Page précédente Table des matières Page suivante


La privatisation de la recherche forestière en Europe

E. Hellström, M. Palo, et B. Solberg

Eeva Hellström est membre de l'Association forestière finlandaise, Helsinki.

Matti Palo est membre de l'Institut finlandais de recherche forestière, Helsinki.

Birger Solberg est membre de l'Institut norvégien de recherche forestière, As (Norvège).

Note: Le présent article est une version abrégée du document des mêmes auteurs, intitulé Privatisation de la recherche forestière: théorie et constatations empiriques en Europe, qui paraîtra prochainement en tant que document de l'IUFRO.

Une analyse des possibilités de financement de la recherche forestière par le secteur privé en Europe.

La question de la privatisation de la recherche dans de nombreux pays a été prise en considération du fait de la nécessité de réduire les dépenses publiques. Elle peut être privatisée de trois manières: premièrement, il est possible de privatiser la structure de financement d'une organisation de recherche en augmentant la part de la recherche sous contrat (privée). C'est une stratégie que l'on adopte souvent pour améliorer l'efficacité des institutions publiques. Deuxièmement, la privatisation peut porter sur le capital social d'une organisation de recherche. Enfin, la troisième forme de privatisation consiste à accroître la participation du secteur privé aux décisions de politique scientifique et à la direction des organismes de recherche.

Lorsque l'on envisage de privatiser la recherche forestière, les questions les plus pertinentes sont les suivantes: quelle est la réaction du secteur privé face aux compressions des budgets publics de recherche? Est-il raisonnable de s'attendre à ce que le secteur privé compense la réduction du financement public? Une fois la recherche privatisée, dans quelle mesure les priorités de la recherche s'infléchiront-elles en faveur des intérêts des organismes privés qui participent aux décisions et ont les moyens de financer la recherche forestière? Quels sont les effets des différentes formes de privatisation sur les activités de recherche?

Cet article se propose d'aborder quelques-unes de ces questions en:

· examinant des théories liées à l'investissement et à la participation des secteurs public/privé à la recherche forestière;

· déterminant des critères théoriques concernant la participation des secteurs public/privé à la recherche forestière, à la lumière de constatations empiriques;

· évaluant les différentes possibilités d'appliquer des politiques de privatisation à la recherche forestière.

Le cadre théorique et les constatations empiriques présentés dans cet article se fondent principalement sur deux projets de recherche réalisés à l'Institut européen des forêts en 1994. Dans le premier, (Hellström et Palo, 1994; 1995a; 1995b; Hellström et Palo dans FAO, 1995), les rôles des instituts de recherches forestières publics et privés ont été définis en Europe. Dans le second (Hellström, 1995), des monographies nationales sur les effets de l'évolution des structures et des politiques de financement sur les activités de recherche ont été réalisées en Finlande et en Norvège en vue de susciter de nouvelles études comparatives en Europe.

Cadre théorique

Privatiser pour stimuler l'innovation

La privatisation de la recherche est souvent motivée par la modicité des fonds publics alloués à la recherche et par la nécessité d'accroître la productivité de la recherche en améliorant l'interaction entre les chercheurs et ceux qui utilisent leurs résultats. Dans les deux cas, le moteur est la recherche de l'innovation, celle-ci pouvant prendre la forme de nouveaux produits ou services, de méthodes, de procédés, de systèmes ou de dispositifs inédits.

Le modèle de système national d'innovation (figure 1) peut servir de base pour comprendre les arguments susmentionnés. Dans ce modèle, les activités publiques de recherche - développement, d'éducation, de formation et de vulgarisation forment- avec les activités privées analogues et les interactions entre producteurs et consommateurs - un système se traduisant par des innovations et un bien-être accru. Deux facteurs ont une incidence particulière sur la quantité d'innovations: les connaissances acquises par la pratique et l'effort investi dans cette quête d'innovations. Dans le contexte actuel, où une compression substantielle des dépenses publiques s'impose, la privatisation du financement de la recherche afin de maintenir l'effort investi dans la quête d'innovations à son niveau actuel, ou même de l'augmenter, est considérée comme une option potentiellement intéressante dans de nombreux domaines de recherche.

Cependant, avant de souscrire à cet argument, il convient d'étudier les rôles des financements publics et privés dans le cadre de la théorie économique et à la lumière de constatations empiriques.

Financement de la recherche et théorie économique

La recherche en tant qu'investissement financier. Les projets de recherche - développement sont des projets d'investissement, que l'on se place du point de vue d'une entreprise privée ou dans une perspective économique nationale. La rentabilité de ce type d'investissement a moins retenu l'attention que celle des investissements conventionnels dans les biens et les services, mais au cours des dernières décennies, les études analytiques sur ce sujet se sont multipliées pour une vue d'ensemble préliminaire (voir Dasgupta et Stiglitz, 1980b).

Les critères du financement de la recherche forestière par des entreprises privées peuvent être examinés dans le contexte ordinaire des fonctions de l'offre (O) et de la demande (D) (Hyde, 1986; Hyde, Newmann et Seldon, 1992). Les succès de la recherche entraînent une réduction des coûts de production, ou un réajustement à la baisse de la fonction de l'offre. En conséquence, il est possible de vendre de plus grandes quantités à des prix plus bas.

Pour que le secteur privé ait intérêt à investir dans des travaux de recherche - développement, il faut que les gains couvrent les dépenses engagées et assurent un taux de rentabilité suffisant. Le taux de rentabilité est fonction de la manière dont les courbes de l'offre et de la demande sont modifiées par l'apparition d'une innovation, ce qui dépend, dans une large mesure, de la structure du marché et des conditions de la concurrence.

