Abolfathi, Farid 1997 Using Middle/Upper Class Population Data to Assess Global Markets, in World Economic Outlook, Second Quarter 1997. DRI/McGraw-Hill
Arbhabhirama, A. 1988 Thailand Natural Resources Profile. Oxford University Press, New York.
Arnold, J.E.M. 1994 The Importance of Tree Products in Rural Income and Employment. Markets for Non-Timber Tree Products Workshop. (IFPRI) at Annapolis 12-14 December, 1994
Asian Development Bank 1996 Key Indicators of Developing Asian and Pacific Countries, 1996. Vol XXVII, ABD Manila.
Browder, J.O., 1990. Extractive Reserves Will not Save the Tropics. Bioscience 40(9): 626.
Bryant, D., D. Nielsen and L. Tangley, 1997 The Last Frontier Forests: ecosystems and economies on the edge World Resources Institute, Washington DC
Burgess, J.C., 1993. Timber Production. Timber Trade and Tropical Deforestation. Ambio 22(2-3): 136-143.
Byron R.N. and M. Ruiz Pérez "What Future For The Tropical Moist Forests 25 Years Hence" Commonwealth Forestry Review 75 (2): 124-129
Colfer, C.J.P. with N Peluso and Chin See Chung, 1996 Beyond Slash and Burn: lessons from the Kenyan on managing Borneo's rainforests. New York Botanical Gardens, NY.
Coulter, J.K., 1992. Population Pressures. Deforestation, and Land in the Wet Tropical Zones: The Technical Dimensions. In: Priorities for Forestry and Agroforestry Policy Research. Edited by: H. Gregersen, P. Oram. J. Spears. IFPRI Washington, D.C., pp. 33-54.
Cramb, R.A., 1993. Shifting Cultivation and Sustainable Agriculture in East Malaysia: A Longitudinal Case Study. Agricultural Systems, 42: 209-226.
Cruz, M.C.J. 1992. Population pressure, economic stagnation and deforestation in Costa Rica and the Philippines. Paper to IUSP Seminar on Population and Deforestation in the Humid Tropics, Sao Paulo Brazil, Nov 1992.
Dauvergne, R., 1994. The Politics of Deforestation in Indonesia. Pacific Affairs 66 (4): 497-518.
de los Angeles, M. & R. Md Idrus, 1990. Investment Incentives of Southeast Asian Countries in the Wood-based Sector. Proceedings of the Malaysian Timber Industry Board Asia-Pacific Conference 1990, Kuala Lumpur. 24-26/9/90.
D'Silva E. and S. Appanah 1993 Forest Management for Sustainable Development EDI Policy Seminar Report #32, World Bank, Washington D.C.
Dorner, P. and W.C. Thiesenhusen, 1992. Land Tenure and Deforestation: Interactions and Environmental Implications. UNRISD Discussion Paper 36. UN Research Institute for Social Development, Geneva
Dove, M.R. 1993, A Revisionist View of Tropical Deforestation and Development. Environmental Conservation 20(1): 17-24
Downton, M.W. 1995 Measuring Tropical Deforestation: Development of the methods. Environmental Conservation 22 (3) 229-240.
Dudley, N., J.P. Jeanrenaud & F. Sullivan (1995) Bad Harvest: The timber trade and the degradation of the World's forests. Earthscan. London.
FAO 1993. Forestry Policies of Selected Countries of Asia and the Pacific. FAO Forestry Paper 115, Rome.
FAO/RAPA, 1987. Expert Consultation on Intersectoral Linkages in Forestry Sector Planning. 3 Vols. Bangkok.
Fisher, R.J. 1989 Indigenous Systems of Common Property Forest Management in Nepal. Working Paper #18, Environment & Policy Institute, East-West Center, Honolulu
Fisher, R.J. 1990 Institutional Incompatibility in Community Forestry: the case of Nepal. Working Paper #22, Environment & Policy Institute, East-West Center, Honolulu
Garrity, D.P., D.M. Kummer and E.S. Guiang, 1993. The Philippines. In: Sustainable Agriculture and the Environment in the Humid Tropics. National Academy Press, Washington, D.C. pp. 549-624.
Gillis, M. 1988. Indonesia: public policies, resource management and the tropical forest, in R. Repetto and M. Gillis (eds) Public Policies and the Misuse of Forest Resources. World Resources Institute, Cambridge Univ. Press.
Gilmour, DA and RJ Fisher 1991 Villagers, Forests and Foresters. Sahayogi Press, Kathmandu.
