Previous Page Table of Contents Next Page


Sodium carboxymethyl cellulose, enzymatically hydrolyzed

TENTATIVE

Prepared at the 49th JECFA (1997)


Information required on the physical state of the substance as manufactured, on tests which distinguish the substance from sodium carboxymethyl cellulose, and on the nature and proportion of low molecular weight material present in the substance.

SYNONYMS

Enzymatically hydrolyzed carboxymethyl cellulose, CMC-ENZ, INS No. 469

DEFINITION

The product is the sodium salt of a carboxymethyl ether of cellulose, which has been partially hydrolyzed by enzymatic treatment with food-grade Trichoderma reesei cellulase.

Chemical names

Carboxymethyl cellulose, sodium, partially enzymatically hydrolyzed

Chemical formula

Sodium salts of polymers containing substituted anhydroglucose units with the general formula:

[C6H7O2 (OH)x (OCH2COONa)y]n

where n is the degree of polymerization
x = 1.50 to 2.80
y = 0.20 to 1.50
x + y = 3.0
(y = degree of substitution)

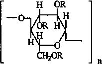
Structural formula

where R = H, CH2COONa or CH2COOH

Formula weight

178.14 where y = 0.20
282.18 where y = 1.50
800 (n about 4) (macromolecules)

Assay

Not less than 99.5%, including mono- and disaccharides, on the dried basis

DESCRIPTION

White or slightly yellowish or greyish, odourless, slightly hygroscopic granular or fibrous powder, or an amber, odourless syrup

FUNCTIONAL USES

Carrier, glazing agent, stabilizer, thickener

CHARACTERISTICS


IDENTIFICATION


Solubility

Freely soluble in water, insoluble in ethanol

Foam test

Passes test
See description under TESTS

Precipitate formation

Passes test
See description under TESTS

Colour reaction

Passes test
See description under TESTS

Viscosity (60% solids)

Not less than 2500 mPas corresponding to an average molecular weight of 5000 D See description under TESTS

PURITY


Loss on drying

Not more than 12% (105° to constant weight)

pH

Not less than 6.0 and not more than 8.5 (1 in 100 solution)

Sodium chloride and sodium glycolate


Not more than 0.5%, singly or in combination
See descriptions under TESTS

Degree of substitution

Not less than 0.2 and not more than 1.50 carboxymethyl groups (CH2COOH) per anhydroglucose unit on the dried basis
See description under TESTS

Residual enzyme activity

Passes test
See description under TESTS

Lead

Not more than 3 mg/kg
Prepare a sample solution as directed for organic compound in the Limit Test and determine the lead content by atomic absorption spectrometry

TESTS


IDENTIFICATION TESTS


Foam test

Vigorously shake a 0.1% solution of the sample. No layer of foam appears. This test distinguishes sodium carboxymethyl cellulose, whether hydrolysed or not, from other cellulose ethers and from alginates and natural gums.

Precipitate formation

To 5 ml of an 0.5% solution of the sample add 5 ml of a 5% solution of copper sulfate or of aluminium sulfate. A precipitate appears. This test distinguishes sodium carboxymethyl cellulose, whether hydrolysed or not, from other cellulose ethers, and from gelatine, carob bean gum and tragacanth gum.

Colour reaction

Add 0.5 g of the powdered sample to 50 ml of water, while stirring to produce a uniform dispersion. Continue the stirring until a clear solution is produced. Dilute 1 ml of the solution with 1 ml of water in a small test tube. Add 5 drops of 1-naphthol TS. Incline the tube, and carefully introduce down the side of the tube 2 ml of sulphuric acid so that it forms a lower layer. A red-purple colour develops at the interface.

Viscosity (60% solids)

To 40 ml of water, add 60 g of the sample, stirring continuously. To ensure the formation of a clear solution without air bubbles, leave the solution to stand in a refrigerator (+4°) for several hours. Using a Bohlin viscometer or an equivalent instrument, measure the viscosity of the solution at 25° using a shear rate of 147 sec-1.