Le fait que les producteurs veuillent ou ne veuillent pas investir dans la recherche dépend non seulement de la rentabilité, mais aussi du temps de retour de l'investissement. Le facteur temps est un élément crucial des décisions de financement de la recherche, et ce à deux égards. Premièrement, dans toute recherche, il s'écoule nécessairement un certain laps de temps avant que l'investissement ne puisse procurer des gains financiers. Deuxièmement, il s'agit de savoir en combien de temps les conquêtes de la recherche deviennent obsolètes (Hyde, Newmann et Seldon, 1992).

Un investissement dans la recherche est lié de deux manières à l'incertitude et au risque. D'une part, l'incertitude face à l'avenir, qui est un facteur dissuasif pour tout autre investissement financier, peut être le moteur qui sous-tend l'investissement dans la recherche. En effet, l'une des motivations importantes de la recherche est de produire des informations qui réduiront les incertitudes liées à d'autres investissements financiers, en estimant les risques encourus. D'autre part, le risque est une composante de l'investissement dans la recherche.

Figure 1 Modèle de système national d'innovation

Les avantages du financement public de la recherche. Durant la première moitié du XXe siècle, Schumpeter (1942) a introduit clairement l'idée que les produits et les procédés nouveaux constituaient le principal moteur du développement économique. L'Organisation de coopération et de développement économiques (OCDE) a adopté, avec d'autres organisations internationales et un certain nombre de gouvernements nationaux, l'augmentation des activités publiques de recherche - développement, comme stratégie visant explicitement à promouvoir la croissance économique. Ce paradigme a eu un poids considérable durant les années 60 et 70.

La recherche publique peut stimuler la concurrence en améliorant la base de connaissances des acheteurs et des vendeurs. Elle supprime aussi les obstacles à l'accès aux marchés en abaissant les prix, en accroissant la production et en améliorant la productivité (Runge, 1983). En outre, les petites et les moyennes entreprises ayant généralement un budget de recherche limité, les recherches financées par l'Etat peuvent être vitales pour de nombreuses petites entreprises du secteur forestier.

On considère aussi que les résultats de la recherche méritent de bénéficier d'un soutien du secteur public en raison de leurs effets positifs externes importants. En particulier, la prise de conscience accrue des problèmes environnementaux dans la plupart des pays va inévitablement se refléter dans le financement de la recherche forestière, l'environnement forestier étant sans conteste un bien collectif.

Les politiques publiques peuvent viser, par leurs effets de redistribution, à renforcer l'économie en stimulant la concurrence, sur la base de critères démocratiques et éthiques. Les effets de redistribution de la recherche forestière comprennent l'allocation des coûts et avantages des recherches tant entre les facteurs de production qu'entre les producteurs et les consommateurs (Hyde, 1984).

Le financement public de la recherche forestière se justifie également du point de vue de la durabilité, en particulier dans les domaines de la recherche nécessitant des projets de longue durée. Dans une enquête portant sur 45 institutions de recherche forestière situées dans des pays développés, Bengston et Gregersen (1984) ont constaté que la stabilité du financement d'une année sur l'autre était presque aussi importante pour les résultats des recherches de l'organisation que le niveau effectif du financement.

Critères: financement public ou privé? Après un examen du secteur de la recherche aux Etats - Unis, on a constaté qu'il était nécessaire que le secteur public investisse dans la recherche - développement (Hyde, Newmann et Seldon, 1992) dans les cas suivants:

· si la recherche nécessite d'importants investissements initiaux, si l'on prévoit un long délai avant que l'investissement ne devienne productif, et si les résultats sont des plus incertains;

· si la demande d'un secteur est fortement inélastique ou l'offre élastique, et si les avantages de la recherche sont transférés rapidement et dans une large mesure à des producteurs compétitifs de plus haut niveau et aux consommateurs finals;

· et même là où la demande est plus élastique et l'offre plus inélastique, nombre d'entreprises peuvent se partager les gains de production totaux obtenus grâce à la recherche. En effet, les gains d'une entreprise individuelle sont insuffisants pour couvrir l'intégralité des coûts des recherches, mais chaque entreprise doit investir séparément l'intégralité de ces coûts de façon à obtenir une part du gain total du secteur.

Aux Etats - Unis, le premier cas est plus représentatif d'autres secteurs que celui de la foresterie (par exemple, espace et défense). Le deuxième cas vaut pour les industries de sciage et de la cellulose; le troisième cas s'applique à la fois à l'industrie du sciage et à la foresterie et peut même être caractéristique de l'industrie du contreplaqué de conifères. Cependant, ces expériences aux Etats - Unis ne sont que partiellement transférables à d'autres pays développés où les ressources, les situations du marché et les mesures d'incitation sont différentes.

Trois hypothèses concernant le financement privé de la recherche dans les industries forestières en Europe ont été formulées. Premièrement, dans l'industrie du sciage, la fonction de la demande est relativement inélastique tandis que la fonction de l'offre est relativement élastique. Les bénéfices de la recherche sont transférés rapidement et dans une large mesure à des producteurs compétitifs de plus haut niveau et aux consommateurs finals. En conséquence, les industries privées de ce secteur devraient donc effectuer peu de recherches. Deuxièmement, dans les industries de travail du bois et du mobilier, les gains des producteurs sont souvent positifs. Cependant, dans la majorité des pays, les entreprises individuelles de ce type détiennent de faibles parts de marché, si bien qu'il y a peu de chances que les entreprises novatrices puissent revendiquer une part importante du gain obtenu grâce à leurs innovations. Dans ces cas-là, le regroupement des dépenses de recherche et la mise en commun des résultats obtenus pourraient représenter une solution rationnelle pour investir dans la recherche et le développement. Troisièmement, dans l'industrie de la pâte et du papier, la fonction de la demande est plus élastique que dans l'industrie du sciage. On peut donc s'attendre à ce que les efforts investis dans la recherche soient plus productifs. L'industrie de la pâte et du papier est aussi plus concentrée et à plus fort coefficient de capital que les autres industries du bois et elle peut aussi prendre en charge des investissements initiaux de recherche plus importants. On peut donc s'attendre à des investissements de recherche privés considérables de la part des industries de la pâte et du papier.