Hodgson G. and J.A. Dixon 1988. Logging versus Fisheries and Tourism in Palawan: an environmental and economic analysis. Occasional Paper #7, Environment and Policy Institute. East West Center, Hawaii.
Lanly, J.-P., K. D. Singh and K. Janz, 1991. FAO's 1990 Reassessment of Tropical Forest Cover. Nature and Resources 27: 21-26.
Lian, Frances Jana 1993 On Threatened Peoples. Chapter 14 of H.C. Brookfield and Y A Byron (eds) South-East Asia's Environmental Future: the search for sustainability. United Nations Univ Press/Oxford Univ Press, Tokyo/Singapore, pp 322 - 337
Malee Hutacharoen, 1987. Application of Geographic Information Systems Technology to the Analysis of Deforestation and Associated Environmental Hazards in Northern Thailand: Second International Conference, Exhibits and Workshops on Geographic Information Systems. American Society for Photogrammetry and Remote Sensing. Falls Church. Virginia. pp. 509-518.
Malla, Y.B., 1992. The Changing Role of Forest Resource in the Hills of Nepal. PhD dissertation Department of Forestry, Australian National University, Canberra.
Manasan, R.G. 1989. "A Review of Investment Incentives in ASEAN Countries". Philippines Institute of Development Studies, Working paper 88-27, PIDS, Manila.
Ohlsson, B.O. and R.N. Byron 1989. Learning from the Small farmers about their trees. FAO Forest Trees & People Program. FAO Rome.
Oliva, R.V. 1988. Harmonization of Forest Policies in the ASEAN Region. ASEAN Institute of Forest Management, Kuala Lumpur.
Osbourne D. and E. Gaebler 1992. Reinventing Government: how the entrepreneurial spirit is transforming the Public Sector. Addison Wesley New York
Phantumvanit, D. 1990. Natural Resources for a Sustainable Future: Spreading the Benefits, Thailand Development Research Institute, Bangkok.
Poffenberger, M. 1990. Keepers of the Forest: land management alternatives in Southeast Asia. Kumarian Press.
Poffenberger, M. 1990a. The Evolution of Forest Management Systems in Southeast Asia. In: Poffenberger 1990. op cit pp. 7-26.
Pravil Phothiart, 1989. Karen: When the Wind Blows. In: Hill Tribes Today. Edited by: J. McKinnon and B. Vienne. White Lotus-Orstom, Bangkok, pp. 369-392.
Preston, D.A., 1989. Too Busy to Farm: Under-Utilization of Farmland in Central Java. Journal of Development Studies 26 (1): 43-57.
Repetto, R. and M. Gillis, 1988. Public Policies and the Misuse of Forest Resources. Cambridge University Press. Cambridge.
Ruiz Pérez, M. and J.E.M. Arnold. (1996) Current Issues in Non-Timber Forest Products Research. CIFOR, Bogor.
Saxena, N.C. 1997 The Saga of Participatory Forest Management in India. CIFOR, Bogor.
Sayer J.A. and R.N. Byron 1996 "Technological Advance & The Conservation of Forest Resources." Journal of World Ecology & Sustainable Development
Warner, K.D. 1991 Shifting Cultivators: local technical knowledge and natural resource management in the humid tropics. Community Forestry Note #8, FAO Rome.
Wells, M.P. and Brandon, K.E., 1993. The Principles and Practices of Buffer Zones and Local Participation in Biodiversity Conservation. Ambio 22: 157-162.
Westoby. J. 1987. The Purpose of Forests. Blackwell, Oxford World Bank, 1990. Indonesia: Sustainable development of forests, land and water. IBRD Washington.
World Bank, 1991. The Forest Sector. A World Bank Policy Paper. World Bank, Washington, D.C.
World Bank, 1992. Environment and Development. The 1992 World Development Report, Washington.
