981 A | 2.14 | 40 | - | - | - | 1.02 | 0.98 |
| 1981 S | 2.64 | 24 | - | - | - | - | 0.94 |
Exercício 4.4.3 A curva de captura linearizada com base em dados de composição por idades
Folha de exercícios 4.4.3
| idade t (x) | ano y | C(y, t, t+1) | ln C(y, t, t+1) (y) | observações |
| 0 | 1974 | 599 | 6.395 | não usado |
| 1 | 1975 | 860 | 6.757 | |
| 2 | 1976 | 1071 | 6.976 | |
| 3 | 1977 | 269 | 5.596 | usado na análise |
| 4 | 1978 | 69 | 4.234 | |
| 5 | 1979 | 25 | 3.219 | |
| 6 | 1980 | 8 | 2.079 | |
| 7 | 1981 | - | - |
declive: b = - 1.16 sb2 = [(sy/sx)2 - b2]/(n-2) = 0.002330
sb = 0.0483 sb×t(n-2) = 0.0483×4.30 = 0.21 Z = 1.16 ± 0.21

Fig. 18.4.4.3 A curva de captura linearizada baseada em dados de composição por idades (ver Folha de exercícios 4.4.3)