Outre l'industrie forestière, certains investissements de recherche peuvent être très rentables dans la foresterie traditionnelle. Si les marchés des biens fonctionnaient parfaitement, les gains provenant de la recherche biologique forestière entraîneraient une augmentation immédiate de la valeur du bien, de sorte que l'investissement pourrait avoir une rentabilité immédiate. Etant donné que ce n'est pas le cas dans la plupart des pays, les investisseurs privés ne sont pas toujours disposés à investir dans des projets de recherche de longue haleine, malgré la rentabilité économique de l'investissement. Néanmoins, le principal obstacle au financement privé de la recherche dans le secteur forestier traditionnel est sans doute le fait que les exploitations forestières sont dispersées et de petite taille dans beaucoup de pays, ce qui entraîne le même type de problèmes que ceux exposés plus haut pour les industries du sciage et les autres industries du bois. Il est cependant peu probable que les scénarios actuels de financement de la recherche forestière suivent dans tous les cas la logique exposée ci-dessus. De nombreux facteurs idéologiques, politiques, culturels, institutionnels et, dans les petits pays, personnels également, peuvent influencer les décisions dans ce domaine. En plus des attitudes envers la science en général, différentes idéologies et forces politiques peuvent tendre à privilégier des domaines particuliers de recherche - développement. En conséquence, le mode de financement de la recherche est une question qui dépend de la théorie, mais aussi des perceptions et du pouvoir.

Constatations empiriques

Le scénario européen

L'étude européenne (Hellström et Palo, 1994; 1995a; Hellström et Palo dans FAO, 1995) avait pour objet de formuler des critères pour une division rationnelle de la recherche forestière entre les secteurs public et privé et de vérifier la validité de ces critères grâce à une enquête sur les organisations de recherche forestière en Europe. Le matériel utilisé pour l'étude a été rassemblé auprès des répertoires internationaux des organisations de recherche forestière (FAO, 1986; FAO, 1993; Centres de recherche agricole, 1988), et dans la littérature sur les forêts et sur les politiques scientifiques lices à ce secteur. D'autres informations ont été rassemblées grâce à des entrevues de représentants de certains pays européens. Au total, le matériel couvre 29 pays européens, 205 organisations de recherche et un effectif global de 7879 chercheurs.

Le concept de recherche sur le secteur forestier englobait la recherche sur la foresterie traditionnelle et la recherche sur les produits forestiers. La structure de la recherche forestière peut varier en fonction de l'importance de la recherche fondamentale et de la recherche appliquée, et des travaux axés sur le développement. Le matériel disponible déterminait dans une large mesure la portée des recherches forestières couvertes par l'étude. Par exemple, les recherches portant sur de nombreux domaines apparentés à la foresterie (écologie des forêts, faune et flore sauvages, agroforesterie, utilisation des terres et produits forestiers) n'ont été prises en compte, pour des raisons pratiques, que si elles étaient conduites dans des établissements investissant en permanence dans la recherche forestière. Le matériel présentait trois lacunes majeures. Premièrement, les activités de recherche - développement menées dans des entreprises individuelles n'ont pas été prises en compte dans l'étude, à cause de l'absence de données. Les efforts privés de recherche - développement sont donc probablement sous-estimés dans les pays où les industries forestières tiennent une place importante. Deuxièmement, l'enquête porte sur les prestations (type d'institut) plutôt que sur la source de finance ment. Troisièmement, le nombre de chercheurs est utilisé comme un indicateur des ressources financières. Cela pose des problèmes, en particulier parce que la définition du terme «chercheur» peut varier selon les pays, et les chercheurs ne consacrent pas tous tout leur temps à la recherche (par exemple le personnel universitaire, qui s'occupe aussi de tâches éducatives). Cependant, il était plus simple d'évaluer les efforts de recherche - développement sur la base du nombre de chercheurs car les fluctuations des valeurs monétaires au niveau international et au fil du temps n'entrent pas en jeu.

La recherche forestière en tant que politique forestière et politique scientifique

La recherche forestière joue un double rôle dans les politiques publiques. Elle peut être considérée à la fois comme un élément des politiques scientifiques et des politiques forestières. Dans les pays européens de l'OCDE, la foresterie absorbe 0,32 pour cent de l'effectif total de chercheurs diplômés en recherche - développement. C'est dans les pays ayant de plus petites économies et un couvert forestier étendu (Finlande, Suède, Autriche, Portugal et Norvège) que la recherche forestière tient la place la plus importante dans les politiques scientifiques. En revanche, les pays qui ont des ressources forestières plus modestes (Danemark, Irlande, Pays - Bas, Islande et Grèce) accordent plus d'importance à la recherche forestière que les grandes économies possédant des ressources forestières importantes (Allemagne, France et Italie) (Hellström et Palo, 1994; 1995a; Hellström et Palo dans FAO, 1995), qui privilégient d'autres domaines de recherche.

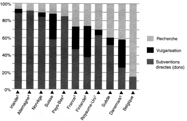
La place de la recherche forestière dans les politiques forestières publiques varie aussi considérablement dans les pays européens. Grayson (1993) a évalué les dépenses publiques de recherche à l'appui du secteur forestier privé dans plusieurs pays d'Europe de l'Ouest (figure 2). La Belgique, par exemple, alloue à la recherche au profit du secteur forestier privé un montant six fois plus élevé que les subventions qu'elle accorde à la foresterie. Cependant, ce pourcentage élevé est sans doute surestimé, les fonds destinés à la vulgarisation n'étant pas pris en compte. D'autres pays sont plutôt orientés vers la recherche, notamment le Royaume-Uni, la France, le Danemark, la Suède et la Finlande, qui allouent pour la recherche entre 25 et 40 pour cent de leur soutien public au secteur forestier privé. En revanche, en Irlande, en Allemagne et en Norvège, la recherche tient moins de place dans les politiques forestières publiques. En effet, dans ces pays, elle représente moins de 10 pour cent du soutien public total à la foresterie privée.