PURITY TESTS


Sodium chloride

Heat 5 g of the sample, weighed to the nearest 0.1 mg, in a platinum or porcelain crucible, first with a small flame so that the sample does not ignite and then, when the charring is complete, heat further in an electric oven for 15 min at about 500°. After cooling, pulverize the ashes thus obtained and extract several times with warm water. Filter the extracts into a 500-ml volumetric flask, acidify with nitric acid and dilute to the mark with water. Determine the NaCl content of 100 ml of this extract by the method of Volhard, using 0.2 N silver nitrate and 0.02 N ammonium thiocyanate. Each ml of 0.02 N silver nitrate is equivalent to 1.169 mg of NaCl. Calculate the sodium chloride content by the formula:

% NaCl = [(a x 0.001169 x 5)/b] x 100

where

a = 0.02 N silver nitrate consumed (ml)
b = dry weight of the sample (g)

Sodium glycolate

Proceed as directed under the method for Chromatography (High Performance Liquid Chromatography) using the following conditions and using pure glycolic acid as the reference substance:

Column:

Two cation exchange columns in the H+-form in series, e.g. two Fast Fruit Juice columns, 15 cm x 7.8 mm, Waters, or equivalent

Elution:

Isocratic

Mobile phase:

Aqueous 0.05% phosphoric acid

Flow:

0.5 ml/min

Detector type:

UV or diode array, 205 nm

Sample size:

50 m l of a solution of 200.0 mg of the sample in 20 ml of eluent

Degree of substitution

Weigh accurately about 200 mg of the sample, previously dried at 105° to constant weight, and transfer it into a 250 ml, glass-stoppered Erlenmeyer flask. Add 75 ml of glacial acetic acid, and connect the flask with a water-cooled condenser, and reflux gently on a hot plate for 2h. Cool, transfer the solution to a 250-ml beaker with the aid of 50 ml of glacial acetic acid, and titrate with 0.1 N perchloric acid in dioxane while stirring with a magnetic stirrer. Determine the endpoint potentiometrically with a pH meter equipped with a standard glass electrode and a calomel electrode modified as follows: Discard the aqueous potassium chloride solution, rinse and fill with the supernatant liquid obtained by shaking thoroughly 2 g each of potassium chloride and silver chloride (or silver oxide) with 100 ml of methanol, then add a few crystals of potassium chloride and silver chloride (or silver oxide) to the electrode.

Record the ml of 0.1 N perchloric acid versus mV (0 to 700 mV range), and continue the titration to a few ml beyond the endpoint. Plot the titration curve, and read the volume (A), in ml, of 0.1 N perchloric acid at the inflection point.

Calculate the degree of substitution (DS) by the formula

(16.2A/G)/[1.000 - (8.0 A/G)],

where

A = the volume of 0.1 N perchloric acid required (ml)
G = weight of the sample taken (mg)
16.2 = one-tenth of the formula weight of one anhydroglucose unit
8.0 = one-tenth of the formula weight of one sodium carboxymethyl group

Residual enzyme activity

Prepare a 5% solution of sodium carboxymethyl cellulose having a viscosity of 25-50 mPas as a 2% solution. To 20 g of this solution, add 2 g of a 20% aqueous solution of the sample. Using a Bohlin viscometer or an equivalent instrument, follow the viscosity of the mixture for 10 minutes at 25°, using a shear rate of 147 sec-1. No change in viscosity (indicating hydrolysis of the sodium carboxymethyl cellulose), occurs.

As a control, measure the viscosity of 2 g of water and 20 g of the same sodium carboxymethyl cellulose solution.

METHOD OF ASSAY

Calculate the percentage of enzyme treated sodium carboxymethyl cellulose by subtracting from 100 the sum of the percentages of sodium chloride and sodium glycolate, determined separately by the procedures above.


Previous Page Top of Page Next Page