World Resources Institute, 1996. World Resources Report, 1996. WRI, Washington DC
Table 1 - Selected basic statistics for Asia-Pacific countries
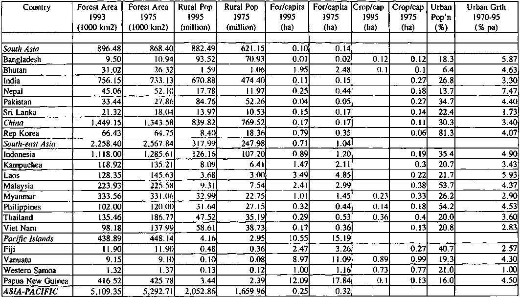
Table 2 - Selected forest, cropland and urbanization statistics for Asia-Pacific countries
Table 3 - Two Forestry Production Systems
|
|
State Forestry |
Community Forestry, Tree Husbandry and Farm Forestry |
|
Objectives |
One dimensional, raw material for industry, protection. |
Multipurpose and socio- economic objectives. Related to the consumer & producer. Self-reliance. |
|
Technology |
Imported, centralized, precedence over local technologies. Uniform and strictly adhered to |
Varies. Indigenous, locally manageable. Imported technology must suit resources and needs. |
|
Local Institutions |
Unimportant as long as no encroachment. |
Important. Used and supported as a resource. |
|
Peoples Participation |
Insignificant. People are target groups and consumers to be motivated, uplifted and/or employed. |
A requirement for relevant production. People are a resource, an asset to be supported. Involvement and responsibility. |
|
Role of People versus Experts |
People are the problem experts the solution. |
People are the solution and a resource. Experts support their development. |
|
Local Solutions |
Uniform |
Diverse |
|
Land |
Government |
Communal. Village, private. |
|
Labour |
Employed |
Employed in the local system or self-employed. |
|
Organization |
Centralized "work order" system |
Local, village production unit (e.g.. extended family). |
|
Professional role |
Segmentation |
Integration with other farming activities. |
|
Structure and Magnitude |
Few large plantations with uniform management |
A large number of small areas with diverse input requirements and production. |
|
Legislation |
Protective |
Productive |
|
Time Perspective |
Long Term |
Short term, or limited resources for delayed benefits. |
|
Relation to other activities |
Separate |
Integrated in space and time in the small farmers' production system. |
Source: Ohlsson and Byron (1989)
Table 4 - Estimates of employment in forest-based activities
|
Source (region) |
Employment and Activity |
|
Tewari, 1982 (India) |
Tendu leaf collection provides part-time employment to 7.5 million people: a further 3 million people are employed in bidi processing; 3 million people are involved in lac (resin) production; 735,000 people earn income from sericulture; 550,000 people are employed in bamboo-based craft enterprises. |
|
Jha & Jha, 1985 (India) |
126,000 households are involved in Tassar silk cultivation. |
|
Tandon, 1991 (India) |
Match production by cottage industries employs 50.000. |
|
Fisseha & Milimo. 1986 (Zambia) |
25.000 are involved in the fuelwood trade. |
|
Marks, 1984 (Zambia) |
48,000 people are employed in charcoal production (36,000 of them are part-time charcoal producers and traders); 11,500 people are involved with bee-keeping; 96,000 households earn income from handicraft production. |
|
Peluso, 1986 (Indonesia) |
83.000 - 100,000 people are engaged in collection, trade and processing of rattan. |
|
Engel et al., 1986 (Bo, Sierra Leone) |
60% of the farm households in the region process palm fruit and kernels for sale. |
|
Kaye. 1988 (Côte d'Ivoire) |
Estimates 65,000 peopled are involved in rattan cane basketry part-time while 1,500 are involved full-time. |
|
Schwartzmann et al., 1987 (Amazon) |
Estimates that half a million peopled depend on latex as their main source of income |
|
Browder, 1989 |
Estimates 1.5 million people derive a significant proportion of their income from extractive activities. |
Source: Arnold (1994)
|
|
List of Working Papers already printed |
|
APFSOS/WP/01 |
Regional Study - The South Pacific |
|
APFSOS/WP/02 |
Pacific Rim Demand and Supply Situation, Trends and Prospects: Implications for Forest Products Trade in the Asia-Pacific Region |
|
APFSOS/WP/03 |
The Implications of the GATT Uruguay Round and other Trade Arrangements for the Asia-Pacific Forest Products Trade |
|
APFSOS/WP/04 |
Status, Trends and Future Scenarios for Forest Conservation including Protected Areas in the Asia-Pacific Region |
|
APFSOS/WP/05 |
In-Depth Country Study - New Zealand |
|
APFSOS/WP/06 |
In-Depth Country Study - Republic of Korea |
|
APFSOS/WP/07 |
Country Report - Malaysia |
|
APFSOS/WP/08 |
Country Report - Union of Myanmar |
|
APFSOS/WP/09 |
Challenges and Opportunities: Policy Options for the Forestry Sector in the Asia-Pacific Region |
D/W7702