Figure 2 Structure des dépenses publiques à l'appui de la foresterie privée dans quelques pays d'Europe de l'Ouest en 1990-1994

Note:

1 Dépenses concernant la foresterie tropicale non comprises.
2 Y compris les projets financés par la CE.
3 Arboriculture non comprise.
4 Vulgarisation non comprise.
5 Ceintures de protection, chasse, paysage non compris.
6 Le soutien à la foresterie privée comprend uniquement les fonds alloués par le Ministère de l'agriculture et des forêts.

Sources:

Les données concernant la Finlande ont été fournies par le Ministère de l'agriculture et des forêts et par Hellstöm (1995). Les données sur les autres pays ont été fournies par Grayson (1993). Les chiffres sont ceux des années suivantes: Finlande, 1994; Irlande, 1991; autres pays, 1990.

Recherche publique ou recherche privée. Dans l'ensemble de l'Europe, 40 pour cent des travaux de recherche forestière sont effectués dans des universités, 49 pour cent dans des organisations de recherche publiques, et 9 pour cent dans des institutions de recherche privées. On ignore le type d'institutions dans lesquelles travaillent 2 pour cent des chercheurs mais, selon toute probabilité, les organismes «inconnus» appartiennent au secteur public. Rien que pour les pays d'Europe de l'Ouest, le pourcentage de recherches forestières effectuées dans des institutions privées est de 15 pour cent.

Les pays d'Europe peuvent être divisés en cinq grands groupes en fonction des types de prestations, ou d'instituts, dominant dans le domaine de la recherche forestière (figure 3). Le premier groupe englobe les pays d'Europe de l'Est, où la recherche forestière est depuis toujours conduite exclusivement dans des universités et des instituts de recherche nationaux. Le deuxième groupe comprend les pays d'Europe de l'Ouest dans lesquels aucun chercheur spécialisé en foresterie n'est employé par le secteur privé (Grèce et Irlande). Non seulement ces pays ont des ressources forestières modestes, mais le pourcentage de forêts appartenant à des particuliers y est généralement faible (17 pour cent en Grèce et 22 pour cent en Irlande). Le troisième groupe comprend les trois pays qui ont les ressources forestières les plus modestes (Chypre, Islande et, en dehors de l'Europe, Israël). Dans ces pays, les recherches sur les forêts sont conduites exclusivement par des organisations publiques individuelles ayant un effectif de chercheurs très réduit (trois à quatre diplômés). Le quatrième groupe est constitué de divers pays où le secteur privé des recherches forestières est relativement peu développé. Le groupe est assez hétérogène, puisqu'il comprend de grandes et de petites économies et des pays dont les ressources forestières sont modestes ou importantes. Les cinq pays du cinquième groupe (Suède, Norvège, Finlande, Portugal et Autriche) ont tous des ressources forestières abondantes et, durant la période 1983-1992, le secteur privé absorbait plus de 20 pour cent de l'effectif total des chercheurs spécialisés dans ce domaine.

Figure 3 Pourcentage de chercheurs spécialisés en foresterie, par type d'institution, dans les pays européens et en Israël en 1983-1992

Note: Les instituts de recherche internationaux n'apparaissent pas dans cette figure.

Sources: FAO (1986,1993); Centres de recherche agricole (1988); Hellström et Palo (1994, 1995a, 1995b).

Intensité des recherches

Les deux procédés les plus communément utilisés pour mesurer l'intensité des efforts de recherche consistent à comparer les dépenses de recherche - développement à la valeur ajoutée, ou à la valeur de la production. Dans le présent cas, ces données n'étaient pas disponibles. On a donc utilisé le nombre de chercheurs par unité de production (m3 de bois coupé) comme indicateur approximatif de l'intensité de l'effort de recherche (figure 4).

Dans les pays où la production de bois est élevée (m3 de bois coupé), le nombre de chercheurs employés par unité de production (m3) est plus faible que dans ceux où la production est faible. Dans les pays où la production est élevée, la proportion de recherches effectuées dans le secteur privé est aussi proportionnellement plus grande que dans les autres pays. Les huit premiers pays d'Europe de l'Ouest pour la production ligneuse (Suède, Finlande, Allemagne, France, Espagne, Autriche, Norvège et Portugal), qui affectent pourtant des ressources extrêmement variables à la recherche forestière, ont à peu près le même effectif de chercheurs par unité de production (m3), qui est en fait le plus faible de tous les pays européens. Cette constatation est très intéressante. Les pays d'Europe de l'Est les mieux placés pour la production ligneuse (Pologne, ex - Tchécoslovaquie et Roumanie) ont davantage de chercheurs par unité de production que les pays d'Europe de l'Ouest ayant le même niveau de production.

Plusieurs facteurs peuvent expliquer la forte intensité de l'effort de recherche par rapport aux unités de production dans d'autres pays d'Europe de l'Ouest. Par exemple, bon nombre des pays cités ont été marqués par une forte tradition coloniale, qui se reflète aujourd'hui encore dans l'intérêt pour la recherche concernant les zones tropicales. Dans certains pays, la fonction environnementale des forêts peut être plus dominante que dans d'autres. En outre, les ressources forestières peuvent avoir une valeur particulière dans les pays où elles sont rares. La définition du terme «chercheur» varie aussi selon les pays. Ainsi, certains incluent les techniciens et d'autres agents de soutien dans leurs chiffres.

Monographies nationales: Finlande et Norvège

L'étude comparative entre la Finlande et la Norvège (Hellström, 1995) avait pour objet de:

· décrire l'évolution du financement de la recherche forestière dans ces deux pays pour la période 1983-1993;

· analyser l'influence des facteurs économiques et institutionnels sur la structure de financement;

· analyser les effets de différents scénarios de financement sur les activités des institutions de recherche.

On a choisi la Finlande et la Norvège comme études de cas pour réaliser une enquête approfondie, car cette étude permettait de comparer les effets des variations des politiques scientifiques sur la recherche qui, ailleurs, est conduite dans des circonstances plutôt similaires.

Figure 4 Nombre de chercheurs dans le secteur forestier par unité de production dans les pays européens, en 1983-1992

Sources: FAO (1986,1993); Centres de recherche agricole (1988); Hellström et Palo (1994, 1995a, 1995b).

L'étude portait sur 10 organisations de recherche en Finlande et sept en Norvège. On s'est basé sur de multiples éléments d'appréciation. Premièrement, on a défini des facteurs comme le système de financement, la structure de la clientèle, le type de projets de recherche, l'organisation et sa dépendance à l'égard d'autres institutions. Ces informations ont principalement été tirées des rapports annuels et d'autres publications. Deuxièmement, on a rassemblé - en interrogeant des spécialistes travaillant dans les organisations étudiées des informations sur les facteurs économiques et institutionnels susceptibles d'influencer le niveau et la structure de financement, ainsi que des renseignements sur l'impact des modifications de ces niveaux et structures sur les activités de recherche. Troisièmement, on a utilisé les chiffres des statistiques nationales sur la recherche - développement pour déterminer l'investissement de recherche des entreprises industrielles individuelles.

Recherche publique ou privée

En Finlande comme en Norvège, les recherches conduites dans les universités ne représentent qu'une part négligeable des recherches concernant le secteur forestier (5 pour cent en Finlande et 4 pour cent en Norvège). La principale différence entre ces deux pays est que, en Finlande, la proportion de recherches forestières (50 pour cent) effectuées dans des entreprises individuelles est plus élevée qu'en Norvège (35 pour cent). Par ailleurs, dans ce dernier pays, le pourcentage de recherches forestières conduites dans des instituts de recherche (36 pour cent et 26 pour cent respectivement pour les secteurs public et privé) est plus élevée qu'en Finlande (28 pour cent dans des instituts de recherche publics et 17 pour cent dans des institutions privées). Il existe aussi une autre différence notable entre les deux pays: le principal institut de recherche sur la technologie du bois est public en Finlande Laboratoire des produits forestiers du centre finlandais de recherche technique (VTT) - et privé en Norvège - Institut norvégien de la technologie du bois (NTI).

Malgré quelques différences dans la structure de l'organisation de la recherche forestière en Finlande et en Norvège, les structures de financement des divers domaines de recherche sont, étrangement, analogues (figure 5). Dans les deux pays, la plupart des fonds alloués à la recherche forestière proviennent directement du budget de l'Etat. Les systèmes de comptabilisation des dépenses de recherche étant différents, toutes les subventions publiques en faveur de la recherche sont inscrites dans une catégorie spécifique en Finlande, alors qu'en Norvège, toutes les contributions, hormis celles du Conseil norvégien pour la recherche (NFR), sont comprises dans la catégorie «autres sources de financement». Ainsi, la seule différence significative entre ces deux pays, en ce qui concerne les structures de financement de la recherche forestière, est qu'en Finlande les cotisations payées par les industriels servent aussi à financer la recherche forestière (Metsäteho). En Norvège, l'industrie forestière ne participe pas systématiquement au financement de la recherche, car les forêts sont très peu exploitées par l'industrie forestière d'ailleurs, qui possède une étendue de forêts plutôt limitée.

En ce qui concerne la technologie du bois, la part du financement public est à peu près la même dans les deux pays, alors que le système d'organisation des recherches dans ce domaine y est radicalement différent. La différence entre ces deux pays est qu'en Finlande les fonds proviennent essentiellement du budget de l'Etat, alors qu'en Norvège, ils proviennent du NFR. Autre différence, en Norvège, on fait aussi payer des cotisations aux industriels. En outre, la structure du financement de la recherche sur la technologie de la pâte et du papier est très similaire dans les deux pays.

Intensité de l'effort de recherche

L'intensité de l'effort de recherche en matière de foresterie et de technologie du bois, mesurée par le pourcentage des dépenses de recherche par rapport au produit intérieur brut (PIB), est du même ordre en Norvège qu'en Finlande. Toutefois, dans les deux pays, l'intensité de l'effort de recherche concernant la foresterie est très surestimée, du fait que certains produits non commercialisables, tels que la diversité biologique, le bilan du carbone, les aspects récréatifs, etc., ne sont pas compris dans les chiffres de production (figure 6).

En ce qui concerne la technologie de la pâte et du papier, l'intensité de l'effort de recherche est nettement plus élevée en Finlande qu'en Norvège, sans doute parce que dans le premier pays, l'industrie forestière est aussi liée, dans une large mesure, au développement des machines.

Politiques scientifiques et activités de recherche

En Finlande comme en Norvège, la recherche forestière a connu une croissance soutenue pendant les années 80. En revanche, au début des années 90, les fonds totaux alloués à la recherche ont diminué en Finlande et stagné en Norvège, avec toutefois de grandes différences d'un institut à l'autre. D'une manière générale, les restrictions financières entraînent deux types de politique: les unes visant à utiliser les fonds disponibles de manière plus rationnelle, les autres à mobiliser des fonds additionnels auprès de sources extérieures. Les deux politiques ont été appliquées dans les deux pays, mais il semble que la Finlande ait privilégié la première stratégie et la Norvège la seconde.

Les politiques de recherche des deux pays ont créé des pressions incitant à accroître le financement privé. En Finlande, ces pressions dérivent principalement de la diminution du financement public et, en Norvège, de l'orientation accrue sur les besoins des utilisateurs. Cependant, les chercheurs principaux des deux pays, dont Hellström (1995) a transcrit les interviews, étaient pessimistes quant aux possibilités d'accroître de façon significative la contribution du secteur privé au financement de la recherche forestière. Dans les deux pays, les domaines de recherche comportant des essais sur le terrain à long terme sont les plus touchés par les variations du financement.

Figure 5 Pourcentages des différentes sources de financement de la recherche dans les domaines de la foresterie, de la technologie du bois et de la technologie de la pâte et du papier, en Finlande et en Norvège, en 1991-1993

Source: Hellström (1995).

Discussion

Théorie et constatations empiriques

Les constatations empiriques des études présentées dans la section précédente ont, dans l'ensemble, confirmé la validité des critères économiques d'une division rationnelle du financement de la recherche forestière entre les secteurs public et privé, critères exposés au début de l'article. Cependant les données utilisées pour les études ont été rassemblées institution par institution et non en fonction des domaines de recherche, ce qui restreint, dans une certaine mesure, la portée des conclusions faites sur la base de ces études. D'après l'enquête européenne sur la recherche forestière publique et privée (Hellström et Palo, 1994; 1995a; 1995b; Hellström et Palo dans FAO, 1995), les conditions favorisant le plus le financement privé de la recherche forestière seraient les suivantes:

· taux de rentabilité élevé des investissements de recherche;

· court temps de retour et faible risque de l'investissement pour la recherche - développement (par exemple, recherche sur les produits forestiers et sur les techniques de récolte);

· industrie forestière concentrée et à fort coefficient de capital (par exemple Scandinavie);

· grands domaines forestiers privés (par exemple Portugal);

· puissantes associations de propriétaires de forêts (par exemple Danemark).

Bien que l'existence d'organisations de recherche forestière privées soit de toute évidence nécessaire dans certains domaines de recherche bien délimités, de multiples conditions font qu'il est encore préférable que la majorité des activités de recherche soient financées par le secteur public, à savoir:

· absence de débouchés pour les résultats des recherches;

· infrastructure juridique imparfaite (systèmes de brevet, marchés des biens);

· effets externes positifs, sous forme d'innovations;

· environnement forestier en tant que bien collectif;

· effets de redistribution positifs en faveur des zones rurales;

· stabilisation d'une économie en récession;

· durabilité du financement de la recherche - développement - normes scientifiques.

Figure 6 Intensité de l'effort de recherche (dépenses de recherche/PIB) dans les secteurs forestiers de la Finlande et de la Norvège, en 1991-1993

Source: Hellström (1995).

Ces critères sont examinés plus loin à la lumière de l'expérience dans quelques domaines de recherche. Pour la plupart des recherches biologiques forestières, les conditions de court temps de retour et de faible risque de l'investissement ne sont pas remplies. Cependant, les investissements dans certaines techniques d'intensification de la gestion des forêts, telles que la fertilisation et le drainage, peuvent être rentabilisés plus rapidement que la plupart des autres recherches biologiques. La structure de la propriété des forêts a aussi une influence déterminante sur la contribution du secteur privé à la recherche biologique forestière. D'une manière générale, les propriétaires de forêts ne financent pas la recherche biologique, sauf dans le cas de très grandes propriétés forestières, comme on en trouve dans l'industrie forestière au Portugal, ou s'il existe de puissantes associations de propriétaires de forêts, comme au Danemark. De fait, presque tous les domaines de la recherche forestière sont principalement financés par le secteur public, d'autant qu'ils produisent souvent des avantages sociaux élevés.

En ce qui concerne les techniques liées à la récolte et au transport, le temps de retour de l'investissement est bref et le secteur privé pourrait participer au financement de la recherche. Sa contribution dépendra cependant, dans une large mesure, de la structure de l'emploi pour les travaux sylvicoles et la récolte dans un pays donné. Dans plusieurs pays d'Europe, il semble que le secteur privé ne finance pas de recherches sur les techniques de récolte sur une base régulière, son action étant concentrée sur des recherches sous contrat portant sur des projets individuels. D'après Cubbage (1989), la situation est comparable aux Etats - Unis, où malgré la rentabilité économique des recherches sur les techniques de récolte, les fonds et les chercheurs scientifiques sont rares. Au Danemark, en revanche, les opérations de récolte sont en majorité effectuées par des propriétaires de petites exploitations forestières, qui financent aussi un institut conduisant des recherches dans ce domaine par l'intermédiaire d'une puissante association de propriétaires de forêts. En outre, en Finlande et en Suède, où les industries forestières se chargent d'une grande partie des travaux sylvicoles, celles-ci contribuent pour une large part aux recherches sur les techniques d'exploitation. Au contraire, en Norvège, la plupart des travaux sylvicoles sont effectués par les nombreux propriétaires privés, si bien que les compagnies privées ont moins intérêt à investir dans la recherche forestière qu'en Finlande et en Suède.

L'étude comparative du financement de la recherche en Finlande et en Norvège a débouché sur une constatation particulièrement intéressante, à savoir que, malgré quelques différences dans la structure organisationnelle des recherches forestières, les structures de financement de la recherche concernant la foresterie, la technologie du bois et la technologie de la pâte et du papier sont très similaires dans les deux pays. On en déduit que les structures de financement dans ce domaine sont essentiellement guidées par des critères économiques, tels que ceux présentés ci-dessus, même si la structure organisationnelle varie. Cela peut-être démontré par un exemple de recherche sur la technologie du bois. En Finlande, ce type de recherche est entrepris au Laboratoire des produits forestiers du Centre finlandais de recherche technique (VTT) - un institut public, dont les activités sont en grande partie financées par le secteur public.

L'industrie norvégienne du bois a, en revanche, un institut de recherche mixte: l'Institut norvégien de la technologie du bois (NTI). Par suite de la réduction de l'appui du secteur public, cet institut dépend de plus en plus d'une industrie du bois fragmentée qui n'a pas été en mesure d'apporter des fonds suffisants pour la recherche fondamentale. Ainsi, il semble que, quelle que soit la composition du capital social des instituts de recherche spécialisés dans la technologie du bois, un appui régulier du secteur public est nécessaire en raison de la fragmentation de l'industrie. La plus grande dépendance de ce secteur, par rapport à celui de la pâte et du papier, à l'égard d'un financement public régulier, est aussi due en grande partie à la demande relativement inélastique de bois de sciage, qui limite considérablement les gains que tirent les producteurs des innovations, les principaux bénéficiaires étant les utilisateurs de bois de sciage.

En revanche, les recherches sur la technologie de la pâte et du papier sont principalement financées par le secteur privé tant en Finlande qu'en Norvège, en partie parce que, dans les deux pays, ces industries sont concentrées à fort coefficient de capital, et parce que la demande des produits à base de pâte et, surtout de papier, est relativement élastique.

Recommandations

La privatisation du financement de la recherche forestière a souvent été motivée par l'insuffisance des fonds publics et la nécessité d'accroître la productivité des recherches. Toutefois, tant la théorie économique que nos constatations empiriques démontrent que la plupart des recherches forestières devraient continuer à être financées essentiellement par des fonds publics. Nous n'avons trouvé, ni dans la théorie ni dans la pratique, aucun élément permettant de penser que la diminution des fonds publics serait compensée par une augmentation du financement privé dans les domaines de recherche concernés. En outre, si le secteur public cessait de financer les recherches forestières, leur orientation serait dictée de façon croissante par les marchés; or, dans le domaine de la recherche forestière, les débouchés sont très étroits. Inévitablement, la privatisation aurait pour effet de réorienter les priorités des recherches en faveur des intérêts des organismes privés qui ont les moyens d'investir dans la recherche forestière.

De plus, il existe plusieurs moyens d'augmenter la productivité de la recherche, sans avoir recours à la privatisation du financement de la recherche - développement. En renforçant les interactions entre les institutions publiques et privées de recherche - développement et entre les services d'éducation, de formation et de vulgarisation, on peut promouvoir dans de bonnes conditions d'économie et d'efficacité, la recherche d'innovations. De même, en augmentant la concurrence pour les fonds destinés à la recherche, on peut stimuler la communauté scientifique, à condition que cette concurrence soit introduite dans des limites raisonnables. On intensifiera également les résultats des recherches en basant les décisions de financement non plus sur une évaluation à priori des réalisations potentielles, mais sur une évaluation à postériori des réalisations précédentes. On peut aussi améliorer la productivité des recherches en déléguant les pouvoirs décisionnels concernant l'utilisation des fonds disponibles de l'instance administrative supérieure à de plus petites unités de recherche. Une telle démarche a le double avantage de permettre une utilisation plus efficace des fonds et de motiver le personnel de recherche.

Cette étude contient peu de données sur les effets de la privatisation du capital social des organisations de recherche forestière sur leurs activités. Cependant, une expérience en Norvège, où la division des recherches de la Direction de la gestion des ressources naturelles et le Programme de recherche écologique appliquée financé par le Ministère de l'environnement ont été absorbés en 1988 par une fondation de recherche privée, l'Institut norvégien pour la recherche écologique (NINA), montre qu'une semiprivatisation peut avoir un impact positif sur les activités de recherche, notamment en augmentant la souplesse.

La privatisation des pouvoirs décisionnels dans le domaine de la recherche forestière vise principalement à renforcer les liens entre les producteurs et les utilisateurs des résultats des recherches, afin de favoriser le processus d'apprentissage nécessaire pour produire des innovations. La politique scientifique du Conseil norvégien pour la recherche (NFR), qui vise à axer davantage les recherches sur les besoins des utilisateurs, peut être considérée comme un exemple de cette troisième forme de privatisation. Dans cette nouvelle politique, le pourcentage de fonds publics utilisés par le secteur privé a été accru. Cependant la stratégie de privatisation du NFR comprend aussi la première forme de privatisation, basée sur l'accroissement du financement privé des activités de recherche - développement. Globalement, la politique semble avoir réussi à améliorer l'interaction entre les producteurs et les utilisateurs des résultats des recherches. Elle a cependant mis en difficulté quelques instituts de recherche qui n'ont plus les moyens financiers adéquats pour maintenir un niveau suffisant de recherche de base et, partant, une compétence scientifique. Le fait d'orienter la recherche en fonction des besoins des utilisateurs constitue un autre problème, car la qualité des recherches est reléguée au second plan. Le troisième problème est que la capacité de recherche n'a pas augmenté et que la liberté des recherches a sans doute diminué.

La privatisation de la recherche est mal vue par beaucoup de scientifiques, qui craignent qu'elle ne nuise à la liberté d'action et à l'objectivité des travaux. Sans vouloir sous-estimer ces problèmes, qui ont effectivement été mis en évidence dans les expériences, il convient de souligner qu'il existe de nombreuses formes de privatisation ayant des effets différents sur les activités de recherche, dont il est impossible de faire une description complète dans cet article. Les responsables des recherches devraient donc étudier avec soin les différentes formes de privatisation et les motivations qui les sous - tendent, afin de pouvoir répondre de manière durable aux besoins de la foresterie. La recherche a besoin d'un financement durable, non seulement pour assurer un niveau stable de recherche, mais aussi pour maintenir la qualité et la neutralité scientifiques pour maintenir et accroître la valeur des investissements antérieurs dans des projets de recherche à long terme.

Selon les auteurs, les partisans de la réduction du financement public pourraient se heurter aux partisans du camp adverse qui prônent le maintien, ou même l'augmentation, du financement des recherches forestières par le secteur public. Les critères en faveur du financement public ou privé présentés plus haut pourraient servir de base pour un débat.

Même dans des pays dotés d'importantes ressources forestières, comme la Finlande et la Norvège, l'intensité de l'effort de recherche dans le secteur forestier n'est que légèrement supérieure européenne et sensiblement inférieure à la moyenne dans le domaine de la technologie du bois. Pourtant, comme la valeur élevée des avantages non ligneux des forêts n'est pas prise en compte dans les chiffres sur l'intensité de l'effort de recherche présentés ici, ces chiffres sont nettement supérieurs à la réalité. L'intensité des efforts de recherche en Finlande et en Norvège est un peu plus faible que dans la plupart des autres grands pays producteurs de bois d'Europe de l'Ouest. Le financement de la recherche peut donc être considérablement accru dans les domaines de la foresterie et de la technologie du bois dans plusieurs pays d'Europe, en particulier en Finlande et en Norvège.

Les subventions à la foresterie ayant diminué ces dernières années dans quelques pays occidentaux, la recherche tient une place plus grande dans les politiques forestières publiques. De fait, les activités de recherche - développement dans ce secteur mériteraient de plus en plus d'être considérées comme l'un des instruments, parmi tant d'autres, des politiques forestières. Souvent, des investissements dans le domaine de la recherche - développement pourraient être plus bénéfiques pour la foresterie que des subventions mal conçues. Là encore, les critères établis pour le financement public et privé de la recherche forestière devraient être considérés comme essentiels pour assurer l'équilibre entre les investissements pour la recherche - développement et les investissements liés à d'autres instruments des politiques forestières. De fait, l'augmentation des investissements publics dans la recherche et le développement du secteur forestier pourrait être considérée comme la mesure la plus efficace pour promouvoir la croissance économique et le développement.

Bibliographie

Agricultural Research Centres. 1988. A world directory of organizations and programmes, ninth edition. Vols 1 and 2. Longman, Londres. 1065 p.

Alestalo, M. 1991. Science and the politicoeconomic system. Social change, transformation of political structures, and the social value of science. Publications of the Academy of Finland, Helsinki 2/91. 96 p.

Bengston, D.N. et Gregersen, H.M. 1984. An assessment of factors affecting forestry research capacity in IUFRO member institutions. In Proc. XVIII IUFRO World Congress, septembre 1986, Ljubljana. S4. 0505 Valuation of Forestry Research.

Boyd, R.G. et Hyde, W.F. Forestry sector intervention. The impacts of public regulation on social welfare. Iowa State University Press. Ames, Iowa, Etats - Unis. 295 p.

Cubbage, F.W. 1989. Timber harvesting. In P.V. Ellefson (éd), Forest resource economics and policy research. Strategic directions for the future, p. 193-208. Westview Press, San Francisco et Londres.

Dasgupta, P. 1990. The economics of parallel research. In F. Hahn (éd), The economics of missing markets, information and games. Clarendon Press, Londres.

Dasgupta, P. et Maskin, E. 1987. The simple economics of research portfolios. Econ. J., 97: 581-595.

Dasgupta, P. et Stiglitz, J.E. 1980a. Industrial structure and the nature of innovative activity. Econ. J., 90: 266-293.

Dasgupta, P. et Stiglitz, J.E. 1980b. Uncertainty, industrial structure and the speed of R&D. Bell J. Econ., 11: 1 -28.

FAO. 1986. Répertoire mondial des institutions de recherche sur les produits forestiers. Etude FAO: Forêts n° 71. Rome. 624 p.

FAO. 1993. Directory of forestry research organizations. Etude FAO: Forêts n° 109. Rome.

FAO. 1995. The role of the private sector in forestry research, p. 5-71. Rome.

Freeman, C. 1988. Innovation. In J. Eatwell, M. Milgate et P. Newmand (éds), The new Palmgrave. A dictionary of economics. Vol. 2, p. 858-860. Macmillan Press, Londres.

Grayson, A.J. 1993. Private forestry policy in Western Europe. CAB International. Short Run Press, Exeter, Royaume-Uni. 329 p.

Hellström, E. 1995. Patterns and policies of research funding in the forest sector. A comparative study between Finland and Norway. European Forest Institute Research Report No. 4. European Forest Institute, Joensuu, Finlande.

Hellström, E. et Palo, M. 1994. Forestry research in Europe: the roles of public and private funding. In Proc. IUFRO subject group S6. 06 Symposium on the Management of Forest Research, septembre 1994, Cape Town, Afrique du Sud, Vol. 1, p. 14-34.

Hellström, E. et Palo, M. 1995a. Theoretical framework of research funding. In FAO, (éd), The role of the private sector in forestry research. Rome.

Hellström, E. et Palo, M. 1995b. Public and private forestry research in Europe. J. For Econ., 3: 16.

Hyde, W.F. 1984. Some preliminary experiences in forestry research evaluation in the United States. In Proc. IUFRO World Conference, août 1984, Salonique, Grèce, Vol. 1, p. 187-200.

Hyde, W.F. 1986. Gains from public forestry research: methods and case studies in biological forestry and forest utilisation. In Proc. XVIII IUFRO World Congress, septembre 1986, Ljubljana. S4. 05-05 Valuation of Forestry Research.

Hyde, W.F., Newmann, D.H. et Seldon, B.J. 1992. The economic benefits of forestry research. Iowa State University Press, Ames, Iowa, Etats-Unis. 249 p.

Katz, M. et Shapiro, C. 1987. R&D rivalry with licensing or imitation. Am. Econ. Rev., 77: 402420.

KTM. 1993. Kansallinen teollisuusstrategia (Une stratégie nationale pour l'industrie). Ministère finlandais pour le commerce et l'industrie, Helsinki. (en finnois)

ONU-CEE/FAO. 1992. The forest resources of the temperate zones. Main findings of the UN-ECE/FAO 1990 forest resource assessment. Rome. 32 p.

Palo, M. 1994. From deforestation into sustainable forestry: a transition based on markets and policies. Scand. For. Econ., 35: 391 -397.

Runge, C.F. 1983. Balancing public and private sector forestry research: rationale and plan of study. In W.F. Hyde (éd.), Economic evaluation of investments in forestry research, p. 68-85. Acorn Press, Fairfield, Connecticut, Etats-Unis.

Schumpeter, J.A. 1942. Capitalism, socialism and democracy. Harper, New York.


Page précédente Début de page Page suivante